Патент на изобретение №2355758
|
|||||||||||||||||||||||||||||||||||||||||||||||||||||||||||||||||||||||||
(54) ШТАММ Streptomyces griseocarneus subsp. bleomycini ВКПМ-S887 – ПРОДУЦЕНТ БЛЕОМИЦИНА A2 И СПОСОБ ПОЛУЧЕНИЯ АНТИБИОТИКА БЛЕОМИЦИНА A2
(57) Реферат:
Изобретение относится к новому штамму – продуценту антибиотика блеомицина и его использованию в биосинтезе противоопухолевого антибиотика блеомицина А2, эффективного при лечении плоскоклеточного рака и ряда других типов опухолей. Штамм-продуцент Streptomyces griseocarneus subsp. bleomycini ВКПМ-S887 получен в результате многоступенчатого мутагенного воздействия метилнитрозогуанидина, УФ-излучения и гамма-лучей 60Со на исходный штамм
Изобретение относится к медицинской промышленности и касается нового штамма-продуцента противоопухолевого антибиотика блеомицина, широко используемого в терапии плоскоклеточного рака и ряда других типов опухолей. Противоопухолевый антибиотик блеомицин, широко применяемый в медицинской практике (Bleocin, Nippon Kayaku, Japan и Blenoxan, Bristol Mayor Известен штамм Streptoverticillium subsp. Bleomycini 1129 – продуцент антибиотического комплекса блеомицинов [1]. Недостатками данного штамма являются содержание в его культуральной жидкости нескольких близкородственных блеомицинов, что затрудняет выделение и очистку целевого антибиотика, а также низкая антибиотическая активность. Сущность изобретения состоит в том, что получен новый штамм-продуцент однокомпонентного блеомицина А2 в результате многоступенчатого мутагенного воздействия метилнитрозогуанидина, УФ-излучения и гамма-лучей 60Со на исходный штамм Полученный новый штамм депонирован в коллекции культур ФГУП ГосНИИгенетика под номером ВКПМ-S887. Штамм ВКПМ-S887 обладает высокой продуктивностью однокомпонентного блеомицина А2 (140 мкг блеомицина А2 в 1 мл культуральной жидкости) и характеризуется следующими культурально-морфологическими и физиологическими признаками. Культурально-морфологические и физиологические признаки штамма ВКПМ-S887. Температура 37°C; длительность выращивания (7-21) сутки. Споровый посевной материал с десятидневной культуры штамма, выращенного на овсяном агаре. Цвет определен по таблице Бондарцева и Праузера (таблица): Морфологические признаки. Гифы воздушного мицелия прямые или извилистые, цепочки спор прямые, расположены мутовчато, поверхность спор гладкая. Физиолого-биохимические свойства. Аэроб растет при (24-37)°С; оптимум – 37°С, желатину разжижает. Молоко пептонизирует. Сахарозу инвертирует. Крахмал гидролизует. На клетчатке не растет. Восстанавливает нитраты до нитритов. Меланоидные пигменты не образует при росте на среде Треснера с лимонно-кислым железом. Отношение к углеводам: хорошо использует глюкозу, фруктозу, сахарозу, лактозу; умеренно – инозит, арабинозу, рафинозу, слабо – маннит; не использует ксилозу. Антагонистические свойства. При испытании методом штриха на глюкозонитратном агаре Штамм ВКПМ-S887 поясняется следующим примером: Пример 1. Споровым материалом с мицелием культуры Streptomyces griseocarneus subsp. bleomycini ВКПМ-S887, выращенной в течение (7-10) суток на овсяной агаровой среде, засевают питательную среду (100 мл в колбах Эрленмейера, объемом 750 мл) и выращивают (18-24) часа при 37°С на качалке при (220-240) об/мин. Состав посевной среды, %:
Выросшим мицелием в количестве (3-5) % засевают питательную среду (100 мл в колбах Эрленмейера, объемом 750 мл) следующего состава, %;
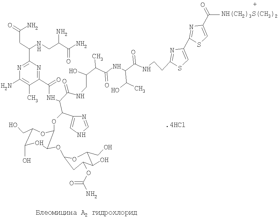
Ферментацию проводят на качалке при (200-220) об/мин, 28°С в течение 144 час. Антибиотическую активность культуральной жидкости определяют методом тонкослойной хроматографии с биологическим проявлением по Bacillus subtilis ATCC 6633. Содержание блеомицина А2 в культуральной жидкости продуцента к концу ферментации составляет 140 мкг/мл. Преимуществом заявленного штамма по сравнению с прототипом является более чем в 10 раз повышенная продуктивность и однокомпонентность антибиотика, а именно, содержание многокомпонентного антибиотического комплекса в культуральной жидкости штамма-прототипа 10 мкг/мл, в заявленном штамме 140 мкг монокомпонентного блеомицина А2 в 1 мл. Высокая активность нового штамма Streptomyces griseocarneus subsp. bleomycini ВКПМ-S887 определяет перспективность его использования для создания нового лекарственного препарата блеомицина на основе промышленного производства блеомицина A2. Блеомицин выделяют из культуральной жидкости, полученной в результате биосинтеза штамма-продуцента ВКПМ-S887, сорбцией на карбоксильной смоле КБ-2 в солевой форме. Смолу промывают 0,5 М раствором уксусной кислоты и антибиотик десорбируют 0,25 н. раствором соляной кислоты. После повторной сорбции на карбоксильном катионите КБ-2 в солевой форме блеомицин элюируют 0,15-молярным водным буферным раствором уксуснокислого аммония с рН 6,5 и проводят дальнейшую очистку на сорбенте “Стиросорб MN-200». Полученный таким образом раствор антибиотика обеззоливают, концентрируют и блеомицин А2 осаждают ацетоном из водно-метанольного раствора при рН (4,0-4,5) в форме гидрохлорида. Общий выход блеомицина А2 не менее 70%. Блеомицин А2, полученный на основе биосинтеза нового мутантного штамма Streptomyces griseocarneus subsp. bleomycini ВКПМ-S887, представляет собой белый порошок, хорошо растворимый в воде, метаноле, ограниченно – в этаноле и не растворим в других органических растворителях. По физико-химическим свойствам, антибактериальной и противоопухолевой активности и токсичности полностью соответствует стандартному образцу блеомицина А2. Брутто-формула: C55H84N17O21S3·4НС1. Мол. масса 1561 а.е.м. УФ-спектр: Мол. масса основания (метод MALDI-TOF-MS)=1417 (М+2Н) и 1439 (M+Na++H);
ЛИТЕРАТУРА 1. SU, авторское свидетельство,
Формула изобретения
1. Штамм Streptomyces griseocarneus subsp. bleomycini ВКПМ-S887 – продуцент антибиотика блеомицина А2. 2. Способ получения антибиотика блеомицина A2 путем биосинтеза штамма-продуцента, сорбции антибиотика из нативного раствора, элюции антибиотика с последующим его выделением, концентрацией и осаждением, отличающийся тем, что в качестве продуцента используют штамм Streptomyces griseocarneus subsp. bleomycini ВКПМ- S887, сорбцию примесей проводят на сорбенте “Стиросорб MN-200”, раствор антибиотика обеззоливают, концентрируют и осаждают ацетоном в форме гидрохлорида.
MM4A – Досрочное прекращение действия патента СССР или патента Российской Федерации на изобретение из-за неуплаты в установленный срок пошлины за поддержание патента в силе
Дата прекращения действия патента: 28.04.2009
Извещение опубликовано: 27.06.2010 БИ: 18/2010
|
|||||||||||||||||||||||||||||||||||||||||||||||||||||||||||||||||||||||||

1129 с последующим отбором мутантов на средах, содержащих аминоэтилцистеин, карбамоилцистеин, канаванин, метилтреонин в качестве селективных агентов. Полученный штамм 
s, USA) является смесью нескольких гликопептидных компонентов, наиболее терапевтически ценным из которых является блеомицин А2.
max (вода)нм=243; 290.