|
|
(21), (22) Заявка: 2005120020/04, 26.11.2003
(24) Дата начала отсчета срока действия патента:
26.11.2003
(30) Конвенционный приоритет:
27.11.2002 US 60/429,605 18.04.2003 US 60/463,976
(43) Дата публикации заявки: 20.01.2006
(46) Опубликовано: 20.05.2009
(56) Список документов, цитированных в отчете о поиске:
WO 95/12416 А1, 11.05.1995. US 5770573, 23.06.1998. WO 02/070523 A1, 12.09.2002. RU 2144397 C1, 20.01.2000.
(85) Дата перевода заявки PCT на национальную фазу:
27.06.2005
(86) Заявка PCT:
US 03/37946 20031126
(87) Публикация PCT:
WO 2004/050024 20040617
Адрес для переписки:
129090, Москва, ул. Б.Спасская, 25, стр.3, ООО “Юридическая фирма Городисский и Партнеры”, пат.пов. Е.Е.Назиной
|
(72) Автор(ы):
СЮЭ Чу-Бяо (US), МЕТКАФ Брайан (US), ФЭН Хао (US), ЦАО Ганьфэн (US), ХУАН Тайшинг (US), ЧЖЭН Чаншэн (US), РОБИНСОН Дариус Дж (US), ХАНЬ Эми Ци (US)
(73) Патентообладатель(и):
ИНСАЙТ КОРПОРЕЙШН (US)
|
(54) ПРОИЗВОДНЫЕ 3-АМИНОПИРРОЛИДИНА В КАЧЕСТВЕ МОДУЛЯТОРОВ РЕЦЕПТОРОВ ХЕМОКИНОВ
(57) Реферат:
Изобретение относится к новым соединениям формулы I:

его оптическим изомерам или смеси их оптических изомеров и фармацевтически приемлемым солям, где:
его оптические изомеры или смесь его оптических изомеров и фармацевтически приемлемые соли, где:
R1 независимо выбирают из группы, состоящей из арила, гетероарила, арилкарбоксамидо, гетероарилкарбоксамидо, арилокси, арилалкокси или ариламино, и где указанные группы арила, арилалкила или гетероарила могут быть замещены 0-3 заместителями R1a, где R1a независимо выбирают из группы, состоящей из галогена, алкила, алкенила, алкокси, алкоксиалкила, гидроксиалкила, моно-, ди- или тригалогеноалкила, моно-, ди- или тригалогеноалкокси, моно- или дизамещенного аминоалкила, аминокарбонила, моно- или дизамещенного аминоалкила, аминокарбонила, моно- или дизамещенного аминокарбонила, циклического аминокарбонила, алкилсульфонила, остатка этерифицированной карбоновой кислоты, арилкарбониламино, карбамата, R1b-арила или R1b-гетероарила, где
R1b представляет Н, галоген, ОН, амино, моно- или дизамещенный амино, моно-, ди- или тригалогеноалкил, алкокси, моно-, ди- или тригалогеноалкокси, гидроксиалкил;
R2 независимо выбирают из группы, состоящей из Н, ОН, циано, галогена или арила;
необязательно R1 и R2 могут быть связаны друг с другом с образованием спироцикла;
R3, R4, R5 и R6 представляют собой Н;
необязательно R1 и R3 могут быть циклизованы с образованием карбоцикла;
необязательно R3 и R4 или R5 и R6 циклизованы с образованием мостиковой бициклической системы, содержащей этиленовый мостик;
необязательно R3 и R6 циклизованы с образованием мостиковой бициклической системы, содержащей метиленовую группу или этиленовую группу;
R7 и R8 независимо выбирают из группы, состоящей из водорода, ОН, С1-С8алкила, арилалкокси, гетероарилалкокси;
необязательно R7 и R8 могут быть циклизованы с образованием спирокарбоцикла или спирогетероцикла; и
m=0-5;
где термин «арил» включает ароматические карбоциклические группы, такие как фенил, бифенил, инденил, нафтил, и конденсированные с гетероциклами ароматические группы;
где термин «гетероцикл» включает ароматические и неароматические кольца, содержащие от 3 до 10 атомов в кольце, 1-4 из которых являются гетероатомом, выбранным из кислорода, серы или азота;
где термин «алкил», если его используют отдельно или как суффикс, означает разветвленную или неразветвленную алкильную группу, содержащую от 1 до 8 атомов углерода в цепи;
где термин «алкенил» означает ненасыщенную разветвленную или неразветвленную алкильную группу, содержащую от 2 до 12 атомов углерода в цепи.
Соединения могут быть использованы в качестве модуляторов активности рецепторов хемокинов. 7 н. и 8 з.п. ф-лы, 1 табл.
Настоящее изобретение относится к модуляторам рецепторов хемокинов, например антагонистам, и к их применению в качестве лекарственных агентов. Настоящее изобретение, кроме того, относится к новым соединениям и медицинским способам лечения воспалений и других заболеваний, особенно таких, которые связаны с накоплением лимфоцитов или моноцитов, которое наблюдается при ревматоидном артрите, волчанке, заболевании трансплантат против хозяина и/или при отторжении трансплантатов. Более конкретно, настоящее изобретение относится производным 3-аминопирролидина и к их применению в качестве модуляторов рецепторов хемокинов.
Более конкретно, настоящее изобретение относится к новым противовоспалительным и иммуномодуляторным биоактивным соединениям и содержащим их фармацевтическим композициям, которые действуют через антагонизм CCR2 рецептора (известного также как MCP-1 рецептор) и поэтому приводят к ингибированию моноцитного хемоаттрактантного белка-1 (Monocyte Chemoattractant Protein-1 (MCP-1)). Новые соединения являются производными 3-аминопирролидина. Изобретение относится далее к новым соединениям, предназначенным для использования в композициях, к способам их получения, к промежуточным соединениям, которые полезны для их получения, и к их применению в качестве терапевтических агентов.
Модуляторы/антагонисты рецепторов хемокинов настоящего изобретения могут быть эффективными в качестве терапевтических агентов и/или профилактических агентов при таких заболеваниях, как атеросклероз, астма, фиброз легких, миокардит, язвенный колит, псориаз, нефрит (нефропатия), рассеянный склероз, волчанка, системная красная волчанка, гепатит, панкреатит, саркоидоз, при трансплантации органов, болезнь Крона, эндометриоз, застойная сердечная недостаточность, вирусный менингит, церебральный инфаркт, невропатия, болезнь Кавасаки и сепсис, при которых инфильтрация в ткани лейкоцитов крови, таких как моноциты и лимфоциты, играет основную роль в инициировании, развитии или поддержании заболевания.
В настоящем изобретении предложены также иммуномодуляторные биоактивные соединения и их фармацевтические композиции, которые действуют через антагонизм CCR5 рецепторов.
Предпосылки изобретения
Миграция и транспорт лейкоцитов из кровеносных сосудов в больные ткани является, по-видимому, решающим компонентом в инициировании нормальных воспалительных реакций при борьбе с заболеванием. Этот процесс, известный так же как процесс привлечения лейкоцитов, также относится к возникновению и развитию угрожающих жизни воспалений, также как и подтачивающих здоровье аутоиммунных заболеваний. Возникающая при этих заболеваниях патология является результатом атаки защитной иммунной системы организма на нормальные ткани. Соответственно, предотвращение и блокирование привлечения лейкоцитов к тканям-мишеням при воспалительных и аутоиммунных заболеваниях могло бы служить высоко эффективным подходом к терапевтическому вмешательству.
Различные классы клеток лейкоцитов, которые участвуют в клеточных иммунных реакциях, включают моноциты, лимфоциты, нейтрофилы, эозинофилы и базофилы. В большинстве случаев лимфоциты являются таким классом лейкоцитов, которые инициируют, координируют и поддерживают хронические воспалительные реакции, и таким образом являются обычно наиболее важным классом клеток, которые необходимо блокировать от проникновения в участки воспалений. Лимфоциты привлекают моноциты в участки тканей, которые совместно с лимфоцитами ответственны за большинство существующих повреждений тканей, которые наблюдаются при воспалительных заболеваниях. Известно, что инфильтрация лимфоцитов и/или моноцитов приводит к широкому ряду хронических, аутоиммунных заболеваний, а также к отторжению трансплантированных органов. Такие заболевания включают, но ими не ограничиваются, ревматоидный артрит, хронический контактный дерматит, воспалительные заболевания кишечника, волчанку, системную красную волчанку, рассеянный склероз, атеросклероз, псориаз, саркоидоз, идиопатический фиброз легких, дерматомиозит, кожную пузырчатку и родственные заболевания, (например, обыкновенная пузырчатка, листовидная пузырчатка, эритематозная пузырчатка), гломерулонефрит, васкулит, гепатит, диабет, отторжение аллотрансплантатов и реакцию трансплантат против хозяина .
Процесс, в результате которого лейкоциты покидают поток крови и накапливаются в участках воспалений и возникает заболевание, имеет, по крайней мере, три стадии, которые описываются как (1) перемещение, (2) активация/прочная адгезия и (3) трансэндотелиальная миграция [Springer, T.A., Nature 346:425-433 (1990); Lawrence and Springer, Cell 65:859-873 (1991); Butcher, E.C., Cell 67:1033-1036 (1991)]. Вторая стадия опосредствована на молекулярном уровне хемоаттрактантными рецепторами. Хемоаттрактантные рецепторы на поверхности лейкоцитов затем связывают хемоаттрактантные цитокины, которые секретируются клетками на участках повреждений или инфицирования. Рецепторное связывание активирует лейкоциты, повышает адгезионную способность адгезионных молекул, которые опосредствуют трансэндотелиальную миграцию и промотируют непосредственную миграцию клеток в направлении источника хемоаттрактантных цитокинов.
Цитокины, вызывающие хемотаксис (лейкоцитный хемоаттрактант/активирующие факторы), известные также как хемокины, известные также как интеркрины и SIS цитокины, представляют собой группу воспалительных/иммуномодуляторных полипептидных факторов с молекулярной массой 6-15 кДа, которые высвобождаются широким рядом клеток, таких как макрофаги, моноциты, эозинофилы, нейтрофилы, фибробласты, сосудистые эндотелиальные клетки, клетки гладких мышц и тучные клетки в участках воспалений (обзор в Luster, New Eng. J Med., 338, 436-445 (1998) и Rollins, Blood, 90, 909-928 (1997)). Кроме того, хемокины были описаны Oppenheim, J.J. et al., Annu. Rev. Immunol., 9:617-648 (1991); Schall and Bacon, Curr. Opin. Immunol., 6:865-873 (1994); Baggiolini, M., et al., и Adv. Immunol., 55:97-179 (1994). Хемокины обладают способностью стимулировать направленную миграцию клеток, процесс, известный как хемотаксис. Каждый хемокин содержит четыре цистеиновых остатка (C) и две внутренние дисульфидные связи. Хемокины можно сгруппировать в два подсемейства на основании того, расположены ли два аминотерминальных цистеиновых остатков непосредственно рядом (CC семейство) или разделены одной аминокислотой (CXC семейство). Эти различия коррелируют с организацией этих двух подсемейств в отдельные генные кластеры. Внутри каждого генного кластера хемокины обычно демонстрируют сходство последовательностей от 25 до 60%. CXC хемокины, такие как интерлейкин-8 (IL-8), нейтрофил-активирующий белок-2 (NAP-2) и белок, стимулирующий активность роста меланомы (MGSA), являются хемотаксическими, главным образом, для нейтрофилов и T лимфоцитов, тогда как CC хемокины, такие как RANTES, MEP-1 , MIP-1 , моноцито хемотаксические белки (MCP-1, MCP-2, MCP-3, MCP-4 и MCP-5) и эотаксины (-1 и -2), являются хемотаксическими для, наряду с другими типами клеток, макрофагов, T лимфоцитов, эозинофилов, дендритных клеток и базофилов. Существуют также хемокины лимфотактин-1, лимфотактин-2 (оба C хемокины) и фракталкин (CXXXC хемокин), которые не попадают в основные подсемейства хемокинов.
MCP-1 (известный также как MCAF (сокращение для макрофаг- хемотаксического и активирующего фактора) или JE) является CC хемокином, продуцируемым моноцитами/макрофагами, клетками гладких мышц, фибробластами и эндотелиальными клетками сосудов, и вызывает миграцию клеток и клеточную адгезию моноцитов (см., например, Valente, A.J., et al., Biochemistry, 1988, 27, 4162; Matsushima, K., et al., J. Exp. Med., 1989, 169, 1485; Yoshimura, T., et al., J. Immunol., 1989, 142, 1956; Rollins, B.J., et al., Proc. Natl. Acad. Sci. USA, 1988, 85, 3738; Rollins, B.J., et al., Blood, 1991, 78, 1112; Jiang, Y., et al., J. Immunol., 1992, 148, 2423; Vaddi, K., et al., J.Immunol., 1994, 153, 4721), T лимфоцитов памяти (см., например, Carr, M.W., et al., Proc. Natl. Acad. Sci. USA, 1994, 91, 3652), T лимфоцитов (см., например, Loetscher, P., et al., FASEB J., 1994, 8, 1055) и природных клеток-киллеров (см., например, Loetscher, P., et al., J. Immunol., 1996, 156, 322; Allavena, P., et al., Eur. J. Immunol., 1994, 24, 3233), также как опосредствующих выделение гистамина базофилов (см., например, Alam, R., et al., J. Clin. Invest., 1992, 89, 723; Bischoff, S. C, et al., J. Exp. Med., 1992, 175,1271; Kuna, P., et al., J. Exp. Med., 1992, 175, 489). Кроме того, сообщалось о высокой экспрессии MCP-1 при таких заболеваниях, где накопление моноцитов/макрофагов и/или T клеток, как считают, является важным фактором для возникновения или развития заболеваний, таких как атеросклероз (см., например, Hayes, I.M., et al., Arterioscler. Thromb. Vase. Biol., 1998, 18, 397; Takeya, M., et al., Hum. Pathol., 1993, 24, 534; Yla-Herttuala, S., et al., Proc. Natl. Acad. Sci. USA, 1991, 88, 5252; Nelken, N.A., J. Clin. Invest., 1991, 88, 1121), ревматоидный артрит (см., например, Koch,. A.E., et al., J. Clin. Invest, 1992, 90, 772; Akahoshi, T., et al., Arthritis Rheum., 1993, 36, 762; Robinson, E., et al., Clin. Exp. Immunol., 101, 398), нефрит (см., например, Noris, M., et al., Lab. Invest, 1995, 73, 804; Wada, T., at al., Kidney Int., 1996; 49, 761; Gesualdo, L., et al., Kidney Int., 1997, 51, 155), нефропатия (см., например, Saitoh, A., et al., J. Clin. Lab. Anal., 1998, 12, 1; Yokoyama, H., et al., J. Leukoc. Biol., 1998, 63, 493), фиброз легких, саркоидоз легких (см., например, Sugiyama, Y., et al., Internal Medicine, 1997, 36, 856), астма (см., например, Karina, M., et al., J. Invest. Allergol. Clin. Immunol., 1997, 7, 254; Stephene, T.H., Am. J. Respir. Crit. Care Med., 1997, 156, 1377; Sousa, A.R., et al., Am. J. Respir. Cell Mol. Biol., 1994, 10, 142), рассеянный склероз (см., например, McManus, C, et al., J. Neuroimmunol., 1998, 86, 20), псориаз (см., например, Gillitzer, R., et al., J. Invest Dermatol., 1993, 101, 127), воспалительные заболевания кишечника (см., например, Grimm, M.C, et al., J. Leukoc. Biol., 1996, 59, 804; Reinecker, H.C, et al., Gastroenterology, 1995, 106, 40), миокардит (см., например, Seino, Y., et al., Cytokine, 1995, 7, 301), эндометриоз (см., например, Jolicoeur, C, et al., Am. J. Pathol., 1998, 152, 125), внутрибрюшинные спайки (см., например, Zeyneloglu, H.B., et al., Human Reproduction, 1998, 13, 1194), застойная сердечная недостаточность (см., например, Aurust, P., et al., Circulation, 1998, 97, 1136), хронические заболевания печени (см., например, Marra, F., et al., Am. J. Pathol., 1998, 152, 423), вирусный менингит (см., например, Lahrtz, F., et al., Eur. J. Immunol., 1997, 27, 2484), болезнь Кавасаки (см., например, Wong, M.; et al., J. Rheumatol., 1997, 24, 1179) и сепсис (см., например, Salkowski, C.A.; et al., Infect. Immun., 1998, 66, 3569). Кроме того, сообщалось, что антитела против MCP-1 демонстрируют ингибирующий эффект или терапевтический эффект на моделях животных при таких заболеваниях как ревматоидный артрит (см., например, Schimmer, R.C, et al., J. Immunol., 1998, 160, 1466; Schrier, D.J., J. Leukoc. Biol., 1998, 63, 359; Ogata, H., et al., J. Pathol., 1997, 182, 106), рассеянный склероз (см., например, Karpus, W.J., et al., J. Leukoc. Biol., 1997, 62, 681), нефрит (см., например, Lloyd, C.M., et al., J. Exp. Med., 1997, 185, 1371; Wada, T., et al., FASEB J., 1996, 10, 1418), астма (см., например, Gonzalo, J.-A., et al., J. Exp. Med., 1998, 188, 157; Lukacs, N. W., J. Immunol., 1997,158,4398), атеросклероз (см., например, Guzman, L.A., et al., Circulation, 1993, 88 (suppl.), 1-371), гиперчувствительность замедленного типа (см., например, Rand, M.L., et al., Am. J. Pathol., 1996, 148, 855), легочная гипертензия (см., например, Kimura, H., et al., Lab. Invest., 1998, 78, 571) и внутрибрюшинные спайки (см., например, Zeyneloglu, H.B., et al., Am. J. Obstet. GynecoL, 1998, 179, 438). Сообщалось также, что пептидные антагонисты MCP-1, MCP-1(9-76), ингибируют артрит на моделях мышей (см. Gong, J.-H., J. Exp., 4ed., 1997, 186, 131), так же как и исследования на MCP-1-дефицитных мышах показали, что MCP-1 являются необходимыми для привлечения моноцитов in vivo (см. Lu, B., et al., J. Exp. Med., 1998, 187, 601; Gu, L., et al., Moll. Cell, 1998, 2, 275).
Опубликованные литературные данные указывают на то, что хемокины, такие как MCP-1 и MIP-1 , привлекают моноциты и лимфоциты к воспаленным участкам и опосредствуют их активацию, и поэтому считают, что они в конечном счете вовлечены в инициирование, развитие и поддержание заболевания, в котором активно участвуют моноциты и лимфоциты, такого как атеросклероз, рестеноз, ревматоидный артрит, псориаз, астма, язвенный колит, нефрит (нефропатия), рассеянный склероз, фиброз легких, миокардит, гепатит, панкреатит, саркоидоз, болезнь Крона, эндометриоз, застойная сердечная недостаточность, вирусный менингит, церебральный инфаркт, невропатия, болезнь Кавасаки и сепсис (см., например, Rovin, B.H., et al., Am. J. Kidney. Dis., 1998, 31, 1065; Lloyd, C, et al., Curr. Opin. Nephrol. Hypertens., 1998, 7, 281; Conti, P., et al., Allergy and Asthma Proc, 1998, 19, 121; Ransohoff, R.M., et al., Trends Neurosci., 1998, 21, 154; MacDermott, R.P., et al., Inflammatory Bowel Diseases, 1998, 4, 54).
Хемокины связываются со специфическими рецепторами на поверхности клеток, принадлежащими к семейству связанных с G-белком семи-трансмембранодоменных белков (обзор в Horuk, Trends Pharm. 25 Sci., 15, 159-165 (1994)), которые называют “рецепторами хемокинов”. При связывании с родственными им лигандами рецепторы хемокинов преобразовывают внутриклеточный сигнал через ассоциированные тримерные G белки, что приводит, наряду с другими реакциями, к быстрому повышению внутриклеточной концентрации кальция, к изменениям формы клеток, к усилению экспрессии клеточных адгезионных молекул, к дегрануляции и к промотированию миграции клеток.
Гены, кодирующие рецепторы специфических хемокинов, были клонированы, и теперь известно, что эти рецепторы представляют собой связанные с G белком семитрансмембранные рецепторы, присутствующие на различных популяциях лейкоцитов. До настоящего времени были идентифицированы, по крайней мере, пять CXC рецепторов хемокинов (CXCR1-CXCR5) и восемь CC рецепторов хемокинов (CCR1-CCR8). Например, IL-8 является лигандом для CXCR1 и CXCR2, MIP-1 является лигандом для CCR1 и CCR5, и MCP-1 является лигандом для CCR2A и CCR2B (для ссылки см., например, Holmes, W.E., et al., Science 1991, 253, 1278-1280; Murphy P.M., et al., Science, 253, 1280-1283; Neote, K. et al, Cell, 1993, 72, 415-425; Charo, I.P., et al., Proc. Natl. Acad. Sci. USA, 1994, 91, 2752-2756; Yamagami, S., et al., Biochem. Biophys. Res. Commun., 1994, 202, 1156-1162; Combadier, C., et al., The Journal of Biological Chemistry, 1995, 270, 16491-16494, Power, C.A., et al., J. Biol. Chem., 1995, 270, 19495-19500; Samson, M., et al., Biochemistry, 1996, 35, 3362-3367; Murphy, P.M., Annual Review of Immunology, 1994, 12, 592-633). Сообщалось, что воспаление легких и образование гранулемы подавляется у CCR1-дефицитных мышей (см. Gao, J.-L., et al., J. Exp. Med., 1997, 185, 1959; Gerard, C, et al., J. Clin. Invest., 1997, 100, 2022) и что привлечение макрофагов и образование атеросклеротических бляшек снижается у CCR2-дефицитных мышей (см. Boring, L., et al., Nature, 1998, 394, 894; Kuziel, W.A., et al., Proc. Natl. Acad. Sci., USA, 1997, 94, 12053; Kurihara, T., et al., J. Exp. Med., 1997, 186, 1757; Boring, L., et al., J. Clin. Invest., 1997, 100, 2552).
Соответственно, лекарственные средства, которые ингибировали бы связывание хемокинов, таких как MCP-1 и/или MIP-1 , с этими рецепторами, например антагонисты рецепторов хемокинов, могли бы быть полезны в качестве фармацевтических агентов, которые ингибировали бы воздействие хемокинов, таких как MCP-1 и/или MIP-1 , на клетки-мишени, но в предшествующем уровне техники нет указаний относительно производных 3-аминопирролидина, которые обладают такими фармакологическими свойствами. Обнаружение соединений, которые модулируют функции CCR2 и/или CCR5, представляет превосходный подход к созданию лекарственных средств для разработки фармакологических агентов для лечения воспалительных состояний и заболеваний, связанных с активацией CCR2 и/или CCR5, таких как ревматоидный артрит, волчанка и другие воспалительные заболевания. Настоящее изобретение преодолевает длительную потребность в области модуляторов и антагонистов рецепторов хемокинов.
Цель настоящего изобретения
Учитывая все вышеизложенное, важной целью настоящего изобретения является создание антагонистов рецепторов хемокинов и модуляторов рецепторов хемокинов для лечения ревматоидного артрита.
Другой основной целью настоящего изобретения является создание антагонистов рецепторов хемокинов и их применение в качестве лекарственных средств.
Дополнительной целью настоящего изобретения является создание модуляторов рецепторов хемокинов и их применение в качестве лекарственных средств.
Еще одной целью настоящего изобретения является создание производных 3-аминопирролидина.
Другая цель настоящего изобретения относится к новым соединениям и медицинским способам лечения воспалений.
Еще одной целью настоящего изобретения является создание новых противовоспалительных и иммуномодуляторных биоактивных соединений и содержащих их фармацевтических композиций, которые действуют как антагонисты CCR2 рецепторов.
Дополнительной целью настоящего изобретения является создание производных 3-аминопирролидина и их применение в качестве модуляторов рецепторов хемокинов.
Еще одной дополнительной целью настоящего изобретения является создание производных 3-аминопирролидина и их применение для лечения и профилактики атеросклероза и рестеноза.
Еще одной целью настоящего изобретения является создание производных 3-аминопирролидина и их применение в качестве модуляторов CCR5 рецепторов.
Еще одной основной целью настоящего изобретения является создание биоактивных соединений 3-аминопирролидина и содержащих их фармацевтических композиций, которые действуют как антагонисты CCR5 рецепторов.
Другие цели и конкретные воплощения настоящего изобретения будут обсуждаться ниже. Однако важно отметить, что многие дополнительные варианты настоящего изобретения, которые не описаны в рассматриваемой заявке, тем не менее, могут быть включены в сущность и объем настоящего изобретения и/или в формулу изобретения.
Краткое описание изобретения
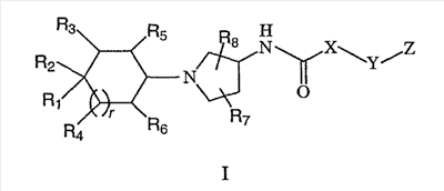
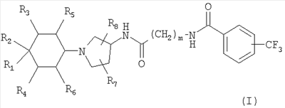
Настоящее изобретение относится, в его наиболее широком воплощении, к соединениям формулы I:

его энантиомерам, диастереоизомерам, энантиомерно обогащенным смесям, его рацемическим смесям, его пролекарствам, кристаллическим формам, некристаллическим формам, его аморфным формам, его сольватам, метаболитам и фармацевтически приемлемым солям, где:
X выбирают из группы, состоящей из арила, моно- или полизамещенного арила, гетероцикла, гетероарила, моно- или полизамещенного гетероарила, карбоцикла, моно- или полизамещенного карбоцикла (CR9R10)n, где n=0-5;
Y представляет связь, или его выбирают из группы, состоящей из кислорода, серы, азота, амидной связи, тиоамидной связи, сульфонамида, кетона, -CHOH-, -CHO-алкила-, оксима или мочевины;
Z выбирают из группы, состоящей из карбоцикла, арила, гетероцикла или гетероарила, содержащего 0-3 заместителя R11, где R11 независимо выбирают из группы, состоящей из галогена, алкила, алкенила, алкинила, алкокси, алкоксиалкила, алкилтиоалкила, тиоалкила, моно-, ди- или тригалогеноалкила, моно-, ди- или тригалогеноалкокси, нитро, амино, моно- или дизамещенного амино, моно- или дизамещенного аминоалкила, карбоксила, этерифицированного карбоксила, карбоксамидо, моно- или дизамещенного карбоксамидо, карбамата, моно- или дизамещенного карбамата, сульфонамида, моно- или дизамещенного сульфонамида, алкилкарбонила, циклического алкилсульфонила, арилсульфонила, гетероарилсульфонила, алкилкарбонила, циклического алкилкарбонила, арилкарбонила, гетероарилкарбонила, тиокарбоксамидо, циано и R11а-арила или R11a-гетероарила, где R11a представляет H, галоген, OH, амино, моно- или дизамещенный амино, моно-, ди- или тригалогеноалкил, алкокси, моно-, ди- или тригалогеноалкокси, карбоксамид, сульфонамид, карбамат, мочевину или циано;
R1 независимо выбирают из группы, состоящей из карбоцикла, гетероцикла, арила, гетероарила, арилалкила, гетероарилалкила, арилалкенила, гетероарилалкенила, арилалкинила, гетероарилалкинила, ариламинокарбонила, гетероариламинокарбонила, арилкарбоксамидо, гетероарилкарбоксамидо, арилуреидо, гетероарилуреидо, арилокси, гетероарилокси, арилалкокси, гетероарилалкокси, ариламино или гетероариламино, и где указанные группы карбоцикла, гетероцикла, арила, арилалкила, гетероарила или гетероарилалкила могут быть замещены 0-3 заместителями R1a, где R1a независимо выбирают из группы, состоящей из галогена, алкила, алкенила, алкинила, алкокси, алкоксиалкила, алкилтиоалкила, гидроксиалкила, моно-, ди- или тригалогеноалкила, моно-, ди- или тригалогеноалкокси, нитро, амино, моно- или дизамещенного амино, моно- или дизамещенного аминоалкила, аминокарбонила, моно- или дизамещенного аминокарбонила, циклического аминокарбонила, аминосульфонила, моно- или дизамещенного аминосульфонила, алкилкарбонила, циклического алкилкарбонила, арилкарбонила, гетероарилкарбонила, алкилсульфонила, циклического алкилсульфонила, арилсульфонила, гетероарилсульфонила, карбоновой кислоты, этерифицированной карбоновой кислоты, алкилкарбониламино, циклического алкилкарбониламино, арилкарбониламино, гетероарилкарбониламино, циано, арилалкила, гетероарилалкила, арилоксиалкила, гетероарилоксиалкила, арилтиоалкила, гетероарилтиоалкила, карбамата, моно- или дизамещенного карбамата, R1b-арила или R1b-гетероарила, где R1b представляет H, галоген, OH, амино, моно- или дизамещенный амино, моно-, ди- или тригалогеноалкил, алкокси, моно-, ди- или тригалогеноалкокси, гидроксиалкил, алкоксиалкил, аминоалкил, моно- или дизамещенный аминоалкил, карбоксамид, сульфонамид, карбамат, мочевину или циано;
R2 независимо выбирают из группы, состоящей из H, амино, моно- или дизамещенного амино, OH, карбоксила, этерифицированного карбоксила, карбоксамида, N-монозамещенного карбоксамида и N,N-дизамещенного карбоксамида, циано, алкила, алкенила, алкинила, циклоалкила, циклоалкенила, алкокси, тиоалкила, моно-, ди- или тригалогеноалкила, галогена, арила или гетероарила;
необязательно R1 и R2 могут быть связаны друг с другом с образованием спироцикла;
R3, R4, R5 и R6 независимо выбирают из группы, состоящей из H, амино, OH, алкила, галогеноалкила, дигалогеноалкила, тригалогеноалкила, алкенила, алкинила, арила, гетероарила, арилалкила, гетероарилалкила, алкокси и тиоалкила,
необязательно R1 и R3 могут быть циклизованы с образованием карбоцикла или гетероцикла, содержащего 0-3 заместителя Ra, где Ra выбирают из группы, состоящей из галогена, алкила, алкокси, тиоалкила, моно-, ди- или тригалогеноалкила, моно-, ди- или тригалогеноалкокси, нитро, амино, карбоксила, этерифицированного карбоксила, карбоксамидо, тиокарбоксамидо, циано, моно-, дизамещенного или полизамещенного арила и гетероцикла, необязательно содержащих 0-3 Rb, где Rb выбирают из группы, состоящей из галогена, алкила, алкокси, тиоалкила, моно-, ди- или тригалогеноалкила, моно-, ди- или тригалогеноалкокси, нитро, амино, карбоксила, этерифицированного карбоксила, карбоксамидо, тиокарбоксамидо и циано;
необязательно R3 и R4 или R5 и R6 циклизованы с образованием мостиковой бициклической системы, содержащей этиленовый мостик;
необязательно R3 и R6 циклизованы с образованием мостиковой бициклической системы, содержащей метиленовую группу или этиленовую группу, или гетероатом, выбранный из группы, состоящей из N, O и S;
R7 и R8 независимо выбирают из группы, состоящей из водорода, C1-C8 алкила, причем необязательно цепь C1-C8алкила может прерываться кислородом или серой; алкокси, моно-, ди- или тригалогеноалкила, моно-, ди- или тригалогеноалкокси, алкоксиалкила, арилокси, гетероарилокси, арилалкокси, гетероарилалкокси, арилоксиалкила, гетероарилоксиалкила, арилалкоксиалкила или гетероарилалкоксиалкила;
необязательно R7 и R8 могут быть циклизованы с образованием спирокарбоцикла или спирогетероцикла;
R9 и R10 независимо выбирают из группы, состоящей из H, OH, амино, алкокси, моно- или дизамещенного амино, алкила, алкенила, алкинила, арила, арилалкила, гетероарила, гетероарилалкила, карбоцикла или гетероцикла;
необязательно R9 и R10 могут быть циклизованы с образованием карбоцикла или гетероцикла; и r=0-3.
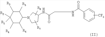
В настоящем изобретении предложены также соединения формулы II:

где значения X, Y, Z, R1, R2, R3, R4, R5, R6, R7 и R8 подробно раскрыты ниже при описании предпочтительных вариантов; ради краткости следует указать, что каждая из групп заместителей определена как наиболее предпочтительная подгруппа соответствующих групп заместителей, как определено для соединений формулы I.
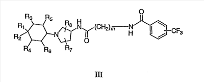
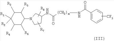
Рассматриваемое изобретение относится также к соединениям формулы III:

где значения R1, R2, R3, R4, R5, R6, R7 и R8 подробно раскрыты ниже при описании предпочтительных вариантов; ради краткости следует указать, что каждая из групп заместителей определена как наиболее предпочтительная подгруппа соответствующих групп заместителей, как определено для соединений формулы I.
Рассматриваемое изобретение относится также к фармацевтическим композициям, которые содержат противовоспалительные и/или иммуномодуляторные соединения формул I, II и III, как указано выше, которые действуют как антагонисты рецептора CCR2 (известного также как рецептор MCP-1) и поэтому ингибируют моноцитный хемоаттрактантный белок-1 (MCP-1).
Рассматриваемое изобретение относится также к фармацевтическим композициям, которые содержат противовоспалительные и/или иммуномодуляторные соединения формулы I, II и III, как указано выше, которые действуют как антагонисты рецептора CCR5, (известного также как рецептор MCP-1) и поэтому ингибируют моноцитный хемоаттрактантный белок-1 (MCP-1).
Настоящее изобретение относится также к соединениям формул I, II и III, которые являются модуляторами функций рецептора хемокинов CCR2 и которые полезны для профилактики или лечения воспалительных заболеваний, таких как ревматоидный артрит, аллергические заболевания, псориаз, атопический дерматит, волчанка и астма.
Настоящее изобретение раскрывает также соединения формул I, II и III, которые являются модуляторами функций рецепторов хемокинов CCR5 и которые полезны для профилактики или лечения воспалительных состояний и заболеваний, таких как ревматоидный артрит, аллергические заболевания, псориаз, атопический дерматит, волчанка и астма.
Далее настоящее изобретение относится к способу модулирования активности рецепторов хемокинов у млекопитающих, который включает введение эффективного количества соединения формулы I или II или III.
В настоящем изобретении предложены также фармацевтические композиции, содержащие соединения, выбранные из группы соединений формул I, II и III, и применение этих соединений и содержащих их композиций для профилактики или лечения заболеваний, в которых участвуют рецепторы хемокинов CCR2.
В настоящем изобретении предложены также фармацевтические композиции, содержащие соединения, выбранные из группы соединений формул I, II и III, и применение этих соединений и содержащих их композиций для профилактики или лечения заболеваний, в которых участвуют рецепторы хемокинов CCR5.
Кроме того, в настоящем изобретении предложен способ лечения воспалений, ревматоидного артрита, волчанки, системной красной волчанки, атеросклероза, рестеноза, нарушений иммунной системы и отторжение трансплантатов у нуждающихся в этом млекопитающих, включающий введение терапевтически эффективного количества фармацевтической композиции, содержащей соединение в соответствии с формулами I, II и III, в смеси с фармацевтически приемлемым эксципиентом, разбавителем или носителем.
Описание предпочтительных вариантов
Настоящее изобретение относится к соединениям следующей химической структуры I и II:


их энантиомерам, диастереоизомерам, энантиомерно обогащенным смесям, его рацемическим смесям, их пролекарствам, кристаллическим формам, некристаллическим формам, их аморфным формам, их сольватам, метаболитам и фармацевтически приемлемым солям, где:
X выбирают из группы, состоящей из арила, моно- или полизамещенного арила, гетероцикла, гетероарила, моно- или полизамещенного гетероарила, карбоцикла, моно- или полизамещенного карбоцикла (CR9R10)n, где n=0-5;
Y представляет связь, или его выбирают из группы, состоящей из кислорода, серы, азота, амидной связи, тиоамидной связи, сульфонамида, кетона, -CHOH-, -CHO-алкила-, оксима или мочевины;
Z выбирают из группы, состоящей из карбоцикла, арила, гетероцикла или гетероарила, содержащих 0-3 заместителя R11, где R11 независимо выбирают из группы, состоящей из галогена, алкила, алкенила, алкинила, алкокси, алкоксиалкила, алкилтиоалкила, тиоалкила, моно-, ди- или тригалогеноалкила, моно-, ди- или тригалогеноалкокси, нитро, амино, моно- или дизамещенного амино, моно- или дизамещенного аминоалкила, карбоксила, этерифицированного карбоксила, карбоксамидо, моно- или дизамещенного карбоксамидо, карбамата, моно- или дизамещенного карбамата, сульфонамида, моно- или дизамещенного сульфонамида, алкилкарбонила, циклического алкилсульфонила, арилсульфонила, гетероарилсульфонила, алкилкарбонила, циклического алкилкарбонила, арилкарбонила, гетероарилкарбонила, тиокарбоксамидо, циано и R11a-арила или R11a-гетероарила, где R11a представляет H, галоген, OH, амино, моно- или дизамещенный амино, моно-, ди- или тригалогеноалкил, алкокси, моно-, ди- или тригалогеноалкокси, карбоксамид, сульфонамид, карбамат, мочевину или циано;
R1 независимо выбирают из группы, состоящей из карбоцикла, гетероцикла, арила, гетероарила, арилалкила, гетероарилалкила, арилалкенила, гетероарилалкенила, арилалкинила, гетероарилалкинила, ариламинокарбонила, гетероариламинокарбонила, арилкарбоксамидо, гетероарилкарбоксамидо, арилуреидо, гетероарилуреидо, арилокси, гетероарилокси, арилалкокси, гетероарилалкокси, ариламино или гетероариламино, и где указанные группы карбоцикла, гетероцикла, арила, арилалкила, гетероарила или гетероарилалкила могут быть замещены 0-3 заместителями R1a, где R1a независимо выбирают из группы, состоящей из галогена, алкила, алкенила, алкинила, алкокси, алкоксиалкила, алкилтиоалкила, гидроксиалкила, моно-, ди- или тригалогеноалкила, моно-, ди- или тригалогеноалкокси, нитро, амино, моно- или дизамещенного амино, моно- или дизамещенного аминоалкила, аминокарбонила, моно- или дизамещенного аминокарбонила, циклического аминокарбонила, аминосульфонила, моно- или дизамещенного аминосульфонила, алкилкарбонила, циклического алкилкарбонила, арилкарбонила, гетероарилкарбонила, алкилсульфонила, циклического алкилсульфонила, арилсульфонила, гетероарилсульфонила, карбоновой кислоты, этерифицированной карбоновой кислоты, алкилкарбониламино, циклического алкилкарбониламино, арилкарбониламино, гетероарилкарбониламино, циано, арилалкила, гетероарилалкила, арилоксиалкила, гетероарилоксиалкила, арилтиоалкила, гетероарилтиоалкила, карбамата, моно- или дизамещенного карбамата, R1b-арила или R1b-гетероарила, где R1b представляет H, галоген, OH, амино, моно- или дизамещенный амино, моно-, ди- или тригалогеноалкил, алкокси, моно-, ди- или тригалогеноалкокси, гидроксиалкил, алкоксиалкил, аминоалкил, моно- или дизамещенный аминоалкил, карбоксамид, сульфонамид, карбамат, мочевину или циано;
R2 независимо выбирают из группы, состоящей из H, амино, моно- или дизамещенного амино, OH, карбоксила, этерифицированного карбоксила, карбоксамида, N-монозамещенного карбоксамида и N,N-дизамещенного карбоксамида, циано, алкила, алкенила, алкинила, циклоалкила, циклоалкенила, алкокси, тиоалкила, моно-, ди- или тригалогеноалкила, галогена, арила или гетероарила;
необязательно R1 и R2 могут быть связаны друг с другом с образованием спироцикла;
R3, R4, R5 и R6 независимо выбирают из группы, состоящей из H, амино, OH, алкила, галогеноалкила, дигалогеноалкила, тригалогеноалкила, алкенила, алкинила, арила, гетероарила, арилалкила, гетероарилалкила, алкокси и тиоалкила,
необязательно R1 и R3 могут быть циклизованы с образованием карбоцикла или гетероцикла, содержащего 0-3 заместителя Ra, где Ra выбирают из группы, состоящей из галогена, алкила, алкокси, тиоалкила, моно-, ди- или тригалогеноалкила, моно-, ди- или тригалогеноалкокси, нитро, амино, карбоксила, этерифицированного карбоксила, карбоксамидо, тиокарбоксамидо, циано, моно-, дизамещенного или полизамещенного арила и гетероцикла, необязательно содержащих 0-3 Rb, где Rb выбирают из группы, состоящей из галогена, алкила, алкокси, тиоалкила, моно-, ди- или тригалогеноалкила, моно-, ди- или тригалогеноалкокси, нитро, амино, карбоксила, этерифицированного карбоксила, карбоксамидо, тиокарбоксамидо и циано;
необязательно R3 и R4 или R5 и R6 циклизованы с образованием мостиковой бициклической системы, содержащей этиленовый мостик;
необязательно R3 и R6 циклизованы с образованием мостиковой бициклической системы, содержащей метиленовую группу или этиленовую группу, или гетероатом, выбранный из группы, состоящей из N, O и S;
R7 и R8 независимо выбирают из группы, состоящей из водорода, C1-C8алкила, причем необязательно цепь C1-C8алкила может прерываться кислородом или серой; алкокси, моно-, ди- или тригалогеноалкила, моно-, ди- или тригалогеноалкокси, алкоксиалкила, арилокси, гетероарилокси, арилалкокси, гетероарилалкокси, арилоксиалкила, гетероарилоксиалкила, арилалкоксиалкила или гетероарилалкоксиалкила;
необязательно R7 и R8 могут быть циклизованы c образованием спирокарбоцикла или спирогетероцикла;
R9 и R10 независимо выбирают из группы, состоящей из H, OH, амино, алкокси, моно- или дизамещенного амино, алкила, алкенила, алкинила, арила, арилалкила, гетероарила, гетероарилалкила, карбоцикла или гетероцикла;
необязательно R9 и R10 могут быть циклизованы с образованием карбоцикла или гетероцикла; и
r=0-3.
Настоящее изобретение относится также к соединению формулы III:

его энантиомерам, диастереоизомерам, энантиомерно обогащенным смесям и рацемическим смесям, пролекарствам, кристаллическим формам, некристаллическим формам, его аморфным формам, его сольватам, его метаболитам и фармацевтически приемлемым солям, где:
R1 независимо выбирают из группы, состоящей из карбоцикла, гетероцикла, арила, гетероарила, арилалкила, гетероарилалкила, арилалкенила, гетероарилалкенила, арилалкинила, гетероарилалкинила, ариламинокарбонила, гетероариламинокарбонила, арилкарбоксамидо, гетероарилкарбоксамидо, арилуреидо, гетероарилуреидо, арилокси, гетероарилокси, арилалкокси, гетероарилалкокси, ариламино или гетероариламино, и где указанные группы карбоцикла, гетероцикла, арила, арилалкила, гетероарила или гетероарилалкила могут быть замещены 0-3 заместителями R1a, где R1a независимо выбирают из группы, состоящей из галогена, алкила, алкенила, алкинила, алкокси, алкоксиалкила, алкилтиоалкила, гидроксиалкила, моно-, ди- или тригалогеноалкила, моно-, ди- или тригалогеноалкокси, нитро, амино, моно- или дизамещенного амино, моно- или дизамещенного аминоалкила, аминокарбонила, моно- или дизамещенного аминокарбонила, циклического аминокарбонила, аминосульфонила, моно- или дизамещенного аминосульфонила, алкилкарбонила, циклического алкилкарбонила, арилкарбонила, гетероарилкарбонила, алкилсульфонила, циклического алкилсульфонила, арилсульфонила, гетероарилсульфонила, карбоновой кислоты, этерифицированной карбоновой кислоты, алкилкарбониламино, циклического алкилкарбониламино, арилкарбониламино, гетероарилкарбониламино, циано, арилалкила, гетероарилалкила, арилоксиалкила, гетероарилоксиалкила, арилтиоалкила, гетероарилтиоалкила, карбамата, моно- или дизамещенного карбамата, R1b-арила или R1b-гетероарила, где R1b представляет H, галоген, OH, амино, моно- или дизамещенный амино, моно-, ди- или тригалогеноалкил, алкокси, моно-, ди- или тригалогеноалкокси, гидроксиалкил, алкоксиалкил, аминоалкил, моно- или дизамещенный аминоалкил, карбоксамид, сульфонамид, карбамат, мочевину или циано;
R2 независимо выбирают из группы, состоящей из H, амино, моно- или дизамещенного амино, OH, карбоксила, этерифицированного карбоксила, карбоксамида, N-монозамещенного карбоксамида и N,N-дизамещенного карбоксамида, циано, алкила, алкенила, алкинила, циклоалкила, циклоалкенила, алкокси, тиоалкила, моно-, ди- или тригалогеноалкила, галогена, арила или гетероарила;
необязательно R1 и R2 могут быть связаны друг с другом с образованием спироцикла;
R3, R4, R5 и R6 независимо выбирают из группы, состоящей из H, амино, OH, алкила, галогеноалкила, дигалогеноалкила, тригалогеноалкила, алкенила, алкинила, арила, гетероарила, арилалкила, гетероарилалкила, алкокси и тиоалкила,
необязательно R1 и R3 могут быть циклизованы с образованием карбоцикла или гетероцикла, содержащего 0-3 заместителя Ra, где Ra выбирают из группы, состоящей из галогена, алкила, алкокси, тиоалкила, моно-, ди- или тригалогеноалкила, моно-, ди- или тригалогеноалкокси, нитро, амино, карбоксила, этерифицированного карбоксила, карбоксамидо, тиокарбоксамидо, циано, моно-, дизамещенного или полизамещенного арила и гетероцикла, необязательно содержащих 0-3 Rb, где Rb выбирают из группы, состоящей из галогена, алкила, алкокси, тиоалкила, моно-, ди- или тригалогеноалкила, моно-, ди- или тригалогеноалкокси, нитро, амино, карбоксила, этерифицированного карбоксила, карбоксамидо, тиокарбоксамидо и циано;
необязательно R3 и R4 или R5 и R6 циклизованы с образованием мостиковой бициклической системы, содержащей этиленовый мостик;
необязательно R3 и R6 циклизованы с образованием мостиковой бициклической системы, содержащей метиленовую группу, или этиленовую группу, или гетероатом, выбранный из группы, состоящей из N, O и S;
R7 и R8 независимо выбирают из группы, состоящей из водорода, C1-C8алкила, причем необязательно цепь C1-C8алкила может прерываться кислородом или серой; алкокси, моно-, ди- или тригалогеноалкила, моно-, ди- или тригалогеноалкокси, алкоксиалкила, арилокси, гетероарилокси, арилалкокси, гетероарилалкокси, арилоксиалкила, гетероарилоксиалкила, арилалкоксиалкила или гетероарилалкоксиалкила;
необязательно R7 и R8 могут быть циклизованы с образованием спирокарбоцикла или спирогетероцикла;
и m=0-5.
Как было определено выше в отношении соединения формул I и II, X выбирают из группы, состоящей из арила, моно- или полизамещенного арила, гетероцикла, гетероарила, моно- или полизамещенного гетероарила, карбоцикла, моно- или полизамещенного карбоцикла (CR9R10)n, где n=0-5. Термин арильные группы включает ароматические карбоциклические группы, такие как фенил, бифенилил, инденил, нафтил и конденсированные с гетероциклическими ароматические группы, такие как 2-бензотиенил, 3-бензотиенил, 2-бензофуранил, 3-бензофуранил, 2-индолил, 3-индолил, 2-хинолинил, 3-хинолинил, 2-бензотиазол, 2-бензооксазол, 2-бензимидазол, 1-изохинолинил, 4-хинолинил, 1-изоиндолил, 3-изоиндолил и акридинил. Термин гетероциклическая группа включает ароматические и неароматические кольца, например, содержащие от 3 до 20, предпочтительно от 4 до 10 атомов в кольце, по меньшей мере, один из которых является гетероатомом, таким как кислород, сера, фосфор или азот. Примеры таких групп включают фурил, тиенил, пирролил, пирролидинил, имидазолил, триазолил, тиазолил, тетразолил, оксазолил, изоксазолил, пиразолил, пиридил, пиримидинил, пиразинил, пиридазинил, триазинил, хинолинил, изохинолинил, хиноксалинил, бензтиазолил, бензоксазолил, бензотиенил или бензофурил. Другие примеры включают неароматические гетероциклические кольца, которые являются неароматическими карбоциклическими кольцами, которые содержат один или более гетероатомов, таких как азот, кислород или сера в кольце. Кольцо может быть пяти-, шести-, семи- или восьмичленным. Примеры включают 2-тетрагидрофуранил, 3-тетрагидрофуранил, 2-тетрагидротиофенил, 3-тетрагидротиофенил, 2-морфолино, 3-морфолино, 4-морфолино, 2-тиоморфолино, 3-тиоморфолино, 4-тиоморфолино, 1-пирролидинил, 2-пирролидинил, 3-пирролидинил, 1-пиперазинил, 2-пиперазинил, 1-пиперидинил, 2-пиперидинил, 3-пиперидинил, 4-пиперидинил и 4-тиазолидинил. В том случае, когда X и Z имеют одинаковые значения, тогда идентичные определения применимы к их определениям. Кроме того, если гетероарильные или гетероциклические группы представляют собой азотсодержащие гетероциклы, азот может быть модифицирован и может существовать в форме N O– (N оксиды), и такие оксиды включены в объем настоящего изобретения. В случае серусодержащих гетероциклов оксиды серы также включены в объем настоящего изобретения.
Заместители у арильных групп, арилалкильных групп, гетероарильных групп, гетероарилалкильных групп и гетероциклических групп настоящего изобретения выбирают из группы, состоящей из галогена, алкила, алкокси, моногалогеноалкокси, дигалогеноалкокси, тригалогеноалкокси, тиоалкила и моногалогеноалкила, дигалогеноалкила, тригалогеноалкила, нитро, амино, карбокси, этерифицированной карбокси, карбоксамида, тиокарбоксамидо и циано. В частности, заместители можно также выбрать из группы, состоящей из трифторметила, C1-4алкила, галогена, трифторметокси,
фторметокси, дифторметокси, C1-5алкокси, C1-5алканоила,
C1-5алканоилокси, C1-5алкиламино, ди(C1-5алкил)амино,
C1-5алканоиламино, нитро, карбокси, карбамоила,
C1-5алкоксикарбонила, тиола, C1-5сульфонамидо,
карбамоилC1-5алкила, N-(C1-5алкил)карбамоилC1-5алкила,
N-(C1-5алкил)2карбамоилC1-5алкила, гидроксиC1-5алкила или
C1-5алкоксиC1-4алкила.
Термины гало или галоген, сами по себе или как часть другого заместителя, означают, если не указано иное, атомы фтора, хлора, брома и йода. Аналогично, такие термины как галогеноалкил, включают моногалогеноалкил и полигалогеноалкил. Например, термин галогено(C1-C4)алкил включает трифторметил, 2,2,2-трифторэтил, 4-хлорбутил, 3-бромпропил и тому подобное.
Термин алкил, если его используют отдельно или как суффикс, включает неразветвленную цепь и разветвленные структуры, такие как первичные алкильные группы, вторичные алкильные группы и третичные алкильные группы. Такие группы могут содержать вплоть до 15, предпочтительно вплоть до 8 и более предпочтительно вплоть до 4 атомов углерода. Аналогично, термины алкенил и алкинил относятся к ненасыщенным, неразветвленным или разветвленным структурам, содержащим, например, от 2 до 12, предпочтительно от 2 до 6 атомов углерода. Циклические фрагменты, такие как циклоалкил, циклоалкенил и циклоалкинил сходны по природе, но содержат, по меньшей мере, 3 атома углерода. Примеры насыщенных углеводородных радикалов включают такие группы, как метил, этил, н-пропил, изопропил, н-бутил, трет-бутил, изобутил, втор-бутил, циклогексил, (циклогексил)метил, циклопропилметил, гомологи и изомеры, например, н-пентила, н-гексила, н-гептила, н-октила и тому подобное. Примеры ненасыщенных алкильных групп включают винил, 2-пропенил, кротил, 2-изопентенил, 2-(бутадиенил), 2,4-пентадиенил, 3-(l,4-пентадиенил), этинил, 1- и 3-пропинил, 3-бутинил и высшие гомологи и изомеры. В рассматриваемой заявке термин циклоалкил включает адамантильные группы и другие мостиковые соединения. Термины алкокси, алкиламино и алкилтио (или тиоалкокси) используют в их обычном смысле, и они относятся к таким алкильным группам, которые присоединены к остальной части молекулы через атом кислорода, аминогруппу или атом серы соответственно. Поэтому такие термины, как алкокси и тиоалкил включают алкильные фрагменты, как определено выше, присоединенные к соответствующей функциональной группе.
Другие подходящие заместители, которые можно использовать у многих углеродных колец настоящего изобретения, таких как циклоалифатические, ароматические, неароматические гетероциклические кольца или бензильные группы, включают, например, -OH, галоген (-Br, -Cl, -I и -F), -O(алифатическая, замещенная алифатическая, бензильная, замещенная бензильная, фенильная, замещенная фенильная, ароматическая или замещенная ароматическая группа), -CN, -NO2, -COOH, -NH2, -NH(алифатическая группа, замещенная алифатическая, бензильная, замещенная бензильная, фенильная, замещенная фенильная, ароматическая или замещенная ароматическая группа), -N(алифатическая группа, замещенная алифатическая, бензильная, замещенная бензильная, фенильная, замещенная фенильная, ароматическая или замещенная ароматическая группа)2, -COO(алифатическая группа, замещенная алифатическая, бензильная, замещенная бензильная, фенильная, замещенная фенильная, ароматическая или замещенная ароматическая группа), -CONH2, -CONH(алифатическая, замещенная алифатическая группа, бензильная, замещенная бензильная, фенильная, замещенная фенильная, ароматическая или замещенная ароматическая группа), -SH, -S(алифатическая, замещенная алифатическая группа, бензильная, замещенная бензильная, фенильная, замещенная фенильная, ароматическая или замещенная ароматическая группа) и -NH-C=NH-NH2. Замещенное неароматическое гетероциклическое кольцо, бензильная группа или ароматическая группа могут также содержать алифатическую или замещенную алифатическую группу в качестве заместителя. Замещенная алкильная или алифатическая группа может также содержать неароматическое гетероциклическое кольцо, бензильную, замещенную бензильную, ароматическую или замещенную ароматическую группу в качестве заместителя. Замещенное неароматическое гетероциклическое кольцо может также содержать =O, =S, =NH или =N(алифатическая, ароматическая или замещенная ароматическая группа) в качестве заместителя. Замещенная алифатическая, замещенная ароматическая группа, замещенное неароматическое гетероциклическое кольцо или замещенная бензильная группа могут содержать более одного заместителя.
Карбоциклический заместитель, как определено для R1, включает циклоалкил, содержащий 3-10 атомов углерода, и бициклическую или полициклическую мостиковые системы, такие как норборнанил, адамантил и бицикло[2.2.2]октил. Карбоциклический заместитель, как определено для R1, может быть дополнительно замещен гетероциклическим или гетероарильным кольцом, таким как пиридил, пирролидинил и все те, которые были определены для X выше.
Конкретные примеры R1 заместителей включают фенил,
пиридин-2-ил, 4-метилфенил, 3-метилфенил, 2-метилфенил,
4-бромфенил, 3-бромфенил, 4-хлорфенил, 3-хлорфенил,
4-трифторметилфенил, 3-трифторметилфенил, 2-трифторметилфенил,
2-метоксифенил, 3-пиридил, 4-пиридил, 2-метокси-5-пиридил,
2-этокси-5-пиридил, 3,4-метилендиоксифенил, 4-фторфенил,
3-трифторметил-1H-пиразол-1-ил, 3-фторфенил, 4-метоксифенил,
3-метоксифенил, пиридин-4-ил, пиридин-3-ил,
5-метилпиридин-2-ил, 6-метилпиридин-2-ил, хинолин-4-ил,
3-метил-1H-пиразол-1-ил, 3,5-диметил-1H-пиразол-1-ил,
4-трифторметилфенил, 3-трифторметилфенил,
3,4-метилендиоксифенил, 4-цианофенил,
4-(метиламинокарбонил)фенил, 1-оксидопиридин-4-ил,
пиридин-2-ил, пиридин-3-ил, пиридин-4-ил, 4-метилпиридин-2-ил,
5-метил-пиридин-2-ил, 6-метилпиридин-2-ил,
6-метоксипиридин-2-ил, 6-метоксипиридин-3-ил,
6-метилпиридин-3-ил, 6-этилпиридин-3-ил,
6-изопропилпиридин-3-ил, 6-циклопропилпиридин-3-ил,
1-оксидопиридин-3-ил, 1-оксидопиридин-2-ил, 3-цианофенил,
3-(метиламинокарбонил)фенил, 4-(морфолин-4-илкарбонил)фенил,
5-(морфолин-4-илкарбонил)пиридин-2-ил,
6-(морфолин-4-илкарбонил)пиридин-3-ил,
4-(4-метилпиперазин-1-илкарбонил)фенил,
6-(азетин-1-ил)пиридин-3-ил, 5-цианопиридин-2-ил,
6-цианопиридин-3-ил, 5-(метоксиметил)пиридин-2-ил,
5-(1-гидрокси-1-метилэтил)пиридин-2-ил, 5-диметиламинометил,
4-этиламинокарбонилфенил, 4-изопропиламинокарбонилфенил,
4-трет-бутиламинокарбонилфенил, 4-диметиламинокарбонилфенил,
4-(азетидин-1-ил)карбонилфенил,
4-(пирролидин-1-ил)карбонилфенил,
4-(морфолин-4-ил)карбонилфенил,
4-(диметиламинокарбонил)-2-метилфенил,
2-метил-4-(метиламинокарбонил)фенил,
3-метил-4-(метиламинокарбонил)фенил,
4-(диметиламинокарбонил)-3-метилфенил,
3-метил-4-(пирролидин-1-илкарбонил)фенил,
4-(диметиламинокарбонил)-3-фторфенил,
4-[(2,2,2-трифторэтил)аминокарбонил]фенил,
3-фтор-4-метиламинокарбонилфенил,
4-этиламинокарбонил-3-фторфенил, 3-метиламинокарбонилфенил,
3-диметиламинокарбонилфенил,
5-диметиламинокарбонил-2-метоксифенил,
2-метокси-5-метиламинокарбонилфенил,
3-(метиламинокарбониламино)фенил,
6-(морфолин-4-ил)пиридин-3-ил, 6-диметиламинопиридин-3-ил,
6-изопропиламинопирид-3-ил, 6-(пирролидин-1-ил)пиридин-3-ил,
6-циклопропиламинопиридин-3-ил, 6-этоксипиридин-3-ил,
6-(2-фторэтокси)пиридин-3-ил, 6-(2,2-дифторэтокси)пиридин-3-ил,
6-(2,2,2-трифторэтокси)пиридин-3-ил, 4-иодофенил,
5-(пирролидин-1-илкарбонил)-2-пиридил,
5-(морфолин-4-илкарбонил)-2-пиридил,
5-диметиламинокарбонил-2-пиридил,
4-метиламинокарбониламинофенил,
6-(1-гидрокси-1-метилэтил)пиридин-3-ил,
4-(1-гидрокси-1-метилэтил)фенил, 4-(метоксиметил)фенил,
3-фтор-4-(метоксиметил)фенил, 4-(диметиламино)фенил,
4-(диметиламино)-3-фторфенил, 1H-индазол-5-ил,
1-метил-1H-индазол-5-ил, 2-метил-1H-индазол-5-ил,
1,3-тиазол-2-ил, 5-этил-1,3-тиазол-2-ил,
5-(метиламинокарбонил)-1,3-тиазол-2-ил, 1,3-тиазол-5-ил,
2-(метоксикарбониламино)-1,3-тиазол-5-ил,
2-изопропил-1,3-тиазол-5-ил, 5-(пиридин-3-ил)-1,3-тиазол-2-ил,
5-(морфолин-4-илкарбонил)-1,3-тиазол-2-ил,
5-аминокарбонил-1,3-тиазол-2-ил,
5-диметиламинокарбонил-1,3-тиазол-2-ил,
5-(пирролидин-1-илкарбонил)-1,3-тиазол-2-ил,
5-аллил-1,3-тиазол-2-ил, 5-пропил-1,3-тиазол-2-ил,
5-этиламинокарбонил-1,3-тиазол-2-ил, 5-фенил-1,3-тиазол-2-ил,
5-метил-1,3-тиазол-2-ил, 5-гидроксиметил-1,3-тиазол-2-ил,
5-(1-гидрокси-1-метилэтил)-1,3-тиазол-2-ил,
5-метоксиметил-1,3-тиазол-2-ил, 5-(2-пиридил)-1,3-тиазол-2-ил,
2-(пирролидин-1-ил)-1,3-тиазол-4-ил,
2-(морфолин-4-ил)-1,3-тиазол-4-ил, 2-метил-1,3-тиазол-5-ил,
2-(1-гидрокси-1-метилэтил)-1,3-тиазол-5-ил,
2-(пирролидин-1-ил)-1,3-тиазол-5-ил, 2-этокси-1,3-тиазол-5-ил,
2-этил-1,3-тиазол-5-ил,
2-(пирролидин-1-илметил)-1,3-тиазол-5-ил,
2-(морфолин-4-ил)-1,3-тиазол-5-ил,
2-метоксиметил-1,3-тиазол-5-ил, 2-изобутил-1,3-тиазол-5-ил,
2-этиламинокарбонил-1,3-тиазол-5-ил,
2-(пирролидин-1-илкарбонил)-1,3-тиазол-5-ил,
2-(морфолин-4-илкарбонил)-1,3-тиазол-5-ил,
2-(3-пиридил)-1,3-тиазол-5-ил, 2-(2-пиридил)-1,3-тиазол-5-ил,
4-метил-1,3-тиазол-2-ил, 1,3-бензотиазол-2-ил, пиримидин-5-ил,
пиримидин-2-ил, пиридазин-4-ил, пиридазин-3-ил, пиразин-2-ил,
2-метоксипиримидин-5-ил, 2-этоксипиримидин-5-ил,
2-(2-фторэтокси)пиримидин-5-ил, 2-метилпиримидин-5-ил,
2-этилпиримидин-5-ил, 2-изопропилпиримидин-5-ил,
2-циклопропилпиримидин-5-ил, пиримидин-4-ил,
4-(пиримидин-5-ил)фенил, 4-(1,3-оксазол-2-ил)фенил,
4-(1H-имидазол-1-ил)фенил, 4-(морфолин-4-ил)фенил,
5-(пиразин-2-ил)пиридин-2-ил,
4-(1-метил-1H-имидазол-5-ил)фенил,
4-(4,6-диметилпиримидин-5-ил)фенил, 6-бромпиридин-3-ил,
5-бромпиридин-2-ил, 4′-(метилсульфонил)бифенил-4-ил,
3′-(метилсульфонил)бифенил-4-ил,
3′-(метоксикарбонил)бифенил-4-ил,
4-(2,3-дигидро-1,4-бензодиоксин-6-ил)фенил,
4′-(диметиламино)бифенил-4-ил, 4-(пиридин-3-ил)фенил,
4-(1H-пиразол-4-ил)фенил, 3,3′-бипиридин-6-ил,
3,4′-бипиридин-6-ил, 5-(3-ацетилфенил)пиридин-2-ил,
5-[3-(диметиламино)фенил]пиридин-2-ил,
5-[3-(трифторметил)фенил]пиридин-2-ил,
5-[4-(метилсульфонил)фенил]пиридин-2-ил,
5-(4-метоксифенил)пиридин-2-ил, 5-(3-метоксифенил)пиридин-2-ил,
5-[3-(аминокарбонил)фенил]пиридин-2-ил,
5-(4-фторфенил)пиридин-2-ил, 5-(3,4-дифторфенил)пиридин-2-ил,
5-(3,5-диметилизоксазол-4-ил)пиридин-2-ил,
5-(1-метил-1H-пиразол-4-ил)пиридин-2-ил,
5-(1H-пиразол-4-ил)пиридин-2-ил,
5-(1-бензофуран-2-ил)пиридин-2-ил,
5-(1,3-бензодиоксол-5-ил)пиридин-2-ил,
5-(2-формилфенил)пиридин-2-ил, 4-(2′-формилбифенил)-4-ил,
5-(1,3-оксазол-2-ил)пиридин-2-ил,
6-(1,3-оксазол-2-ил)пиридин-3-ил, 4-(1,3-тиазол-2-ил)фенил,
5-(1,3-тиазол-2-ил)пиридин-2-ил,
6-(1,3-тиазол-2-ил)пиридин-3-ил,
6-(1H-имидазол-1-ил)пиридин-3-ил],
5-(1H-имидазол-1-ил)пиридин-2-ил, 6-фенилпиридин-3-ил,
5-(пиримидин-5-ил)пиридин-2-ил,
5-(пиримидин-2-ил)пиридин-2-ил,
5-(3-аминокарбонилфенил)пиридин-2-ил,
4-(1-метил-1H-имидазол-4-ил)фенил, 4-(1H-имидазол-4-ил)фенил,
5-[2-(гидроксиметил)фенил]пиридин-2-ил,
2′-(гидроксиметил)бифенил-4-ил,
5-{2-[(диметиламино)метил]фенил}пиридин-2-ил,
2′-[(диметиламино)метил]бифенил-4-ил, 5-фторметилпиразин-2-ил,
5-дифторметилпиразин-2-ил, 5-метилпиразин-2-ил,
2-метилпиримидин-5-ил, 2-фторметилпиримидин-5-ил,
2-дифторметилпиримидин-5-ил, 2-трифторметилпиримидин-5-ил,
2-циклопропилпиримидин-5-ил, изотиазол-5-ил,
3-метилизотиазол-5-ил, 3-фторметилизотиазол-5-ил,
4-(диметиламинокарбонил)фенил, 4-(метиламинокарбонил)фенил,
4-(морфолин-4-илкарбонил)фенил,
4-(пиперидин-1-илкарбонил)фенил,
3-фтор-4-(пирролидин-1-илкарбонил)фенил,
5-(пирролидин-1-илкарбонил)пиридин-2-ил,
5-(диметиламинокарбонил)пиридин-2-ил,
5-(морфолин-4-илкарбонил)пиридин-2-ил, хинолин-4-ил,
6-метоксипиридин-3-ил, 6-(морфолин-4-ил)пиридин-3-ил,
4-(диметиламинометил)фенил, 5-(диметиламинометил)пиридин-2-ил,
5-(диметиламинокарбонил)пиридин-2-ил,
4-[гидрокси(пиридин-3-ил)метил]фенил,
6-[(гидрокси(пиридин-3-ил)метил]пиридин-3-ил,
6-(диметиламинокарбонил)пиридин-3-ил,
4-(4-гидроксипиперидин-1-илкарбонил)фенил,
4-(4-метоксипиперидин-1-илкарбонил)фенил,
5-(4-метоксипиперидин-1-илкарбонил)пиридин-2-ил,
6-(4-метоксипиперидин-1-илкарбонил)пиридин-3-ил, фенокси,
бензилокси, 2-тиенил, 5-(метоксиметил)-1,3-тиазол-2-ил,
5-(морфолин-4-илкарбонил)-1,3-тиазол-2-ил,
2-изопропил-1,3-тиазол-5-ил, 2-(метоксиметил)-1,3-тиазол-5-ил,
5-(метоксиметил)-1,3-тиазол-2-ил, 4-(пиримидин-2-ил)фенил,
4-(пиримидин-4-ил)фенил и 5-(метоксиметил)пиридин-2-ил.
Радикалы R3 и R4 или R5 и R6 циклизованы с образованием мостиковой бициклической системы, содержащей этиленовый мостик, которая включает систему бицикло[2.2.2]октил и все его изомерные формы, адамантил и все его изомерные формы, которые необязательно могут быть замещены гетероциклом, гетероарилом, гидроксилом, амино, галогеном, а также теми заместителями, которые обеспечивают получение стабильных молекул, такими как C1-C5алкокси, галоген, галогеноалкил и все те заместители, которые определены выше.
Радикалы R3 и R6 циклизованы с образованием мостиковой бициклической системы, содержащей метиленовую группу или гетероатом, выбранный из группы, состоящей из N, O и S, которая включает норборнанил и все те стабильные мостиковые системы, которые также содержат гетероатомы, определенные выше. Они также могут быть необязательно замещены гетероциклом, гетероарилом, гидроксилом, амино, галогеном, а также теми заместителями, которые обеспечивают получение стабильных молекул, такими как С1-C5алкокси, галоген, галогеноалкил и все те заместители, которые определены выше.
Если R7 и R8 независимо выбирают из алкоксигрупп, таких как OR, где R может быть выбран из группы, состоящей из H, бут-2-ин-1-ила, бензила, пиридин-2-илметила, пиридин-3-илметила, пропокси и этокси.
Если не указано иное, то подразумевается, что соединения, представленные приведенной выше формулой, включают фармацевтически приемлемые соли, их пролекарства, энантиомеры, диастереоизомеры, их рацемические смеси, кристаллические формы, некристаллические формы, аморфные формы и их сольваты.
Термин фармацевтически приемлемые соли включает соли активных соединений, которые получают с относительно нетоксичными кислотами или основаниями, в зависимости от конкретных заместителей у раскрытых в данном описании соединений. Если соединения настоящего изобретения содержат относительно кислотные функциональные группы, можно получить основно-аддитивные соли, осуществляя контактирование нейтральной формы таких соединений с достаточным количеством нужного основания, или в чистом виде, или в подходящем инертном растворителе. Примеры фармацевтически приемлемых основно-аддитивных солей включают соли натрия, калия, кальция, аммония, органического амина или магния или аналогичные соли. Если соединения настоящего изобретения содержат относительно основные функциональные группы, кислотно-аддитивные соли можно получить, осуществляя контактирование нейтральной формы таких соединений с достаточным количеством нужной кислоты, или в чистом виде, или в подходящем инертном растворителе. Примеры фармацевтически приемлемых кислотно-аддитивных солей включают такие, которые получены из неорганических кислот, таких как хлористоводородная, бромистоводородная, азотная, карбоновая, фосфорная, частично нейтрализованных фосфорных кислот, серной, частично нейтрализованной серной, иодистоводородной или фосфорной кислот и тому подобное, так же как и соли, полученные из относительно нетоксичных органических кислот, таких как уксусная, пропионовая, изомасляная, малеиновая, малоновая, бензойная, янтарная, пробковая, фумаровая, миндальная, фталевая, бензолсульфоновая, п-толуолсульфоновая, лимонная, винная, метансульфоновая и тому подобное. Они включают также соли аминокислот, таких как аргинат и тому подобное, и соли органических кислот, таких как глюкуроновая или галактуроновая кислоты и тому подобное. Некоторые конкретные соединения настоящего изобретения могут содержать одновременно основные и кислотные функциональные группы, которые позволяют превращать их или в основно-аддитивные соли, или в кислотно-аддитивные соли.
Нейтральные формы соединений настоящего изобретения можно восстановить, осуществляя контактирование соли с основанием или кислотой и выделяя исходное соединение обычным способом. Исходная форма соединения отличается от различных солевых форм некоторыми физическими свойствами, такими как растворимость в полярных растворителях, но в остальном соли эквивалентны исходной форме соединения для целей настоящего изобретения.
Как было указано выше, некоторые из соединений настоящего изобретения содержат хиральные или асимметрические атомы углерода (оптические центры) или двойные связи; предполагается, что все рацематы, диастереоизомеры, геометрические изомеры и индивидуальные оптические изомеры включены в объем настоящего изобретения.
Некоторые из соединений формулы I, II или III могут существовать в несольватированных формах, также как в сольватированных формах, включая гидратные формы. Вообще, сольватированные формы эквивалентны несольватированным формам и они должны быть включены в объем настоящего изобретения. Некоторые соединения настоящего изобретения могут существовать во множестве кристаллических или аморфных форм. Вообще, все физические формы эквивалентны для применений, рассматриваемых в настоящем изобретении, и включены в объем настоящего изобретения.
В дополнении к солевым формам в настоящем изобретении предложены соединения, которые могут быть в форме пролекарства. Пролекарства раскрытых в данном описании соединений представляют собой такие соединения, которые легко претерпевают химические изменения в физиологических условиях, что приводит к получению соединений настоящего изобретения. Кроме того, пролекарства можно превратить в соединения настоящего изобретения, используя химические или биологические способы в ex-vivo окружении. Например, пролекарства могут медленно превращаться в соединения настоящего изобретения, будучи помещены в трансдермальные пластыри вместе с соответствующим ферментом или химическим реагентом.
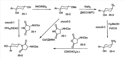
Соединения настоящего изобретения можно получить рядом способов, хорошо известных специалистам в области органического синтеза. Различные промежуточные соединения 3-аминопирролидина можно получить из коммерческих источников или синтезировать, используя способы, представленные на схемах 1-6. Трет-бутил-транс-3-амино-4-гидроксипирролидин-1-карбоксилат 1-4 можно синтезировать, исходя из трет-бутил-2,5-дигидро-1H-пиррол-1-карбоксилата 1-1 (Схема 1). В результате эпоксидирования 1-1, используя окислитель, такой как м-хлорпероксибензойная кислота (mCPBA), с последующим раскрытием кольца бензиламином или азидом натрия, получают трет-бутил-транс-3-бензиламино-4-гидроксипирролидин-1-карбоксилат или трет-бутил-транс-3-азидо-4-гидроксипирролидин-1-карбоксилат 1-3. В результате гидрирования, используя катализатор, такой как палладий на угле или гидроксид палладия, получают соединение 1-4.
Схема 1

Бензил-транс-3-амино-4-гидроксипирролидин-1-карбоксилат 2-3 можно синтезировать, используя последовательность реакций, представленную на схеме 2. В результате эпоксидирования бензил-3-пирролин-1-карбоксилата 2-1, используя окислитель, такой как mCPBA, с последующим раскрытием кольца гидроксидом аммония, получают соединение 2-3.
Схема 2

Введение алкила по 4-гидрокси у пирролидина можно осуществить, используя последовательность реакций, представленную на схеме 3. Осуществляя реакцию промежуточного соединения 1-3 с N-(бензилоксикарбонилокси)сукцинимидом (CbzOSu), получают соединение 3-1. После алкилирования гидроксильной группы алкилгалогенидом, используя гидрид натрия, бензильные и Cbz группы удаляют, осуществляя гидрирование с использованием палладиевого катализатора, такого как гидроксид палладия, и получают производные 3-алкоксипирролидина формулы 3-3.
Схема 3

Альтернативно, алкилирование по 4-гидрокси у пирролидина можно осуществить, используя способ, представленный на схеме 4. В результате введения Boc защитных групп в промежуточные соединения 2-3, с последующим алкилированием алкилгалогенидом, используя гидрид натрия в качестве основания, получают промежуточное соединение 4-2. Обрабатывая соединение 4-2 кислотой, такой как HCl в диоксане или TFA, получают соединения формулы 4-3.
Схема 4

Производные спиропирролидина, такие как соединение формулы 5-6, можно синтезировать, используя последовательность реакций, представленную на схеме 5. Вводя Cbz защитные группы в промежуточное соединение 1-4, с последующим окислением, используя окислитель, такой как комплекс триоксида серы и пиридина, получают кетон 5-2. В результате присоединения аллилмагнийбромида к кетону 5-2 получают третичный спирт 5-3. Олефин в соединении 5-3 превращают в спирт, обрабатывая 9-BBN/H2О2. После обработки полученного спирта метансульфонилхлоридом, реакционную смесь кипятят с обратным холодильником, осуществляя замыкание кольца и получая продукт 5-5. В результате удаления Cbz с помощью гидрирования, получают соединение 5-6.
Схема 5

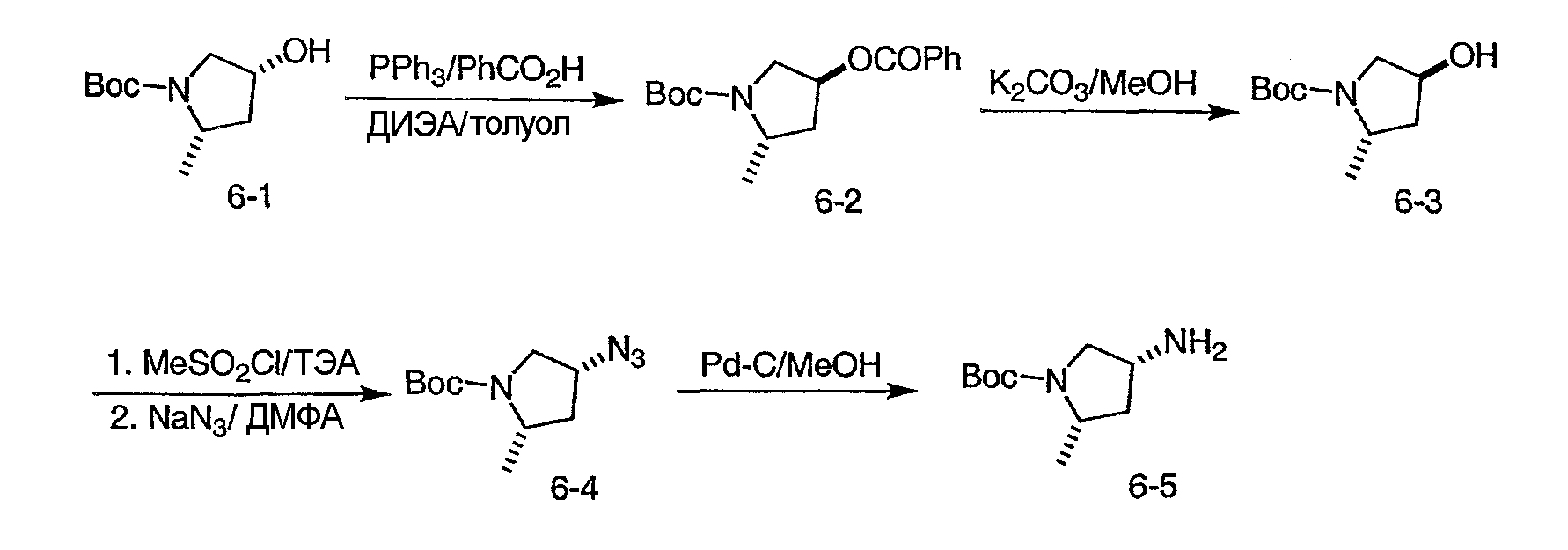
5-Алкилзамещенные производные 3-аминопирролидина, такие как соединение формулы 6-5, можно получить, используя последовательность реакций, представленную на схеме 6. Соединение 6-1, которое синтезируют в соответствии со способами, раскрытыми в литературе (T. Rosen, et al. J. Med. Chem. 1988, 31, 1598-1611), подвергают реакции сочетания Митсунобу с бензойной кислотой, получая сложный эфир 6-2. В результате гидролиза сложного эфира, используя K2CO3/MeOH, получают спирт 6-3. В результате реакции спирта с метансульфонилхлоридом с последующей обработкой полученного мезилата азидом натрия при повышенной температуре, получают азидосоединение 6-4. Превращение азидо в соединении 6-4 в аминогруппу с применением гидрирования и использованием катализатора, такого как Pd-C, дает соединения формулы 6-5.
Схема 6

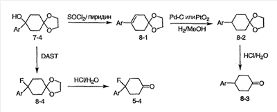
Различные производные циклогексанона можно синтезировать, используя последовательности реакций, представленные на схемах 7-19. Соединения формулы 7-2 можно получить путем присоединения арилмагнийгалогенида или арилгалогенид/BuLi к 1,4-циклогександиону 7-1. Альтернативно, соединения 7-2 можно синтезировать путем присоединения арилмагнийгалогенида, арилгалогенид/BuLi или гетероарилH/литийтетраметилпиперидина к моноэтиленкеталю 1,4-циклогександиона 7-3, с последующей обработкой кислотой полученного кеталя 7-4.
Схема 7

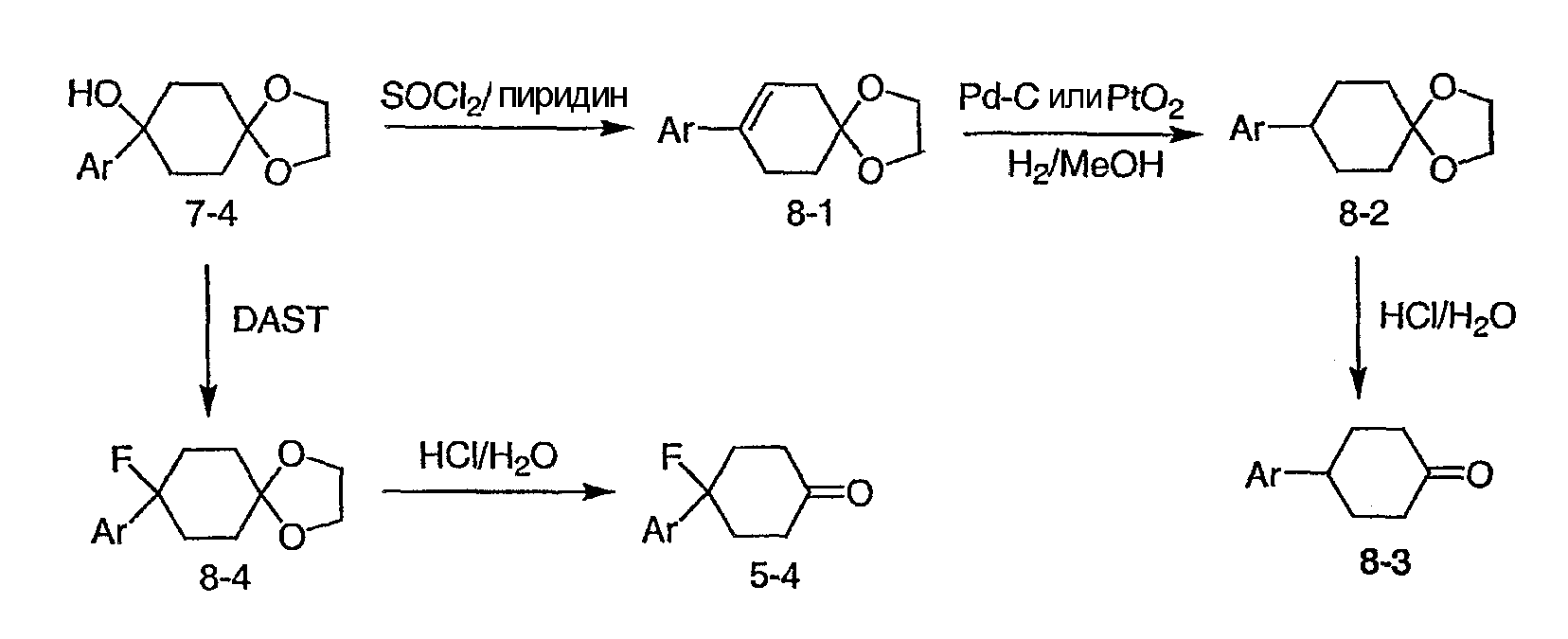
Производные 4-арилциклогексанона формул 8-3 и 8-5 можно синтезировать, используя последовательность реакций, представленную на схеме 8. Промежуточное соединение 7-4 подвергают обработке дегидратирующим агентом, таким как тионилхлорид/пиридин, с последующим восстановлением полученного олефина путем гидрирования с использованием катализатора, такого как Pd-C или PtO2. Обработка промежуточного соединения 7-4 DAST превращает гидроксигруппу в группу фтора. В результате удаления кеталя в соединениях 8-2 и 8-4 путем обработки кислотой получают кетоны формул 8-3 и 8-5.
Схема 8

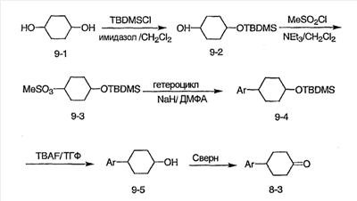
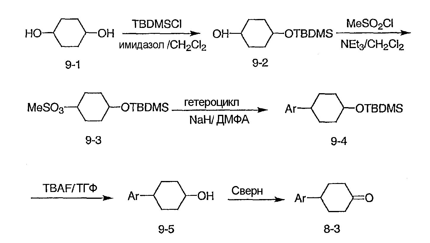
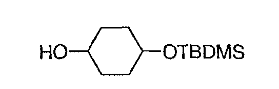
Альтернативно, соединения формулы 8-3 можно получить, используя последовательность реакций, представленную на схеме 9. Монозащита циклогексан-1,4-диола 9-1 трет-бутилдиметилсилилом (TBDMS) с последующим мезилированием приводит к получению мезилата 9-3. Замена мезилата гетероарилом, таким как пиразол, имидазол, триазол или тетразол, приводит к получению промежуточного соединения 9-4. В результате удаления TBDMS группы с использованием TBAF с последующим окислением по Сверну получают соединения формулы 8-3.
Схема 9

Ar представляет замещенный пиразол, имидазол, триазол или тетразол.
Альтернативно, соединения формулы 8-3 можно синтезировать в соответствии со схемой 10. В результате восстановления кетона 7-3 с помощью восстанавливающего агента, такого как боргидрид натрия, образуется спирт 10-1, который превращают в мезилат 10-2, путем обработки метансульфонилхлоридом. Замещение мезилата 10-2 гетероциклом, таким как пиразол, имидазол, триазол или тетразол, приводит к получению промежуточного соединения 10-3, которое превращают в соединения формулы 8-3 путем обработки кислотой, такой как HCl.
Схема 10

Ar представляет замещенный пиразол, имидазол, триазол или тетразол.
4-Гидрокси-4-(пиримидин-2-ил)циклогексанон 11-4 можно синтезировать, используя последовательность реакций, представленную на схеме 11. 2-Хлорпиримидин 11-1 подвергают обработке LDA/(Bu)3SnH, получая производное станнилпиримидина 11-2. В результате обработки соединения 11-2 н-бутиллитием и последующего гашения моноэтиленкеталем 1,4-циклогександиона 7-3 получают промежуточный кеталь 11-3. Удаление защитных групп кеталя кислотой, такой как HCl, приводит к получению кетона 11-4.
Схема 11

Производные спироциклогексанона формулы 12-3 можно синтезировать, используя последовательность реакций, представленную на схеме 12. В результате обработки R-замещенного 2-бромбензилового спирта 12-1 н-бутиллитием и добавления полученного раствора к моноэтиленкеталю 1,4-циклогександиона 7-3 получают аддукт 12-2. Обработка соединения 12-2 TFA/CH2Cl2 приводит к замыканию кольца и одновременному удалению кеталя, в результате чего образуется спирокетон 12-3.
Схема 12

Спирокетоны формул 13-6 и 13-8 можно получить, используя последовательность реакций, представленную на схеме 13. После защиты кетона в соединении 13-1 с использованием этиленгликоля/TMSCl сложный диэфир 13-2 восстанавливают до диола 13-3, используя восстанавливающий агент, такой как литийалюминийгидрид. Полученный диол превращают в димезилат 13-4, который подвергают взаимодействию с производным индена, используя LHMDS и получая промежуточное соединение спироиндена 13-5. В результате гидрирования соединения 13-5 получают производное спироиндана 13-7. В результате удаления защитных групп кеталя в соединениях 13-5 и 13-7 с использованием кислоты, такой как HCl, получают соответствующие кетоны 13-6 и 13-8.
Схема 13

На схеме 14 представлен синтез соединения формулы 14-4. В результате обработки R-замещенного 4-цианофенилбромида н-бутиллитием с последующим гашением моноэтиленкеталем 1,4-циклогександиона 7-3 получают промежуточное соединение 14-1. После гидролиза цианогруппы основанием осуществляют взаимодействие полученной карбоновой кислоты с амином, используя связующий агент, такой как BOP, и получая амид 14-3. В результате обработки кеталя 14-3 кислотой получают кетоны формулы 14-4.
Схема 14

Соединения формулы 15-4 можно получить, используя последовательность реакций, представленную на схеме 15. В результате дегидратации промежуточного гидроксисоединения 14-1 путем обработки смесью тионилхлорид/пиридин получают олефиновое промежуточное соединение 15-1. В результате гидролиза циано в соединении 15-1 с помощью основания и последующего присоединения полученной карбоновой кислоты к амину, получают амидное промежуточное соединение 15-3. Затем получают соединения формулы 15-4 путем гидрирования соединения 15-3 с использованием катализатора, такого как Pd-C, с последующей обработкой кислотой.
Схема 15

Введение заместителя в арил или гетероарил в положении 4-циклогексанона можно осуществить, исходя из промежуточного кеталя 16-1, где X представляет бром или йод. В результате обработки кеталя 16-1 бутиллитием с последующим гашением электрофильным соединением, таким как алкилгалогенид, альдегид, кетон, изоцианат, хлорформиат или карбонат, сочетанием Сузуки соединения 16-1 с бороновой кислотой или реакцией соединения 16-1 с арилZnX (X представляет галогенид) получают R-замещенное арилпроизводное 16-2. Альтернативно, соединения формулы 16-2 можно получить, превращая 16-1 в сложный бороновый эфир, с последующей реакцией сочетания Сузуки полученного боронового сложного эфира и RX (X представляет Br, I). После обработки кеталя 16-2 кислотой получают кетон 16-4.
Схема 16

Если Ar в соединении 16-4 представляет тиазольный остаток, введение R заместителя можно осуществить, используя последовательности реакций, представленных на схемах 17-19. 5-R-замещенные производные 1,3-тиазол-2-ила формулы 17-5 можно получить, используя последовательность реакций, представленную на схеме 17. В результате обработки 1,3-тиазола н-бутиллитием с последующим гашением моноэтиленкеталем 1,4-циклогександиона 7-3 образуется промежуточное соединение 17-2. Литирование в положении 5 тиазола с последующим гашением электрофильным соединением, таким как алкилгалогенид, изоцианат, диоксид углерода, альдегид или кетон, приводит к получению промежуточного соединения 17-4. Превращение кеталя в кетон 17-5 осуществляют обработкой кислотой.
Схема 17

Синтез 2-R-замещенных производных 1,3-тиазол-5-ила формулы 18-3 включает литирование 18-1 с последующим гашением моноэтиленкеталем 1,4-циклогександиона и превращением полученного кеталя в кетон.
Схема 18

Альтернативно, соединения формулы 18-3 можно получить, используя последовательность реакций, представленную на схеме 19. Литирование 2-триметилсилил-защищенного тиазола 19-1 с последующим гашением соединением 7-3 дает промежуточное соединение 19-2. После удаления триметилсилильных групп с помощью TBAF, литирование соединения 19-3 с последующим гашением электрофильным соединением, таким как алкилгалогенид, альдегид, кетон, изоцианат, хлорформиат или карбонат, приводит к получению 5-R-замещенного производного тиазола 19-4. После обработки 19-4 кислотой получают кетон 18-3.
Схема 19

Конечные соединения формулы I можно получить, объединяя промежуточные соединения 3-аминопирролидина с промежуточными соединениями циклогексанона, как представлено на схеме 20. Сочетание производных 3-аминопирролидина 20-1 с карбоновой кислотой формулы 20-2 с использованием связующего агента, такого как BOP, хлорформиат или EDC, приводит к образованию амида 20-3. После удаления защитной группы (P) у азота пирролидина с использованием кислоты или гидрирования восстановительное аминирование полученного пирролидина 20-4 кетоном формулы 20-5 с использованием восстанавливающего агента, такого как триацетоксиборгидрид натрия, или каталитического гидрирования дает целевые соединения формулы 20-6. Альтернативно, соединения формулы 20-6 можно получить путем восстановительного аминирования соединения 20-3 (P представляет Cbz, Bn) кетоном формулы 20-5 путем гидрирования с использованием катализатора, такого как Pd-C или Pd(OH)2.
Схема 20

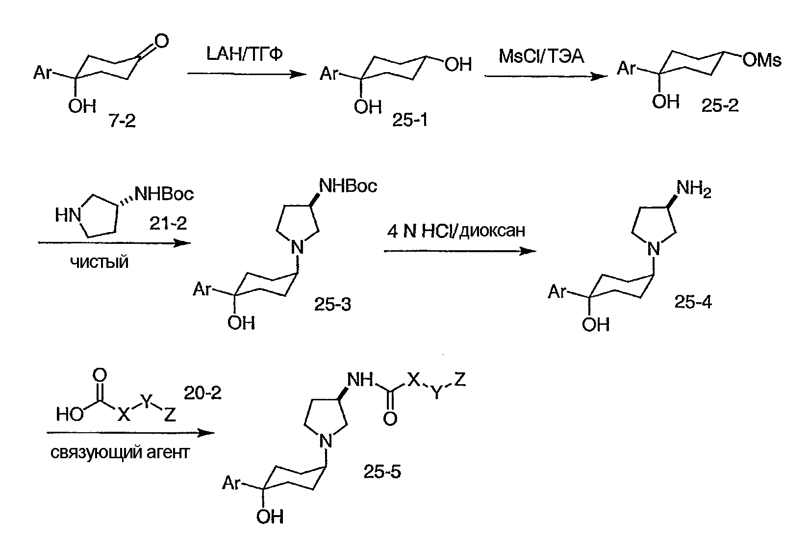
Альтернативно, различные конечные соединения формулы I можно синтезировать, используя последовательность реакций, представленную на схеме 21. В результате восстановительного аминирования 3-трет-бутоксикарбониламинопирролидина 21-2 кетоном 21-1 (M. Povarny et al. Tetrahedron Lett. 1984, 25, 1311-1312) с использованием восстанавливающего агента, такого как триацетоксиборгидрид натрия, получают промежуточное соединение 21-3. Обработка соединения 21-3 кислотой в водном растворе превращает кеталь в кетон, и при этом одновременно происходит удаление Boc групп. Полученный амин подвергают взаимодействию с ди-трет-бутилдикарбонатом, получая Boc-защищенное промежуточное соединение аминокетона 21-4. В результате присоединения арилMgX или ArX/BuLi к кетону 21-4 образуется спирт 21-5. Удаление Boc с помощью кислоты, такой как 4н. HCl, в диоксане, с последующим присоединением полученного амина 21-6 к карбоновой кислоте формулы 20-2 с помощью связующего агента, такого как BOP, дает целевые соединения формулы 21-7.
Схема 21

Альтернативно, различные конечные соединения формулы I можно получить, используя последовательность реакций, представленную на схеме 22. В результате присоединения арилMgX или ArX/BuLi к кетону 21-1 (M. Povarny et al. Tetrahedron Lett. 1984, 25, 1311-1312) получают спирт 22-1. Кеталь в 22-1 превращают в кетон, обрабатывая кислотой, такой как HCl в водном растворе. Полученный кетон 22-2 подвергают восстановительному аминированию промежуточным соединением пирролидина 20-4 с использованием восстанавливающего агента, такого как триацетоксиборгидрид натрия, получая в результате целевые соединения формулы 22-3.
Схема 22

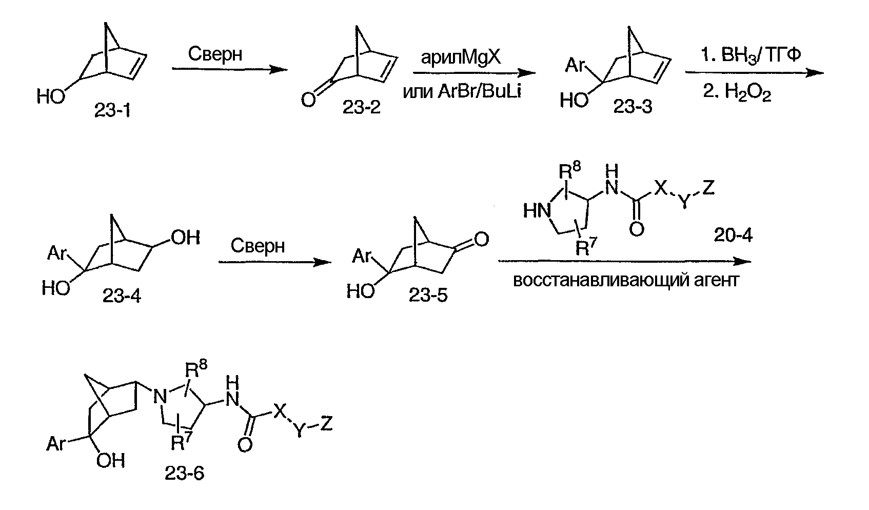
Альтернативно, различные соединения формулы I можно синтезировать, используя последовательность реакций, представленную на схеме 23. Окисление по Сверну 5-норборнен-2-ола (23-1) (G.T. Wang et al. J. Org. Chem. 2001, 66, 2052-2056) с последующим присоединением арилMgX или ArX/BuLi к полученному кетону 23-2 приводит к образованию третичного спирта 23-3 (C.J. Collins, B.M. Benjamin, J. Am. Chem. Soc. 1967, 89, 1652-1661). Олефин в соединении 23-3 превращают в спирт 23-4 , обрабатывая смесью боран/перекись водорода (C. J. Collins, B.M. Benjamin, J. Org. Chem. 1972, 37, 4358-4366). В результате окисления по Сверну спирта получают кетон 23-5, который подвергают восстановительному аминированию производным пирролидина 20-4 с использованием восстанавливающего агента, такого как триацетоксиборгидрид натрия, и получают целевые соединения формулы 23-6.
Схема 23

Альтернативно, различные соединения формулы I можно синтезировать, используя последовательность реакций, представленную на схеме 24. Осуществление взаимодействия транс-4-аминоциклогексанола 24-1 с ди-трет-бутилдикарбонатом приводит к получению транс-4-трет-бутоксикарбониламиноциклогексанола 24-2, который подвергают реакции окисления по Сверну, получая кетон 24-3. В результате восстановительного аминирования кетона 24-3 производным пирролидина 20-4 с использованием восстанавливающего агента, такого как триацетоксиборгидрид натрия, получают промежуточное соединение 24-4. После удаления Boc в соединении 24-4 с использованием кислоты, такой как 4н. HCl в диоксане, полученный амин 24-5 ацилируют арилкарбоновым хлорангидридом или арилкарбоновой кислотой, используя связующий агент, такой как BOP, и получают целевые соединения формулы 24-6.
Схема 24

Альтернативно, соединения формулы I можно получить, используя последовательность реакций, представленную на схеме 25. В результате восстановления промежуточного соединения кетона 7-2 с использованием восстанавливающего агента, такого как литийалюминийгидрид или боргидрид натрия, получают цис-диол 25-1. Селективное мезилирование можно осуществить, обрабатывая соединение 25-1 одним эквивалентом метансульфонилхлорида, получая транс-мезилат 25-2. Замена мезилата производным 3-аминопирролидина, таким как 21-2, приводит к получению транс-1,4-дизамещенного производного циклогексана 25-3. В результате удаления Boc групп с помощью кислоты с последующей реакцией сочетания полученного амина с карбоновой кислотой формулы 20-2 получают целевые соединения формулы 25-5.
Схема 25

Альтернативно, соединения формулы I можно синтезировать, используя последовательности реакций, представленные на схемах 26-27. Промежуточное соединение 26-2 можно получить тремя способами (Схема 26). Способ-1 включает реакцию сочетания Митсунобу спирта 25-1 с сукцинимидом 26-1, который получают, обрабатывая D-аспарагин смесью тионилхлорид/метанол (этерификация) с последующей циклизацией с помощью основания, такого как NaOH. Способ-2 включает замену промежуточного соединения мезилата 25-2 сукцинимидом 26-1 в присутствии основания, такого как CsF. В способе-3 мезилат 25-2 заменяют азидом натрия и полученное промежуточное азидосоединение 26-3 восстанавливают до амина (26-4) гидрированием. Раскрытие кольца ангидрида D-аспарагиновой кислоты 26-5 с помощью 26-4 с последующим замыканием кольца с помощью карбонилдиимидазола приводит к получению промежуточного соединения 26-2.
Схема 26

Превращение промежуточного соединения 26-2 в конечные продукты 27-3 можно осуществить, используя последовательность реакций, представленную на схеме 27. После удаления Cbz группы в 26-2 гидрированием сукцинимид 27-1 восстанавливают до пирролидина, обрабатывая бораном, с последующим разрушением комплекса путем гидрирования. В результате реакции сочетания амина 27-2 и карбоновой кислоты формулы 20-2 с использованием связующего агента, такого как BOP, хлорформиат или EDC, получают конечные соединения формулы 27-3.
Схема 27

Альтернативно, конечные соединения формулы I можно получить, используя последовательность реакций, представленную на схеме 28. Если Ar остаток у циклогексила в 28-1 содержит группу йода, йод можно превратить в эфир бороновой кислоты. Осуществляя реакцию сочетания полученного эфира бороновой кислоты и ArX (X представляет Br, I) в присутствии PdCl2(dppf), получают R-замещенные соединения формулы 28-2. Альтернативно, соединения формулы 28-2 можно получить, осуществляя реакцию сочетания Сузуки бороновой кислоты с соединением 28-1.
Схема 28

Альтернативно, промежуточные соединения формулы 25-4 можно получить, используя последовательность реакций, представленную на схеме 29. Восстанавливая N-Cbz-защищенный диметиловый эфир D-аспарагиновой кислоты 29-1 с помощью восстанавливающего агента, такого как LAH, с последующей обработкой полученного диола метансульфонилхлоридом, получают димезилат 29-2. Обрабатывая промежуточное соединение амина 26-4 димезилатом 29-2 в присутствии NaI и «протонной губки», получают производное пирролидина 29-3. В результате удаления Cbz группы в соединении 29-3 гидрированием с использованием катализатора, такого как Pd-C, получают промежуточное соединение формулы 25-4.
Схема 29

Альтернативно, соединения формулы I можно получить, используя последовательность реакций, представленную на схеме 30. В результате восстановительного аминирования производного пирролидина формулы 30-1 производным кетона формулы 30-2 с использованием восстанавливающего агента, такого как триацетоксиборгидрид натрия, получают промежуточное соединение 30-3. Удаление защитных групп P (P представляет Boc или Cbz) и последующее осуществление реакции сочетания полученного амина и карбоновой кислоты формулы 20-2 приводит к получению соединения формулы 30-5.
Соединения настоящего изобретения могут быть модуляторами MCP-1 рецепторов, например антагонистами, и могут обладать способностью ингибировать связывание MCP-1 с его рецепторами. Удивительно, что соединения блокируют миграцию T клеток in vitro и оказывают сильное воздействие на привлечение воспалительных клеток во многих моделях воспалительных заболеваний. Поэтому соединения формулы I полезны в качестве агентов для лечения воспалительных заболеваний, особенно таких, которые связаны с накоплением лимфоцитов и/или моноцитов, таких как артрит, ревматоидный артрит, рассеянный склероз, невропатическая боль, атеросклероз и отторжение трансплантатов. Кроме того, эти соединения можно применять для лечения нарушений типа аллергической гиперчувствительности, таких как астма и аллергические риниты, характеризующихся активацией базофилов и привлечением эозинофилов, а также для лечения рестеноза и хронических или острых иммунных расстройств.
Модулирование активности рецепторов хемокинов, как это использовано в контексте настоящего изобретения, включает антагонизм, агонизм, частичный антагонизм и/или частичный агонизм активности, связанной с конкретными рецепторами хемокинов, предпочтительно с CCR2 рецепторами. Термин композиция в том смысле, как использовано в данном описании, включает продукт, содержащий специфические ингредиенты в конкретных количествах, так же как любой продукт, который получен, прямо или косвенно, в результате комбинации специфических ингредиентов в конкретных количествах. Под термином фармацевтически приемлемый подразумевают носитель, разбавитель или эксципиент, которые должны быть совместимы с другими ингредиентами композиции и не должны оказывать вредного воздействия на принимающего их реципиента.
Соединения формулы I настоящего изобретения и содержащие их композиции можно использовать для модулирования активности рецепторов хемокинов, особенно CCR2. Соответственно, соединениями настоящего изобретения являются такие соединения, которые ингибируют, по крайней мере, одну функцию или характеристику CCR2 белка млекопитающих, например CCR2 белка человека. Способность соединения ингибировать такую функцию можно продемонстрировать с помощью анализа связывания (например, связывания лиганда или связывания промотора), анализа передачи сигналов (например, активации G белка млекопитающих, индуцирования быстрого и кратковременного повышения концентрации не содержащего цитозолей кальция) и/или функции клеточной реакции (например, стимуляции хемотаксиса, экзоциоза или выделения медиатора воспаления лейкоцитами).
Далее настоящее изобретение иллюстрируется следующими примерами, которые никоим образом не следует рассматривать как ограничивающие.
ПРИМЕРЫ
Используемые ниже реагенты и растворители можно получить из коммерческих источников, таких как Aldrich Chemical Co. (Milwaukee, Wis., USA). Результаты масс-спектрометрических исследований представлены как отношение массы к заряду, с последующим указанием относительного содержания каждого из ионов (в скобках). В таблицах приведено одно значение для M+H (или, если указано, M-H) иона, содержащего наиболее обычные атомные изотопы. Изотопный состав соответствует ожидаемой формуле во всех случаях.
Пример 1
Стадия A

Трет-бутил-6-окса-3-азабицикло[3.1.0]гексан-3-карбоксилат.
К раствору 3-хлорпероксибензойной кислоты (13,0 г, 75,3 ммоль) в CH2Cl2 (50 мл), охлажденном на бане со льдом, по каплям добавляют раствор трет-бутил-2,5-дигидропирролкарбоксилата (5 г, 29,5 ммоль) в CH2Cl2 (50 мл). Смесь перемешивают на бане со льдом в течение 30 минут и при комнатной температуре в течение ночи. Твердую часть отфильтровывают. Фильтрат дважды промывают раствором Na2S2О3, NaHCO3 и насыщенным раствором соли, сушат над MgSO4 и концентрируют. В результате хроматографии на силикагеле, элюируя 20% EtOAc в гексанах, получают 4,75 г нужного соединения в виде масла. МС вычислено: (M+H)+ 186, найдено: 186.
Стадия B

Трет-бутил-(3S,4S)-3-(бензиламино)-4-гидроксипирролидин-1-карбоксилат.
Раствор эпоксида (4,6 г, 24,9 ммоль) со стадии A и бензиламина (5,2 г, 48,6 ммоль) в этаноле перемешивают при 85°C в течение ночи. Растворитель удаляют путем концентрирования при пониженном давлении, получая твердое вещество. Твердое вещество промывают смешанным растворителем, состоящим из 50% смеси EtOAc/гексаны, получая 6,2 г нужного соединения. МС вычислено: (M+H)+ 293, найдено: 293.
Стадия C

Трет-бутил-(3S,4S)-3-амино-4-гидроксипирролидин-1-карбоксилат.
Раствор промежуточного соединения (5,4 г, 18,5 ммоль) со стадии B, Pd(OH)2/C (0,3 г) в MeOH (200 мл) перемешивают в атмосфере водорода при давлении 55 фунт/кв.дюйм в течение ночи. Катализатор отфильтровывают, фильтрат концентрируют, получая 3,7 г нужного продукта в виде твердого вещества. МС вычислено: (M+H)+ 203, найдено: 203.
Стадия D

Трет-бутил-(3S,4S)-3-гидрокси-4-[({[3-(трифторметил)бензоил]амино}ацетил)амино]пирролидин-1-карбоксилат.
К раствору 3-(трифторметил)бензоилхлорида (21 г, 98,7 ммоль) в толуоле (400 мл), охлажденному на бане со льдом, добавляют раствор гидрохлорида метилового сложного эфира глицина (11,5 г, 94 ммоль) и триэтиламина (100 мл) в воде (210 мл) и ТГФ (65 мл). После перемешивания при комнатной температуре в течение 8 часов две фазы разделяют. Водный слой экстрагируют EtOAc. Объединенные органические фазы промывают NaHCO3 и насыщенным раствором соли, сушат над MgSO4 и концентрируют. Остаток помещают в MeOH (150 мл) и ТГФ (300 мл). Добавляют 2н. раствор NaOH (300 мл). Смесь перемешивают при комнатной температуре в течение ночи, подкисляют концентрированной HCl (рН 2) и дважды экстрагируют EtOAc. Органическую фазу промывают насыщенным раствором соли, сушат над MgSO4 и концентрируют. В результате кристаллизации из смеси EtOAc/гексаны получают 18 г нужного продукта (3-трифторметилбензоиламино)уксусной кислоты в виде твердого вещества. МС вычислено: (M+H)+ 248, найдено: 248.
К раствору полученной выше карбоновой кислоты (3,2 г, 13 ммоль) и аминоспирта (2,02 г, 10 ммоль), полученного на стадии C, в ДМФА (15 мл), охлажденному на бане со льдом, добавляют NEt3 (4,2 мл, 30 ммоль) и затем BOP (5,8 г, 13 ммоль). Смесь перемешивают при комнатной температуре в течение ночи. К смеси добавляют солевой раствор (100 мл). Раствор дважды экстрагируют EtOAc. Органическую фазу промывают NaHCO3 и насыщенным раствором соли, сушат над MgSO4 и концентрируют. В результате хроматографии на силикагеле, элюируя вначале смесью 70% EtOAc/гексаны и затем 20% MeOH/EtOAc, получают 3,7 г нужного продукта в виде твердого вещества. МС вычислено: (M+H)+ 432, найдено: 332 (M+H-Boc)+.
Стадия E

N-(2-{[(3S,4S)-4-гидроксипирролидин-3-ил]амино}-2-оксоэтил)-3-(трифторметил)бензамид.
Продукт (3,7 г, 8,6 ммоль) со стадии D растворяют в CH2Cl2 (10 мл) и TFA (10 мл). После перемешивания при комнатной температуре в течение 40 минут летучие соединения удаляют в результате концентрирования при пониженном давлении, получают нужный продукт в виде масла. МС вычислено: (M+H)+ 332, найдено: 446 (M+H+TFA)+.
Стадия F

N-(2-{[(3S,4,S)-1-циклогексил-4-гидроксипирролидин-3-ил]амино}-2-оксоэтил)-3-(трифторметил)бензамид.
К раствору промежуточного соединения (444 мг, 1 ммоль) со стадии E и циклогексанона (196 мг, 2 ммоль) в ТГФ (5 мл) добавляют NEt3 (0,42 мл, 3 ммоль) и затем Na(OAc)3BH (424 мг, 2 ммоль). Смесь перемешивают при комнатной температуре в течение ночи и выливают в раствор NaCl. Полученный раствор дважды экстрагируют EtOAc. Объединенные EtOAc слои промывают NaHCO3 и насыщенным раствором соли, сушат над MgSO4 и концентрируют. В результате хроматографии на силикагеле получают 324 мг нужного продукта. МС вычислено: (M+H)+ 414, найдено: 414.
Пример 2

N-(2-{[(3S,4S)-4-(бут-2-ин-1-илокси)-1-циклогексилпирролидин-3-ил]амино}-2-оксоэтил)-3-(трифторметил)бензамид.
К раствору соединения примера 1 (41 мг, 0,1 ммоль) в ТГФ (3 мл), охлажденному на бане со льдом, добавляют NaH (16 мг, 0,4 ммоль) и затем 2-бутинилбромид (9,6 мкл, 0,11 ммоль). После перемешивания на бане со льдом в течение 3 часов добавляют насыщенный NH4Cl и затем EtOAc. EtOAc слой выделяют, промывают насыщенным раствором соли, сушат над MgSO4 и концентрируют. В результате очистки с использованием ВЭЖХ с обращенной фазой получают указанное в заголовке соединение в виде порошка. МС вычислено: (M+H)+ 466, найдено: 466.
Пример 3

N-(2-{[(3S,4S)-4-(бензилокси)-1-циклогексилпирролидин-3-ил]амино}-2-оксоэтил)-3-(трифторметил)бензамид.
Указанное в заголовке соединение получают в результате алкилирования соединения примера 1 бензилбромидом с последующим использованием методики, раскрытой в примере 2. МС вычислено: (M+H)+ 504, найдено: 504.
Пример 4

N-(2-{[(3S,4S)-1-циклогексил-4-(пиридин-2-илметокси)пирролидин-3-ил]амино}-2-оксоэтил)-3-(трифторметил)бензамид.
Указанное в заголовке соединение получают аналогично способу примера 3. МС вычислено: (M+H)+ 505, найдено: 505.
Пример 5

N-(2-{[(3S,4S)-1-циклогексил-4-(пиридин-3-илметокси)пирролидин-3-ил]амино}-2-оксоэтил)-3-(трифторметил)бензамид.
Указанное в заголовке соединение получают аналогично способу примера 3. МС вычислено: (M+H)+ 505, найдено: 505.
Пример 6
Стадия А

4-гидрокси-4-фенилциклогексанон.
К раствору 1,4-циклогександиона (6,72 г, 60 ммоль) в ТГФ (100 мл), охлажденному на бане со льдом, добавляют 1М раствор фенилмагнийбромида в ТГФ (20 мл, 20 ммоль). Смесь перемешивают при комнатной температуре в течение 3 часов и гасят раствором NH4Cl. Полученный раствор трижды экстрагируют EtOAc. Объединенные органические фазы промывают насыщенным раствором соли, сушат над MgSO4 и концентрируют. В результате хроматографии на силикагеле, элюируя смесью 1:1 EtOAc/гексаны, получают 0,83 г (22%) указанного в заголовке соединения. МС вычислено: (M+H)+ 190, найдено: 173 (M+H-H2О)+.
Стадия B

N-(2-{[(3S,4S)-4-гидрокси-1-(4-гидрокси-4-фенилциклогексил)пирролидин-3-ил]амино}-2-оксоэтил)-3-(трифторметил)бензамид.
К раствору кетона со стадии A (198 мг, 1,1 ммоль) и промежуточного соединения пирролидина со стадии E примера 1 (331 мг, 1 ммоль) в ТГФ добавляют Na(OAc)3BH (424 мг, 2 ммоль). Смесь перемешивают при комнатной температуре в течение ночи и выливают в раствор NaCl. Полученный раствор дважды экстрагируют EtOAc. Объединенные EtOAc слои промывают NaHCO3 и насыщенным раствором соли, сушат над MgSO4 и концентрируют. В результате хроматографии на силикагеле получают 150 мг быстро выходящего изомера {транс-изомер, МС вычислено: (M+H)+ 506, найдено: 506) и 130 мг медленно выходящего изомера (цис-изомер, МС вычислено: (M+H)+ 506, найдено: 506).
Пример 7
Стадия A

8-пиридин-2-ил-1,4-диоксаспиро[4,5]декан-8-ол.
К раствору 2-бромпиридина (14 г, 88,6 ммоль) в безводном эфире (300 мл), охлажденном до -78°C, медленно добавляют раствор 2,5М бутиллития (36 мл). После добавления перемешивание продолжают при -78°C в течение 1 часа. Медленно добавляют раствор моноэтиленкеталя 1,4-циклогександиона (15 г, 96 ммоль) в безводном эфире (300 мл). После завершения добавления смесь оставляют нагреваться до 0°C и перемешивание продолжают в течение 1 часа. Реакцию гасят, добавляя водный раствор (100 мл) аммонийхлорида (4,5 г). Органическую фазу выделяют и водную фазу экстрагируют метиленхлоридом 4 раза. Объединенные органические фазы сушат над MgSO4 и концентрируют. В результате кристаллизации из EtOAc получают 7 г нужного продукта. Маточный раствор очищают на силикагеле, элюируя смесью 10% MeOH/EtOAc, получая 3 г нужного продукта. МС вычислено: (M+H)+ 236, найдено: 236,0.
Стадия B

4-гидрокси-4-пиридин-2-илциклогексанон.
Полученный выше продукт растворяют в ТГФ (30 мл) и 3н. растворе HCl в воде (30 мл). Смесь перемешивают при 50°C в течение 3 часов. После охлаждения до комнатной температуры NaHCO3 добавляют к раствору при перемешивании, пока не прекращается выделение пузырьков. Органическую фазу выделяют и водный слой трижды экстрагируют ТГФ. Объединенные органические фазы сушат над MgSO4 и концентрируют. Остаток тщательно растирают с EtOAc, получая 5,5 г указанного в заголовке соединения. МС вычислено: (M+H)+ 192, найдено: 192.
Стадия C

N-(2-{[(3S,4S)-4-гидрокси-1-(4-гидрокси-4-пиридин-2-илциклогексил)пирролидин-3-ил]амино}-2-оксоэтил)-3-(трифторметил)бензамид.
В результате восстановительного аминирования кетона со стадии B производным пирролидина со стадии E примера 1, используя аналогичный способ примера 6, получают указанное в заголовке соединение. МС вычислено: (M+H)+ 507; найдено: 507.
Следующие соединения получают способами, раскрытыми в примерах 6 и 7.

Пример  |
R |
МС (М+H)+ |
| 8 |
4-метилфенил |
520 |
| 9 |
3-метилфенил |
520 |
| 10 |
2-метилфенил |
520 |
| 11 |
4-бромфенил |
584 |
| 12 |
3-бромфенил |
584 |
| 13 |
4-хлорфенил |
539 |
| 14 |
3-хлорфенил |
539 |
| 15 |
4-трифторметилфенил |
574 |
| 16 |
3-трифторметилфенил |
574 |
| 17 |
2-трифторметилфенил |
574 |
| 18 |
4-метоксифенил |
536 |
| 19 |
3-метоксифенил |
536 |
| 20 |
2-метоксифенил |
536 |
| 21 |
пиридин-3-ил |
507 |
| 22 |
пиридин-4-ил |
507 |
| 23 |
6-метоксипиридин-3-ил |
537 |
| 24 |
6-этоксипиридин-3-ил |
551 |
| 25 |
3,4-метилендиоксифенил |
550 |
Пример 26

N-(2-{[(3S,4S)-1-(4-циано-4-фенилциклогексил)-4-гидроксипирролидин-3-ил]амино}-2-оксоэтил)-3-(трифторметил)бензамид.
Указанное в заголовке соединение получают в результате восстановительного аминирования 4-циано-4-фенилциклогексанона промежуточным соединением со стадии E примера 1, используя аналогичный способ примера 6. МС вычислено: (M+H)+ 515, найдено: 515.
Пример 27
Стадия A

8-(4-фторфенил)-1,4-диоксаспиро[4,5]дец-7-ен.
К раствору моноэтиленкеталя 1,4-циклогександиона (8,1 г, 50 ммоль) в ТГФ (20 мл) при 10°C добавляют 1М раствор 4-фторфенилмагнийбромида в ТГФ (65 мл, 65 ммоль). Полученную смесь перемешивают при комнатной температуре в течение 2 часов перед тем, как гасят насыщенным раствором NH4Cl. Раствор трижды экстрагируют EtOAc. Объединенные органические фазы промывают насыщенным раствором соли, сушат над MgSO4 и концентрируют. Остаток помещают в толуол (80 мл). Добавляют моногидрат п-толуолсульфоновой кислоты (80 мг). Смесь перемешивают при кипячении с обратным холодильником с удалением воды, используя ловушку Дина-Старка, в течение 2 часов. Полученный раствор промывают насыщенным NaHCO3 и насыщенным раствором соли, сушат над MgSO4 и концентрируют. В результате очистки на силикагеле, элюируя 5%, 10% и затем 15% EtOAc в гексанах, получают указанное в заголовке соединение (8,8 г, 75%) в виде твердого вещества. МС вычислено: (M+H)+ 235, найдено: 235.
Стадия B

8-(4-фторфенил)-1,4-диоксаспиро[4,5]декан.
Промежуточное соединение со стадии A (8,8 г, 37,6 ммоль) растворяют в толуоле и добавляют PtO2 (0,5 г). Полученную смесь перемешивают в атмосфере водорода при атмосферном давлении в течение ночи. Катализатор отфильтровывают и фильтрат удаляют при пониженном давлении. Используя флэш-хроматографию на силикагеле, элюируя 5% и затем 10% EtOAc в гексанах, получают указанное в заголовке соединение (8,6 г, 98%) в виде масла. МС вычислено: (M+H)+ 237, найдено: 237.
Стадия C

4-(4-фторфенил)циклогексанон.
Раствор промежуточного соединения со стадии B (8,6 г, 36,5 ммоль) в толуоле (40 мл), ТГФ (20 мл) и 10% H2SO4 в воде (25 мл) перемешивают при кипячении с обратным холодильником в течение ночи. После охлаждения до комнатной температуры органический слой выделяют, промывают насыщенным раствором соли, сушат над MgSO4 и концентрируют. Используя флэш-хроматографию на силикагеле, элюируя 5% и затем 10% EtOAc в гексанах, получают указанное в заголовке соединение (6,0 г, 86%) в виде масла. МС вычислено: (M+H)+ 193, найдено: 193.
Стадия D

N-[2-({(3S,4S)-1-[4-(4-фторфенил)циклогексил]-4-гидроксипирролидин-3-ил}амино)-2-оксоэтил]-3-(трифторметил)бензамид.
Указанное в заголовке соединение получают в результате восстановительного аминирования кетона со стадии C промежуточным соединением со стадии E примера 1, используя аналогичный способ примера 6. МС вычислено: (M+H)+ 508, найдено: 508.
Пример 28
Стадия A

2-(l,4-диоксаспиро[4,5]дец-7-ен-8-ил)пиридин.
Кеталь (2 г, 8,5 ммоль), полученный на стадии A примера 7, растворяют в пиридине (40 мл) и раствор охлаждают на бане со льдом. Добавляют SOCl2 (3,1 мл, 42,5 ммоль). Раствор оставляют нагреваться до комнатной температуры и перемешивание продолжают в течение ночи. Реакцию гасят, добавляя лед и затем воду. Полученный раствор трижды экстрагируют EtOAc. Объединенные EtOAc слои сушат над MgSO4 и концентрируют. Используя флэш-хроматографию на силикагеле, элюируя смесью от 0 до 55% EtOAc/гексаны, получают 1,54 г указанного в заголовке соединения. МС вычислено: (M+H)+ 218, найдено: 218.
Стадия B

2-(l,4-диоксаспиро[4,5]дец-8-ил)пиридин.
Олефин (1,54 г, 7,1 ммоль), полученный выше, растворяют в MeOH (40 мл) и добавляют Pd/C (160 мг). Систему гидрируют при 53 фунт/кв.дюйм в течение 3 часов. Катализатор отфильтровывают и фильтрат концентрируют, получая указанное в заголовке соединение. МС вычислено: (M+H)+ 220, найдено: 220.
Стадия C

4-пиридин-3-илциклогексанон.
Полученный выше кеталь превращают в кетон, обрабатывая водной HCl, по способу, раскрытому для стадии B примера 7. МС вычислено: (M+H)+ 176, найдено: 176.
Стадия D

N-(2-{[(3S,4S)-4-гидрокси-1-(4-пиридин-2-илциклогексил)пирролидин-3-ил]амино}-2-оксоэтил)-3-(трифторметил)бензамид.
Указанное в заголовке соединение получают в результате восстановительного аминирования полученного выше кетона производным пирролидина, полученным на стадии E, примера 1, используя аналогичный способ примера 6. МС вычислено: (M+H)+ 490, найдено: 490.
Пример 29
Стадия A

4-{[трет-бутил(диметил)силил]окси}циклогексанол.
К раствору 1,4-циклогександиола (5 г, 43 ммоль), имидазола (2,92 г, 43 ммоль) и NEt3 (7 мл) в CH2Cl2 (100 мл), охлажденному на бане со льдом, добавляют трет-бутилдиметилсилилхлорид (6,47 г, 43 ммоль). Смесь перемешивают при комнатной температуре в течение ночи. Добавляют воду и органическую фазу выделяют. Водный слой экстрагируют EtOAc. Объединенные органические фазы сушат над MgSO4 и концентрируют. Используя хроматографическую колонку с силикагелем, элюируя смесью 3:1 EtOAc/гексаны, получают указанное в заголовке соединение (4,2 г, 42%) в виде масла. МС вычислено: (M+H)+ 231, найдено: 231.
Стадия B

4-{[трет-бутил(диметил)силил]окси}циклогексилметансульфонат.
К раствору силильного промежуточного соединения, полученного на стадии A, в
CH2Cl2 (40 мл), охлажденному на бане со льдом, добавляют NEt3 (6 мл), затем метансульфонилхлорид (1,8 мл). После перемешивания при комнатной температуре в течение 2 часов раствор разбавляют водой. Органическую фазу выделяют и водный слой экстрагируют EtOAc. Объединенные органические фазы сушат над MgSO4 и концентрируют. В результате очистки на силикагеле, элюируя смесью 2:1 EtOAc/гексаны, получают указанное в заголовке соединение (4,6 г, 82%) в виде масла. МС вычислено: (M+H)+ 309, найдено: 309.
Стадия C

1-(4-{[трет-бутил(диметил)силил]окси}циклогексил)-3-(трифторметил)-1H-пиразол.
К раствору 3-трифторметил-1Н-пиразола (1,0 г, 7,35 ммоль) в ДМФА (10 мл), охлажденному на бане со льдом, добавляют NaH (0,3 г, 60% в минеральном масле). Смесь перемешивают в течение 10 минут перед тем, как добавляют мезилат (1,13 г, 3,68 ммоль) со стадии B в ДМФА (5 мл). Перемешивание продолжают при комнатной температуре в течение 1 часа и затем при 100°C в течение ночи. После того как раствор охлаждают до комнатной температуры, его выливают в ледяную воду и трижды экстрагируют EtOAc. Объединенные экстракты промывают насыщенным раствором соли, сушат над MgSO4 и концентрируют. Используя очистку на силикагеле, элюируя смесью 5:1 EtOAc/гексаны, получают указанное в заголовке соединение (0,56 г, 44%) в виде масла. МС вычислено: (M+H)+ 349, найдено: 349.
Стадия D

4-[3-(трифторметил)-1Н-пиразол-1-ил]циклогексанол.
Промежуточное соединение (0,56 г, 1,6 ммоль) со стадии C растворяют в CH2Cl2 (10 мл) и добавляют 1М раствор TBAF в CH2Cl2 (5 мл). После перемешивания при комнатной температуре в течение 2 часов раствор разбавляют CH2Cl2. Полученный раствор промывают насыщенным раствором соли, сушат над MgSO4 и концентрируют. Используя очистку на силикагеле, элюируя смесью 2:1 EtOAc/гексаны, получают указанное в заголовке соединение (0,27 г, 71%) в виде масла. МС вычислено: (M+H)+ 235, найдено: 235.
Стадия E

4-[3-(трифторметил)-1Н-пиразол-1-ил]циклогексанон.
К раствору оксалилхлорида (0,25 мл, 2,88 ммоль) в ТГФ (10 мл), охлажденному до -78°C, добавляют ДМСО (0,3 мл, 4,23 ммоль). Смесь перемешивают в течение 20 минут и добавляют раствор спирта со стадии D (0,27 г, 1,15 ммоль) в ТГФ (2 мл) и затем NEt3 (1 мл, 7,1 ммоль). После перемешивания при комнатной температуре в течение 2 часов раствор разбавляют EtOAc. Полученный раствор промывают насыщенным раствором соли, сушат над MgSO4 и концентрируют. Используя очистку на силикагеле, элюируя смесью 2:1 EtOAc/гексаны, получают указанное в заголовке соединение (0,22 г, 82%) в виде масла. МС вычислено: (M+H)+ 233, найдено: 233.
Стадия F

N-{2-[((3S,4S)-4-гидрокси-1-{4-[3-(трифторметил)-1Н-пиразол-1-ил]циклогексил}пирролидин-3-ил)амино]-2-оксоэтил}-3-(трифторметил)бензамид.
Указанное в заголовке соединение получают в результате восстановительного аминирования кетона со стадии E производным пирролидина со стадии E примера 1, используя аналогичный способ примера 6. МС вычислено: (M+H)+ 548, найдено: 548.
Следующие соединения получают, используя аналогичные способы, раскрытые в примерах 27-29.

Пример  |
R |
МС (М+H)+ |
| 30 |
3-фторфенил |
508 |
| 31 |
4-хлорфенил |
523 |
| 32 |
3-хлорфенил |
523 |
| 33 |
4-бромфенил |
568 |
| 34 |
3-бромфенил |
568 |
| 35 |
4-метилфенил |
504 |
| 36 |
3-метилфенил |
504 |
| 37 |
2-метилфенил |
504 |
| 38 |
4-метоксифенил |
520 |
| 39 |
3-метоксифенил |
520 |
| 40 |
пиридин-4-ил |
490 |
| 41 |
пиридин-3-ил |
490 |
| 42 |
5-метилпиридин-2-ил |
504 |
| 43 |
6-метилпиридин-2-ил |
504 |
| 44 |
хинолин-4-ил |
540 |
| 45 |
3-метил-1Н-пиразол-1-ил |
494 |
| 46 |
3,5-диметил-1Н-пиразол-1-ил |
508 |
| 47 |
4-трифторметилфенил |
558 |
| 48 |
3-трифторметилфенил |
558 |
| 49 |
3,4-метилендиоксифенил |
534 |
Пример 50
Стадия A

8-[2-(гидроксиметил)фенил]-1,4-диоксаспиро[4,5]декан-8-ол.
К раствору 2-бромбензилового спирта (3,0 г, 16 ммоль) в ТГФ (40 мл), охлажденному до -78°C, добавляют 2,5М раствор н-BuLi в гексанах (14,1 мл). Смесь перемешивают при -4°C в течение 1 часа и снова охлаждают до -78°C. Добавляют раствор моноэтиленкеталя 1,4-циклогександиона (2,5 г, 16 ммоль) в ТГФ (10 мл) в течение 15 минут. Перемешивание продолжают при -78°C в течение 30 минут и при -4°C в течение 1 часа. Реакцию гасят, добавляя раствор NH4Cl в воде. Полученный раствор трижды экстрагируют EtOAc. Объединенные экстракты промывают насыщенным раствором соли, сушат над MgSO4 и концентрируют. Используя очистку на силикагеле, элюируя смесью 5% MeOH/CH2Cl2, получают указанное в заголовке соединение. МС вычислено: (M+H)+ 265, найдено: 287 (M+Na)+.
Стадия B

3H,4’H-спиро[2-бензофуран-1,1′-циклогексан]-4′-он.
Кеталь растворяют в смеси 80% TFA/CH2Cl2. После перемешивания при комнатной температуре в течение 3,5 часов раствор концентрируют. Остаток помещают в EtOAc. Полученный раствор промывают 1н. NaOH и насыщенным раствором соли, сушат над MgSO4 и концентрируют.
Стадия C

N-(2-{[(3S,4S)-4-гидрокси-1-(3H-спиро[2-бензофуран-1,1′-циклогексан]-4′-ил)пирролидин-3-ил]амино}-2-оксоэтил)-3-(трифторметил)бензамид.
Указанное в заголовке соединение получают в результате восстановительного аминирования кетона со стадии B промежуточным соединением со стадии E примера 1, используя аналогичный способ примера 6. МС (М+H)+ 518, найдено: 518.
Пример 51
Стадия A

Диметил-2,2′-(1,3-диоксолан-2,2-диил)диацетат.
К раствору 4,2 г (24 ммоль) диметил-3-оксопентандиоата и 2,7 мл (48 ммоль) этиленгликоля в 50 мл метиленхлорида добавляют 12 мл (96 ммоль) TMSCl при комнатной температуре. Реакционную смесь перемешивают при 50°C в течение 3 дней. Реакцию гасят насыщенным водным раствором NaHCO3. Водный слой экстрагируют эфиром. Объединенные органические слои промывают насыщенным раствором соли, сушат над Na2SO4, выпаривают при пониженном давлении. В результате хроматографии на силикагеле получают нужный продукт, диметил-2,2′-(1,3-диоксолан-2,2-диил)диацетат (2,6 г, 12 ммоль, выход: 50%): МС (m/e): 219 (M+1)+.
Стадия B

2,2′-(1,3-диоксолан-2,2-диил)диэтанол.
К раствору 2,6 г (12 ммоль) диметил-2,2′-(1,3-диоксолан-2,2-диил)диацетата в 100 мл сухого ТГФ добавляют 1,4 г (36 ммоль) LAH при 0°C. Реакционную смесь затем кипятят с обратным холодильником в течение 1 часа, гасят 15% водным раствором NaOH (3 мл) и водой (3 мл). Смесь перемешивают в течение ночи и фильтруют через целит. Остаток дважды промывают ТГФ (100 мл×2). Объединенные органические фазы выпаривают. В результате хроматографии на силикагеле получают 1,3 г (8,0 ммоль, выход: 66%) 2,2-(1,3-диоксолан-2,2-диил)диэтанола: МС (m/e): 163 (M+1)+.
Стадия C

1,3-диоксолан-2,2-диилдиэтан-2,1-диилдиметансульфонат.
К раствору 2,2-(1,3-диоксолан-2,2-диил)диэтанола (1,3 г, 8,0 ммоль) в метиленхлориде (100 мл) добавляют триэтиламин (3,4 мл, 24 ммоль) при комнатной температуре. Раствор охлаждают до температуры -40°C и затем по каплям добавляют мезилхлорид (1,65 мл, 20 ммоль). Реакционную смесь перемешивают при -40°C в течение 30 минут, затем постепенно нагревают до 0°C. Реакцию гасят насыщенным водным раствором NaHCO3. Водный слой экстрагируют метиленхлоридом. Объединенные органические экстракты промывают насыщенным раствором соли, сушат над Na2SO4, затем выпаривают, получая неочищенный продукт, 1,3-диоксолан-2,2-диилдиэтан-2,1-диилдиметансульфонат: МС (m/e): 319 (M+1)+.
Стадия D

Диспиро[1,3-диоксолан-2,1′-циклогексан-4′,1″-инден].
К раствору индена (0,5 г, 4,3 ммоль) в ТГФ (10 мл), охлажденному на бане со льдом, добавляют 1М раствор LHMDS в ТГФ (8,6 мл, 8,6 ммоль). После перемешивания в течение 30 минут добавляют раствор полученного выше неочищенного димезилата в ТГФ (5 мл). Смесь перемешивают при комнатной температуре в течение ночи и гасят, добавляя холодную воду. Полученный раствор дважды экстрагируют EtOAc. Объединенные экстракты сушат над MgSO4 и концентрируют. Используя очистку на силикагеле, элюируя смесью 1:5 EtOAc/гексаны, получают 250 мг (26%) указанного в заголовке соединения. МС вычислено: (M+H)+ 243, найдено: 243.
Стадия E

4H-спиро[циклогексан-1,1′-инден]-4-он.
К раствору кеталя со стадии D (0,24 г, 1 ммоль) в ТГФ (3 мл) добавляют раствор 1н. HCl (3 мл). После перемешивания при комнатной температуре в течение ночи раствор разбавляют EtOAc и раствором насыщенного NaHCO3. Органическую фазу выделяют и водный слой дважды экстрагируют EtOAc. Объединенные органические фазы сушат над MgSO4 и концентрируют. В результате очистки на силикагеле, элюируя смесью 1:5 EtOAc/гексаны, получают 170 мг (86%) указанного в заголовке соединения. МС вычислено: (M+H)+ 199, найдено: 199.
Стадия F

N-(2-{[(3S,4S)-4-гидрокси-1-спиро[циклогексан-1,1′-инден]-4-илпирролидин-3-ил]амино}-2-оксоэтил)-3-(трифторметил)бензамид.
В результате восстановительного аминирования промежуточного соединения пирролидина со стадии E примера 1 кетоном со стадии E, используя аналогичный способ примера 6, получают указанное в заголовке соединение. МС вычислено: (M+H)+ 514, найдено: 514.
Пример 52

N-(2-{[(3S,4S)-1-(2′,3′-дигидроспиро[циклогексан-1,1′-инден]-4-ил)-4-гидроксипирролидин-3-ил]амино}-2-оксоэтил)-3-(трифторметил)бензамид.
В результате гидрирования соединения примера 52, используя Pd/C в качестве катализатора, получают указанное в заголовке соединение. МС вычислено: (M+H)+ 516; найдено: 516.
Пример 53
Стадия A

Трет-бутил-(3S,4S)-3-{[(бензилокси)карбонил]амино}-4-гидроксипирролидин-1-карбоксилат.
К раствору 1,4 г амина, полученного на стадии C примера 1 (6,9 ммоль) в ТГФ (40 мл), добавляют 2,1 г CbzSu (8,4 ммоль) и затем Et3N (1,1 мл, 7,6 ммоль). Реакционную смесь перемешивают при комнатной температуре в течение ночи. Растворитель удаляют в вакууме. Остаток помещают в смесь EtOAc/вода. Две фазы разделяют и водную фазу дважды экстрагируют EtOAc. Объединенные органические экстракты сушат над Na2SO4 и концентрируют в вакууме. В результате хроматографии на силикагеле, элюируя смесью 2:1 гексан/EtOAc, получают 1,6 г (68%) указанного в заголовке соединения. MS найдено: 237,2 (M-Boc+1)+, 336,9 (M+1)+, 359,2 (M+Na)+.
Стадия B

Трет-бутил-(3S)-3-{[(бензилокси)карбонил]амино}-4-оксопирролидин-1-карбоксилат.
К раствору 0,7 мл оксалилхлорида в ТГФ (10 мл), охлажденному до -78°C, добавляют 1,5 мл безводного ДМСО. После перемешивания в течение 5 минут добавляют раствор 1,6 г промежуточного соединения спирта со стадии A в 20 мл безводного ТГФ и затем добавляют 2,3 мл триэтиламина. Охлаждающую баню удаляют. Реакционную смесь перемешивают при комнатной температуре в течение 0,5 часа. Реакционную смесь гасят, используя смесь 50/50 мл EtOAc/вода. Водную фазу дважды экстрагируют EtOAc. Объединенные органические фазы сушат над Na2SO4 и концентрируют в вакууме. В результате хроматографии на силикагеле, используя смесь 2:1 гексан/EtOAc, получают 1,44 г указанного в заголовке соединения. МС (М+H)+ 335.
Стадия C

Трет-бутил-(4S)-3-аллил-4-{[(бензилокси)карбонил]амино}-3-гидроксипирролидин-1-карбоксилат.
К раствору 1,44 г кетона со стадии B в 20 мл безводного ТГФ, охлажденному до 0°C, добавляют раствор 6,2 мл 1M аллилмагнийбромида. Раствор сразу приобретает темную окраску. После перемешивания при комнатной температуре в течение ночи реакционную смесь гасят, используя смесь 50/50 мл EtOAc/вода. Водную фазу дважды экстрагируют EtOAc. Объединенные органические фазы сушат над Na2SO4 и концентрируют в вакууме. В результате хроматографии на силикагеле, используя смесь 3:1-2:1 гексан/EtOAc в качестве элюента, получают 0,85 г указанного в заголовке соединения. МС (М+H)+ 377.
Стадия D

Трет-бутил-(4S)-4-{[(бензилокси)карбонил]амино}-3-гидрокси-3-(3-гидроксипропил)пирролидин-1-карбоксилат.
К раствору 0,85 г аллилового спирта со стадии C в 20 мл безводного ТГФ добавляют раствор 15 мл 0,5н. 9-BBN. Реакционную смесь перемешивают в течение 2 дней. Добавляют воду (0,5 мл), затем 1 мл 30% H2O2 и 1 мл смеси NaOAc/вода. После перемешивания в течение 1 часа органическую фазу выделяют. Водный раствор нейтрализуют HCl и дважды экстрагируют EtOAc. Объединенные органические фазы сушат над Na2SO4. Растворитель удаляют в вакууме. В результате хроматографии на силикагеле, используя чистый EtOAc в качестве элюента, получают 0,80 г указанного в заголовке соединения. МС (М+H)+ 395.
Стадия E

Трет-бутил-(9S)-9-{[(бензилокси)карбонил]амино}-1-окса-7-азаспиро[4,4]нонан-7-карбоксилат.
К раствору 0,80 г диола со стадии D в 15 мл дихлорметана при 0°C добавляют 0,2 мл метансульфонилхлорида и 0,8 мл триэтиламина. После перемешивания в течение 1 часа смесь кипятят с обратным холодильником при 60°C в течение ночи. Растворитель удаляют в вакууме. Остаток помещают в смесь EtOAc/вода и две фазы разделяют. Водную фазу дважды экстрагируют EtOAc. Объединенные органические фазы сушат над Na2SO4. Растворитель удаляют в вакууме. В результате хроматографии на силикагеле, используя смесь 15% EtOAc/гексан до 100% EtOAc в качестве элюента, получают 0,32 г указанного в заголовке соединения. МС (М+H)+ 377.
Стадия F

Трет-бутил-(9S)-9-амино-1-окса-7-азаспиро[4,4]нонан-7-карбоксилат.
Образец, полученный выше (0,3 г), растворяют в 10 мл метанола. Добавляют 0,2 г Pd/C. Полученную смесь перемешивают при давлении 1 атм H2 (баллон) в течение ночи и фильтруют. Растворитель удаляют в вакууме, получая 0,22 г неочищенного продукта. В результате хроматографии на силикагеле, элюируя смесью 2:1 EtOAc/MeOH, получают 0,13 г (64%) указанного в заголовке соединения. MS найдено: 143,1 (M-Boc+1).
Стадия G

Трет-бутил-(9S)-9-[({[3-(трифторметил)бензоил]амино}ацетил)амино]-1-окса-7-азаспиро[4,4]нонан-7-карбоксилат.
К раствору амина со стадии F (0,13 г, 0,54 ммоль) и (3-трифторметилбензоиламино)уксусной кислоты (0,133 г, 0,54 ммоль) в ДМФА (7 мл) на бане со льдом добавляют реагент BOP (0,238 г, 0,54 ммоль) и затем триэтиламин (0,5 мл, 3,5 ммоль). Реакционную смесь перемешивают при комнатной температуре в течение ночи. Растворитель удаляют при 60°C при высоком вакууме. Остаток помещают в водный раствор смеси EtOAc/NaHCO3. Две фазы разделяют и водную фазу дважды экстрагируют EtOAc. Объединенные органические фазы сушат над Na2SO4 и концентрируют в вакууме. В результате хроматографии на силикагеле, элюируя EtOAc, получают 0,18 г (70%) указанного в заголовке соединения в виде смеси двух диастереоизомеров. МС (М+H)+ 472.
Стадия H

N-{2-[(9S)-1-окса-7-азаспиро[4,4]нон-9-иламино]-2-оксоэтил}-3-(трифторметил)бензамид.
Промежуточное соединение со стадии G (0,18 г) смешивают с 5 мл смеси 4н. HCl/диоксан. Раствор перемешивают в течение 2 часов и концентрируют в вакууме. МС (М+H)+ 372.
Стадия I

N-(2-{[(9S)-7-(4-гидрокси-4-фенилциклогексил)-1-окса-7-азаспиро[4,4]нон-9-ил]амино}-2-оксоэтил)-3-(трифторметил)бензамид.
К раствору амина со стадии H (90 мг, 0,243 ммоль) и 4-гидрокси-4-фенилциклогексанона (43 мг, 0,226 ммоль) в ТГФ (5 мл) добавляют триацетоксиборгидрид натрия (129 мг, 0,61 ммоль) и затем Et3N (0,29 мл, 2 ммоль). Смесь перемешивают при комнатной температуре в течение ночи. Растворитель удаляют в вакууме. Остаток помещают в водный раствор смеси EtOAc/NaHCO3. Две фазы разделяют и водный слой дважды экстрагируют EtOAc. Объединенные органические фазы сушат (Na2SO4) и концентрируют. В результате очистки с помощью препаративной ВЭЖХ получают два изомера. МС: 546,4 (M+1)+.
Пример 54
Стадия A

Трет-бутил-(3S,4S)-3-{бензил[(бензилокси)карбонил]амино}-4-гидроксипирролидин-1-карбоксилат.
К раствору промежуточного соединения со стадии B примера 1 (3,2 г, 11 ммоль) и N-(бензилоксикарбонилокси)сукцинимида (4,23 г, 11 ммоль) в ДМФА (20 мл) добавляют NEt3 (4,6 мл, 33 ммоль). Смесь перемешивают при комнатной температуре в течение ночи и разбавляют водой. Полученный раствор трижды экстрагируют EtOAc. Объединенные экстракты трижды промывают насыщенным раствором соли, сушат над MgSO4 и концентрируют. В результате хроматографии на силикагеле, элюируя смесью 30% EtOAc/гексаны, получают указанное в заголовке соединение (2,5 г, 53%) в виде масла.
МС вычислено: (M+H)+ 427, найдено: 449 (M+Na)+.
Стадия B

Трет-бутил-(3S,4S)-3-{бензил[(бензилокси)карбонил]амино}-4-этоксипирролидин-1-карбоксилат.
К раствору полученного выше промежуточного соединения (1 г, 2,3 ммоль) в ТГФ (6 мл), охлажденному на бане со льдом, добавляют NaH (184 мг, 4,6 ммоль). После перемешивания смеси в течение 30 минут добавляют иодоэтан (0,96 мл, 12 ммоль). Смесь перемешивают при комнатной температуре в течение ночи и гасят водным раствором NH4Cl. Полученный раствор трижды экстрагируют EtOAc. Объединенные экстракты промывают насыщенным раствором соли, сушат над MgSO4 и концентрируют. В результате хроматографии на силикагеле, элюируя 10% EtOAc в гексанах, получают указанное в заголовке соединение (0,9 г, 90%) в виде масла. МС (М+H)+ 455, найдено: 478 (M+Na)+.
Стадия C

Трет-бутил-(3S,4S)-3-амино-4-этоксипирролидин-1-карбоксилат.
Полученное выше промежуточное соединение (2,0 г, 4,5 ммоль) растворяют в MeOH. Добавляют Pd(OH)2 на угле (0,2 г). Смесь перемешивают при давлении 55 фунт/кв.дюйм в течение ночи. Катализатор отфильтровывают и фильтрат концентрируют. МС вычислено: (M+H)+ 231, найдено: 231.
Стадия D

Трет-бутил-(3S,4S)-3-этокси-4-[({[3-трифторметил)бензоил]амино}ацетил)амино]пирролидин-1-карбоксилат.
К раствору амина (1,0 г, 4,43 ммоль) и (3-трифторметилбензоиламино)уксусной кислоты (1,09 г, 4,43 ммоль) в ДМФА (20 мл), охлажденному на бане со льдом, добавляют BOP (1,96 г, 4,43 ммоль) и затем NEt3 (5 мл). Смесь перемешивают при комнатной температуре в течение ночи и концентрируют при пониженном давлении. Остаток помещают в EtOAc. Полученный раствор промывают NaHCO3 и насыщенным раствором соли, сушат над MgSO4 и концентрируют. В результате хроматографии на силикагеле, элюируя смесью 2:1 EtOAc/гексаны, получают указанное в заголовке соединение (1,8 г, 88%) в виде твердого вещества. МС (М+H)+ 460, найдено: 460.
Стадия E

N-(2-{[(3S,4S)-4-этоксипирролидин-3-ил]амино}-2-оксоэтил)-3-(трифторметил)бензамид.
Полученное выше промежуточное соединение растворяют в 4н. HCl в диоксане (20 мл). После перемешивания при комнатной температуре в течение 2 часов растворитель отпаривают, получая твердое вещество. МС вычислено: (M+H)+ 360, найдено: 360.
Стадия F

N-(2-{[(3S,4S)-4-этокси-1-(4-гидрокси-4-фенилциклогексил)пирролидин-3-ил]амино}-2-оксоэтил)-3-(трифторметил)бензамид.
В результате восстановительного аминирования полученного выше амина кетоном со стадии A примера 6, используя аналогичный способ примера 6, получают указанное в заголовке соединение. МС вычислено: (M+H)+ 534, найдено: 534.
Пример 55
Стадия A

4-(8-гидрокси-1,4-диоксаспиро[4,5]дец-8-ил)бензонитрил.
Раствор 4-бромбензонитрила (10 г, 0,055 моль) в 260 мл сухого ТГФ и 70 мл сухого гексана в атмосфере аргона охлаждают до -100°C на бане со смесью жидкий азот-Et2O. По каплям добавляют н-бутиллитий (34,3 мл, 0,055 моль, 1,6М раствор в гексане) таким образом, чтобы внутренняя температура не превышала -95°C. Оранжевый раствор перемешивают дополнительно 10 минут при температуре от -100°C до -95°C и затем обрабатывают по каплям в течение 10 минут раствором моноэтиленкеталя 1,4-циклогександиона (8,75 г, 0,055 моль) в 55 мл сухого ТГФ, снова тщательно поддерживая температуру ниже -95°C. Реакционную смесь перемешивают в течение 10 минут при температуре от -100°C до -95°C, оставляют нагреваться до 20°C и выливают в ледяную воду (400 мл). Органический слой отделяют и водный слой дважды экстрагируют Et2O (200 мл). Объединенные органические экстракты сушат над MgSO4 и выпаривают, получая 14,1 г твердого кристаллического вещества белого цвета. В результате тщательного растирания с Et2O получают 9,9 г (70% выход) кристаллов белого цвета: 1H ЯМР (CDC13):1,6-2,2 (8H, м, циклогексан), 3,97 (4H, с, кеталь), 7,63 (4H, с, Ar); МС: 260 (M+1)+.
Стадия B

4-(1-гидрокси-4-оксоциклогексил)бензонитрил.
4-(8-гидрокси-1,4-диоксаспиро[4,5]дец-8-ил)бензонитрил (520 мг, 2,0 ммоль) растворяют в смешанном растворителе, состоящем из 10 мл ТГФ и 10 мл водного раствора 1н. HCl при комнатной температуре. Реакционную смесь затем перемешивают при 60°C в течение 1 часа. Раствор охлаждают до комнатной температуры, доводя величину pH до 7-8 насыщенным водным раствором NaHCO3. Органический слой выделяют и водный слой дважды экстрагируют EtOAc (20 мл×2). Объединенные органические экстракты сушат над MgSO4 и выпаривают, получая маслянистый остаток. В результате хроматографии на силикагеле (флэш-хроматография), используя смесь 40% этилацетат-гексан, получают 410 мг (95%) нужного продукта: 1ЯМР (CDCl3) : 7,7 (2H, д, J=11,0 Гц), 7,42 (2H, д, J=10,7 Гц), 4,10 (H, с), 2,79-2,74 (2H, м), 2,63-2,49 (2H, м), 1,95-1,89 (2H, м), 1,67-1,59 (2H, м); МС: 216 (М+1)+.
Стадия C

N-[2-({(3S,4S)-1-[4-(4-цианофенил)-4-гидроксициклогексил]-4-этоксипирролидин-3-ил}амино)-2-оксоэтил]-3-(трифторметил)бензамид.
В результате восстановительного аминирования полученного выше кетона промежуточным соединением со стадии E примера 54, используя триацетоксиборгидрид натрия в качестве восстанавливающего агента, после хроматографии получают указанное в заголовке соединение. МС: 559 (M+1)+.
Пример 56
Стадия A

4-(8-гидрокси-1,4-диоксаспиро[4,5]дец-8-ил)бензойная кислота.
Смесь 4-(8-гидрокси-1,4-диоксаспиро[4,5]дец-8-ил)бензонитрила (7,5 г, 0,029 моль) в 190 мл 2-метоксиэтанола и 190 мл 2,5н. NaOH нагревают на паровой бане в течение 15 часов. Раствор охлаждают на бане со льдом, величину pH доводят до 7-8, используя концентрированную HCl, и выпаривают досуха. Добавляют воду (375 мл) и величину pH доводят до 2, используя HCl. Твердое вещество желто-коричневого цвета отфильтровывают и промывают водой, получая 7,6 г (94% выход) 4-(8-гидрокси-1,4-диоксаспиро[4,5]дец-8-ил)бензойную кислоту: 1H ЯМР (CDC13) : 1,6-2,3 (8Н, м, циклогексан), 4,00 (4Н, с, кеталь), 7,60 (2H, с, Ar), 8,00 (2H, Ar); МС: 279 (M+1)+.
Стадия B

4-(8-гидрокси-1,4-диоксаспиро[4,5]дец-8-ил)-N-метилбензамид.
4-(8-гидрокси-1,4-диоксаспиро[4,5]дец-8-ил)бензойную кислоту (560 мг, 2 ммоль), метиламин (1,2 мл, 2,0М раствор в ТГФ), реагент BOP (1,07 г, 2,4 ммоль) и 0,8 мл (6 ммоль) триэтиламина растворяют в 15 мл ДМФА при комнатной температуре. Реакционную смесь перемешивают при комнатной температуре в течение ночи. В результате хроматографии на силикагеле (флэш-хроматография), используя 50% этилацетат-гексан, получают 410 мг (70%) нужного продукта: 1ЯМР (CDCl3) : 7,76 (2H, д, J=11,2 Гц), 7,56 (2H, д, J=10,9 Гц), 5,01 (H, с), 3,90 (4H, с), 3,37 (3H, с), 2,80-2,75 (2H, м), 2,60-2,45 (2H, м), 1,95-1,90 (2H, м), 1,63-1,52 (2H, м); МС: 292 (М+1)+.
Стадия C

4-(1-гидрокси-4-оксоциклогексил)-N-метилбензамид.
4-(8-гидрокси-1,4-диоксаспиро[4,5]дец-8-ил)-N-метилбензамид (410 мг, 1,4 ммоль) растворяют в смешанном растворителе, состоящем из 7 мл ТГФ и 7 мл водного раствора 1н. HCl, при комнатной температуре. Реакционную смесь затем перемешивают при 60°C в течение 1 часа. Раствор охлаждают до комнатной температуры, величину pH доводят до 7-8, используя водный раствор насыщенного NaHCO3. Органический слой выделяют и водный слой дважды экстрагируют EA (20 мл×2). Объединенные органические экстракты сушат над MgSO4 и выпаривают, получая маслянистый остаток. В результате хроматографии на силикагеле (флэш-хроматография), используя смесь 40% этилацетат-гексан, получают 410 мг (90%) нужного продукта: 1ЯМР (CDCl3) : 7,78 (2H, д, J=l1,2 Гц), 7,51 (2H, д, J=10,9 Гц), 4,10 (H, с), 3,37 (3H, с), 2,79-2,74 (2H, м), 2,63-2,49 (2H, м), 1,95-1,89 (2H, м), 1,67-1,59 (2H, м); МС: 248 (М+1)+.
Стадия D

N-(2-{[(3S,4S)-4-этокси-1-(4-гидрокси-4-{4-[(метиламино)карбонил]фенил}циклогексил)пирролидин-3-ил]амино}-2-оксоэтил)-3-(трифторметил)бензамид.
Указанное в заголовке соединение получают в результате восстановительного аминирования полученного выше кетона промежуточным соединением со стадии E примера 54, используя триацетоксиборгидрид натрия в качестве восстанавливающего агента и затем хроматографию. МС (М+H)+ 591.
Пример 57
Стадия A

8-(1-оксидопиридин-4-ил)-1,4-диоксаспиро[4,5]декан-8-ол.
К раствору 2,35 г (10 ммоль) 8-пиридин-4-ил-1,4-диоксаспиро[4,5]декан-8-ола (полученного по способу примера 7) в 20 мл метиленхлорида добавляют 2,6 г (15 ммоль) mCPBA. Реакционную смесь перемешивают при комнатной температуре в течение 1,5 часа. В результате хроматографии на силикагеле получают указанное в заголовке соединение (2,45 г, 98%).
Стадия B

4-гидрокси-4-(1-оксидопиридин-4-ил)циклогексанон.
Указанное в заголовке соединение синтезируют из 8-(1-оксидопиридин-4-ил)-1,4-диоксаспиро[4,5]декан-8-ола, используя обычную методику удаления защитных групп.
Стадия C

N-[2-({(3S,4S)-4-этокси-1-[4-гидрокси-4-(1-оксидопиридин-4-ил)циклогексил]пирролидин-3-ил}амино)-2-оксоэтил]-3-(трифторметил)бензамид.
Указанное в заголовке соединение получают, используя обычную методику восстановительного аминирования. МС (М+H)+ 551.
Следующие соединения получают, используя аналогичные способы, раскрытые в примерах 54-57.

Пример  |
R1 |
R2 |
МС (М+H)+ |
| 58 |
OH |
4-метилфенил |
548 |
| 59 |
OH |
4-метоксифенил |
564 |
| 60 |
OH |
3-метоксифенил |
564 |
| 61 |
OH |
4-фторфенил |
552 |
| 62 |
OH |
3-фторфенил |
552 |
| 63 |
OH |
4-хлорфенил |
568 |
| 64 |
OH |
3,4-метилендиоксифенил |
578 |
| 65 |
OH |
пиридин-2-ил |
535 |
| 66 |
OH |
пиридин-3-ил |
535 |
| 67 |
OH |
пиридин-4-ил |
535 |
| 68 |
OH |
4-метилпиридин-2-ил |
549 |
| 69 |
OH |
5-метилпиридин-2-ил |
549 |
| 70 |
OH |
6-метилпиридин-2-ил |
549 |
| 71 |
OH |
6-метоксипиридин-3-ил |
565 |
| 72 |
OH |
1-оксидопиридин-3-ил |
551 |
| 73 |
OH |
1-оксидопиридин-2-ил |
551 |
| 74 |
OH |
хинолин-4-ил |
585 |
| 75 |
OH |
3-цианофенил |
559 |
| 76 |
OH |
3-(метиламинокарбонил)фенил |
591 |
| 77 |
H |
пиридин-3-ил |
519 |
| 78 |
H |
пиридин-4-ил |
519 |
| 79 |
H |
пиридин-2-ил |
519 |
| 80 |
H |
1-оксидопиридин-2-ил |
535 |
| 81 |
H |
1-оксидопиридин-3-ил |
535 |
| 82 |
H |
1-оксидопиридин-4-ил |
535 |
| 83 |
H |
6-метоксипиридин-3-ил |
549 |
| 84 |
H |
4-(морфолин-4-илкарбонил)фенил |
631 |
| 85 |
H |
5-(морфолин-4-илкарбонил)пиридин-2-ил |
632 |
| 86 |
H |
6-(морфолин-4-илкарбонил)пиридин-3-ил |
632 |
| 87 |
H |
4-(4-метилпиперазин-1-илкарбонил)фенил |
644 |
| 88 |
H |
3-метил-1H-пиразол-1-ил |
522 |
| 89 |
H |
3-трифторметил-1H-пиразол-1-ил |
576 |
Пример 90

N-(2-{[(3S,4S)-4-этокси-1-(3H-спиро[2-бензофуран-1,1′-циклогексан]-4′-ил)пирролидин-3-ил]амино}-2-оксоэтил)-3-(трифторметил)бензамид.
Указанное в заголовке соединение получают, используя последовательность реакций, раскрытую в примере 54. МС вычислено: (M+H)+ 546, найдено: 546.
Пример 91

N-(2-{[(3S,4S)-4-этокси-1-спиро[циклогексан-1,1′-инден]-4-илпирролидин-3-ил]амино}-2-оксоэтил)-3-(трифторметил)бензамид.
Указанное в заголовке соединение получают, используя последовательность реакций, раскрытую в примере 52. МС вычислено: (M+H)+ 542, найдено: 542.
Пример 92

N-(2-{[(3S,4S)-1-(2′,3′-дигидроспиро[циклогексан-1,1′-инден]-4-ил)-4-этоксипирролидин-3-ил]амино}-2-оксоэтил)-3-(трифторметил)бензамид.
Указанное в заголовке соединение получают, используя последовательность реакций, раскрытую в примере 54. МС вычислено: (M+H)+ 544, найдено: 544.
Пример 93
Стадия A

Бензил-6-окса-3-азабицикло[3,1,0]гексан-3-карбоксилат.
К раствору 30 г (133 ммоль) бензил-3-пирролин-1-карбоксилата в 700 мл метиленхлорида добавляют 57,2 г (200 ммоль) mCPBA. Реакционную смесь перемешивают при комнатной температуре в течение ночи и гасят, используя 250 мл 20% водного раствора NaHSO3. Органическую фазу выделяют и водный слой экстрагируют метиленхлоридом дважды (100 мл×2). Объединенные экстракты дважды промывают насыщенным водным раствором NaHCO3 (250 мл×2), насыщенным раствором соли, сушат над Na2SO4, выпаривают при пониженном давлении. В результате хроматографии на силикагеле, используя смесь 40% EtOAc-гексан, получают указанное в заголовке соединение (24 г, 83%). МС (М+H)+ 220.
Стадия B

Бензил-(3S,4S)-3-амино-4-гидроксипирролидин-1-карбоксилат.
К раствору 20,7 г (94,4 ммоль) бензил-6-окса-3-азабицикло[3,1,0]гексан-3-карбоксилата в 80 мл метанола добавляют 80 мл гидроксида аммония. Реакционную смесь перемешивают при 60°C в течение ночи. После концентрирования реакционной смеси при пониженном давлении получают маслянистый остаток (22,3 г, 94,4 ммоль), который используют непосредственно в дальнейшей N-Boc-защитной реакции. MS(M+H)+ 237.
Стадия C

Бензил-(3S,4S)-3-[(трет-бутоксикарбонил)амино]-4-гидроксипирролидин-1-карбоксилат.
К раствору 22,3 г (94,4 ммоль) полученного выше аминоспирта в 200 мл ТГФ добавляют 26,8 г (123 ммоль) ди-трет-бутилдикарбоната и 17,1 мл (123 ммоль) триэтиламина при 0°C. Реакционную смесь перемешивают при комнатной температуре в течение ночи. Реакцию гасят, используя 100 мл этилацетата и 100 мл воды. Органическую фазу выделяют и водный слой дважды экстрагируют этилацетатом (100 мл×2). Объединенные экстракты дважды промывают насыщенным водным раствором NaHCO3 (250 мл×2), насыщенным раствором соли, сушат над
Na2SO4, выпаривают при пониженном давлении. В результате хроматографии на силикагеле, используя смесь 70% EtOAc-гексан, получают указанное в заголовке соединение (27,3 г, 86%). МС (М+H)+ 337.
Стадия D

Бензил-(3S,4S)-3-(аллилокси)-4-[(трет-бутоксикарбонил)амино]пирролидин-1-карбоксилат.
К раствору 26 г (77 ммоль) бензил-3-[(трет-бутоксикарбонил)амино]-4-гидроксипирролидин-1-карбоксилата в 120 мл ТГФ добавляют 5 г (211 ммоль) гидрида натрия при 0°C. Реакционную смесь перемешивают при 0°C в течение 1 часа, затем добавляют 10 мл (115 ммоль) аллилбромида. Реакционную смесь нагревают до комнатной температуры и непрерывно перемешивают при комнатной температуре в течение ночи. Чтобы погасить реакцию добавляют воду (50 мл). Органическую фазу выделяют и водный слой дважды экстрагируют этилацетатом (100 мл×2). Объединенные экстракты промывают насыщенным раствором соли, сушат над Na2SO4, выпаривают при пониженном давлении. В результате хроматографии на силикагеле, используя смесь 25% EtOAc-гексан, получают указанное в заголовке соединение (21,3 г, 73%). МС (М+H)+ 377.
Стадия Е

Бензил-(3S,4S)-3-(аллилокси)-4-аминопирролидин-1-карбоксилат.
К раствору 21,3 г (56,6 ммоль) бензил-3-(аллилокси)-4-[(трет-бутоксикарбонил)амино]пирролидин-1-карбоксилата в 125 мл ТГФ добавляют 250 мл раствора 4н. HCl в диоксане. Реакционную смесь перемешивают при комнатной температуре в течение 2 часов, концентрируют при пониженном давлении, получая маслянистый остаток. Остаток снова растворяют в 200 мл насыщенного водного раствора NaHCO3. pH смеси доводят до 7-8, затем дважды экстрагируют этилацетатом (100 мл×2). Объединенные экстракты промывают насыщенным раствором соли, сушат над Na2SO4, выпаривают при пониженном давлении, получая маслянистый остаток. В результате хроматографии на силикагеле, элюируя смесью 5% MeOH-EtOAc, получают указанное в заголовке соединение (10,5 г, 68%). МС (М+H)+ 277.
Стадия F

Бензил-(3S,4S)-3-(аллилокси)-4-[({[3-(трифторметил)бензоил]амино}ацетил)амино]пирролидин-1-карбоксилат.
К раствору 10 г (36 ммоль) бензил-3-(аллилокси)-4-аминопирролидин-1-карбоксилата в 150 мл ДМФА добавляют 12 г (105 ммоль) N-метилморфолина, 19 г (44 ммоль) реагента BOP и 10 г (39 ммоль) производного глициновой кислоты при комнатной температуре. Реакционную смесь перемешивают при комнатной температуре в течение ночи. В результате хроматографии на силикагеле, элюируя смесью 50% EtOAc-гексан, получают указанное в заголовке соединение (14,5 г, 79,8%). МС (М+H)+ 506.
Стадия G

Гидрохлорид N-(2-оксо-2-{[(3S,4S)-(4-пропоксипирролидин)-3-ил]амино}этил)-3-(трифторметил)бензамида.
К раствору 3,7 г бензил-3-(аллилокси)-4-[({[3-(трифторметил)бензоил]амино}ацетил)амино]пирролидин-1-карбоксилата в 35 мл метанола добавляют 3,6 мл 6н. водного раствора HCl и 171 мг Pd/C (10% на угле). Реакционную смесь перемешивают при комнатной температуре в атмосфере водорода (40 фунт/кв.дюйм) в течение ночи. Смесь фильтруют через целит и концентрируют при пониженном давлении, получая указанное в заголовке соединение (1,73g, 58%). МС (М+H)+ 374.
Стадия H

N-[2-({(3S,4S)-1-[4-гидрокси-4-(1-оксидопиридин-4-ил)циклогексил]-4-пропоксипирролидин-3-ил}амино)-2-оксоэтил]-3-(трифторметил)бензамид.
Указанное соединение синтезируют из гидрохлорида N-(2-оксо-2-{[4-пропоксипирролидин-3-ил]амино}этил)-3-(трифторметил)бензамида и 4-гидрокси-4-(1-оксидопиридин-4-ил)циклогексанона, используя конкретный способ восстановительного аминирования. МС (m/e): 565 (M+1)+.
Следующие соединения получают, используя аналогичный способ примера 93.

Пример  |
R1 |
R2 |
МС (М+H)+ |
| 94 |
OH |
фенил |
548 |
| 95 |
OH |
4-метоксифенил |
578 |
| 96 |
OH |
3,4-метилендиоксифенил |
592 |
| 97 |
OH |
пиридин-2-ил |
549 |
| 98 |
OH |
пиридин-3-ил |
549 |
| 99 |
OH |
пиридин-4-ил |
549 |
| 100 |
OH |
хинолин-4-ил |
599 |
| 101 |
OH |
6-метоксипиридин-3-ил |
579 |
| 102 |
OH |
4-метилпиридин-2-ил |
563 |
| 103 |
OH |
5-метилпиридин-2-ил |
563 |
| 104 |
OH |
6-метилпиридин-2 ил |
563 |
| 105 |
OH |
6-метоксипиридин-2-ил |
579 |
| 106 |
OH |
1-оксидопиридин-3-ил |
565 |
| 107 |
H |
пиридин-3-ил |
533 |
| 108 |
H |
пиридин-4-ил |
533 |
| 109 |
H |
3,5-диметил-1Н-пиразол-1-ил |
550 |
| 110 |
H |
3-метил-1H-пиразол-1-ил |
536 |
| 111 |
H |
1-оксидопиридин-3-ил |
549 |
Пример 112

N-(2-оксо-2-{[(3S,4S)-4-пропокси-1-(3H-спиро[2-бензофуран-1,1′-циклогексан]-4′-ил)пирролидин-3-ил]амино}этил)-3-(трифторметил)бензамид.
Указанное в заголовке соединение получают, используя последовательность реакций, раскрытую в примере 93. МС вычислено: (M+H)+ 560, найдено: 560.
Пример 113

N-(2-оксо-2-{[(3S,4S)-4-пропокси-1-спиро[циклогексан-1,1′-инден]-4-илпирролидин-3-ил]амино}этил)-3-(трифторметил)бензамид.
Указанное в заголовке соединение получают, используя последовательность реакций, раскрытую в примере 93. МС вычислено: (M+H)+ 556, найдено: 556.
Пример 114
Стадия A

(3-трифторметилбензоиламино)уксусная кислота.
К быстро перемешиваемому раствору глицина (15,014 г, 0,20 моль) в MeCN (400 мл) и 2М NaOH (250 мл) при 0°C медленно добавляют раствор 3-(трифторметил)бензоилхлорида (41,714 г, 0,20 моль) в 75 мл MeCN в течение 30 минут. Мутный желтый раствор перемешивают при 0°C в течение 30 минут. Реакционную смесь подкисляют, используя 3М HCl, до рН3, затем удаляют MeCN, используя роторный испаритель. Полученную смесь затем экстрагируют EtOAc (400 мл×3). Объединенные органические слои сушат, фильтруют и концентрируют, получая твердое вещество светло-желтого цвета (48,53 г), которое тщательно растирают с толуолом (500 мл). После фильтрования твердое вещество промывают холодным толуолом до тех пор, пока фильтрат не становится бесцветным. После сушки в вакууме в течение выходных дней получают продукт в виде порошка белого цвета: 44,60 г (90%) МС (М+H+)=248,1. 1ЯМР (ДМСО-d6) : 12,70 (ушир.с, 1H), 9,17 (м, 1H), 8,20 (дд, 2H), 7,94 (дд, 1H), 7,78 (м, 1H), 3,97 (д, 2H).
Стадия B

N-(2-{[(3R)-1-бензилпирролидин-3-ил]амино}-2-оксоэтил)-3-(трифторметил)бензамид.
К раствору (3-трифторметилбензоиламино)уксусной кислоты (4,2 г, 17 ммоль) и NMM (2,8 мл, 25,5 ммоль) в сухом ТГФ (30 мл) при температуре (-10)-(-15)°C в атмосфере N2 медленно добавляют изобутилхлорформиат (2,4 мл, 17,85 ммоль) с помощью шприца. Реакционная смесь постепенно становится розовой. Спустя 15 минут, раствор (3R)-1-бензилпирролидин-3-амина (3,0 г, 17 ммоль) в ТГФ (15 мл) по каплям добавляют к полученному выше смешанному ангидриду в течение 20 минут, поддерживая температуру реакционной смеси <-10°C. Реакционная смесь приобретает темно-красный цвет. Через 1 час реакционную смесь оставляют нагреваться до комнатной температуры и гасят водой (25 мл), экстрагируют EtOAc×3, сушат, фильтруют и концентрируют, получая твердое вещество оранжевого цвета. Добавляют MeCN и концентрируют для удаления EtOAc. Затем добавляют
MeCN (15-20 мл), чтобы получить суспензию, которую охлаждают на бане со льдом, и перемешивают в течение 30 минут. После фильтрования твердый продукт промывают холодным MeCN (10-15 мл) до тех пор, пока фильтрат не становится бесцветным. После сушки в высоком вакууме в течение ночи, получают твердое вещество бледно желтого цвета: 5,0 г (73%). МС (М+Н+)=406,2; 1ЯМР (CDCl3) : 8,16 (с, 1Н), 8,00 (дд, 1Н), 7,78 (дд, 1H), 7,57 (м, 1H), 7,25 (м, 6H), 7,06 (м, 1H), 6,39 (м, 1H), 4,48 (м, 1H), 4,04 (д, 2H), 3,62 (д, 2H), 2,86 (м, 1H), 2,63 (м, 1H), 2,57 (м, 1Н), 2,36 (м, 2H).
Стадия C

N-((R)-пирролидин-3-илкарбамоилметил)-3-трифторметил-бензамид.
В шейкер Парра, содержащий соединение со стадии B (14,0 г, 34,5 ммоль), растворенное в MeOH (50 мл), добавляют гидроксид палладия (2,8 г, 20 вес.%). Суспензию встряхивают при комнатной температуре в атмосфере водорода (55 фунт/кв.дюйм) в течение ночи. Смесь фильтруют через целит и концентрируют, получая указанное в заголовке соединение в виде белого твердого вещества; выход 10,5 г, 97%; 1ЯМР (CDCl3) : 9,06 (т, 1H), 8,20 (м, 3Н), 7,94 (д, 1H), 7,75 (т, 1H), 4,23 (м, 1H), 3,89 (д, 2H), 3,00-3,22 (м, 4H), 2,82 (м, 1H), 2,05 (м, 1H), 1,73 (м, 1H); МС m/z=316,3 (M+H)+.
Стадия D

8-(6-метоксипиридин-3-ил)-1,4-диоксаспиро[4,5]декан-8-ол.
В сухой 3-горлой колбе 5-бром-2-метоксипиридин (12,6 г, 67,2 ммоль) растворяют в сухом ТГФ (130 мл) и охлаждают до -78°С в атмосфере N2. По каплям добавляют 2,5М н-BuLi в гексанах (28,2 мл, 70,4 ммоль) и смесь перемешивают при -78°C в течение 50 минут. К пиридиновой смеси медленно добавляют раствор моноэтиленкеталя 1,4-циклогександиона (10,0 г, 64,0 ммоль) в сухом ТГФ (25 мл). Полученную смесь перемешивают при -78°C в течение 80 минут. Реакцию гасят, используя насыщенный раствор NH4Cl, и экстрагируют CH2Cl2 (3×). Объединенные экстракты сушат (MgSO4), фильтруют и концентрируют, получая масло желтого цвета. В результате хроматографии на силикагеле (флэш-хроматография), элюируя смесью 10% MeOH/CH2Cl2, получают указанное в заголовке соединение в виде твердого вещества желтого цвета; выход 16,5 г, 62,2 ммоль, 97%; 1ЯМР (CDCl3) : 8,26 (с, 1H), 7,72 (д, 1H), 6,69 (д, 1H), 3,96 (т, 4H), 3,91 (с, 3H), 2,21 (с, 1H), 2,08 (м, 4H), 1,82 (м, 2H), 1-66 (м, 2H); МС m/z=266,1 (M+H)+.
Стадия E

4-гидрокси-4-(6-метоксипиридин-3-ил)циклогексанон.
К раствору кеталя со стадии D (11,5 г, 43,3 ммоль) в ТГФ (100 мл) добавляют 3н. HCl (75 мл) и раствор перемешивают в течение ночи при комнатной температуре. pH раствора доводят до ~11, добавляя 3н. раствор NaOH. После удаления большей части ТГФ на роторном испарителе, водную часть экстрагируют CH2Cl2 (3×). Объединенные экстракты сушат (MgSO4), фильтруют и концентрируют, получая указанное в заголовке соединение в виде твердого вещества желтого цвета; выход 8,2 г, 37,1 ммоль, 86%; 1ЯМР (CDCl3) : 8,26 (с, 1H), 7,75 (д, 1H), 6,73 (д, 1H), 3,91 (с, 3H), 2,91 (м, 2H), 2,78 (с, 1H), 2,32 (м, 2H), 2,21 (м, 4H); МС m/z=222,1.
Стадия F

N-({(3R)-1-[4-гидрокси-4-(6-метоксипиридин-3-ил)циклогексил]пирролидин-3-илкарбамоил}метил)-3-трифторметилбензамид.
В сухую колбу, содержащую раствор N-((R)-пирролидин-3-илкарбамоилметил)-3-трифторметилбензамида (5,0 г, 15,9 ммоль) в сухом CH2Cl2 (1,0 л), добавляют кетон со стадии E (4,56 г, 20,6 ммоль) и затем триацетоксиборгидрид натрия (6,72 г, 31,7 ммоль). Полученную смесь перемешивают в течение ночи при комнатной температуре. Реакционную смесь нейтрализуют, используя NaOH (250 мл) и экстрагируют CH2Cl2 (3×). Объединенные экстракты сушат (MgSO4), фильтруют и концентрируют, получая липкое твердое вещество. Используя флэш-хроматографию на силикагеле и элюируя смесью 1% NH4OH/15% MeOH/EtOAc, получают нужный изомер в виде белого твердого вещества; выход (только менее полярный изомер) 3,68 г, 7,1 ммоль, 45%; 1ЯМР (CDCl3) : 8,28 (с, 1H), 8,09 (с, 1H), 7,97 (д, 1H), 7,75 (дд, 2H), 7,55 (м, 2H), 6,90 (д, 1Н), 6,72 (д, 1H), 4,44 (м, 1H), 4,12 (с, 2H), 3,92 (с, 3H), 2,87 (м, 1H), 2,65 (м, 2H), 2,27 (м, 4H), 2,11 (ушир.с, 1H), 1,93 (м, 2H), 1,64 (м, 5H); МС m/z=521,2 (M+H).
Пример 115
Стадия A

Цис-1-пиридин-2-илциклогексан-1,4-диол.
К раствору LAH (50 мл, 1,0М ТГФ) в 1 л 4-горлой колбе добавляют ТГФ (150 мл) и затем по каплям добавляют раствор 4-гидрокси-4-пиридин-2-илциклогексанона (10,0 г, 52,3 ммоль) в ТГФ (100 мл) в течение 1,5 часа. Температура на протяжении всей реакции составляет около 30°C. О завершении реакции судят по данным ВЭЖХ анализа, и по данным ВЭЖХ отношение транс-диола к цис-диолу составляет 1:9. Реакцию гасят, медленно добавляя воду (8 мл) и 15% NaOH (2 мл), и смесь фильтруют через целит. Фильтрат концентрируют, получая масло (10,1 г), которое подвергают хроматографии на силикагеле (350 г), элюируя смесью 1% TEA/5% IPA/гексан (400 мл) и затем смесью 1% TEA/15% IPA/10% tBME/гексан (6 л). Соответствующие фракции объединяют и концентрируют в вакууме, получая цис-1-пиридин-2-илциклогексан-1,4-диол (6,3 г, 63%) в виде белого твердого вещества. ЖХМС: 194,3 (M+H, 100%). 1ЯМР (CDCl3) : 8,54 (дд, 1H), 7,72 (дд, 1H), 7,68 (дд, 1H),7,39 (д, 1H), 5,09 (ушир.с, 1H), 3,82-3,76 (м, 1H), 2,56-2,49 (м, 1H), 2,01-1,98 (м, 2H), 1,96-1,84 (м, 2H), 1,80-1,75 (м, 2H), 1,64-1,58 (м, 2H).
Стадия B

Цис-4-гидрокси-4-пиридин-2-илциклогексилметансульфонат.
К раствору спирта со стадии A (6,3 г, 32,6 ммоль) и TEA (13,6 мл, 97,8 ммоль) в ТГФ (100 мл) при 0°C добавляют мезилхлорид (3,78 мл, 48,9 ммоль). После перемешивания в течение 1,5 часа реакция завершается, о чем судят по данным ЖХМС. Реакцию гасят, добавляя 20% KHCO3 (40 мл), и экстрагируют EtOAc (300 мл). Органический слой промывают 10% KHCO3, затем насыщенным раствором соли, сушат над сульфатом натрия и концентрируют в вакууме. Остаток кристаллизуют в толуоле (100 мл) при 70°C и твердое вещество сушат воздухом, получая кристаллическое твердое вещество (5,25 г, 59,4%). ЖХМС: 272,3 (M+Н+, 100%); 1ЯМР (CDCl3) : 8,54 (д, 1H), 7,76 (дд, 1H), 7,35 (дд, 1H), 7,26 (дд, 1Н), 5,20 (ушир.с, 1H), 4,86-4,77 (м, 1H), 3,06 (с, 3H), 2,30-2,10 (м, 4H), 1,96-1,88 (м, 2H), 1,80-1,78 (м, 2H).
Стадия C

Трет-бутил[(3R)-1-(транс-4-гидрокси-4-пиридин-2-илциклогексил)пирролидин-3-ил]карбамат.
4-Гидрокси-4-пиридин-2-илциклогексилметансульфонат (0,245 г, 0,9 ммоль) и трет-бутил-(3R)-пирролидин-3-илкарбамат (1,6 г, 8,59 ммоль) взвешивают и помещают в ампулу для микроволновой печи. Чистую реакционную смесь помещают в микроволновую печь на 15 минут при температуре 71°C. Смесь подвергают хроматографии на силикагеле, элюируя 1% NH4OH в смеси этилацетат/метанол (100/0 до 10/90), получая трет-бутил-[(3R)-1-(4-гидрокси-4-пиридин-2-илциклогексил)пирролидин-3-ил]карбамат. ЖХМС: 362,2 (M+H, 100%). 1ЯМР (CDCl3) : 8,52 (м, 1H), 7,70 (м, 1H), 7,43 (д, 1Н), 7,19 (м, 1Н), 4,86 (ушир.с, 2Н), 4,20 (ушир.с, 1H), 2,82 (м, 1H), 2,68 (с, 1H), 2,56 (м, 1Н), 2,40 (м, 1Н), 2,31 (с, 1Н), 2,27-2,17 (м, 3H), 2,04-1,98 (м, 2Н), 1,78-1,74 (м, 3H), 1,61 (м, 2H), 1,46 (с, 9H).
Стадия D

Транс-4-[(3R)-3-аминопирролидин-1-ил]-1-пиридин-2-илциклогексанол.
Трет-бутил[(3R)-1-(4-гидрокси-4-пиридин-2-илциклогексил)пирролидин-3-ил]карбамат (50 мг, 0,14 ммоль) добавляют 4,0М HCl в 1,4-диоксан (3 мл) при комнатной температуре. После перемешивания в течение 5 минут продукт осаждается. К смеси добавляют метанол (0,6 мл) и раствор становится почти прозрачным, причем присутствует некоторое количество смолистого вещества. По данным ВЭЖХ и ЖХМС реакция завершается через 2,5 часа. Полученную смесь концентрируют, получая HCl соль 4-[(3R)-3-аминопирролидин-1-ил]-1-пиридин-2-илциклогексанола (72 мг, 99%). ЖХ/МС: 262,1 (M+H, 100%).
Стадия E

N-(2-{[(3R)-1-(4-гидрокси-4-пиридин-2-илциклогексил)пирролидин-3-ил]амино}-2-оксоэтил)-3-(трифторметил)бензамид.
К раствору 4-[(3R)-3-аминопирролидин-1-ил]-1-пиридин-2-илциклогексанола (69 мг, 0,26 ммоль) в безводном ТГФ (5 мл) добавляют TEA (0,10 мл) и другой раствор (3-трифторметилбензоиламино)уксусной кислоты (60 мг, 0,24 ммоль), гидрохлорид N-(3-диметиламинопропил)-N’-этилкарбодиимида (50 мг, 0,26 ммоль) в ТГФ (5,0 мл) при комнатной температуре и затем добавляют ДМФА (0,07 мл) и дополнительное количество TEA (0,05 мл), чтобы все перевести в раствор. Реакционную смесь перемешивают при комнатной температуре в течение ночи, гасят водой (25 мл) и экстрагируют этилацетатом (4×35 мл). Объединенные органические слои сушат над сульфатом натрия, фильтруют и растворитель удаляют при пониженном давлении. Остаток подвергают хроматографии на силикагеле, элюируя 1% NH4OH в смеси этилацетат/метанол (100/0 до 10/90), затем очищают, используя ВЭЖХ, элюируя 0,05% TFA в смеси CH3CN/вода, получая TFA соль бис(трифторацетат) N-(2-{[(3R)-1-(4-гидрокси-4-пиридин-2-илциклогексил)пирролидин-3-ил]амино}-2-оксоэтил)-3-(трифторметил)бензамида (68 мг, 57%). LRMS: 491 (M+H, 100%). 1ЯМР (CD3OD) : 8,20 (с, 1H), 8,12 (д, 1H), 7,85 (д, 1H), 7,67 (т, 1H), 6,96 (с, 2H), 4,37 (м, 1H), 4,01 (с, 2Н), 2,88 (м, 1H), 2,77 (м, 1H), 2,61 (м, 1H), 2,52 (м, 2H), 2,44 (кв., 1H), 2,21 (м, 2H), 1,96 (м, 2H), 1,65 (м, 3H), 1,40 (м, 2H).
Пример 116
Стадия A

2-азетидин-1-ил-5-бромпиридин.
Смесь HCl соли азетидина (590 мг, 6,3 ммоль), 5-бром-2-фторпиридина (1,11 г, 6,3 ммоль), Cs2CO3 (4,1 г, 12,6 ммоль) и сухого ДМСО (7 мл) перемешивают и нагревают при 95°C в течение 20 часов. Реакционную смесь охлаждают и фильтруют. Твердое вещество обрабатывают H2O, экстрагируют CH2Cl2×3. Объединенные органические слои сушат, фильтруют, получая 1,15 г (86%) нужного продукта в виде твердого вещества светло-желтого цвета. МС (М+H+)=213,0/215,0. 1ЯМР (CDCl3) : 8,18 (д, 1H), 7,50 (дд, 1H), 6,18 (д, 1H), 4,03 (т, 4H), 2,40 (кв., 2H).
Стадия B

8-(6-азетидин-1-илпиридин-3-ил)-1,4-диоксаспиро[4,5]декан-8-ол.
2-азетидин-1-ил-5-бромпиридин (64 мг, 0,30 ммоль) растворяют в сухом ТГФ (1,5 мл) и охлаждают до -78°C, добавляя затем н-BuLi (0,196 мл, 1,6М в гексанах). Спустя 30 минут по каплям добавляют раствор моноэтиленкеталя 1,4-циклогександиона (44,6 мг, 0,286 ммоль) в сухом ТГФ (0,2 мл) при -78°C при постоянном перемешивании. Через 1 час реакцию гасят, используя NH4Cl (водн.), и медленно нагревают до комнатной температуры. Водный слой экстрагируют CH2Cl2×3, сушат, фильтруют и концентрируют, получая неочищенный продукт, который очищают, используя флэш-хроматографию на колонке (100% EtOAc), получая 35 мг (43%) твердого продукта белого цвета. МС (М+H+) 291,1.
Стадия C

4-(6-азетидин-1-илпиридин-3-ил)-4-гидроксициклогексанон.
8-(6-азетидин-1-илпиридин-3-ил)-1,4-диоксаспиро[4,5]декан-8-ол (35 мг) растворяют в ТГФ (1,2 мл) и затем добавляют 3М HCl (0,8 мл) при комнатной температуре. Полученный раствор перемешивают при комнатной температуре в течение 2 часов, затем подщелачивают, используя 6н. NaOH на бане со льдом до pH 10. Водный слой экстрагируют CH2Cl2×3. Объединенные органические слои сушат, фильтруют и выпаривают на роторном испарителе, получая 28 мг (97%) белого твердого вещества без дополнительной очистки. МС (М+H+)=247,0.
Стадия D

N-[2-({(3R)-1-[4-(6-азетидин-1-илпиридин-3-ил)-4-гидроксициклогексил]пирролидин-3-ил}амино)-2-оксоэтил]-3-(трифторметил)бензамид.
К раствору 4-(6-азетидин-1-илпиридин-3-ил)-4-гидроксициклогексанона (115 мг, 0,467 ммоль) и N-((R)-пирролидин-3-илкарбамоилметил)-3-трифторметилбензамида (140,4 мг, 0,445 ммоль) в сухом CH2Cl2 (19 мл) добавляют Na(OAc)3BH (198 мг, 0,934 ммоль) одной порцией в атмосфере N2 при комнатной температуре. Реакционную смесь перемешивают в атмосфере азота в течение ночи (16 час) и обрабатывают Na2CO3 (водн.), экстрагируют CH2Cl2×3, сушат, фильтруют и концентрируют, получая неочищенный продукт, который очищают колоночной хроматографией (20:80:0,5 MeOH/EtOAc/NH4OH), получая 60 мг (25%) нужного изомерного продукта (верхнее пятно на ТСХ) в виде белого твердого вещества. МС (М+H+)=546,1. 1ЯМР (CD3OD) : 8,24 (м, 2H), 8,17 (м, 2H), 7,88 (м, 2H), 7,74 (м, 2H), 6,56 (д, 1H), 4,36 (м, 2H), 4,27 (м, 3H), 4,06 (м, 3H), 3,86 (м, 1H), 3,48 (м, 2H), 3,20 (м, 1Н), 2,69 (м, 1H), 2,60 (м, 2H), 2,35-2,30 (м, 4H), 2,20-1,97 (м, 4H), 1,73 (м, 2H).
Пример 117
Стадия A

6-бромникотинонитрил.
6-хлорникотинонитрил (13,8 г, 100 ммоль) нагревают при 145°C в трехбромистом фосфоре (150 мл) в течение 32 часов. После охлаждения смесь концентрируют в вакууме. К остатку добавляют трехбромистый фосфор (150 мл) и смесь нагревают при 145°C еще в течение 32 часов. После охлаждения смесь концентрируют в вакууме и добавляют смесь лед-вода (500 мл). Добавляют бикарбонат натрия, чтобы нейтрализовать смесь, и продукт экстрагируют этилацетатом (3×250 мл). Объединенные органические экстракты промывают насыщенным раствором соли и сушат над сульфатом магния. Растворитель удаляют в вакууме и остаток подвергают хроматографии (гексаны-этилацетат), получая 14,9 г (81%) 6-бромникотинонитрила в виде белого твердого вещества: 1ЯМР (400 МГц, CDCl3) : 7,66 (д, J=11,0 Гц, 1H), 7,80 (дд, J=3,1, 11,0 Гц, 1Н), 8,67 (д, J=3,1 Гц, 1H); МС m/z 183,0, 185,0 (M+H+).
Стадия B

6-(8-гидрокси-1,4-диоксаспиро[4,5]дец-8-ил)никотинонитрил.
Раствор 6-бромникотинонитрила (2 г, 0,011 моль) в 50 мл сухого ТГФ и 15 мл сухого гексана в атмосфере аргона охлаждают до -100°C на бане со смесью жидкий азот-Et2O. Быстро по каплям добавляют н-бутиллитий (7,5 мл, 0,011 моль, 1,6М раствор в гексане) таким образом, чтобы внутренняя температура не превышала -95°C. Оранжевый раствор перемешивают дополнительно в течение 10 минут при температуре от -100°C до -95°C и затем обрабатывают по каплям в течение 10 минут раствором моноэтиленкеталя 1,4-циклогександиона (1,8 г, 0,011 моль) в 55 мл сухого ТГФ, снова тщательно поддерживая температуру ниже -95°C. Реакционную смесь перемешивают в течение 10 минут при температуре от -100°C до -95°C, оставляют нагреться до 20°C и выливают в ледяную воду (400 мл). Органический слой выделяют и водный слой дважды экстрагируют Et2О (200 мл). Объединенные органические экстракты сушат над MgSO4 и выпаривают, получая 2,8 г белого твердого кристаллического вещества. В результате тщательного растирания с Et2O получают 1,9 г (67% выход) кристаллов белого цвета: МС: 261 (M+1)+.
Стадия C

6-(1-гидрокси-4-оксоциклогексил)никотинонитрил.
Указанное в заголовке соединение синтезируют из 6-(8-гидрокси-1,4-диоксаспиро[4,5]дец-8-ил)никотинонитрила, используя обычную методику удаления защитных групп, что и для 4-(1-гидрокси-4-оксоциклогексил)бензонитрила.
Стадия D

N-[2-({(3R)-1-[4-(5-цианопиридин-2-ил)-4-гидроксициклогексил]пирролидин-3-ил}амино)-2-оксоэтил]-3-(трифторметил)бензамид.
Указанное в заголовке соединение синтезируют, используя методику восстановительного аминирования, аналогично примеру 114. МС (М+H)+ 516.
Пример 118
Стадия A

8-(6-фторпиридин-3-ил)-1,4-диоксаспиро[4,5]декан-8-ол.
Раствор 5-бром-2-фторпиридина (2 г, 0,011 моль) в 50 мл сухого эфира в атмосфере азота охлаждают до -78°C. По каплям добавляют н-бутиллитий (7,5 мл, 0,011 моль, 1,6М раствор в гексане) и TMEDA (2,5 г, 0,022 моль). Оранжевый раствор перемешивают в течение дополнительно 1 часа при -78°C и затем обрабатывают по каплям в течение 10 минут раствором моноэтиленкеталя 1,4-циклогександиона (1,8 г, 0,011 моль) в 20 мл сухого ТГФ. Реакционную смесь перемешивают в течение 1 часа, оставляют нагреваться до 20°C и выливают в ледяную воду (400 мл). Органический слой выделяют и водный слой дважды экстрагируют EtOAc (20 мл×2). Объединенные органические экстракты сушат над MgSO4 и выпаривают, получая 2 г твердого белого вещества. В результате хроматографии на силикагеле получают 1,7 г (67% выход) кристаллов белого цвета: МС: 254 (M+1)+.
Стадия B

5-(8-гидрокси-1,4-диоксаспиро[4,5]дец-8-ил)пиридин-2-карбонитрил.
К раствору 1,7 г (6,6 ммоль) 8-(6-фторпиридин-3-ил)-1,4-диоксаспиро[4,5]декан-8-ола в 20 мл ДМФА добавляют KCN (430 г, 6,6 ммоль) и 18-краун-6 эфир (1,8 г, 6,6 ммоль). Реакционную смесь кипятят с обратным холодильником в течение 2 дней. В результате хроматографии на силикагеле получают 5-(8-гидрокси-1,4-диоксаспиро[4,5]дец-8-ил)пиридин-2-карбонитрил (620 мг, 36%): МС (m/e): 261 (М+1)+
Стадия C

5-(1-гидрокси-4-оксоциклогексил)пиридин-2-карбонитрил.
Указанное в заголовке соединение синтезируют из 5-(8-гидрокси-1,4-диоксаспиро[4,5]дец-8-ил)пиридин-2-карбонитрила, используя обычную методику удаления защитных групп, что и для 4-(1-гидрокси-4-оксоциклогексил)бензонитрила.
Стадия D

N-[2-({(3R)-1-[4-(6-цианопиридин-3-ил)-4-гидроксициклогексил]пирролидин-3-ил}амино)-2-оксоэтил]-3-(трифторметил)бензамид.
Указанное в заголовке соединение синтезируют, используя способ восстановительного аминирования, аналогично примеру 114. МС 516 (M+H)+.
Пример 119
Стадия A

2-бром-5-бромметилпиридин.
2-бром-5-метилпиридин (5,00 г, 29,1 ммоль) и N-бромсукцинимид (5,22 г, 29,3 ммоль) растворяют в четыреххлористом углероде (40 мл) в атмосфере азота. Добавляют перекись бензоила (0,35 г, 1,4 ммоль) и смесь нагревают при кипячении с обратным холодильником в течение четырех часов. Смесь охлаждают до комнатной температуры, фильтруют и промывают смесью NaHCO3/H2O. Смесь адсорбируют на силикагеле и затем подвергают хроматографии, осуществляя градиентное элюирование от гексана до 10% этилацетат/гексан. Чистые фракции объединяют и концентрируют, получая нужный монобромированный продукт в виде твердого вещества бледно-желтого цвета, 3,60 г (49%). ЖХ/МС (положительный ион) m/z=249,8, 251,8, 253,8, (M+H)+.
Стадия B

2-бром-5-(метоксиметил)пиридин.
2-бром-5-бромметилпиридин, 4 (3,58 г, 14,3 ммоль) растворяют в метаноле (20 мл) в атмосфере азота. Добавляют метоксид натрия (0,89 г, 15,7 ммоль, 95%) и смесь перемешивают при комнатной температуре. Через 3 часа метанол отгоняют на роторном испарителе, остаток растворяют в дихлорметане и промывают водой. Органические экстракты адсорбируют на силикагеле и подвергают хроматографии, осуществляя градиентное элюирование от гексана до смеси 20% этилацетат/гексан. Чистые фракции объединяют и концентрируют, получая указанное в заголовке соединение в виде бесцветного масла, 2,62 г (90%). ЖХ/МС (положительный ион) m/z=202,0, 204,0 (M+H)+.
Стадия C

4-гидрокси-4-[5-(метоксиметил)пиридин-2-ил]циклогексанон.
2-бром-5-(метоксиметил)пиридин (2,61 г, 12,9 ммоль) растворяют в сухом ТГФ (40 мл) в атмосфере азота и охлаждают до -78°C. По каплям добавляют н-бутиллитий (6,20 мл, 15,5 ммоль, 2,5М в гексане) в течение 10 минут, в результате чего образуется раствор черного цвета. Через 15 минут по каплям добавляют раствор l,4-диоксаспиро[4,5]декан-8-она (2,21 г, 14,1 ммоль) в ТГФ в течение 2 минут и смесь постепенно нагревают до комнатной температуры в течение 3 часов. По данным ТСХ (50% этилацетат/гексан) и ЖХ/МС превращение закончилось. Добавляют водную HCl (14 мл, 6,0 M), смесь перемешивают в течение 3 часов при комнатной температуре и затем нейтрализуют, используя NaHCO3/H2O. Смесь трижды экстрагируют этилацетатом, объединенные экстракты адсорбируют на силикагеле и подвергают хроматографии, осуществляя градиентное элюирование от гексана до смеси 40% этилацетат/гексан. Чистые фракции объединяют и концентрируют, получая указанное в заголовке соединение в виде бледно-желтого твердого вещества, 1,00 г (33%). ЖХ/МС (положительный ион) m/z=236,1 (M+H)+.
Стадия D

N-{2-[((3R)-1-{транс-4-гидрокси-4-[5-(метоксиметил)пиридин-2-ил]циклогексил}пирролидин-3-ил)амино]-2-оксоэтил}-3-(трифторметил)бензамид.
Гидрохлорид N-{2-оксо-2-[(3R)-пирролидин-3-иламино]этил}-3-(трифторметил)бензамида (100 мг, 0,284 ммоль) и 4-гидрокси-4-[5-(метоксиметил)пиридин-2-ил]циклогексанон (67,0 мг, 0,284 ммоль) растворяют в 2-пропаноле (15 мл). Добавляют триэтиламин (80 мкл, 0,57 ммоль) и триацетоксиборгидрид натрия (120 мг, 0,57 ммоль) и смесь перемешивают при комнатной температуре в течение ночи. Реакционную смесь адсорбируют на силикагеле и подвергают хроматографии, элюируя дихлорметаном до смеси 10% метанол/дихлорметан/0,5% гидроксид аммония. Фракции объединяют, получая чистый высший Rf изомер в виде твердого белого вещества (90 мг, 59%) и чистый низший Rf изомер в виде твердого белого вещества (39 мг, 26%). Высший Rf продукт: ЖХ/МС (положительный ион) m/z=535,2 (M+H); низший Rf продукт: ЖХ/МС (положительный ион) m/z=535,2 (M+H)+.
Пример 120
Стадия A

2-(6-бромпиридин-3-ил)пропан-2-ол.
2,5-дибромпиридин 3,05 г (12,5 ммоль) растворяют в 20 мл ТГФ и 120 мл безводного эфира и охлаждают до -78°C. Медленно по каплям через шприц добавляют 5,0 мл н-бутиллития (2,5М, 12,5 ммоль) в течение 30 мин. После перемешивания при -78°C в течение 30 минут добавляют ацетон (2 мл, 20 ммоль). Реакционную смесь нагревают до комнатной температуры в течение двух часов и затем гасят, используя 10 мл воды. Смесь дважды экстрагируют, используя EtOAc. Объединенные экстракты сушат и концентрируют. После кристаллизации, используя 20% EtOAc в гексане, получают 1,30 г белых кристаллов (48% выход), МС: 215,0, 217,0 (M++1).
Стадия B

8-[5-(1-гидрокси-1-метилэтил)пиридин-2-ил]-1,4-диоксаспиро[4,5]декан-8-ол.
2-(6-бромпиридин-3-ил)пропан-2-ол (1,08 г, 5 ммоль) растворяют в 10 мл ТГФ и 50 мл безводного эфира. После того как раствор охлаждают до -78°C, медленно по каплям добавляют через шприц 4,20 мл н-бутиллития (2,5М, 11 ммоль) в течение 10 минут. После перемешивания при -78°C в течение 30 минут добавляют моноэтиленкеталь 1,4-циклогександиона (0,80 г, 5 ммоль). Реакционную смесь нагревают до комнатной температуры в течение двух часов и затем гасят, добавляя 5 мл воды. Смесь дважды экстрагируют, используя EtOAc. Объединенные экстракты сушат и концентрируют. После обработки с помощью флэш-хроматографии на колонке, используя 40-70% EtOAc в гексане, получают 0,48 г белых кристаллов (42% выход), МС: 294,1 (M++1).
Стадия C

4-гидрокси-4-[5-(1-гидрокси-1-метилэтил)метил]пиридин-2-ил}-циклогексанон.
8-[5-(1-гидрокси-1-метилэтил)пиридин-2-ил]-1,4-диоксаспиро[4,5]декан-8-ол (0,18 г, 2,9 ммоль) растворяют в 10 мл ТГФ и добавляют 10 мл 2н. раствора HCl. После перемешивания в течение двух часов реакционную смесь нейтрализуют до pH~8-9, используя насыщенный водный раствор NaHCO3, и дважды экстрагируют, используя EtOAc. Объединенные экстракты сушат и концентрируют, получая 0,15 г белого твердого вещества (98% выход), МС: 250,2 (M++1).
Стадия D

N-{2-[((3R)-1-{4-гидрокси-4-[5-(1-гидрокси-1-метилэтил)пиридин-2-ил]циклогексил}пирролидин-3-ил)амино]-2-оксоэтил}-3-(трифторметил)бензамид.
Указанное в заголовке соединение получают из кетона со стадии C в соответствии со способом примера 114. MC: 549 (M+H)+.
Пример 121
Стадия A

6-бромпиридин-3-карбальдегид.
2,5-дибромпиридин 9,48 г (40 ммоль) растворяют в 60 мл ТГФ и 150 мл безводного эфира. После того как раствор охлаждают до -78°C, медленно по каплям добавляют через шприц 16 мл н-бутиллития (2,5М, 40 ммоль) в течение 30 минут. После перемешивания при -78°C в течение 30 минут добавляют N,N-диметилформамид (3,5 г, 48 ммоль). Реакционную смесь нагревают до комнатной температуры в течение двух часов и затем гасят, добавляя 10 мл воды. Смесь дважды экстрагируют, используя EtOAc. Объединенные экстракты сушат и концентрируют. После флэш-хроматографической обработки на колонке, используя 30-40% EtOAc в гексане, получают 2,80 г белого твердого вещества (28% выход), МС: 186,0, 188,0 (M++1).
Стадия B

1-(6-бромпиридин-3-ил)-N,N-диметилметанамин.
К раствору тетраизопропоксида титана (6,4 г, 22 ммоль) и 2,0М диметиламина в метаноле (22 мл, 44 ммоль) добавляют 6-бромпиридин-3-карбальдегид (2,10 г, 11 ммоль) в 20 мл метанола. После перемешивания при комнатной температуре в течение 5 часов добавляют боргидрид натрия (0,43 г, 11 ммоль) и смесь перемешивают в течение ночи. Реакцию гасят, добавляя 10 мл воды, и дважды экстрагируют, используя EtOAc. Объединенные экстракты сушат и концентрируют. После обработки с помощью флэш-хроматографии на колонке, используя 20-40% метанол в EtOAc и 0,5% NH4OH, получают 1,15 г масла (47% выход), МС: 214,0, 216,0 (M++1).
Стадия C

8-{5-[(диметиламино)метил]пиридин-2-ил}-1,4-диоксаспиро[4,5]декан-8-ол.
1-(6-бромпиридин-3-ил)-N,N-диметилметанамин (1,15 г, 5,4 ммоль) растворяют в 30 мл ТГФ и 80 мл безводного эфира. После того как раствор охлаждают до -78°C, медленно по каплям добавляют через шприц 2,60 мл н-бутиллития (2,5М, 6,40 ммоль) в течение 10 минут. После перемешивания при -78°C в течение 30 минут добавляют моноэтиленкеталь 1,4-циклогександиона (1,01 г, 6,4 ммоль). Реакционную смесь оставляют нагреться до комнатной температуры в течение двух часов и затем гасят, добавляя 10 мл воды. Смесь дважды экстрагируют, используя EtOAc. Объединенные экстракты сушат и концентрируют. После обработки с помощью флэш-хроматографии на колонке, используя 20-40% метанол в EtOAc и 0,5% NH4OH, получают 0,85 г масла (54% выход), МС: 293,20 (M++1).
Стадия D

4-{5-[(диметиламино)метил]пиридин-2-ил}-4-гидроксициклогексанон.
8-{5-[(диметиламино)метил]пиридин-2-ил}-1,4-диоксаспиро[4,5]декан-8-ол (0,85 г, 2,9 ммоль) растворяют в 10 мл ТГФ и добавляют 10 мл 2н. раствора HCl. После перемешивания в течение двух часов реакционную смесь нейтрализуют до pH примерно 8-9, добавляя насыщенный водный раствор NaHCO3, и дважды экстрагируют, используя EtOAc. Объединенные экстракты сушат и концентрируют, получая 0,37 г белого твердого вещества (51% выход), МС: 249,2 (М++1).
Стадия E

N-(2-{[(3R)-1-(4-{5-[(диметиламино)метил]пиридин-2-ил}-4-гидроксициклогексил)пирролидин-3-ил]амино}-2-оксоэтил)-3-(трифторметил)бензамид.
Указанное в заголовке соединение получают из кетона со стадии D в соответствии со способом примера 114. MS 548 (M+H)+.
Соединения следующих примеров получают способами аналогично раскрытым в примерах 114-121.

Пример  |
R |
МС (М+H)+ |
| 122 |
пиридин-3-ил |
491 |
| 123 |
пиридин-4-ил |
491 |
| 124 |
6-метилпиридин-2-ил |
505 |
| 125 |
5-метилпиридин-2-ил |
505 |
| 126 |
4-метилпиридин-2-ил |
505 |
| 127 |
1-оксидопиридин-3-ил |
507 |
| 128 |
1-оксидопиридин-4-ил |
507 |
| 129 |
1-оксидопиридин-2-ил |
507 |
| 130 |
6-метоксипиридин-2-ил |
521 |
| 131 |
хинолин-4-ил |
541 |
| 132 |
4-цианофенил |
515 |
| 133 |
3-цианофенил |
515 |
| 134 |
4-(метиламинокарбонил)фенил |
547 |
| 135 |
4-(этиламинокарбонил)фенил |
561 |
| 136 |
4-(изопропиламинокарбонил)фенил |
575 |
| 137 |
4-(трет-бутиламинокарбонил)фенил |
589 |
| 138 |
4-(диметиламинокарбонил)фенил |
561 |
| 139 |
4-[(азетидин-1-ил)карбонил]фенил |
573 |
| 140 |
4-[(пирролидин-1-ил)карбонил]фенил |
587 |
| 141 |
4-[(морфолин-4-ил)карбонил]фенил |
603 |
| 142 |
4-(диметиламинокарбонил)-2-метилфенил |
575 |
| 143 |
2-метил-4-(метиламинокарбонил)фенил |
561 |
| 144 |
3-метил-4-(метиламинокарбонил)фенил |
561 |
| 145 |
4-(диметиламинокарбонил)-3-метилфенил |
575 |
| 146 |
3-метил-4-(пирролидин-1-илкарбонил)фенил |
601 |
| 147 |
4-(диметиламинокарбонил)-3-фторфенил |
579 |
| 148 |
4-[(2,2,2-трифторэтил)аминокарбонил]фенил |
615 |
| 149 |
3-фтор-4-(метиламинокарбонил)фенил |
565 |
| 150 |
4-(этиламинокарбонил)-3-фторфенил |
579 |
| 151 |
3-(метиламинокарбонил)фенил |
547 |
| 152 |
3-(диметиламинокарбонил)фенил |
561 |
| 153 |
5-(диметиламинокарбонил)-2-метоксифенил |
591 |
| 154 |
2-метокси-5-(метиламинокарбонил)фенил |
577 |
| 155 |
3-(метиламинокарбониламино)фенил |
562 |
| 156 |
6-(морфолин-4-ил)пиридин-3-ил |
576 |
| 157 |
6-диметиламинопиридин-3-ил |
534 |
| 158 |
6-изопропиламинопирид-3-ил |
549 |
| 159 |
6-(пирролидин-1-ил)пиридин-3-ил |
560 |
| 160 |
6-циклопропиламинопиридин-3-ил |
546 |
| 161 |
6-этоксипиридин-3-ил |
535 |
| 162 |
6-(2-фторэтокси)пиридин-3-ил |
553 |
| 163 |
6-(2,2-дифторэтокси)пиридин-3-ил |
571 |
| 164 |
6-(2,2,2-трифторэтокси)пиридин-3-ил |
589 |
| 165 |
фенил |
490 |
| 166 |
4-метилфенил |
504 |
| 167 |
4-фторфенил |
508 |
| 168 |
3-фторфенил |
508 |
| 169 |
4-бромфенил |
568 |
| 170 |
4-йодофенил |
616 |
| 171 |
5-(пирролидин-1-илкарбонил)-2-пиридил |
588 |
| 172 |
5-(морфолин-4-илкарбонил)-2-пиридил |
604 |
| 173 |
5-диметиламинокарбонил-2-пиридил |
562 |
| 174 |
4-метиламинокарбониламинофенил |
562 |
| 175 |
6-(1-гидрокси-1-метилэтил)пиридин-3-ил |
549 |
| 176 |
4-(1-гидрокси-1-метилэтил)фенил |
548 |
| 177 |
4-(метоксиметил)фенил |
534 |
| 178 |
3-фтор-4-(метоксиметил)фенил |
552 |
| 179 |
4-(диметиламинометил)фенил |
547 |
| 180 |
4-(диметиламинометил)-3-фторфенил |
565 |
| 181 |
1Н-индазол-5-ил |
530 |
| 182 |
1-метил-1Н-индазол-5-ил |
544 |
| 183 |
2-метил-1Н-индазол-5-ил |
544 |
Пример 184
Стадия A

4-(l,4-диоксаспиро[4,5]дец-7-ен-8-ил)бензонитрил.
К раствору 4-(8-гидрокси-1,4-диоксаспиро[4,5]дец-8-ил)бензонитрила (7,8 г) в метиленхлориде (100 мл) добавляют триэтиламин (21 мл) при комнатной температуре. Раствор охлаждают до -40°C и затем по каплям добавляют мезилхлорид (4,7 мл). Реакционную смесь перемешивают при -40°C в течение 30 минут, затем постепенно нагревают до комнатной температуры и непрерывно перемешивают в течение ночи. Реакцию гасят, используя насыщенный водный раствор NaHCO3. Водный слой экстрагируют метиленхлоридом. Объединенные органические экстракты промывают насыщенным раствором соли, сушат над Na2SO4, затем выпаривают. Остаток очищают колоночной хроматографией (гексан/EtOAc=5/1), получая продукт 5,2 г в виде белого твердого вещества (выход: 71%): 1ЯМР (CDCl3) : 7,62-7,55 (2H, м), 7,50-7,45 (2H, м), 6,17-6,13 (1Н, м), 4,02 (4H, с), 2,68-2,62 (2H, м), 2,53-2,47 (2H, м), 1,96-1,92 (2H, м); МС: 242 (М+1)+.
Стадия B

4-(l,4-диоксаспиро[4,5]дец-7-ен-8-ил)бензойная кислота.
Смесь 4-(l,4-диоксаспиро[4,5]дец-7-ен-8-ил)бензонитрил (5,2 г, 0,021 моль) в 190 мл 2-метоксиэтанола и 190 мл 2,5н. NaOH нагревают на паровой бане в течение 15 часов. Раствор охлаждают на бане со льдом, pH доводят до 7-8, используя концентрированную HCl, и выпаривают досуха. Добавляют воду (375 мл) и величину pH доводят до 2, используя HCl. Желто-коричневое твердое вещество отфильтровывают и промывают водой, получая 5,3 г (94% выход) 4-(l,4-диоксаспиро[4,5]дец-7-ен-8-ил)бензойной кислоты: 1ЯМР (CDCl3) : 8,06-8,01 (2H, м), 7,53-7,46 (2H, м), 6,18-6,14 (1H, м), 4,03 (4H, с), 2,73-2,67 (2H, м), 2,52-2,49 (2H, м), 2,00-1,93 (2H, м); МС: 260 (М+1)+.
Стадия C

4-(l,4-диоксаспиро[4,5]дец-8-ил)бензойная кислота.
К раствору 5,3 г 4-(l,4-диоксаспиро[4,5]дец-7-ен-8-ил)бензойной кислоты в 30 мл метанола добавляют 2,3 г Pd/C (10 вес%). Суспензию перемешивают в атмосфере H2 (баллон) в течение 1 часа, фильтруют через слой целита и концентрируют досуха, получая нужный продукт (5,2 г, выход: 97%) в виде белого твердого вещества: 1ЯМР (CDCl3) : 8,06-8,01 (2H, м), 7,58-7,53 (2H, м), 4,02 (4H, с), 2,73-2,67 (2H, м), 2,70-2,61 (1H, м), 1,93-1,64 (8H, м); МС: 262 (М+1)+.
Стадия D

4-(l,4-диоксаспиро[4,5]дец-8-ил)-N,N-диметилбензамид.
564 мг (2 ммоль) 4-(l,4-диоксаспиро[4,5]дец-8-ил)бензойной кислоты, N,N-диметиламин (1,2 мл, 2,0М раствор в ТГФ), реагент BOP (1,07 г, 2,4 ммоль) и 0,8 мл (6 ммоль) триэтиламина растворяют в 15 мл ДМФА при комнатной температуре. Реакционную смесь перемешивают при комнатной температуре в течение ночи. В результате хроматографии на силикагеле (флэш-хроматография), используя смесь 50% этилацетат-гексан, получают 466 мг (80%) нужного продукта, 4-(l,4-диоксаспиро[4,5]дец-8-ил)-N,N-диметилбензамида: 1ЯМР (CDCl3) : 7,39 (2H, д, J=11,6 Гц), 7,29 (2H, д, J=0,6 Гц), 3,93 (4H, с), 3,17-2,99 (7H, м), 2,55-2,49 (4H, м), 2,13-2,10 (2H, м), 2,00-1,90 (2H, м); МС: 289 (M+1)+.
Стадия E

N,N-диметил-4-(4-оксоциклогексил)бензамид.
466 мг (1,6 ммоль) 4-(l,4-диоксаспиро[4,5]дец-8-ил)-N,N-диметилбензамида растворяют в смешанном растворителе, состоящем из 8 мл ТГФ и 8 мл 1н. водного раствора HCl, при комнатной температуре. Реакционную смесь затем перемешивают при 60°C в течение 1 часа. Раствор охлаждают до комнатной температуры, величину pH доводят до примерно 7-8 насыщенным водным раствором NaHCO3. Органический слой выделяют и водный слой дважды экстрагируют EtOAc (20 мл×2). Объединенные органические экстракты сушат над MgSO4 и выпаривают, получая маслянистый остаток. В результате хроматографии на силикагеле (флэш-хроматография), используя смесь 40% этилацетат-гексан, получают 360 мг (90%) нужного продукта, N,N-диметил-4-(4-оксоциклогексил)бензамида. 1ЯМР (CDCl3) : 7,39 (2H, д, J=11,6 Гц), 7,29 (2H, д, J=10,6 Гц), 3,15-2,99 (7H, м), 2,56-2,49 (4H, м), 2,15-2,10 (2H, м), 2,01-1,94 (2H, м); МС: 245 (M+1)+.
Стадия F

N,N-диметил-4-(4-{(3R)-3-[({[3-(трифторметил)бензоил]амино}ацетил)амино]пирролидин-1-ил}циклогексил)бензамид.
100 мг (0,4 ммоль) N,N-диметил-4-(4-оксоциклогексил)бензамида и 126 мг (0,4 ммоль) N-{2-оксо-2-[(3R)-пирролидин-3-иламино]этил}-3-(трифторметил)бензамида растворяют в 10 мл метиленхлорида. К раствору добавляют 170 мг (0,8 ммоль) триацетоксиборгидрида натрия. Реакционную смесь перемешивают при комнатной температуре в течение 2 часов. В результате хроматографии на силикагеле получают конечный целевой продукт 45 мг (верхнее пятно на ТСХ и первый пик на ВЭЖХ), выход: 22%. МС: 545 (M+1)+.
Соединения следующих примеров получают аналогичным способом.

Пример  |
R |
МС (М+H)+ |
| 185 |
4-(метиламинокарбонил)фенил |
531 |
| 186 |
4-(морфолин-4-илкарбонил)фенил |
587 |
| 187 |
4-(пиперидин-1-илкарбонил)фенил |
585 |
| 188 |
3-фтор-4-(пирролидин-1-илкарбонил)фенил |
589 |
| 189 |
5-(пирролидин-1-илкарбонил)пиридин-2-ил |
572 |
| 190 |
5-(диметиламинокарбонил)пиридин-2-ил |
546 |
| 191 |
5-(морфолин-4-илкарбонил)пиридин-2-ил |
588 |
| 192 |
пиридин-2-ил |
475 |
| 193 |
пиридин-3-ил |
475 |
| 194 |
пиридин-4-ил |
475 |
| 195 |
1-оксидопиридин-2-ил |
491 |
| 196 |
1-оксидопиридин-3-ил |
491 |
| 197 |
1-оксидопиридин-4-ил |
491 |
| 198 |
хинолин-4-ил |
525 |
| 199 |
6-метоксипиридин-3-ил |
505 |
| 200 |
6-(морфолин-4-ил)пиридин-3-ил |
560 |
| 201 |
4-(диметиламинометил)фенил |
531 |
| 202 |
5-(диметиламинометил)пиридин-2-ил |
532 |
| 203 |
5-(диметиламинокарбонил)пиридин-2-ил |
546 |
| 204 |
4-[гидрокси(пиридин-3-ил)метил]фенил |
581 |
| 205 |
6-[(гидрокси(пиридин-3-ил)метил]пиридин-3-ил |
582 |
| 206 |
6-(диметиламинокарбонил)пиридин-3-ил |
546 |
| 207 |
4-(4-гидроксипиперидин-1-илкарбонил)фенил |
601 |
| 208 |
4-(4-метоксипиперидин-1-илкарбонил)фенил |
615 |
| 209 |
5-(4-метоксипиперидин-1-илкарбонил)пиридин-2-ил |
616 |
| 210 |
6-(4-метоксипиперидин-1-илкарбонил)пиридин-3-ил |
616 |
Пример 211
Стадия A

l,4-диоксаспиро[4,5]декан-8-ол.
К моноэтиленкеталю 1,4-циклогександиона (5,0 г, 32 ммоль) в 20 мл смеси MeOH/вода (1:1) добавляют NaBH4 (1,21 г, 32 ммоль). Смесь перемешивают при комнатной температуре в течение ночи. MeOH удаляют на роторном испарителе. Водный слой экстрагируют EtOAc (3×). Объединенные органические слои сушат
(MgSO4) и концентрируют, получая масло, которое хранят под высоким вакуумом в течение ночи, получая 5,12 г l,4-диоксаспиро[4,5]декан-8-ола в виде масла. MC(EI) вычислено: (M+H)+=159,1; найдено: 159,2.
Стадия B

8-фенокси-1,4-диоксаспиро[4,5]декан.
К раствору l,4-диоксаспиро[4,5]декан-8-ола (1,05 г, 6,63 ммоль), фенола (0,75 г, 7,95 ммоль), трифенилфосфина (1,91 г, 7,29 ммоль) в CH2Cl2 (20 мл) добавляют дизопропилазодикарбоксилат (1,57 мл, 7,95 ммоль). После перемешивания в течение ночи при комнатной температуре в атмосфере азота, реакционную смесь концентрируют. Остаток подвергают флэш-хроматографии, используя смесь 10:90 гексан-EtOAc, получая 1,09 г 8-фенокси-1,4-диоксаспиро[4,5]декана. МС (EI) вычислено: (M+H)+=235,1; найдено: 235,0.
Стадия C

4-феноксициклогексанон.
Раствор 8-фенокси-1,4-диоксаспиро[4,5]декана (1,05 г, 4,48 ммоль) в 20 мл ТГФ/3н. HCl (1:1) перемешивают в течение ночи при комнатной температуре. Водную часть экстрагируют EtOAc (3×). Объединенные органические слои сушат (MgSO4) и концентрируют, получая 4-феноксициклогексанон в виде масла. МС(EI) вычислено: M+H=191,1; найдено: 191,0.
Стадия D

N-(2-оксо-2-{[(3R)-1-(4-феноксициклогексил)пирролидин-3-ил]амино}этил)-3-(трифторметил)бензамид.
К смеси 4-феноксициклогексанона (0,091 г, 0,475 ммоль) и N-[2-оксо-2-({2-оксо-2-[(3R)-пирролидин-3-иламино]этил}амино)этил]-3-(трифторметил)бензамида в 2% AcOH/CH2Cl2 (10 мл) добавляют NaB(OAc)3H (0,134 г, 0,634 ммоль). После перемешивания в течение ночи при комнатной температуре в атмосфере азота реакционную смесь разбавляют EtOAc и промывают насыщенным Na2CO3. Водную часть экстрагируют EtOAc (3×). Объединенные органические слои сушат (MgSO4), концентрируют и подвергают флэш-хроматографии (EtOAc до EtOAc:MeOH:Et3N=9:1:0,1), получая 0,12 г указанного в заголовке соединения. МС(EI) вычислено: (M+H)+=490,2; найдено: 490,0.
Пример 212
Стадия A

8-(бензилокси)-1,4-диоксаспиро[4,5]декан.
К смеси l,4-диоксаспиро[4,5]декан-8-ола (1,18 г, 7,46 ммоль) и NaH (0,358 г, 8,96 ммоль) в ДМФА (5 мл) при 0°C добавляют бензилбромид (1,06 мл, 8,95 ммоль). После перемешивания в течение ночи в атмосфере азота добавляют воду и EtOAc. Водный слой экстрагируют EtOAc (3×). Объединенные органические слои сушат (MgSO4), концентрируют и подвергают флэш-хроматографии, используя смесь 10% EtOAc/гексан, получая 1,524 г указанного в заголовке соединения. МС(EI) вычислено: (M+1)+=249,1; найдено: 249,2. 1ЯМР (300 МГц, CDCl3) : (м.д.) 7,35 (5H, м), 4,52 (2H, с), 3,95 (4H, м), 3,5 (1H, м), 1,95-1,50 (8H, м).
Стадия B

4-(бензилокси)циклогексанон.
Указанное в заголовке соединение получают на стадии A в соответствии со способом, раскрытым для стадии С примера 211. МС(EI) вычислено: (M+H)+=205,1; найдено: 205,0.
Стадия C

N-[2-({(3R)-1-[4-(бензилокси)циклогексил]пирролидин-3-ил}амино)-2-оксоэтил]-3-(трифторметил)бензамид.
Указанное в заголовке соединение получают на стадии B в соответствии со способом, раскрытым для стадии D примера 211. МС(EI) вычислено: (M+H)+=504,2; найдено: 504,4.
Пример 213
Стадия A

4,4-дифенилциклогексанон.
В аппарат Парра для гидрирования помещают 4,4-дифенил-2-циклогексен-1-он (0,91 г, 3,66), растворенный в метаноле (20 мл), затем добавляют 10% Pd/C (0,2 г). Эту смесь гидрируют при 50 фунт/кв.дюйм в течение ночи. После того как катализатор отфильтровывают и промывают метанолом, фильтрат концентрируют в вакууме, получая 0,90 г 4,4-дифенилциклогексанона. МС(EI) вычислено: M+H=251,1; найдено: 251,1.
Стадия B

N-(2-{[(3R)-1-(4,4-дифенилциклогексил)пирролидин-3-ил]амино}-2-оксоэтил)-3-(трифторметил)бензамид.
Указанное в заголовке соединение получают на стадии A в соответствии со способом, раскрытым для стадии D примера 211. МС(EI) вычислено: (M+H)+=550,3; найдено: 550,5.
Пример 214
Стадия A

Трет-бутил[(3R)-1-(транс-2-гидроксициклогексил)пирролидин-3-ил]карбамат.
В ампулу помещают циклогексеноксид (2,34 мл, 23,2), трет-бутил-(3R)-пирролидин-3-илкарбамат (2,16 ммоль) и MeOH (2 мл). Ампулу со смесью запаивают, нагревают при 60°C и перемешивают в течение ночи. Реакционную смесь концентрируют, получая 3,29 г трет-бутил-[(3R)-1-(2-гидроксициклогексил)пирролидин-3-ил]карбамата.
МС(EI) вычислено: (M+H)+=285,2; найдено: 285,1.
Стадия B

Трет-бутил{(3R)-1-[транс-2-(бензилокси)циклогексил]пирролидин-3-ил}карбамат.
К смеси трет-бутил[(3R)-1-(транс-2-гидроксициклогексил)пирролидин-3-ил]карбамата (0,70 г, 2,46 ммоль) и 60% NaH (0,108 г, 2,71 ммоль) в ДМФА (5 мл) при 0°C добавляют бензилбромид (0,79 мл, 2,71 ммоль). После перемешивания в течение ночи в атмосфере азота добавляют воду и EtOAc. Водный слой экстрагируют EtOAc (3×). Объединенные органические слои сушат (MgSO4), концентрируют и подвергают флэш-хроматографии (EtOAc до 10% MeOH/EtOAc), получая 0,60 г указанного в заголовке соединения. МС(EI) вычислено: (M+H)+=375,3; найдено: 375,4.
Стадия C

(3R)-1-[транс-2-(бензилокси)циклогексил]пирролидин-3-амин.
Смесь трет-бутил{(3R)-1-[2-(транс-бензилокси)циклогексил]пирролидин-3-ил}карбамата (0,60 г, 1,602 ммоль) в 4н. HCl/диоксан (10 мл) перемешивают при комнатной температуре в течение 1 часа. Раствор концентрируют, получая 0,55 г указанного в заголовке соединения в виде соли 2 HCl. МС(EI) вычислено: (M+1)+=275,2; найдено: 275,3.
Стадия D

N-[2-({(3R)-1-[транс-2-(бензилокси)циклогексил]пирролидин-3-ил}амино)-2-оксоэтил]-3-(трифторметил)бензамид.
К перемешиваемому раствору соли 2 HCl (3R)-1-[транс-2-(бензилокси)циклогексил]пирролидин-3-амина (0,14 г, 0,45 ммоль) и (3-трифторметилбензоиламино)уксусной кислоты (0,111 г, 0,45 ммоль) в CH2Cl2 (5 мл) добавляют Et3N (0,188 мл, 1,35 ммоль) и затем EDC (0,0863 г, 0,45 ммоль) и HOBt (0,069 г, 0,45 ммоль). Смесь перемешивают при комнатной температуре в течение ночи. Затем реакционную смесь разбавляют EtOAc и промывают насыщенным Na2CO3 и насыщенным раствором соли. Органические слои сушат (MgSO4), концентрируют и подвергают флэш-хроматографии, (EtOAc до 10% MeOH/EtOAc), получая 0,186 г указанного в заголовке соединения. МС(EI) вычислено: M+1=504,2; найдено: 504,4.
Пример 215
Стадия A

Трет-бутил[(3R)-1-(цис-2-азидоциклогексил)пирролидин-3-ил]карбамат.
К смеси трет-бутил[(3R)-1-(2-гидроксициклогексил)пирролидин-3-ил]карбамата (3,29 г, 11,60 ммоль) и Et3N (3,23 мл, 23,17) в CH2Cl2 (20 мл) добавляют MsCl (1,08 мл, 12,86 ммоль) при 0°C. После перемешивания в течение ночи в атмосфере азота добавляют воду и EtOAc. Водный слой экстрагируют EtOAc (3×). Объединенные органические слои сушат (MgSO4) и концентрируют. Остаток смешивают с NaN3 в 20 мл ДМФА и перемешивают при 80°C в течение ночи в атмосфере азота. Затем реакционную смесь разбавляют EtOAc и промывают водой (3×). Органические слои сушат (MgSO4) и концентрируют, получая 2,87 г указанного в заголовке соединения. МС(EI) вычислено: (M+H)+=310,2; найдено: 310,1.
Стадия B

(3R)-1-(цис-2-азидоциклогексил)пирролидин-3-амин.
Смесь трет-бутил[(3R)-1-(цис-2-азидоциклогексил)пирролидин-3-ил]карбамат (0,57 г, 1,842 ммоль) в 4н. HCl/диоксан (10 мл) перемешивают при комнатной температуре в течение 1 часа. Раствор концентрируют, получая 0,48 г указанного в заголовке соединения в виде соли HCl. МС(EI) вычислено: (M+H)+=210,2; найдено: 210,2.
Стадия C

N-(2-{[(3R)-1-(цис-2-азидоциклогексил)пирролидин-3-ил]амино}-2-оксоэтил)-3-(трифторметил)бензамид.
К перемешиваемому раствору (3R)-1-(цис-2-азидоциклогексил)пирролидин-3-амина (0,453 г, 1,842 ммоль) и (3-трифторметилбензоиламино)уксусной кислоты (0,478 г, 1,934 ммоль) в CH2Cl2 (15 мл) добавляют Et3N (0,57 мл, 4,06 ммоль), а затем EDC (0,389 г, 2,03 ммоль) и HOBt (0,287 г, 2,13 ммоль). Смесь перемешивают при комнатной температуре в течение 3 часов. Затем реакционную смесь разбавляют EtOAc и промывают насыщенным Na2CO3 и насыщенным раствором соли. Органический слой сушат (MgSO4), концентрируют и подвергают флэш-хроматографии (EtOAc до 10% MeOH/EtOAc), получая 0,745 г указанного в заголовке соединения. МС(EI) вычислено: (M+H)+=439,3; найдено: 439,4.
Стадия D

N-(2-{[(3R)-1-(цис-2-аминоциклогексил)пирролидин-3-ил]амино}-2-оксоэтил)-3-(трифторметил)бензамид.
В аппарат Парра для гидрирования помещают N-(2-{[(3R)-1-(цис-2-азидоциклогексил)пирролидин-3-ил]амино}-2-оксоэтил)-3-(трифторметил)бензамид (0,745 г, 1,70 ммоль), растворенный в метаноле (20 мл), затем добавляют 10% Pd/C (0,15 г). Смесь гидрируют при 50 фунт/кв.дюйм в течение 3 часов. После того как катализатор отфильтровывают и промывают метанолом, фильтрат концентрируют в вакууме, получая 0,70 г N-(2-{[(3R)-1-(цис-2-аминоциклогексил)пирролидин-3-ил]амино}-2-оксоэтил)-3-(трифторметил)бензамида. МС(EI) вычислено: (M+H)+=413,2; найдено: 413,3.
Стадия E

N-[2-({(3R)-1-[цис-2-(бензоиламино)циклогексил]пирролидин-3-ил}амино)-2-оксоэтил]-3-(трифторметил)бензамид.
К перемешиваемому раствору N-(2-{[(3R)-1-(цис-2-аминоциклогексил)пирролидин-3-ил]амино}-2-оксоэтил)-3-(трифторметил)бензамида (0,48 г, 0,6 ммоль) и бензойной кислоты (0,088 г, 0,72 ммоль) в CH2Cl2 (5 мл) добавляют Et3N (0,25 мл, 1,8 ммоль), а затем EDC (0,138 г, 0,72 ммоль) и HOBt (0,097 г, 0,72 ммоль). Смесь перемешивают при комнатной температуре в течение ночи. Затем реакционную смесь разбавляют EtOAc и промывают насыщенным Na2CO3 и насыщенным раствором соли. Органический слой сушат
(MgSO4), концентрируют и подвергают флэш-хроматографии (EtOAc до 10% MeOH/EtOAc), получая 0,13 г указанного в заголовке соединения. МС(EI) вычислено: (M+H)+=517,2; найдено: 517,3.
Пример 216

N-{2-оксо-2-[((3R)-1-{цис-2-[(фенилацетил)амино]циклогексил}пирролидин-3-ил)амино]этил}-3-(трифторметил)бензамид.
Указанное в заголовке соединение получают в соответствии с методикой примера 215. МС(EI) вычислено: (M+H)+=531,3; найдено: 531,3.
Пример 217

N-[2-({(3R)-1-[цис-2-(бензиламино)циклогексил]пирролидин-3-ил}амино)-2-оксоэтил]-3-(трифторметил)бензамид.
К смеси бензальдегида (0,061 мл, 0,6 ммоль) и N-(2-{[(3R)-1-(цис-2-аминоциклогексил)пирролидин-3-ил]амино}-2-оксоэтил)-3-(трифторметил)бензамида (0,278 г, 0,60 ммоль) в CH2Cl2 (10 мл) добавляют
NaB(OAc)3H (0,128 г, 0.60 ммоль). После перемешивания в течение ночи при комнатной температуре в атмосфере азота реакционную смесь разбавляют EtOAc и промывают насыщенным Na2CO3. Водный слой экстрагируют EtOAc (3×). Объединенные органические слои сушат над (MgSO4), концентрируют и подвергают флэш-хроматографии (EtOAc до EtOAc:MeOH:Et3N=9:1:0.5), получая 0,21 г указанного в заголовке соединения. МС(EI) вычислено: (M+H)+=503,3; найдено: 503,4.
Пример 218
Стадия A

8-(1,3-тиазол-2-ил)-1,4-диоксаспиро[4,5]декан-8-ол.
Раствор н-бутиллития (8,1 мл 1,6М раствора в гексане, 12,92 ммоль) добавляют к тиазолу (1,0 г, 11,75 ммоль) в ТГФ (10 мл) при -78°C при перемешивании в атмосфере азота. После перемешивания при -78°C в течение 1 часа добавляют через шприц раствор моноэтиленкеталя 1,4-циклогександиона (1,84 г, 11,75 ммоль) в ТГФ (10 мл) к раствору литиевого соединения и перемешивают в течение 3 часов при -78°C. Добавляют воду (5 мл), реакционную смесь нагревают до комнатной температуры и экстрагируют, используя EtOAc (3×). Объединенные органические слои сушат (MgSO4), фильтруют, концентрируют в вакууме и подвергают хроматографии, получая 2,531 г 8-(1,3-тиазол-2-ил)-1,4-диоксаспиро[4,5]декан-8-ола с выходом 89%. МС(EI) вычислено: (M+H)+=242,1; найдено: 242,2.
Стадия B

4-гидрокси-4-(1,3-тиазол-2-ил)циклогексанон.
Раствор 8-(1,3-тиазол-2-ил)-1,4-диоксаспиро[4,5]декан-8-ола (1,0 г, 4,14 ммоль) в 20 мл ТГФ/3н. HCl (1:1) перемешивают в течение 1 часа при 50°C. После охлаждения до комнатной температуры смесь обрабатывают Na2CO3 до pH 8 и экстрагируют EtOAc (3×). Объединенные органические слои промывают насыщенным раствором NaCl, сушат (MgSO4) и концентрируют, получая 0,82 г 4-гидрокси-4-(1,3-тиазол-2-ил)циклогексанона с 99% выходом. МС(EI) вычислено: (M+H)+=198,1; найдено: 198,2.
Стадия C

N-[2-({(3R)-1-[4-гидрокси-4-(1,3-тиазол-2-ил)циклогексил]пирролидин-3-ил}амино)-2-оксоэтил]-3-(трифторметил)бензамид.
К смеси 4-гидрокси-4-(1,3-тиазол-2-ил)циклогексанона (0,075 г, 0,38 ммоль) и N-[2-оксо-2-({2-оксо-2-[(3R)-пирролидин-3-иламино]этил}амино)этил]-3-(трифторметил)бензамида (0,10 г, 0,317 ммоль) в 2% AcOH/CH2Cl2 (10 мл) добавляют NaB(OAc)3H (0,134 г, 0,634 ммоль). После перемешивания в течение ночи при комнатной температуре в атмосфере азота реакционную смесь разбавляют EtOAc и промывают насыщенным Na2CO3. Водную часть экстрагируют EtOAc (3×). Объединенные органические слои сушат (MgSO4), концентрируют и подвергают флэш-хроматографии [EtOAc до MeOH/EtOAc (1:9) затем до 5% MeOH/EtOAc/Et3N (1:9:0.5)], получая 0,141 г указанного в заголовке соединения с 90% выходом. МС(EI) вычислено: (M+H)+=497,2; найдено: 497,3.
Пример 219
Стадия A

8-(5-этил-1,3-тиазол-2-ил)-1,4-диоксаспиро[4,5]декан-8-ол.
Раствор н-бутиллития (5,70 мл 1,6М раствора в гексане, 9,12 ммоль) добавляют к 8-(1,3-тиазол-2-ил)-1,4-диоксаспиро[4,5]декан-8-олу (1,00 г, 4,14 ммоль) в ТГФ (10 мл) при -78°C при перемешивании в атмосфере азота. После перемешивания при -78°C в течение 1 часа этилиодид (0,736 мл, 9,12 ммоль) добавляют к раствору литиевого соединения через шприц при -78°C. Реакционную смесь оставляют медленно нагреваться до комнатной температуры и перемешивают в течение ночи. Добавляют воду и EtOAc. Водный слой экстрагируют EtOAc (3×). Объединенные органические слои промывают насыщенным NaCl, сушат (MgSO4), концентрируют и подвергают флэш-хроматографии, используя 20% EtOAc/гексан, получая 0,79 г указанного в заголовке соединения с 71% выходом. МС(ED вычислено: (M+H)+=270,1; найдено: 270,1.
Стадия B

4-(5-этил-1,3-тиазол-2-ил)-4-гидроксициклогексанон.
Указанное в заголовке соединение получают из кеталя со стадии A, используя способ, аналогично раскрытому на стадии B примера 218. МС(EI) вычислено: (M+H)+=226,1; найдено: 226,2.
Стадия C

N-[2-({(3R)-1-[4-(5-этил-1,3-тиазол-2-ил)-4-гидроксициклогексил]пирролидин-3-ил}амино)-2-оксоэтил]-3-(трифторметил)бензамид.
Указанное в заголовке соединение получают из кетона со стадии B, используя аналогичный способ примера 218. МС(EI) вычислено: (M+H)+=525,2; найдено: 525,2.
Пример 220
Стадия A

2-(8-гидрокси-1,4-диоксаспиро[4,5]дец-8-ил)-1,3-тиазол-4-карбоновая кислота.
Раствор н-бутиллития (17,1 мл 1,6М раствор в гексане 27,35 ммоль) добавляют к 8-(1,3-тиазол-2-ил)-1,4-диоксаспиро[4,5]декан-8-олу (3,00 г, 12,43 ммоль) в ТГФ (50 мл) при -78°C при перемешивании в атмосфере азота. После перемешивания при -78°C в течение 1 часа сухой лед (10 г, 227 ммоль) добавляют к раствору литиевого соединения и перемешивают в течение 2 часов при -78°С. Добавляют воду и раствор нагревают до комнатной температуры. Смесь затем обрабатывают 1н. HCl до значения pH 3-4, и экстрагируют EtOAc (3×). Объединенные органические слои промывают насыщенным раствором NaCl, сушат (MgSO4), концентрируют и подвергают хроматографии (EtOAc до 1% AcOH/EAOAc), получая 3,23 г 2-(8-гидрокси-1,4-диоксаспиро[4,5]дец-8-ил)-1,3-тиазол-4-карбоновой кислоты. МС(EI) вычислено: (M+H)+=286,1; найдено: 286,0.
Стадия B

2-(8-гидрокси-1,4-диоксаспиро[4,5]дец-8-ил)-N-метил-1,3-тиазол-4-карбоксамид.
К перемешиваемому раствору 2-(8-гидрокси-1,4-диоксаспиро[4,5]дец-8-ил)-1,3-тиазол-4-карбоновой кислоты (0,30 г, 1,05 ммоль) и метиламина (2M в ТГФ, 2 мл, 4 ммоль) в CH2Cl2 (10 мл) добавляют Et3N (0,5 мл, 3,6 ммоль), а затем EDC (0,242 г, 1,262 ммоль) и HOBt (0,193 г, 1,26 ммоль). Смесь перемешивают при комнатной температуре в течение ночи. Затем реакционную смесь разбавляют EtOAc и промывают насыщенным Na2CO3 и насыщенным раствором соли. Органический слой сушат (MgSO4), концентрируют и подвергают флэш-хроматографии (50% EtOAc EtOAc), получая 0,16 г указанного в заголовке соединения с 50% выходом. МС(EI) вычислено: (M+H)+=299,1; найдено: 299,0.
Стадия C

2-(1-гидрокси-4-оксоциклогексил)-N-метил-1,3-тиазол-4-карбоксамид.
Указанное в заголовке соединение получают путем превращения кеталя со стадии B в кетон, используя способ аналогично раскрытому на стадии В примера 218. МС(EI) вычислено: (M+H)+=255,1; найдено: 255,0.
Стадия D

2-(1-гидрокси-4-{(3R)-3-[({[3-(трифторметил)бензоил]амино]ацетил)амино}пирролидин-1-ил}циклогексил)-N-метил-1,3-тиазол-5-карбоксамид.
Указанное в заголовке соединение получают из кетона со стадии C, используя аналогичный способ примера 218. МС(EI) вычислено: (M+H)+=554,2; найдено: 554,1.
Пример 221
Стадия A

8-(1,3-тиазол-5-ил)-1,4-диоксаспиро[4,5]декан-8-ол.
2-TMS-тиазол (2,5 г, 15,89 ммоль) добавляют к раствору н-бутиллития (11,9 мл 1,6М раствор в гексане, 19,07 ммоль) в ТГФ (20 мл) при -78°C при перемешивании в атмосфере азота. После перемешивания при -78°C в течение 0,5 часа раствор моноэтиленкеталя 1,4-циклогександиона (2,48 г, 15,89 ммоль) в ТГФ (20 мл) добавляют к раствору литиевого соединения через шприц и перемешивают в течение 1 часа при -78°C. Добавляют воду (5 мл) и EtOAc, реакционную смесь нагревают до комнатной температуры и экстрагируют, используя EtOAc (3×). Объединенные органические слои сушат (MgSO4), фильтруют и кристаллизуют из EtOAc, получая 3,4 г 8-(1,3-тиазол-5-ил)-1,4-диоксаспиро[4,5]декан-8-ола с 90% выходом. МС(EI) вычислено: (M+H)+=242,1; найдено: 242,1.
Стадия B

3-(трифторметил)-N-[2-({(3R)-1-[4-гидрокси-4-(1,3-тиазол-5-ил)циклогексил]пирролидин-3-ил}амино)-2-оксоэтил]бензамид.
Указанное в заголовке соединение получают из 8-(1,3-тиазол-5-ил)-1,4-диоксаспиро[4,5]декан-8-ола, используя аналогичный способ примера 218. МС(EI): Вычислено: (M+H)+ 497,1, найдено: 497,1
Пример 222
Стадия A

Метил[5-(8-гидрокси-1,4-диоксаспиро[4,5]дец-8-ил)-1,3-тиазол-2-ил]карбамат.
Раствор н-бутиллития (10,0 мл 1,6М раствор в гексане, 15,93 ммоль) добавляют к метил-1,3-тиазол-2-илкарбамату (1,05 г, 6,64 ммоль) в ТГФ (10 мл) при -78°C при перемешивании в атмосфере азота. После перемешивания при -78°C в течение 1 часа раствор моноэтиленкеталя 1,4-циклогександиона (1,84 г, 11,75 ммоль) в ТГФ (10 мл) добавляют к раствору литиевого соединения через шприц при -78°C. Реакционную смесь оставляют медленно нагреваться до комнатной температуры и перемешивают в течение ночи, добавляют воду и EtOAc. Водный слой экстрагируют EtOAc (3×). Объединенные органические слои промывают насыщенным NaCl, сушат (MgSO4), концентрируют и подвергают флэш-хроматографии, (50% EtOAc/гексан до 75% EtOAc/гексан), получая 0,744 г указанного в заголовке соединения с 51% выходом. МС(EI) вычислено: (M+H)+=315,1; найдено: 315,0.
Стадия B

Метил[5-(1-гидрокси-4-оксоциклогексил)-1,3-тиазол-2-ил]карбамат.
Указанное в заголовке соединение получают из кеталя со стадии A, используя способ аналогично раскрытому на стадии В примера 218. МС(EI) вычислено: (M+H)+=270,1; найдено: 270,0.
Стадия C

Метил[5-(1-гидрокси-4-{(3R)-3-[({[3-(трифторметил)бензоил]амино}ацетил)амино]пирролидин-1-ил}циклогексил)-1,3-тиазол-2-ил]карбамат.
Указанное в заголовке соединение получают из кетона со стадии B, используя аналогичный способ примера 218. МС(EI) вычислено: (M+H)+=569,2; найдено: 569,1.
Пример 223
Стадия A

2-изопропил-1,3-тиазол.
В аппарат Парра для гидрирования помещают 2-изопропенил-1,3-тиазол (1,8 г, 14,38), растворенный в метаноле (25 мл), затем добавляют Pd(OH)2 (0,6 г). Эту смесь гидрируют при 50 фунт/кв.дюйм в течение 48 часов. После того как катализатор отфильтровывают и промывают метанолом, фильтрат концентрируют в вакууме, получая 1,65 г 2-изопропил-1,3-тиазола с 92% выходом. МС(EI) вычислено: (M+H)+=128,1; найдено: 128,0.
Стадия B

8-(2-изопропил-1,3-тиазол-5-ил)-1,4-диоксаспиро[4,5]декан-8-ол.
Указанное в заголовке соединение получают из промежуточного соединения со стадии A, используя способ, аналогично раскрытому на стадии А примера 221. МС(EI) вычислено: (M+H)+=284,1; найдено: 284,2.
Стадия C

4-гидрокси-4-(2-изопропил-1,3-тиазол-5-ил)циклогексанон.
Раствор 8-(2-изопропил-1,3-тиазол-5-ил)-1,4-диоксаспиро[4,5]декан-8-ола (0,714 г, 2,52 ммоль) в 15 мл ТГФ/1н. HCl (1:1) перемешивают в течение ночи при комнатной температуре. Смесь обрабатывают Na2CO3, доводя величину рН до 8, и экстрагируют EtOAc (3×). Объединенные органические слои промывают насыщенным раствором NaCl, сушат (MgSO4) и концентрируют, получая 0,65 г 4-гидрокси-4-(2-изопропил-1,3-тиазол-5-ил)циклогексанона с 98% выходом. МС(EI) вычислено: (M+H)+=240,1; найдено: 240,0.
Стадия D

N-[2-({(3R)-1-[4-гидрокси-4-(2-изопропил-1,3-тиазол-5-ил)циклогексил]пирролидин-3-ил}амино)-2-оксоэтил]-3-(трифторметил)бензамид.
В аппарат Парра для гидрирования помещают 4-гидрокси-4-(2-изопропил-1,3-тиазол-5-ил)циклогексанон (0,363 г, 1,52 ммоль) и N-[2-оксо-2-({2-оксо-2-[(3R)-пирролидин-3-иламино]этил}амино)этил]-3-(трифторметил)бензамид (0,435 г, 1,38 ммоль), растворенные в CH2Cl2 (20 мл), затем добавляют 10% Pd(OH)2 (0,8 г). Смесь гидрируют при 50 фунт/кв.дюйм в течение 24 часов. После того как катализатор отфильтровывают и промывают метанолом, фильтрат концентрируют в вакууме и подвергают хроматографии, получая 0,345 г указанного в заголовке соединения с 62% выходом. МС(EI) вычислено: (M+1)+=539,2; найдено: 539,1.
Пример 224
Стадия A

8-(5-пиридин-3-ил-1,3-тиазол-2-ил)-1,4-диоксаспиро[4,5]декан-8-ол.
Раствор н-бутиллития (7,8 мл 1,6М раствор в гексане, 12,45 ммоль) добавляют к 8-(1,3-тиазол-5-ил)-1,4-диоксаспиро[4,5]декан-8-олу (1,0 г, 4,15 ммоль) в ТГФ (20 мл) при -78°C при перемешивании в атмосфере азота. После перемешивания при -78°C в течение 0,5 часа добавляют 12,5 мл 0,5М раствора ZnCl2 (6,23 ммоль) в ТГФ. Полученную смесь перемешивают при комнатной температуре в течение 0,5 часа и через шприц добавляют смесь 3-бромпиридина (0,40 мл, 4,15 ммоль) и PdCl2(PPh3)2 (0,11 г, 0,16 ммоль) в 5 мл ТГФ. После кипячения с обратным холодильником в течение ночи реакцию гасят, используя 10 мл насыщенного раствора NH4Cl. Водный слой экстрагируют, используя EtOAc (3×). Объединенные органические слои сушат (MgSO4), фильтруют, концентрируют в вакууме и подвергают хроматографии, получая 0,68 г указанного в заголовке соединения с 52% выходом. МС(EI) вычислено: (M+H)+=319,1; найдено: 319,1.
Стадия B

N-[2-({(3R)-1-[4-гидрокси-4-(5-пиридин-3-ил-1,3-тиазол-2-ил)циклогексил]пирролидин-3-ил}амино)-2-оксоэтил]-3-(трифторметил)бензамид.
Указанное в заголовке соединение получают из кеталя со стадии A, используя аналогичный способ примера 218. МС(EI): вычислено: (M+H)+ 574,2;
найдено: 574,1.
Следующие примеры получают, используя аналогичные способы, раскрытые в примерах 218-224.

Пример  |
R |
МС(М+H)+ |
| 225 |
5-(морфолин-4-илкарбонил)-1,3-тиазол-2-ил |
610 |
| 226 |
5-аминокарбонил-1,3-тиазол-2-ил |
540 |
| 227 |
5-диметиламинокарбонил-1,3-тиазол-2-ил |
568 |
| 228 |
5-(пирролидин-1-илкарбонил)-1,3-тиазол-2-ил |
594 |
| 229 |
5-аллил-1,3-тиазол-2-ил |
536 |
| 230 |
5-пропил-1,3-тиазол-2-ил |
538 |
| 231 |
5-этиламинокарбонил-1,3-тиазол-2-ил |
568 |
| 232 |
5-фенил-1,3-тиазол-2-ил |
573 |
| 233 |
5-метил-1,3-тиазол-2-ил |
511 |
| 234 |
5-гидроксиметил-1,3-тиазол-2-ил |
527 |
| 235 |
5-(1-гидрокси-1-метилэтил)-1,3-тиазол-2-ил |
555 |
| 236 |
5-метоксиметил-1,3-тиазол-2-ил |
541 |
| 237 |
5-(пиридин-2-ил)-1,3-тиазол-2-ил |
574 |
| 238 |
2-(пирролидин-1-ил)-1,3-тиазол-4-ил |
566 |
| 239 |
2-(морфолин-4-ил)-1,3-тиазол-4-ил |
(M-H2O+H)+=564 |
| 240 |
2-метил-1,3-тиазол-5-ил |
511 |
| 241 |
2-(1-гидрокси-1-метилэтил)-1,3-тиазол-5-ил |
555 |
| 242 |
2-(пирролидин-1-ил)-1,3-тиазол-5-ил |
566 |
| 243 |
2-этокси-1,3-тиазол-5-ил |
541 |
| 244 |
2-этил-1,3-тиазол-5-ил |
525 |
| 245 |
2-(пирролидин-1-илметил)-1,3-тиазол-5-ил |
580 |
| 246 |
2-(морфолин-4-ил)-1,3-тиазол-5-ил |
582 |
| 247 |
2-метоксиметил-1,3-тиазол-5-ил |
541 |
| 248 |
2-изобутил-1,3-тиазол-5-ил |
553 |
| 249 |
2-этиламинокарбонил-1,3-тиазол-5-ил |
568 |
| 250 |
2-(пирролидин-1-илкарбонил)-1,3-тиазол-5-ил |
594 |
| 251 |
2-(морфолин-4-илкарбонил)-1,3-тиазол-5-ил |
610 |
| 252 |
2-(пиридин-3-ил)-1,3-тиазол-5-ил |
574 |
| 253 |
2-(пиридин-2-ил)-1,3-тиазол-5-ил |
574 |
| 254 |
4-метил-1,3-тиазол-2-ил |
511 |
| 255 |
1,3-бензотиазол-2-ил |
547 |
Пример 256
Стадия A

2-(l,4-диоксаспиро[4,5]дец-7-ен-8-ил)-1,3-тиазол.
К смеси 8-(1,3-тиазол-2-ил)-1,4-диоксаспиро[4,5]декан-8-ола (0,8 г, 3,32 ммоль) в пиридине (10 мл) при 0°C добавляют тионилхлорид (2,5 мл, 34,3 ммоль) в атмосфере азота. После перемешивания в течение 2 часов при 0°C в атмосфере азота добавляют воду и EtOAc. Водный слой экстрагируют EtOAc (3×). Объединенные органические слои промывают насыщенным NaCl, сушат (MgSO4), концентрируют и подвергают флэш-хроматографии, используя смесь 10% EtOAc/гексан, получая 0,27 г указанного в заголовке соединения с 36% выходом. МС(EI) вычислено: (M+1)+=224,1; найдено: 224,2.
Стадия B

2-(l,4-диоксаспиро[4,5]дец-8-ил)-1,3-тиазол.
В аппарат Парра для гидрирования помещают 2-(l,4-диоксаспиро[4,5]дец-7-ен-8-ил)-1,3-тиазол (0,22 г, 0,99 ммоль), растворенный в метаноле (15 мл), затем добавляют 10% Pd/C (0,08 г). Эту смесь гидрируют при 50 фунт/кв.дюйм в течение ночи. После того как катализатор отфильтровывают и промывают метанолом, фильтрат концентрируют в вакууме, получая 0,21 г 2-(l,4-диоксаспиро[4,5]дец-8-ил)-1,3-тиазола с 95% выходом. МС(EI) вычислено: (M+1)+=226,1; найдено: 225,9.
Стадия C

4-(1,3-тиазол-2-ил)циклогексанон.
Раствор 2-(l,4-диоксаспиро[4,5]дец-8-ил)-1,3-тиазола (0,21 г, 0,93 ммоль) в 10 мл ТГФ/3н. HCl (1:1) перемешивают в течение 2 часов при 50°C. После охлаждения до комнатной температуры смесь обрабатывают Na2CO3, доводя величину pH до 8, и экстрагируют EtOAc (3×). Объединенные органические слои промывают насыщенным раствором NaCl, сушат (MgSO4) и концентрируют, получая 0,16 г 4-(1,3-тиазол-2-ил)циклогексанона с выходом 95%. МС(EI) вычислено: (M+H)+=182,1; найдено: 181,9.
Стадия D

N-[2-оксо-2-({(3R)-1-[4-(1,3-тиазол-2-ил)циклогексил]пирролидин-3-ил}амино)этил]-3-(трифторметил)бензамид.
К смеси 4-(1,3-тиазол-2-ил)циклогексанона (0,069 г, 0,38 ммоль) и N-[2-оксо-2-({2-оксо-2-[(3R)-пирролидин-3-иламино]этил}амино)этил]-3-(трифторметил)бензамида (0,10 г, 0,32 ммоль) в 2% AcOH/CH2Cl2 (10 мл) добавляют NaB(OAc)3H (0,134 г, 0,634 ммоль). После перемешивания в течение ночи при комнатной температуре в атмосфере азота реакционную смесь разбавляют EtOAc и промывают насыщенным Na2CO3. Водный слой экстрагируют EtOAc (3×). Объединенные органические слои сушат (MgSO4), концентрируют, подвергают флэш-хроматографии [EtOAc до MeOH/EtOAc (1:9), затем до 5% MeOH/EtOAc/Et3N (1:9:0,5)], получая 0,129 г указанного в заголовке соединения с выходом 85%. МС(EI) вычислено: (M+H)+=480,2; найдено: 480,3.
Пример 257
Стадия А

2-(8-хлор-1,4-диоксаспиро[4,5]дец-8-ил)-5-(пирролидин-1-илкарбонил)-1,3-тиазол.
К смеси 8-[5-(пирролидин-1-илкарбонил)-1,3-тиазол-2-ил]-1,4-диоксаспиро[4,5]декан-8-ола (0,2 г, 3,32 ммоль) в пиридине (3 мл) при 0°C добавляют тионилхлорид (0,5 мл, 6,86 ммоль) в атмосфере азота. Смесь нагревают до комнатной температуры и перемешивают в течение ночи. После того как раствор концентрируют, добавляют воду и EtOAc. Водный слой экстрагируют EtOAc (2×). Объединенные органические слои промывают насыщенным NaCl, сушат (MgSO4), концентрируют и подвергают флэш-хроматографии (50% EtOAc/гексан до EtOAc), получая 0,10 г указанного в заголовке соединения с выходом 53%. МС(EI) вычислено: (M+1)+=356,1; найдено: 357,0.
Стадия B

2-(l,4-диоксаспиро[4,5]дец-8-ил)-5-(пирролидин-1-илкарбонил)-1,3-тиазол.
В аппарат Парра для гидрирования помещают 2-(8-хлор-1,4-диоксаспиро[4,5]дец-8-ил)-5-(пирролидин-1-илкарбонил)-1,3-тиазол (0,095 г, 0,266 ммоль), растворенный в метаноле (10 мл), затем добавляют 10% Pd/C (0,02 г). Смесь гидрируют при 50 фунт/кв.дюйм в течение ночи. После того как катализатор отфильтровывают и промывают метанолом, фильтрат концентрируют в вакууме, получая 0,083 г 2-(l,4-диоксаспиро[4,5]дец-8-ил)-5-(пирролидин-1-илкарбонил)-1,3-тиазола с выходом 97%. МС(EI) вычислено: (M+H)+=322,1; найдено: 322,0.
Стадия C

4-[5-(пирролидин-1-илкарбонил)-1,3-тиазол-2-ил]циклогексанон.
Указанное в заголовке соединение получают из кеталя со стадии B, используя способ аналогично раскрытому на стадии С примера 256. МС(EI) вычислено: (M+H)+=279,1; найдено: 279,0.
Стадия D

N-{2-оксо-2-[((3R)-1-{4-[5-(пирролидин-1-илкарбонил)-1,3-тиазол-2-ил]циклогексил}пирролидин-3-ил)амино]этил}-3-(трифторметил)бензамид.
Указанное в заголовке соединение получают из кетона со стадии C, используя аналогичный способ примера 256. МС(EI) вычислено: (M+H)+=578,2; найдено: 578,1.
Приводимые ниже в примерах соединения получают аналогичным способом.
Пример 258

N-[2-оксо-2-({(3R)-1-[4-(2-тиенил)циклогексил]пирролидин-3-ил}амино)этил]-3-(трифторметил)бензамид.
МС(EI): вычислено: (M+H)+ 479,2, найдено: 479,3.
Пример 259

3-(трифторметил)-N-{2-[((3R)-1-{4-[5-(метоксиметил)-1,3-тиазол-2-ил]циклогексил}пирролидин-3-ил)амино]-2-оксоэтил}бензамид.
МС(EI): вычислено: (M+H)+ 525,2, найдено: 525,2.
Пример 260

3-(трифторметил)-N-{2-[((3R)-1-{4-[5-(морфолин-4-илкарбонил)-1,3-тиазол-2-ил]циклогексил}пирролидин-3-ил)амино]-2-оксоэтил}бензамид.
МС(EI): вычислено: (M+H)+ 594,2, найдено: 594,2.
Пример 261
Стадия A

Трет-бутил{(3R)-1-[4-гидрокси-4-(2-изопропил-1,3-тиазол-5-ил)циклогексил]пирролидин-3-ил}карбамат.
В аппарат Парра для гидрирования помещают 4-гидрокси-4-(2-изопропил-1,3-тиазол-5-ил)циклогексанон (0,50 г, 2,09 ммоль) и трет-бутил-(3R)-пирролидин-3-илкарбамат (0,373 г, 2,0 ммоль), растворенный в CH2Cl2 (20 мл), затем добавляют 10% Pd/C (0,12 г). Смесь гидрируют при 35 фунт/кв.дюйм в течение 24 часов. После того как катализатор отфильтровывают и промывают метанолом, фильтрат концентрируют в вакууме и подвергают хроматографии, используя MeOH/EtOAc/Et3N (1:9:0,1), получая 0,62 г указанного в заголовке соединения с выходом 76%. МС(EI) вычислено: (M+1)+=409,2; найдено: 410,2.
Стадия B

4-[(3R)-3-аминопирролидин-1-ил]-1-(2-изопропил-1,3-тиазол-5-ил)циклогексанол.
Смесь трет-бутил{(3R)-1-[4-гидрокси-4-(2-изопропил-1,3-тиазол-5-ил)циклогексил]пирролидин-3-ил}карбамата (0,50 г, 1,22 ммоль) в 4н. HCl/диоксан (10 мл) перемешивают при комнатной температуре в течение 1 часа. Раствор концентрируют, получая 0,397 г указанного в заголовке соединения в виде соли 2 HCl. МС(EI) вычислено: (M+1)+=309,2; найдено: 310,2.
Стадия C

N-{(3R)-1-[4-гидрокси-4-(2-изопропил-1,3-тиазол-5-ил)циклогексил]пирролидин-3-ил}-4-оксо-4-[3-(трифторметил)фенил]бутанамид.
К перемешиваемому раствору 3 HCl соли 4-[(3R)-3-аминопирролидин-1-ил]-1-(2-изопропил-1,3-тиазол-5-ил)циклогексанола (0,233 г, 0,557 ммоль) и 4-оксо-4-[3-(трифторметил)фенил]бутановой кислоты (0,15 г, 0,61 ммоль) в ДМФА (5 мл) добавляют Et3N (0,34 мл, 2,44 ммоль) и затем BOP (0,296 г, 0,67 ммоль). Смесь перемешивают в течение ночи при комнатной температуре. Затем реакционную смесь разбавляют EtOAc и промывают насыщенным Na2CO3 и насыщенным раствором соли. Органический слой сушат (MgSO4), концентрируют и подвергают флэш-хроматографии (EtOAc до 10% MeOH/EtOAc), получая 0,075 г указанного в заголовке соединения. МС(EI) вычислено: (M+H)+=538,2; найдено: 538,1.
Приведенные ниже в примерах соединения получают аналогичным способом.
Пример 262

4-[3-(трифторметил)фенил]-N-((3R)-1-{4-гидрокси-4-[5-(метоксиметил)-1,3-тиазол-2-ил]циклогексил}пирролидин-3-ил)-4-оксобутанамид.
МС(EI): вычислено: (M+H)+ 540,2, найдено: 540,2.
Пример 263

4-[3-(трифторметил)фенил]-N-((3R)-1-{4-гидрокси-4-[5-(метоксиметил)-1,3-тиазол-2-ил]циклогексил}пирролидин-3-ил)-4-оксобутанамид.
МС(EI): вычислено: (M+H)+ 540,2, найдено: 540,2.
Пример 264

N-((3R)-1-{4-гидрокси-4-[5-(метоксиметил)-1,3-тиазол-2-ил]-4-гидроксициклогексил}пирролидин-3-ил)-4-[3-(трифторметил)фенил]бутанамид.
К раствору N-((3R)-1-{4-гидрокси-4-[5-(метоксиметил)-1,3-тиазол-2-ил]циклогексил}пирролидин-3-ил)-4-оксо-4-[3-(трифторметил)фенил]бутанамида (19,2 мг, 0,036 моль) в метаноле (1,0 мл) добавляют тетрагидроборат натрия (2,7 мг, 0,071 моль) и смесь перемешивают в течение 1 часа. Смесь очищают, используя препаративную ВЭЖХ, элюируя H2O/CH3CN/0,05% TFA, получая нужное соединение в виде смеси двух диастереоизомеров (10 мг, 99,7% чистый). ЖХМС: 542,2 (M+H+ 100%); 1ЯМР (CD3OD) : 7,70 (с, 1H), 7,63-7,53 (м, 4H), 4,80-4,77 (м, 1H), 4,65 (с, 2H), 4,4 (м, 1H), 3,96-3,93 (м, 1H), 3,84-3,72 (м, 1Н), 3,57-3,49 (м, 1H), 3,38 (с, 3H), 3,24-3,12 (м, 0,5H), 3,10-3,06 (м, 0,5H), 2,53-2,51 (м, 0,5H), 2,36-2,31 (м, 4,5H), 2,19 (с, 2H), 2,09-1,99 (м, 6H), 1,92-1,86 (м, 2H).
Пример 265
Стадия A

(3-трифторфенил)сульфонил]аминоуксусная кислота.
К раствору глицина (0,75 г, ммоль) в воде (30 мл) и ТГФ (30 мл) при 0°C порциями в течение 5 минут добавляют 3-(трифторметил)бензолсульфонилхлорид (2,44 г, 10 ммоль). После завершения добавления реакционную смесь перемешивают в течение дополнительно 0,5 часа при комнатной температуре и затем охлаждают на бане со льдом. После подкисления реакционной смеси концентрированной HCl до pH 1 неочищенный продукт экстрагируют этилацетатом. Органические экстракты объединяют, промывают насыщенным раствором соли (50 мл), сушат над сульфатом натрия, концентрируют в вакууме, при этом образуется плотный осадок белого твердого вещества. Продукт перекристаллизовывают из водного этанола, получая нужное соединение ([(3-трифторфенил)сульфонил]аминоуксусную кислоту, 58%) в виде белого твердого кристаллического вещества со следующими характеристиками: ЖХМС: 282,2 (M-H)+
Стадия B

N-((3R)-1-{4-[5-(метоксиметил)-1,3-тиазол-2-ил]-4-гидроксициклогексил}пирролидин-3-ил)-2-({[3-(трифторметил)фенил]сульфонил}амино)ацетамид.
К раствору
({[3-(трифторметил)фенил]сульфонил}амино)уксусной кислоты (64 мг, 0,22 ммоль) и дигидрохлорида 4-[(3R)-3-аминопирролидин-1-ил]-1-[5-(метоксиметил)-1,3-тиазол-2-ил]циклогексанола (72 мг, 0,19 ммоль) в ДМФА (5 мл) при 0°C добавляют TEA (38 мг, 0,38 ммоль) и BOP, гексафторфосфат (бензотриазол-1-илокси)трис(диметиламино)фосфония (99 мг, 0,22 ммоль). Реакционную смесь перемешивают в течение 2 часов, гасят водой (5 мл) и экстрагируют этилацетатом (2×25 мл). Органические экстракты объединяют, промывают насыщенным раствором соли (10 мл), сушат над сульфатом натрия, концентрируют в вакууме. Остаток подвергают хроматографии на силикагеле, элюируя 1% гидроксидом аммония в смеси этилацетат/метанол (100/0 до 90/10). Соответствующие фракции объединяют, получая два изомера нужного соединения в соотношении 1:1 со следующими характеристиками: МС: 577,4 (M+H+ 100%).
Пример 266
Стадия A

3-(трифторметил)бензальдегидоксим.
В колбу, содержащую 3-трифторбензальдегид (1,74 г, 10 ммоль) и гидрохлорид гидроксиламина (0,76 г, 11 ммоль) в метаноле (25 мл), добавляют TEA (0,65 г, 11 ммоль). Реакционную смесь нагревают при кипячении с обратным холодильником в течение 3 часов, нейтрализуют до pH 6,0 и экстрагируют этилацетатом (3×20 мл). Органические экстракты объединяют, промывают насыщенным раствором соли (20 мл), сушат над сульфатом натрия, концентрируют в вакууме, получая 3-(трифторметил)бензальдегидоксим (1,9 г) в виде бесцветного масла. ЖХМС: 190,2 (M+H+, 100%).
Стадия B

N-гидрокси-3-(трифторметил)бензолкарбоксимидоилхлорид
В сухую колбу, содержащую 3-(трифторметил)бензальдегидоксим (1,89 г, 10 моль) в метиленхлориде (100 мл), медленно добавляют N-хлорсукцинимид (1,40 г, 10,5 ммоль) при 0°C. Реакционную смесь нагревают при 45°C в течение 2 часов, выливают на лед, разбавляют H2O (20 мл) и экстрагируют EtOAc (100 мл). Органическую фазу промывают H2O (2×25 мл) и насыщенным раствором соли (25 мл), сушат над сульфатом натрия, концентрируют в вакууме, получая N-гидрокси-3-(трифторметил)бензолкарбоксимидоилхлорид (2 г, 90%). ЖХМС: 224,4 (M+H)+.
Стадия C

Метил-3-[3-(трифторметил)фенил]-4,5-дигидроизоксазол-5-карбоксилат.
В колбу, содержащую N-гидрокси-3-(трифторметил)бензолкарбоксимидоилхлорид (2,0 г, 8,9 ммоль) и метилакрилат (0,7 г, 8 ммоль) в метиленхлориде (100 мл) при 0°C, в инертной атмосфере добавляют TEA (0,90 г, 8,8 ммоль). Реакционную смесь медленно нагревают до комнатной температуры, перемешивают в течение 20 часов, гасят водой (30 мл) и экстрагируют метиленхлоридом (2×50 мл). Органические экстракты объединяют, промывают насыщенным раствором соли (50 мл), сушат над сульфатом натрия, концентрируют в вакууме и подвергают хроматографии на силикагеле, элюируя смесью метиленхлорид/метанол (100/1 до 95/5).
Соответствующие фракции объединяют и концентрируют в вакууме, получая метил-3-[3-(трифторметил)фенил]-4,5-дигидроизоксазол-5-карбоксилат (2,3 г, 100%): ЖХМС: 274,2 (M+Н+, 100%); 1ЯМР (CDCl3) : 8,03 (с, 1H), 7,92 (д, 1H), 7,71 (д, 1H), 7,59 (дд, 1H), 5,28 (дд, 1H), 3,86 (с, 3H), 3,71 (дд, 2Н).
Стадия D

3-[3-(трифторметил)фенил]-4,5-дигидроизоксазол-5-карбоновая кислота.
К раствору метил-3-[3-(трифторметил)фенил]-4,5-дигидроизоксазол-5-карбоксилата (2,3 г, 8,4 ммоль) в ТГФ (10 мл) добавляют 2М раствор гидроксида натрия в воде (10 мл) при температуре 0°C. Реакционную смесь медленно нагревают до комнатной температуры, перемешивают в течение 2 часов, нейтрализуют, используя 2н. HCl, до pH 7 и экстрагируют этилацетатом (2×50 мл). Органические экстракты объединяют, промывают насыщенным раствором соли (50 мл), сушат над сульфатом натрия, концентрируют в вакууме. Остаток подвергают хроматографии на силикагеле, элюируя смесью метиленхлорид/метанол (95/5 до 80/20). Соответствующие фракции объединяют и концентрируют в вакууме, получая 3-[3-(трифторметил)фенил]-4,5-дигидроизоксазол-5-карбоновую кислоту (2,18 г,100%) в виде белого твердого кристаллического вещества ЖХМС: 258,2 (M-Н–, 100%).
Стадия E

N-((3R)-1-{4-гидрокси-4-[2-(метоксиметил)-1,3-тиазол-5-ил]циклогексил}пирролидин-3-ил)-3-[3-(трифторметил)фенил]-4,5-дигидроизоксазол-5-карбоксамид.
К раствору дигидрохлорида 4-[(3R)-3-аминопирролидин-1-ил]-1-[2-(метоксиметил)-1,3-тиазол-4-ил]циклогексанола (90,0 мг, 0,234 ммоль) в ДМФА (5 мл) добавляют 3-[3-(трифторметил)фенил]-4,5-дигидроизоксазол-5-карбоновую кислоту (60,7 мг, 0,234 ммоль), гидрохлорид N-(3-диметиламинопропил)-N’-этилкарбодиимида (49,4 мг, 0,258 ммоль) и TEA (28,4 мг, 0,281 ммоль). Реакционную смесь перемешивают при комнатной температуре в течение 2 часов, гасят водой (5 мл) и экстрагируют этилацетатом (2×25 мл). Органические экстракты объединяют, промывают насыщенным раствором соли (10 мл), сушат над сульфатом натрия, концентрируют в вакууме. Остаток подвергают хроматографии на силикагеле, элюируя смесью 1% гидроксида аммония в этилацетате/метанол (100/0 до 90/10). Соответствующие фракции объединяют, получая цис- и транс-изомеры в соотношении 1:1. Каждый изомер очищают далее с помощью ВЭЖХ, элюируя смесью Н2O/CH3CN/TFA (10/90/0,05 до 100/0/0,05), получая TFA соль N-((3R)-1-{4-гидрокси-4-[2-(метоксиметил)-1,3-тиазол-5-ил]циклогексил}пирролидин-3-ил)-3-[3-(трифторметил)фенил]-4,5-дигидроизоксазол-5-карбоксамида (всего 40 мг, 31%) в виде твердых веществ. ЖХМС: 553 (M+H+ 100%). По данным аналитической ВЭЖХ каждая фракция демонстрирует два пика (1:1) и имеет степень чистоты более 95%.
Пример 267

(4Z) и (4Е)-4-(гидроксиимино)-N-((3R)-1-{4-гидрокси-4-[5-(метоксиметил)-1,3-тиазол-2-ил]циклогексил}пирролидин-3-ил)-4-[3-(трифторметил)фенил]бутанамид.
К раствору N-((3R)-1-{4-гидрокси-4-[5-(метоксиметил)-1,3-тиазол-2-ил]циклогексил}пирролидин-3-ил)-4-оксо-4-[3-(трифторметил)фенил]бутанамида (19,2 мг, 0,036 ммоль) в метаноле (1,0 мл) добавляют гидрохлорид гидроксиламина (9,9 мг, 0,14 ммоль) и TEA (14 мг, 0,14 ммоль). После кипячения с обратным холодильником в течение 4 часов смесь концентрируют и остаток очищают, используя препаративную ВЭЖХ, элюируя смесью H3O/CH3CN/0,05% TFA, получая нужные соединения в виде соли TFA (15 мг, 97% чистоты). ЖХМС: 555,2 (M+H)+; 1ЯМР (CD3OD) : 7,98 (с, 1H), 7,92 (м, 1H), 7,67-7,55 (м, 3H), 4,64 (с, 2H), 4,31 (м, 1H), 3,86-3,66 (м, 2H), 3,50-3,45 (м, 1Н), 3,44 (с, 3H), 3,20 (м, 0,5H), 3,11 (м, 2H), 2,98 (м, 0,5H), 2,51 (м, 3H), 2,33 (м, 2H), 2,16 (с, 2H), 1,97 (м, 4H), 1,84 (м, 2H).
Пример 268

(4Z) и (4Е)-4-(этоксиимино)-N-((3R)-1-{4-гидрокси-4-[5-(метоксиметил)-1,3-тиазол-2-ил]циклогексил}пирролидин-3-ил)-4-[3-(трифторметил)фенил]бутанамид.
Указанное в заголовке соединение получают, используя аналогичный способ примера 267. МС(М+H)+ 583,2.
Пример 269

N-[2-({(3R)-1-[4-фтор-4-(1,3-тиазол]-2-ил)циклогексил]пирролидин-3-ил}амино)-2-оксоэтил]-3-(трифторметил)бензамид.
DAST (0,2 мл, 1,5 ммоль) добавляют к N-[2-({(3R)-1-[4-гидрокси-4-(1,3-тиазол-2-ил)циклогексил]пирролидин-3-ил}амино)-2-оксоэтил]-3-(трифторметил)бензамиду (0,06 г, 0,12 ммоль) в CH2Cl2 (5 мл) при -78°С при перемешивании в атмосфере азота. Раствор оставляют медленно нагреваться до 0°С и перемешивают в течение 1 часа. Добавляют воду и EtOAc. Водный слой экстрагируют EtOAc (3×). Объединенные органические слои промывают насыщенным NaCl, сушат (MgSO4), концентрируют и очищают, используя флэш-хроматографию и ВЭЖХ с обращенной фазой, получая 0,020 г указанного в заголовке соединения с выходом 31%. МС(EI) вычислено: (M+H)+=499,2; найдено: 499,1.
Представленные ниже в примерах соединения получают аналогичным способом.
Пример 270

N-(2-{[(3R)-1-(4-фтор-4-пиридин-3-илциклогексил)пирролидин-3-ил]амино}-2-оксоэтил)-3-(трифторметил)бензамид.
МС(М+H)+ 493,2.
Пример 271

N-[2-({(3R)-1-[4-фтор-4-(6-метоксипиридин-3-ил)циклогексил]пирролидин-3-ил}амино)-2-оксоэтил]-3-(трифторметил)бензамид.
МС(М+H)+ 523,2
Пример 272

N-[2-({(3R)-[(1-{4-фтор-4-[6-(1,3-оксазол-2-ил)пиридин-3-ил]циклогексил}пирролидин-3-ил)амино]-2-оксоэтил}-3-(трифторметил)бензамид.
МС(М+H)+ 560.
Пример 273

N-(2-{[(3R)-1-(4-фтор-4-{4-[(метиламино)карбонил]фенил}циклогексил)пирролидин-3-ил]амино}-2-оксоэтил)-3-(трифторметил)бензамид.
МС вычислено: (M+H)+ 549, найдено: 549.
Пример 274
Стадия A

8-пиримидин-5-ил-1,4-диоксаспиро[4,5]декан-8-ол.
Раствор н-бутиллития (4,32 мл 1,6М раствора в гексане, 6,92 ммоль) добавляют к 5-бромпиримидину (1,0 г, 6,29 ммоль) в ТГФ (10 мл) при -78°C при перемешивании в атмосфере азота. После перемешивания при -78°C в течение 1 часа к раствору литиевого соединения через шприц добавляют раствор моноэтиленкеталя 1,4-циклогександиона (0,982 г, 6,29 ммоль) в ТГФ (10 мл) и перемешивают в течение 4 часов при -78°C. Добавляют воду (5 мл), реакционную смесь нагревают до комнатной температуры и экстрагируют, используя EtOAc (3×). Объединенные органические слои сушат (MgSO4), фильтруют, концентрируют в вакууме и подвергают хроматографии, получая 0,18 г 8-пиримидин-5-ил-1,4-диоксаспиро[4,5]декан-8-ола с выходом 12%. МС(EI) вычислено: (M+H)+=237,1; найдено: 237,2.
Стадия B

4-гидрокси-4-пиримидин-5-илциклогексанон.
Раствор 8-пиримидин-5-ил-1,4-диоксаспиро[4,5]декан-8-ола (0,14 г, 0,59 ммоль) в 10 мл смеси ТГФ/1н HCl (1:1) перемешивают в течение 24 часов при комнатной температуре. Смесь обрабатывают Na2CO3 до pH 8 и экстрагируют EtOAc (3×). Объединенные органические слои промывают насыщенным раствором NaCl, сушат (MgSO4) и концентрируют, получая 0,11 г 4-гидрокси-4-пиримидин-5-илциклогексанона с выходом 79%. МС(EI) вычислено: (M+H)+=192,1; найдено: 192,1.
Стадия C

N-(2-{[(3R)-1-(4-гидрокси-4-пиримидин-5-илциклогексил)пирролидин-3-ил]амино}-2-оксоэтил)-3-(трифторметил)бензамид.
Указанное в заголовке соединение получают из кетона со стадии B, используя аналогичный способ примера 218. МС(EI) вычислено: (M+H)+=492,2; найдено: 492,2.
Пример 275
Стадия A

8-пиримидин-2-ил-1,4-диоксаспиро[4,5]декан-8-ол.
К раствору 2-станнилпиримидина (200 ммоль, 80 г), полученному в соответствии с литературными данными (Tetrahedron, 1994, 50, 275-284), в ТГФ (1 л) добавляют н-бутиллитий (240 ммоль, 150 мл) при -78°C. Реакционную смесь перемешивают в течение 30 минут при -78°C и добавляют l,4-диоксаспиро[4,5]декан-8-он (200 ммоль, 30 г). Реакционную смесь оставляют при перемешивании на ночь, при этом она нагревается до комнатной температуры. Затем реакцию гасят, используя NH4Cl, и экстрагируют, используя EtOAc (3×400 мл). Органические слои объединяют, сушат над MgSO4 и концентрируют в вакууме. Неочищенный продукт используют на следующей стадии.
Стадия B

4-гидрокси-4-пиримидин-2-илциклогексанон.
К продукту со стадии A (190 ммоль, 44 г) в ТГФ (200 мл) добавляют раствор HCl (300 ммоль, 100 мл). Реакционную смесь перемешивают в течение 2 дней, затем реакционную смесь промывают диэтиловым эфиром. Водный слой затем гасят, используя NaOH (50%), доводя pH до 11. Водный слой экстрагируют, используя EtOAc (6×300 мл). Органические слои объединяют, сушат над MgSO4 и концентрируют в вакууме. Остаток очищают с помощью флэш-хроматографии, получая нужный кетон (18 г, 49%). MS [M+H]+ 193,1
Стадия C

N-{[(R)-1-(4-гидрокси-4-пиримидин-2-илциклогексил)пирролидин-3-илкарбамоил]метил}-3-трифторметилбензамид.
К продукту со стадии C (62 ммоль, 12 г) в CH2Cl2 (500 мл) добавляют N-((3R)-пирролидин-3-илкарбамоилметил)-3-трифторметилбензамид (60 ммоль, 20 г) и затем триацетоксиборгидрид натрия (100 ммоль, 30 г). Реакционную смесь перемешивают в течение 2 часов и затем гасят, используя NaOH (2 M), доводя pH до 11. Реакционную смесь экстрагируют, используя CH2Cl2 (3×300 мл). Органические слои объединяют, сушат над MgSO4 и затем концентрируют в вакууме. Остаток очищают, используя флэш-хроматографию для разделения двух диастереоизомеров, и затем обрабатывают, используя ВЭЖХ, получая нужный диастереоизомер амина. МС [M+H]+ 492,1.
Пример 276
Стадия A

8-пиридазин-3-ил-1,4-диоксаспиро[4,5]декан-8-ол.
К раствору пиридазина (17,7 ммоль, 1,28 мл) в ТГФ (60 мл) добавляют 2,2,6,6-тетраметилпиперидин лития (71 ммоль, 10 г) при -78°C. Затем реакционную смесь перемешивают в течение 6 минут и добавляют 1,4-диоксаспиро[4,5]декан-8-он (71 ммоль, 11 г). Реакционную смесь перемешивают в течение 5 часов при -78°C и затем реакцию гасят, используя раствор этанола, хлористоводородную кислоту и ТГФ (30 мл, 1:1:1). Реакционную смесь оставляют нагреваться до комнатной температуры и реакционную смесь экстрагируют, используя EtOAc. Органические слои объединяют и сушат над MgSO4. Остаток затем очищают, используя флэш-хроматографию, получая нужный спирт (44%, 1,84 г). МС [M+H]+ 237,1.
Стадия B

4-гидрокси-4-пиридазин-3-илциклогексанон.
К продукту со стадии A (7,79 ммоль, 1,84 г) в ТГФ (15 мл) добавляют HCl (45 ммоль, 15 мл). Реакционную смесь перемешивают в течение ночи и затем гасят, используя Na2CO3. Затем реакционную смесь экстрагируют, используя EtOAc (3×100 мл). Органические слои объединяют, сушат и концентрируют в вакууме, получая нужный кетон (780 мг, 52%). МС [M+H]+ 193,1.
Стадия C

N-[2-({(3R)-1-[4-гидрокси-4-пиридазин-3-илциклогексил]пирролидин-3-ил}амино)-2-оксоэтил]-3-(трифторметил)бензамид.
К продукту со стадии B (1,19 ммоль, 215 мг) в CH2Cl2 (10 мл) добавляют N-((3R)-пирролидин-3-илкарбамоилметил)-3-трифторметилбензамид (1,19 ммоль, 375 мг). Затем добавляют триацетоксиборгидрид натрия (2,38 ммоль, 504 мг) и реакционную смесь перемешивают в течение 4 часов и затем гасят, используя NaOH (1M). Водный слой экстрагируют, используя CH2Cl2, затем органический слой промывают насыщенным раствором соли и затем сушат над MgSO4. Органические слои концентрируют в вакууме, получая нужный диастереоизомер амина после флэш-хроматографии и ВЭЖХ (17%, 10 мг) [M+H]+ 492,1.
Пример 277

N-(2-{[(3R)-1-(4-гидрокси-4-пиразин-2-илциклогексил)пирролидин-3-ил]амино}-2-оксоэтил)-3-(трифторметил)бензамид.
Указанное в заголовке соединение получают, используя аналогичный способ примера 276. MC [M+H]+ 492,1.
Пример 278
Стадия А

5-бром-2-этоксипиридин.
К EtOH (15 мл) очень медленно добавляют гидрид натрия (14 ммоль, 330 мг) при 0°C. Реакционную смесь перемешивают в течение 30 минут и добавляют 5-бром-2-хлорпиримидин (3,2 ммоль, 620 мг). Реакционную смесь оставляют нагреваться до комнатной температуры в течение ночи, затем гасят, используя воду, и экстрагируют EtOAc. Органические слои объединяют и концентрируют в вакууме, получая нужный бромид (470 мг, 72%). МС [M+2]+ 203,4.
Стадия В

8-(2-этоксипиримидин-5-ил)-1,4-диоксаспиро[4,5]декан-8-ол.
К продукту со стадии А (2,3 ммоль,471 мг) в ТГФ (20 мл), охлажденному до -78°C, по каплям добавляют н-бутиллитий (2,8 ммоль, 1,7 мл). Реакционную смесь перемешивают в течение 10 минут при -78°C и добавляют 1,4-диоксаспиро[4,5]декан-8-он (3,5 ммоль, 540 мг). Реакционную смесь оставляют нагреваться до комнатной температуры в течение 12 часов, затем реакцию гасят, используя NH4Cl, и затем экстрагируют EtOAc (3×30 мл). Органические слои сушат над MgSO4 и затем концентрируют в вакууме, получая нужный неочищенный кеталь (22%, 184 мг), который используют на следующей стадии.
Стадия C

4-(2-этоксипиримидин-5-ил)-4-гидроксициклогексанон.
К продукту со стадии B (0,3 ммоль, 184 мг) добавляют раствор HCl в воде (30 ммоль, 10 мл). Реакционную смесь перемешивают в течение ночи. Затем реакцию гасят, используя NaOH (1н.) до достижения pH 11. Затем реакционную смесь экстрагируют, используя EtOAc (2×30 мл). Органические слои сушат и концентрируют в вакууме. Остаток очищают, используя ВЭЖХ, получая нужный кетон (70%, 100 мг). МС [M+H]+ 237,1.
Стадия D

N-(2-{[(3R)-1-(4-гидрокси-4-пиразин-2-илциклогексил)пирролидин-3-ил]амино}-2-оксоэтил)-3-(трифторметил)бензамид.
К кетону со стадии C (0,4 ммоль, 100 мг) в CH2Cl2 (10 мл) добавляют N-((3R)-пирролидин-3-илкарбамоилметил)-3-трифторметилбензамид (0,4 ммоль, 100 мг) и затем триацетоксиборгидрид натрия (0,8 ммоль, 200 мг). Реакционную смесь перемешивают в течение ночи и затем гасят, используя NaOH (1н.). Реакционную смесь экстрагируют, используя EtOAc (3×10 мл). Органические слои объединяют, сушат над MgSO4 и затем концентрируют в вакууме. Остаток очищают, используя ВЭЖХ, получая нужный диастереоизомер амина (18%, 40 мг). МС [M+H]+ 536,1.
Пример 279

N-{2-[((3R)-1-{4-[2-(2-фторэтокси)пиримидин-5-ил]-4-гидроксициклогексил}пирролидин-3-ил)амино]-2-оксоэтил}-3-(трифторметил)бензамид.
Указанное в заголовке соединение получают, используя аналогичный способ примера 278. МС [M+H]+ 554,2.
Пример 280

N-[2-({(3R)-1-[4-гидрокси-4-(2-метоксипиримидин-5-ил)циклогексил]пирролидин-3-ил}амино)-2-оксоэтил]-3-(трифторметил)бензамид.
Указанное в заголовке соединение получают, используя аналогичный способ примера 278. МС(М+H)+ 522.
Пример 281

N-(2-{[(3R)-1-(4-гидрокси-4-пиримидин-4-илциклогексил)пирролидин-3-ил]амино}-2-оксоэтил)-3-(трифторметил)бензамид.
Указанное в заголовке соединение получают, используя аналогичный способ примера 276. МС [M+H]+ 492,2.
Пример 282
Стадия A

8-(4-иодофенил)-1,4-диоксаспиро[4,5]декан-8-ол.
К раствору 1,4-дииодобензола (16,5 г, 50 ммоль) в ТГФ (350 мл) при -78°C добавляют н-BuLi (2,5М, 24 мл) в течение 1 часа. После перемешивания в течение дополнительно 30 минут добавляют раствор 1,4-диоксаспиро[4,5]декан-8-она (7,8 г, 50 ммоль) в ТГФ (30 мл) и полученную смесь перемешивают в течение 3 часов. К смеси добавляют TMSC1 (5,4 г, 50 ммоль), полученную смесь оставляют нагреваться до комнатной температуры и перемешивают при комнатной температуре в течение 18 часов. Реакционную смесь нейтрализуют до значения pH 6,0 и экстрагируют этилацетатом (3×50 мл). Органические экстракты объединяют, промывают насыщенным раствором соли (2×50 мл), сушат над сульфатом натрия, концентрируют в вакууме. Остаток подвергают хроматографии на силикагеле, элюируя смесью гексан/этилацетат (95/5 до 100/0). Соответствующие фракции объединяют, получая 8-(4-иодофенил)-1,4-диоксаспиро[4,5]декан-8-ол (12 г, 66,6%), для которого ЖХМС: 361,2 (M+H+ 100%) и {[8-(4-йодофенил)-1,4-диоксаспиро[4,5]дец-8-ил]окси}(триметил)силан (6 г, 27%), для которого ЖХМС: 433,1 (M+H+ 100%).
Стадия B

4-гидрокси-4-(4-иодофенил)циклогексанон.
К раствору 8-(4-иодофенил)-1,4-диоксаспиро[4,5]декан-8-ола (2 г) в ацетоне (10 мл) добавляют 5% HCl (20 мл) и смесь перемешивают при комнатной температуре в течение 14 часов. Смесь нейтрализуют, используя NaOH, до значения pH 7, концентрируют на роторном испарителе и затем экстрагируют этилацетатом (2×50 мл). Органические экстракты объединяют, промывают насыщенным раствором соли (2×50 мл), сушат над сульфатом натрия, концентрируют в вакууме, получая 4-гидрокси-4-(4-йодофенил)циклогексанон (1,7 г, 98%). ЖХМС: 317,3 (M+Н+, 100%).
Стадия C

N-[2-({(3R)-1-[4-гидрокси-4-(4-йодофенил)циклогексил]пирролидин-3-ил}амино)-2-оксоэтил]-3-(трифторметил)бензамид.
К раствору 4-гидрокси-4-(4-иодофенил)циклогексанона (624 мг, 2 ммоль) в CH2Cl2 (10 мл) добавляют N-((3R)-пирролидин-3-илкарбамоилметил)-3-трифторметилбензамид (730 мг, 2 ммоль) и затем NaBH(OAc)3 (666 мг, 3 ммоль). После перемешивания в течение 1 часа реакцию гасят, используя 10% NaHCO3, и экстрагируют EtOAc. Органические экстракты объединяют, промывают насыщенным раствором соли, сушат над сульфатом натрия, концентрируют в вакууме. Остаток подвергают хроматографии на силикагеле, элюируя 1% NH4OH в смеси этилацетат/метанол (100/0 до 10/90), получая основной изомер (544 мг, 44,2%) и неосновной изомер (446 мг, 36,3% выход). Для основного изомера ЖХМС: 615,2 (M+H+, 100%); 1ЯМР (CDCl3) : 8,09, (с, 1H); 7,98, (д, 1H); 7,77, (д, 1H); 7,67, (д, 2H); 7,57, (т, 1H); 7,28, (д, 2H); 7,22, (т, 1Н, NH); 6,44, (д, 1H, NH); 4,49, (м, 1Н); 4,12, (м, 2H); 2,87, (м, 1H); 2,64, (м, 2Н); 2,38, (м, 1H); 2,25, (м, 4H); 1,93, (м, 2H); 1,54-1,70, (м, 6H).
Стадия D

N-[2-({(3R)-1-[4-гидрокси-4-(4-пиримидин-5-илфенил)циклогексил]пирролидин-3-ил}амино)-2-оксоэтил]-3-(трифторметил)бензамид.
К раствору N-[2-({(3R)-1-[4-гидрокси-4-(4-иодофенил)циклогексил]пирролидин-3-ил}амино)-2-оксоэтил]-3-(трифторметил)бензамида (61 мг, 0,1 ммоль) и пиримидин-5-илбороновой кислоты (26 мг, 0,2 ммоль) в ТГФ (5 мл) добавляют 2М NaHCO3 (5 мл) и смесь дегазируют, используя N2 трижды. Добавляют Pd(0)(PPh3)4 (5,7 мг, 5%) и полученную смесь нагревают при кипячении с обратным холодильником в атмосфере азота в течение 4 часов. Смесь разбавляют этилацетатом (50 мл) и органический слой промывают насыщенным раствором соли (2×10 мл), сушат над сульфатом натрия и концентрируют в вакууме. Остаток подвергают хроматографии на силикагеле, элюируя 1% NH4OH в смеси этилацетат/метанол (100/0 до 90/10); в результате последующей очистки ВЭЖХ, элюируя 0,05% TFA в смеси AcCN/вода, получают TFA соль N-[2-({(3R)-1-[4-гидрокси-4-(4-пиримидин-5-илфенил)циклогексил]пирролидин-3-ил}амино)-2-оксоэтил]-3-(трифторметил)бензамида (28,5 мг, 41%). ЖХМС: 568,4 (M+H+, 100%). Для нейтральной молекулы: 1ЯМР (CD3OD) : 9,15 (с, 1H), 9,08 (с, 1H), 8,22 (с, 1H), 8,14 (д, 1H), 7,86 (д, 1H), 7,76-7,67 (м, 5H), 4,45-4,40 (м, 1H), 4,05 (с, 2H), 2,86 (т, 2H), 2,60-2,53 (м, 2H), 2,42-2,38 (м, 2H), 2,32-2,68 (м, 2Н), 2,05-2,01 (м, 2H), 1,75-1,72 (м, 2H), 1,67-1,63 (м, 3H); 19F ЯМР: (CDC16) -64,58.
Пример 283
Стадия A

4-гидрокси-4-[4-(1,3-оксазол-2-ил)фенил]циклогексанон.
К раствору оксазола (240 мг, 3,5 ммоль) в ТГФ (5 мл) при -78°C добавляют н-BuLi (1,6М, 2,6 мл). После того как смесь перемешивают в течение 1 часа, добавляют раствор хлорида цинка в ТГФ (0,5М, 8,2 мл) и полученную смесь оставляют нагреваться до 0°C в течение 1 часа. К смеси добавляют 8-(4-иодофенил)-1,4-диоксаспиро[4,5]декан-8-ол (1,35 г, 3,5 ммоль) и полученную смесь трижды дегазируют, используя N2. К суспензии PdCl2(PPh3)2 (122 мг, 5%) в ТГФ (2 мл) добавляют н-BuLi (1,6М, 0,26 мл) и полученную смесь добавляют в выше полученную смесь. Полученную смесь нагревают при кипячении с обратным холодильником в атмосфере азота в течение 4 часов. Полученную смесь разбавляют этилацетатом (50 мл). Органический слой фильтруют через целит и фильтрат промывают насыщенным раствором соли (2×10 мл), сушат над сульфатом натрия и концентрируют в вакууме. Остаток растворяют в ТГФ (2,5 мл) и обрабатывают 5% HCl (22,5 мл) при комнатной температуре в течение 24 часов. Смесь нейтрализуют 1н. NaOH до pH 7, концентрируют на роторном испарителе и затем экстрагируют EtOAc (2×50 мл). Органические экстракты объединяют, промывают насыщенным раствором соли (2×50 мл), сушат над сульфатом натрия, концентрируют в вакууме. Полученный остаток подвергают хроматографии на силикагеле, элюируя смесью гексан/этилацетат (100/0 до 100/0), получая нужное соединение (0,56 г, 62% после двух стадий). ЖХМС: 258,2 (M+H+, 100%). 1ЯМР (CDCl3) : 8,06 (д, 2H), 7,73 (с, 1H), 7,63 (д, 2H), 2,99-2,91 (м, 2H), 2,42-2,30 (м, 4H), 2,22-2,05 (м, 2H).
Стадия B

N-[2-({(3R)-1-[4-гидрокси-4-(4-оксазол-2-илфенил)циклогексил]пирролидин-3-ил}амино)-2-оксоэтил]-3-(трифторметил)бензамид.
Указанное в заголовке соединение получают из кетона со стадии A, используя аналогичный способ примера 282. МС(М+H)+ 557,3.
Пример 284
Стадия A

4-гидрокси-4-[4-(1Н-имидазол-1-ил)фенил]циклогексанон.
К раствору имидазола (102 мг, 15 ммоль) и 8-(4-иодофенил)-1,4-диоксаспиро[4,5]декан-8-ола (316 мг, 1 ммоль) в ДМФА (1 мл) добавляют CuI (19 мг, 0,1 ммоль) и Cs2CO3 (488 мг, 1,5 ммоль) и смесь перемешивают при 190°C под действием микроволнового излучения в течение 10 минут. Смесь разбавляют этилацетатом (50 мл) и водой (10 мл). Органический слой фильтруют через целит и фильтрат промывают насыщенным раствором соли (2×10 мл), сушат над сульфатом натрия и концентрируют в вакууме. Остаток растворяют в ТГФ (1 мл) и обрабатывают 5% HCl (9 мл) при комнатной температуре в течение 14 часов. Смесь нейтрализуют NaOH до величины pH 7, концентрируют на роторном испарителе и затем экстрагируют EtOAc (2×50 мл). Органические экстракты объединяют, промывают насыщенным раствором соли (2×50 мл), сушат над сульфатом натрия, концентрируют в вакууме. Полученный остаток подвергают хроматографии на силикагеле, элюируя смесью гексан/этилацетат (100/0 до 0/100), получая нужное соединение (180 мг, 70% за две стадии). ЖХМС: 257,2 (M+H+, 100%); 1ЯМР (CDCl3) : 7,82 (с, 1H), 7,64 (д, 2H), 7,40 (с, 1H), 7,28 (с, 1H), 7,21 (с, 1H), 2,99-2,91 (м, 2H), 2,43-2,28 (м, 4H), 2,23-2,18 (м, 2H).
Стадия B

N-[2-({(3R)-1-[4-гидрокси-4-(4-1Н-имидазол-1-илфенил)циклогексил]пирролидин-3-ил}амино)-2-оксоэтил]-3-(трифторметил)бензамид.
Указанное в заголовке соединение получают из кетона со стадии A, используя аналогичный способ примера 282. МС(М+H)+ 556,3.
Пример 285
Стадия А

4-гидрокси-4-(4-морфолин-4-илфенил)циклогексанон.
В высушенную в термостате колбу загружают Pd2(dba)3 (4,6 мг, 0,005 ммоль), (o-бифенил)P(трет-Bu)2 (6,0 мг, 0,02 ммоль, 2 мольных %) и NaOтрет-Bu (135 мг, 1,4 ммоль). Колбу откачивают, снова заполняют азотом и затем закрывают резиновой пробкой. Добавляют толуол (0,5 мл), арилиодид (360 мг, 1,0 ммоль), морфолин (102 мг, 1,2 ммоль) и дополнительно толуол (0,5 мл). Смесь перемешивают при комнатной температуре до тех пор, пока полностью не израсходуется исходный арилиодид, о чем судят по данным ТСХ анализа. Смесь разбавляют эфиром (20 мл), фильтруют через целит и концентрируют в вакууме. Неочищенный остаток растворяют в ТГФ (1 мл) и обрабатывают 5% HCl (9 мл) при комнатной температуре в течение 14 часов. Смесь нейтрализуют 1н. NaOH до величины pH 7, концентрируют на роторном испарителе и затем экстрагируют EtOAc (2×50 мл). Органические экстракты объединяют, промывают насыщенным раствором соли (2×50 мл), сушат над сульфатом натрия, концентрируют в вакууме. Полученный остаток подвергают хроматографии на силикагеле, элюируя смесью гексан/этилацетат (100/0 до 0/100), получая нужное соединение (100 мг, 36% после двух стадий). ЖХМС: 276,2 (M+H+, 100%). 1ЯМР (CDCl3) : 7,42 (д, 2H), 6,88 (д, 2H), 3,99-3,94 (м, 4H), 3,86-3,84 (м, 4H), 3,16-3,13 (м, 4H).
Стадия B

N-[2-({(3R)-1-[4-гидрокси-4-(4-морфолин-4-илфенил)циклогексил]пирролидин-3-ил}амино)-2-оксоэтил]-3-(трифторметил)бензамид.
Указанное в заголовке соединение получают из кетона со стадии A, используя аналогичный способ примера 282. МС (М+H)+ 575,3.
Пример 286
Стадия A

8-(5-бромпиридин-2-ил)-1,4-диоксаспиро[4,5]декан-8-ол.
К раствору 2,5-дибромпиридина (4,10 г, 17 ммоль) в безводном толуоле (250 мл) при -78°C по каплям добавляют н-BuLi (1,6М, 12 мл). После перемешивания при -78°C в течение 2,5 часа в реакционную смесь добавляют раствор 1,4-диоксаспиро[4,5]декан-8-она (2,73 г, 17 ммоль) в метиленхлориде (25 мл), полученную смесь перемешивают дополнительно в течение 1 часа и оставляют медленно нагреваться до комнатной температуры. Реакционную смесь выливают в водный NaHCO3 (200 мл) и затем экстрагируют EtOAc (2×50 мл). Органические экстракты объединяют, промывают насыщенным раствором соли (2×50 мл), сушат над MgSO4, концентрируют в вакууме. Полученное твердое вещество тщательно растирают с эфиром и фильтрат собирают. Эфир удаляют и твердое вещество подвергают хроматографии на силикагеле, элюируя смесью гексан/этилацетат (2 до 1), получая 8-(5-бромпиридин-2-ил)-1,4-диоксаспиро[4,5]декан-8-ол (4,27 г) в виде бледно-желтого твердого вещества. ЖХМС: 316,10/314,10 (M+H+, 100%). 1ЯМР : 8,6 (с, 1H), 7,82 (д, 1H), 7,38 (д, 1H), 4,6 (с, 1H), 4,0 (м, 4H), 2,2 (м, 4H), 1,7 (м, 4H).
Стадия B

8-(5-пиразин-2-илпиридин-2-ил)-1,4-диоксаспиро[4,5]декан-8-ол.
К раствору 8-(5-бромпиридин-2-ил)-1,4-диоксаспиро[4,5]декан-8-ола (0,50 г, 1,59 ммоль) в ТГФ (7,5 мл) по каплям добавляют изопропилмагнийхлорид (2М в ТГФ, 1,8 мл) при комнатной температуре. После перемешивания в течение 1 часа раствор дегазируют, используя N2 трижды. К другому дегазированному раствору ТГФ (2,5 мл) при комнатной температуре добавляют ацетилацетонат никеля (20 мг, 0,080 ммоль) и 1,2-бис(дифенилфосфино)этан (32 мг, 0,080 ммоль), интенсивно продувая азотом. После перемешивания в течение 10 минут добавляют 2-хлорпиразин (0,155 мл, 1,59 ммоль) и полученную смесь перемешивают в течение 30 минут. Смесь затем переносят в свежеприготовленный раствор реагента Гриньяра, полученного ранее. Смесь перемешивают при комнатной температуре в течение 18 часов и гасят насыщенным раствором NH4Cl. Водный раствор экстрагируют этилацетатом и объединенные органические фазы промывают насыщенным раствором соли (2×50 мл), сушат над MgSO4, концентрируют в вакууме. Остаток подвергают хроматографии на SiO2, элюируют смесью гексан/этилацетат (1:1) и соответствующие фракции собирают, получая 8-(5-пиразин-2-илпиридин-2-ил)-1,4-диоксаспиро[4,5]декан-8-ол (95 мг, 19%) в виде масла. ЖХМС: 314,2 (M+H+, 100%).
Стадия C

4-гидрокси-4-(5-пиримидин-5-илпиридин-2-ил)циклогексанон.
К раствору 8-(5-пиразин-2-илпиридин-2-ил)-1,4-диоксаспиро[4,5]декан-8-ола (95 мг, 0,30 моль) в ТГФ (2,0 мл) добавляют 10% HCl (2 мл). Реакционную смесь нагревают при 40°C в течение 60 минут и охлаждают до комнатной температуры. Смесь нейтрализуют, используя твердый NaHCO3, экстрагируют этилацетатом. Органические экстракты объединяют, промывают насыщенным раствором соли, сушат MgSO4, концентрируют в вакууме. Остаток подвергают хроматографии на силикагеле, элюируя смесью гексан/этилацетат (1:1), получая нужный продукт в виде белого твердого вещества (32 мг, 40%). ЖХМС: 270,2 (M+H+ 100%); 1ЯМР : 9,22 (с, 1H), 9,10 (с, 1H), 8,72 (д, 1H), 8,60 (д, 1H), 8,40 (д, 1Н), 7,56 (д, 1H), 5,36 (с, 1H), 3,04 (м, 2H), 2,44 (дд, 2H), 2,36 (м, 2H), 2,10 (м, 2H).
Стадия D

N-[2-({(3R)-1-[4-гидрокси-4-(5-(пиразин-2-ил)пиридин-2-ил)циклогексил]пирролидин-3-ил}амино)-2-оксоэтил]-3-(трифторметил)бензамид.
Указанное в заголовке соединение получают из кетона со стадии C, используя аналогичный способ примера 282. МС (М+H)+ 569,3.
Пример 287
Стадия A

N-{2-[((3R)-1-{4-гидрокси-4-[4-(4,4,5,5-тетраметил-1,3,2-диоксаборолан-2-ил)фенил]циклогексил}пирролидин-3-ил)амино]-2-оксоэтил}-3-(трифторметил)бензамид.
В колбу загружают бис(пинаколато)дибор (538 мг, 2,1 ммоль), KOAc (589 мг, 6 ммоль) и PdCl2(dppf) [дихлор(дифенилфосфиноферроцен)палладий] (49 мг, 0,06 ммоль) в атмосфере азота. Раствор N-[2-({(3R)-1-[4-гидрокси-4-(4-иодофенил)циклогексил]пирролидин-3-ил}амино)-2-оксоэтил]-3-(трифторметил)бензамида (1,23 г, 2 ммоль) в ДМСО (12 мл) в дополнительной воронке дегазируют, барботируя через него N2; затем добавляют в колбу и смесь нагревают до 70°C. Через 1 час реакцию гасят водой, экстрагируют CH2Cl2, концентрируют, получая нужное соединение (190 мг, 15%). ЖХМС: 616,2
(M+H+, 100%).
Стадия B

N-{2-[((3R)-1-{4-гидрокси-4-[4-(1-метил-1Н-имидазол-5-ил)фенил]циклогексил}пирролидин-3-ил)амино]-2-оксоэтил}-3-(трифторметил)бензамид.
В дегазированный раствор смеси N-{2-[((3R)-1-{транс-4-гидрокси-4-[4-(4,4,5,5-тетраметил-1,3,2-диоксаборолан-2-ил)фенил]циклогексил}пирролидин-3-ил)амино]-2-оксоэтил}-3-(трифторметил)бензамида (60 мг, 0,1 ммоль), 5-бром-1-метилимидазола (63 мг, 0,39 ммоль) и водного Na2CO3 (0,5 мл) в ДМФА (0,5 мл) добавляют PdCl2(dppf) (4 мг, 0,005 ммоль)). После перемешивания при 80°C в течение 18 часов реакция завершается на 66% по данным ЖХМС. Неочищенный продукт очищают, используя препаративную ЖХМС, соответствующие фракции объединяют и сушат в сублимационной сушилке, получая ди-TFA соль N-{2-[((3R)-1-{4-гидрокси-4-[4-(1-метил-1Н-имидазол-5-ил)фенил]циклогексил}пирролидин-3-ил)амино]-2-оксоэтил}-3-(трифторметил)бензамида (8 мг, 14%) в виде белого порошка. ЖХМС: 570,2 (M+H+, 100%); 19F ЯМР (CD3OD) : -64,6 (арил-CF3); -77,50 (TFA); 1ЯМР (CD3OD) : 9,02, (с, 1H); 8,18, (с, 1H); 8,12, (д, 1H); 7,81, (д, 2H); 7,78, (д, 1H); 7,63, (т, 1H); 7,55, (с, 1H); 7,32, (д, 2H); 4,40, (м, 1H); 4,11, (с, 2H); 3,90, (м, 1H) 3,83, (с, 3H); 3,48, (м, 2H); 3,20, (м, 1H); 2,70, (м, 1H); 2,37, (м, 3H); 2,24, (м, 2H); 2,01, (м, 2H); 1,82, (м, 3H).
Следующие соединения получают, используя аналогичные способы, раскрытые в примерах 282-287.

Пример  |
R |
МС (М+H)+ |
| 288 |
4-(4,6-диметилпиримидин-5-ил)фенил |
596,4 |
| 289 |
6-бромпиридин-3-ил |
569,3 |
| 290 |
5-бромпиридин-2-ил |
569,3 |
| 291 |
4′-(метилсульфонил)бифенил-4-ил |
644,4 |
| 292 |
3′-(метилсульфонил)бифенил-4-ил |
644,4 |
| 293 |
3′-(метоксикарбонил)бифенил-4-ил |
624,3 |
| 294 |
4-(2,3-дигидро-1,4-бензодиоксин-6-ил)фенил |
624,3 |
| 295 |
4′-(диметиламино)бифенил-4-ил |
609,4 |
| 296 |
4-(пиридин-3-ил)фенил |
567,3 |
| 297 |
4-(1Н-пиразол-4-ил)фенил |
556,3 |
| 298 |
3,3′-бипиридин-6-ил |
568,2 |
| 299 |
3,4′-бипиридин-6-ил |
568,2 |
| 300 |
5-(3-ацетилфенил)пиридин-2-ил |
609,3 |
| 301 |
5-[3-(диметиламино)фенил]пиридин-2-ил |
610,4 |
| 302 |
5-[3-(трифторметил)фенил]пиридин-2-ил |
634,3 |
| 303 |
5-[4-(метилсульфонил)фенил]пиридин-2-ил |
645,2 |
| 304 |
5-(4-метоксифенил)пиридин-2-ил |
597,3 |
| 305 |
5-(3-метоксифенил)пиридин-2-ил |
597,3 |
| 306 |
5-[3-(аминокарбонил)фенил]пиридин-2-ил |
610,3 |
| 307 |
5-(4-фторфенил)пиридин-2-ил |
585,4 |
| 308 |
5-(3,4-дифторфенил)пиридин-2-ил |
603,3 |
| 309 |
5-(3,5-диметилизоксазол-4-ил)пиридин-2-ил |
585,4 |
| 310 |
5-(1-метил-1Н-пиразол-4-ил)пиридин-2-ил |
571,4 |
| 311 |
5-(1Н-пиразол-4-ил)пиридин-2-ил |
557,3 |
| 312 |
5-(1-бензофуран-2-ил)пиридин-2-ил |
607,2 |
| 313 |
5-(1,3-бензодиоксол-5-ил)пиридин-2-ил |
611,3 |
| 314 |
5-(2-формилфенил)пиридин-2-ил |
595,3 |
| 315 |
4-(2′-формилбифенил)-4-ил |
594,3 |
| 316 |
5-(1,3-оксазол-2-ил)пиридин-2-ил |
558,4 |
| 317 |
6-(1,3-оксазол-2-ил)пиридин-3-ил |
558,4 |
| 318 |
4-(1,3-тиазол-2-ил)фенил |
573,2 |
| 319 |
5-(1,3-тиазол-2-ил)пиридин-2-ил |
574,2 |
| 320 |
6-(1,3-тиазол-2-ил)пиридин-3-ил |
574,2 |
| 321 |
6-(1Н-имидазол-1-ил)пиридин-3-ил |
557,4 |
| 322 |
5-(1Н-имидазол-1-ил)пиридин-2-ил |
557,4 |
| 323 |
6-фенилпиридин-3-ил |
567,3 |
| 324 |
5-(пиримидин-5-ил)пиридин-2-ил |
569,3 |
| 325 |
5-(пиримидин-2-ил)пиридин-2-ил |
569,3 |
| 326 |
5-(3-аминокарбонилфенил)пиридин-2-ил |
620,3 |
| 327 |
4-(1-метил-1H-имидазол-4-ил)фенил |
570,3 |
| 328 |
4-(1Н-имидазол-4-ил)фенил] |
556,4 |
| 329 |
5-[2-(гидроксиметил)фенил]пиридин-2-ил |
597,4 |
| 330 |
2′-(гидроксиметил)бифенил-4-ил |
596,2 |
| 331 |
5-{2-[(диметиламино)метил]фенил}пиридин-2-ил |
624,3 |
| 332 |
2′-[(диметиламино)метил]бифенил-4-ил |
623,3 |
Пример 333
Стадия A

Трет-бутил(4-оксоциклогексил)карбамат.
К раствору HCl соли транс-4-аминоциклогексанола (5 г, 33 ммоль) и 1-метилморфолина (9 мл, 82 ммоль) в ацетонитриле (35 мл) и воде (30 мл) на бане со льдом добавляют ди-трет-бутилдикарбонат (7,2 г, 33 ммоль). Смесь перемешивают при комнатной температуре в течение ночи и добавляют EtOAc. Органическую фазу выделяют. Водный слой дважды экстрагируют EtOAc. Объединенные органические фазы промывают насыщенным раствором соли, сушат над MgSO4 и концентрируют. К раствору оксалилхлорида (2,33 мл, 26,7 ммоль) в метиленхлориде (50 мл), охлажденном до -60°C, добавляют раствор ДМСО (4 мл, 56 ммоль) в метиленхлориде (5 мл) и затем раствор полученного выше транс-4-трет-бутоксикарбониламиноциклогексанола (5 г, 23 ммоль) в метиленхлориде (20 мл). После перемешивания при -60°C в течение 20 минут добавляют триэтиламин (16,1 мл, 116 ммоль). Смесь оставляют нагреваться до комнатной температуры и перемешивание продолжают в течение 30 минут. Добавляют воду. Органическую фазу выделяют и водный слой дважды экстрагируют метиленхлоридом. Объединенные органические фазы промывают насыщенным раствором соли, сушат над MgSO4 и концентрируют. Используя флэш-хроматографию, осуществляя градиентное элюирование от 3% до 5% до 10% MeOH/CH2Cl2, получают 4,5 г (90%) указанного в заголовке соединения. МС (М+H)+ 214, найдено: 236 (M+Na)+.
Стадия B

Трет-бутил(4-{(3R)-3-[({[3-(трифторметил)бензоил]амино}ацетил)амино]пирролидин-1-ил}циклогексил)карбамат.
К раствору кетона со стадии A (0,4 г, 1,9 ммоль) и промежуточного соединения пирролидина, полученного на стадии C примера 114 (0,4 г, 1,3 ммоль), в ТГФ (15 мл) добавляют триацетоксиборгидрид натрия (0,4 г, 1,9 ммоль). Реакционную смесь перемешивают при комнатной температуре в течение ночи и гасят, добавляя водный NaHCO3. Полученный раствор трижды экстрагируют EtOAc. Объединенные органические фазы промывают NaHCO3 и насыщенным раствором соли, сушат над MgSO4 и концентрируют. Используя флэш-хроматографию и осуществляя градиентное элюирование 0-20% MeOH/CH2Cl2, получают 300 мг указанного в заголовке соединения. МС вычислено: (M+H)+ 513, найдено: 513.
Стадия C

N-(2-{[1-((3R)-4-аминоциклогексил)пирролидин-3-ил]амино}-2-оксоэтил)-3-(трифторметил)бензамид.
Промежуточное соединение со стадии B (256 мг, 0,5 ммоль) растворяют в растворе 4н. HCl в диоксане (10 мл). После перемешивания при комнатной температуре в течение 1 часа раствор концентрируют, получая твердое вещество. МС вычислено: (M+H)+ 413, найдено: 413,1.
Стадия D

N-[2-({(3R)-1-[4-(бензоиламино)циклогексил]пирролидин-3-ил}амино)-2-оксоэтил]-3-(трифторметил)бензамид.
К раствору амина со стадии C (80 мг, 0,18 ммоль) в метиленхлориде (2 мл) добавляют бензоилхлорид (25 мкл, 0,21 ммоль) и затем триэтиламин (62 мкл, 0,45 ммоль). После перемешивания при комнатной температуре в течение 2 часов раствор концентрируют. Используя флэш-хроматографию и элюирование 0-20% MeOH/CH2Cl2, получают указанное в заголовке соединение. МС вычислено: (M+H)+ 517, найдено: 517,1.
Приводимые ниже в примерах соединения получают, используя аналогичный способ примера 333.

Пример  |
R |
МС (М+H)+ |
| 334 |
пиридин-2-ил |
518 |
| 335 |
пиридин-3-ил |
518 |
| 336 |
пиридин-4-ил |
518 |
| 337 |
6-метилпиридин-2-ил |
532 |
| 338 |
5-метилпиридин-2-ил |
532 |
| 339 |
4-метилпиридин-2-ил |
532 |
| 340 |
6-метоксипиридин-2-ил |
548 |
| 341 |
хинолин-4-ил |
568 |
Пример 342
Стадия A

3H-спиро[бицикло[3.2.1]октан-8,2′-[l,3]диоксолан]-3-он.
Указанное в заголовке соединение получают в соответствии со способом, раскрытым в литературе (M. Povarny et al. Tetrahedron Lett. 1984, 25, 1311-1312 и приведенным там ссылками). МС вычислено: (M+H)+ 183, найдено: 183,0.
Стадия B

3-пиридин-2-илспиро[бицикло[3.2.1]октан-8,2′-[l,3]диоксолан]-3-ол.
К раствору 2-бромпиридина (0,04 мл, 0,422 ммоль) в эфире (2 мл), охлажденному до -78°C, добавляют 2,5М раствор бутиллития в гексанах (0,17 мл, 0,425 ммоль). После перемешивания при -78°C в течение 1 часа добавляют раствор кетона, полученного на стадии A (70 мг, 0,384 ммоль), в эфире (2 мл). Перемешивание продолжают при -78°C в течение 2 часов и реакционную смесь оставляют нагреваться до 0°C, прежде чем ее гасят раствором аммонийхлорида. Полученный раствор трижды экстрагируют эфиром. Объединенные эфирные слои сушат над MgSO4 и концентрируют. В результате хроматографии на силикагеле, элюируя смесью 50% EtOAc/гексаны, получают 58 мг (60%) указанного в заголовке соединения. МС вычислено: (M+H)+ 262, найдено: 262,1.
Стадия C

3-гидрокси-3-пиридин-2-илбицикло[3.2.1]октан-8-он.
Кеталь (58 мг, 0,22 ммоль), полученный на стадии B, растворяют в MeOH (2 мл) и 10% HCl (1 мл). После перемешивания при комнатной температуре в течение ночи раствор кипятят с обратным холодильником в течение 10 минут и нейтрализуют, добавляя раствор NaOH после охлаждения до комнатной температуры. Полученный раствор конденсируют на роторном испарителе при пониженном давлении, получая неочищенный продукт, который используют на следующей стадии без дополнительной очистки. МС вычислено: (M+H)+ 218, найдено: 218,0.
Стадия D

N-(2-{[(3R)-1-(3-гидрокси-3-пиридин-2-илбицикло[3.2.1]окт-8-ил)пирролидин-3-ил]амино}-2-оксоэтил)-3-(трифторметил)бензамид.
В результате восстановительного аминирования кетона, полученного выше, производным пирролидина, полученным на стадии B примера 1, используя способ аналогично раскрытому на стадии D примера 1, получают указанное в заголовке соединение в виде смеси (2:3) двух изомеров. МС вычислено: (M+H)+ 517, найдено: 517,1.
Пример 343

N-[2-({(3R)-1-[3-гидрокси-3-(5-метилпиридин-2-ил)бицикло[3.2.1]окт-8-ил]пирролидин-3-ил}амино)-2-оксоэтил]-3-(трифторметил)бензамид.
Указанное в заголовке соединение получают, используя аналогичный способ примера 342. МС вычислено: (M+H)+ 531, найдено: 531,2.
Пример 344

N-(2-{[(3R)-1-(3-гидрокси-3-пиридин-3-илбицикло[3.2.1]окт-8-ил)пирролидин-3-ил]амино}-2-оксоэтил)-3-(трифторметил)бензамид.
Указанное в заголовке соединение получают, используя аналогичный способ примера 342. МС вычислено: (M+H)+ 517, найдено: 517,1.
Пример 345

N-[2-({(3R)-1-[3-гидрокси-3-(6-метоксипиридин-3-ил)бицикло[3.2.1]окт-8-ил]пирролидин-3-ил}амино)-2-оксоэтил]-3-(трифторметил)бензамид.
Указанное в заголовке соединение получают, используя аналогичный способ примера 342. МС вычислено: (M+H)+ 547, найдено: 547,2.
Пример 346
Стадия А

Трет-бутил[(3R)-1-спиро[бицикло[3.2.1]октан-8,2′-[l,3]диоксолан]-3-илпирролидин-3-ил]карбамат.
К раствору кетона (0,1 г, 0,55 ммоль), полученного на стадии А примера 342, и (3R)-(+)-3-(трет-бутоксикарбониламино)пирролидина (0,1 г, 0,55 ммоль) в метиленхлориде (4 мл) добавляют триацетоксиборгидрид натрия (0,13 г, 0,60 ммоль). Реакционную смесь перемешивают при комнатной температуре в течение ночи и гасят, используя водный раствор бикарбоната натрия. Полученный раствор трижды экстрагируют EtOAc. Объединенные EtOAc слои сушат над MgSO4 и концентрируют. Используя флэш-хроматографию на силикагеле, элюируя смесью 30% EtOAc/гексан, EtOAc и затем 10% MeOH/CH2Cl2, получают два изомера указанного в заголовке соединения. МС вычислено: (M+H)+ 353, найдено: 353,1.
Стадия B

Трет-бутил[(3R)-1-(8-оксобицикло[3.2.1]окт-3-ил)пирролидин-3-ил]карбамат.
Полученный выше изомер 1 (30 мг, 0,085 ммоль) растворяют в MeOH (1 мл) и 2н. растворе HCl (0,5 мл). Раствор перемешивают при комнатной температуре в течение ночи и кипятят с обратным холодильником при 110°C в течение 2 часов. После того как раствор охлаждают до комнатной температуры, раствор нейтрализуют раствором NaOH. Добавляют раствор ди-трет-бутилдикарбоната (50 мг) в ТГФ (2 мл) и затем триэтиламин (0,05 мл). После перемешивания при комнатной температуре в течение ночи раствор разбавляют EtOAc. Органическую фазу выделяют и водный слой дважды экстрагируют EtOAc. Объединенные органические фазы сушат над MgSO4 и концентрируют. Используя флэш-хроматографию на силикагеле, осуществляя градиентное элюирование CH2Cl2, 5%, 10% и 20% MeOH/CH2Cl2, получают 10 мг указанного в заголовке соединения. МС вычислено: (M+H)+ 309, найдено: 309,0.
Стадия C

Трет-бутил[(3R)-1-(8-гидрокси-8-фенилбицикло[3.2.1]окт-3-ил)пирролидин-3-ил]карбамат.
К раствору кетона, полученного на стадии B (65 мг, 0,21 ммоль), в ТГФ (2 мл) и охлажденному на бане со льдом, добавляют 1М раствор фенилмагнийбромида в ТГФ (0,25 мл). После перемешивания при -78°C в течение 3 часов реакцию гасят, используя водный раствор аммонийхлорида. Полученный раствор трижды экстрагируют EtOAc. Объединенные EtOAc слои сушат над MgSO4 и концентрируют. Используя флэш-хроматографию на силикагеле, элюируя 5%, 10% и 50% MeOH/CH2Cl2, получают 27 мг указанного в заголовке соединения в виде смеси двух изомеров (7:3). МС вычислено: (M+H)+ 387, найдено: 387,1.
Стадия D

N-(2-{[(3R)-1-(8-гидрокси-8-фенилбицикло[3.2.1]окт-3-ил)пирролидин-3-ил]амино}-2-оксоэтил)-3-(трифторметил)бензамид.
Спирт, полученный на стадии C (27 мг, 0,07 ммоль), растворяют в 2 мл 4н. HCl в диоксане. После перемешивания при комнатной температуре в течение 1 часа раствор концентрируют. Остаток помещают в ДМФА (1 мл). Добавляют карбоновую кислоту, полученную на стадии A примера 1 (25 мг, 0,1 ммоль), а затем BOP (45 мг, 0,1 ммоль) и триэтиламин (0,05 мл, 0,36 ммоль). Смесь перемешивают при комнатной температуре в течение 5 часов и разбавляют EtOAc. Полученный раствор промывают бикарбонатом натрия и насыщенным раствором соли, сушат над MgSO4 и концентрируют. Очищая с помощью ВЭЖХ с обращенной фазой, получают 22 мг указанного в заголовке соединения в виде смеси двух изомеров (7:3). МС вычислено: (M+H)+ 516, найдено: 516,1. Используя способ, аналогично раскрытому выше, изомер 2 со стадии A превращают в указанное в заголовке соединение в виде отдельного изомера. МС вычислено: (M+H)+ 516, найдено: 516,1.
Пример 347
Стадия A

Бицикло[2.2.1]гепт-2-ен-5-он.
Указанное в заголовке соединение получают в соответствии с раскрытым в литературе способом (G.T. Wang et al. J. Org. Chem. 2001, 66, 2052-2056).
Стадия B

2-фенилбицикло[2.2.1]гепт-5-ен-2-ол.
Указанное в заголовке соединение получают в соответствии с раскрытым в литературе способом (C.J. Collins, B. M. Benjamin, J. Am. Chem. Soc. 1967, 89, 1652-1661).
Стадия С

2-фенилбицикло[2.2.1]гептан-2,5-диол.
Указанное в заголовке соединение получают в соответствии с раскрытым в литературе способом (C.J. Collins, B. M. Benjamin, J. Org. Chem. 1972, 37,4358-4366).
Стадия D

5-гидрокси-5-фенилбицикло[2.2.1]гептан-2-он.
Указанное в заголовке соединение получают окислением по Сверну спирта, полученного выше. МС вычислено: (M+H)+ 203, найдено: 203 и 225 (M+Na)+.
Стадия E

N-(2-{[(3R)-1-(5-гидрокси-5-фенилбицикло[2.2.1]гепт-2-ил)пирролидин-3-ил]амино}-2-оксоэтил)-3-(трифторметил)бензамид.
К раствору кетона, полученного на стадии D примера 45 (0,28 г, 1,38 ммоль), и промежуточного соединения пирролидина, полученного на стадии B примера 1 (0,43 г, 1,38 ммоль), в ТГФ (15 мл) добавляют уксусную кислоту (0,1 мл). После того как смесь перемешивают при 50°C в течение 30 минут, раствор концентрируют. Остаток добавляют в ТГФ (5 мл). Добавляют триацетоксиборгидрид натрия (300 мг, 1,42 ммоль). После перемешивания при комнатной температуре в течение ночи реакцию гасят, используя водный раствор NaHCO3. Раствор трижды экстрагируют EtOAc. Объединенные органические фазы промывают насыщенным раствором соли, сушат над MgSO4 и концентрируют. В результате очистки ВЭЖХ с обращенной фазой получают указанное в заголовке соединение в виде соли TFA. МС вычислено: (M+H)+ 502, найдено: 502.
Пример 348

N-(2-{[(3R)-1-(5-гидрокси-5-пиридин-2-илбицикло[2.2.1]гепт-2-ил)пирролидин-3-ил]амино}-2-оксоэтил)-3-(трифторметил)бензамид.
Указанное в заголовке соединение получают, используя аналогичный способ примера 347. МС вычислено: (M+H)+ 503, найдено: 503.
Пример 349

N-(2-{[(3R)-1-(5-гидрокси-5-пиридин-3-илбицикло[2.2.1]гепт-2-ил)пирролидин-3-ил]амино}-2-оксоэтил)-3-(трифторметил)бензамид.
Указанное в заголовке соединение получают, используя аналогичный способ примера 347. МС вычислено: (M+H)+ 503, найдено: 503.
Пример 350

N-[2-({(3R)-1-[5-гидрокси-5-(6-метоксипиридин-3-ил)бицикло[2.2.1]гепт-2-ил]пирролидин-3-ил}амино)-2-оксоэтил]-3-(трифторметил)бензамид.
Указанное в заголовке соединение получают, используя аналогичный способ примера 347. МС вычислено: (M+H)+ 533, найдено: 533.
Пример 351

N-(2-{[(3R)-1-(5-гидрокси-5-пиридин-4-илбицикло[2.2.1]гепт-2-ил)пирролидин-3-ил]амино}-2-оксоэтил)-3-(трифторметил)бензамид.
Указанное в заголовке соединение получают, используя аналогичный способ примера 347. МС вычислено: (M+H)+ 503, найдено: 503.
Пример 352
Стадия A

Трет-бутил-(2S,4R)-4-гидрокси-2-метилпирролидин-1-карбоксилат.
Указанное в заголовке соединение получают в соответствии со способом, раскрытым в литературе (T. Rosen, et al. J. Med. Chem. 1988, 31, 1598-1611).
Стадия B

Трет-бутил-(2S,4S)-4-(бензоилокси)-2-метилпирролидин-1-карбоксилат.
К раствору спирта со стадии A (0,81 г, 4,0 ммоль), бензойной кислоты (0,74 г, 6,0 ммоль) и трифенилфосфина (2,11 г, 8,0 ммоль) в толуоле (20 мл) добавляют DIAD (1,67 мл, 8,0 ммоль). После перемешивания при комнатной температуре в течение 4 часов раствор концентрируют. Остаток очищают флэш-хроматографией, элюируя смесью 0%, 5% и 20% EtOAc/гексаны, и получают 1,0 г указанного в заголовке соединения. МС вычислено: (M+H)+ 308, найдено: 308,1.
Стадия C

Трет-бутил-(2S,4S)-4-гидрокси-2-метилпирролидин-1-карбоксилат.
К раствору сложного эфира со стадии B (1,0 г, 3,48 ммоль) в MeOH (30 мл) добавляют K2CO3 (1,2 г, 8,7 ммоль). После перемешивания при комнатной температуре в течение 4 часов раствор концентрируют. Остаток помещают в эфир. Полученный раствор промывают насыщенным раствором соли, сушат над MgSO4 и концентрируют. Используя флэш-хроматографию, осуществляя градиентное элюирование от 0% до 20% до 40% EtOAc/гексаны, получают 0,56 г указанного в заголовке соединения. МС вычислено: (M+H)+ 202, найдено: 202,1.
Стадия D

Трет-бутил-(2S,4R)-4-азидо-2-метилпирролидин-1-карбоксилат.
К раствору спирта со стадии C (0,55 г, 2,73 ммоль) в метиленхлориде (30 мл), охлажденному на бане со льдом, добавляют триэтиламин (0,51 мл, 3,69 ммоль), затем метансульфонилхлорид (0,29 мл, 3,69 ммоль). После перемешивания на бане со льдом в течение 30 минут реакционную смесь продолжают перемешивать при комнатной температуре в течение 40 минут. Раствор промывают водой, сушат над MgSO4 и концентрируют. Полученный выше остаток растворяют в ДМФА (15 мл) и добавляют NaN3 (1,06 г, 16,3 ммоль). Смесь перемешивают при 50°C в течение ночи и разбавляют трет-бутилметиловым эфиром. Полученный раствор промывают насыщенным раствором соли, 5% лимонной кислотой и насыщенными растворами NaHCO3, сушат над MgSO4 и концентрируют, получая 0,58 г указанного в заголовке соединения. МС вычислено: (M+H)+ 227, найдено: 227,2.
Стадия E

Трет-бутил-(2S,4R)-4-амино-2-метилпирролидин-1-карбоксилат.
К раствору полученного выше азидосоединения (0,58 г, 2,56 ммоль) в MeOH (30 мл) добавляют 5% Pd/C (100 мг). Смесь перемешивают в атмосфере водорода (баллон) в течение 3 часов. Катализатор отфильтровывают и фильтрат концентрируют, получая 0,5 г указанного в заголовке соединения. МС вычислено: (M+H)+ 201, найдено: 201,1.
Стадия F

Трет-бутил-(2S,4R)-2-метил-4-[({[3-(трифторметил)бензоил]амино}ацетил)амино]пирролидин-1-карбоксилат.
К раствору амина со стадии D (0,5 г, 2,5 ммоль), карбоновой кислоты, полученной на стадии А примера 114, и триэтиламина (0,7 мл, 5,0 ммоль) в метиленхлориде (25 мл), охлажденному на бане со льдом, добавляют EDC (0,53 г, 2,75 ммоль). После перемешивания при комнатной температуре в течение ночи раствор концентрируют. Остаток очищают на силикагеле, осуществляя градиентное элюирование 0-4% MeOH/CH2Cl2, получают 0,6 г указанного в заголовке соединения. МС вычислено: (M+H)+ 430, найдено: 430,1.
Стадия G

N-(2-{[(3R,5S)-5-метилпирролидин-3-ил]амино}-2-оксоэтил)-3-(трифторметил)бензамид.
Промежуточное соединение со стадии F (0,6 г, 1,4 ммоль) растворяют в MeOH (3 мл) и растворе 4н. HCl в диоксане (3 мл). После перемешивания при комнатной температуре в течение 4 часов раствор концентрируют, получая 0,56 г указанного в заголовке соединения. МС вычислено: (M+H)+ 330, найдено: 330,2.
Стадия H

N-(2-{[(3R,5S)-1-(4-гидрокси-4-фенилциклогексил)-5-метилпирролидин-3-ил]амино}-2-оксоэтил)-3-(трифторметил)бензамид.
Указанное в заголовке соединение получают в результате восстановительного аминирования амина со стадии G 4-гидрокси-4-фенилкетоном, используя аналогичный способ примера 114. МС вычислено: (M+H)+ 504, найдено: 504,1.
Приводимые ниже в примерах соединения получают, используя аналогичный способ примера 352.

Пример  |
R |
МС (М+H)+ |
| 353 |
4-метилфенил |
518 |
| 354 |
пиридин-2-ил |
505 |
| 355 |
5-метилпиридин-2-ил |
519 |
| 356 |
пиридин-3-ил |
505 |
| 357 |
6-метоксипиридин-3-ил |
535 |
| 358 |
пиридин-4-ил |
505 |
Пример 359

2-(1,3-бензотиазол-2-иламино)-N-[(3R)-1-(4-гидрокси-4-пиридин-2-илциклогексил)пирролидин-3-ил]ацетамид.
Смесь 2-амино-N-[(3R)-1-(4-гидрокси-4-пиридин-2-илциклогексил)пирролидин-3-ил]ацетамида (0,080 г, 0,25 ммоль), Et3N (0,35 мл, 2,5 ммоль) и 2-хлорбензотиазола (0,424 г, 2,5 ммоль) в изопропаноле перемешивают в течение ночи при 90°C. Реакционную смесь концентрируют и подвергают хроматографии, получая 55 мг указанного в заголовке соединения с выходом 49%. МС(EI) вычислено: (M+H)+=452,2; найдено: 452,2.
Пример 360

N-[(3R)-1-(4-гидрокси-4-пиридин-2-илциклогексил)пирролидин-3-ил]-2-{[5-(трифторметил)пиримидин-2-ил]амино}ацетамид.
Указанное в заголовке соединение получают, используя аналогичный способ примера 359. МС(EI) вычислено: (M+H)+=465,2; найдено: 465,1.
Пример 361

N-[1-({[(3R)-1-(4-фенилциклогексил)пирролидин-3-ил]амино}карбонил)циклопропил]-3-(трифторметил)бензамид.
Указанное в заголовке соединение получают, используя аналогичный способ примера 114. МС(EI): Вычислено: (M+H)+ 500,2, найдено: 500,4. 1ЯМР (CDCl3) : 8,61 (1H, д), 8,21 (1Н, с), 8,15 (1H, д), 7,78 (1Н, с), 7,75 (1H, д), 7,58 (1Н, дд), 7,22 (5H, м), 4,81 (1Н, м), 3,8 (1Н, м), 3,62 (1Н, дд), 3,17 (1Н, м), 2,92 (2H, м), 2,8 (1H, м), 2,48 (1H, м), 2,18 (2H, м), 2,1 (2H, м), 1,75 (3H, м), 1,55 (4H, м), 1,18 (2H, м).
Пример 362
Стадия A

Этил-2-(фторметил)акрилат.
К раствору этил-2-(гидроксиметил)акрилата (5 г, 38 ммоль) в 50 мл метиленхлорида добавляют DAST (6,0 мл, 46,1 ммоль) при -78°C. Реакционную смесь перемешивают при -78°C в течение 1 часа, затем нагревают до комнатной температуры и непрерывно перемешивают в течение ночи. Добавляют 20 мл насыщенного водного раствора NaHCO3 и 20 мл этилацетата, чтобы погасить реакцию. Органический слой выделяют и водный слой дважды экстрагируют EtOAc (20 мл×2). Объединенные органические экстракты сушат над MgSO4 и выпаривают, получая маслянистый остаток (2,8 г, выход: 56%). МС (m/z): 131 (M+1)+.
Стадия B

Этил-1-бензил-3-(фторметил)пирролидин-3-карбоксилат.
К раствору N-бензил-1-метокси-N-[(триметилсилил)метил]метанамина (2,5 г, 21 ммоль) и этил-2-(фторметил)акрилата (5,0 г, 21 ммоль) в метиленхлориде (30 мл) добавляют TFA (0,15 мл, 2,1 ммоль) при 0°C. Реакционную смесь перемешивают при 0°C в течение ночи. Добавляют 20 мл насыщенного водного раствора NaHCO3 и 20 мл этилацетата, чтобы погасить реакцию. Органический слой выделяют и водный слой дважды экстрагируют EtOAc (20 мл×2). Объединенные органические экстракты сушат над MgSO4 и выпаривают, получая маслянистый остаток. В результате хроматографии на силикагеле смесью 10% EtOAc-гексан получают 1,27 г (4,8 ммоль, выход: 23%) этил-1-бензил-3-(фторметил)пирролидин-3-карбоксилата: 1ЯМР (400 МГц, CDCl3) : 7,39-7,20 (5H, м), 4,62-4,44 (2H, м), 4,18-4,21 (2H, м), 3,62 (2H, с), 2,81-2,72 (2H, м), 2,60-2,50 (2H, м), 2,22 (2H, с), 1,25 (3H, т, J=6,7 Гц); МС (m/е): 266 (М+1)+.
Стадия C

Этил-3-(фторметил)пирролидин-3-карбоксилат.
К раствору 1,27 г (4,8 ммоль) этил-1-бензил-3-(фторметил)пирролидин-3-карбоксилата в 20 мл метанола добавляют 500 мг Pd/C (10% на угле) и 1,5 г (24 ммоль) HCOONH4. Реакционную смесь кипятят с обратным холодильником в течение 1 часа, фильтруют через слой целита и выпаривают, получая остаток. Остаток затем растворяют в этилацетате, полученный раствор промывают насыщенным водным раствором NaHCO3, насыщенным раствором соли, сушат над Na2SO4, выпаривают, получая конечный неочищенный продукт (426 мг, 2,4 ммоль, выход: 50%): МС (m/e): 176 (M+H)+.
Стадия D

1-трет-бутил-3-этил-3-(фторметил)пирролидин-1,3-дикарбоксилат.
К раствору этил-3-(фторметил)пирролидин-3-карбоксилата (2,4 ммоль) в 20 мл метиленхлорида добавляют 786 мг (Boc)2O (3,6 ммоль) и 0,67 мл (4,8 ммоль) триэтиламина при комнатной температуре. Реакционную смесь перемешивают в течение ночи. В результате непосредственной хроматографии на силикагеле получают 562 мг (2,0 ммоль, выход: 85%) нужного продукта, 1-трет-бутил-3-этил-3-(фторметил)пирролидин-1,3-дикарбоксилата: 1ЯМР (400 МГц, CDCl3) : 4,65-4,42 (2H, м), 4,28-4,19 (2H, м), 3,80-3,72 (1Н, м), 3,56-3,40 (3H, м), 2,40-2,20 (1Н, м), 2,08-1,93 (1H, м), 1,45 (9H, с), 1,1,32-1,25 (3H, м); МС (m/е): 276 (М+1)+.
Стадия E

1-(трет-бутоксикарбонил)-3-(фторметил)пирролидин-3-карбоновая кислота.
К раствору 562 мг 1-трет-бутил-3-этил-3-(фторметил)пирролидин-1,3-дикарбоксилата (2,0 ммоль) в 10 мл ТГФ и 5 мл воды добавляют 420 мг LiOH·H2О (10 ммоль) при комнатной температуре. Реакционную смесь перемешивают в течение 5 часов. Реакционную смесь гасят, используя водный раствор HCl, и доводят pH до 3-4, экстрагируют этилацетатом дважды (20 мл×2). Объединенные экстракты промывают насыщенным раствором соли, сушат над Na2SO4, выпаривают, получая конечный продукт (530 мг, 2,0 ммоль), 1-(трет-бутоксикарбонил)-3-(фторметил)пирролидин-3-карбоновую кислоту: 1ЯМР (400 МГц, CDCl3) : 4,70-4,22 (2H, м), 3,81-3,75 (1Н, м), 3,60-3,41 (3H, м), 2,41-2,30 (1Н, м), 2,10-1,99 (1H, м), 1,47 (9H, с); МС (m/е): 248 (М+1)+.
Стадия F

Трет-бутил-3-{[(бензилокси)карбонил]амино}-3-(фторметил)пирролидин-1-карбоксилат.
К раствору 530 мг (2,0 ммоль) 1-(трет-бутоксикарбонил)-3-(фторметил)пирролидин-3-карбоновой кислоты в толуоле (30 мл) добавляют 0,69 мл (3,2 ммоль) DPPA и 0,36 мл (2,6 ммоль) триэтиламина. Реакционную смесь перемешивают при 110°C в течение 4 часов. Затем добавляют 0,33 мл (3,2 ммоль) бензилового спирта и реакционную смесь перемешивают в течение ночи при 110°C. Смесь охлаждают и выпаривают, получая остаток. Остаток растворяют в метиленхлориде, промывают 5% водным раствором лимонной кислоты, насыщенным водным раствором K2CO3, насыщенным раствором соли, сушат над Na2SO4, выпаривают. В результате хроматографии на силикагеле получают 540 мг (1,53 ммоль, выход: 73%) нужного продукта, трет-бутил-3-{[(бензилокси)карбонил]амино}-3-(фторметил)пирролидин-1-карбоксилата: 1ЯМР (400 МГц, CDCl3) : 7,40-7,35 (5H, м), 5,10 (2H, с), 4,94 (1H, с), 4,70-4,50 (2H, м), 3,60-3,40 (4H, м), 2,40-2,00 (2H, м), 1,45 (9H, с); МС (m/е): 353 (М+1)+.
Стадия G

Трет-бутил-3-амино-3-(фторметил)пирролидин-1-карбоксилат.
К раствору 540 мг (1,53 ммоль) трет-бутил-3-{[(бензилокси)карбонил]амино}-3-(фторметил)пирролидин-1-карбоксилата в 10 мл метанола добавляют 330 мг (10% на угле) Pd/C. Суспензию перемешивают при комнатной температуре в атмосфере H2 (баллон) в течение 2 часов. Реакционную смесь фильтруют через слой целита, выпаривают, получая 337 мг (1,52 ммоль, выход: 99%) неочищенного продукта, трет-бутил-3-амино-3-(фторметил)пирролидин-1-карбоксилата: МС (m/e): 219 (M+1)+.
Стадия H

Трет-бутил-3-(фторметил)-3-[({[3-(трифторметил)бензоил]амино}ацетил)амино]пирролидин-1-карбоксилат.
337 мг (1,52 ммоль) трет-бутил-3-амино-3-(фторметил)пирролидин-1-карбоксилата, 457 мг (1,85 ммоль) {[3-(трифторметил)бензоил]амино}уксусной кислоты, BOP реагент (817 мг, 1,85 ммоль) и 0,64 мл (4,6 ммоль) триэтиламина растворяют в 15 мл ДМФА при комнатной температуре. Реакционную смесь перемешивают при комнатной температуре в течение ночи. В результате непосредственной хроматографии на силикагеле (флэш-хроматография), используя смесь 50% этилацетат-гексан, получают 578 мг (1,29 ммоль, 84%) трет-бутил-3-(фторметил)-3-[({[3-(трифторметил)бензоил]амино}ацетил)амино]пирролидин-1-карбоксилата: 1ЯМР (400 МГц, CDCl3) : 8,15-8,12 (1H, м), 8,05-7,98 (1Н, м), 7,81-7,77 (1H, м), 7,63-7,58 (1Н, м), 6,64-6,62 (1Н, м), 4,20-4,16 (2H, м), 3,61-3,57 (2H, м), 3,55-3,42 (1H, м), 2,98-2,94 (2H, м), 2,90-2,86 (2H, м), 1,62-1,60 (2H, м), 1,45 (9H, с); МС (m/е): 448 (М+1)+.
Стадия I

N-(2-{[3-(фторметил)пирролидин-3-ил]амино}-2-оксоэтил)-3-(трифторметил)бензамид.
К раствору 578 мг (1,29 ммоль) трет-бутил-3-(фторметил)-3-[({[3-(трифторметил)бензоил]амино}ацетил)амино]пирролидин-1-карбоксилата в 5 мл ТГФ добавляют 2 мл 4н. раствора HCl в диоксане. Реакционную смесь перемешивают при комнатной температуре в течение 1 часа и выпаривают, получая твердое вещество желтого цвета, HCl соль N-(2-{[3-(фторметил)пирролидин-3-ил]амино}-2-оксоэтил)-3-(трифторметил)бензамида: МС (m/e): 347 (M+1)+.
Стадия J

N-(2-{[3-(фторметил)-1-(4-гидрокси-4-фенилциклогексил)пирролидин-3-ил]амино}-2-оксоэтил)-3-(трифторметил)бензамид.
100 мг (0,53 ммоль) 4-гидрокси-4-фенилциклогексанона и 184 мг (0,53 ммоль) N-(2-{[3-(фторметил)пирролидин-3-ил]амино}-2-оксоэтил)-3-(трифторметил)бензамида растворяют в 10 мл метиленхлорида. К раствору добавляют 221 мг (1,06 ммоль) триацетоксиборгидрида натрия. Реакционную смесь перемешивают при комнатной температуре в течение 2 часов. В результате непосредственной хроматографии на силикагеле получают нужный продукт: 41 мг (верхнее пятно на ТСХ и первый пик на хроматограмме ВЭЖХ, выход: 16,7%, МС: 522 (M+1)+ и другой изомер: 51 мг (второй пик на хроматограмме ВЭЖХ, выход: 20%, МС: 522 (M+1)+.
Пример 363
Стадия A

(3a’R,6a’S)-тетрагидро-1’H-спиро[l,3-диоксолан-2,2′-пентален]-5′(3’H)-он.
Цис-тетрагидропентален-2,5(1Н,3H)-дион (5 г, 36 ммоль) и этиленгликоль (2,3 г, 36 ммоль) растворяют в толуоле. К полученному раствору добавляют PTSA (684 мг, 3,6 ммоль). Реакционную смесь кипятят с обратным холодильником в течение 12 часов, при этом удаляют образующуюся воду. В результате непосредственной хроматографии на силикагеле получают 2,0 г (11 ммоль, выход: 31%) нужного продукта, (3a’R,6a’S)-тетрагидро-1’H-спиро[1,3-диоксолан-2,2′-пентален]-5′(3H)-она: МС (m/e): 183 (M+1)+.
Стадия B

(3a’R,6a’S)-5′-(6-метоксипиридин-3-ил)гексагидро-1’H-спиро[1,3-диоксолан-2,2′-пентален]-5′-ол.
Раствор 5-бром-2-метоксипиридина (1 г, 5,3 ммоль) в 50 мл сухого ТГФ в атмосфере азота охлаждают до -78°C. По каплям добавляют н-бутиллитий (3,5 мл, 5,6 ммоль, 1,6М раствор в гексане). Оранжевый раствор перемешивают в течение дополнительно 1 часа при -78°C и затем обрабатывают по каплям в течение 10 минут раствором моноэтиленкеталя 1,4-циклогександиона (960 мг, 5,3 ммоль) в 20 мл сухого ТГФ. Реакционную смесь перемешивают в течение 1 часа, оставляют нагреться до 20°C и выливают в ледяную воду (400 мл). Органический слой выделяют и водный слой дважды экстрагируют EtOAc (20 мл×2). Объединенные органические экстракты сушат над MgSO4 и выпаривают. В результате хроматографии на силикагеле получают 1,08 г (3,7 ммоль, выход: 70%) белых кристаллов, (3a’R,6a’S)-5′-(6-метоксипиридин-3-ил)гексагидро-1’H-спиро[1,3-диоксолан-2,2′-пентален]-5′-ола: МС: 292 (М+1)+.
Стадия C

(3aR,6aS)-5-гидрокси-5-(6-метоксипиридин-3-ил)гексагидропентален-2(1H)-он.
Указанное в заголовке соединение синтезируют из (3a’R,6a’S)-5′-(6-метоксипиридин-3-ил)гексагидро-1’Н-спиро[1,3-диоксолан-2,2′-пентален]-5′-ола, используя обычную методику удаления защитных групп.
Стадия D

N-[2-({(3R)-1-[(3aR,6aS)-5-гидрокси-5-(6-метоксипиридин-3- ил)октагидропентален-2-ил]пирролидин-3-ил}амино)-2-оксоэтил]-3-(трифторметил)бензамид.
Указанное в заголовке соединение синтезируют, используя аналогичный способ примера 114. МС (М+H)+ 547.
Пример 364

N-[2-({(3R)-1-[(3aR,6aS)-5-гидрокси-5-фенилоктагидропентален-2-ил]пирролидин-3-ил}амино)-2-оксоэтил]-3-(трифторметил)бензамид.
Указанное в заголовке соединение получают, используя аналогичный способ примера 363. МС (М+H)+ 516.
Пример 365

N-[2-({(3R)-1-[(3aR,6aS)-5-гидрокси-5-пиридин-3-илоктагидропентален-2-ил]пирролидин-3-ил}амино)-2-оксоэтил]-3-(трифторметил)бензамид.
Указанное в заголовке соединение получают, используя аналогичный способ примера 363. МС (М+H)+ 517.
Пример 366
Стадия A

5-пиридин-3-илспиро[бицикло[2.2.2]октан-2,2′-[1,3]диоксолан]-5-ол.
Раствор 3-бромпиридина (1,13 г, 7,13 ммоль) растворяют в сухом эфире в атмосфере азота, охлаждают до -78°C и затем по каплям добавляют н-бутиллитий (4,50 мл, 7,13 ммоль, 1,6М в гексане). Через 30 минут по каплям добавляют раствор 5H-спиро[бицикло[2.2.2]октан-2,2′-[1,3]диоксолан]-5-она (0,65 г, 3,56 ммоль, J. Org. Chem. 1991, 56, 1052-1058) в эфире и полученную смесь перемешивают в течение двух часов при -78°C. Смесь затем нагревают до 0°C и разбавляют этилацетатом. Органический экстракт промывают NaHCO3/H2O и насыщенным раствором соли и затем сушат над MgSO4, фильтруют и концентрируют. Остаток подвергают хроматографии на силикагеле, используя этилацетат в качестве элюента, получая два изомерных продукта в виде белого твердого вещества: продукт с более высоким Rf, 0,294 г (32%); продукт с более низким Rf, 0,220 г (24%). Продукт с более высоким Rf: 1ЯМР (CDCl3) : 8,87 (с, 1H), 8,49 (д, 1H), 7,91 (дт, 1H), 7,27 (м, 1H), 3,92 (м, 4H), 2,69 (дт, 1Н), 2,20 (м, 1H), 1,85-2,15 (м, 3H), 1,60-1,83 (м, 4H), 1,50 (м, 1Н). Продукт с более низким Rf: 1ЯМР (CDCl3) : 8,80 (с, 1H), 8,50 (д, 1H), 7,86 (дт, 1H), 7,29 (м, 1H), 3,90-4,10 (м, 4H), 2,44 (дт, 1H), 2,33 (дд, 1H), 2,15-2,27 (м, 2Н), 2,00 (м, 1H), 1,75-1,88 (м, 2H), 1,70 (м, 1H), 1,51 (м, 2H), 1,34 (м, 1H).
Стадия B

5-гидрокси-5-пиридин-3-илбицикло[2.2.2]октан-2-он.
Спирт со стадии A (изомер с более высоким Rf, 0,290 г, 1,11 ммоль) растворяют в ТГФ (10 мл) в атмосфере азота. Добавляют хлористоводородную кислоту (2,0 мл, 4,0М водный раствор, 8,0 ммоль) и смесь перемешивают в течение 4 часов при комнатной температуре. Смесь затем разбавляют NaHCO3/H2O и дважды экстрагируют этилацетатом. Экстракты промывают насыщенным раствором соли, сушат над MgSO4, фильтруют и концентрируют, получая светло-желтое твердое вещество, 0,204 г (85%). Неочищенный продукт 2 используют непосредственно на следующей стадии без дополнительной очистки. 1ЯМР (CDCl3) : 8,74 (с, 1H), 8,52 (д, 1H), 7,72 (дт, 1H), 7,30 (дд, 1H), 2,66 (дт, 1H), 2,53 (м, 2H), 2,41 (т, 1H), 2,18 (т, 1H), 2,13 (д, 1H), 2,09 (м, 1Н), 1,99 (м, 1H), 1,89 (м, 1H), 1,62 (м, 2H).
Стадия C

N-(2-{[(3R)-1-(5-гидрокси-5-пиридин-3-илбицикло[2.2.2]окт-2-ил)пирролидин-3-ил]амино}-2-оксоэтил)-3-(трифторметил)бензамид.
Гидрохлорид N-{2-оксо-2-[(3R)-пирролидин-3-иламино]этил}-3-(трифторметил)бензамида (100 мг, 0,284 ммоль) и 5-гидрокси-5-пиридин-3-илбицикло[2.2.2]октан-2-он (62,0 мг, 0,284 ммоль) растворяют в сухом ТГФ (10 мл). Добавляют триэтиламин (80 мкл, 0,57 ммоль) и триацетоксиборгидрид натрия (120 мг, 0,57 ммоль) и смесь перемешивают при комнатной температуре в течение ночи. По данным ТСХ происходит превращение в нужные продукты в соотношении изомеров примерно 1:1. Адсорбируют реакционную смесь на силикагеле и подвергают хроматографии, элюируя дихлорметаном до смеси 10% метанол/дихлорметан/0,5% гидроксид аммония. Фракции объединяют, получая чистый изомер с более высоким Rf и чистый изомер с более низким Rf. Продукт с более высоким Rf: ЖХ/МС (положительный ион) m/z=517,1 (M+H)+; продукт с более низким Rf: ЖХ/МС (положительный ион) m/z=517,2 (M+H)+.
Пример 367
Стадия A

3-метилизотиазол.
Указанное в заголовке соединение получают в соответствии со способом, раскрытым в литературе (Lucchesini, F.; Pied, N.; Pocci, M., HeterocyCles, 1989, 29, 97). При 0°C, 3-бутин-2-он (2,5 мл, 0,032 моль) и гидроксиламин-O-сульфоновую кислоту (3,67 г, 0,0324 моль) смешивают в воде (15 мл, 0,83 моль). После перемешивания в течение 30 минут, порциями медленно добавляют твердый бикарбонат натрия (3,0 г, 0,036 моль) (30 минут). К полученной таким образом реакционной смеси по каплям добавляют раствор дигидрата кислого сернистого натрия (3,3 г, 0,036 моль) в воде (25 мл, 1,4 моль). Затем удаляют баню со льдом. Перемешивание продолжают еще в течение 4 часов при комнатной температуре. Смесь экстрагируют эфиром. Экстракт сушат и концентрируют. В результате хроматографии на силикагеле, элюируя смесью эфир/гексан (1/3), получают 1,37 г (48,2%) указанного в заголовке соединения.
Стадия B

8-(3-метилизотиазол-5-ил)-1,4-диоксаспиро[4,5]декан-8-ол.
При -78°C, 1,5М н-бутиллитий в гексане (6,7 мл) медленно добавляют к раствору 3-метилизотиазола (1,0 г, 0,010 моль) в тетрагидрофуране (15 мл) в течение 20 минут. После перемешивания в течение еще 30 минут, в течение 10 минут добавляют l,4-диоксаспиро[4,5]декан-8-он (1,56 г, 0,00999 моль) в тетрагидрофуране (5 мл). Реакционную смесь перемешивают еще в течение 2 часов при -78°C и оставляют нагреваться в течение ночи до комнатной температуры. После того как смесь гасят насыщенным раствором соли, смесь экстрагируют EtOAc. Органический слой сушат и концентрируют. В результате хроматографии на силикагеле, элюируя смесью гексан/EtOAc (1:5~1:1), получают 1,8 г (70,6%) указанного в заголовке соединения. МС (М+H)+ 256.
Стадия C

4-гидрокси-4-(3-метилизотиазол-5-ил)циклогексанон.
8-(3-метилизотиазол-5-ил)-1,4-диоксаспиро[4,5]декан-8-ол (0,76 г, 0,0030 моль) растворяют в тетрагидрофуране (10 мл) и добавляют 3,0М раствор хлористого водорода в воде (5,0 мл). Смесь перемешивают в течение ночи. Добавляют твердый карбонат калия, чтобы нейтрализовать кислоту, и EtOAc добавляют, чтобы экстрагировать продукт. Экстракт сушат и концентрируют, получая неочищенный продукт, который используют непосредственно на следующей стадии.
Стадия D

N-[2-({(3R)-1-[4-гидрокси-4-(3-метилизотиазол-5-ил)циклогексил]пирролидин-3-ил}амино)-2-оксоэтил]-3-(трифторметил)бензамид.
Указанное в заголовке соединение получают из кетона со стадии D, используя аналогичный способ примера 114. МС (М+H)+ 511.
Пример 368

N-{2-[((3R)-1-{4-[3-(фторметил)изотиазол-5-ил]-4-гидроксициклогексил}пирролидин-3-ил)амино]-2-оксоэтил}-3-(трифторметил)бензамид.
Указанное в заголовке соединение получают, используя аналогичный способ примера 367. МС(M+H)+ 529.
Пример 369

N-(2-{[(3R)-1-(4-гидрокси-4-изотиазол-5-илциклогексил)пирролидин-3-ил]амино}-2-оксоэтил)-3-(трифторметил)бензамид.
Указанное в заголовке соединение получают, используя аналогичный способ примера 367. (M+H)+ 497.
Пример 370

N-[2-({(3R)-1-[4-гидрокси-4-(4-пиримидин-2-илфенил)циклогексил]пирролидин-3-ил}амино)-2-оксоэтил]-3-(трифторметил)бензамид.
Указанное в заголовке соединение получают, используя аналогичный способ примера 282. МС 568 (M+H)+.
Пример 371

N-[2-({(3R)-1-[4-(2-циклопропилпиримидин-5-ил)-4-гидроксициклогексил]пирролидин-3-ил}амино)-2-оксоэтил]-3-(трифторметил)бензамид.
Указанное в заголовке соединение получают, используя аналогичный способ примера 276. МС 532 (M+H)+.
Пример 372

N-(2-{[(3R)-1-(4-гидрокси-4-пиридазин-4-илциклогексил)пирролидин-3-ил]амино}-2-оксоэтил)-3-(трифторметил)бензамид.
Указанное в заголовке соединение получают, используя аналогичный способ примера 276. МС 492 (M+H)+.
ФАРМАЦЕВТИЧЕСКОЕ ПРИМЕНЕНИЕ СОЕДИНЕНИЙ НАСТОЯЩЕГО ИЗОБРЕТЕНИЯ
Способность новых соединений настоящего изобретения антагонизировать функцию CCR2 можно определить, используя соответствующий скрининг (например, высокопродуктивный анализ (high through-put assay)). Например, агент можно тестировать во внеклеточном анализе подкисления, в анализе притока кальция, анализе связывания лигандов или анализе хемотаксиса (см, например, Hesselgesser et al., J. Biol. Chem. 273(25):15687-15692 (1998); WO 00/05265 и WO 98/02151).
В практическом анализе используют CCR2 белок, который может быть выделен или рекомбинантно получен и который обладает, по крайней мере, одним свойством, активностью или функциональной характеристикой CCR2 белка млекопитающих. Таким специфическим свойством может быть свойство связывания (например, с лигандом или ингибитором), сигнальная активность (например, активация G белка млекопитающих, индуцирование быстрого и кратковременного повышения концентрации не содержащего цитозолей кальция [Ca++]i, функция клеточной реакции (например, стимулирование хемотаксиса или высвобождение медиатора воспаления лейкоцитами) и тому подобное.
В одном из вариантов композицию, содержащую CCR2 белок или его вариант, выдерживают в условиях, пригодных для связывания. Осуществляют контактирование CCR2 рецептора с тестируемым соединением и определяют и измеряют связывание.
В альтернативных вариантах анализом является клеточный анализ, в котором используют клетки, которые стабильно или кратковременно трансфецированы вектором или экспрессионной кассетой, содержащими последовательность нуклеиновых кислот, которая кодирует CCR2 рецептор. Клетки выдерживают в условиях, подходящих для экспрессии рецептора, и осуществляют контактирование с агентом в условиях, подходящих для того, чтобы произошло связывание. Связывание можно определить, используя стандартные методики. Например, степень связывания можно определить относительно соответствующего контроля. Кроме того, вместо целых клеток можно использовать клеточные фракции, такие как мембранная фракция, содержащая рецептор.
Обнаружение факта связывания или образования комплекса можно определить непосредственно или косвенно. Например, агент можно пометить, вводя подходящую метку (например, флуоресцентную метку, изотопную метку, ферментную метку и тому подобное), и факт связывания можно определить, детектируя такую метку. Специфическое и/или конкурентное связывание можно оценить, используя конкурентные или замещающие исследования, используя в качестве конкурирующего агента агент без метки или лиганд.
Антагонистическую активность в отношении CCR2 тестируемых агентов (например, 3,4 дизамещенных соединений пирролидина формул I, II или III настоящего изобретения) можно описать как концентрацию ингибитора, необходимую для 50% ингибирования (величины ИК50) специфического связывания в анализах рецепторного связывания, используя 125I-меченый MCP-1 в качестве лиганда, и одноядерные клетки периферической крови (Peripheral Blood Mononuclear Cells (PBMC)), полученные из цельной крови здорового человека с помощью градиентного центрифугирования. Специфическое связывание предпочтительно определяют как общее связывание (например, общее количество импульсов в минуту на фильтрах) минус неспецифическое связывание. Неспецифическое связывание определяют как количество импульсов в минуту, которое все еще регистрируется в присутствии избытка конкурирующих агентов без метки (например, MCP-1).
Описанные выше PBMC человека можно использовать в подходящем анализе связывания. Например, от 200000 до 500000 клеток можно инкубировать с 0,1-0,2 нМ 125I-мечеными MCP-1 в присутствии или в отсутствие конкурирующего агента без метки (l0 нМ MCP-1) или в присутствии различных концентраций подлежащего тестированию соединения. 125I-меченые MCP-1 можно получить, используя соответствующие методики или закупая у коммерческих поставщиков (Perkin Elmer, Boston MA). Реакции связывания можно осуществить в 50-250 мкл связывающего буфера, состоящего из 1M HEPES pH 7,2, и 0,1% BSA (альбумин телячьей сыворотки), в течение 30 минут при комнатной температуре. Реакции связывания можно заканчивать, собирая мембраны с помощью быстрой фильтрации через стекловолоконные фильтры (Perkin Elmer), которые можно предварительно смочить 0,3% полиэтиленимином или забуференным фосфатом солевым раствором (PBS). Фильтры промывают примерно 600 мкл связывающего буфера, содержащего 0,5М NaCl или PBS, затем сушат и количество связанной радиоактивности определяют, подсчитывая импульсы с помощью счетчика гамма частиц (Perkin Elmer).
Способность соединения антагонизировать функции CCR2 можно также определить с помощью анализа хемотаксиса лейкоцитов, используя подходящие клетки. Подходящие клетки включают, например, клеточные линии, рекомбинантные клетки или выделенные клетки, которые экспрессируют CCR2 и претерпевают индуцированный лигандом CCR2 (например, MCP-1) хемотаксис. В применяемых анализах используют одноядерные клетки периферической крови человека в модифицированной камере Boyden Chamber (Neuro Probe). 500000 клеток в не содержащей сыворотки DMEM среде (In Vitrogen) инкубируют в присутствии или в отсутствие ингибиторов и нагревают до 37°C. Камеру для хемотаксиса (Neuro Probe) также предварительно нагревают. 400 мкл нагретых l0 нМ MCP-1 помещают вглубь камеры во все лунки, кроме негативного контроля, в котором содержится добавленная DMEM. 8 микронный мембранный фильтр (Neuro Probe) помещают сверху и крышку камеры закрывают. Затем клетки добавляют в отверстия в крышке камеры, которые связаны с лунками камеры ниже мембранного фильтра. Всю камеру инкубируют при температуре 37°C, 5% CO2 в течение 30 минут. Затем клетки отсасывают, крышку камеры открывают и фильтр осторожно извлекают. Верхнюю часть фильтра трижды промывают PBS и нижнюю часть оставляют нетронутой. Фильтр сушат воздухом и окрашивают красителем Wright Geimsa (Sigma). Фильтры подсчитывают под микроскопом. Лунки с негативным контролем служат фоном и их значения вычитают из всех значений. Антагонистическую эффективность можно определить, сравнивая количество клеток, которые мигрируют в нижнюю часть камеры в лунки, которые содержат антагонист, и количество клеток, которые мигрируют в нижнюю часть камеры в контрольные MCP-1 лунки.
Когда используют протокол анализа связывания, соединения настоящего изобретения демонстрируют ИК50 в интервале значений от около 0,01 до около 500 (нМ). В анализах хемотаксиса соединения настоящего изобретения демонстрируют значения ИК50 в интервале значений от около 1 до около 3000 (нМ).
Соединения настоящего изобретения вводят млекопитающим, таким как человек, но их также можно использовать для других млекопитающих, таких как животные, нуждающиеся в ветеринарном лечении, например домашние животные (например, собаки, кошки и тому подобное), сельскохозяйственные животные (например, коровы, овцы, свиньи, лошади и тому подобное) и лабораторные животные (например, крысы, мыши, морские свинки и тому подобное). Млекопитающие, которых обрабатывают способами настоящего изобретения, являются млекопитающими обоего пола, для которых необходимо модулирование активности рецепторов хемокинов. Термин модулирование включает антагонизм, агонизм, частичный антагонизм и/или частичный агонизм.
В рассматриваемом описании термин терапевтически эффективное количество означает количество рассматриваемого соединения, которое вызывает биологическую или медицинскую реакцию ткани, системы, животного или человека, которую ожидают исследователи, ветеринары, врачи или другие клиницисты.
Соединения настоящего изобретения вводят в терапевтически эффективных количествах для лечения заболеваний, например, таких как ревматоидный артрит. Терапевтически эффективным количеством соединения является такое количество, которое приводит к ингибированию одного или более из процессов, опосредствованных связыванием хемокинов с рецепторами, такими как CCR2 у субъекта с заболеванием, связанным с аберрантным привлечением и/или активацией лейкоцитов. Типичные примеры таких процессов включают миграцию лейкоцитов, активацию интегрина, кратковременное увеличение концентрации внутриклеточного свободного кальция [Ca2+]i и высвобождение гранул провоспалительных медиаторов. Альтернативно, терапевтически эффективным количеством соединения является количество, необходимое для достижения нужного терапевтического и/или профилактического эффекта, такого как количество, которое приводит к предотвращению или ослаблению симптомов, связанных с заболеванием, связанным с аберрантным привлечением лейкоцитов и/или их активацией.
Дополнительные заболевания или состояния человека или других видов, которые можно лечить ингибиторами или модуляторами функций рецепторов хемокинов, включают, но ими не ограничиваются: воспалительные или аллергические заболевания и состояния, включая респираторные аллергические заболевания, такие как астма, аллергический ринит, заболевания гиперчувствительности легких, гиперчувствительный пневмонит, эозинофильный целлюлит (например, синдром Уэллса), эозинофильную пневмонию (например, синдром Леффлера, хроническую эозинофильную пневмонию), эозинофильный фасцит (например, синдром Шульмана), гиперчувствительность замедленного типа, интерстициальные заболевания легких (ILD) (например, идиопатический легочный фиброз или ILD, связанные с ревматоидным артритом, системной красной волчанкой, анкилозирующим спондилитом, системным склерозом, синдромом Шегрена, полиомиозитом или дерматомиозитом); системная анафилактическая реакция или реакции гиперчувствительности, аллергия на лекарственные средства (например, на пенициллин, цефалоспорины), синдром эозинофилии-миалгии, связанный с поглощением загрязненного триптофана, аллергия на укусы насекомых; аутоиммунные заболевания, такие как ревматоидный артрит, псориатический артрит, рассеянный склероз, системная красная волчанка, тяжелая миастения, ювенильный диабет; гломерулонефрит, аутоиммунный тироидит, болезнь Бехчета; отторжение трансплантата (например, при трансплантации), включая отторжение аллотрансплантата или болезнь трансплантат против хозяина ; воспалительные заболевания кишечника, такие как болезнь Крона и язвенный колит; спондилоартропатии; склеродерма; псориаз (включая псориаз, опосредствованный T-клетками) и воспалительные дерматозы, такие как дермит, экзема, атопический дерматит, аллергический контактный дерматит, крапивница; васкулит (например, некротизирующий, кожный и гиперчувствительный васкулит); эозинофильный миозит, эозинофильный фасцит; раковые заболевания с инфильтрацией лейкоцитов в кожу или органы. Другие заболевания или состояния, при которых необходимо ингибировать нежелательные воспалительные реакции, можно лечить, включают, но ими не ограничиваются, реперфузионные поражения, атеросклероз, рестеноз, некоторые гематологические злокачественные состояния, токсичность, вызванную цитокинами (например, септический шок, эндотоксический шок), полиомиозит, дерматомиозит.
Соединения, представленные формулами I, II или III настоящего изобретения, можно вводить в таких оральных дозированных формах, как таблетки, капсулы (каждая из которых включает композиции с замедленным высвобождением или с высвобождением в указанное время), пилюли, порошки, гранулы, эликсиры, тинктуры, суспензии, сиропы и эмульсии. Их можно также вводить внутривенно (в виде болюсов или путем внутривенных вливаний), внутрибрюшинно, подкожно или внутримышечно, используя дозированные формы, которые хорошо известны специалистам в области фармацевтики. Их можно вводить отдельно, но обычно их вводят вместе с фармацевтически приемлемым носителем, выбранным в соответствии со способом введения и в соответствии со стандартной фармацевтической практикой.
Режим дозирования соединений настоящего изобретения, естественно, будет меняться в зависимости от известных факторов, таких как фармакодинамические характеристики конкретного агента, его тип и способ его введения; метаболическая стабильность, скорость выведения, в зависимости от комбинации лекарственных средств и длительности действия такого соединения, возраста, пола, общего состояния здоровья, медицинского состояния и массы реципиента; природы и степени симптомов; типа сопровождающего лечения; и частоты лечения; конкретного способа введения; почечной и печеночной функции пациента и ожидаемого эффекта. Врач или ветеринар могут определить и прописать эффективное количество лекарственного средства, которое необходимо для предотвращения, приостановки или остановки развития конкретного заболевания, которое необходимо лечить.
Обычно при пероральном введении дневная доза каждого активного ингредиента, когда его используют для указанного эффекта, будет находиться в интервале от около 0,0001 до 1000 мг/кг массы тела, предпочтительно от около 0,001 до 100 мг/кг массы тела в день и наиболее предпочтительно от около 0,1 до 20 мг/кг/день. При внутривенном введении наиболее предпочтительные дозы будут находиться в интервале от около 0,1 до около 10 мг/кг/минута при постоянной скорости вливания. При пероральном введении композиции предпочтительно получают в форме таблеток, содержащих от 1,0 до 1000 мг активного ингредиента, более конкретно 1,0, 5,0, 10,0, 15,0. 20,0, 25,0, 50,0, 75,0, 100,0, 150,0, 200,0, 250,0, 300,0, 400,0, 500,0, 600,0, 750,0, 800,0, 900,0 и 1000,0 мг активного ингредиента для симптоматического определения дозы для подлежащего лечению пациента. Соединения можно вводить по схеме от 1 до 4 раз в день, предпочтительно один раз или два раза в день.
Соединения настоящего изобретения можно также вводить в форме, предназначенной для интраназального введения, путем местного применения соответствующего интраназального носителя, или трансдермальным способом, используя трансдермальные накожные пластыри. При введении в форме трансдермальной системы доставки вводимые дозы будут, естественно, скорее непрерывными нежели периодическими в плане режима дозирования.
Соединения настоящего изобретения обычно вводят в смеси с подходящими фармацевтическими разбавителями, эксципиентами или носителями (все вместе их называют здесь фармацевтическими носителями), соответствующим образом выбранными в зависимости от предполагаемой формы введения, т.е. в форме таблеток для перорального введения, капсул, эликсиров, сиропов и т.п. и согласующихся с обычно фармацевтической практикой.
Так, например, для перорального введения в форме таблеток или капсул активный лекарственный компонент можно объединить с пероральным, не токсичным фармацевтически приемлемым, инертным носителем, таким как лактоза, крахмал, сахароза, глюкоза, метилцеллюлоза, стеарат магния, дикальцийфосфат, сульфат кальция, маннит, сорбит и тому подобное. Для перорального введения в форме жидкости компоненты лекарственного средства для нормального введения могут быть комбинированы с любым нетоксичным фармацевтически приемлемым носителем для перорального введения, таким как этанол, глицерин, вода и тому подобное.
Кроме того, при желании или при необходимости подходящие связующие, лубриканты, дезинтегрирующие агенты и красящие агенты также могут быть включены в смеси. Подходящие связующие включают крахмал, желатин, натуральные сахара, такие как глюкоза или ß-лактоза, кукурузный сироп, природные и синтетические смолы, такие как смола акации, трагакант или альгинат натрия, карбоксиметилцеллюлоза, полиэтиленгликоль, воски и тому подобное. Лубриканты, которые используют в таких формах, включают олеат натрия, стеарат натрия, стеарат магния, бензоат натрия, ацетат натрия, хлорид натрия и т.п. Дезинтегранты включают, но ими не ограничиваются, крахмал, метилцеллюлозу, агар, бентонит, ксантановую смолу и тому подобное.
Соединения настоящего изобретения можно также вводить пациенту в форме липосомных систем доставки, таких как маленькие однослойные везикулы, крупные однослойные везикулы и многослойные везикулы. Липосомы могут быть сформированы из различных фосфолипидов, таких как холестерин, стеариламин или фосфатидилхолины.
Соединения настоящего изобретения могут быть также связаны с растворимыми полимерами в качестве целенаправленных носителей лекарственных средств. Такие полимеры могут включать поливинилпирролидон, сополимер пирана, полигидроксипропилметакриламидфенол, полигидроксиэтиласпартамидфенол или полиэтиленоксидполилизин, замещенный пальмитоиловыми остатками. Кроме того, соединения настоящего изобретения могут быть связаны с классом биоразлагаемых полимеров, которые можно использовать для достижения контролируемого высвобождения лекарственного средства, например, таких как полимолочная кислота, полигликолевая кислота, сополимеры полимолочной и полигликолевой кислот, полиэпсилон капролактон, полигидроксимасляная кислота, сложные полиортоэфиры, полиацетали, полигидропираны и сшитые или амфипатичные блок-сополимеры гидрогелей.
Дозированные формы соединений настоящего изобретения, подходящие для введения, могут содержать от около 0,1 мг до около 100 мг активного ингредиента на дозированную единицу. В этих фармацевтических композициях активный ингредиент обычно присутствует в количестве около 0,5 до 95 мас.% в расчете на общую массу композиции.
Желатиновые капсулы также можно использовать в качестве дозированных форм, и они могут содержать активный ингредиент и порошки носителей, таких как лактоза, крахмал, производные целлюлозы, стеарат магния, стеариновая кислота и тому подобное. Аналогичные разбавители можно использовать для получения прессованных таблеток. Как таблетки, так и капсулы могут быть получены как продукты с замедленным высвобождением, предназначенные для непрерывного высвобождения лекарственного средства в течение часов. Прессованные таблетки могут быть покрыты сахаром или покрыты пленкой, чтобы скрыть любой неприятный вкус и защитить таблетки от атмосферных воздействий, или могут быть с энтеропокрытием для селективной дезинтеграции в желудочно-кишечном тракте.
Если используют жидкие дозированные формы для перорального введения, они могут содержать красители и вкусовые агенты, чтобы сделать прием лекарственного средства пациентом более приятным.
Обычно вода, подходящие масла, солевой раствор, водная декстроза (глюкоза) и растворы родственных сахаров и гликоли, такие как пропиленгликоль или полиэтиленгликоли, служат подходящими носителями для приготовления растворов для парентерального введения. Растворы для парентерального введения предпочтительно содержат воду, растворимую соль активного ингредиента, подходящие стабилизирующие агенты и при необходимости буферные вещества.
Антиоксиданты, такие как бисульфит натрия, сульфит натрия или аскорбиновая кислота, взятые отдельно или комбинированные, являются подходящими стабилизирующими агентами. Используют также лимонную кислоту и ее соли и натрий EDTA. Кроме того, растворы для парентерального введения могут содержать консерванты, такие как бензалконийхлорид, метил- или пропилпарабен и хлорбутанол. Подходящие фармацевтические носители раскрыты в Remington’s Pharmaceutical Sciences, Mack Publishing Company, стандартном справочном издании в области фармакологии.
Фармацевтические композиции настоящего изобретения могут также быть в форме эмульсий типа масло-в-воде. Масляной фазой может служить растительное масло, например оливковое масло, или арахисовое масло, или минеральное масло, например жидкий парафин или смеси этих масел. Подходящими эмульгирующими агентами могут быть природные смолы, например гуммиарабик или смола трагаканта, природные фосфатиды, например соевые бобы, лецитин и сложные эфиры или частичные сложные эфиры, полученные из жирных кислот и ангидридов гекситола, например сорбитанмоноолеат, и продукты конденсации указанных частичных эфиров с этиленоксидом, например полиоксиэтиленсорбитанмоноолеатом. Эмульсии могут также содержать подсластители и вкусовые агенты.
Соединения настоящего изобретения можно также вводить в форме суппозиториев для ректального введения лекарств. Эти композиции можно получить, смешивая лекарственные средства с подходящим не раздражающим эксципиентом, который находится в твердом состоянии при обычной температуре, но находится в жидком состоянии при ректальной температуре и поэтому будет плавится в ректуме, высвобождая лекарственное средство. Такими материалами являются масло какао и полиэтиленгликоли.
Для местного применения используют крема, мази, желе, растворы или суспензии и т.д., содержащие соединения настоящего изобретения. В том смысле, как использовано в данном описании, термин местное применение подразумевает также использование полосканий для рта и горла.
Фармацевтические композиции и способы настоящего изобретения могут включать дополнительно другие терапевтически активные соединения, которые обычно применяют при лечении вышеуказанных патологических состояний.
Примеры полезных фармацевтических дозированных форм для введения соединений настоящего изобретения можно проиллюстрировать следующим образом.
Капсулы
Большое количество единичных капсул можно получить, заполняя в стандартные, состоящие из двух частей желатиновые капсулы по 50 мг порошка активного ингредиента, 100 мг лактозы, 25 мг целлюлозы и 3 мг стеарата магния в каждую.
Мягкие желатиновые капсулы
Смесь активного ингредиента в легко усвояемом масле, таком как соевое масло, хлопковое масло или оливковое масло, можно приготовить и ввести в желатин, используя насос с позитивным перемещением, для получения мягких желатиновых капсул, содержащих 75 мг активного ингредиента. Капсулы нужно промыть и высушить.
Таблетки
Таблетки можно получить обычными способами, так чтобы дозированная единица содержала 75 мг активного ингредиента, 0,15 мг коллоидной двуокиси кремния, 4 мг стеарата магния, 250 мг микрокристаллической целлюлозы, 9 мг крахмала и 75 мг лактозы. На поверхность таблеток можно нанести подходящие покрытия, хорошо известные специалистам, с тем чтобы повысить вкусовую привлекательность или замедлить абсорбцию.
Препараты для инъекций
Композиции для парентерального введения, пригодные для инъекций, можно приготовить, перемешивая 1,0 мас.% активного ингредиента в 8 % (объемных) пропиленгликоля и воды. Раствор необходимо сделать изотоническим, используя хлорид натрия, и подвергнуть стерилизации.
Суспензии
Водную суспензию можно приготовить для перорального введения таким образом, чтобы каждые 5 мл содержали 75 мг тонко измельченного активного ингредиента, 150 мг натрийкарбоксиметилцеллюлозы, 3,75 мг бензоата натрия, 0,75 мг раствора сорбита, U.S.P., и 0,015 мл ванилина.
Пример 373
В этом примере раскрыт способ оценки эффективности антагонистов CCR2 для лечения ревматоидного артрита.
Модель ревматоидного артрита животных предусматривает индуцирование его у грызунов путем инъекции коллагена II типа в выбранных адьювантах. Трем сериям групп грызунов, состоящим из 15 генетически восприимчивых мышей или крыс в группе, вводят с помощью инъекций подкожно или интрадермально коллаген II типа, эмульгированный в полном адьюванте Фреунда в дни 0 и 21. Одной серии грызунов вводят дополнительно забуференный фосфатом солевой раствор (PBS) и Tween 0,5% внутрибрюшинно при начальной сенсибилизации и затем в различных схемах дозирования. Вторая серия состоит из группы грызунов, которым вводят различные дозы CCR2 антагониста(антагонистов) или внутрибрюшинно, или внутривенно, или подкожно, или внутримышечно, или перорально, или любым другим способом введения при начальной сенсибилизации и затем в различных схемах дозирования. Третья серия грызунов, которая служит положительным контролем, состоит из группы, которую обрабатывают или мышиными IL-10 внутрибрюшинно, или антителами против TNF внутрибрюшинно при начальной сенсибилизации и затем в различных схемах дозирования.
За животными наблюдают с 3-й недели до 8-й, обращая внимание на развитие отеков суставов или лап, и классифицируют изменения в соответствии со стандартной шкалой тяжести заболевания. Тяжесть заболевания подтверждается гистологическим анализом суставов.
Все публикации, патенты и патентные заявки, включая все цитированные способы и цитированные библиографические ссылки, включены в данное описание посредством ссылки во всей своей полноте для всех целей.
Хотя многие раскрытые формы настоящего изобретения являются в настоящее время предпочтительными вариантами, возможны многие другие варианты и дополнительные детали предпочтительных вариантов, а также другие возможные варианты, и их не следует рассматривать как ограничения. Следует понимать, что использованные в данном описании термины являются просто скорее описательными, а не ограничительными и что можно осуществить различные замены многими эквивалентами, не отходя от существа и объема заявленного изобретения.                                          
Формула изобретения
1. Соединение формулы I
 его оптические изомеры или смесь его оптических изомеров и фармацевтически приемлемые соли, где R1 независимо выбирают из группы, состоящей из: арила, гетероарила, арилкарбоксамидо, гетероарилкарбоксамидо, арилокси, арилалкокси или ариламино, и где указанные группы арила, арилалкила или гетероарила могут быть замещены 0-3 заместителями R1a, где R1a независимо выбирают из группы, состоящей из: галогена, алкила, алкенила, алкокси, алкоксиалкила, гидроксиалкила, моно-, ди- или тригалогеноалкила, моно-, ди- или тригалогеноалкокси, моно- или дизамещенного аминоалкила, аминокарбонила, моно- или дизамещенного аминоалкила, аминокарбонила, моно- или дизамещенного аминокарбонила, циклического аминокарбонила, алкилсульфонила, остатка этерифицированной карбоновой кислоты, арилкарбониламино, карбамата, R1b-арила или R1b-гетероарила, где R1b представляет Н, галоген, ОН, амино, моно- или дизамещенный амино, моно-, ди- или тригалогеноалкил, алкокси, моно-, ди- или тригалогеноалкокси, гидроксиалкил; R2 независимо выбирают из группы, состоящей из: Н, ОН, циано, галогена или арила; необязательно R1 и R2 могут быть связаны друг с другом с образованием спироцикла; R3, R4, R5 и R6 представляют собой Н; необязательно R1 и R3 могут быть циклизованы с образованием карбоцикла; необязательно R3 и R4 или R5 и R6 циклизованы с образованием мостиковой бициклической системы, содержащей этиленовый мостик; необязательно R3 и R6 циклизованы с образованием мостиковой бициклической системы, содержащей метиленовую группу или этиленовую группу; R7 и R8 независимо выбирают из группы, состоящей из водорода, ОН, С1-С8алкила, арилалкокси, гетероарилалкокси; необязательно R7 и R8 могут быть циклизованы с образованием спирокарбоцикла или спирогетероцикла; и m=0-5; где термин «арил» включает ароматические карбоциклические группы, такие как фенил, бифенил, инденил, нафтил, и конденсированные с гетероциклами ароматические группы; где термин «гетероцикл» включает ароматические и неароматические кольца, содержащие от 3 до 10 атомов в кольце, 1-4 из которых являются гетероатомом, выбранным из кислорода, серы или азота; где термин «алкил», если его используют отдельно или как суффикс, означает разветвленную или неразветвленную алкильную группу, содержащую от 1 до 8 атомов углерода в цепи; где термин «алкенил» означает ненасыщенную разветвленную или неразветвленную алкильную группу, содержащую от 2 до 12 атомов углерода в цепи.
2. Соединение формулы II
 его оптические изомеры или смесь его оптических изомеров и фармацевтически приемлемые соли, где R1 независимо выбирают из группы, состоящей из: арила, гетероарила, арилкарбоксамидо, гетероарилкарбоксамидо, арилокси, арилалкокси или ариламино, и где указанные группы арила, арилалкила или гетероарила могут быть замещены 0-3 заместителями R1a, где R1a независимо выбирают из группы, состоящей из: галогена, алкила, алкенила, алкокси, алкоксиалкила, гидроксиалкила, моно-, ди- или тригалогеноалкила, моно-, ди- или тригалогеноалкокси, моно- или дизамещенного аминоалкила, аминокарбонила, моно- или дизамещенного аминокарбонила, циклического аминокарбонила, алкилсульфонила, остатка этерифицированной карбоновой кислоты, арилкарбониламино, карбамата, R1b-арила или R1b-гетероарила, где R1b представляет Н, галоген, ОН, амино, моно- или дизамещенный амино, моно-, ди- или тригалогеноалкил, алкокси, моно-, ди- или тригалогеноалкокси, гидроксиалкил; R2 независимо выбирают из группы, состоящей из: Н, ОН, циано, галогена или арила; необязательно R1 и R2 могут быть связаны друг с другом с образованием спироцикла; R3, R4, R5 и R6 представляют собой Н; необязательно R1 и R3 могут быть циклизованы с образованием карбоцикла; необязательно R3 и R4 или R5 и R6 циклизованы с образованием мостиковой бициклической системы, содержащей этиленовый мостик; необязательно R3 и R6 циклизованы с образованием мостиковой бициклической системы, содержащей метиленовую группу или этиленовую группу; R7 и R8 независимо выбирают из группы, состоящей из водорода, ОН, С1-С8алкила, арилалкокси, гетероарилалкокси; необязательно R7 и R8 могут быть циклизованы с образованием спирокарбоцикла или спирогетероцикла; где термин «арил» включает ароматические карбоциклические группы, такие как фенил, бифенил, инденил, нафтил, и конденсированные с гетероциклами ароматические группы; где термин «гетероцикл» включает ароматические и неароматические кольца, содержащие от 3 до 10 атомов в кольце, 1-4 из которых являются гетероатомом, выбранным из кислорода, серы или азота; где термин «алкил», если его используют отдельно или как суффикс, означает разветвленную или неразветвленную алкильную группу, содержащую от 1 до 8 атомов углерода в цепи; где термин «алкенил» означает ненасыщенную разветвленную или неразветвленную алкильную группу, содержащую от 2 до 12 атомов углерода в цепи.
3. Соединение по п.2, где R2 представляет ОН, R3, R4, R5, R6, R7 и R8 представляют водород, R1 выбирают из группы, состоящей из фенила, 4-метилфенила, 3-метилфенила, 2-метилфенила, 4-бромфенила, 3-бромфенила, 4-хлорфенила, 3-хлорфенила, 4-трифторметилфенила, 3-трифторметилфенила, 2-трифторметилфенила, 2-метоксифенила, 2-метокси-5-пиридила, 2-этокси-5-пиридила, 3,4-метилендиоксифенила, 4-фторфенила, 3-трифторметил-1Н-пиразол-1-ила, 3-фторфенила, 4-метоксифенила, 3-метоксифенила, хинолин-4-ила, 3-метил-1Н-пиразол-1-ила, 3,5-диметил-1Н-пиразол-1-ила, 4-трифторметилфенила, 3-трифторметилфенила, 4-(метиламинокарбонил)фенила, пиридин-2-ила, пиридин-3-ила, пиридин-4-ила, 4-метилпиридин-2-ила, 5-метилпиридин-2-ила, 6-метилпиридин-2-ила, 6-метоксипиридин-2-ила, 6-метоксипиридин-3-ила, 6-метилпиридин-3-ила, 6-этилпиридин-3-ила, 6-изопропилпиридин-3-ила, 6-циклопиридин-3-ила, 1-оксидопиридин-3-ила, 1-оксидопиридин-2-ила, хинолин-4-ила, 3-(метиламинокарбонил)фенила, 1-оксидопиридин-4-ила, 4-(морфолин-4-илкарбонил)фенила, 5-(морфолин-4-илкарбонил)пиридин-2-ила, 6-(морфолин-4-илкарбонил)пиридин-3-ила, 4-(4-метилпиперазин-1-илкарбонил)фенила, 6-(азетидин-1-ил)пиридин-3-ила, 5-(метоксиметил)пиридин-2-ила, 5-(1-гидрокси-1-метилэтил)пиридин-2-ила, 4-(этиламинокарбонил)фенила, 4-(изопропиламинокарбонил)фенила, 4-(трет-бутиламинокарбонил)фенила, 4-(диметиламинокарбонил)фенила, 4-[(азетидин-1-ил)карбонил]фенила, 4-[(пирролидин-1-ил)карбонил]фенила, 4-[(морфолин-4-ил)карбонил]фенила, 4-(диметиламинокарбонил)-2-метилфенила, 2-метил-4-(метиламинокарбонил)фенила, 3-метил-4-(метиламинокарбонил)фенила, 4-(диметиламинокарбонил)-3-метилфенила, 3-метил-4-(пирролидин-1-илкарбонил)фенила, 4-(диметиламинокарбонил)-3-фторфенила, 4-[(2,2,2-трифторэтил)аминокарбонил]фенила, 3-фтор-4-метиламинокарбонилфенила, 4-этиламинокарбонил-3-фторфенила, 3-метиламинокарбонилфенила, 3-диметиламинокарбонилфенила, 5-диметиламинокарбонил-2-метоксифенила, 2-метокси-5-метиламинокарбонилфенила, 3-(метиламинокарбониламино)фенила, 6-(морфолин-4-ил)пиридин-3-ила, 6-диметиламинопиридин-3-ила, 6-изопропиламинопирид-3-ила, 6-(пирролидин-1-ил)пиридин-3-ила, 6-циклопропиламинопиридин-3-ила, 6-этоксипиридин-3-ила, 6-(2-фторэтокси)пиридин-3-ила, 6-(2,2-дифторэтокси)пиридин-3-ила, 6-(2,2,2-трифторэтокси)пиридин-3-ила, 4-иодофенила, 5-(пирролидин-1-илкарбонил)-2-пиридила, 5-(морфолин-4-илкарбонил)-2-пиридила, 5-диметиламинокарбонил-2-пиридила, 4-метиламинокарбониламинофенила, 6-(1-гидрокси-1-метилэтил)пиридин-3-ила, 4-(1-гидрокси-1-метилэтил)фенила, 4-(метоксиметил)фенила, 3-фтор-4-(метоксиметил)фенила, 4-(диметиламино)фенила, 4-(диметиламино)-3-фторфенила, 1Н-индазол-5-ила, 1-метил-1Н-индазол-5-ила, 2-метил-1Н-индазол-5-ила, 1,3-тиазол-2-ила, 5-этил-1,3-тиазол-2-ила, 5-(метиламинокарбонил)-1,3-тиазол-2-ила, 1,3-тиазол-5-ила, 2-(метоксикарбониламино)-1,3-тиазол-5-ила, 2-изопропил-1,3-тиазол-5-ила, 5-(пиридин-3-ил)-1,3-тиазол-2-ила, 5-(морфолин-4-илкарбонил)-1,3-тиазол-2-ила, 5-аминокарбонил-1,3-тиазол-2-ила, 5-диметиламинокарбонил-1,3-тиазол-2-ила, 5-(пирролидин-1-илкарбонил)-1,3-тиазол-2-ила, 5-аллил-1,3-тиазол-2-ила, 5-пропил-1,3-тиазол-2-ила, 5-этиламинокарбонил-1,3-тиазол-2-ила, 5-фенил-1,3-тиазол-2-ила, 5-метил-1,3-тиазол-2-ила, 5-гидроксиметил-1,3-тиазол-2-ила, 5-(1-гидрокси-1-метилэтил)-1,3-тиазол-2-ила, 5-метоксиметил-1,3-тиазол-2-ила, 5-(2-пиридил)-1,3-тиазол-2-ила, 2-(пирролидин-1-ил)-1,3-тиазол-4-ила, 2-(морфолин-4-ил)-1,3-тиазол-4-ила, 2-метил-1,3-тиазол-5-ила, 2-(1-гидрокси-1-метилэтил)-1,3-тиазол-5-ила, 2-(пирролидин-1-ил)-1,3-тиазол-5-ила, 2-этокси-1,3-тиазол-5-ила, 2-этил-1,3-тиазол-5-ила, 2-(пирролидин-1-илметил)-1,3-тиазол-5-ила, 2-(морфолин-4-ил)-1,3-тиазол-5-ила, 2-метоксиметил-1,3-тиазол-5-ила, 2-изобутил-1,3-тиазол-5-ила, 2-этиламинокарбонил-1,3-тиазол-5-ила, 2-(пирролидин-1-илкарбонил)-1,3-тиазол-5-ила, 2-(морфолин-4-илкарбонил)-1,3-тиазол-5-ила, 2-(3-пиридил)-1,3-тиазол-5-ила, 2-(2-пиридил)-1,3-тиазол-5-ила, 4-метил-1,3-тиазол-2-ила, 1,3-бензотиазол-2-ила, пиримидин-5-ила, пиримидин-4-ила, пиримидин-2-ила, пиридазин-3-ила, пиразин-2-ила, 2-метоксипиримидин-5-ила, 2-этоксипиримидин-5-ила, 2-(2-фторэтокси)пиримидин-5-ила, 2-метилпиримидин-5-ила, 2-этилпиримидин-5-ила, 2-изопропилпиримидин-5-ила, 2-циклопропилпиримидин-5-ила, пиримидин-4-ила, 4-(пиримидин-5-ил)фенила, 4-(1,3-оксазол-2-ил)фенила, 4-(1Н-имидазол-1-ил)фенила, 4-(морфолин-4-ил)фенила, 5-(пиразин-2-ил)пиридин-2-ила, 4-(1 -метил-1Н-имидазол-5-ил)фенила, 4-(4,6-диметилпиримидин-5-ил)фенила, 6-бромпиридин-3-ила, 5-бромпиридин-2-ила, 4 -(метилсульфонил)бифенил-4-ила, 3 -(метилсульфонил)бифенил-4-ила, 3 -(метоксикарбонил)бифенил-4-ила, 4-(2,3-дигидро-1,4-бензодиоксин-6-ил)фенила, 4 -(диметиламино)бифенил-4-ила, 4-(пиридин-3-ил)фенила, 4-(1Н-пиразол-4-ил)фенила, 3,3 -бипиридин-6-ила, 3,4 -бипиридин-6-ила, 5-(3-ацетилфенил)пиридин-2-ила, 5-[3-(диметиламино)фенил]пиридин-2-ила, 5-[3-(трифторметил)фенил]пиридин-2-ила, 5-[4-(метилсульфонил)фенил]пиридин-2-ила, 5-(4-метоксифенил)пиридин-2-ила, 5-(3-метоксифенил)пиридин-2-ила, 5-[3-(аминокарбонил)фенил]пиридин-2-ила, 5-(4-фторфенил)пиридин-2-ила, 5-(3,4-дифторфенил)пиридин-2-ила, 5-(3,5-диметилизоксазол-4-ил)пиридин-2-ила, 5-(1-метил-1Н-пиразол-4-ил)пиридин-2-ила, 5-(1Н-пиразол-4-ил)пиридин-2-ила, 5-(1-бензофуран-2-ил)пиридин-2-ила, 5-(1,3-бензодиоксол-5-ил)пиридин-2-ила, 5-(2-формилфенил)пиридин-2-ила, 4-(2 -формилбифенил)-4-ила, 5-(1,3-оксазол-2-ил)пиридин-2-ила, 6-(1,3-оксазол-2-ил)пиридин-3-ила, 4-(1,3-тиазол-2-ил)фенила, 5-(1,3-тиазол-2-ил)пиридин-2-ила, 6-(1,3-тиазол-2-ил)пиридин-3-ила, 6-(1Н-имидазол-1-ил)пиридин-3-ила, 5-(1Н-имидазол-1-ил)пиридин-2-ила, 6-фенилпиридин-3-ила, 5-(пиримидин-5-ил)пиридин-2-ила, 5-(пиримидин-2-ил)пиридин-2-ила, 5-(3-аминокарбонилфенил)пиридин-2-ила, 4-(1-метил-1Н-имидазол-4-ил)фенила, 4-(1Н-имидазол-4-ил)фенила, 5-[2-(гидроксиметил)фенил]пиридин-2-ила, 2 -(гидроксиметил)бифенил-4-ила, 5-{2-[(диметиламино)метил]фенил}пиридин-2-ила, 2 -[(диметиламино)метил]бифенил-4-ила, 5-фторметилпиразин-2-ила, 5-дифторметилпиразин-2-ила, 5-метилпиразин-2-ила, 2-метилпиримидин-5-ила, 2-фторметилпиримидин-5-ила, 2-дифторметилпиримидин-5-ила, 2-трифторметилпиримидин-5-ила, изотиазол-5-ила, 3-метилизотиазол-5-ила, 3-фторметилизотиазол-5-ила, 4-(диметиламинокарбонил)фенила, 4-(метиламинокарбонил)фенила, 4-(морфолин-4-илкарбонил)фенила, 4-(пиперидин-1-илкарбонил)фенила, 3-фтор-4-(пирролидин-1-илкарбонил)фенила, 5-(пирролидин-1-илкарбонил)пиридин-2-ила, 5-(диметиламинокарбонил)пиридин-2-ила, 5-(морфолин-4-илкарбонил)пиридин-2-ила, хинолин-4-ила, 6-метоксипиридин-3-ила, 6-(морфолин-4-ил)пиридин-3-ила, 4-(диметиламинометил)фенила, 5-(диметиламинометил)пиридин-2-ила, 5-(диметиламинокарбонил)пиридин-2-ила, 4-[гидрокси(пиридин-3-ил)метил]фенила, 6-[(гидрокси(пиридин-3-ил)метил]пиридин-3-ила, 6-(диметиламинокарбонил)пиридин-3-ила, 4-(4-гидроксипиперидин-1-илкарбонил)фенила, 4-(4-метоксипиперидин-1-илкарбонил)фенила, 5-(4-метоксипиперидин-1-илкарбонил)пиридин-2-ила, 6-(4-метоксипиперидин-1-илкарбонил)пиридин-3-ила, фенокси, бензилокси, 2-тиенила, 2-изопропил-1,3-тиазол-5-ила, 4-(пиримидин-2-ил)фенила, 4-(пиримидин-4-ил)фенила и 5-(метоксиметил)пиридин-2-ила.
4. Соединение по п.2, где R2 представляет Н, R3, R4, R5, R6, R7 и R8 представляют водород, R1 выбирают из группы, состоящей из фенила, пиридин-2-ила, 4-метилфенила, 3-метилфенила, 2-метилфенила, 4-бромфенила, 3-бромфенила, 4-хлорфенила, 3-хлорфенила, 4-трифторметилфенила, 3-трифторметилфенила, 2-трифторметилфенила, 2-метоксифенила, 3,4-метилендиоксифенила, 4-фторфенила, 3-трифторметил-1Н-пиразол-1-ила, 3-фторфенила, 3-хлорфенила, 4-метоксифенила, 3-метоксифенила, пиридин-4-ила, пиридин-3-ила, 6-метилпиридин-2-ила, 6-метил пиридин-3-ила, 6-этилпиридин-3-ила, 6-изопропилпиридин-3-ила, хинолин-4-ила, 3-метил-1Н-пиразол-1-ила, 3,5-диметил-1Н-пиразол-1-ила, 4-(метиламинокарбонил)фенила, 1-оксидопиридин-4-ила, пиридин-2-ила, 4-метилпиридин-2-ила, 5-метилпиридин-2-ила, 6-метоксипиридин-2-ила, 6-метоксипиридин-3-ила, 6-метилпиридин-3-ила, 6-этилпиридин-3-ила, 6-изопропилпиридин-3-ила, 1-оксидопиридин-3-ила, 1-оксидопиридин-2-ила, 3-(метиламинокарбонил)фенила, 1-оксидопиридин-4-ила, 4-(морфолин-4-илкарбонил)фенила, 5-(морфолин-4-илкарбонил)пиридин-2-ила, 6-(морфолин-4-илкарбонил)пиридин-3-ила, 4-(4-метилпиперазин-1-илкарбонил)фенила, 6-(азетидин-1-ил)пиридин-3-ила, 6-цианопиридин-3-ила, 5-(метоксиметил)пиридин-2-ила, 5-(1-гидрокси-1-метилэтил)пиридин-2-ила, 5-диметиламинометила, 4-этиламинокарбонилфенила, 4-изопропиламинокарбонилфенила, 4-трет-бутиламинокарбонилфенила, 4-диметиламинокарбонилфенила, 4-(азетидин-1-ил)карбонилфенила, 4-(пирролидин-1-ил)карбонилфенила, 4-(морфолин-4-ил)карбонилфенила, 4-(диметиламинокарбонил)-2-метилфенила, 2-метил-4-(метиламинокарбонил)фенила, 3-метил-4-(метиламинокарбонил)фенила, 4-(диметиламинокарбонил)-3-метилфенила, 3-метил-4-(пирролидин-1-илкарбонил)фенила, 4-(диметиламинокарбонил)-3-фторфенила, 4-[(2,2,2-трифторэтил)аминокарбонил]фенила, 3-фтор-4-метиламинокарбонилфенила, 4-этиламинокарбонил-3-фторфенила, 3-метиламинокарбонилфенила, 3-диметиламинокарбонилфенила, 5-диметиламинокарбонил-2-метоксифенила, 2-метокси-5-метиламинокарбонилфенила, 3-(метиламинокарбониламино)фенила, 6-(морфолин-4-ил)пиридин-3-ила, 6-диметиламинопиридин-3-ила, 6-изопропиламинопирид-3-ила, 6-(пирролидин-1-ил)пиридин-3-ила, 6-этоксипиридин-3-ила, 6-(2-фторэтокси)пиридин-3-ила, 6-(2,2-дифторэтокси)пиридин-3-ила, 6-(2,2,2-трифторэтокси)пиридин-3-ила, 4-иодофенила, 5-(пирролидин-1-илкарбонил)-2-пиридила, 5-(морфолин-4-илкарбонил)-2-пиридила, 5-диметиламинокарбонил-2-пиридила, 4-метиламинокарбониламинофенила, 6-(1-гидрокси-1-метилэтил)пиридин-3-ила, 4-(1-гидрокси-1-метилэтил)фенила, 4-(метоксиметил)фенила, 3-фтор-4-(метоксиметил)фенила, 4-(диметиламино)фенила, 4-(диметиламино)-3-фторфенила, 1Н-индазол-5-ила, 1-метил-1Н-индазол-5-ила, 2-метил-1Н-индазол-5-ила, 1,3-тиазол-2-ила, 5-этил-1,3-тиазол-2-ила, 5-(метиламинокарбонил)-1,3-тиазол-2-ила, 1,3-тиазол-5-ила, 2-(метоксикарбониламино)-1,3-тиазол-5-ила, 2-изопропил-1,3-тиазол-5-ила, 5-(пиридин-3-ил)-1,3-тиазол-2-ила, 5-(морфолин-4-илкарбонил)-1,3-тиазол-2-ила, 5-аминокарбонил-1,3-тиазол-2-ила, 5-диметиламинокарбонил-1,3-тиазол-2-ила, 5-(пирролидин-1-илкарбонил)-1,3-тиазол-2-ила, 5-аллил-1,3-тиазол-2-ила, 5-пропил-1,3-тиазол-2-ила, 5-этиламинокарбонил-1,3-тиазол-2-ила, 5-фенил-1,3-тиазол-2-ила, 5-метил-1,3-тиазол-2-ила, 5-гидроксиметил-1,3-тиазол-2-ила, 5-(1-гидрокси-1-метилэтил)-1,3-тиазол-2-ила, 5-метоксиметил-1,3-тиазол-2-ила, 5-(2-пиридил)-1,3-тиазол-2-ила, 2-(пирролидин-1-ил)-1,3-тиазол-4-ила, 2-(морфолин-4-ил)-1,3-тиазол-4-ила, 2-метил-1,3-тиазол-5-ила, 2-(1-гидрокси-1-метилэтил)-1,3-тиазол-5-ила, 2-(пирролидин-1-ил)-1,3-тиазол-5-ила, 2-этокси-1,3-тиазол-5-ила, 2-этил-1,3-тиазол-5-ила, 2-(пирролидин-1-илметил)-1,3-тиазол-5-ила, 2-(морфолин-4-ил)-1,3-тиазол-5-ила, 2-метоксиметил-1,3-тиазол-5-ила, 2-изобутил-1,3-тиазол-5-ила, 2-этиламинокарбонил-1,3-тиазол-5-ила, 2-(пирролидин-1-илкарбонил)-1,3-тиазол-5-ила, 2-(морфолин-4-илкарбонил)-1,3-тиазол-5-ила, 2-(3-пиридил)-1,3-тиазол-5-ила, 2-(2-пиридил)-1,3-тиазол-5-ила, 4-метил-1,3-тиазол-2-ила, 1,3-бензотиазол-2-ила, пиримидин-5-ила, пиримидин-2-ила, пиридазин-4-ила, пиридазин-3-ила, пиразин-2-ила, 2-метилпиримидин-5-ила, 2-этилпиридин-5-ила, 2-изопропилпиримидин-5-ила, 2-циклопропилпиримидин-5-ила, 2-метоксипиримидин-5-ила, 2-этоксипиримидин-5-ила, 2-(2-фторэтокси)пиримидин-5-ила, пиримидин-4-ила, 4-(пиримидин-5-ил)фенила, 4-(1,3-оксазол-2-ил)фенила, 4-(1Н-имидазол-1-ил)фенила, 4-(морфолин-4-ил)фенила, 5-(пиразин-2-ил)пиридин-2-ила, 4-(1-метил-1Н-имидазол-5-ил)фенила, 4-(4,6-диметилпиримидин-5-ил)фенила, 6-бромпиридин-3-ила, 5-бромпиридин-2-ила, 4 -(метилсульфонил)бифенил-4-ила, 3 -(метилсульфонил)бифенил-4-ила, 3 -(метоксикарбонил)бифенил-4-ила, 4-(2,3-Дигидро-1,4-бензодиоксин-6-ил)фенила, 4 -(диметиламино)бифенил-4-ила, 4-(пиридин-3-ил)фенила, 4-(1Н-пиразол-4-ил)фенила, 3,3 -бипиридин-6-ила, 3,4 -бипиридин-6-ила, 5-(3-ацетилфенил)пиридин-2-ила, 5-[3-(диметиламино)фенил]пиридин-2-ила, 5-[3-(трифторметил)фенил]пиридин-2-ила, 5-[4-(метилсульфонил)фенил]пиридин-2-ила, 5-(4-метоксифенил)пиридин-2-ила, 5-(3-метоксифенил)пиридин-2-ила, 5-[3-(аминокарбонил)фенил]пиридин-2-ила, 5-(4-фторфенил)пиридин-2-ила, 5-(3,4-дифторфенил)пиридин-2-ила, 5-(3,5-диметилизоксазол-4-ил)пиридин-2-ила, 5-(1-метил-1Н-пиразол-4-ил)пиридин-2-ила, 5-(1Н-пиразол-4-ил)пиридин-2-ила, 5-(1-бензофуран-2-ил)пиридин-2-ила, 5-(1,3-бензодиоксол-5-ил)пиридин-2-ила, 5-(2-формилфенил)пиридин-2-ила, 4-(2 -формилбифенил)-4-ила, 5-(1,3-оксазол-2-ил)пиридин-2-ила, 6-(1,3-оксазол-2-ил)пиридин-3-ила, 4-(1,3-тиазол-2-ил)фенила, 5-(1,3-тиазол-2-ил)пиридин-2-ила, 6-(1,3-тиазол-2-ил)пиридин-3-ила, 6-(1Н-имидазол-1-ил)пиридин-3-ила, 5-(1Н-имидазол-1-ил)пиридин-2-ила, 6-фенилпиридин-3-ила, 5-(пиримидин-5-ил)пиридин-2-ила, 5-(пиримидин-2-ил)пиридин-2-ила, 5-(3-аминокарбонилфенил)пиридин-2-ила, 4-(1-метил-1Н-имидазол-4-ил)фенила, 4-(1Н-имидазол-4-ил)фенила, 5-[2-(гидроксиметил)фенил]пиридин-2-ила, 2 -(гидроксиметил)бифенил-4-ила, 5-{2-[(диметиламино)метил]фенил}пиридин-2-ила, 2 -[(диметиламино)метил]бифенил-4-ила, 5-фторметилпиразин-2-ила, 5-дифторметилпиразин-2-ила, 5-метилпиразин-2-ила, 2-метилпиримидин-5-ила, 2-фторметилпиримидин-5-ила, 2-дифторметилпиримидин-5-ила, 2-трифторметилпиримидин-5-ила, 2-циклопропилпиримидин-5-ила, изотиазол-5-ила, 3-метилизотиазол-5-ила, 3-фторметилизотиазол-5-ила, 4-(диметиламинокарбонил)фенила, 4-(метиламинокарбонил)фенила, 4-(морфолин-4-илкарбонил)фенила, 4-(пиперидин-1-илкарбонил)фенила, 3-фтор-4-(пирролидин-1-илкарбонил)фенила, 5-(пирролидин-1-илкарбонил)пиридин-2-ила, 5-(диметиламинокарбонил)пиридин-2-ила, 5-(морфолин-4-илкарбонил)пиридин-2-ила, хинолин-4-ила, 6-метоксипиридин-3-ила, 6-(морфолин-4-ил)пиридин-3-ила, 4-(диметиламинометил)фенила, 5-(диметиламинометил)пиридин-2-ила, 5-(диметиламинокарбонил)пиридин-2-ила, 4-[гидрокси(пиридин-3-ил)метил]фенила, 6-[(гидрокси(пиридин-3-ил)метил]пиридин-3-ила, 6-(диметиламинокарбонил)пиридин-3-ила, 4-(4-гидроксипиперидин-1-илкарбонил)фенила, 4-(4-метоксипиперидин-1-илкарбонил)фенила, 5-(4-метоксипиперидин-1-илкарбонил)пиридин-2-ила, 6-(4-метоксипиперидин-1-илкарбонил)пиридин-3-ила, фенокси, бензилокси, 2-тиенила, 2-изопропил-1,3-тиазол-5-ила, 4-(пиримидин-2-ил)фенила, 4-(пиримидин-4-ил)фенила и 5-(метоксиметил)пиридин-2-ила.
5. Соединение по п.2, где R2 представляет Н, R3, R4, R5, R6 представляют водород, R7 представляет гидрокси и R8 представляет водород; R1 выбирают из группы, состоящей из фенила, пиридин-2-ила, 4-метилфенила, 3-метилфенила, 2-метилфенила, 4-бромфенила, 3-бромфенила, 4-хлорфенила, 3-хлорфенила, 4-трифторметилфенила, 3-трифторметилфенила, 2-трифторметилфенила, 2-метоксифенила, 3,4-метилендиоксифенила, 4-фторфенила, 3-трифторметил-1Н-пиразол-1-ила, 3-фторфенила, 4-метоксифенила, 3-метоксифенила, пиридин-4-ила, пиридин-3-ила, хинолин-4-ила, 3-метил-1Н-пиразол-1-ила, 3,5-диметил-1Н-пиразол-1-ила, 4-(метиламинокарбонил)фенила, 1-оксидопиридин-4-ила, 4-метилфенила, 4-метоксифенила, 3-метоксифенила, 4-фторфенила, 3-фторфенила, пиридин-2-ила, пиридин-3-ила, пиридин-4-ила, 4-метилпиридин-2-ила, 5-метилпиридин-2-ила, 6-метилпиридин-2-ила, 6-метоксипиридин-2-ила, 6-метоксипиридин-3-ила, 6-метилпиридин-3-ила, 6-этилпиридин-3-ила, 6-изопропилпиридин-3-ила, 1-оксидопиридин-3-ила, 1-оксидопиридин-2-ила, 3-(метиламинокарбонил)фенила, 1-оксидопиридин-4-ила, 4-(морфолин-4-илкарбонил)фенила, 5-(морфолин-4-илкарбонил)пиридин-2-ила, 6-(морфолин-4-илкарбонил)пиридин-3-ила, 4-(4-метилпиперазин-1-илкарбонил)фенила, 6-(азетидин-1-ил)пиридин-3-ила, 5-метоксиметил)пиридин-2-ила, 5-(1-гидрокси-1-метилэтил)пиридин-2-ила, 5-диметиламинометила, 4-этиламинокарбонилфенила, 4-изопропиламинокарбонилфенила, 4-трет-бутиламинокарбонилфенила, 4-диметиламинокарбонилфенила, 4-(азетидин-1-ил)карбонилфенила, 4-(пирролидин-1-ил)карбонилфенила, 4-(морфолин-4-ил)карбонилфенила, 4-(диметиламинокарбонил)-2-метилфенила, 2-метил-4-(метиламинокарбонил)фенила, 3-метил-4-(метиламинокарбонил)фенила, 4-(диметиламинокарбонил)-3-метилфенила, 3-метил-4-(пирролидин-1-илкарбонил)фенила, 4-(диметиламинокарбонил)-3-фторфенила, 4-[(2,2,2-трифторэтил)аминокарбонил]фенила, 3-фтор-4-метиламинокарбонилфенила, 4-этиламинокарбонил-3-фторфенила, 3-метиламинокарбонилфенила, 3-диметиламинокарбонилфенила, 5-диметиламинокарбонил-2-метоксифенила, 2-метокси-5-метиламинокарбонилфенила, 3-(метиламинокарбониламино)фенила, 6-(морфолин-4-ил)пиридин-3-ила, 6-диметиламинопиридин-3-ила, 6-изопропиламинопирид-3-ила, 6-(пирролидин-1-ил)пиридин-3-ила, 6-этоксипиридин-3-ила, 6-(2-фторэтокси)пиридин-3-ила, 6-(2,2-дифторэтокси)пиридин-3-ила, 6-(2,2,2-трифторэтокси)пиридин-3-ила, 4-иодофенила, 5-(пирролидин-1-илкарбонил)-2-пиридила, 5-(морфолин-4-илкарбонил)-2-пиридила, 5-диметиламинокарбонил-2-пиридила, 4-метиламинокарбониламинофенила, 6-(1-гидрокси-1-метилэтил)пиридин-3-ила, 4-(1-гидрокси-1-метилэтил)фенила, 4-(метоксиметил)фенила, 3-фтор-4-(метоксиметил)фенила, 4-(диметиламино)фенила, 4-(диметиламино)-3-фторфенила, 1Н-индазол-5-ила, 1-метил-1Н-индазол-5-ила, 2-метил-1Н-индазол-5-ила, 1,3-тиазол-2-ила, 5-этил-1,3-тиазол-2-ила, 5-(метиламинокарбонил)-1,3-тиазол-2-ила, 1,3-тиазол-5-ила, 2-(метоксикарбониламино)-1,3-тиазол-5-ила, 2-изопропил-1,3-тиазол-5-ила, 5-(пиридин-3-ил)-1,3-тиазол-2-ила, 5-(морфолин-4-илкарбонил)-1,3-тиазол-2-ила, 5-аминокарбонил-1,3-тиазол-2-ила, 5-диметиламинокарбонил-1,3-тиазол-2-ила, 5-(пирролидин-1-илкарбонил)-1,3-тиазол-2-ила, 5-аллил-1,3-тиазол-2-ила, 5-пропил-1,3-тиазол-2-ила, 5-этиламинокарбонил-1,3-тиазол-2-ила, 5-фенил-1,3-тиазол-2-ила, 5-метил-1,3-тиазол-2-ила, 5-гидроксиметил-1,3-тиазол-2-ила, 5-(1-гидрокси-1-метилэтил)-1,3-тиазол-2-ила, 5-метоксиметил-1,3-тиазол-2-ила, 5-(2-пиридил)-1,3-тиазол-2-ила, 2-(пирролидин-1-ил)-1,3-тиазол-4-ила, 2-(морфолин-4-ил)-1,3-тиазол-4-ила, 2-метил-1,3-тиазол-5-ила, 2-(1-гидрокси-1-метилэтил)-1,3-тиазол-5-ила, 2-(пирролидин-1-ил)-1,3-тиазол-5-ила, 2-этокси-1,3-тиазол-5-ила, 2-этил-1,3-тиазол-5-ила, 2-(пирролидин-1-илметил)-1,3-тиазол-5-ила, 2-(морфолин-4-ил)-1,3-тиазол-5-ила, 2-метоксиметил-1,3-тиазол-5-ила, 2-изобутил-1,3-тиазол-5-ила, 2-этиламинокарбонил-1,3-тиазол-5-ила, 2-(пирролидин-1-илкарбонил)-1,3-тиазол-5-ила, 2-(морфолин-4-илкарбонил)-1,3-тиазол-5-ила, 2-(3-пиридил)-1,3-тиазол-5-ила, 2-(2-пиридил)-1,3-тиазол-5-ила, 4-метил-1,3-тиазол-2-ила, 1,3-бензотиазол-2-ила, пиримидин-5-ила, пиримидин-2-ила, пиридазин-4-ила, пиридазин-3-ила, пиразин-2-ила, 2-метоксипиримидин-5-ила, 2-этоксипиримидин-5-ила, 2-(2-фторэтокси)пиримидин-5-ила, 2-метилпиримидин-5-ила, 2-этилпиридин-5-ила, 2-изопропилпиримидин-5-ила, 2-циклопропилпиримидин-5-ила, пиримидин-4-ила, 4-(пиримидин-5-ил)фенила, 4-(1,3-оксазол-2-ил)фенила, 4-(1Н-имидазол-1-ил)фенила, 4-(морфолин-4-ил)фенила, 5-(пиразин-2-ил)пиридин-2-ила, 4-(1-метил-1Н-имидазол-5-ил)фенила, 4-(4,6-диметилпиримидин-5-ил)фенила, 6-бромпиридин-3-ила, 5-бромпиридин-2-ила, 4 -(метилсульфонил)бифенил-4-ила, 3 -(метилсульфонил)бифенил-4-ила, 3 -(метоксикарбонил)бифенил-4-ила, 4-(2,3-дигидро-1,4-бензодиоксин-6-ил)фенила, 4 -(диметиламино)бифенил-4-ила, 4-(пиридин-3-ил)фенила, 4-(1Н-пиразол-4-ил)фенила, 3,3 -бипиридин-6-ила, 3,4 -бипиридин-6-ила, 5-(3-ацетилфенил)пиридин-2-ила, 5-[3-(диметиламино)фенил]пиридин-2-ила, 5-[3-(трифторметил)фенил]пиридин-2-ила, 5-[4-(метилсульфонил)фенил]пиридин-2-ила, 5-(4-метоксифенил)пиридин-2-ила, 5-(3-метоксифенил)пиридин-2-ила, 5-[3-(аминокарбонил)фенил]пиридин-2-ила, 5-(4-фторфенил)пиридин-2-ила, 5-(3,4-дифторфенил)пиридин-2-ила, 5-(3,5-диметилизоксазол-4-ил)пиридин-2-ила, 5-(1-метил-1Н-пиразол-4-ил)пиридин-2-ила, 5-(1Н-пиразол-4-ил)пиридин-2-ила, 5-(1-бензофуран-2-ил)пиридин-2-ила, 5-(1,3-бензодиоксол-5-ил)пиридин-2-ила, 5-(2-формилфенил)пиридин-2-ила, 4-(2 -формилбифенил)-4-ила, 5-(1,3-оксазол-2-ил)пиридин-2-ила, 6-(1,3-оксазол-2-ил)пиридин-3-ила, 4-(1,3-тиазол-2-ил)фенила, 5-(1,3-тиазол-2-ил)пиридин-2-ила, 6-(1,3-тиазол-2-ил)пиридин-3-ила, 6-(1Н-имидазол-1-ил)пиридин-3-ила, 5-(1Н-имидазол-1-ил)пиридин-2-ила, 6-фенилпиридин-3-ила, 5-(пиримидин-5-ил)пиридин-2-ила, 5-(пиримидин-2-ил)пиридин-2-ила, 5-(3-аминокарбонилфенил)пиридин-2-ила, 4-(1-метил-1Н-имидазол-4-ил)фенила, 4-(1Н-имидазол-4-ил)фенила, 5-[2-(гидроксиметил)фенил]пиридин-2-ила, 2 -(гидроксиметил)бифенил-4-ила, 5-{2-[(диметиламино)метил]фенил}пиридин-2-ила, 2 -[(диметиламино)метил]бифенил-4-ила, 5-фторметилпиразин-2-ила, 5-дифторметилпиразин-2-ила, 5-метилпиразин-2-ила, 2-метилпиримидин-5-ила, 2-фторметилпиримидин-5-ила, 2-дифторметилпиримидин-5-ила, 2-трифторметилпиримидин-5-ила, 2-циклопропилпиримидин-5-ила, изотиазол-5-ила, 3-метилизотиазол-5-ила, 3-фторметилизотиазол-5-ила, 4-(диметиламинокарбонил)фенила, 4-(метиламинокарбонил)фенила, 4-(морфолин-4-илкарбонил)фенила, 4-(пиперидин-1-илкарбонил)фенила, 3-фтор-4-(пирролидин-1-илкарбонил)фенила, 5-(пирролидин-1-илкарбонил)пиридин-2-ила, 5-(диметиламинокарбонил)пиридин-2-ила, 5-(морфолин-4-илкарбонил)пиридин-2-ила, хинолин-4-ила, 6-метоксипиридин-3-ила, 6-(морфолин-4-ил)пиридин-3-ила, 4-(диметиламинометил)фенила, 5-(диметиламинометил)пиридин-2-ила, 5-(диметиламинокарбонил)пиридин-2-ила, 4-[гидрокси(пиридин-3-ил)метил]фенила, 6-[(гидрокси(пиридин-3-ил)метил]пиридин-3-ила, 6-(диметиламинокарбонил)пиридин-3-ила, 4-(4-гидроксипиперидин-1-илкарбонил)фенила, 4-(4-метоксипиперидин-1-илкарбонил)фенила, 5-(4-метоксипиперидин-1-илкарбонил)пиридин-2-ила, 6-(4-метоксипиперидин-1-илкарбонил)пиридин-3-ила, фенокси, бензилокси, 2-тиенила, 2-изопропил-1,3-тиазол-5-ила, 4-(пиримидин-2-ил)фенила, 4-(пиримидин-4-ил)фенила и 5-(метоксиметил)пиридин-2-ила, и
6. Соединение формулы III
 его оптические изомеры или смесь его оптических изомеров и фармацевтически приемлемые соли, где R1 независимо выбирают из группы, состоящей из: арила, гетероарила, арилкарбоксамидо, гетероарилкарбоксамидо, арилокси, арилалкокси или ариламино, и где указанные группы арила, арилалкила или гетероарила могут быть замещены 0-3 заместителями R1a, где R1a независимо выбирают из группы, состоящей из: галогена, алкила, алкенила, алкокси, алкоксиалкила, гидроксиалкила, моно-, ди- или тригалогеноалкила, моно-, ди- или тригалогеноалкокси, моно- или дизамещенного аминоалкила, аминокарбонила, моно- или дизамещенного аминокарбонила, циклического аминокарбонила, алкилсульфонила, остатка этерифицированной карбоновой кислоты, арилкарбониламино, карбамата, R1b-арила или R1b-гетероарила, где R1b представляет Н, галоген, ОН, амино, моно- или дизамещенный амино, моно-, ди- или тригалогеноалкил, алкокси, моно-, ди- или тригалогеноалкокси, гидроксиалкил; R2 независимо выбирают из группы, состоящей из: Н, ОН, циано, галогена или арила; необязательно R1 и R2 могут быть связаны друг с другом с образованием спироцикла; R3, R4, R5 и R6 представляют собой Н; необязательно R1 и R3 могут быть циклизованы с образованием карбоцикла; необязательно R3 и R4 или R5 и R6 циклизованы с образованием мостиковой бициклической системы, содержащей этиленовый мостик; необязательно R3 и R6 циклизованы с образованием мостиковой бициклической системы, содержащей метиленовую группу или этиленовую группу; R7 и R8 независимо выбирают из группы, состоящей из водорода, ОН, С1-С8алкила, арилалкокси, гетероарилалкокси; необязательно R7 и R8 могут быть циклизованы с образованием спирокарбоцикла или спирогетероцикла; и m=1 или 2; где термин «арил» включает ароматические карбоциклические группы, такие как фенил, бифенил, инденил, нафтил, и конденсированные с гетероциклами ароматические группы; где термин «гетероцикл» включает ароматические и неароматические кольца, содержащие от 3 до 10 атомов в кольце, 1-4 из которых является гетероатомом, таким как кислород, сера или азот; где термин «алкил», если его используют отдельно или как суффикс, означает разветвленную или неразветвленную алкильную группу, содержащую от 1 до 8 атомов углерода в цепи; где термин «алкенил» означает ненасыщенную разветвленную или неразветвленную алкильную группу, содержащую от 2 до 12 атомов углерода в цепи. группу, содержащую от 2 до 12 атомов углерода в цепи.
7. Соединение, выбранное из группы, состоящей из: N-(2-{[(3S,4S)-1-циклогексил-4-гидроксипирролидин-3-ил]амино}-2-оксоэтил)-3-(трифторметил)бензамида, N-(2-{[(3S,4S)-4-(бут-2-ин-1-илокси)-1-циклогексилпирролидин-3-ил]амино}-2-оксоэтил)-3-(трифторметил)бензамида, N-(2-{[(3S,4S)-4-(бензилокси)-1-циклогексилпирролидин-3-ил]амино}-2-оксоэтил)-3-(трифторметил)бензамида, N-(2-{[(3S,4S)-1-циклогексил-4-(пиридин-2-илметокси)пирролидин-3-ил]амино}-2-оксоэтил)-3-(трифторметил)бензамида, N-(2-{[(3S,4S)-1-циклогексил-4-(пиридин-3-илметокси)пирролидин-3-ил]амино}-2-оксоэтил)-3-(трифторметил)бензамида, N-(2-{[(3S,4S)-4-гидрокси-1-(4-гидрокси-4-фенилциклогексил)пирролидин-3-ил]амино}-2-оксоэтил)-3-(трифторметил)бензамида, N-(2-{[(3S,4S)-4-гидрокси-1-(4-гидрокси-4-пиридин-2-илциклогексил)пирролидин-3-ил]амино}-2-оксоэтил)-3-(трифторметил)бензамида, N-[2-({(3S,4S)-4-гидрокси-1-[4-гидрокси-4-(4-метилфенил)циклогексил]пирролидин-3-ил}амино)-2-оксоэтил]-3-(трифторметил)бензамида, N-[2-({(3S,4S)-4-гидрокси-1-[4-гидрокси-4-(3-метилфенил)циклогексил]пирролидин-3-ил}амино)-2-оксоэтил]-3-(трифторметил)бензамида, N-[2-({(3S,4S)-4-гидрокси-1-[4гидрокси-4-(2-метилфенил)циклогексил]пирролидин-3-ил}амино)-2-оксоэтил]-3-(трифторметил)бензамида, N-[2-({(3S,4S)-1-[4-(4-бромфенил)-4-гидроксициклогексил]-4-гидроксипирролидин-3-ил}амино)-2-оксоэтил]-3-(трифторметил)бензамида, N-[2-({(3S,4S)-1-[4-(3-бромфенил)-4-гидроксициклогексил]-4-гидроксипирролидин-3-ил}амино)-2-оксоэтил]-3-(трифторметил)бензамида, N-[2-({(3S,4S)-1-[4-(4-хлорфенил)-4-гидроксициклогексил]-4-гидроксипирролидин-3-ил}амино)-2-оксоэтил]-3-(трифторметил)бензамида, N-[2-({(3S,4S)-1-[4-(3-хлорфенил)-4-гидроксициклогексил]-4-гидроксипирролидин-3-ил}амино)-2-оксоэтил]-3-(трифторметил)бензамида, N-[2-({(3S,4S)-4-гидрокси-1-[4-гидрокси-4-(4-трифторметилфенил)циклогексил]пирролидин-3-ил}амино)-2-оксоэтил]-3-(трифторметил)бензамида, N-[2-({(3S,4S)-4-гидрокси-1-[4-гидрокси-4-(3-трифторметилфенил)циклогексил]пирролидин-3-ил}амино)-2-оксоэтил]-3-(трифторметил)бензамида, N-[2-({(3S,4S)-4-гидрокси-]-[4-гидрокси-4-(2-трифторметилфенил)циклогексил]пирролидин-3-ил}амино)-2-оксоэтил]-3-(трифторметил)бензамида, N-[2-({(3S,4S)-4-гидрокси-1-[4-гидрокси-4-(4-метоксифенил)циклогексил]пирролидин-3-ил}амино)-2-оксоэтил]-3-(трифторметил)бензамида, N-[2-({(3S,4S)-4-гидрокси-1-[4-гидрокси-4-(3-метоксифенил)циклогексил]пирролидин-3-ил}амино)-2-оксоэтил]-3-(трифторметил)бензамида, N-[2-({(3S,4S)-4-гидрокси-1-[4-гидрокси-4-(2-метоксифенил)циклогексил]пирролидин-3-ил}амино)-2-оксоэтил]-3-(трифторметил)бензамида, N-[2-({(3S,4S)-4-гидрокси-1-[4-гидрокси-4-(3,4-метилендиоксифенил)циклогексил]пирролидин-3-ил}амино)-2-оксоэтил]-3-(трифторметил)бензамида, N-(2-{[(3S,4S)-4-гидрокси-1-(4-гидрокси-4-пиридин-3-илциклогексил)пирролидин-3-ил}амино}-2-оксоэтил)-3-(трифторметил)бензамида, N-(2-{[(3S,4S)-4-гидрокси-1-(4-гидрокси-4-пиридин-4-илциклогексил)пирролидин-3-ил]амино}-2-оксоэтил)-3-(трифторметил)бензамида, N-(2-{[(3S,4S)-4-гидрокси-1-(4-гидрокси-4-пиридин-2-илциклогексил)пирролидин-3-ил]амино}-2-оксоэтил)-3-(трифторметил)бензамида, N-[2-({(3S,4S)-4-гидрокси-1-[4-гидрокси-4-(6-метоксипиридин-3-ил)циклогексил]пирролидин-3-ил}амино)-2-оксоэтил]-3-(трифторметил)бензамида, N-[2-({(3S,4S)-1-[4-(6-этоксипиридин-3-ил)-4-гидроксициклогексил]-4-гидроксипирролидин-3-ил}амино)-2-оксоэтил]-3-(трифторметил)бензамида, N-(2-{[(3S,4S)-1-(4-циано-4-фенилциклогексил)-4-гидроксипирролидин-3-ил]амино}-2-оксоэтил)-3-(трифторметил)бензамида, N-[2-({(3S,4S)-1-[4-(4-фторфенил)циклогексил]-4-гидроксипирролидин-3-ил}амино)-2-оксоэтил]-3-(трифторметил)бензамида, N-(2-([(3S,4S)-4-гидрокси-1-(4-пиридин-2-илциклогексил)пирролидин-3-ил]амино}-2-оксоэтил)-3-(трифторметил)бензамида, N-{2-[((3S,4S)-4-гидрокси-1-{4-[3-(трифторметил)-1Н-пиразол-1-ил]циклогексил}пирролидин-3-ил)амино]-2-оксоэтил}-3-(трифторметил)бензамида, N-[2-({(3S,4S)-1-[4-(3-фторфенил)циклогексил]-4-гидроксипирролидин-3-ил}амино)-2-оксоэтил]-3-(трифторметил)бензамида, N-[2-({(3S,4S)-1-[4-(4-хлорфенил)циклогексил]-4-гидроксипирролидин-3-ил}амино)-2-оксоэтил]-3-(трифторметил)бензамида, N-[2-({(3S,4S)-1-[4-(3-хлорфенил)циклогексил]-4-гидроксипирролидин-3-ил}амино)-2-оксоэтил]-3-(трифторметил)бензамида, N-[2-({(3S,4S)-1-[4-(4-бромфенил)циклогексил]-4-гидроксипирролидин-3-ил}амино)-2-оксоэтил]-3-(трифторметил)бензамида, N-[2-({(3S,4S)-1-[4-(3-бромфенил)циклогексил]-4-гидроксипирролидин-3-ил}амино)-2-оксоэтил]-3-(трифторметил)бензамида, N-[2-({(3S,4S)-4-гидрокси-1-[4-(4-метилфенил)циклогексил]пирролидин-3-ил}амино)-2-оксоэтил]-3-(трифторметил)бензамида, N-[2-({(3S,4S)-4-гидрокси-1-[4-(3-метилфенил)циклогексил]пирролидин-3-ил}амино)-2-оксоэтил]-3-(трифторметил)бензамида, N-[2-({(3S,4S)-4-гидрокси-1-[4-(2-метилфенил)циклогексил]пирролидин-3-ил}амино)-2-оксоэтил]-3-(трифторметил)бензамида, N-[2-({(3S,4S)-4-гидрокси-1-[4-(4-метоксифенил)циклогексил]пирролидин-3-ил}амино)-2-оксоэтил]-3-(трифторметил)бензамида, N-[2-({(3S,4S)-4-гидрокси-l-[4-(3-метоксифенил)циклогексил]пирролидин-3-ил}амино)-2-оксоэтил]-3-(трифторметил)бензамида, N-[2-({(3S,4S)-4-гидрокси-1-[4-(пиридин-4-ил)циклогексил]пирролидин-3-ил}амино)-2-оксоэтил]-3-(трифторметил)бензамида, N-[2-({(3S,4S)-4-гидрокси-1-[4-(пиридин-2-ил)циклогексил]пирролидин-3-ил}амино)-2-оксоэтил]-3-(трифторметил)бензамида, N-[2-({(3S,4S)-4-гидрокси-1-[4-(5-метилпиридин-2-ил)циклогексил]пирролидин-3-ил}амино)-2-оксоэтил]-3-(трифторметил)бензамида, N-[2-({(3S,4S)-4-гидрокси-1-[4-(6-метилпиридин-2-ил)циклогексил]пирролидин-3-ил}амино)-2-оксоэтил]-3-(трифторметил)бензамида, N-[2-({(3S,4S)-4-гидрокси-1-[4-(хинолин-4-ил)циклогексил]пирролидин-3-ил}амино)-2-оксоэтил]-3-(трифторметил)бензамида, N-[2-({(3S,4S)-4-гидрокси-1-[4-(4-трифторметилфенил)циклогексил]пирролидин-3-ил}амино)-2-оксоэтил]-3-(трифторметил)бензамида, N-[2-({(3S,4S)-4-гидрокси-1-[4-(3-трифторметилфенил)циклогексил]пирролидин-3-ил}амино)-2-оксоэтил]-3-(трифторметил)бензамида, N-[2-({(3S,4S)-4-гидрокси-1-[4-(3,4-метилендиоксифенил)циклогексил]пирролидин-3-ил}амино)-2-оксоэтил]-3-(трифторметил)бензамида, N-{2-[((3S,4S)-4-гидрокси-1-{4-[3-(метил)-1Н-пиразол-1-ил]циклогексил}пирролидин-3-ил)амино]-2-оксоэтил}-3-(трифторметил)бензамида, N-[2-({(3S,4S)-1-[4-(3,5-диметил-1Н-пиразол-1-ил)циклогексил]-4-гидроксипирролидин-3-ил}амино)-2-оксоэтил]-3-(трифторметил)бензамида, N-(2-{[(3S,4S)-4-гидрокси-1-(3Н-спиро[2-бензофуран-1,1 -циклогексан]-4 -ил)пирролидин-3-ил]амино}-2-оксоэтил)-3-(трифторметил)бензамида, N-(2-{[(3S,4S)-4-гидрокси-1-спиро[циклогексан-1,1 -инден]-4-илпирролидин-3-ил]амино}-2-оксоэтил)-3-(трифторметил)бензамида, N-(2-{[(3S,4S)-1-(2 ,3 -дигидроспиро[циклогексан-1,1 -инден]-4-ил)-4-гидроксипирролидин-3-ил]амино}-2-оксоэтил)-3-(трифторметил)бензамида, N-(2-{[(9S)-7-(4-гидрокси-4-фенилциклогексил)-1-окса-7-азаспиро[4,4]нон-9-ил]амино}-2-оксоэтил)-3-(трифторметил)бензамида, N-(2-{[(3S,4S)-4-этокси-1-(4-гидрокси-4-фенилциклогексил)пирролидин-3-ил]амино}-2-оксоэтил)-3-(трифторметил)бензамида, N-[2-({(3S,4S)-1-[4-(4-цианофенил)-4-гидроксициклогексил]-4-этоксипирролидин-3-ил}амино)-2-оксоэтил]-3-(трифторметил)бензамида, N-[2-({(3S,4S)-1-[4-(4-цианофенил)-4-гидроксициклогексил]-4-этоксипирролидин-3-ил}амино)-2-оксоэтил]-3-(трифторметил)бензамида, N-[2-({(3S,4S)-4-этокси-1-[4-гидрокси-4-(1-оксидопиридин-4-ил)циклогексил]пирролидин-3-ил}амино)-2-оксоэтил]-3-(трифторметил)бензамида, N-[2-({(3S,4S)-4-этокси-1-[4-гидрокси-4-(4-метилфенил)циклогексил]пирролидин-3-ил}амино)-2-оксоэтил]-3-(трифторметил)бензамида, N-[2-({(3S,4S)-4-этокси-1-[4-гидрокси-4-(4-метоксифенил)циклогексил]пирролидин-3-ил}амино)-2-оксоэтил]-3-(трифторметил)бензамида, N-[2-({(3S,4S)-4-этокси-1-[4-гидрокси-4-(3-метоксифенил)циклогексил]пирролидин-3-ил}амино)-2-оксоэтил]-3-(трифторметил)бензамида, N-[2-({(3S,4S)-4-этокси-1-[4-(4-фторфенил)-4-гидроксициклогексил]пирролидин-3-ил}амино)-2-оксоэтил]-3-(трифторметил)бензамида, N-[2-({(3S,4S)-4-этокси-1-[4-(3-фторфенил)-4-гидроксициклогексил] пирролидин-3-ил}амино)-2-оксоэтил]-3-(трифторметил)бензамида, N-[2-({(3S,4S)-4-этокси-1-[4-(4-хлорфенил)-4-гидроксициклогексил]пирролидин-3-ил}амино)-2-оксоэтил]-3-(трифторметил)бензамида, N-[2-({(3S,4S)-4-этокси-1-[4-гидрокси-4-(3,4-метилендиоксифенил)циклогексил]пирролидин-3-ил}амино)-2-оксоэтил]-3-(трифторметил)бензамида, N-[2-({(3S,4S)-4-этокси-1-[4-гидрокси-4-(пиридин-2-ил)циклогексил]пирролидин-3-ил}амино)-2-оксоэтил]-3-(трифторметил)бензамида, N-[2-({(3S,4S)-4-этокси-1-[4-гидрокси-4-(пиридин-3-ил)циклогексил]пирролидин-3-ил}амино)-2-оксоэтил]-3-(трифторметил)бензамида, N-[2-({(3S,4S)-4-этокси-1-[4-гидрокси-4-(пиридин-4-ил)циклогексил]пирролидин-3-ил}амино)-2-оксоэтил]-3-(трифторметил)бензамида, N-[2-({(3S,4S)-4-этокси-1-[4-гидрокси-4-(4-метилпиридин-2-ил)циклогексил]пирролидин-3-ил}амино)-2-оксоэтил]-3-(трифторметил)бензамида, N-[2-({(3S,4S)-4-этокси-1-[4-гидрокси-4-(5-метилпиридин-2-ил)циклогексил]пирролидин-3-ил}амино)-2-оксоэтил]-3-(трифторметил)бензамида, N-[2-{(3S,4S)-4-этокси-1-[4-гидрокси-4-(6-метилпиридин-2-ил)циклогексил]пирролидин-3-ил}амино)-2-оксоэтил]-3-(трифторметил)бензамида, N-[2-({(3S,4S)-4-этокси-1-[4-гидрокси-4-(6-метоксипиридин-3-ил)циклогексил]пирролидин-3-ил}амино)-2-оксоэтил]-3-(трифторметил)бензамида, N-[2-({(3S,4S)-4-этокси-1-[4-гидрокси-4-(1-оксидопиридин-2-ил)циклогексил]пирролидин-3-ил}амино)-2-оксоэтил]-3-трифторметил)бензамида, N-[2-({(3S,4S)-4-этокси-1-[4-гидрокси-4-(1-оксидопиридин-3-ил)циклогексил]пирролидин-3-ил}амино)-2-оксоэтил]-3-трифторметил)бензамида, N-[2-({(3S,4S)-4-этокси-1-[4-гидрокси-4-(хинолин-4-ил)циклогексил]пирролидин-3-ил}амино)-2-оксоэтил]-3-(трифторметил)бензамида, N-[2-({(3S,4S)-4-этокси-1-[4-(3-цианофенил)-4-гидроксициклогексил]пирролидин-3-ил}амино)-2-оксоэтил]-3-(трифторметил)бензамида, N-[2-({(3S,4S)-4-этокси-1-[4-гидрокси-4-(3-метиламинокарбонилфенил)циклогексил]пирролидин-3-ил}амино)-2-оксоэтил]-3-(трифторметил)бензамида, N-(2-{[(3S,4S)-4-этокси-1-(4-пиридин-4-илциклогексил)пирролидин-3-ил]амино}-2-оксоэтил)-3-(трифторметил)бензамида, N-(2-{[(3S,4S)-4-этокси-1-(4-пиридин-3-илциклогексил)пирролидин-3-ил]амино}-2-оксоэтил)-3-(трифторметил)бензамида, N-(2-{[(3S,4S)-4-этокси-1-(4-пиридин-2-илциклогексил)пирролидин-3-ил]амино}-2-оксоэтил)-3-(трифторметил)бензамида, N-[2-({(3S,4S)-4-этокси-1-[4-(1-оксидопиридин-4-ил)циклогексил]пирролидин-3-ил}амино)-2-оксоэтил]-3-(трифторметил)бензамида, N-[2-({(3S,4S)-4-этокси-1-[4-(1-оксидопиридин-3-ил)циклогексил]пирролидин-3-ил}амино)-2-оксоэтил]-3-(трифторметил)бензамида, N-[2-({(3S,4S)-4-этокси-1-[4-(1-оксидопиридин-2-ил)циклогексил]пирролидин-3-ил}амино)-2-оксоэтил]-3-(трифторметил)бензамида, N-[2-({(3S,4S)-4-этокси-1-[4-(6-метоксипиридин-3-ил)циклогексил]пирролидин-3-ил}амино)-2-оксоэтил]-3-(трифторметил)бензамида, N-{2-[((3S,4S)-4-этокси-1-{4-[4-(морфолин-4-илкарбонил)фенил]циклогексил}пирролидин-3-ил)амино]-2-оксоэтил}-3-(трифторметил)бензамида, N-{2-[((3S,4S)-4-этокси-1-{4-[5-(морфолин-4-илкарбонил)пиридин-2-ил]циклогексил}пирролидин-3-ил)амино]-2-оксоэтил}-3-(трифторметил)бензамида, N-{2-[((3S,4S)-4-этокси-1-{4-[6-(морфолин-4-илкарбонил)пиридин-3-ил]циклогексил}-пирролидин-3-ил)амино]-2-оксоэтил}-3-(трифторметил)бензамида, N-{2-[((3S,4S)-4-этокси-1-{4-[4-(4-метилпиперазин-1-илкарбонил)фенил]циклогексил}пирролидин-3-ил)амино]-2-оксоэтил}-3-(трифторметил)бензамида, N-[2-({(3S,4S)-4-этокси-1-[4-(3-метил-1Н-пиразол-1-ил)циклогексил]пирролидин-3-ил}амино)-2-оксоэтил]-3-(трифторметил)бензамида, N-[2-({(3S,4S)-4-этокси-1-[4-(3-трифторметил-1Н-пиразол-1-ил)циклогексил]пирролидин-3-ил}амино)-2-оксоэтил]-3-(трифторметил)бензамида, N-(2-{[(3S,4S)-4-этокси-1-(3Н-спиро[2-бензофуран-1,1 -циклогексан]-4-ил)пирролидин-3-ил]амино}-2-оксоэтил)-3-(трифторметил)бензамида, N-(2-{[(3S,4S)-4-этокси-1-спиро[циклогексан-1,1 -инден]-4-илпирролидин-3-ил]амино}-2-оксоэтил)-3-(трифторметил)бензамида, N-(2-{[(3S,4S)-1-(2 ,3 -дигидроспиро[циклогексан-1,1 -инден]-4-ил)-4-этоксипирролидин-3-ил]амино}-2-оксоэтил)-3-(трифторметил)бензамида, N-[2-({(3S,4S)-1-[4-гидрокси-4-(1-оксидопиридин-4-ил)циклогексил]-4-пропоксипирролидин-3-ил}амино)-2-оксоэтил]-3-(трифторметил)бензамида, N-[2-({(3S,4S)-1-[4-гидрокси-4-(пиридин-4-ил)циклогексил]-4-пропоксипирролидин-3-ил}амино)-2-оксоэтил]-3-(трифторметил)бензамида, N-[2-({(3S,4S)-1-[4-гидрокси-4-(пиридин-3-ил)циклогексил]-4-пропоксипирролидин-3-ил}амино)-2-оксоэтил]-3-(трифторметил)бензамида, N-[2-({(3S,4S)-1-[4-гидрокси-4-(пиридин-2-ил)циклогексил]-4-пропоксипирролидин-3-ил}амино)-2-оксоэтил]-3-(трифторметил)бензамида, N-[2-({(3S,4S)-1-[4-гидрокси-4-(хинолин-4-ил)циклогексил]-4-пропоксипирролидин-3-ил}амино)-2-оксоэтил]-3-(трифторметил)бензамида, N-[2-({(3S,4S)-1-[4-гидрокси-4-(6-метоксипиридин-3-ил)циклогексил]-4-пропоксипирролидин-3-ил}амино)-2-оксоэтил]-3-(трифторметил)бензамида, N-[2-({(3S,4S)-1-[4-гидрокси-4-(4-метилпиридин-2-ил)циклогексил]-4-пропоксипирролидин-3-ил}амино)-2-оксоэтил]-3-(трифторметил)бензамида, N-[2-({(3S,4S)-1-[4-гидрокси-4-(5-метилпиридин-2-ил)циклогексил]-4-пропоксипирролидин-3-ил}амино)-2-оксоэтил]-3-(трифторметил)бензамида, N-[2-({(3S,4S)-1-[4-гидрокси-4-(6-метилпиридин-2-ил)циклогексил]-4-пропоксипирролидин-3-ил}амино)-2-оксоэтил]-3-(трифторметил)бензамида, N-[2-({(3S,4S)-1-[4-гидрокси-4-(6-метоксипиридин-2-ил)циклогексил]-4-пропоксипирролидин-3-ил}амино)-2-оксоэтил]-3-(трифторметил)бензамида, N-[2-({(3S,4S)-1-[4-гидрокси-4-(1-оксидопиридин-3-ил)циклогексил]-4-пропоксипирролидин-3-ил}амино)-2-оксоэтил]-3-(трифторметил)бензамида, N-[2-({(3S,4S)-1-[4-гидрокси-4-фенилциклогексил]-4-пропоксипирролидин-3-ил}амино)-2-оксоэтил]-3-(трифторметил)бензамида, N-[2-({(3S,4S)-1-[4-гидрокси-4-(4-метоксифенил)циклогексил]-4-пропоксипирролидин-3-ил}амино)-2-оксоэтил]-3-(трифторметил)бензамида, N-[2-({(3S,4S)-1-[4-гидрокси-4-(3,4-метилендиоксифенил)циклогексил]-4-пропоксипирролидин-3-ил}амино)-2-оксоэтил]-3-(трифторметил)бензамида, N-(2-оксо-2-{[(3S,4S)-4-пропокси-1-(4-пиридин-3-илциклогексил)пирролидин-3-ил]амино}-этил)-3-(трифторметил)бензамида, N-(2-оксо-2-{[(3S,4S)-4-пропокси-1-(4-пиридин-4-илциклогексил)пирролидин-3-ил]амино}этил)-3-(трифторметил)бензамида, N-[2-({(3S,4S)-1-[4-(3-метил-1Н-пиразол-1-ил)циклогексил]-4-пропоксипирролидин-3-ил}амино)-2-оксоэтил]-3-(трифторметил)бензамида, N-[2-({(3S,4S)-1-[4-(3,5-диметил-1Н-пиразол-1-ил)циклогексил]-4-пропоксипирролидин-3-ил}амино)-2-оксоэтил]-3-(трифторметил)бензамида, N-(2-оксо-2-{[(3S,4S)-4-пропокси-1-(3H-спиро[2-бензофуран-1,1 -циклогексан]-4 -ил)пирролидин-3-ил]амино}этил)-3-(трифторметил)бензамида, N-(2-оксо-2-{[(3S,4S)-4-пропокси-1-спиро[циклогексан-1,1 -инден]-4-илпирролидин-3-ил]амино}этил)-3-(трифторметил)бензамида, N-({(3R)-1-[4-гидрокси-4-(6-метоксипиридин-3-ил)циклогексил]пирролидин-3-илкарбамоил}метил)-3-трифторметилбензамид, N-(2-{[(3R)-1-(4-гидрокси-4-пиридин-2-илциклогексил)пирролидин-3-ил]амино}-2-оксоэтил)-3-(трифторметил)бензамида, N-[2-({(3R)-1-[4-(6-азетидин-1-илпиридин-3-ил)-4-гидроксициклогексил]пирролидин-3-ил}амино)-2-оксоэтил]-3-(трифторметил)бензамида, N-[2-({(3R)-1-[4-(5-цианопиридин-2-ил)-4-гидроксициклогексил]пирролидин-3-ил}амино)-2-оксоэтил]-3-(трифторметил)бензамида, N-[2-({(3R)-1-[4-(6-цианопиридин-3-ил)-4-гидроксициклогексил]пирролидин-3-ил}амино)-2-оксоэтил]-3-(трифторметил)бензамида, N-[2-({(3R))-1-{транс-4-гидрокси-4-[5-(метоксиметил)пиридин-2-ил]циклогексил}пирролидин-3-ил)амино]-2-оксоэтил}-3-(трифторметил)бензамида, N-{2-[((3R)-1-{4-гидрокси-4-[5-(1-гидрокси-1-метилэтил)пиридин-2-ил]циклогексил}пирролидин-3-ил)амино]-2-оксоэтил}-3-(трифторметил)бензамида, N-(2-{[(3R)-1-(4-{5-[(диметиламино)метил]пиридин-2-ил}-4-гидроксициклогексил)пирролидин-3-ил]амино}-2-оксоэтил)-3-(трифторметил)бензамида, N-(2-{[(3R)-1-(4-гидрокси-4-пиридин-3-илциклогексил)пирролидин-3-ил]амино}-2-оксоэтил)-3-(трифторметил)бензамида, N-(2-{[(3R)-1-(4-гидрокси-4-пиридин-4-илциклогексил)пирролидин-3-ил]амино}-2-оксоэтил)-3-(трифторметил)бензамида, N-[2-({(3R)-1-[4-гидрокси-4-(6-метилпиридин-2-ил)циклогексил]пирролидин-3-ил}амино)-2-оксоэтил]-3-(трифторметил)бензамида, N-[2-({(3R)-1-[4-гидрокси-4-(5-метилпиридин-2-ил)циклогексил]пирролидин-3-ил}амино)-2-оксоэтил]-3-(трифторметил)бензамида, N-[2-({(3R)4-[4-гидрокси-4-(4-метилпиридин-2-ил)циклогексил]пирролидин-3-ил}амино)-2-оксоэтил]-3-(трифторметил)бензамида, N-[2-({(3R)-1-[4-гидрокси-4-(1-оксидопиридин-2-ил)циклогексил]пирролидин-3-ил}амино)-2-оксоэтил]-3-(трифторметил)бензамида, N-[2-({(3R)-1-[4-гидрокси-4-(1-оксидопиридин-3-ил)циклогексил]пирролидин-3-ил}амино)-2-оксоэтил]-3-(трифторметил)бензамида, N-[2-({(3R)-1-[4-гидрокси-4-(1-оксидопиридин-4-ил)циклогексил]пирролидин-3-ил}амино)-2-оксоэтил]-3-(трифторметил)бензамида, N-[2-({(3R-1-[4-гидрокси-4-(6-метоксипиридин-2-ил)циклогексил]пирролидин-3-ил}амино)-2-оксоэтил]-3-(трифторметил)бензамида, N-[2-({(3R)-1-[4-гидрокси-4-(хинолин-4-ил)циклогексил]пирролидин-3-ил}амино)-2-оксоэтил]-3-(трифторметил)бензамида, N-[2-({(3R)-1-[4-(4-цианофенил)-4-гидроксициклогексил]пирролидин-3-ил}амино)-2-оксоэтил]-3-(трифторметил)бензамида, N-[2-({(3R)-1-[4-(3-цианофенил)-4-гидроксициклогексил]пирролидин-3-ил}амино)-2-оксоэтил]-3-(трифторметил)бензамида, N-(2-{[(3R)-1-(4-гидрокси-4-{4-[(метиламино)карбонил]фенил}циклогексил)пирролидин-3-ил]амино}-2-оксоэтил)-3-(трифторметил)бензамида, N-(2-{[(3R)-1-(4-{4-[(этиламино)карбонил]фенил}-4-гидроксициклогексил)пирролидин-3-ил]амино}-2-оксоэтил)-3-(трифторметил)бензамида, N-(2-{[(3R)-1-(4-гидрокси-4-{4-[(изопропиламино)карбонил]фенил}циклогексил)пирролидин-3-ил]амино}-2-оксоэтил)-3-(трифторметил)бензамида, N-(2-{[(3R)-1-(4-{4-((трет-бутиламино)карбонил]фенил}-4гидроксициклогексил)пирролидин-3-ил]амино}-2-оксоэтил)-3-(трифторметил)бензамида, N-(2-{[(3R)-1-(4-{4-[(диметиламино)карбонил]фенил}-4-гидроксициклогексил)пирролидин-3-ил]амино}-2-оксоэтил)-3-(трифторметил)бензамида, N-(2-{[(3R)-1-(4-{4-[(азетидин-1-ил)карбонил]фенил}-4-гидроксициклогексил)пирролидин-3-ил]амино}-2-оксоэтил)-3-(трифторметил)бензамида, N-(2-{(3R)-1-(4-гидрокси-4-{4-[(пирролидин-1-ил)карбонил]фенил}циклогексил)пирролидин-3-ил]амино}-2-оксоэтил)-3-(трифторметил)бензамида, N-(2-{[(3R)-1-(4-гидрокси-4-{4-[(морфолин-4-ил)карбонил]фенил}циклогексил)пирролидин-3-ил]амино}-2-оксоэтил)-3-(трифторметил)бензамида, N-[2-({(3R)-1-[4-гидрокси-4-(4-{[(2,2,2-трифторэтил)амино]карбонил}фенил)циклогексил]пирролидин-3-ил}амино)-2-оксоэтил]-3-(трифторметил)бензамида, N-[2-({(3R)-1-[4-гидрокси-4-(3-{[(метиламине)карбонил]амино}фенил)циклогексил]пирролидин-3-ил}амино)-2-оксоэтил]-3-(трифторметил)бензамида, N-[2-({(3R)-1-[4-гидрокси-4-(6-морфолин-4-илпиридин-3-ил)циклогексил]пирролидин-3-ил}амино)-2-оксоэтил]-3-(трифторметил)бензамида, N-{2-[((3R)-1-{4-[6(диметиламино)пиридин-3-ил]-4-гидроксициклогексил}пирролидин-3-ил)амино]-2-оксоэтил}-3-(трифторметил)бензамида, N-{2-[((3R)-1-{4-гидрокси-4-[6-(изопропиламино)пиридин-3-ил]циклогексил}пирролидин-3-ил)амино]-2-оксоэтил}-3-(трифторметил)бензамида, N-{2-[((3R)-1-{4-гидрокси-4-[6-(пирролидин-1-ил)пиридин-3-ил]циклогексил}пирролидин-3-ил)амино]-2-оксоэтил}-3-(трифторметил)бензамида, N-{2-[((3R)-1-{4-[6-(циклопропиламино)пиридин-3-ил]-4-гидроксициклогексил}пирролидин-3-ил)амино]-2-оксоэтил}-3-(трифторметил)бензамида, N-[2-({(3R)-1-[4-(6-этоксипиридин-3-ил)-4-гидроксициклогексил]пирролидин-3-ил}амино)-2-оксоэтил]-3-(трифторметил)бензамида, N-{2-[((3R)-1-{4-[6-(2-фторэтокси)пиридин-3-ил]-4-гидроксициклогексил}пирролидин-3-ил)амино]-2-оксоэтил}-3-(трифторметил)бензамида, N-{2-[((3R)-1-{4-[6-(2,2-дифторэтокси)пиридин-3-ил]-4-гидроксициклогексил}пирролидин-3-ил)амино]-2-оксоэтил}-3-(трифторметил)бензамида, N-{2-[((3R)-1-{4-гидрокси-4-[6-(2,2,2-трифторэтокси)пиридин-3-ил]циклогексил}пирролидин-3-ил)амино]-2-оксоэтил}-3-(трифторметил)бензамида, N-(2-{[(3R)-1-(4-гидрокси-4-феншщиклогексил)пирролидин-3-ил]амино}-2-оксоэтил)-3-(трифторметил)бензамида, N-[2-({(3R)-1-[4-гидрокси-4-(4-метилфенил)циклогексил]пирролидин-3-ил}амино)-2-оксоэтил]-3-(трифторметил)бензамида, N-[2-({(3R)-1-[4-(4-фторфенил)-4-гидроксициклогексил]пирролидин-3-ил}амино)-2-оксоэтил]-3-(трифторметил)бензамида, N-[2-({(3R)-1-[4-(3-фторфенил)-4-гидроксициклогексил]пирролидин-3-ил}амино)-2-оксоэтил]-3-(трифторметил)бензамида, N-[2-({(3R)-1-[4-(4-бромфенил)-4-гидроксициклогексил]пирролидин-3-ил}амино)-2-оксоэтил]-3-(трифторметил)бензамида, N-[2-({(3R)-1-[4-гидрокси-4-(4-иодофенил)циклогексил]пирролидин-3-ил}амино)-2-оксоэтил]-3-(трифторметил)бензамида, N-{2-[((3R)-1-{4-гидрокси-4-[5-(пирролидин-1-илкарбонил)пиридин-2-ил}циклогексил}пирролидин-3-ил)амино]-2-оксоэтил}-3-(трифторметил)бензамида, N-{2-[((3R)-1-{4-гидрокси-4-[5-(морфолин-4-илкарбони л)пиридин-2-ил]циклогексил}пирролидин-3-ил)амино]-2-оксоэтил}-3-(трифторметил)бензамида, 6-(1-гидрокси-4-{(3R)-3-[({[3-(трифторметил)бензоил]амино}ацетил)амино]пирролидин-1-ил}циклогексил)-N,N-диметилникотинамид, N-[2-({(3R)-1-[4-гидрокси-4-(4-{[(метиламине)карбонил]амино}фенил)циклогексил]пирролидин-3-ил}амино)-2-оксоэтил]-3-(трифторметил)бензамида, N-{2-[((3R)-1-{4-гидрокси-4-[6-(1-гидрокси-1-метилэтил)пиридин-3-ил]циклогексил}пирролидин-3-ил)амино]-2-оксоэтил}-3-(трифторметил)бензамида, N-{2-[((3R)-1-{4-гидрокси-4-[4-(1-гидрокси-1-метилэтил)фенил]цикл огексил}пирролидин-3-ил)амино]-2-оксоэтил}-3-(трифторметил)бензамида, N-{2-[((3R)-1-{4-гидрокси-4-[4-(метоксиметил)фенил]циклогексил} пирролидин-3-ил)амино]-2-оксоэтил}-3-(трифторметил)бензамида, N-{2-[((3R)-1-{4-[3-фтор-4-(метоксиметил)фенил]-4-гидроксициклогексил}пирролидин-3-ил)амино]-2-оксоэтил}-3-(трифторметил)бензамида, N-(2-{[(3R)-1-(4-{4-[(диметиламино)метил]фенил}-4-гидроксициклогексил)пирролидин-3-ил]амино}-2-оксоэтил)-3-(трифторметил)бензамида, N-(2-{[(3R)-1-(4-(4-[(диметиламино)метил]-3-фторфенил}-4-гидроксициклогексил)пирролидин-3-ил]амино}-2-оксоэтил)-3-(трифторметил)бензамида, N-[2-({(3R)-1-[4-гидрокси-4-(1Н-индазол-5-ил)циклогексил]пирролидин-3-ил}амино)-2-оксоэтил]-3-(трифторметил)бензамида, N-[2-({(3R)-1-[4-гидрокси-4-(1-метил-1Н-индазол-5-ил)циклогексил]пирролидин-3-ил}амино)-2-оксоэтил]-3-(трифторметил)бензамида, N-[2-({(3R)-1-[4-гидрокси-4-(2-метил-1Н-индазол-5-ил)циклогексил]пирролидин-3-ил}амино)-2-оксоэтил]-3-(трифторметил)бензамида, N,N-диметил-4-(4-{(3R)-3-[({[3-(трифторметил)бензоил]амино}ацетил)амино]пирролидин-1-ил}циклогексил)бензамида, N-(2-{[(3R)-1-(4-{4-[(метиламино)карбонил]фенил}циклогексил)пирролидин-3-ил]амино}2-оксоэтил)-3-(трифторметил)бензамида, N-(2-{[(3R)-1-(4-{4-[(морфолин-4-ил)карбонил]фенил}циклогексил)пирролидин-3-ил]амино}-2-оксоэтил)-3-(трифторметил)бензамида, N-(2-{[(3R)-1-(4-{4-[(пиперидин-1-ил)карбонил]фенил}циклогексил)пирролидин-3-ил]амино}-2-оксоэтил)-3-(трифторметил)бензамида, N-{2-[((3R)-1-{4-[3-фтор-4-(пирролидин-1-илкарбонил)фенил]циклогексил}пирролидин-3-ил)амино]-2-оксоэтил}-3-(трифторметил)бензамида, N-{2-оксо-2-[((3R)-1-{4-[5-(пирролидин-1-илкарбонил)пиридин-2-ил]циклогексил}пирролидин-3-ил)амино]этил}-3-(трифторметил)бензамида, N,N-диметил-6-(4-{(3R)-3-[({[3-(трифторметил)бензоил]амино}ацетил)амино]пирролидин-1-ил}циклогексил)никотинамида, N-{2-[((3R)-1-{4-[5-(морфолин-4-илкарбонил)пиридин-2-ил]циклогексил}пирролидин-3-ил)амино]-2-оксоэтил}-3-(трифторметил)бензамида, N-(2-оксо-2-{[(3R)-1-(4-пиридин-2-илциклогексил)пирролидин-3-ил]амино}этил)-3-(трифторметил)бензамида, N-(2-оксо-2-{[(3R)-1-(4-пиридин-3-илциклогексил)пирролидин-3-ил]амино}этил)-3-(трифторметил)бензамида, N-(2-оксо-2-{[(3R)-1-(4-пиридин-4-илциклогексил)пирролидин-3-ил]амино}этил)-3-(трифторметил)бензамида, N-[2-({(3R)4-[4-(1-оксидопиридин-2-ил)циклогексил]пирролидин-3-ил}амино)-2-оксоэтил]-3-(трифторметил)бензамида, N-[2-({(3R)-1-[4-(1-оксидопиридин-3-ил)циклогексил]пирролидин-3-ил}амино)-2-оксоэтил]-3-(трифторметил)бензамида, N-[2-({(3R)-1-[4-(1-оксидопиридин-4-ил)циклогексил]пирролидин-3-ил}амино)-2-оксоэтил]-3-(трифторметил)бензамида, N-[2-({(3R)-1-[4-(хинолин-4-ил)циклогексил]пирролидин-3-ил}амино)-2-оксоэтил]-3-(трифторметил)бензамида, N-[2-({(3R)-1-[4-(6-метоксипиридин-3-ил)циклогексил]пирролидин-3-ил}амино)-2-оксоэтил]-3-(трифторметил)бензамида, N-[2-({(3R)-1-[4-(6-морфолин-4-илпиридин-3-ил)циклогексил]пирролидин-3-ил}амино)-2-оксоэтил]-3-(трифторметил)бензамида, N-(2-{[(3R)-1-(4-{4-[(диметиламино)метил]фенил}циклогексил)пирролидин-3-ил]амино}-2-оксоэтил)-3-(трифторметил)бензамида, N-(2-{[(3R)-1-(4-{5-[(диметиламино)метил]пиридин-2-ил}циклогексил)пирролидин-3-ил]амино}-2-оксоэтил)-3-(трифторметил)бензамида, N-(2-{[(3R)-1-(4-{5-[(диметиламино)карбонил]пиридин-2-ил}циклогексил)пирролидин-3-ил]амино}-2-оксоэтил)-3-(трифторметил)бензамида, N-(2-{[(3R)-1-(4-{4-[гидрокси(пиридин-3-ил)метил]фенил}циклогексил)пирролидин-3-ил]амино}-2-оксоэтил)-3-(трифторметил)бензамида, N-(2-{[(3R)-1-(4-{6-[гидрокси(пиридин-3-ил)метил]пиридин-3-ил}циклогексил)пирролидин-3-ил]амино}-2-оксоэтил)-3-(трифторметил)бензамида, N,N-диметил-5-(4-{(3R)-3-[({[3-(трифторметил)бензоил]амино}ацетил)амино]пирролидин-1-ил}циклогексил)пиридин-2-карбоксамида, N-(2-{[(3R)-1-(4-{4-[(4-гидроксипиперидин-1-ил)карбонил]фенил}циклогексил)пирролидин-3-ил]амино}-2-оксоэтил)-3-(трифторметил)бензамида, N-(2-{[(3R)-1-(4-{4-[(3-гидроксипиперидин-1-ил)карбонил]фенил}циклогексил)пирролидин-3-ил]амино}-2-оксоэтил)-3-(трифторметил)бензамида, N-(2-{[(3R)-1-(4-{4-[(4-метоксипиперидин-1-ил)карбонил]фенил}циклогексил)пирролидин-3-ил]амино}-2-оксоэтил)-3-(трифторметил)бензамида, N-(2-{[(3R)-1-(4-{4-[(3-метоксипиперидин-1-ил)карбонил]фенил}циклогексил)пирролидин-3-ил]амино}-2-оксоэтил)-3-(трифторметил)бензамида, N-(2-{[(3R)-1-(4-{5-[(4-метоксипиперидин-1-ил)карбонил]пиридин-2-ил}циклогексил)пирролидин-3-ил]амино}-2-оксоэтил)-3-(трифторметил)бензамида, N-(2-{[(3R)-1-(4-{6-[(4-метоксипиперидин-1-ил)карбонил]пиридин-3-ил}циклогексил)пирролидин-3-ил]амино}-2-оксоэтил)-3-(трифторметил)бензамида, N-(2-оксо-2-{[(3R)-1-(4-феноксициклогексил)пирролидин-3-ил]амино}этил)-3-(трифторметил)бензамида, N-[2-({(3R)-1-[4-(бензилокси)циклогексил]пирролидин-3-ил}амино)-2-оксоэтил]-3-(трифторметил)бензамида, N-(2-{[(3R)-1-(4,4-дифенилциклогексил)пирролидин-3-ил]амино}-2-оксоэтил)-3-(трифторметил)бензамида, N-[2-({(3R)-1-[транс-2-(бензилокси)циклогексил]пирролидин-3-ил}амино)-2-оксоэтил]-3-(трифторметил)бензамида, N-[2-({(3R)-1-[цис-2-(бензоиламино)циклогексил]пирролидин-3-ил}амино)-2-оксоэтил]-3-(трифторметил)бензамида, N-{2-оксо-2-[((3R)-1-{цис-2-[(фенилацетил)амино]циклогексил}пирролидин-3-ил)амино]этил}-3-(трифторметил)бензамида, N-[2-({(3R)-1-[цис-2-(бензиламино)циклогексил]пирролидин-3-ил}амино)-2-оксоэтил]-3-(трифторметил)бензамида, N-[2-({(3R)-1-[4-гидрокси-4-(1,3-тиазол-2-ил)циклогексил]пирролидин-3-ил}амино)-2-оксоэтил]-3-(трифторметил)бензамида, N-[2-({(3R)-1-[4-(5-этил-1,3-тиазол-2-ил)-4-гидроксициклогексил]пирролидин-3-ил}амино)-2-оксоэтил]-3-(трифторметил)бензамида, 2-(1-гидрокси-4-{(3R)-3-[({[3-(трифторметил)бензоил]амино}ацетил)амино]пирролидин-1-ил}циклогексил)-N-метил-1,3-тиазол-5-карбоксамида, 3-(трифторметил)-N-[2-({(3R)-1-[4-гидрокси-4-(1,3-тиазол-5-ил)циклогексил]пирролидин-3-ил}амино)-2-оксоэтил]бензамида, метил[5-(1-гидрокси-4-{(3R)-3-[({[3-(трифторметил)бензоил]амино}ацетил)амино]пирролидин-1-ил}циклогексил)-1,3-тиазол-2-ил]карбамата, N-[2-({(3R)-1-[4-гидрокси-4-(2-изопропил-1,3-тиазол-5-ил)циклогексил]пирролидин-3-ил}амино)-2-оксоэтил]-3-(трифторметил)бензамида, N-[2-({(3R)-1-[4-гидрокси-4-(5-пиридин-3-ил-1,3-тиазол-2-ил)циклогексил]пирролидин-3-ил}амино)-2-оксоэтил]-3-(трифторметил)бензамида, N-{2-[((3R)-1-{4-гидрокси-4-[5-(морфолин-4-илкарбонил)-1,3-тиазол-2-ил]циклогексил}пирролидин-3-ил)амино]-2-оксоэтил}-3-(трифторметил)бензамида, 2-(1-гидрокси-4-{(3R)-3-[({[3-(трифторметил)бензоил]амино}ацетил)амино]пирролидин-1-ил}циклогексил)-1,3-тиазол-5-карбоксамида, 2-(1-гидрокси-4-{(3R)-3-[({[3-(трифторметил)бензоил]амино}ацетил)амино]пирролидин-1-ил}циклогексил)-N,N-диметил-1,3-тиазол-5-карбоксамида, N-{2-[((3R)-1-{4-гидрокси-4-[5-(пирролидин-1-илкарбонил)-1,3-тиазол-2-ил]циклогексил}пирролидин-3-ил)амино]-2-оксоэтил}-3-(трифторметил)бензамида, N-[2-({(3R)-1-[4-(5-аллил-1,3-тиазол-2-ил)-4-гидроксициклогексил]пирролидин-3-ил}амино)-2-оксоэтил]-3-(трифторметил)бензамида, N-[2-({(3R)-1-[4-гидрокси-4-(5-пропил-1,3-тиазол-2-ил)циклогексил]пирролидин-3-ил}амино)-2-оксоэтил]-3-(трифторметил)бензамида, N-этил-2-(1-гидрокси-4-{(3R)-3-[({[3-(трифторметил)бензоил]амино}ацетил)амино]пирролидин-1-ил}циклогексил)-1,3-тиазол-5-карбоксамида, N-[2-({(3R)-1-[4-гидрокси-4-(5-фенил-1,3-тиазол-2-ил)циклогексил]пирролидин-3-ил}амино)-2-оксоэтил]-3-(трифторметил)бензамида, N-[2-({(3R)-1-[4-гидрокси-4-(5-метил-1,3-тиазол-2-ил)циклогексил]пирролидин-3-ил}амино)-2-оксоэтил]-3-(трифторметил)бензамида, N-[2-({(3R)-1-[4-гидрокси-4-(5-гидроксиметил-1,3-тиазол-2-ил)циклогексил]пирролидин-3-ил}амино)-2-оксоэтил]-3-(трифторметил)бензамида, N-{2-[((3R)-1-{4-гидрокси-4-[5-(1-гидрокси-1-метилэтил)-1,3-тиазол-2-ил]циклогексил}пирролидин-3-ил)амино]-2-оксоэтил}-3-(трифторметил)бензамида, N-[2-({(3R)-1-[4-гидрокси-4-(5-метоксиметил-1,3-тиазол-2-ил)циклогексил]пирролидин-3-ил}амино)-2-оксоэтил]-3-(трифторметил)бензамида, N-[2-({(3R)-1-[4-гидрокси-4-(5-пиридин-2-ил-1,3-тиазол-2-ил)циклогексил]пирролидин-3-ил}амино)-2-оксоэтил]-3-(трифторметил)бензамида, N-[2-({(3R)-1-[4-гидрокси-4-(2-пирролидин-1-ил-1,3-тиазол-4-ил)циклогексил]пирролидин-3-ил}амино)-2-оксоэтил]-3-(трифторметил)бензамида, N-[2-({(3R)-1-[4-гидрокси-4-(2-морфолин-4-ил-1,3-тиазол-4-ил)циклогексил]пирролидин-3-ил}амино)-2-оксоэтил]-3-(трифторметил)бензамида, N-[2-({(3R)-1-[4-гидрокси-4-(2-метил-1,3-тиазол-5-ил)циклогексил]пирролидин-3-ил}амино)-2-оксоэтил]-3-(трифторметил)бензамида, N-{2-[((3R)-1-{4-гидрокси-4-[2-(1-гидрокси-1-метилэтил)-1,3-тиазол-5-ил]циклогексил}пирролидин-3-ил)амино]-2-оксоэтил}-3-(трифторметил)бензамида, N-[2-({(3R)-1-[4-гидрокси-4-(2-пирролидин-1-ил-1,3-тиазол-5-ил)циклогексил]пирролидин-3-ил}амино)-2-оксоэтил]-3-(трифторметил)бензамида, N-[2-({(3R)-1-[4-(2-этокси-1,3-тиазол-5-ил)-4-гидроксициклогексил]пирролидин-3-ил}амино)-2-оксоэтил]-3-(трифторметил)бензамида, N-[2-({(3R)-1-[4-(2-этил-1,3-тиазол-5-ил)-4-гидроксициклогексил]пирролидин-3-ил}амино)-2-оксоэтил]-3-(трифторметил)бензамида, N-{2-[((3R)-1-{4-гидрокси-4-[2-(пирролидин-1-илметил)-1,3-тиазол-5-ил]циклогексил}пирролидин-3-ил)амино]-2-оксоэтил}-3-(трифторметил)бензамида, N-{2-[((3R)-1-{4-гидрокси-4-[2-(морфолин-4-ил)-l,3-тиазол-5-ил]циклогексил}пирролидин-3-ил)амино]-2-оксоэтил}-3-(трифторметил)бензамида, N-{2-[((3R)-1-{4-гидрокси-4-[2-(метоксиметил)-1,3-тиазол-5-ил]циклогексил}пирролидин-3-ил)амино]-2-оксоэтил}-3-(трифторметил)бензамида, N-[2-({(3R)-1-[4-гидрокси-4-(2-изобутил-1,3-тиазол-5-ил)циклогексил]пирролидин-3-ил}амино)-2-оксоэтил]-3-(трифторметил)бензамида, N-этил-5-(1-гидрокси-4-{(3R)-3-[({[3-(трифторметил)бензоил]амино}ацетил)амино]пирролидин-1-илцклогексил)-1,3-тиазол-2-карбоксамида, N-{2-[((3R)-1-{4-гидрокси-4-[2-(пирролидин-1-илкарбонил)-1,3-тиазол-5-ил]циклогексил}пирролидин-3-ил)амино]-2-оксоэтил}-3-(трифторметил)бензамида, N-{2-[((3R)-1-{4-гидрокси-4-[2-(морфолин-4-илкарбонил)-1,3-тиазол-5-ил]циклогексил}пирролидин-3-ил)амино]-2-оксоэтил}-3-(трифторметил)бензамида, N-[2-({(3R)-1-[4-гидрокси-4-(2-пиридин-3-ил-1,3-тиазол-5-ил)циклогексил]пирролидин-3-ил}амино)-2-оксоэтил]-3-(трифторметил)бензамида, N-[2-({(3R)-1-[4-гидрокси-4-(2-пиридин-2-ил-1,3-тиазол-5-ил)циклогексил]пирролидин-3-ил}амино)-2-оксоэтил]-3-(трифторметил)бензамида, N-[2-({(3R)-1-[4-гидрокси-4-(4-метил-1,3-тиазол-2-ил)циклогексил]пирролидин-3-ил}амино)-2-оксоэтил]-3-(трифторметил)бензамида, N-[2-({3R)-1-[4-(1,3-бензотиазол-2-ил)-4-гидроксициклогексил]пирролидин-3-ил}амино)-2-оксоэтил]-3-(трифторметил)бензамида, N-[2-оксо-2-({(3R)-1-[4-(1,3-тиазол-2-ил)циклогексил]пирролидин-3-ил}амино)этил]-3-(трифторметил)бензамида, N-{2-оксо-2-[((3R)-1-{4-[5-(пирролидин-1-илкарбонил)-1,3-тиазол-2-ил]циклогексил}пирролидин-3-ил)амино]этил}-3-(трифторметил)бензамида, N-[2-оксо-2-({(3R)-1-[4-(2-тиенил)циклогексил]пирролидин-3-ил}амино)этил]-3-(трифторметил)бензамида, 3-(трифторметил)-N-{2-[((3R)-1-{4-[5-(метоксиметил)-1,3-тиазол-2-ил] циклогексил} пирролидин-3-ил)амино]-2-оксоэтил}бензамида, 3-(трифторметил)-N-{2-[((3R)-1-{4-[5-(морфолин-4-илкарбонил)-1,3-тиазол-2-ил]циклогексил}пирролидин-3-ил)амино]-2-оксоэтил}бензамида, N-{(3R)-1-[4-гидрокси-4-(2-изопропил-1,3-тиазол-5-ил)циклогексил]пирролидин-3-ил}-4-оксо-4-[3-(трифторметил)фенил]бутанамида, 4-[3-(трифторметил)фенил]-N-((3R)-1-{4-гидрокси-4-[5-(метоксиметил)-1,3-тиазол-2-ил]циклогексил}пирролидин-3-ил)-4-оксобутанамида, 4-[3-(трифторметил)фенил]-N-((3R)-1-{4-гидрокси-4-[5-(метоксиметил)-1,3-тиазол-2-ил]циклогексил}пирролидин-3-ил)-4-оксобутанамида, N-((3R)-1-{4-гидрокси-4-[5-(метоксиметил)-1,3-тиазол-2-ил]-4-гидроксициклогексил}пирролидин-3-ил)-4-[3-(трифторметил)фенил]бутанамида, N-((3R)-1-{4-[5-(метоксиметил)-1,3-тиазол-2-ил]-4-гидроксициклогексил} пирролидин-3-ил)-2-({[3-(трифторметил)фенил]сульфонил}амино)ацетамида, N-((3R)-1-{4-гидрокси-4-[2-(метоксиметил)-1,3-тиазол-5-ил]циклогексил}пирролидин-3-ил)-3-[3-(трифторметил)фенил]-4,5-дигидроизоксазол-5-карбоксамида, (4Z) и (4Е)-4-(гидроксиимино)-N-((3R)-1-{4-гидрокси-4-[5-(метоксиметил)-1,3-тиазол-2-ил]циклогексил}пирролидин-3-ил)-4-[3-(трифторметил)фенил]бутанамида, (4Z) и (4E)-4-(этоксиимино)-N-((3R)-1-{4-гидрокси-4-[5-(метоксиметил)-1,3-тиазол-2-ил]циклогексил}пирролидин-3-ил)-4-[3-(трифторметил)фенил]бутанамида, N-[2-({(3R)-1-[4-фтор-4-(1,3-тиазол-2-ил)циклогексил]пирролидин-3-ил}амино)-2-оксоэтил]-3-(трифторметил)бензамида, N-(2-{[(3R)-1-(4-фтор-4-пиридин-3-илциклогексил)пирролидин-3-ил]амино}-2-оксоэтил)-3-(трифторметил)бензамида, N-[2-({(3R)-1-[4-фтор-4-(6-метоксипиридин-3-ил)циклогексил]пирролидин-3-ил}амино)-2-оксоэтил]-3-(трифторметил)бензамида, N-[2-({(3R)-[(1-{4-фтор-4-[6-(1,3-оксазол-2-ил)пиридин-3-ил]циклогексил}пирролидин-3-ил)амино]-2-оксоэтил}-3-(трифторметил)бензамида, N-(2-{[(3R)-1-(4-фтор-4-{4-[(метиламино)карбонил]фенил}циклогексил)пирролидин-3-ил]амино}-2-оксоэтил)-3-(трифторметил)бензамида, N-(2-{[(3R)-1-(4-гидрокси-4-пиримидин-5-илциклогексил)пирролидин-3-ил]амино}-2-оксоэтил)-3-(трифторметил)бензамида, N-{[(3R)-1-(4-гидрокси-4-пиримидин-2-илциклогексил)пирролидин-3-илкарбамоил]метил}-3-трифторметилбензамида, N-[2-({(3R)-1-[4-гидрокси-4-пиридазин-3-илциклогексил]пирролидин-3-ил}амино)-2-оксоэтил]-3-(трифторметил)бензамида, N-(2-{[(3R)-1-(4-гидрокси-4-пиразин-2-илциклогексил)пирролидин-3-ил]амино}-2-оксоэтил)-3-(трифторметил)бензамида, N-(2-{[(3R)-1-(4-гидрокси-4-пиразин-2-илциклогексил)пирролидин-3-ил]амино}-2-оксоэтил)-3-(трифторметил)бензамида, N-{2-[((3R)-1-{4-[2-(2-фторэтокси)пиримидин-5-ил]-4-гидроксициклогексил}пирролидин-3-ил)амино]-2-оксоэтил}-3-(трифторметил)бензамида, N-[2-({(3R)-1-[4-гидрокси-4-(2-метоксипиримидин-5-ил)циклогексил]пирролидин-3-ил}амино)-2-оксоэтил]-3-(трифторметил)бензамида, N-(2-{[(3R)-1-(4-гидрокси-4-пиримидин-4-илциклогексил)пирролидин-3-ил]амино}-2-оксоэтил)-3-(трифторметил)бензамида, N-[2-({(3R)-1-[4-гидрокси-4-(4-пиримидин-5-илфенил)циклогексил]пирролидин-3-ил}амино)-2-оксоэтил]-3-(трифторметил)бензамида, N-[2-({(3R)-1-[4-гидрокси-4-(4-оксазол-2-илфенил)циклогексил]пирролидин-3-ил}амино)-2-оксоэтил]-3-(трифторметил)бензамида, N-[2-({(3R)-1-[4-гидрокси-4-(4-1Н-имидазол-1-илфенил)циклогексил]пирролидин-3-ил}амино)-2-оксоэтил]-3-(трифторметил)бензамида, N-[2-({(3R)-1-[4-гидрокси-4-(4-морфолин-4-ил фенил)циклогексил]пирролидин-3-ил}амино)-2-оксоэтил]-3-(трифторметил)бензамида, N-[2-({(3R)-1-[4-гидрокси-4-(5-(пиразин-2-ил)пиридин-2-ил)циклогексил]пирролидин-3-ил}амино)-2-оксоэтил]-3-(трифторметил)бензамида, N-{2-[((3R)-1-{4-гидрокси-4-[4-(1-метил-1Н-имидазол-5-ил)фенил]циклогексил}пирролидин-3-ил)амино]-2-оксоэтил}-3-(трифторметил)бензамида, N-{2-[((3R)-1-{4-[4-(4,6-диметилпиримидин-5-ил)фенил]-4-гидроксициклогексил}пирролидин-3-ил)амино]-2-оксоэтил}-3-(трифторметил)бензамида, N-[2-({(3R)-1-[4-(6-бромпиридин-3-ил)-4-гидроксициклогексил]пирролидин-3-ил}амино)-2-оксоэтил]-3-(трифторметил)бензамида, N-[2-({(3R)-1-[4-(5-бромпиридин-2-ил)-4-гидроксициклогексил]пирролидин-3-ил}амино)-2-оксоэтил]-3-(трифторметил)бензамида, N-{2-[((3R)-1-{4-гидрокси-4-[4 -(метилсульфонил)бифенил-4-ил]циклогексил}пирролидин-3-ил)амино]-2-оксоэтил}-3-(трифторметил)бензамида, N-{2-[((3R)-1-(4-гидрокси-4-[3 -(метилсульфонил)бифенил-4-ил]циклогексил}пирролидин-3-ил)амино]-2-оксоэтил}-3-(трифторметил)бензамида, N-{2-[((3R)-1-{4-[4-(2,3-дигидро-1,4-бензодиоксин-6-ил)фенил]-4-гидроксициклогексил}пирролидин-3-ил)амино]-2-оксоэтил}-3-(трифторметил)бензамида, N-{2-[((3R)-1-{4-[4 -(диметиламино)бифенил-4-ил]-4-гидроксициклогексил}пирролидин-3-ил)амино]-2-оксоэтил}-3-(трифторметил)бензамида, N-[2-({(3R)-1-[4-гидрокси-4-(4-пиридин-3-илфенил)циклогексил]пирролидин-3-ил}амино)-2-оксоэтил]-3-(трифторметил)бензамида, N-{2-[((3R)-1-{4-гидрокси-4-[4-(1Н-пиразол-4-ил)фенил]циклогексил}пирролидин-3-ил)амино]-2-оксоэтил}-3-(трифторметил)бензамида, N-[2-({(3R)-1-[4-(3,3 -бипиридин-6-ил)-4-гидроксициклогексил]пирролидин-3-ил}амино)-2-оксоэтил]-3-(трифторметил)бензамида, N-[2-({(3R)-1-[4-(3,4 -бипиридин-6-ил)-4-гидроксициклогексил]пирролидин-3-ил}амино)-2-оксоэтил]-3-(трифторметил)бензамида, N-{2-[((3R)-1-{4-[5-(3-ацетилфенил)пиридин-2-ил]-4-гидроксициклогексил}пирролидин-3-ил)амино]-2-оксоэтил}-3-(трифторметил)бензамида, N-{2-[((3R)-1-{4-[5-(3-диметиламинофенил)пиридин-2-ил]-4-гидроксициклогексил}пирролидин-3-ил)амино]-2-оксоэтил}-3-(трифторметил)бензамида, N-(2-{[(3R)-1-(4-гидрокси-4-{5-[4-(трифторметил)фенил]пиридин-2-ил}циклогексил)пирролидин-3-ил]амино}-2-оксоэтил)-3-(трифторметил)бензамида, N-(2-{[(3R)-1-(4-гидрокси-4-{5-[4-(метилсульфонил)фенил]пиридин-2-ил}циклогексил)пирролидин-3-ил]амино}-2-оксоэтил)-3-(трифторметил)бензамида, N-{2-[((3R)-1-{4-гидрокси-4-[5-(4-метоксифенил)пиридин-2-ил]циклогексил}пирролидин-3-ил)амино]-2-оксоэтил}-3-(трифторметил)бензамида, N-{2-[((3R)-1-{4-гидрокси-4-[5-(3-метоксифенил)пиридин-2-ил]циклогексил}пирролидин-3-ил)амино]-2-оксоэтил}-3-(трифторметил)бензамида, N-(2-{[(3R)-1-(4-{5-[3-(аминокарбонил)фенил]пиридин-2-ил}-4-гидроксициклогексил)пирролидин-3-ил]амино}-2-оксоэтил)-3-(трифторметил)бензамида, N-{2-[((3R)-1-{4-[5-(4-фторфенил)пиридин-2-ил]-4-гидроксициклогексил}пирролидин-3-ил)амино]-2-оксоэтил}-3-(трифторметил)бензамида, N-{2-[((3R)-1-{4-[5-(3,4-дифторфенил)пиридин-2-ил]-4-гидроксициклогексил}пирролидин-3-ил)амино]-2-оксоэтил}-3-(трифторметил)бензамида, N-{2-[((3R)-1-{4-[5-(3,5-диметилизоксазол-4-ил)пиридин-2-ил]-4-гидроксициклогексил}пирролидин-3-ил)амино]-2-оксоэтил}-3-(трифторметил)бензамида, N-{2-[((3R)-1-{4-гидрокси-4-[5-(1-метил-1Н-пиразол-4-ил)пиридин-2-ил]циклогексил}пирролидин-3-ил)амино]-2-оксоэтил}-3-(трифторметил)бензамида, N-{2-[((3R)-1-{4-гидрокси-4-[5-(1Н-пиразол-4-ил)пиридин-2-ил]циклогексил}пирролидин-3-ил)амино]-2-оксоэтил}-3-(трифторметил)бензамида, N-{2-[((3R)-1-{4-[5-(1-бензофуран-2-ил)пиридин-2-ил]-4-гидроксициклогексил}пирролидин-3-ил)амино]-2-оксоэтил}-3-(трифторметил)бензамида, N-{2-[((3R)-1-{4-[5-(1,3-бензодиоксол-5-ил)пиридин-2-ил]-4-гидроксициклогексил}пирролидин-3-ил)амино]-2-оксоэтил}-3-(трифторметил)бензамида, N-{2-[((3R)-1-{4-[5-(2-формилфенил)пиридин-2-ил]-4-гидроксициклогексил}пирролидин-3-ил)амино]-2-оксоэтил}-3-(трифторметил)бензамида, N-{2-[((3R)-1-{4-гидрокси-4-[5-(1,3-оксазол-2-ил)пиридин-2-ил]циклогексил}пирролидин-3-ил)амино]-2-оксоэтил}-3-(трифторметил)бензамида, N-{2-[((3JR)-1-{4-гидрокси-4-[6-(1,3-оксазол-2-ил)пиридин-3-ил]циклогексил}пирролидин-3-ил)амино]-2-оксоэтил}-3-(трифторметил)бензамида, N-{2-[((3R)-1-{4-гидрокси-4-[4-(1,3-тиазол-2-ил)фенил]цикл огексил}пирролидин-3-ил)амино]-2-оксоэтил}-3-(трифторметил)бензамида, N-{2-[((3R)-1-{4-гидрокси-4-[5-(1,3-тиазол-2-ил)пиридин-2-ил]циклогексил}пирролидин-3-ил)амино]-2-оксоэтил}-3-(трифторметил)бензамида, N-{2-[((3R)-1-{4-гидрокси-4-[6-(1,3-тиазол-2-ил)пиридин-3-ил]циклогексил}пирролидин-3-ил)амино]-2-оксоэтил}-3-(трифторметил)бензамида, N-{2-[((3R)-1-{4-гидрокси-4-[5-(1Н-имидазол-1-ил)пиридин-2-ил]циклогексил}пирролидин-3-ил)амино]-2-оксоэтил}-3-(трифторметил)бензамида, N-{2-[((3R)-1-{4-гидрокси-4-[6-(1Н-имидазол-1-ил)пиридин-3-ил]циклогексил}пирролидин-3-ил)амино]-2-оксоэтил}-3-(трифторметил)бензамида, N-[2-({(3R)-1-[4-гидрокси-4-(6-фенилпиридин-3-ил)циклогексил]пирролидин-3-ил}амино)-2-оксоэтил]-3-(трифторметил)бензамида, N-[2-({(3R)-1-[4-гидрокси-4-(5-пиримидин-5-илпиридин-2-ил)циклогексил]пирролидин-3-ил}амино)-2-оксоэтил]-3-(трифторметил)бензамида, N-[2-({(3R)-1-[4-гидрокси-4-(5-пиримидин-2-илпиридин-2-ил)циклогексил]пирролидин-3-ил}амино)-2-оксоэтил]-3-(трифторметил)бензамида, N-(2-{[(3R)-1-(4-{5-[3-(аминокарбонил)фенил]пиридин-2-ил}-4-гидроксициклогексил)пирролидин-3-ил]амино}-2-оксоэтил)-3-(трифторметил)бензамида, N-{2-[((3R)-1-{4-гидрокси-4-[4-(1-метил-1Н-имидазол-4-ил)фенил]циклогексил}пирролидин-3-ил)амино]-2-оксоэтил}-3-(трифторметил)бензамида, N-{2-[((3R)-1-{4-гидрокси-4-[4-(1Н-имидазол-4-ил)фенил]циклогексил}пирролидин-3-ил)амино]-2-оксоэтил}-3-(трифторметил)бензамида, N-(2-{[(3R)-1-(4-гидрокси-4-{5-[2-(гидроксиметил)фенил]пиридин-2-ил}циклогексил)пирролидин-3-ил]амино}-2-оксоэтил)-3-(трифторметил)бензамида, N-{2-[((3R)-1-{4-гидрокси-4-[2 -(гидроксиметил)бифенил-4-ил]циклогексил}пирролидин-3-ил)амино]-2-оксоэтил}-3-(трифторметил)бензамида, N-[2-({(3R)-1-[4-(5-{2-[(диметиламино)метил]фенил}пиридин-2-ил)-4-гидроксициклогексил]пирролидин-3-ил}амино)-2-оксоэтил]-3-(трифторметил)бензамида, N-(2-{[(3R)-1-(4-{2 -[(диметиламино)метил]бифенил-4-ил}-4-гидроксициклогексил)пирролидин-3-ил]амино}-2-оксоэтил)-3-(трифторметил)бензамида, N-[2-({(3R)-1-[4-(бензоиламино)циклогексил]пирролидин-3-ил}амино)-2-оксоэтил]-3-(трифторметил)бензамида, N-(4-{(3R)-3-[(2-{[3-(трифторметил)бензоил]амино}ацетил)амино]пирролидин-1-ил}циклогексил)пиридин-2-карбоксамида, N-(4{(3R)-3-[(2-{[3-(трифторметил)бензоил]амино}ацетил)амино]пирролидин-1-ил}циклогексил)пиридин-3-карбоксамида, N-(4-{(3R)-3-[(2-{[3-(трифторметил)бензоил]амино}ацетил)амино]пирролидин-1-ил}циклогексил)пиридин-4-карбоксамида, 6-метил-N-(4-{(3R)-3-[({[3-(трифторметил)бензоил]амино}ацетил)амино]пирролидин-1-ил}циклогексил)пиридин-2-карбоксамида, 5-метил-N-(4-{(3R)-3-[({[3-(трифторметил)бензоил]амино}ацетил)амино]пирролидин-1-ил}циклогексил)пиридин-2-карбоксамида, 4-метил-N-(4-{(3R)-3-[({[3-(трифторметил)бензоил]амино}ацетил)амино]пирролидин-1-ил}циклогексил)пиридин-2-карбоксамида, 6-метокси-N-(4-{(3R)-3-[({[3-(трифторметил)бензоил]амино}ацетил)амино]пирролидин-1-ил}циклогексил)пиридин-2-карбоксамида, N-(4-{(3R)-3-[(2-{[3-(трифторметил)бензоил]амино}ацетил)амино]пирролидин-1-ил}циклогексил)хинолин-4-карбоксамида, N-(2-{[(3R)-1-(3-гидрокси-3-пиридин-2-илбицикло[3.2.1]окт-8-ил)пирролидин-3-ил]амино}-2-оксоэтил)-3-(трифторметил)бензамида, N-[2-({(3R)-1-[3-гидрокси-3-(5-метилпиридин-2-ил)бицикло[3.2.1]окт-8-ил]пирролидин-3-ил}амино)-2-оксоэтил]-3-(трифторметил)бензамида, N-(2-{[(3R)-1-(3-гидрокси-3-пиридин-3-илбицикло[3.2.1]окт-8-ил)пирролидин-3-ил]амино}-2-оксоэтил)-3-(трифторметил)бензамида, N-[2-({(3R)-1-[3-гидрокси-3-(6-метоксипиридин-3-ил)бицикло[3.2.1]окт-8-ил]пирролидин-3-ил}амино)-2-оксоэтил]-3-(трифторметил)бензамида, N-(2-{[(3R)-1-(8-гидрокси-8-фенилбицикло[3.2.1]окт-3-ил)пирролидин-3-ил]амино}-2-оксоэтил)-3-(трифторметил)бензамида, N-(2-{[(3R)-1-(5-гидрокси-5-фенилбицикло[2.2.1]гепт-2-ил)пирролидин-3-ил]амино}-2-оксоэтил)-3-(трифторметил)бензамида, N-(2-{[(3R)-1-(5-гидрокси-5-пиридин-2-илбицикло[2.2.1]гепт-2-ил)пирролидин-3-ил]амино}-2-оксоэтил)-3-(трифторметил)бензамида N-(2-{[(3R)-1-(5-гидрокси-5-пиридин-3-илбицикло[2.2.1]гепт-2-ил)пирролидин-3-ил]амино}-2-оксоэтил)-3-(трифторметил)бензамида, N-[2-({(3R)-1-[5-гидрокси-5-(6-метоксипиридин-3-ил)бицикло[2.2.1]гепт-2-ил]пирролидин-3-ил}амино)-2-оксоэтил]-3-(трифторметил)бензамида, N-(2-{[(3R)-1-(5-гидрокси-5-пиридин-4-илбицикло[2.2.1]гепт-2-ил)пирролидин-3-иламино}-2-оксоэтил)-3-(трифторметил)бензамида, N-(2-{[(3R,5S)-1-(4-гидрокси-4-фенилциклогексил)-5-метилпирролидин-3-ил]амино}-2-оксоэтил)-3-(трифторметил)бензамида, N-[2-({(3R,5S)-1-[4-гидрокси-4-(4-метил фенил)циклогексил]-5-метилпирролидин-3-ил}амино)-2-оксоэтил]-3 -(трифторметил)бензамида, N-(2-{[(3R,5S)-1-(4-гидрокси-4-пиридин-2-илциклогексил)-5-метилпирролидин-3-ил]амино}-2-оксоэтил)-3-(трифторметил)бензамида, N-(2-{[(3R,5S)-1-(4-гидрокси-4-пиридин-3-илциклогексил)-5-метилпирролидин-3-ил]амино}-2-оксоэтил)-3-(трифторметил)бензамида, N-(2-{[(3R,5S)-1-(4-гидрокси-4-пиридин-4-илциклогексил)-5-метилпирролидин-3-ил]амино}-2-оксоэтил)-3-трифторметил)бензамида N-[2-({(3R,5S)-1-[4-гидрокси-4-(5-метилпиридин-2-ил)циклогексил]-5-метилпирролидин-3-ил}амино)-2-оксоэтил]-3-(трифторметил)бензамида, N-[2-({(3R,5S)-1-[4-гидрокси-4-(6-метилпиридин-3-ил)циклогексил]-5-метилпирролидин-3-ил}амино)-2-оксоэтил]-3-(трифторметил)бензамида, 2-(1,3-бензотиазол-2-иламино)-N-[(3R)-1-(4-гидрокси-4-пиридин-2-илциклогексил)пирролидин-3-ил]ацетамида, N-[(3R)-1-(4-гидрокси-4-пиридин-2-илциклогексил)пирролидин-3-ил]-2-{[5-(трифторметил)пиримидин-2-ил]амино}ацетамида, N-[1-({[(3R)-1-(4-фенилциклогексил)пирролидин-3-ил]амино}карбонил)циклопропил]-3-(трифторметил)бензамида, N-(2-{[3-(фторметил)-1-(4-гидрокси-4-фенилциклогексил)пирролидин-3-ил]амино}-2-оксоэтил)-3-(трифторметил)бензамида, N-[2-({(3R)-1-[(3aR,6aS)-5-гидрокси-5-(6-метоксипиридин-3-ил)октагидропентален-2-ил]пирролидин-3-ил}амино)-2-оксоэтил]-3-(трифторметил)бензамида, N-[2-({(3R)-1-[(3aR,6aS)-5-гидрокси-5-фенилоктагидропентален-2-ил]пирролидин-3-ил}амино)-2-оксоэтил]-3-(трифторметил)бензамида, N-[2-({(3JR)-1-[(3aR,6aS)-5-гидрокси-5-пиридин-3-илоктагидропентален-2-ил] пирролидин-3-ил}амино)-2-оксоэтил]-3-(трифторметил)бензамида, N-(2-{[(3R)-1-(5-гидрокси-5-пиридин-3-илбицикло[2.2.2]окт-2-ил)пирролидин-3-ил]амино}-2-оксоэтил)-3-(трифторметил)бензамида, N-[2-({(3R)-1-[4-гидрокси-4-(3-метилизотиазол-5-ил)циклогексил]пирролидин-3-ил}амино)-2-оксоэтил]-3-(трифторметил)бензамида, N-{2-[((3R)-1-{4-[3-(фторметил)изотиазол-5-ил]-4-гидроксициклогексил}пирролидин-3-ил)амино]-2-оксоэтил}-3-(трифторметил)бензамида, N-(2-{[(3R)-1-(4-гидрокси-4-изотиазол-5-илциклогексил)пирролидин-3-ил]амино}-2-оксоэтил)-3-(трифторметил)бензамида, N-[2-({(3R)-1-[4-гидрокси-4-(4-пиримидин-2-илфенил)циклогексил]пирролидин-3-ил}амино)-2-оксоэтил]-3-(трифторметил)бензамида, N-[2-({(3R)-1-[4-(2-циклопропилпиримидин-5-ил)-4-гидроксициклогексил]пирролидин-3-ил}амино)-2-оксоэтил]-3-(трифторметил)бензамида и N-(2-{[(3R)-1-(4-гидрокси-4-пиридазин-4-илциклогексил)пирролидин-3-ил]амино}-2-оксоэтил)-3-(трифторметил)бензамида.
8. Фармацевтическая композиция для лечения воспаления, ревматоидного артрита, атеросклероза, невропатической боли, волчанки, системной красной волчанки, рестеноза, иммунных нарушений и отторжения трансплантатов у нуждающегося в этом млекопитающего, содержащая терапевтически эффективное количество соединения по пп.1-6 или 7 в смеси с фармацевтически приемлемым эксципиентом, разбавителем или носителем.
9. Способ модулирования активности рецепторов хемокинов у млекопитающего, включающий введение эффективного количества соединения по пп.1-6 или 7.
10. Способ лечения CCR2-опосредствованного состояния или заболевания у субъекта, причем указанный способ включает введение нуждающемуся в этом субъекту эффективного количества соединения по пп.1-6 или 7.
11. Соединение по п.1, представляющее собой N-[2-({(3S,4S)-4-этокси-1-[4-гидрокси-4-(3,4-метилендиоксифенил)циклогексил]пирролидин-3-ил}амино)-2-оксоэтил]-3-(трифторметил)бензамид.
12. Соединение по п.1, представляющее собой N-({(3R)-1-[4-гидрокси-4-(6-метоксипиридин-3-ил)циклогексил]пирролидин-3-илкарбамоил}метил)-3-трифторметилбензамид.
13. Соединение по п.1, представляющее собой N-{[(R)-1-(4-гидрокси-4-пиримидин-2-илциклогексил)пирролидин-3-илкарбамоил]метил}-3-трифторметилбензамид.
14. Соединение по п.1, представляющее собой N-(2-{[(3R)-1-(4-гидрокси-4-пиразин-2-илциклогексил)пирролидин-3-ил]амино}-2-оксоэтил)-3-(трифторметил)бензамид.
15. Соединение по п.1, представляющее собой N-(2-{[(3R)-1-(4-гидрокси-4-пиримидин-4-илциклогексил)пирролидин-3-ил]амино}-2-оксоэтил)-3-(трифторметил)бензамид.
РИСУНКИ
|
|