Патент на изобретение №2355716
|
|||||||||||||||||||||||||||||||||||||||||||||||||||||||||||||||||||||||||||||||||||||||||||||||||||||||||||||||||||||||||||||||||||||||||||||||||||||||||||||||||||||||||||||||||||||||||||||||||||||||||||||||||||||||||||||||||||||||||||||||||||||||||||||||||||||||||||||||||||||||||||||||||||||||||||||||||||||||||||||||||||||||||||||||||||||||||||||||||||||||||||||||||||||||||||||||||||||||||||||||||||||||||||||||||||||||||||||||||||||||||||||||||||||||||||||||||||||||||||||||||||||||||||||||||||||||||||||||||||||||||||||||||||||||||||||||||||||||||||||||||||||||||||||||||||||||||||||||||||||||||||||||||||||||||||||||||||||||||||||||||||||||||||||||||||||||||||||||||||||||||||||||||||||||||||||||||||||||||||||||||||||||||||||||||||||||||||||||||||||||||||||||||||||||||||||||||||||||||||||||||||||||||||||||||||||||||||||||||||||||||||||||||||||||||||||||||||||||||||||||||||||||||||||||||||||||||||||||||||||||||||||||||||||||||||||||||||||||||||||||||||||||||||||||||||||||||||||||||||||||
(54) СТАБИЛИЗИРУЮЩАЯ СИСТЕМА ДЛЯ ГАЛОГЕНСОДЕРЖАЩИХ ПОЛИМЕРОВ
(57) Реферат:
Способ стабилизации поливинилхлорида включает добавление к указанному полимеру термостабилизирующего количества смеси, включающей по меньшей мере А) от 0,01 до 10 мас.ч., в расчете на 100 мас.ч. поливинилхлорида, одного полиалкиленгликоля, выбранного из группы, состоящей из тетраэтиленгликоля, тетрапропиленгликоля и тетраглицерина, и Б) от 0,001 до 5 мас.ч., в расчете на 100 мас.ч. поливинилхлорида, по меньшей мере одной соли металла и хлорной кислоты. Смесь также содержит по меньшей мере одну дополнительную добавку или стабилизатор. Термостойкая полимерная композиция включает поливинилхлорид и термостабилизирующее количество смеси: А) от 0,01 до 10 мас.ч., в расчете на 100 мас.ч. поливинилхлорида, по меньшей мере одного полиалкиленгликоля общей формулы:
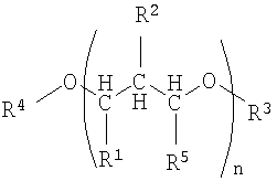
где R1 и R2 независимо выбраны из группы, состоящей из водорода и алкила; R3 и R4 независимо выбраны из группы, состоящей из водорода и алкила; n равно 4; Б) от 0,01 до 5 мас.ч., в расчете на 100 мас.ч. поливинилхлорида, по меньшей мере одной соли металла и хлорной кислоты. Технический результат – использование не содержащей азота термостабилизирующей смеси с высокой эффективностью, что исключает присутствие ионов тяжелых металлов в этой смеси. 2 н. и 12 з.п. ф-лы.
Область техники Данное изобретение относится к стабилизирующим системам, включающим по меньшей мере одну перхлоратную соль и по меньшей мере один полиалкиленгликоль. Более конкретно, данное изобретение относится к термостабилизации галогенсодержащих полимеров, особенно поливинилхлорида (ПВХ), составами, содержащими полиалкиленгликоли и перхлораты. Уровень техники Термостабилизаторы, применяемые для ПВХ, могут содержать соединения свинца, бария, кадмия, олова, кальция или цинка. Из соображений, связанных с окружающей средой, имеется значительный интерес к тому, чтобы исключить эти металлы из соединений ПВХ и заменить их химическими соединениями на органической основе. Были предложены несколько стабилизаторов на органической основе. Однако их более низкая эффективность в отношении стабилизации ПВХ по сравнению со стабилизаторами на основе смеси металлов и/или их высокая стоимость представляет значительную проблему. Стабилизаторы на основе кальция/цинка имеют более низкую токсичность по сравнению со свинцовыми, кадмиевыми и бариевыми стабилизаторами. Способ получения промежуточного соединения кальция, которое можно использовать в стабилизаторах на основе Ca/Zn или Са/Mg, был описан в патентной заявке США Lee et al., Polymer (Korea) 19(5), 543-50 (1995) и 18(6), 1021-9 (1994) описывают использование для стабилизации ПВХ поли(этиленгликоля) ПЭГ 400 или полипропиленгликоля совместно с эпоксидированным соевым маслом (ЭСМ) и стеаратом Zn/Ca. В патенте США В JP 50024388 описано сочетание этиленгликоля (0,1 части на 100 частей полимера) в Н2О/CCl4 с 2 частями стеарата Ca/Zn на 100 частей полимера, а также с ЭСМ для стабилизации ПВХ. В JP 56055445 описан полиэтиленгликоль и/или блок-сополимер полиэтиленгликоль-полипропиленгликоль и В патенте Великобритании Французский патент 1211814 описывает применение глицерина или пропиленгликоля, смешанных со стеаратом кальция или Na2CO3, для стабилизации ПВХ, предполагающего контакт с пищевыми продуктами. Металлические стабилизаторы также были заменены стабилизаторами на органической основе (СОО); см. Modern Plastics, май 2001 и патент США В WO 02/48249 А2 описано применение системы амин/перхлорат. Прочие патенты включают патент США Сущность изобретения Данное изобретение относится к использованию растворов или смесей полиалкиленгликолей, таких как тетраэтиленгликоль, тетрапропиленгликоль или полиэтиленгликоль или полипропиленгликоль, с молекулярными массами в диапазоне примерно от 100 до 500, предпочтительно примерно от 200 до 400, более предпочтительно примерно от 200 до 300, с перхлоратными солями, например NaClO4 или Ва(ClO4)2 или Са(ClO4)2, в качестве эффективных термостабилизаторов для ПВХ. Эти два компонента стабилизатора при стабилизации ПВХ дают сильный синергический эффект. В данном изобретении используют не содержащие азота органические промежуточные соединения, такие как полиэтиленгликоль, и небольшое количество перхлората металла, например перхлората натрия, для термической стабилизации ПВХ, что исключает присутствие ионов тяжелых металлов в этих стабилизаторах. Данный подход позволяет избежать использования основных и/или слабоосновных органических химических веществ, содержащих азот, таких как амины, которые вносят вклад в деструкцию ПВХ. В отличие от других стабилизаторов ПВХ на органической основе эти стабилизаторы имеют высокую эффективность, эквивалентную эффективности некоторых промышленных стандартных смешанных металлических стабилизаторов на основе солей бария/цинка или кальция/цинка или даже превосходящую ее. Более конкретно, в данном изобретении предложен способ стабилизации галогенсодержащего полимера, включающий добавление к указанному полимеру термостабилизирующего количества смеси, включающей: А) по меньшей мере один полиалкиленгликоль общей формулы:
или
или
где R1, R2 и R5 независимо выбраны из группы, состоящей из водорода, алкила, гидроксила, гидроксиалкила, тиола и тиоалкила; R3 и R4 независимо выбраны из группы, состоящей из водорода, алкила и ацила; n представляет собой целое число от 1 до 20; m равно 3, и три заместителя Р могут быть одинаковыми или различными; и Б) по меньшей мере одну соль металла и сильной кислоты, выбранной из группы, состоящей из хлорной кислоты, трифторуксусной кислоты, трифторметансульфоновой кислоты, алкилсерной кислоты, фосфорновольфрамовой кислоты, HPF6, HBF4 и HSbF6. В другом варианте выполнения в данном изобретении предложена термостойкая полимерная композиция, включающая галогенсодержащий полимер и термостабилизирующее количество смеси, содержащей: А) по меньшей мере один полиалкиленгликоль общей формулы:
или
или
где R1, R2 и R5 независимо выбраны из группы, состоящей из водорода, алкила, гидроксила, гидроксиалкила, тиола или тиоалкила; R3 и R4 независимо выбраны из группы, состоящей из водорода, алкила и ацила; n представляет собой целое число от 1 до 20; m равно 3, и три заместителя Р могут быть одинаковыми или различными; и Б) по меньшей мере одну соль металла и сильной кислоты, выбранной из группы, состоящей из хлорной кислоты, трифторуксусной кислоты, трифторметансульфоновой кислоты, алкилсерной кислоты, фосфорновольфрамовой кислоты, HPF6, HBF4 и HSbF6. Описание предпочтительных вариантов выполнения В данном изобретении предложен способ стабилизации галогенсодержащего полимера, включающий добавление к указанному полимеру термостабилизирующего количества смеси, включающей: А) по меньшей мере один полиалкиленгликоль общей формулы:
или
или
где R1, R2 и R5 независимо выбраны из группы, состоящей из водорода, алкила, гидроксила, гидроксиалкила, тиола или тиоалкила; R3 и R4 независимо выбраны из группы, состоящей из водорода, алкила и ацила; n представляет собой целое число от 1 до 20; m равно 3, и три заместителя Р могут быть одинаковыми или различными; и Б) по меньшей мере одну соль металла и сильной кислоты, выбранной из группы, состоящей из хлорной кислоты, трифторуксусной кислоты, трифторметансульфоновой кислоты, алкилсерной кислоты, фосфорновольфрамовой кислоты, HPF6, HBF4 и HSbF6. Можно использовать смеси данных соединений. Если любая из функциональных групп R1, R2, R3, R4 или R5 представляет собой алкил, то предпочтительно она представляет собой алкил с количеством атомов углерода от 1 до 20, например метил, этил, пропил, бутил, пентил, гексил, гептил, октил, нонил, децил, ундецил, додецил, тридецил, тетрадецил, пентадецил, гексадецил, гептадецил, октадецил, нонадецил, эйкозил, изомеры вышеприведенных групп и т.п. Если любая из функциональных групп R1, R2, R3, R4 или R5 представляет собой гидроксиалкил или тиоалкил, то они могут, например, представлять собой гидроксиметил, тиометил и т.п. Если R3 и/или R4 представляют собой ацил, то предпочтительно это ацил с количеством атомов углерода от 1 до 20, например формил, ацетил, капроил, лаурил, пальмитоил, стеарил, миристил, олеил, линолеил, пальмитоил, бутирил, рицинолеил, этилгексаноил, цитрил и т.п. Предпочтительные примеры полиалкиленгликолей, применимых в данном изобретении, включают триэтиленгликоль, тетраэтиленгликоль, пентаэтиленгликоль, гексаэтиленгликоль, гептаэтиленгликоль, трипропиленгликоль, тетрапропиленгликоль и полиэтиленгликоль или полипропиленгликоль с молекулярными массами в диапазоне примерно от 100 до 500. Дополнительные пригодные полиалкиленгликоли включают полиглицерины, такие как диглицерин, триглицерин, тетраглицерин, пентаглицерин, гексаглицерин, гептаглицерин, октаглицерин, декаглицерин, трис(дипропиленгликоль)фосфит, трис(трипропиленгликоль)фосфит, трис(тетрапропиленгликоль)фосфит, трис(диэтиленгликоль)фосфит, трис(триэтиленгликоль)фосфит, трис(тетраэтиленгликоль)фосфит и т.п. Количество полиалкиленгликоля, присутствующего для стабилизации в этих композициях на основе хлорсодержащего полимера, преимущественно составляет от 0,01 до 10 массовых частей, предпочтительно от 0,05 до 5 массовых частей, более предпочтительно от 0,1 до 2 массовых частей, в расчете на 100 массовых частей ПВХ. Предпочтительно, чтобы катионом в соли сильной кислоты был ион щелочного металла или щелочноземельного металла, например натрия, калия, лития, рубидия, цезия, кальция, магния, стронция, бария и т.п. Предпочтительными являются соли натрия, калия и кальция. Более предпочтительными являются NaClO4, Ca(ClO4)2, трифторметансульфонат натрия, NaPF6, NaBF4, NaSbF6, додецилсульфат натрия, трифторацетат натрия и гидрат натриевой соли фосфорновольфрамовой кислоты. Особенно предпочтительными для применения в практике данного изобретения являются соли хлорной кислоты. Примерами таких солей являются соли формулы M(ClO4)m, где М представляет собой Li, Na, Mg, K, Са, Sr, Ba, Zn, Al, La, Cs или Се, a m равно 1, 2 или 3, в зависимости от валентности М. Можно использовать эти перхлоратные соли в их различных обычно встречающихся формах, например в виде соли или в виде раствора в воде или в органическом растворителе, сами по себе или адсорбированные на подложке, такой как ПВХ, силикат Са, цеолиты или гидроталькиты. Примерами этого являются перхлоратные соли, переведенные в комплекс или растворенные с использованием спиртов (полиолов, циклодекстринов) или с использованием простых или сложных эфироспиртов. Другие варианты выполнения описаны в ЕР 0394547, ЕР 0457471 и WO 94/24200. Наиболее предпочтительными являются перхлорат натрия, перхлорат калия и перхлорат кальция. Примерами применяемых количеств перхлоратных соединений являются от 0,001 до 5 массовых частей, преимущественно от 0,01 до 3 массовых частей, особенно предпочтительно от 0,01 до 2 массовых частей, в расчете на 100 массовых частей ПВХ. Данное изобретение предусматривает также комбинации описанных выше стабилизирующих систем с по меньшей мере одной иной обычной добавкой или стабилизатором. Предпочтение отдают полиолам и/или спиртам дисахаридов, глицидиловым соединениям, гидроталькитам, цеолитам (алюмосиликатам щелочных металлов и алюмосиликатам щелочноземельных металлов), наполнителям, металлическим мылам, соединениям щелочных металлов и щелочноземельных металлов, таким как оксиды и гидроксиды, смазкам, пластификаторам, фосфитам, пигментам, эпоксидированным сложным эфирам жирных кислот и другим эпоксисоединениям, антиоксидантам, поглотителям УФ и светостабилизаторам, оптическим просветлителям и порообразователям (вспенивающим агентам). Особенное предпочтение отдают эпоксидированным соевым маслам, мылам на основе щелочноземельных металлов или алюминия и фосфатам. Особенное предпочтение отдают тем компонентам, которые пригодны для получения продуктов, безопасных в физиологическом отношении. Примеры дополнительных компонентов этого типа перечислены и пояснены ниже (ср. Handbook of PVC Formulating, E.J.Wickson, John Wiley & Sons, Нью-Йорк, 1993 и Synoptic Document (Сводный документ) #7, Научный Комитет по пищевым продуктам (Scientific Committee for Food, SCF)-EU). 1. Полиолы и спирты дисахаридов. Примерами возможных соединений этого типа являются глицерин, пентаэритрит, дипентаэритрит, трипентаэритрит, триметилолэтан, бис(триметилолпропан), поливиниловый спирт, бис(триметилолэтан), триметилолпропан, сахара и спирты сахаров. Среди них предпочтительными являются пентаэритрит, триметилолпропан, сорбит и спирты дисахаридов, такие как мальбит, лактит, целлобиитол и палатинит. Можно также использовать сиропы полиолов, такие как сироп сорбита, сироп маннита и сироп мальтита. Эти полиолы обычно используют в количествах от 0,01 до 20 массовых частей, преимущественно от 0,1 до 20 массовых частей, в частности от 0,1 до 10 массовых частей, в расчете на 100 массовых частей ПВХ. 2. Соединения глицидила. Они содержат группу глицидила:
связанную непосредственно с атомами углерода, кислорода, азота или серы, в которой либо R5 и R7 представляют собой водород, R6 представляет собой водород или метил и n=0, либо R5 и R7 вместе представляют собой -СН2-СН2– или -СН2-СН2-СН2-, R6 тогда представляет собой водород, а n равно 0 или 1. Предпочтительно использовать соединения глицидила, имеющие две функциональные группы. Однако в принципе можно также использовать соединения глицидила, имеющие одну, три или более функциональных групп. Преимущественно используют диглицидиловые соединения, имеющие ароматические группы. Примером используемой эпоксидной смолы является GY-250 (Ciba Specialty Chemicals, Tarrytown, NY), продукт реакции бисфенола А с эпихлоргидрином, со средней молекулярной массой Используемое количество соединений с концевыми эпоксигруппами составляет предпочтительно по меньшей мере 0,1 часть, предпочтительно от 0,1 до 50 массовых частей, преимущественно от 1 до 30 массовых частей и особенно от 1 до 25 частей, в расчете на 100 массовых частей ПВХ. 3. Гидроталькиты. Химический состав этих соединений известей специалистам, например, из DE 3843582, US 4000100, ЕР 0062813 и WO 93/20135. Соединения из ряда гидроталькитов можно описать следующей общей формулой: М2+ где M2+ = один или более из металлов, выбранных из группы, состоящей из Mg, Са, Sr, Zn и Sn; М3+ = Al или В; А представляет собой анион; b представляет собой число от 1 до 2; 0<х<0,5; и d представляет собой число от 0 до 20. Предпочтение отдают соединениям с А=ОН–, ClO4 4. Цеолиты (алюмосиликаты щелочных металлов и/или щелочноземельных металлов). Их можно описать следующей общей формулой: Mx/n[(AlO2)x(SiO2)y]·wH2O, где n – заряд катиона M; М – щелочной или щелочноземельный металл, такой как Li, Na, K, Mg, Са, Sr или Ва; у : х представляет собой число от 0,8 до 15, предпочтительно от 0,8 до 1,2; и w представляет собой число от 0 до 300, предпочтительно от 0,5 до 30. Гидроталькиты и/или цеолиты можно использовать в количествах, например, от 0,1 до 20 массовых частей, целесообразно от 0,1 до 10 массовых частей, в частности от 0,1 до 5 массовых частей, в расчете на 100 массовых частей галогенсодержащего полимера. 5. Наполнители. Можно использовать наполнители, такие как карбонат кальция, доломит, волластонит, оксид магния, гидроксид магния, силикаты, силикат кальция, каолин, тальк, стеклянные волокна, стеклянные шарики, древесная мука, слюда, оксиды или гидроксиды металлов, сажа, графит, каменная мука, тяжелый шпат, белая глина и мел. Предпочтение отдают мелу (Handbook of PVC Formulating, E.J.Wickson, John Wiley & Sons, Inc., 1993, стр.393-449) и усиливающим агентам (Taschenbuch der Kunststoffadditive [Plastics Additives Handbook], R.Gachter & H.Miller, Carl Hanser, 1990, стр.549-615). Эти наполнители можно использовать в количестве по меньшей мере одной массовой части, например от 5 до 200 массовых частей, целесообразно от 10 до 150 массовых частей, в частности от 15 до 100 массовых частей, в расчете на 100 массовых частей ПВХ. 6. Металлические мыла. Металлические мыла представляют собой главным образом соли металлов и карбоновых кислот, предпочтительно карбоновых кислот с относительно длинной цепью. Хорошо известными примерами их являются стеараты, олеаты, пальмитаты, рицинолеаты, гидроксистеараты, дигидроксистеараты, лаураты, олеаты и соли алифатических или ароматических карбоновых кислот с относительно короткой цепью, например уксусной кислоты, пропионовой кислоты, масляной кислоты, валериановой кислоты, гексановой кислоты, сорбиновой кислоты, щавелевой кислоты, малоновой кислоты, малеиновой кислоты, антраниловой кислоты, янтарной кислоты, глутаровой кислоты, адипиновой кислоты, фумаровой кислоты, лимонной кислоты, бензойной кислоты, салициловой кислоты, фталевых кислот, гемимеллитовой кислоты, тримеллитовой кислоты и пиромеллитовой кислоты. Металлами обычно являются Li, Na, K, Mg, Ca, Sr, Ba, Zn, Al, La, Ce и редкоземельные металлы. Часто используют так называемые синергические смеси, такие как стабилизаторы барий/цинк, стабилизаторы магний/цинк, стабилизаторы кальций/цинк или стабилизаторы кальций/магний/цинк. Металлические мыла можно использовать как сами по себе, так и в смесях. Обзор по обычным металлическим мылам имеется в Ullmann’s Encyclopedia of Industrial Chemistry, 5-е издание, том А16 (1985), с.361 и далее. Металлические мыла и их смеси можно использовать в количествах, например, от 0,001 до 10 массовых частей, целесообразно от 0,01 до 8 массовых частей, особенно предпочтительно от 0,05 до 5 массовых частей, в расчете на 100 массовых частей ПВХ. 7. Соединения щелочных и щелочноземельных металлов. Для целей данного изобретения они представляют собой в основном соли описанных выше карбоновых кислот, но также и соответствующие им оксиды или соответственно гидроксиды или карбонаты. Возможны также смеси этих веществ с органическими кислотами. Примерами являются LiOH, NaOH, KOH, СаО, Са(ОН)2, MgO, Mg(ОН)2, Sr(OH)2, Al(ОН)3, СаСО3 и MgCO3 (и основные карбонаты, такие как белая магнезия и хунтит), а также натриевые и калиевые соли жирных кислот. В случае солей карбоновых кислот и щелочноземельных металлов и Zn, возможно также использовать их аддукты с МО или M(OH)2 (М=Са, Mg, Sr или Zn), так называемые сверхосновные соединения. В дополнение к стабилизаторам согласно данному изобретению предпочтительно использовать соли карбоновых кислот и щелочных металлов, соли карбоновых кислот и щелочноземельных металлов и/или соли карбоновых кислот и алюминия. Некоторые соли щелочноземельных металлов и карбоновых кислот дают синергетический эффект при использовании совместно с системой полиалкиленгликоль/перхлорат, увеличивая время стабилизации и улучшая цвет ПВХ. Стеарат кальция, который используют в качестве смазки (см. ниже), улучшает поведение стабилизатора, но можно использовать и другие соли щелочноземельных металлов и карбоновых кислот (см. пример 6), включая кальциевые или магниевые соли органических кислот, таких как муравьиная кислота, уксусная кислота, пропионовая, бензойная, молочная, лимонная, левулиновая, янтарная, винная, глюконовая, 2-этилмасляная, фенолсульфоновая, щавелевая, тиогликолевая и т.п. Комплексы щелочноземельного металла и органических кислот и 8. Смазки. Примерами возможных смазок являются жирные кислоты, жирные спирты, горный воск, эфиры жирных кислот, полиэтиленовые воски, амидные воски, хлорпарафины, сложные эфиры глицерина, мыла щелочноземельных металлов, жирные кетоны, а также смазки или сочетания смазок, перечисленных в ЕР 0259783. Предпочтительными являются стеариновая кислота, сложные эфиры стеариновой кислоты и стеарат кальция. 9. Пластификаторы. Примерами органических пластификаторов являются пластификаторы из следующих групп и их смесей. A) Фталаты, например ди-2-этилгексил-, диизононил- и диизодецилфталат, известные также под общепринятыми аббревиатурами ДОФ (диоктилфталат, ди-2-этилгексилфталат), ДИНФ (диизононилфталат), ДИДФ (диизодецилфталат) и ди(н-С9-C12) фталаты. B) Сложные эфиры алифатических двухосновных карбоновых кислот, в частности сложные эфиры адипиновой, азелаиновой или себациновой кислоты, предпочтительно ди-2-этилгексиладипат и диизооктиладипат. C) Сложные эфиры тримеллитовой кислоты, такие как три-2-этилгексилтримеллитат, триизодецилтримеллитат (смесь), триизотридецилтримеллитат, триизооктилтримеллитат (смесь) и три-С6-С8-алкил-, три-С6-С10-алкил-, три-С7-С9-алкил- и три-С9-С11-алкилтримеллитат. Общепринятыми аббревиатурами являются ТОТМ (триоктилтримеллитат, три-2-этилгексилтримеллитат), ТИДТМ (триизодецилтримеллитат) и ТИТДТМ (триизотридецилтримеллитат). D) Эпоксидные пластификаторы, например эпоксидированные ненасыщенные жирные кислоты, такие как эпоксидированное соевое масло. Е) Полимерные пластификаторы: наиболее распространенными исходными материалами для получения полиэфирных пластификаторов являются дикарбоновые кислоты, такие как адипиновая, фталевая, азелаиновая или себациновая кислота, и диолы, такие как 1,2-пропандиол, 1,3-бутандиол, 1,4-бутандиол, 1,6-гександиол, неопентилгликоль и диэтиленгликоль. F) Эфиры фосфорной кислоты: определение этих эфиров дано в Taschenbuch der Kunststoffadditive, см.выше, глава 5.9.5, с.408-412. Примерами этих эфиров фосфорной кислоты являются трибутилфосфат, три-2-этилбутилфосфат, три-2-этилгексилфосфат, трихлорэтилфосфат, 2-этилгексилдифенилфосфат, крезилдифенилфосфат, трифенилфосфат, трикрезилфосфат и триксиленилфосфат. G) Хлорированные углеводороды (парафины). Н) Углеводороды. I) Сложные моноэфиры, например бутилолеат, феноксиэтилолеат, тетрагидрофурфурилолеат и алкилсульфонаты. J) Сложные эфиры гликолей, например дигликольбензоаты. K) Сложные эфиры лимонной кислоты. Определение этих пластификаторов и их примеры даны в Kunststoffadditive [Plastic Additives], R.Gachter / H.Muller, Carl Hanser Verlag, 3rd Ed., 1989, глава 5.9.6, с.412-415 и в PVC Technology, W.V.Titow, 4th ed., Elsevier Publ., 1984, c.165-170. Можно использовать также смеси различных пластификаторов. Пластификаторы можно использовать в количествах, например, от 5 до 20 массовых частей, целесообразно от 10 до 20 массовых частей, в расчете на 100 массовых частей ПВХ. Жесткие или полужесткие ПВХ содержат до 10%, предпочтительно до 5% пластификатора или не содержат пластификатора. 10. Пигменты. Подходящие вещества известны специалистам. Примеры неорганических пигментов включают TiO2, пигменты на основе оксида циркония, BaSO4, оксид цинка (цинковые белила) и сернистые (литопонные) белила (сульфид цинка/сульфат бария), углеродную сажу, смесь углеродной сажи с диоксидом титана, пигменты на основе оксида железа, Sb2О3, (Ti, Ba, Sb)O2, Cr2O3, шпинели, такие как кобальтовый синий и кобальтовый зеленый, Cd(S, Se) и ультрамариновый синий. Примеры органических пигментов включают азопигменты, фталоцианиновые пигменты, хинакридоновые пигменты, периленовые пигменты, дикетопирролпирроловые пигменты и антрахиноновые пигменты. Предпочтительным является TiO2 в микронизированной форме. Также можно использовать смеси различных пигментов. Определения и более полные описания имеются в Handbook of PVC Formulating, E.J.Wickson, John Wiley & Sons, New York, 1993. 11. Фосфиты (триэфиры фосфористой кислоты). Органические фосфиты являются известными совместными (дополнительными) стабилизаторами хлорсодержащих полимеров. Они ведут себя как синергические совместные стабилизаторы, если их используют с описанной здесь системой полиалкиленгликоль/перхлорат (как в нижеприведенных примерах, и особенно в примере 5). Примерами их являются триоктил-, тридецил-, тридодецил-, тритридецил-, трипентадецил-, триолеил-, тристеарил-, трифенил-, трикрезил-, трис(нонилфенил)-, трис(2,4-трет-бутилфенил)- и трициклогексилфосфит. Другими подходящими фосфитами являются различные смешанные арилдиалкил- или алкилдиарилфосфиты, такие как фенилдиоктил-, фенилдидецил-, фенилдидодецил-, фенилдитридецил-, фенил- и глицидилметакрилат в виде гомо- или сополимера. Эти эпоксидные соединения можно также применить к соединению алюмосолей (см. DE-A-4031818). Примерами коммерческих продуктов являются Weston EHDP, Weston PDDP, Weston DPDP и Weston 430. Если используемым полиалкиленгликолем является полиалкиленгликольфосфит, нет необходимости иметь в системе дополнительный фосфит, так как полиалкиленгликоль ведет себя как многофункциональная добавка, обеспечивающая функциональные группы как полиалкиленгликоля, так и фосфита (см., например, пример 9). Очень важным преимуществом данного изобретения является то, что в некоторых случаях, путем тщательного и разумного регулирования ингредиентов, можно вообще избежать использования фосфита. Таким образом был получен не содержащий фосфита стабилизатор, который обеспечивает прекрасную термостабилизацию ПВХ (пример 11). Предпочтительные количества используемых фосфитных соединений составляют от 0 до 50 массовых частей, более предпочтительно от 0 до 30, в частности от 0 до 25 массовых частей, в расчете на 100 массовых частей ПВХ. 12. Антиоксиданты. Примеры включают алкилированные монофенолы, например 2,6-ди-трет-бутил-4-метилфенол, алкилтиометилфенолы, например 2,4-диоктилтиометил-6-трет-бутилфенол, алкилированные гидрохиноны, например 2,6-ди-трет-бутил-4-метоксифенол, гидроксилированные тиодифениловые эфиры, например 2,2′-тиобис(6-трет-бутил-4-метилфенол), алкилиденбисфенолы, например 2,2′-метиленбис(6-трет-бутил-4-метилфенол), бензиловые соединения, например 3,5,3′,5′-тетра-трет-бутил-4,4′-дигидроксидибензиловый эфир, гидроксибензилированные малонаты, например диоктадецил-2,2-бис(3,5-ди-трет-бутил-2-гидроксибензил)малонат, гидроксибензиловые ароматические соединения, например 1,3,5-трис(3,5-ди-трет-бутил-4-гидроксибензил)-2,4,6-триметилбензол, триазиновые соединения, например 2,4-бисоктилмеркапто-6-(3,5-ди-трет-бутил-4-гидроксианилино)-1,3,5-триазин, фосфонаты и фосфониты, например диметил-2,5-ди-трет-бутил-4-гидроксибензилфосфонат, ациламинофенолы, например 4-гидроксилауранилид, сложные эфиры Промышленные примеры включают Naugard® 10, Naugard 76, Naugard BHT, Naugard 45 и АО 30. Примерами используемых количеств антиоксидантов являются от 0,01 до 10 массовых частей, преимущественно от 0,1 до 10 массовых частей, в частности от 0,1 до 5 массовых частей, в расчете на 100 масовых частей ПВХ. 13. Поглотители УФ-излучения и светостабилизаторы. Примеры включают 2-(2′-гидроксифенил)бензотриазолы, например 2-(2′-гидрокси-5′-метилфенил)бензотриазол, 2-гидроксибензофеноны, сложные эфиры незамещенных или замещенных бензойных кислот, такие как 4-трет-бутилфенилсалицилат, фенилсалицилат, акрилаты, соединения никеля, оксаламиды, например 4,4′-диоктилоксиоксанилид, 2,2′-диоктилокси-5,5′-ди-трет-бутилоксанилид, 2-(2-гидроксифенил)-1,3,5-триазины, такие как 2,4,6-трис(2-гидрокси-4-октилоксифенил)-1,3,5-триазин, 2-(2-гидрокси-4-октилоксифенил)-4,6-бис(2,4-диметилфенил)-1,3,5-триазин, стерически затрудненные амины, такие как бис(2,2,6,6-тетра-метилпиперидин-4-ил)-себацинат и бис(2,2,6,6-тетра-метилпиперидин-4-ил)сукцинат. Также можно использовать смеси этих поглотителей УФ-излучения и/или светостабилизаторов. 14. Вспенивающие агенты (порообразователи). Примерами порообразователей являются органические азосоединения и органические гидразосоединения, тетразолы, оксазины, изатоевый ангидрид (N-карбоксиантраниловой кислоты), а также сода и бикарбонат натрия. Предпочтение отдают азодикарбонамиду и бикарбонату натрия и их смесям. 15. Модификаторы ударопрочности и другие добавки. Определения и примеры модификаторов, способствующих ударопрочности, а также технологических добавок, гелеобразующих агентов, антистатиков, биоцидов, дезактиваторов металлов, оптических просветлителей, огнезащитных составов, противовуалирующих агентов и добавок, обеспечивающих совместимость, приведены в Kunststoffadditive, R.Gachter / H.Mulier, Carl Hanser Verlag, 3-е и 4-е издания, 1989 и 2001, в Handbook of Polyvinyl Chloride Formulating (Справочник по составлению рецептур поливинилхлорида), E.J.Wilson, J. Wiley & Sons, 1993 и в Plastics Additives (Добавки к пластмассам), G.Pritchard, Chapman & Hall, Лондон, 1-е изд., 1998. Добавки, способствующие ударопрочности, также описаны подробно в книге Impact Modifiers for PVC (Модификаторы ударопрочности для ПВХ), J.T.Lutz / D.L.Dunkelberger, John Wiley & Sons, 1992. 16. Алканоламины. Алканоламины и перхлоратные соли (WO 02/48249 А2), а также другие стабилизаторы на органической основе (СОО), такие как некоторые производные урацила (см. патент США Можно использовать одну или более добавок и/или их смеси. Дополнительные добавки, такие как соединения глицидила, фосфаты, гидроталькиты, цеолиты и соединения щелочных и щелочноземельных металлов, а также эпоксидированные эфиры жирных кислот используют в количестве от 0,01 до 15 массовых частей, предпочтительно от 0,1 до 10 массовых частей, в особенности от 2 до 3 массовых частей. Примеры хлорсодержащих полимеров, предназначенных для стабилизации, включают поливинилхлорид, поливинилиденхлорид, виниловые смолы, структура которых содержит звенья винилхлорида, такие как сополимеры винилхлорида и виниловых эфиров алифатических кислот, в частности винилацетат, сополимеры винилхлорида с эфирами акриловой или метакриловой кислоты и с акрилонитрилом, сополимеры винилхлорида с диеновыми соединениями и с ненасыщенными дикарбоновыми кислотами или их ангидридами, такие как сополимеры винилхлорида с диэтилмалеатом, диэтилфумаратом или малеиновым ангидридом, хлорированные впоследствии полимеры и сополимеры винилхлорида, сополимеры винилхлорида и винилиденхлорида с ненасыщенными альдегидами, кетонами и другими соединениями, такими как акролеин, кротоновый альдегид, винилметилкетон, винилметиловый эфир, винилизобутиловый эфир и т.п.; полимеры винилиденхлорида и его сополимеры с винилхлоридом и с другими способными к полимеризации соединениями; полимеры винилхлорацетата и дихлордивинилового эфира; хлорированные полимеры винилацетата, хлорированные полимерные эфиры акриловой кислоты и полимеры хлорированных стиролов, например дихлорстирола; хлорированные каучуки; хлорированные полимеры этилена; полимеры или впоследствии хлорированные полимеры хлорбутадиена и их сополимеры с винилхлоридом, хлорированные натуральные или синтетические каучуки, а также смеси указанных полимеров друг с другом или с другими способными к полимеризации соединениями; и сополимеры со способными к полимеризации соединениями, такими как акрилонитрил, винилацетат или АБС, которые могут представлять собой полимеры, полученные полимеризацией в суспензии, в массе или в эмульсии. Предпочтение отдают гомополимерам ПВХ и их комбинациям с полиакрилатами. Другими возможными полимерами являются графт-полимеры ПВХ с ЭВА, АБС или МБС. Другими предпочтительными субстратами являются смеси вышеупомянутых гомо- и сополимеров, особенно гомополимеров винилхлорида, с другими термопластичными и/или эластомерными полимерами, особенно смеси с АБС, МБС, АНБ, САН, ЭВА, СПЭ, МБАС, пМА, ПММА, ЭПДК или с полилактонами, особенно из группы, состоящей из АБС, АНБ, AHA, САН и ЭВА. Аббревиатуры, используемые для сополимеров, известны специалистам и имеют следующие значения: АБС: акрилонитрил-бутадиенстирольный; САН: стирол-акрилонитрильный; АНБ: акрилонитрил-бутадиеновый; AHA: акрилонитрил-акрилатный; и ЭВА: этилен-винилацетатный. Другими возможными полимерами являются, в частности, стирол-акрилонитрильные сополимеры на основе акрилата (АСА). Предпочтительным компонентом в данном контексте является полимерная композиция, которая включает в качестве компонентов (i) и (ii) смесь 25-75% мас. ПВХ и 75-25% мас. упомянутых сополимеров. Компонентами особенного значения являются композиции, изготовленные из (i) 100 массовых частей ПВХ и (ii) 0-300 массовых частей АБС и/или САН-модифицированного АБС и 0-80 массовых частей сополимеров АНБ, AHA и/или ЭВА, но особенно ЭВА. Для целей данного изобретения возможно также стабилизировать рециклированные материалы хлорсодержащих полимеров, а конкретно полимеры, более подробно описанные выше, которые подверглись деструкции при переработке, использовании или хранении. Можно использовать рециклированный материал из ПВХ. Соединения, которые можно сопутствующим образом использовать согласно данному изобретению, и хлорсодержащие полимеры хорошо известны специалистам и подробно описаны в Kunststoffadditive (см. выше), в DE 19741773 и в ЕР-А 99105418.0, которые включены сюда путем ссылок. Стабилизация согласно данному изобретению также дает преимущества для жестких составов ПВХ как для прозрачных, так и непрозрачных, обычно применяемых для производства труб, профилей и листов. Эта стабилизация является особенно полезной для полужестких и гибких составов, а также в пластизолях. Эта стабилизация не требует соединений тяжелых металлов (Sn стабилизаторы, Pb стабилизаторы, Cd стабилизаторы, Zn стабилизаторы) и в высокой степени применима для получения физиологически приемлемых потребительских продуктов из ПВХ, включая продукты для медицинского использования. Системы стабилизации преимущественно могут быть введены следующими способами: в виде эмульсии или дисперсии; в виде сухой смеси при смешивании добавленных компонентов или смесей полимеров; в абсорбированном наполнителями, например силикатом кальция, виде в качестве одноупаковочной твердой стабилизирующей системы; путем непосредственного добавления в аппарат для переработки (например, каландр, смеситель, мешалку, пластикатор, экструдер или подобные им устройства) либо в виде раствора или расплава, либо соответственно хлопьев или таблеток в непылящей форме в виде одной упаковки. Стабилизированный согласно данному изобретению ПВХ, который также предлагает данное изобретение, можно получить известным способом, используя известное оборудование, например, такое как вышеупомянутая установка для переработки, для смешивания с ПВХ стабилизирующей системы согласно данному изобретению и, если это желательно, других добавок. Здесь стабилизаторы можно добавить индивидуально или в смеси, или же в форме, известной под названием маточная смесь. ПВХ, стабилизированному, как указано в данном изобретении, можно придать желаемую форму известным способом. Примерами способов этого типа являются размол, каландрирование, экструдирование, литье под давлением, прядение, а также экструзионное раздувание. Стабилизированный ПВХ можно также перерабатывать с получением пены. ПВХ, стабилизированный согласно данному изобретению, является особенно пригодным, например, для полых изделий (бутылей), упаковочной пленки (термоформованной пленки), пленок, полученных экструзией с раздувом, труб, вспененных материалов, тяжелых профилей (оконных рам), профилей светопропускающих стен, конструкционных профилей, сайдингов, фиттингов, офисных панелей и корпусов приборов (компьютеров, бытовых устройств). Его можно также использовать в отливках из жесткого вспененного ПВХ и ПВХ-трубках, например, для питьевой воды или сточной воды, трубах, работающих под давлением, газовых трубах, трубах для размещения кабелей и трубах, защищающих кабели, трубах для промышленных трубопроводов, водосточных трубах, сточных трубах, дренажных трубах и канализационных трубах. Более подробную информацию по этому поводу см. в Kunstoffhandbuch PVC, том 2/2, W.Becker / H.Braun, 2-е издание, 1985, Carl Hanser Verlag, с.1236-1277. Преимущества и важные характеристики данного изобретения станут более явными из следующих примеров. Пример 1 Статическая термостабильность Каландрируемый состав Смесь на основе ПВХ подвергают обработке на вальцах в течение 3 минут при 170°С. Из полученных листов нарезают полосы и нагревают их в печи Матиса (Mathis) при 190°С. Их извлекают из печи со скоростью 2 мм/мин и замеряют красный, зеленый и синий (RGB) индексы с помощью сканера с использованием программного обеспечения FloScan (Dr.Stapfer GmbH, Германия). На основе этих значений рассчитывают, как это описано ранее, экстинкцию коэффициента отражения, Еrgb, которая пропорциональна молярной концентрации двойных связей (Bacaloglu R. et al., J. Vinyl Additive Technol., 5:206 (1999)). Деструкция ПВХ прямо пропорциональна этой величине Еrgb, то есть чем выше значения Еrgb, тем выше уровень деструкции ПВХ. Для полупрозрачных или прозрачных полос значения Еrgb нормализуются по их толщине. В состав контрольного образца (состав 4) входит коммерческий Ba/Zn стабилизатор. Количества добавок в таблице приведены в частях на сто частей полимера.
Тесты на прозрачность проводили на отполированных под давлением пластинах; получены следующие результаты:
Пример 2 Каландрируемый состав Методика и условия эксперимента были такими же, как в примере 1.
Пример 3 Каландрируемый состав Методика и условия эксперимента были такими же, как в примере 1.
Пример 4 Каландрируемый состав Методика и условия эксперимента были такими же, как в примере 1.
Пример 5 Каландрируемый состав Методика и условия эксперимента были такими же, как в примере 1.
Пример 6 Методика и условия эксперимента были такими же, как в примере 1.
Пример 7 Каландрируемый состав Методика и условия эксперимента были такими же, как в примере 1.
Пример 8 Каландрируемый состав Методика и условия эксперимента были сходны с приведенными в примере 1. Hexapol G-3 и Hexapol G-6 представляют собой коммерческие триглицерин и гексаглицерин соответственно, приобретенные у Hexagon Enterprises, Inc., Mountain Lakes, Нью-Джерси. Их примерный состав является следующим:
Пример 9 Каландрируемый состав Методика и условия эксперимента были сходными с указанными в примере 1. Трис(дипропиленгликоль)фосфит получен от Crompton Corporation, Morgantown, Западная Вирджиния под торговым наименованием Weston® 430.
Пример 10 Каландрируемый состав Методика и условия эксперимента были сходными с указанными в примере 1.
Пример 11 Состав пластизоля Нижеследующие составы пластизоля смешивают с указанными стабилизаторами (50, 51, 52 и 53), деаэрируют, а затем выливают на металлическую плиту толщиной 25 миллидюймов (0,635 мм). Гелеобразование проводят при 204°С в течение 3 минут. Тесты на стабильность проводят в печи при 204°С с образцами, извлекаемыми с 2-минутными интервалами. Указаны значения индекса желтизны (YI).
Ввиду многочисленных изменений и модификаций, которые можно сделать, не отходя от принципиальных основ данного изобретения, объем защиты данного изобретения определяется прилагаемой формулой изобретения.
Формула изобретения
1. Способ стабилизации поливинилхлорида, включающий добавление к указанному поливинилхлориду термостабилизирующего количества смеси, содержащей: 2. Способ по п.1, в котором полиалкиленгликоль выбран из группы, состоящей из тетраэтиленгликоля, тетрапропиленгликоля и тетраглицерина. 3. Способ по п.1, в котором смесь включает также по меньшей мере одну дополнительную добавку или стабилизатор. 4. Способ по п.3, в котором дополнительную добавку или стабилизатор выбирают из группы, состоящей из полиолов, дксахаридных спиртов, глицидиловых соединений, гидроталькитов, цеолитов, наполнителей, металлических мыл, соединений щелочных и щелочноземельных металлов, смазок, пластификаторов, фосфитов, пигментов, эпоксидных соединений, антиоксидантов, поглотителей УФ-излучения, светостабилизаторов, оптических просветлителей и вспенивающих агентов. 5. Способ по п.1, в котором стабилизатор не содержит фосфита. 6. Способ по п.1, в котором стабилизатор не содержит аминов. 7. Способ по п.1, в котором указанный по меньшей мере один полиалкиленгликоль имеет молекулярную массу в диапазоне от 100 до 500. 8. Термостойкая полимерная композиция, включающая поливинилхлорид и термостабилизирующее количество смеси, включающей: 9. Композиция по п.8, в которой полиалкиленгликоль представляет собой тетраэтиленгликоль. 10. Композиция по п.8, в которой смесь включает также по меньшей мере одну дополнительную добавку или стабилизатор. 11. Композиция по п.10, в которой дополнительная добавка или стабилизатор выбрана из группы, состоящей из полиолов, дисахаридных спиртов, глицидиловых соединений, гидроталькитов, цеолитов, наполнителей, металлических мыл, соединений щелочных металлов и щелочноземельных металлов, смазок, пластификаторов, фосфитов, пигментов, эпоксидных соединений, антиоксидантов, поглотителей УФ-излучения, светостабилизаторов, оптических просветлителей и вспенивающих агентов. 12. Композиция по п.8, в которой стабилизатор не содержит фосфита. 13. Композиция по п.8, в которой стабилизатор не содержит аминов. 14. Композиция по п.8, в которой указанный по меньшей мере один полиалкиленгликоль имеет молекулярную массу в диапазоне от 100 до 500.
|
|||||||||||||||||||||||||||||||||||||||||||||||||||||||||||||||||||||||||||||||||||||||||||||||||||||||||||||||||||||||||||||||||||||||||||||||||||||||||||||||||||||||||||||||||||||||||||||||||||||||||||||||||||||||||||||||||||||||||||||||||||||||||||||||||||||||||||||||||||||||||||||||||||||||||||||||||||||||||||||||||||||||||||||||||||||||||||||||||||||||||||||||||||||||||||||||||||||||||||||||||||||||||||||||||||||||||||||||||||||||||||||||||||||||||||||||||||||||||||||||||||||||||||||||||||||||||||||||||||||||||||||||||||||||||||||||||||||||||||||||||||||||||||||||||||||||||||||||||||||||||||||||||||||||||||||||||||||||||||||||||||||||||||||||||||||||||||||||||||||||||||||||||||||||||||||||||||||||||||||||||||||||||||||||||||||||||||||||||||||||||||||||||||||||||||||||||||||||||||||||||||||||||||||||||||||||||||||||||||||||||||||||||||||||||||||||||||||||||||||||||||||||||||||||||||||||||||||||||||||||||||||||||||||||||||||||||||||||||||||||||||||||||||||||||||||||||||||||||||||||


10/190130, поданной 3 июля 2002 г.
-дикетон в качестве стабилизаторов для ПВХ.



700.
(1-x)М3+
-замещенной акриловой кислоты;
700.