|
|
(21), (22) Заявка: 2006111582/04, 31.08.2004
(24) Дата начала отсчета срока действия патента:
31.08.2004
(30) Конвенционный приоритет:
09.09.2003 EP 03019682.8
(43) Дата публикации заявки: 27.10.2007
(46) Опубликовано: 20.05.2009
(56) Список документов, цитированных в отчете о поиске:
WO 03/035602 A1, 01.05.2003. WO 03/00480 A2, 16.01.2003. EP 624584 A1, 17.11.1994. EP 171636 A1, 19.02.1986. SU 419035 A1, 05.03.1971.
(85) Дата перевода заявки PCT на национальную фазу:
10.04.2006
(86) Заявка PCT:
EP 2004/009699 20040831
(87) Публикация PCT:
WO 2005/023261 20050317
Адрес для переписки:
101000, Москва, М.Златоустинский пер., 10, кв.15, “ЕВРОМАРКПАТ”, пат.пов. И.А.Веселицкой, рег. 11
|
(72) Автор(ы):
АЛЬБЕРАТИ-ДЖИАНИ Даниела (CH), ХОЛИДОН Синесе (CH), НАРКИЗЯН Робер (FR), НЕТТЕКОВЕН Маттиас Генрих (DE), НОРКРОСС Роджер Дейвид (CH), ПИНАР Эмманьюэль (FR), ШТАДЛЕР Хенри (CH)
(73) Патентообладатель(и):
Ф.ХОФФМАНН-ЛЯ РОШ АГ (CH)
|
(54) ПРОИЗВОДНЫЕ 1-БЕНЗОИЛПИПЕРАЗИНА В КАЧЕСТВЕ ИНГИБИТОРОВ ПОГЛОЩЕНИЯ ГЛИЦИНА ДЛЯ ЛЕЧЕНИЯ ПСИХОЗОВ
(57) Реферат:
Описываются соединения формулы (I), значения радикалов см. в формуле изобретения, и лекарственное средство, обладающее ингибирующей активностью в отношении поглощения глицина на основе соединения формулы (I). Лекарственное средство предназначено для лечения заболеваний, при которых может быть полезным ингибирование поглощения глицина. 3 н. и 18 з.п. ф-лы, 1 табл.

Текст описания приведен в факсимильном виде.                                                                                        
Формула изобретения
1. Соединения формулы
 где Ar означает замещенный фенил или замещенный 6-членный гетероарил за исключением 4-пиридина, содержащий один, два или три атома азота, причем фенильная и гетероарильная группы замещены одним или двумя заместителями, выбранными из группы, включающей гидрокси, галоген, CN, C1-С6алкил, C1-С6алкил, замещенный галогеном, C1-С6алкокси, C1-С6алкокси, замещенный галогеном, NR7R8, C(O)R9 или SO2R10; R1 означает водород или C1-С6алкил; R2 означает галоген, C1-С6алкил, C1-С6алкенил, где атом водорода заменен на группу CN, C(O)-R9 или C1-С6алкил, или R2 означает C2-С6алкинил, C1-С6алкил, замещенный галогеном, насыщенный или частично насыщенный -(СН2)n-(С3-С7)циклоалкил, тетрагидропиранил, дигидропиранил, -C(O)-R9, -(СН2)n-фенил или -(СН2)n-5- или 6-членный гетероарил, содержащий один, два гетероатома, выбранных из группы, включающей кислород, серу или азот, причем фенил, циклоалкил и гетероарил незамещены или замещены одним, двумя или тремя заместителями, выбранными из группы, включающей гидрокси, галоген, C1-С6алкил, C1-С6алкил, замещенный галогеном или C1-С6алкокси; R3, R4 и R6 независимо друг от друга означают водород, галоген; R5 означает NO2, CN, C(O)R9, SO2R10 или NR11R12; R7 и R8 независимо друг от друга означают водород или C1-С6алкил; R9 означает C1-С6алкил, C1-С6алкокси; R10 означает C1-С6алкил, С3-С6циклоалкил или NR7R8, при условии, что один из R7 или R8 означает C1-С6алкил; R11 и R12 вместе с атомом азота, к которому они присоединены, образуют 5-членную гетероарильную группу, содержащую дополнительно три атома азота, n равно 0, и их фармацевтически приемлемые кислотно-аддитивные соли, при условии, что указанные соединения не означают 1-(2-хлор-5-нитробензоил)-4-(4-метоксифенил)пиперазин, 1-(2-хлор-5-нитробензоил)-4-(4-хлорфенил)пиперазин, 1-(2-фтор-5-нитробензоил)-4-[2-фтор-4-(1-оксобутил)фенил]пиперазин, 1-(2-фтор-5-нитробензоил)-4-[2-фтор-4-(1-оксопропил)фенил]пиперазин, 1-(2-хлор-5-нитробензоил)-4-(2,3-диметилфенил)пиперазин, 1-(2-хлор-5-нитробензоил)-4-(3-хлорфенил)пиперазин, 1-(2-хлор-5-нитробензоил)-4-(2-этоксифенил)пиперазин, 1-(4-ацетил-2-фторфенил)-4-(2-фтор-5-нитробензоил)пиперазин, 1-(2-хлор-5-нитробензоил)-4-(4-фторфенил)пиперазин, 1-(2-хлор-5-нитробензоил)-4-(2-метоксифенил)пиперазин и 1-(4-ацетил-2-фтор-5-метилфенил)-4-(2-фтор-5-нитробензоил)пиперазин, 1-(2-хлор-5-нитробензоил)-4-(2-пиридинил)пиперазин, 1-(4-ацетил-2-фторфенил)-4-[2-(4-морфолинил)-5-нитробензоил]пиперазин, 1-[2-фтор-4-(1-оксопропил)фенил]-4-[2-(4-морфолинил)-5-нитробензоил]пиперазин, 1-[2-фтор-4-(1-оксопропил)фенил]-4-[2-(4-метил-1-пиперазинил)-5-нитробензоил]пиперазин, 1-[2-фтор-4-(1-оксопропил)фенил]-4-[2-(4-метил-1-пиперидинил)-5-нитробензоил]пиперазин, 1-[2-фтор-4-(1-оксопропил)фенил]-4-[5-нитро-2-(1-пирролидинил)бензоил]пиперазин, 1-[2-фтор-4-(1-оксопропил)фенил]-4-[5-нитро-2-(1-пиперидинил)бензоил]пиперазин, 1-(4-метоксифенил)-4-[2-(4-морфолинил)-5-нитробензоил]пиперазин, 1-(4-метоксифенил)-4-[5-нитро-2-(1-пирролидинил)бензоил]пиперазин, 1-(2-хлор-5-нитробензоил)-4-[3-трифторметил]фенил]пиперазин, 1-(2-хлор-5-нитробензоил)-4-(2-пиримидинил)пиперазин или 1-(2-хлор-5-нитробензоил)-4-(2-фторфенил)пиперазин.
2. Соединения формулы
 где Ar означает замещенный фенил или замещенный 6-членный гетероарил за исключением 4-пиридина, содержащий один, два или три атома азота, причем фенильная и гетероарильная группы замещены одним или двумя заместителями, выбранными из группы, включающей гидрокси, галоген, CN, C1-С6алкил, C1-С6алкил, замещенный галогеном, C1-С6алкокси, C1-С6алкокси, замещенный галогеном, NR7R8, C(O)R9 или SO2R10; R1 означает водород или C1-С6алкил; R2 означает галоген, С2-С6алкенил, С2-С6алкинил, C1-С6алкил, замещенный галогеном, С3-С7циклоалкил, насыщенный или частично насыщенный тетрагидропиранил, дигидропиранил, -C(O)-R9, фенил или 5-или 6-членный гетероарил, содержащий один, два гетероатома, выбранных из группы, включающей кислород, серу или азот, причем фенил, циклоалкил и гетероарил незамещены или замещены одним, двумя или тремя заместителями, выбранными из группы, включающей гидрокси, галоген, C1-С6алкил, C1-С6алкил, замещенный галогеном или C1-С6алкокси; R3, R4 и R6 независимо друг от друга означают водород, галоген; R5 означает NO2, CN, C(O)R9, SO2R10 или NR11R12; R7 и R8 независимо друг от друга означают водород или C1-С6алкил; R9 означает C1-С6алкил, C1-С6алкокси; R10 означает C1-С6алкил, С3-С6циклоалкил или NR7R8, при условии, что один из R7 или R8 означает C1-С6алкил; R11 и R12 вместе с атомом азота, к которому они присоединены, образуют 5-членную гетероарильную группу, содержащую дополнительно три атома азота, и их фармацевтически приемлемые кислотно-аддитивные соли, при условии, что указанные соединения не означают 1-(2-хлор-5-нитробензоил)-4-(4-метоксифенил)пиперазин, 1-(2-хлор-5-нитробензоил)-4-(4-хлорфенил)пиперазин, 1-(2-фтор-5-нитробензоил)-4-[2-фтор-4-(1-оксобутил)фенил]пиперазин, 1-(2-фтор-5-нитробензоил)-4-[2-фтор-4-(1-оксопропил)фенил]пиперазин, 1-(2-хлор-5-нитробензоил)-4-(2,3-диметилфенил)пиперазин, 1-(2-хлор-5-нитробензоил)-4-(3-хлорфенил)пиперазин, 1-(2-хлор-5-нитробензоил)-4-(2-этоксифенил)пиперазин, 1-(4-ацетил-2-фторфенил)-4-(2-фтор-5-нитробензоил)пиперазин, 1-(2-хлор-5-нитробензоил)-4-(4-фторфенил)пиперазин, 1-(2-хлор-5-нитробензоил)-4-(2-метоксифенил)пиперазин и 1-(4-ацетил-2-фтор-5-метилфенил)-4-(2-фтор-5-нитробензоил)пиперазин, 1-(2-хлор-5-нитробензоил)-4-(2-пиридинил)пиперазин, 1-(4-ацетил-2-фторфенил)-4-[2-(4-морфолинил)-5-нитробензоил]пиперазин, 1-[2-фтор-4-(1-оксопропил)фенил]-4-[2-(4-морфолинил)-5-нитробензоил]пиперазин, 1-[2-фтор-4-(1-оксопропил)фенил]-4-[2-(4-метил-1-пиперазинил)-5-нитробензоил]пиперазин, 1-[2-фтор-4-(1-оксопропил)фенил]-4-[2-(4-метил-1-пиперидинил)-5-нитробензоил]пиперазин, 1-[2-фтор-4-(1-оксопропил)фенил]-4-[5-нитро-2-(1-пирролидинил)бензоил]пиперазин, 1-[2-фтор-4-(1-оксопропил)фенил]-4-[5-нитро-2-(1-пиперидинил)бензоил]пиперазин, 1-(4-метоксифенил)-4-[2-(4-морфолинил)-5-нитробензоил]пиперазин, 1-(4-метоксифенил)-4-[5-нитро-2-(1-пирролидинил)бензоил]пиперазин, 1-(2-хлор-5-нитробензоил)-4-[3-трифторметил]фенил]пиперазин, 1-(2-хлор-5-нитробензоил)-4-(2-пиримидинил)пиперазин или 1-(2-хлор-5-нитробензоил)-4-(2-фторфенил)пиперазин.
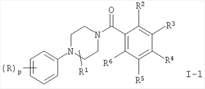
3. Соединения формулы I-1 по п.1
 где R означает гидрокси, галоген, CN, C1-С6алкил, C1-С6алкил, замещенный галогеном, C1-С6алкокси, C1-С6алкокси, замещенный галогеном, NR7R8, C(O)R9 или SO2R10; р равно 1, 2; R1 означает водород; R2 означает галоген, C1-С6алкил, C2-С6алкенил, где атом водорода заменен на группу CN, C(O)-R9 или C1-С6алкил, или R2 означает C2-С6алкинил, C1-С6алкил, замещенный галогеном, -(СН2)n-(С3-С7)циклоалкил, насыщенный или частично насыщенный тетрагидропиранил, дигидропиранил, -C(O)-R9, фенил или 5- или 6-членный гетероарил, содержащий один, два гетероатома, выбранных из группы, включающей кислород, серу или азот, причем фенил, циклоалкил и гетероарил незамещены или замещены одним, двумя или тремя заместителями, выбранными из группы, включающей галоген, C1-С6алкил, замещенный галогеном или C1-С6алкокси; R3, R4 и R6 означают водород; R5 означает NO2 или SO2R10; R7 и R8 независимо друг от друга означают C1-С6алкил; R9 означает C1-С6алкил, C1-С6алкокси; R10 означает C1-С6алкил, С3-С6циклоалкил или NR7R8, при условии, что один из R7 или R8 означает C1-С6алкил; n равно 0, и их фармацевтически приемлемые кислотно-аддитивные соли, при условии, что указанные соединения не означают 1-(2-хлор-5-нитробензоил)-4-(4-метоксифенил)пиперазин, 1-(2-хлор-5-нитробензоил)-4-(4-хлорфенил)пиперазин, 1-(2-фтор-5-нитробензоил)-4-[2-фтор-4-(1-оксобутил)фенил]пиперазин, 1-(2-фтор-5-нитробензоил)-4-[2-фтор-4-(1-оксопропил)фенил]пиперазин, 1-(2-хлор-5-нитробензоил)-4-(2,3-диметилфенил)пиперазин, 1-(2-хлор-5-нитробензоил)-4-(3-хлорфенил)пиперазин, 1-(2-хлор-5-нитробензоил)-4-(2-этоксифенил)пиперазин, 1-(4-ацетил-2-фторфенил)-4-(2-фтор-5-нитробензоил)пиперазин, 1-(2-хлор-5-нитробензоил)-4-(4-фторфенил)пиперазин, 1-(2-хлор-5-нитробензоил)-4-(2-метоксифенил)пиперазин и 1-(4-ацетил-2-фтор-5-метилфенил)-4-(2-фтор-5-нитробензоил)пиперазин, 1-(4-ацетил-2-фторфенил)-4-[2-(4-морфолинил)-5-нитробензоил]пиперазин, 1-[2-фтор-4-(1-оксопропил)фенил]-4-[2-(4-морфолинил)-5-нитробензоил]пиперазин, 1-[2-фтор-4-(1-оксопропил)фенил]-4-[2-(4-метил-1-пиперазинил)-5-нитробензоил]пиперазин, 1-[2-фтор-4-(1-оксопропил)фенил]-4-[2-(4-метил-1-пиперидинил)-5-нитробензоил]пиперазин, 1-[2-фтор-4-(1-оксопропил)фенил]-4-[5-нитро-2-(1-пирролидинил)бензоил]пиперазин, 1-[2-фтор-4-(1-оксопропил)фенил]-4-[5-нитро-2-(1-пиперидинил)бензоил]пиперазин, 1-(4-метоксифенил)-4-[2-(4-морфолинил)-5-нитробензоил]пиперазин, 1-(4-метоксифенил)-4-[5-нитро-2-(1-пирролидинил)бензоил]пиперазин, 1-(2-хлор-5-нитробензоил)-4-[3-трифторметил]фенил]пиперазин или 1-(2-хлор-5-нитробензоил)-4-(2-фторфенил)пиперазин.
4. Соединения формулы I-1 по п.3, в которых R2 означает фенил, замещенный тремя заместителями, выбранными из группы, включающей галоген, C1-С6алкил, C1-С6алкил, замещенный галогеном, или C1-С6алкокси, а другие заместители имеют указанные в п.1 значения.
5. Соединения формулы I-1 по п.4, например, следующие соединения: 1-{3-фтор-4-[4-(4-нитробифенил-2-карбонил)пиперазин-1-ил]фенил}этанон, (4-метансульфонилбифенил-2-ил)[4-(4-трифторметилфенил)пиперазин-1-ил]метанон, (4′-фтор-4-метансульфонилбифенил-2-ил)[4-(4-трифторметилфенил)пиперазин-1-ил]метанон, [4-(2-фтор-4-трифторметилфенил)пиперазин-1-ил](4-метансульфонилбифенил-2-ил)метанон, (4′-фтор-4-метансульфонилбифенил-2-ил)[4-(2-фтор-4-трифторметилфенил)пиперазин-1-ил]метанон, метиламид 2-[4-(4-трифторметилфенил)пиперазин-1-карбонил]бифенил-4-сульфоновой кислоты, 3-фтор-4-[4-(4-метансульфонилбифенил-2-карбонил)пиперазин-1-ил]бензонитрил или 3-фтор-4-[4-(2′-фтор-4-метансульфонилбифенил-2-карбонил)пиперазин-1-ил]бензонитрил.
6. Соединения формулы I-1 по п.3, в которых R2 означает насыщенный или частично насыщенный С3-С7циклоалкил.
7. Соединения формулы I-1 по п.6, например, следующие соединения: 1-{4-[4-(2-циклопропил-5-нитробензоил)пиперазин-1-ил]-3-фторфенил}этанон, 1-{4-[4-(2-циклогекс-1-енил-5-метансульфонилбензоил)пиперазин-1-ил]-3-фторфенил}этанон, (2-циклогексил-5-метансульфонилфенил)[4-(4-этил-2-фторфенил)пиперазин-1-ил]метанон, 1-{4-[4-(2-циклопент-1-енил-5-метансульфонилбензоил)пиперазин-1-ил]-3-фторфенил}этанон, 1-{4-[4-(2-циклогепт-1-енил-5-метансульфонилбензоил)пиперазин-1-ил]-3-фторфенил}этанон, (2-циклогепт-1-енил-5-метансульфонилфенил)[4-(4-трифторметилфенил)пиперазин-1-ил]метанон, (2-циклогекс-1-енил-5-метансульфонилфенил)[4-(4-трифторметилфенил)пиперазин-1-ил]метанон, (2-циклогексил-5-метансульфонилфенил)[4-(4-трифторметилфенил)пиперазин-1-ил]метанон или (2-циклопентил-5-метансульфонилфенил)[4-(4-трифторметилфенил)пиперазин-1-ил]метанон.
8. Соединения формулы I-1 по п.3, в которых R2 означает тетрагидропиранил, дигидропиранил.
9. Соединения формулы I-1 по п.8, например, следующие соединения: [2-(3,6-дигидро-2Н-пиран-4-ил)-5-метансульфонилфенил][4-(4-трифторметилфенил)пиперазин-1-ил]метанон, [5-метансульфонил-2-(тетрагидропиран-4-ил)фенил][4-(4-трифторметилфенил)пиперазин-1-ил]метанон, 1-(4-{4-[2-(3,6-дигидро-2Н-пиран-4-ил)-5-метансульфонилбензоил]пиперазин-1-ил}-3-фторфенил)этанон или 4-{4-[2-(3,6-дигидро-2Н-пиран-4-ил)-5-метансульфонилбензоил]пиперазин-1-ил}-3-фторбензонитрил.
10. Соединения формулы I-1 по п.3, в которых R2 означает 5- или 6-членную гетероарильную группу, содержащую один, два гетероатома, выбранные из группы, включающей кислород, серу или азот, незамещенную или замещенную группой C1-С6алкил.
11. Соединения формулы I-1 по п.10, например, следующие соединения: (5-метансульфонил-2-тиофен-2-илфенил)[4-(4-трифторметилфенил)пиперазин-1-ил]метанон, (5-метансульфонил-2-тиофен-3-илфенил)[4-(4-трифторметилфенил)пиперазин-1-ил]метанон, [5-метансульфонил-2-(5-метилтиофен-2-ил)фенил][4-(4-трифторметилфенил)пиперазин-1-ил]метанон, (5-метансульфонил-2-пиридин-4-илфенил)[4-(4-трифторметилфенил)пиперазин-1-ил]метанон, [4-(2-фтор-4-трифторметилфенил)пиперазин-1-ил](5-метансульфонил-2-тиофен-3-илфенил)метанон или 1-{4-[4-(5-метансульфонил-2-тиофен-3-илбензоил)пиперазин-1-ил]фенил}этанон.
12. Соединения формулы I-1 по п.3, в которых R2 означает галоген, C1-С6алкил, С2-С6алкенил, причем атом водорода заменен на группу CN, С(O)-R9 или C1-С6алкил, или R2 означает C2-С6алкинил, C1-С6алкил, замещенный галогеном, или -C(O)-R9.
13. Соединения формулы I-1 по п.12, например, метиловый эфир 2-[4-(4-ацетил-2-фторфенил)пиперазин-1-карбонил]-4-нитробензойной кислоты.
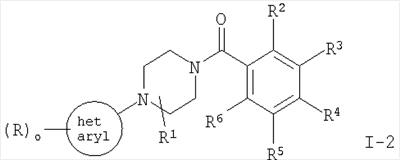
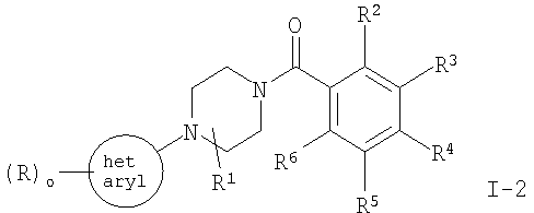
14. Соединения формулы I-2 по п.1
 где R означает галоген, C1-С6алкил, замещенный галогеном, C1-С6алкокси, NR7R8, о равно 1, 2; R1 означает водород; R2 означает фенил или 5-членный гетероарил, содержащий в качестве гетероатома серу, причем фенил является незамещенным или замещенным одним заместителем, выбранным из группы, включающей галоген, C1-С6алкокси; R3, R4 и R6 означают водород; R5 означает SO2R10; R7 и R8 независимо друг от друга означают C1-С6алкил; R10 означает C1-С6алкил, и их фармацевтически приемлемые кислотно-аддитивные соли, при условии, что исключена гетероарильная группа в значении 4-пиридин.
15. Соединения формулы I-2 по п.14, в которых R2 означает фенил, незамещенный или замещенный одним заместителем, выбранным из группы, включающей галоген, C1-С6алкокси, а другие заместители имеют указанные в п.1 значения.
16. Соединения формулы I-2 по п.15, например, следующие соединения: [4-(3-хлор-5-трифторметилпиридин-2-ил)пиперазин-1-ил](2′-фтор-4-метансульфонилбифенил-2-ил)метанон или [4-(3-хлор-5-трифторметилпиридин-2-ил)пиперазин-1-ил](4-метансульфонилбифенил-2-ил)метанон.
17. Соединения формулы I-2 по п.14, в которых R2 означает 5-членную гетероарильную группу, содержащую в качестве гетероатома серу.
18. Соединения формулы I-2 по п.17, например, [4-(3-хлор-5-трифторметилпиридин-2-ил)пиперазин-1-ил](5-метансульфонил-2-тиофен-3-илфенил)метанон.
19. Лекарственное средство, обладающее ингибирующей активностью в отношении поглощения глицина, содержащее соединение по п.1 и фармацевтически приемлемые эксципиенты.
20. Лекарственное средство по п.19, предназначенное для лечения заболеваний, при которых может быть полезным ингибирование поглощения глицина.
21. Лекарственное средство по п.21, где заболевание включает психозы, боль, дисфункцию памяти и обучения, шизофрению, деменцию и другие заболевания, при которых наблюдается недостаточность познавательных функций, такие как нарушения в виде потери внимания или болезнь Альцгеймера.
РИСУНКИ
|
|