|
|
(21), (22) Заявка: 2007145868/04, 10.12.2007
(24) Дата начала отсчета срока действия патента:
10.12.2007
(46) Опубликовано: 20.05.2009
(56) Список документов, цитированных в отчете о поиске:
Dent C.E. – J. Am. Chem. Soc. 1938, part.1 p.1-6. ГАЛАНИН Н.Е., КУДРИК E.B., ШАПОШНИКОВ Г.П. – ЖОХ, 2005, т.75, 4, с.689-693.
Адрес для переписки:
153000, г.Иваново, пр. Ф. Энгельса, 7, ИГХТУ, патентный отдел
|
(72) Автор(ы):
Галанин Николай Евгеньевич (RU), Якубов Леонид Александрович (RU), Кудрик Евгений Валентинович (RU), Шапошников Геннадий Павлович (RU)
(73) Патентообладатель(и):
Государственное образовательное учреждение высшего профессионального образования “Ивановский государственный химико-технологический университет” (ИГХТУ) (RU)
|
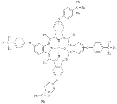
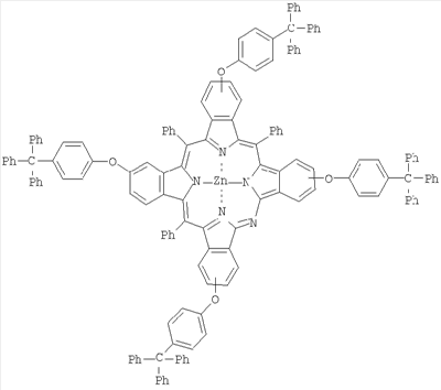
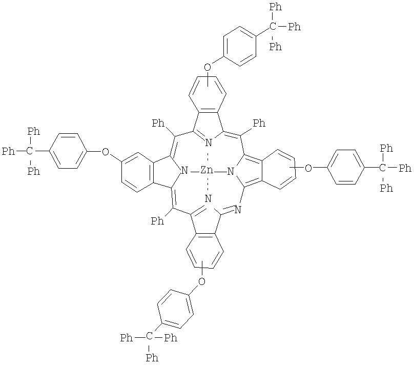
(54) МЕЗО-ТРИФЕНИЛТЕТРА-[-4-(п-ТРИФЕНИЛМЕТИЛФЕНОКСИБЕНЗО)] МОНОАЗАПОРФИРИНАТ ЦИНКА
(57) Реферат:
Изобретение относится к новому соединению – мезо-трифенилтетра-[4-(п-трифенилметилфеноксибензо)]моноазапорфиринату цинка, который может быть использован в качестве жирорастворимого красителя зеленого цвета для крашения полимеров, материала для тонкопленочной микроэлектроники, катализатора, а также в других областях науки и техники. 1 ил.
Изобретение относится к химической промышленности, а именно к новому соединению – мезо-трифенилтетра-[4-(п-трифенилметилфеноксибензо)]моноазапорфиринату цинка, который может быть использован в качестве жирорастворимого красителя зеленого цвета для крашения полимеров, материала для тонкопленочной микроэлектроники, катализатора, а также в других областях науки и техники.
Уровень техники

Он нерастворим в неполярных органических растворителях и не может быть использован в качестве жирорастворимого красителя.
4. С.689-693].

Однако это соединение не может быть использовано в качестве жирорастворимого красителя из-за ограниченной растворимости в неполярных органических растворителях.
Сущность изобретения
Изобретательская задача состояла в поиске нового соединения, являющегося производным цинкового комплекса мезо-трифенилтетрабензомоноазапорфирина, которое обладало бы повышенной растворимостью в неполярных органических растворителях, что дало бы возможность использовать его в качестве жирорастворимого красителя зеленого цвета.
Поставленная задача решена мезо-трифенилтетра-[4-(п-трифенилметилфеноксибензо)]моноазапорфиринатом цинка формулы

Структура этого соединения доказана данными элементного анализа, электронной и колебательной спектроскопии, а также масс-спектрометрии.
Так, в электронном спектре поглощения заявляемого мезо-трифенилтетра-[4-(п-трифенилметилфеноксибензо)]моноазапорфирината цинка (см. чертеж) в видимой области имеется полоса Соре с максимумом при 470 нм и расщепленная на две компоненты близкой интенсивности Q – полоса с максимумами при 645 и 679 нм.
В ИК-спектрах заявляемого комплекса присутствуют полосы поглощения, характерные для порфириновых соединений, в частности группы полос в области 1640-1450 см-1, принадлежащие валентным колебаниям связей С-С и C-N. Кроме того, можно выделить полосы поглощения, относящиеся к валентным колебаниям связей С-Н ароматических фрагментов (2968 см-1), связей С-O (1248-1222 см-1).
Интенсивную полосу при 696-702 см-1 можно отнести к деформационным колебаниям монозамещенных бензольных колец трифенилметильной группы.
В масс-спектре (MALDI – TOF) заявляемого соединения отмечен сигнал молекулярного иона с m/z 2138.
Сведения, подтверждающие возможность осуществления изобретения
Для реализации способа используют следующие вещества:
бензол – ГОСТ 5955-75;
тетрахлорметан – ТУ 2631-027-44493179-98;
алюминий хлористый безводный – ОСТ 6-01-300-74;
концентрированная серная кислота – ГОСТ 4204-77;
4-нитрофталонитрил импортный;
фенилуксусная кислота – ТУ 6-09-04-240-83;
ацетат цинка дигидрат – ГОСТ 5823-78.
Способ реализуют в пять стадий:
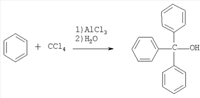
Стадия 1. Получение трифенилметанола, по схеме:

В смесь 100 г бензола и 20 г тетрахлорметана при комнатной температуре порциями по 5 г в течение часа добавляют 20 г безводного хлористого алюминия, нагревают до кипения и выдерживают еще 6 ч, после чего добавляют 100 мл 10% соляной кислоты и перемешивают при кипении 1 ч. Органический слой отделяют и отгоняют из него не вошедшие в реакцию бензол и тетрахлорметан, остаток перекристаллизовывают из гексана.
Получен трифенилметанол.
Выход 20 г (58%). Найдено, %: С 87.22; Н 5.88; N 6.02. С19H16О. Вычислено, %: С 87.66; Н 6.19; О 6.15.
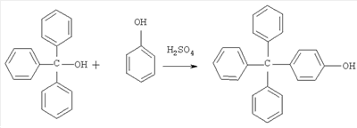
Стадия 2. Получение 4-трифенилметилфенола, по схеме:

Смесь 16 г трифенилметанола и 7 г фенола растворяют в 30 мл уксусной кислоты, добавляют 3 мл концентрированной серной кислоты, нагревают и выдерживают при температуре кипения 10 ч. Реакционную массу охлаждают, разбавляют 100 мл воды, выпавший осадок отфильтровывают и промывают последовательно 100 мл 10%-ного раствора едкого натра, 200 мл воды, 10 мл ацетона и высушивают.
Получен 4-трифенилметилфенол.
Выход 11.6 г (56%). Найдено, %: С 89.88; Н 6.15. С25Н20О. Вычислено, %: С 89.25; Н 5.99.
Стадия 3. Получение 4-(п-трифенилметилфенокси)фталодинитрила, по схеме:

Смесь 2.6 г (0.015 моль) 4-нитрофталонитрила, 6.9 г 4-трифенилметилфенола, 3.0 г
К2СО3 и 50 мл ДМФА перемешивают 10 ч при 110°С, охлаждают и выливают в 300 мл воды. Осадок отфильтровывают, промывают водой, высушивают на воздухе при 80°С и хроматографируют на оксиде алюминия II степени активности (элюент-бензол).
Получен 4-(п-трифенилметилфенокси)фталодинитрил.
Выход 4.8 г (69%), порошок светло-желтого цвета, т.пл. 216 -218°С. Rf 0.59 (хлороформ, Silufol). ИК-спектр, v, см-1: 2928, 2232 (C N), 1595 (C=C), 1489, 1386, 1223, 1211, 953, 748. Масс-спектр (ББА), m/z: 462.1 [M]+, 385.1 [М-С6Н5]+, 307.2 [M-2C6H5]+. Найдено, %: С 86.22; Н 5.05; N 5.88. C33H22N2O. Вычислено, %: С 85.68; Н 4.80; N 6.06.
Стадия 4. Получение 4-(п-трифенилметилфенокси)-1,3-дииминоизоиндолина по схеме:

В 50 мл этанола растворяют 0.5 г натрия и добавляют 4.0 г 4-(п-трифенилметилфенокси)фталодинитрила. Суспензию перемешивают 2 ч при 20°С, затем нагревают до 60°С и пропускают через раствор сухой аммиак в течение 3 ч, после чего охлаждают до 10°С. Выпавший осадок отфильтровывают, промывают 20 мл ацетона и высушивают.
Получен 4-(п-трифенилметилфенокси)-1,3-дииминоизоиндолин.
Выход 2.3 г (55.5%). ИК-спектр, v, см-1: 3410 (N-H), 3087, 3055 (С-Н), 3028, 1592 (С=С), 1487, 1280, 1250, 1213 (С-O), 1174 (С-O), 834, 750, 702. Масс-спектр (ЭУ), m/z: 476 [М-3]+, 430 [М-2НСН-5]+, 283 [M-HCN-NH-2C6H5]+. Найдено, %: С 83.01; Н 5.10; N 8.22. С33Н25N3О. Вычислено, %: С 82.65; Н 5.25; N 8.71.
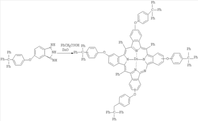
Стадия 5. Получение мезо-трифенилтетра-[4-(п-трифенилметилфеноксибензо)]моноазапорфирината цинка, по схеме:

Смесь 2.0 г 4-(п-трифенилметилфенокси)-1,3-дииминоизоиндолина, 6.0 г фенилуксусной кислоты и 1.0 г оксида цинка нагревают 40 мин при 290°С. Расплав охлаждают, измельчают, кипятят 5 мин в 100 мл 10%-ного раствора КОН, отфильтровывают, промывают 100 мл воды и высушивают. Остаток растворяют в толуоле и хроматографируют на колонке, заполненной оксидом алюминия II степени активности (элюент – смесь толуол-ацетон, 50:1 по объему), собирая первую зеленую зону.
Получен мезо-трифенилтетра-[4-(п-трифенилметилфеноксибензо)]моноазапорфиринат цинка.
Выход 0.24 г (11%), порошок темно-зеленого цвета, хорошо растворимый в толуоле, хлороформе, мало растворимый в ацетоне. Rf 0.84 (толуол, Silufol). Электронный спектр поглощения (толуол), макс, нм (D/Dмакс):679 (0.17), 645 (0.19), 470 (1.00). Масс-спектр (MALDI-TOF), m/z (Iотн(%)): 2138 [М]+ (100). Найдено, %: С 86.02; Н 4.99; N 2.87. C153H103N5O4Zn. Вычислено, %: С 85.84; Н 4.85; N 3.27.
Пример 1. Использование мезо-трифенилтетра-[4-(п-трифенилметилфеноксибензо)]моноазапорфирината цинка для крашения полистирола. Крашение осуществляют следующим образом: 2 г гранулированного полистирола растворяют в 5 мл бензола, добавляют 5 мг мезо-трифенилтетра-[4-(п-трифенилметилфеноксибензо)]моноазапорфирината цинка, перемешивают и выдерживают при 150°С до полного удаления бензола (10 мин).
Формула изобретения
Мезо-Трифенилтетра-[4-(п-трифенилметилфеноксибензо)]моноазапорфиринат цинка формулы

РИСУНКИ
|
|