Патент на изобретение №2355684
|
||||||||||||||||||||||||||
(54) СПОСОБ ПОЛУЧЕНИЯ ПОЛИГЛИЦИДИЛАЗИДА, МОДИФИЦИРОВАННОГО ТЕТРАГИДРОФУРАНОМ, С КОНЦЕВЫМИ ЭПОКСИДНЫМИ ГРУППАМИ
(57) Реферат:
Изобретение относится к способу получения полиглицидилазида, модифицированного тетрагидрофураном, с концевыми эпоксидными группами, который используют в качестве энергоемкого горючего связующего в смесевом ракетном топливе и порохе. Способ включает две стадии. На первой стадии полиглицидилазид, модифицированный тетрагидрофураном, подвергают взаимодействию с избыточным количеством 1,6-гександиизоцианата или 2,4-толуилендиизоцианата при температуре 55±5°С в течение 7 часов с образованием форполимера с концевыми изоцианатными группами. Затем определяют содержание гидроксильных групп. На второй стадии этерифицируют полученный форполимер глицидолом при температуре 60±5°С в течение 5 часов. Далее определяют содержание изоцианатных групп, вакуумируют при температуре 65±5°С и остаточном давлении 2-3 мм рт.ст. и определяют содержание эпоксидных групп. Изобретение позволяет упростить технологический процесс и получить модифицированный полиглицидилазид с улучшенными физико-механическими характеристиками.
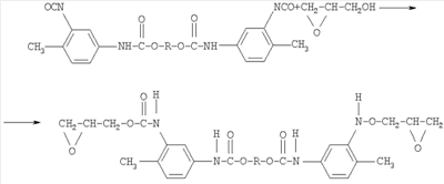
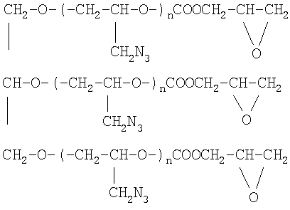
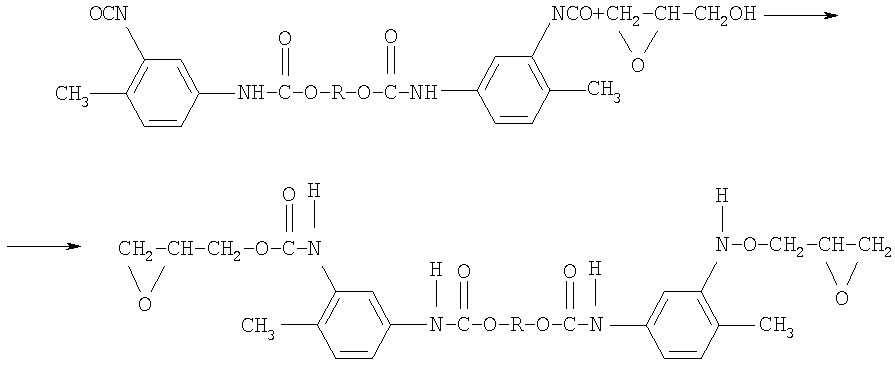
Изобретение относится к области получения глицидилавидных полимеров, а именно к полиглицидилазиду, модифицированному тетрагидрофураном (ТГФ), который используют в качестве энергоемкого горючего связующего в смесевом твердом ракетном топливе и порохе. Известно получение полиглицидилазида из книги Н.Г.Рогова, М.А.Ищенко, «Смесевые ракетные топлива: Компоненты. Требования. Свойства.» Санкт-Петербург 2005 г с.110, взятое авторами за прототип, где азидополиэфирэпоксид – аналогичное по структуре соединение: Получают азидополиэфирэпоксид путем взаимодействия полиглицидилазида с фосгеном, с образованием промежуточных хлоругольных эфиров, которые затем этерифицируют глицидолом. Недостатками данного способа являются: применение высокотоксичного фосгена и необходимость в использовании специального коррозионно-стойкого оборудования, т.к. в процессе реакции выделяется хлористый водород. Задачей данного изобретения является получение полиглицидилазида, модифицированного ТГФ, с концевыми эпоксидными группами с улучшенными физико-механическими характеристиками: прочность Полиглицидилазид, модифицированный ТГФ, с концевыми эпоксидными группами имеет следующую формулу: Или n=10-20, m=1-2 Способ получения полиглицидилазида, модифицированного тетрагидрофураном, с концевыми эпоксидными группами, заключается в том, что полиглицидилазид, модифицированный тетрагидрофураном, подвергают взаимодействию с избыточным количеством 1,6-гександиизоцианата или 2,4-толуилендиизоцианата при температуре 55±5°С в течение 7 часов с образованием форполимера с концевыми изоцианатными группами, определяют содержание гидроксильных групп, этерифицируют глицидолом при температуре 60±5°С в течение 5 часов, определяют содержание изоцианатных групп, вакуумируют при температуре 65±5°С и остаточном давлении 2-3 мм рт.ст. и определяют содержание эпоксидных групп. На первой стадии получают форполимер. Или n=10-20, m=1-2 На второй стадии полученный форполимер этерифицируют глицидолом. Или Сущность изобретения представлена на примерах получения полиглицидилазида в две стадии. Пример 1 а. Стадия получения форполимера с концевыми изоцианатными группами В 4-горлую круглодонную колбу емкостью 250 мл, снабженную механической мешалкой, термометром, обратным холодильником и капельной воронкой, помешают 100 г (1,04 моль) полиглицидилазида, модифицированного тетрагидрофураном, включают мешалку и при комнатной температуре прикапывают 20 г (0,12 моль) 1,6-гександиизоцианата. Реакционную массу нагревают до 55±5°С и выдерживают при этой температуре 7 часов. В конце выдержки по ИК-спектру следят за исчезновением полосы, характерной для ОН-группы, и появлением полос, отвечающих за появление уретановой группы. Для подтверждения образования форполимера проводят анализ основных функциональных групп химическими методами. Содержание изоцианатных групп, % Рассчитано: NCO – 3,63 Найдено: NCO – 3,5 ОН – отсутствие ИК-спектр, см-1: 1100-1150 (-O-), 1650-1720 3300 – 3400 (-NH-), 1270, 2100-2150 (-N3-), 2260 (-NCO-) б. Стадия получения полиглицидилазида, модифицированного тетрагидрофураном, с концевыми эпоксидными группами В 3-горлую круглодонную колбу емкостью 250 мл, снабженную механической мешалкой, термометром и обратным холодильником, помещают 120 г (1,04 моль) форполимера и 4,9 г (0,07 моль) глицидола. Включают мешалку и нагревают реакционную массу до 60±5°С, выдерживают при этой температуре в течение 5 часов. В конце реакции по ИК-спектру следят за исчезновением полосы, характерной для NCO-группы. При наличии NCO-группы продолжают нагрев и отбирают пробы через каждые 30 минут до полного исчезновения или наличия следов NCO-группы, что указывает на завершение реакции. Продукт вакуумируют при температуре 65±5°С, остаточном давлении 2-3 мм рт.ст. и анализируют на содержание эпоксидных групп. Содержание эпоксидных групп, % Рассчитано: 2,37 Найдено: 2,2 ИК-спектр, см-1: 1100-1150 (-O-), 1650-1720 3300-3400 (-NH-), 1270, 2100-2150 (-N3-), 910, 1250, 3030 ( Пример 2 а. Стадия получения форполимера с концевыми изоцианатными группами В 4-горлую круглодонную колбу емкостью 250 мл, снабженную механической мешалкой, термометром, обратным холодильником и капельной воронкой, помещают 100 г (1,04 моль) полиглицидилазида, модифицированного тетрагидрофураном, включают мешалку и при комнатной температуре прикапывают 20,7 г (0, 12 моль) 2,4-толуилендиизоцианата. Реакционную массу нагревают до 55±5°С и выдерживают при этой температуре 7 часов. В конце выдержки по ИК-спектру следят за исчезновением полосы, характерной для гидроксильной группы (ОН), и появлением полос, отвечающих за появление уретановой группы. Для подтверждения образования форполимера проводят анализ основных функциональных групп химическими методами. Содержание изоцианатных групп, % Рассчитано: NCO – 3,63 Найдено: NCO – 3,42 ОН – отсутствие ИК-спектр, см-1: 1100-1150 (-O-), 1650-1720 3300-3400 (-NH-), 1270, 2100-2150 (-N3-), 2260 (-NCO-) б. Стадия получения полиглицидилазида, модифицированного тетрагидрофураном, с концевыми эпоксидными группами В 3-горлую круглодонную колбу емкостью 250 мл, снабженную механической мешалкой, термометром и обратным холодильником, помещают 120 г (1,04 моль) форполимера и 4,8 г (0,07 моль) глицидола. Включают мешалку и нагревают реакционную массу до 60±5°С, выдерживают при этой температуре в течение 5 часов. В конце реакции по ИК-спектру следят за исчезновением полосы, характерной для изоцианатной группы (NCO). При наличии NCO-группы продолжают нагрев и отбирают пробы через каждые 30 минут до полного исчезновения или наличия следов NCO-группы, что указывает на завершение реакции. Продукт вакуумируют при температуре 65±5°С, остаточном давлении 2-3 мм рт.ст. и анализируют на содержание эпоксидных групп. Содержание эпоксидных групп, % Рассчитано: 2,67 Найдено: 2,8 ИК-спектр, см-1: 1110-1170 (-O-), 1670-1720 (-O-CO-NH-), 3300-3400 (-NH-), 1270, 2100-2150 (-N3-), 910, 1250, 3030 ( Использование полимеров с концевыми эпоксидными группами обеспечивает качественное отверждение и требуемые физико-механические свойства топлива и пороха в отличие от отверждения диизоцианатами. Предлагаемый способ получения полиглицидилазида, модифицированного ТГФ, с концевыми эпоксидными группами прошел отработку в опытном производстве ФГУП “НИИПМ” с положительным результатом.
Формула изобретения
Способ получения полиглицидилазида, модифицированного тетрагидрофураном, с концевыми эпоксидными группами, заключающийся в том, что полиглицидилазид, модифицированный тетрагидрофураном, подвергают взаимодействию с избыточным количеством 1,6-гександиизоцианата или 2,4-толуилендиизоцианата при температуре 55±5°С в течение 7 ч с образованием форполимера с концевыми изоцианатными группами, определяют содержание гидроксильных групп, этерифицируют глицидолом при температуре 60±5°С в течение 5 ч, определяют содержание изоцианатных групп, вакуумируют при температуре 65±5°С и остаточном давлении 2-3 мм рт.ст. и определяют содержание эпоксидных групп.
|
||||||||||||||||||||||||||


=20 кгс/см2, деформация
=500%, и упрощение технологического процесса.











)
)