Патент на изобретение №2355689
|
||||||||||||||||||||||||||||||||||||||||||||||||||||||||||||||||||||||||||||||||||||||||||||||||||||||||||||||||||||||||||||||||||||||||||||||||||||||||||||||||||||
(54) КРИСТАЛЛИЧЕСКАЯ ПОЛИМОРФНАЯ ФОРМА БИСУЛЬФАТНОЙ СОЛИ АНТАГОНИСТА ТРОМБИНОВОГО РЕЦЕПТОРА
(57) Реферат:
Изобретение относится к новому соединению, представляющему собой кристаллическую полиморфную форму бисульфатной соли со свойствами антагониста тромбиновых рецепторов, которая показывает в порошке картину дифракции рентгеновских лучей, практически идентичную представленной на фиг.1, или которая показывает график дифференциальной сканирующей калориметрии, практически идентичный представленному на фиг.3, и которое представлено формулой для соединения 2: а также к способу получения соединения 2. Изобретение относится также к фармацевтической композиции, включающей полиморфную форму бисульфатной соли и по крайней мере один разбавитель или носитель, и к применению полиморфной формы соединения 2 для лечения различных физиологических нарушений, например тромбоза. 5 н. и 11 з.п. ф-лы, 3 ил., табл.3.
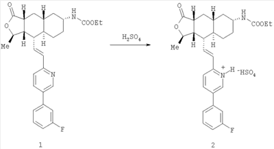
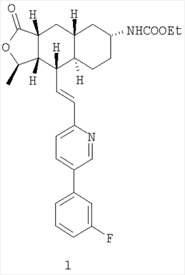
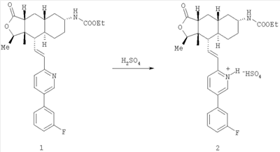
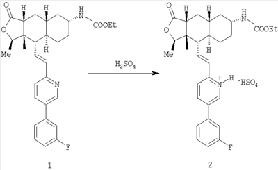
Область изобретения Изобретение относится к кристаллической полиморфной форме бисульфатной соли антагониста тромбинового рецептора, к способу получения этой бисульфатной соли и к способам применения бисульфатной соли. Предпосылки создания изобретения Известно, что тромбин характеризуется многими видами активности в клетках различных типов, известно также, что тромбиновые рецепторы присутствуют в таких типах клеток, как тромбоциты человека, клетки гладкой мускулатуры в сосудах, клетки эндотелия и фибробласты. В соответствии с этим не исключена возможность того, что антагонисты тромбинового рецептора, известные также как антагонисты активируемого протеазами рецептора, могут быть использованы для лечения тромботических, воспалительных, атеросклеротических заболеваний и фибропролиферативных расстройств, а также других расстройств, в которых тромбин и его рецептор играют патологическую роль. Пептиды, представляющие собой антагонисты тромбинового рецептора, были обнаружены при изучении зависимости структура-активность благодаря замене аминокислот в тромбиновых рецепторах. В работе Bernatowicz и др., J. Med. Chem., T. 39, с.4879-4887 (1996), представлены тетра- и пентапептиды в качестве эффективных антагонистов тромбинового рецептора, например это N-транс-циннамоил-п-фторФен-п-гуанидиноФен-Лей-Арг-NH2 и N-транс-циннамоил-п-фторФен-п-гуанидиноФен-Лей-Apг-Apг-NH2. Пептидные антагонисты тромбинового рецептора известны также по заявке на международный патент В соответствии с литературными данными предполагалось, что антагонисты тромбинового рецептора могут найти применение для лечения различных заболеваний и болезненных состояний, включая, например, тромбоз, сосудистый рестеноз, глубокий венозный тромбоз, легочную эмболию, церебральный инфаркт, заболевания сердца, синдром рассеянной внутрисосудистой коагуляции, гипертензию, воспаления, ревматизм, астму, гломерулонефрит, остеопороз, заболевания нервной системы и/или злокачественные опухоли (Suzuki, Shuichi, заявка на международный патент (РСТ) Предполагается также, что антагонисты тромбинового рецептора являются потенциальными антиангиогенами (Chan, Barden, “Antiangiogenic property of human thrombin,” Microvascular Research, 2003, 66(1), сс.1-14), факторами устойчивости для раковых клеток по отношению к химиотерапии (Schiller H., “Thrombin as a survival factor for cancer cells: thrombin activation in malignant effusions in vivo and inhibition of idarubicin-induced cell death in vitro,” Int’l. J. of Clinical Pharmacology and Therapeutics, 2002, 40(8), сс.329-335.), ингибиторами агрегации тромбоцитов и ингибиторами пролиферации клеток гладкой мускулатуры, эндотелиальных клеток, фибробластов, почечных клеток, клеток остеосаркомы, мышечных клеток, раковых клеток и/или глиальных клеток (Suzuki, см. выше). Замещенные антагонисты тромбинового рецептора описаны в патентах США Заявка США
и к их фармацевтически приемлемым солям и сольватам, где заместители и структурные особенности имеют приведенное в тексте значение. Описан также общий способ получения таких соединений, представляющих собой антагонисты тромбиновых рецепторов. В заявке на патент США Соединение 1 проявляет высокую активность (эффективность) в качестве антагониста тромбинового рецептора и избирательность, оно может быть использовано для лечения тромбоза, других сердечно-сосудистых и отличных от сердечно-сосудистых болезненных состояний. Дополнительная заявка на патент США Определенные преимущества могут быть получены за счет улучшения термодинамических свойств соединения 1. Кроме того, определенные преимущества могут быть получены за счет получения стабильной кристаллической формы соединения, относящегося к соединению 1, которая имеет постоянные физические свойства. Целью изобретения является достижение этих и других преимуществ, которые будут представлены по ходу описания. Описание изобретения Изобретение относится к кристаллической полиморфной форме 1 соединения 2 формулы порошок которого показывает картину дифракции рентгеновских лучей с характеристическим расположением пиков при 11,2, 16,4, 19,2 и 21,0 градусов 2 В другом варианте реализации изобретение относится к кристаллической полиморфной форме 1 соединения 2, которая в порошке показывает картину дифракции рентгеновских лучей с характеристическим расположением пиков, в основном соответствующим картине дифракции рентгеновских лучей порошка, представленной на фиг.1. В другом варианте реализации изобретение относится к кристаллической полиморфной форме 1 соединения 2, которая показывает картину дифференциальной сканирующей калориметрии, соответствующую в основном картине дифференциальной сканирующей калориметрии, представленной на фиг.3. В другом варианте реализации изобретение относится к способу получения соединения 2 из соединения 1 в соответствии с реакцией: включающему: а) перемешивание соединения 1 в органическом растворителе с образованием смеси, б) нагревание смеси до температуры около 40-80°С и в) прибавление серной кислоты к нагретой смеси. В еще одном варианте реализации изобретение относится к кристаллической полиморфной форме 1 соединения 2, которую получают представленным выше способом. В предпочтительном случае органический растворитель выбирают из группы, состоящей из спирта, нитрила, сложного эфира, кетона, простого эфира и их смесей. В более предпочтительном случае органический растворитель представлен ацетонитрилом. Предпочтительно, когда серная кислота находится в виде смеси с ацетонитрилом. В предпочтительном случае температура равна примерно 50°С. В еще одном варианте реализации изобретение относится к фармацевтической композиции, включающей кристаллическую полиморфную форму 1 соединения 2 и не менее чем один разбавитель или носитель. В другом варианте реализации изобретение относится к способу ингибирования тромбиновых рецепторов, включающему введение в организм млекопитающего при необходимости такого лечения эффективного количества кристаллической полиморфной формы 1 соединения 2. В еще одном варианте реализации изобретение относится к способу лечения тромбоза, атеросклероза, рестеноза, гипертензии, стенокардии, аритмии, сердечной недостаточности, инфаркта миокарда, гломерулонефрита, тромботического удара, тромбоэмболического удара, заболеваний периферических сосудов, воспалительных нарушений, церебральной ишемии или рака, включающему введение в организм млекопитающего при необходимости такого лечения эффективного количества кристаллической полиморфной формы 1 соединения 2. В другом варианте реализации изобретение относится к способу лечения тромбоза, атеросклероза, рестеноза, гипертензии, стенокардии, аритмии, сердечной недостаточности, инфаркта миокарда, гломерулонефрита, тромботического удара, тромбоэмболического удара, заболеваний периферических сосудов, воспалительных нарушений, церебральной ишемии или рака, включающему введение в организм млекопитающего при необходимости такого лечения эффективного количества кристаллической полиморфной формы 1 соединения 2 в комбинации с не менее чем одним дополнительным сердечно-сосудистым препаратом. В предпочтительном случае не менее чем один дополнительный сердечно-сосудистый препарат выбирают из группы, состоящей из ингибиторов биосинтеза тромбоксана А2, антагонистов гликопротеинов IIb/IIIa, антагонистов тромбоксана, ингибиторов аденозиндифосфата, ингибиторов циклооксигеназы, антагонистов ангиотензина, антагонистов эндотелина, ингибиторов ангиотензинконвертирующего фермента, ингибиторов нейтральной эндопептидазы, антикоагулянтов, диуретиков и ингибиторов агрегации тромбоцитов. В более предпочтительном случае не менее чем один дополнительный сердечно-сосудистый препарат представлен аспирином или бисульфатом клопидогреля. В еще одном варианте реализации изобретение относится к очищенной форме кристаллической полиморфной формы 1 соединения 2. Более полное понимание изобретения будет получено на основании представленных далее чертежей, описания и формулы изобретения. Краткое описание чертежей На фиг.1 представлена картина дифракции рентгеновских лучей на порошке кристаллизованной из ацетонитрила формы 1 соединения 2, полученная с помощью дифрактометра Rigaku MiniFlex. На графике представлены интенсивности пиков, определенные по показаниям счетчика в секунду по отношению к углу дифракции 2 На фиг.2 представлена картина дифракции рентгеновских лучей на порошке формы 2 соединения 2, полученной из суспензии бисульфатной соли в ацетоне при комнатной температуре. Графическая картина получена с помощью дифрактометра Rigaku MiniFlex. На графике представлены интенсивности пиков, определенные по показаниям счетчика в секунду по отношению к углу дифракции 2 На фиг.3 представлено графическое изображение термограммы модулированной дифференциальной сканирующей калориметрии формы 1 соединения 2, полученной кристаллизацией из ацетонитрила. На графике представлен нормализованный тепловой поток в единицах Ватт/грамм (Вт/г) по отношению к температуре исследуемого образца в градусах Цельсия. Детальное описание Как показано в заявке на патент США с серийным Тем не менее, оказалось, что форма соединения 1, представленная свободным основанием, отмечена невысокой стабильностью кристаллического состояния. Оказалось, что бисульфатная соль соединения 1 проявляет улучшенные показатели стабильности и имеет в основном ту же самую активность. В рамках данного текста понятие «бисульфат» относится к структурной единице -HSO4. Соединение 2 имеет приведенное далее строение: Было показано, что существуют две определенные полиморфные формы соединения 2. Эти две формы обозначены здесь как форма 1 и форма 2. Оказалось, что форма 2 нестабильна, в течение времени она переходит в кристаллическую структуру формы 1. Две кристаллические формы бисульфатной соли могут рассматриваться как полиморфные. Полиморфизм может быть охарактеризован как способность соединения кристаллизоваться в различных кристаллических формах, сохраняя при этом ту же самую химическую формулу. Кристаллическая полиморфная форма данного лекарственного препарата химически идентична любой другой полиморфной форме этого лекарственного препарата, поскольку она содержит те же самые атомы, соединенные друг с другом тем же самым образом, однако они различаются по кристаллическим формам, что может сказываться на одном или на нескольких физических свойствах, например на стабильности, растворимости, температуре плавления, объемной плотности, свойствах сыпучести, биодоступности и т.д. Соединение 2 имеет по крайней мере одну связь, вращение вокруг которой затруднено. Все таутомеры и ротамеры рассматриваются как входящие в объем притязаний изобретения. Соединение 2 может существовать как в сольватированном, так и в несольватированном виде, включая гидратные формы. В общем случае сольватированные формы с такими фармацевтически приемлемыми растворителями, как вода, этанол и подобные им, эквивалентны несольватированным формам в том, что касается их применения в соответствии с изобретением. Используемые далее в описании понятия, если не указано иное, следует понимать в соответствии с приведенными далее значениями. Понятие «пациент» относится как к человеку, так и к другим животным. Понятие «млекопитающее» относится как к людям, так и к другим млекопитающим животным. Понятие «полиморфная форма» относится к такой кристаллической форме вещества, которая отличается от других кристаллических форм, но которая имеет ту же самую химическую формулу. Понятие «спирт» относится к органическому соединению с гидроксильной группой (-ОН). Понятие «нитрил» относится к органическому соединению с группой Понятие «сложный эфир» относится к органическому соединению формулы RC(O)OR, где две группы R независимо друг от друга означают алкильные или арильные группы, а скобки означают, что помещенный в них атом кислорода связан с углеродом двойной связью. Понятие «кетон» относится к органическому соединению, содержащему карбонильную группу (С=O), соединенную с двумя алкильными группами. Понятие «наполнитель» относится к преимущественно инертному веществу, используемому в качестве разбавителя и для придания формы или консистенции лекарственной форме. Понятие «эффективный» или «терапевтически эффективный» предназначено для описания соответствующих настоящему изобретению соединения или композиции, проявляющих активность в качестве антагониста тромбиновых рецепторов и обеспечивающих поэтому желаемый терапевтический, ингибирующий, профилактический эффект или эффект улучшения состояния больного. Понятие «эффективное количество» или «терапевтически эффективное количество» предназначено для описания количества соответствующего настоящему изобретению соединения или композиции, проявляющего активность в качестве антагониста тромбиновых рецепторов и обеспечивающего поэтому желаемый терапевтический, ингибирующий, профилактический эффект или эффект улучшения состояния больного. Подготовка образцов Форму 1 соединения 2 анализируют в виде сухого порошка при исследовании дифракции рентгеновских лучей на порошке и методом модулированной дифференциальной сканирующей калориметрии. Для измельчения и классификации материала перед проведением анализа используют микронизатор. Через газовые форсунки, расположенные на равном расстоянии друг от друга по периферии камеры для измельчения, подают пропущенный через фильтр азот. Во время проведения операции включают высокоскоростной вортекс, а материал вводят в вортекс в области периферической стенки. Значительные градиенты скорости около газовых форсунок заставляют взвешенные частицы сталкиваться, что приводит к уменьшению их размеров в результате соударений. Более тяжелые частицы крупных размеров удерживаются в зоне измельчения центробежной силой. Скорость подачи и давление измельчающего газа представляют собой главные факторы, определяющие размер частиц на выходе. Измельчающий газ выходит через отверстие в верхней части по центру камеры и увлекает микронизированный продукт в используемый в качестве сборника мешок. Загрузку микронизируют в четырехдюймовом микронизаторе при скорости подачи 150 грамм в минуту (г/мин) и при размалывающем давлении 3,5 бар. Размолотый материал собирают в барабаны с вкладышами из двойных полиэтиленовых пакетов и хранят в холодильнике. После микронизации проводят анализ образцов с минимальной подготовкой для того, чтобы не допустить какого-либо изменения их формы. Образцы слегка растирают, чтобы убедиться в том, что не произошло слипания. Для этих анализов не используют растворители, не проводят сушку или другие операции по подготовке. Данные по дифракции рентгеновских лучей на порошке и дифференциальной сканирующей калориметрии показывают, что речь в каждом отдельном идет об одной единственной форме. Дифракция рентгеновских лучей на порошке Анализ с помощью дифракции рентгеновских лучей на порошке проводят на дифрактометре Rigaku MiniFlex® (изготовлен в 1999 г.). В приборе используется вариабельная раздвижная щель с конфигурацией оси сканирования Используя описанные выше методики и оборудование, анализируют способом дифракции рентгеновских лучей порошок формы 1 соединения 2. Полученная картина дифракции рентгеновских лучей порошкового образца представлена на фиг.1. Показана зависимость интенсивности пиков (ось у – это данные показаний счетчика в секунду) для угла 2
Таблица 1 характеризует кристаллическую структуру соединения 2 на основании расположения пиков дифракции рентгеновских лучей на порошке формы 1; из нее могут быть выбраны и сгруппированы по относительной интенсивности наиболее характеристические положения пиков для того, чтобы отличить эту кристаллическую структуру от других. Такая выборка отличительных пиков представлена в таблице 2. В соответствии с этим кристаллическая структура формы 1 соединения 2 может быть идентифицирована по расположению пиков в группе
Способом дифракции рентгеновских лучей исследовался также порошок формы 2 соединения 2. Кристаллы формы 2 синтезируют из суспензии бисульфатной соли в ацетоне при комнатной температуре. Кристаллы формы 2 не подвергают микронизации. Подготовка образцов кристаллов, аналитическое оборудование и техника проведения анализа, используемые для исследования кристаллической структуры формы 2, аналогичным тем, которые описаны выше для исследования формы 1. Полученная картина дифракции рентгеновских лучей порошкового образца формы 2 представлена на фиг.2. Характер расположения пиков дифракции рентгеновских лучей на порошковом образце соответствующей формы 2 кристаллической структуры соединения 2 представлен в таблице 3. Сравнение положений пиков дифракции рентгеновских лучей порошковых форм, представленных в таблицах 1 и 3, подтверждает вывод о том, что формы 1 и 2 представляют собой разные кристаллические полиморфные формы бисульфатной соли соединения 2.
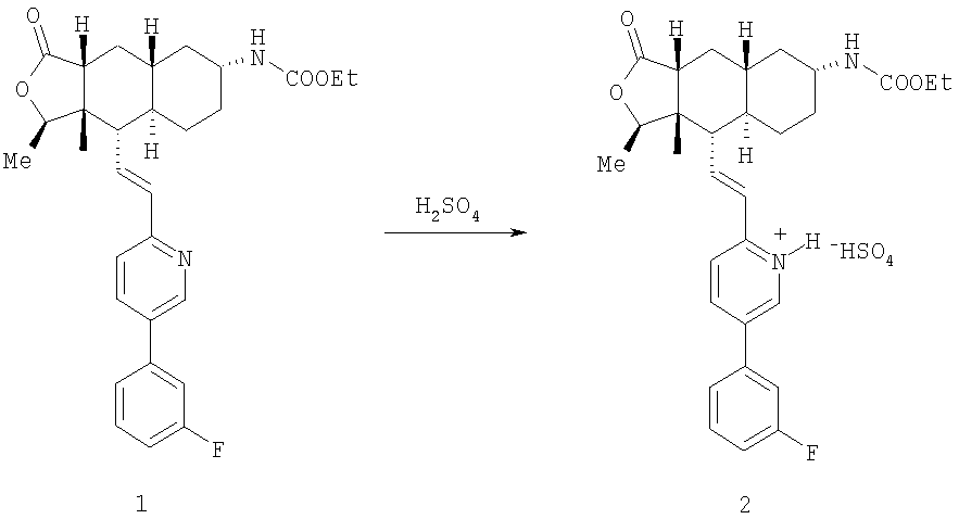
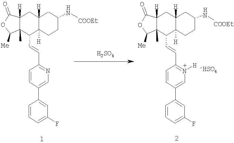
Специалисту в данной области известно, что определение положений пиков дифракции рентгеновских лучей порошка определенной кристаллической формы того же самого соединения может изменяться в пределах ошибки. В заявке на патент США Дифференциальная сканирующая калориметрия Прибором для дифференциальной сканирующей калориметрии, использованным для исследования полиморфного образца, являлся TAInstruments®, модель 2920 (производства 2001 года), который был оборудован системой для охлаждения. Камеру ячейки дифференциального сканирующего калориметра с образцом промывают газообразным азотом ультравысокой чистоты со скоростью 40 мл/мин. Прибор калибруют индием высокой чистоты. Точность измерения температуры образца по данной методике лежит около ±1°С, а теплота плавления может быть определена с относительной ошибкой около ±5%. Образец помещают в стандартную алюминиевую чашечку для дифференциальной сканирующей калориметрии с крышечкой, которая имеет два прокола иглой для сброса давления. На дно чашечки помещают около 2 мг порошкообразного образца и слегка утрамбовывают для того, чтобы он контактировал с чашечкой. Определяют точную массу образца и фиксируют ее с точностью до сотой доли миллиграмма. В приборе используют пустую чашечку для сравнения. Прибор программируют для уравновешивания образца при температуре около 0°С в течение примерно 1 минуты и после этого начинают динамический подъем температуры со скоростью 2°С/мин до примерно 250°С с показателем модулирования ±1°С каждые 40 секунд. Тепловой поток, который нормализован по массе образца, откладывают на графике по отношению к измеренной температуре образца. Данные соответствуют ваттам на грамм (Вт/г). График построен так, чтобы эндотермические пики были направлены вниз. В этом анализе определяют соответствующий плавлению эндотермический пик для экстраполированных начальной и конечной температур, пиковую температуру и теплоту плавления. Графическая картина дифференциальной сканирующей калориметрии для формы 1 соединения 2 представлена на фиг.3. Фиг.3 показывает, что начало плавления лежит около 200,6°С, а эндотерме плавления соответствует температура 206,4°С. Теплота плавления составляет около 52,3 джоулей на грамм (Дж/г). Сочетание температуры плавления и теплоты плавления может быть использовано для выявления этой формы среди других. Пример 1. Синтез бисульфатной соли Представленное далее получение бисульфатной соли, представляющей собой соединение 2, иллюстрируется схемой I, в которой использованы следующие сокращения: Me означает метильную группу, Et означает этильную группу, F означает атом фтора. Схема I: общий способ получения соединения 2 В предпочтительном случае получение соединения 2 проводят в органическом растворителе, выбираемом из группы, состоящей из спирта (например, метанола, этанола, изопропилового спирта), нитрила (например, ацетонитрила), сложного эфира (например, этилацетата), кетона (например, ацетона), простого эфира (например, тетрагидрофурана) и их смесей. В общем случае соединение 1 прибавляют к растворителю или к смеси растворителей и нагревают (если это необходимо) для того, чтобы перевести соединение 1 в раствор. Используемый способ нагревания может изменяться (например, подвод тепла может быть достаточным для повышения температуры растворителя до примерно 40-80°С) в зависимости от концентрации соединения 1 в растворителе. После образования раствора продолжают нагревание, поддерживая температуру. Медленно прибавляют раствор серной кислоты в том же самом растворителе. Кристаллы могут выпадать из раствора во время прибавления раствора серной кислоты. В альтернативном варианте соединение 1 может контактировать с растворителями в виде суспензии или иной смеси, не растворяясь в нем. При использовании в представленном выше процессе в качестве растворителей изопропилового спирта, ацетона, ацетонитрила, этилацетата, изопропилацетата и тетрагидрофурана в каждом отдельном случае получают кристаллическую полиморфную форму 1. Предпочтительно также, когда в используемом для реакции растворителе получают насыщенный раствор соединения 2 для того, чтобы контролировать кристаллизацию и уменьшать и/или предотвращать осаждение образующегося продукта на стенках. Осаждение продукта приводит к снижению выхода и к включению растворителя в выделяемое кристаллическое целевое соединение. Часто содержание включенного растворителя не удается понизить до предпочтительного уровня даже после продолжительной сушки. В предпочтительном случае осаждение соединения 2 из раствора проводят с помощью небольшого количества кристаллического соединения 2 (например, от примерно 0,1 мас.% до примерно 0,2 мас.%) для того, чтобы исключить возможность осаждения продукта на стенках. Типичный способ получения представлен далее. Около 5 г соединения 1 растворяют в примерно 25 мл ацетонитрила. Раствор перемешивают около 10 минут и после этого нагревают до примерно 50°С. К нагретой реакционной смеси прибавляют около 6 мл 2 М раствора серной кислоты в ацетонитриле. Соединение 2 осаждается во время прибавления серной кислоты в ацетонитриле. После прибавления раствора серной кислоты реакционную смесь перемешивают 1 час и после этого охлаждают до комнатной температуры. Осажденное твердое вещество отфильтровывают и промывают ацетонитрилом в количестве около 30 мл. Влажное твердое вещество сушат в вакууме при комнатной температуре в течение 1 часа, затем примерно 12 часов при 80°С и получают около 5 г кристаллической формы соединения 2. Выход составляет около 85%. Полученный продукт анализируют в виде порошка способом дифракции рентгеновских лучей и дифференциальной сканирующей калориметрии, получая при этом соответственно графики, представленные на фиг.1 и 3, показывающие, что речь действительно идет о полиморфной форме 1. Активность соединения, фармацевтические композиции и способы применения В одном из вариантов реализации изобретение относится к форме 1 соединения 2, к фармацевтическим композициям на его основе для лечения различных отклонений в состоянии здоровья, симптомов и болезней и к способу получения соединения 2. Соединение 2 проявляет активность как антагонист тромбиновых рецепторов, который может быть использован для лечения болезней, ассоциирующихся с тромбозом, атеросклерозом, рестенозом, гипертензией, стенокардией, аритмией, сердечной недостаточностью, церебральной ишемией, ударом, нейродегенеративными заболеваниями и раком. Антагонисты тромбиновых рецепторов известны также как антагонисты активируемых протеазами рецепторов. Этот класс соединений, к которому относится и соединение 2, в типичном случае связывается и с каннабиноидными рецепторами (CB2), благодаря чему они могут найти применение для лечения ревматоидного артрита, эритематоза системной волчанки, рассеянного склероза, диабета, остеопороза, ренальной ишемии, церебрального удара, церебральной ишемии, нефрита, воспалительных процессов в легких и в желудочно-кишечном тракте, а также таких нарушений в дыхательных путях, как обратимая обструкция дыхательных путей, хроническая астма и бронхит. Лекарственные формы и дозировки При получении фармацевтических композиций на основе описываемых в настоящем изобретении соединений инертные фармацевтически приемлемые носители могут быть как твердыми, так и жидкими. Твердые лекарственные формы включают порошки, таблетки, диспергирующиеся гранулы, капсулы, крахмальные капсулы и суппозитории. Порошки и таблетки могут содержать от примерно 0,1 до примерно 95 процентов активного ингредиента. Подходящими твердыми носителями, которые известны в этой области, являются, например, микрокристаллическая целлюлоза, сахар или лактоза. Таблетки, порошки, крахмальные капсулы и капсулы могут быть использованы в качестве твердых лекарственных форм для приема через рот. Примеры фармацевтически приемлемых носителей и способы получения различных композиций представлены в A. Gennaro (ред.), The Science and Practice of Pharmacy, 20-е издание, Lippincott Williams & Wilkins, Балтимор, Мэриленд, (2000). Жидкие лекарственные формы включают растворы, суспензии и эмульсии. В качестве примера можно назвать водные или водно-пропиленгликолевые растворы для парентеральных инъекций или прибавление подсластителей и средств для замутнения в предназначенные для приема через рот растворы, суспензии и эмульсии. Жидкие лекарственные формы могут также включать растворы для интраназального введения. Аэрозольные лекарственные формы, предназначенные для ингаляций, могут включать растворы и твердые вещества в виде порошков, которые могут сочетаться с таким фармацевтически приемлемым носителем, как инертный сжатый газ, например азот. Речь может также идти о твердых лекарственных формах, которые предназначены для перевода их непосредственно перед применением в жидкие лекарственные формы как для введения через рот, так и для парентерального введения. В число таких жидких форм входят растворы, суспензии и эмульсии. Соответствующие изобретению соединения могут быть также введены через кожу. Композиции для накожного применения могут быть представлены кремами, лосьонами, аэрозолями и/или эмульсиями, они могут быть также введены в состав пластырей матричного или резервуарного типа для накожного введения, которые обычно используются для этих целей. В предпочтительном случае форму 1 соединения 2 вводят через рот. В предпочтительном случае фармацевтический препарат представляет собой унитарную лекарственную форму. В таком виде лекарственный препарат делят на унитарные дозы подходящего размера, содержащие соответствующие количества активной компоненты, например эффективное количество для достижения поставленной цели. Дневная доза формы 1 соединения 2 для лечения болезни или болезненных состояний, представленных выше, составляет от примерно 0,001 до примерно 100 мг на кг массы тела в день, в предпочтительном случае от примерно 0,001 до примерно 10 мг/кг. Для средней массы тела 70 кг уровень дозирования в соответствии с этим составляет от примерно 0,1 до примерно 700 мг лекарства в день, принимаемых в виде одной дозы или разделенных на 2-4 дозы. Количество и частоту приема формы 1 соединения 2 регулируют в соответствии с оценкой наблюдающего врача, принимающего во внимание такие факторы, как возраст, состояние и массу пациента, а также серьезность симптомов, вызвавших необходимость лечения. В еще одном варианте реализации изобретение включает введение формы 1 соединения 2 вместе с не менее чем одним дополнительным терапевтически эффективным препаратом. Дополнительный терапевтически эффективный препарат, о котором идет речь, отличается от соединения 2 по атомному составу или по строению. В число терапевтически эффективных препаратов, которые могут быть использованы в комбинации с соответствующими настоящему изобретению новыми соединениями, входят известные лекарства, используемые для лечения воспалений, ревматизма, астмы, гломерулонефрита, остеопороза, невропатий и/или злокачественных опухолей, болезненных состояний, связанных с ангиогенезом, рака, нарушений в функционировании печени, почек и легких, меланомы, почечной клеточной карциномы, заболеваний почек, острой почечной недостаточности, хронической почечной недостаточности, почечного сосудистого гомеостаза, гломерулонефрита, хронических заболеваний дыхательных путей, воспалений мочевого пузыря, нейродегенеративных и/или нейротоксических заболеваний, болезненных состояний или травм, радиационного фиброза, дисфункции эндотелия, периодонтальных заболеваний и травм. Другими примерами терапевтически эффективных препаратов, которые могут быть введены в комбинации с соединением 2, служат факторы устойчивости раковых клеток по отношению к химиотерапии и ингибиторы пролиферации клеток гладкой мускулатуры, эндотелиальных клеток, фибробластов, клеток почек, клеток остеосаркомы, мышечных клеток, раковых клеток и/или глиальных клеток. Терапевтически эффективные препараты могут быть представлены сердечно-сосудистыми препаратами. В число сердечно-сосудистых препаратов, которые могут быть использованы в комбинации с соответствующими настоящему изобретению новыми соединениями, входят лекарства, которые имеют антитромботическое действие, препятствуют агрегации тромбоцитов, имеют антиатеросклеротическое, антирестенозное и/или антикоагулянтное действие. Такие лекарства используют для лечения заболеваний, связанных с тромбозами, включая тромбоз, атеросклероз, рестеноз, гипертензию, стенокардию, аритмию, сердечную недостаточность, инфаркт миокарда, гломерулонефрит, тромботический и тромбоэмболический удар, заболевания периферических сосудов, другие сердечно-сосудистые заболевания, церебральную ишемию, воспалительные процессы и рак, а также другие функциональные нарушения, в которых тромбин и его рецептор играют патологическую роль. Подходящие сердечно-сосудистые средства выбирают из группы, состоящей из таких ингибиторов биосинтеза тромбоксана А2, как аспирин; из таких антагонистов тромбоксана, как сератродаст, пикотамид и раматробан; из таких ингибиторов аденозиндифосфата, как клопидогрель; таких ингибиторов циклооксигеназы, как аспирин, мелоксикам, рофекоксиб и целекоксиб; таких антагонистов ангиотензина, как вальсартан, телмисартан, кандесартран, ирбесартран, лосартан и эпросартан; таких антагонистов эндотелина, как тезосентан, таких ингибиторов фосфодиэстеразы, как милриноон и эноксимон; таких ингибиторов ангиотензинконвертирующего фермента, как каптоприл, эналаприл, эналиприлат, спираприл, квинаприл, периндоприл, рамиприл, фосиноприл, трандолаприл, лизиноприл, моэксиприл и беназаприл; таких ингибиторов нейтральной эндопептидазы, как кандоксатрил и экадотрил; таких антикоагулянтов, как ксимелагатран, фондапарин и эноксапарин; таких диуретиков, как хлоротиазид, гидрохлоротиазид, этакриновая кислота, фуросемид и амилорид; таких ингибиторов агрегации тромбоцитов, как абциксимаб и эптифибатид; а также ингибиторов гликопротеинов IIb/IIIa. Предпочтительными типами лекарств для использования в комбинации с формой 1 соединения 2 являются ингибиторы биосинтеза тромбоксана А2, ингибиторы циклооксигеназы и антагонисты аденозиндифосфата. Особое предпочтение отдается использованию в комбинации аспирина и бисульфата клопидогреля. Другие варианты реализации изобретения относятся к введению формы 1 соединения 2 вместе с более чем одним дополнительным терапевтически эффективным препаратом. В этих вариантах реализации дополнительный терапевтически эффективный препарат может быть, а может и не быть тем, который обычно используется для лечения тех же самых состояний. Например, форма 1 соединения 2 может быть введена вместе с двумя сердечно-сосудистыми средствами. В альтернативном случае форма 1 соединения 2 может быть введена вместе с сердечно-сосудистым средством и с терапевтически эффективным препаратом, используемым для лечения воспаления. Если изобретение относится к комбинации формы 1 соединения 2 с одним или с несколькими другими терапевтически эффективными препаратами, то две или несколько активных компонент можно вводить вместе одновременно или последовательно или же можно вводить их в виде унитарной фармацевтической композиции, включающей форму 1 соединения 2 и другой терапевтически эффективный препарат (другие терапевтически эффективные препараты), в фармацевтически приемлемом носителе. Компоненты композиции могут быть введены по отдельности или вместе в любой обычной лекарственной форме, например в капсуле, таблетке, порошке, крахмальной капсуле, суспензии, растворе, суппозитории, в назальном спрее и т.д. Дозировка другого терапевтически эффективного препарата (других терапевтически эффективных препаратов) может быть определена на основании опубликованных материалов; она может лежать в пределах от 1 до 1000 мг на дозу. В этой связи понятие «один или несколько дополнительных сердечно-сосудистых препаратов» означает, что можно вводить от одного до трех дополнительных лекарств в комбинации с формой 1 соединения 2; в предпочтительном случае в комбинации с формой 1 соединения 2 вводят одно дополнительное соединение. Дополнительные сердечно-сосудистые препараты могут быть введены последовательно или одновременно по отношению к форме 1 соединения 2. Специалист может удовлетворительно контролировать скорость системного высвобождения из лекарственной формы, используя один или несколько представленных далее приемов: а) правильный выбор активного ингредиента (активных ингредиентов); б) фармацевтически приемлемый разбавитель или носитель (фармацевтически приемлемые разбавители или носители), если эти варианты не влияют на активность соответствующего выбранного активного ингредиента (соответствующих выбранных активных ингредиентов); в) тип разбавителя или носителя (разбавителей или носителей) и связанные с ними вязкость и проницаемость (характеристики набухания) разбавителя или носителя (разбавителей или носителей); г) определяемое временем состояние разбавителя или носителя (разбавителей или носителей); д) размер частиц активного ингредиента и е) зависимые от значения рН состояния разбавителя или носителя (разбавителей или носителей). Фармацевтически приемлемые разбавители или носители включают душистые вещества, фармацевтически разрешенные красители или пигменты, растворители, солюбилизаторы, буферные системы, поверхностно-активные вещества, консерванты, подсластители, загустители, наполнители, антифрикционные средства, глиданты, разрыхлители, связывающие средства и смолы. Могут быть использованы обычные душистые вещества, например описанные в Remington’s Pharmaceutical Sciences, 18-е издание, Mack Publishing Co., 1288-1300 (1990), эта работа включена в данный текст в качестве ссылки. Соответствующие изобретению фармацевтические композиции в общем случае содержат от 0% до примерно 2% душистого вещества (душистых веществ). Могут быть использованы обычные красители и/или пигменты, например описанные в Handbook of Pharmaceutical Excipients, by the American Pharmaceutical Association & the Pharmaceutical Society of Great Britain, 81-90 (1986), эта работа включена в данный текст в качестве ссылки. Соответствующие изобретению фармацевтические композиции в общем случае содержат от 0% до примерно 2% красителя и/или пигмента (красителей и/или пигментов). Соответствующие изобретению фармацевтические композиции в общем случае содержат от примерно 0,1% до примерно 99,9% растворителя (растворителей). В предпочтительном случае растворителем является вода. В предпочтительном случае солюбилизаторами являются этанол, глицерин, пропиленгликоль, полиэтиленгликоль и подобные им. Соответствующие изобретению фармацевтические композиции могут содержать от 0% до примерно 50% солюбилизатора (солюбилизаторов). Буферные системы, которым отдается предпочтение, включают уксусную, борную угольную, фосфорную, янтарную, яблочную, винную, лимонную, бензойную, молочную, глицериновую, глюконовую, глутаровую, глютаминовую кислоты и их натриевые, калиевые или аммонийные соли. Особо предпочтительными буферами являются фосфорная, винная, лимонная и уксусная кислоты и их соли. Соответствующие изобретению фармацевтические композиции в общем случае содержат от 0% до примерно 5% буфера (буферов). Поверхностно-активными веществами, которым отдается предпочтение, являются полиоксиэтилированные сорбитановые эфиры жирных кислот, моноалкиловые эфиры полиэтиленоксида, сложные моноэфиры сахарозы, сложные эфиры и простые эфиры ланолина, соли алкилсульфатов, а также натриевые, калиевые и аммонийные соли жирных кислот. Соответствующие изобретению фармацевтические композиции в общем случае содержат от 0% до примерно 2% поверхностно-активного вещества (поверхностно-активных веществ). Консервантами, которым отдается предпочтение, являются фенол, алкиловые эфиры п-гидроксибензойной кислоты, о-фенилфенолбензойная кислота и ее соли, борная кислота и ее соли, сорбиновая кислота и ее соли, хлорбутанол, бензиловый спирт, тимеросал, фенилмеркурацетат и -нитрат, нитромерсол, хлорид бензалкония, хлорид цетилпиридиния, метилпарабен и пропилпарабен. Особо предпочтительными консервантами являются соли бензойной кислоты, хлорид цетилпиридиния, метилпарабен и пропилпарабен. Соответствующие изобретению фармацевтические композиции в общем случае содержат от 0% до примерно 2% консерванта (консервантов). В число предпочтительных подсластителей входят сахароза, глюкоза, сахарин, сорбит, маннит и аспартам. Особо предпочтительными подсластителями являются сахароза и сахарин. Соответствующие изобретению фармацевтические композиции в общем случае содержат от 0% до примерно 5% подсластителя (подсластителей). Предпочтительными загустителями являются метилцеллюлоза, натриевая соль карбоксиметилцеллюлозы, гидроксипропил-метилцеллюлоза, гидроксипропилцеллюлоза, альгинат натрия, карбомер, повидон, акация, гуаровая камедь, ксантановая камедь и трагакант. Особо предпочтительными загустителями являются метилцеллюлоза, карбомер, ксантановая камедь, гуаровая камедь, повидон, натриевая соль карбоксиметилцеллюлозы и силикат магния и алюминия. Соответствующие изобретению фармацевтические композиции в общем случае содержат от 0% до примерно 5% загустителя (загустителей). Предпочтительными наполнителями являются лактоза, маннит, сорбит, трехосновный фосфат кальция, двухосновный фосфат кальция, сахар, крахмал, сульфат кальция, декстрин и микрокристаллическая целлюлоза. Соответствующие изобретению фармацевтические композиции в общем случае содержат от 0% до примерно 90% наполнителя (наполнителей). Предпочтительными антифрикционными средствами (глидантами) являются стеарат магния, стеариновая кислота и тальк. Соответствующие изобретению фармацевтические композиции в общем случае содержат от 0% до 7%, в предпочтительном случае от примерно 1% до примерно 5% антифрикционного средства (глиданта) (антифрикционных средств). Предпочтительными разрыхлителями являются крахмал, натриевые соли гликолятов крахмала, кросповидон и натриевая соль кроскармелозы, а также микрокристаллическая целлюлоза. Соответствующие изобретению фармацевтические композиции в общем случае содержат от 0% до примерно 20%, в предпочтительном случае от примерно 4% до примерно 15% разрыхлителя (разрыхлителей). Предпочтительными связывающими являются акация, трагакант, гидроксипропилцеллюлоза, прежелатинизированный крахмал, желатин, повидон, гидроксипропил-метилцеллюлоза, метилцеллюлоза, растворы сахаров, например сахарозы и сорбита, и этилцеллюлоза. Соответствующие изобретению фармацевтические композиции в общем случае содержат от 0% до примерно 12%, в предпочтительном случае от примерно 1% до примерно 10% связывающего средства (связывающих средств). При создании унитарной дозированной формы в композиции с соответствующими изобретению соединениями могут быть использованы известные специалисту в области получения лекарственных форм дополнительные препараты. В альтернативном варианте дополнительные препараты могут быть введены в организм млекопитающего в составе многокомпонентной дозированной формы. В типичном случае фармацевтическая композиция включает от примерно 0,1% до примерно 99,9% (массы или объема, в предпочтительном случае это отношение масс) активного ингредиента (формы 1 соединения 2), в предпочтительном случае от примерно 5% до примерно 95%, в более предпочтительном случае от примерно 20% до примерно 80%. При получении фармацевтических композиций, содержащих форму 1 соединения 2, инертные фармацевтически приемлемые разбавители или носители могут быть как твердыми, так и жидкими. В число твердых лекарственных форм входят порошки, таблетки, диспергирующиеся гранулы, капсулы, крахмальные капсулы и суппозитории. Подходящими твердыми разбавителями или носителями, которые известны в этой области, являются, например, карбонат магния, стеарат магния, тальк, сахар и лактоза. Таблетки, порошки, крахмальные капсулы и капсулы могут быть использованы в качестве твердых лекарственных форм для приема через рот. Примеры фармацевтически приемлемых разбавителей или носителей, а также способы получения различных композиций можно найти в Remington’s Pharmaceutical Sciences, 18-e издание. Mack Publishing Co. (1990), эта работа в полном объеме включена в данный текст в виде ссылки. Жидкие лекарственные формы представлены растворами, суспензиями и эмульсиями. Обычно жидкие лекарственные формы содержат воду и водно-пропиленгликолевые растворы для парентеральной инъекции или с добавками подсластителей и замутнителей для принимаемых через рот растворов, суспензий и эмульсий. Жидкие лекарственные формы могут быть также представлены растворами для интраназального введения. Количество формы 1 соединения 2 в унитарной дозе лекарственной формы может колебаться или устанавливаться от примерно 0,01 мг до примерно 4000 мг, в предпочтительном случае от примерно 0,02 мг до примерно 2000 мг, в более предпочтительном случае от примерно 0,03 до примерно 1000 мг, в еще более предпочтительном случае от примерно 0,04 мг до примерно 500 мг и в наиболее предпочтительном случае от примерно 0,05 мг до примерно 250 мг в соответствии с конкретным назначением. Типичная рекомендуемая дневная схема приема лекарства при приеме через рот может колебаться в пределах от примерно 0,02 мг до примерно 2000 мг/день, разделенных на две, три или четыре дозы. Для удобства общая дневная доза может быть разделена и введена в организм порциями в течение дня в соответствии с назначением. В типичном случае соответствующие изобретению фармацевтические композиции вводят от примерно одного раза в день до примерно пяти раз в день или в альтернативном случае непрерывно в виде вливания. Такой способ введения может быть использован при хронической или при экстренной терапии. Фармацевтически приемлемые разбавители или носители, используемые вместе с соответствующими настоящему изобретению соединениями, берут в концентрации, которая достаточна для получения удобного в практическом отношении размера лекарственной формы с учетом дозы. Фармацевтически приемлемые разбавители или носители могут составлять в общем случае от примерно 0,1% до примерно 99,9% (массы или объема, в предпочтительном случае это отношение масс) соответствующей изобретению фармацевтической композиции, в предпочтительном случае от примерно 5% до примерно 95% массы, в более предпочтительном случае от примерно 20% до примерно 80% массы. По мере улучшения состояния пациента, если это нужно или предписано, может быть назначена поддерживающая доза соответствующего изобретению соединения, композиции или комбинированной формы. Из этого следует, что в зависимости от симптомов может быть уменьшена дозировка или частота приема или же и то и другое до уровня, обеспечивающего поддержание улучшенного состояния. Если симптомы улучшились до желаемого уровня, лечение можно прекратить. Тем не менее, пациенты могут нуждаться в периодическом повторении курса лечения в течение длительного времени при повторном появлении симптомов болезни. Специфическая дозировка и режим лечения для каждого конкретного пациента могут изменяться в зависимости от многих факторов, включающих активность используемого специфического соединения, возраст, массу тела, общее состояние здоровья, пол и режим питания пациента, время введения, скорость выделения, специфику комбинации лекарств, серьезность и протекание симптомов вылечиваемой болезни, отношение пациента к состоянию, из которого его выводят, и оценку лечащего врача. Определение правильного режима дозирования для каждой конкретной ситуации относится к квалификации специалиста. Количество и частота приема формы 1 соединения 2 или фармацевтической композиции на его основе можно регулировать в соответствии с суждением наблюдающего клинициста, основывающегося на представленных выше факторах. Опытный специалист может оценить, есть ли необходимость в уменьшении или в увеличении тех дозировок, которые были приведены выше. Так, например, часто при определении правильного уровня дозирования основываются на массе пациента. Например, терапевтически целесообразен для лечения ряда биологических отклонений, в частности тромбоза и других сердечно-сосудистых нарушений, уровень дозирования в пределах от примерно 0,01 мг/кг до примерно 100 мг/кг массы тела в день, в предпочтительном случае в пределах от примерно 0,5 мг/кг до примерно 75 мг/кг массы тела в день и в более предпочтительном случае в пределах от примерно 1 мг/кг до примерно 50 мг/кг массы тела в день, для соответствующего изобретению соединения (соответствующих изобретению соединений) и описываемых в данном тексте композиций. Если есть два пациента с разной массой и все остальное у них одинаково, то более высокую дозировку следует использовать для более тяжелого пациента. Полиморфная чистота В предпочтительном случае кристаллическая полиморфная форма 1 соединения 2 практически полностью свободна от химических загрязнений (например, от побочных продуктов, образовавшихся при получении соединения 2) и от других полиморфных кристаллических форм. Понятие «практически полная свобода» от химических примесей для поставленных в соответствующих настоящему изобретению целей означает, что содержание химических примесей меньше или равно примерно 5 мас.%, в предпочтительном случае оно меньше или равно примерно 3 мас.% химических примесей, в более предпочтительном случае оно меньше или равно примерно 2 мас.% химических примесей и в еще более предпочтительном случае оно меньше или равно примерно 1 мас.% химических примесей. Понятие «очищенный» или «очищенная форма» для соединения относится к физическому состоянию названного соединения, если его получили в результате процесса очистки или обработали в соответствии с описанным в данных материалах или хорошо известным специалисту в данной области процессом, получив достаточную степень чистоты для того, чтобы его можно было охарактеризовать описанными здесь или хорошо известными специалисту стандартными аналитическими методиками. Очищенные формы кристаллической полиморфной формы 1 соединения 2 практически полностью свободны от химических загрязнений. Надо понимать, что все числовые значения, представленные в примере по способу получения или приведенные в ином месте, все числа, использованные в описании и в формуле изобретения и относящиеся к количествам ингредиентов, к условиям реакций и т.д., могут быть изменены во всех случаях в соответствии с понятием «примерно». Представленное выше описание не предназначено для детализации всех модификаций и вариантов настоящего изобретения. Специалисту в данной области понятно, что описанные выше варианты реализации могут быть изменены без отклонения от сути изобретения. В соответствии с изложенным следует понимать, что изобретение не ограничивается описанными выше частными случаями реализации и в объем его притязаний входят модификации, которые соответствуют духу и сути изобретения, как это представлено в следующей далее формулы изобретения.
Формула изобретения
1. Кристаллическая полиморфная форма 1 соединения 2 формулы 2. Кристаллическая полиморфная форма соединения 2 по п.1, показывающая в виде порошка картину дифракции рентгеновских лучей с характеристическими положениями пиков 9,9, 11,2, 16,4, 19,2, 21,0, 22,1, 23,7 и 26,7° 2 3. Кристаллическая полиморфная форма соединения 2 по п.1, показывающая в виде порошка картину дифракции рентгеновских лучей с характеристическими положениями пиков 9,9, 11,2, 12,6, 14,5, 16,4, 19,2, 21,0, 22,1, 23,7, 26,7, 28,2 и 30,8° 2 4. Кристаллическая полиморфная форма соединения 2 по п.1, показывающая в виде порошка картину дифракции рентгеновских лучей, практически идентичную картине дифракции рентгеновских лучей на порошке, показанной на фиг.1. 5. Кристаллическая полиморфная форма 1 соединения 2 формулы 6. Кристаллическая полиморфная форма 1 соединения 2 по п.1 в очищенном виде. 7. Способ получения соединения 2 из соединения 1 в соответствии с реакцией: 8. Способ по п.7, где органический растворитель выбирают из группы, состоящей из спиртов, нитрилов, сложных эфиров, кетонов, простых эфиров и их смесей. 9. Способ по п.8, где органический растворитель представлен ацетонитрилом. 10. Способ по п.7, где серная кислота находится в виде смеси с ацетонитрилом. 11. Способ по п.7, где температура составляет около 50°С. 12. Фармацевтическая композиция, обладающая свойствами антагониста рецептора тромбина, включающая кристаллическую полиморфную форму 1 соединения 2 по п.1 и, по крайней мере, один разбавитель или носитель. 13. Применение полиморфной формы 1 соединения 2 по п.1 для получения лекарственного средства для ингибирования рецепторов тромбина и для лечения тромбоза, атеросклероза, рестеноза, гипертензии, стенокардии, аритмии, сердечной недостаточности, инфаркта миокарда, гломерулонефрита, тромботического удара, тромбоэмболического удара, заболеваний периферических сосудов, воспалительных нарушений, церебральной ишемии или рака. 14. Применение по п.13, где указанное лекарственное средство используют в комбинации, по крайней мере, с одним дополнительным сердечнососудистым препаратом. 15. Применение по п.14, где по крайней мере один дополнительный сердечно-сосудистый препарат выбирают из группы, состоящей из ингибиторов биосинтеза тромбоксана А2, антагонистов гликопротеинов IIb/IIIa, антагонистов тромбоксана, ингибиторов аденозиндифосфата, ингибиторов циклооксигеназы, антагонистов ангиотензина, антагонистов эндотелина, ингибиторов ангиотензин-конвертирующего фермента, ингибиторов нейтральной эндопептидазы, антикоагулянтов, диуретиков и ингибиторов агрегации тромбоцитов. 16. Применение по п.15, где, по крайней мере, один дополнительный сердечно-сосудистый препарат представлен аспирином или бисульфатом клопидогрела.
РИСУНКИ
TH4A – Переиздание описания изобретения к патенту Российской Федерации
Причина переиздания: Коррекция в текстах реферата, описания изобретения
Извещение опубликовано: 10.07.2010 БИ: 19/2010
|
||||||||||||||||||||||||||||||||||||||||||||||||||||||||||||||||||||||||||||||||||||||||||||||||||||||||||||||||||||||||||||||||||||||||||||||||||||||||||||||||||||


94/03479, опубликованной 17 февраля 1994 г.
subunit signaling by PAR-1 receptors in cellular invasion,” FASEB Journal, 2002, 16(6), сс.565-576), меланому (Tellez, Carmen, “Role and regulation of the thrombin receptor (PAR-1) in human melanoma,” Oncogene 22, 2003, сс.3130-3137), карциному почечных клеток (Kaufman R., “Meizothrombin, an intermediate of prothrombin cleavage potently activates renal carcinoma cells by interaction with PAR-type thrombin receptors,” Oncology Reports, 2003, 10(2), сс.493-496), болезни почек, острую почечную недостаточность, хроническую почечную недостаточность, сосудистый гомеостаз почек (Tognetto, Michele, “Proteinase-activated receptor-1 (PAR-1) activation contracts the isolated human renal artery in vitro,” British Journal of Pharmacology, 2003, 139(1), сс.21-27), гломерулонефрит (Ahn, Ho-Sam, “Nonpeptide thrombin receptor antagonists,” Drugs of the Future, 2001, 26(11), сс.1065-1085), воспаление (Meli, Rosaria, “Thrombin and PAR-1 activating peptide increase iNOS expression in cytokine-stimulated C6 glioma cells,” Journal of Neurochemistry, 2001, 79(3), сс.556-563), хронические заболевания дыхательных путей (Roche, Nicolas, “Effect of acute and chronic inflammatory stimuli on expression of protease-activated receptors 1 and 2 alveolar macrophages,” Journal of Allergy and Clinical Immunology, 2003, 111(2), сс.367-373), воспаление мочевого пузыря (D’Andrea, Michael R., “Expression of protease-activated receptor-1, -2, -3 and -4 in control and experimentally inflamed mouse bladder,” American Journal of Pathology, 2003, 162(3), сс.907-923), нейродегенеративные и/или нейротоксические заболевания, болезненные состояния и травмы (Traynelis, Stephen Francis, “Treatment of neurodegenerative diseases and conditions using PAR-1 antagonists,” заявка на международный патент (РСТ) 


. В более предпочтительном случае кристаллическая полиморфная форма показывает в порошке картину дифракции рентгеновских лучей с характеристическим расположением пиков при 9,9, 11,2, 16,4, 19,2, 21,0, 22,1, 23,7 и 26,7 градусов 2


.


.



