|
|
(21), (22) Заявка: 2007136149/11, 19.09.2007
(24) Дата начала отсчета срока действия патента:
19.09.2007
(46) Опубликовано: 20.05.2009
(56) Список документов, цитированных в отчете о поиске:
RU 2240950 С1, 27.11.2004. RU 2299832 С2, 27.05.2007. DE 4311473 А1, 13.10.1994.
Адрес для переписки:
196605, Санкт-Петербург, г. Пушкин, Петербургское ш., 10, ГОУ ВПО “Ленинградский государственный университет имени А.С. Пушкина”
|
(72) Автор(ы):
Дикарев Виктор Иванович (RU), Скворцов Вячеслав Николаевич (RU), Казаков Николай Петрович (RU)
(73) Патентообладатель(и):
Государственное образовательное учреждение высшего профессионального образования “Ленинградский государственный университет имени А.С. Пушкина” (RU)
|
(54) СИСТЕМА ДЛЯ ОБНАРУЖЕНИЯ ЧЕЛОВЕКА, ТЕРПЯЩЕГО БЕДСТВИЕ НА ВОДЕ
(57) Реферат:
Изобретение относится к спасательным средствам и может быть использовано для обнаружения человека, терпящего бедствие на воде, и определения его местонахождения. Система содержит спасательный жилет с двумя источниками света, один из которых расположен в грудной области спасательного жилета, а другой – в заспинной, передатчики и передающие антенны, а также приемник, расположенный на пункте контроля. При этом приемник содержит приемные антенны (23, 24, 25), усилители (26, 27, 28) высокой частоты, гетеродины (29, 30), смесители (31, 32, 33), усилители (34, 35, 36) промежуточной частоты, перемножители (37, 39, 40), узкополосные фильтры (38, 41, 42, 57), блоки (43, 44) корреляторов, пороговые блоки (45, 46, 49, 50), ключи (47, 48, 51, 52), фазовый детектор (58), удвоитель фазы (56), блок регистрации (55). Повышается устойчивость работы приемника системы путем обеспечения симметричности несущей частоты c принимаемого сигнала бедствия относительно частот г1 и г2 гетеродинов. 6 ил.
Предлагаемая система относится к спасательным средствам и может быть использована для обнаружения человека, терпящего бедствие на воде, и определения его местоположения.
Известны спасательные системы и устройства (авт. свид. СССР  385.819, 431.063, 637.298, 765.113, 988.655, 1.348.256, 1.505.840, 1.506.841, 1.588.636, 1.615.054, 1.643.325, 1.664.653; патенты РФ  2.000.995, 2.038.259, 2.043.259, 2.051.838, 2.193.990, 2.240.950; патенты США  3.621.501, 4.889.511; патент Великобритании 1.145.051; патент Дании 1.03.118 и другие).
Из известных систем и устройств наиболее близкой к предлагаемой является «Система для обнаружения человека, терпящего бедствие на воде» (патент РФ 2.240.950, В63С 9/20, 2003), которая и выбрана в качестве прототипа.
Известная система для обнаружения человека, терпящего бедствие на воде, содержит надеваемый на человека спасательный жилет с двумя источниками света и с двумя передатчиками с передающими антеннами, а также приемник, расположенный на пункте контроля. При этом приемник выполнен по супергетеродинной схеме и снабжен двумя гетеродинами, частоты которых разнесены на удвоенное значение промежуточной частоты

и выбраны симметричными относительно несущей частоты с
.
Однако для несущей частоты с сигнала бедствия характерна нестабильность, обусловленная эффектом Доплера и другими дестабилизирующими факторами. Указанная нестабильность несущей частоты с сигнала бедствия приводит к нарушению ее симметричности относительно частот г1 и г2 гетеродинов и неустойчивой работе приемника системы.
Технической задачей изобретения является повышение устойчивой работы приемника системы путем обеспечения симметричности несущей частоты с принимаемого сигнала бедствия относительно частот г1 и г2 гетеродинов.
Поставленная задача решается тем, что система для обнаружения человека, терпящего бедствие на воде, включающая в соответствии с ближайшим аналогом спасательный жилет, одетый на человека и содержащий два источника света, один из которых расположен в грудной области спасательного жилета, а другой – в заспинной его области, источник тока, два размыкателя электрической цепи, две сообщающиеся герметичные емкости, каждая из которых отделена от окружающей среды мембраной, при этом одна из герметичных емкостей расположена в грудной области спасательного жилета, а другая – в заспинной его области, мембрана каждой емкости связана с размыкателем электрической цепи соответствующего ей источника света посредством рычага, а оба источника света через размыкатели соединены с источником тока параллельно, и два миниатюрных передатчика с передающими антеннами, один из которых расположен в грудной области спасательного жилета, а другой – в заспинной его области, и приемник, установленный на пункте контроля и содержащий последовательно включенные первую приемную антенну, первый усилитель высокой частоты, первый смеситель, второй вход которого соединен с первым выходом первого гетеродина, первый усилитель промежуточной частоты, первый блок корреляторов, второй вход которого соединен с выходом второго усилителя промежуточной частоты, первый пороговый блок, первый ключ, третий ключ, второй вход которого через третий пороговый блок соединен с вторым выходом первого блока корреляторов, первый фазометр и блок регистрации, последовательно включенные вторую приемную антенну, второй усилитель высокой частоты, второй смеситель, второй вход которого соединен с первым выходом второго гетеродина, второй усилитель промежуточной частоты, второй перемножитель, второй вход которого соединен с выходом первого усилителя промежуточной частоты, и второй узкополосный фильтр, выход которого соединен с вторым входом первого ключа, последовательно включенные третью приемную антенну, третий усилитель высокой частоты, третий смеситель, второй вход которого соединен с первым выходом второго гетеродина, третий усилитель промежуточной частоты, второй блок корреляторов, второй вход которого соединен с выходом первого усилителя промежуточной частоты, второй пороговый блок, второй ключ, четвертый ключ, второй вход которого через четвертый пороговый блок соединен с вторым выходом второго блока корреляторов, и второй фазометр, выход которого соединен с вторым входом блока регистрации, последовательно подключенные к выходу третьего усилителя промежуточной частоты третий перемножитель, второй вход которого соединен с выходом первого усилителя промежуточной частоты, и третий узкополосный фильтр, выход которого соединен с вторым входом второго ключа, последовательно подключенные к второму выходу первого гетеродина первый перемножитель, второй вход которого соединен с вторым выходом второго гетеродина, и первый узкополосный фильтр, выход которого соединен с вторыми входами первого и второго фазометров, при этом частоты первого г1 и второго г2 гетеродинов разнесены на удвоенное значение промежуточной частоты г2– г1=2 пр и выбраны симметричными относительно несущей частоты с принимаемого сигнала бедствия с– г1= г2– c= пр, отличается от ближайшего аналога тем, что приемник снабжен удвоителем фазы, четвертым узкополосным фильтром и фазовым детектором, причем к выходу первого усилителя промежуточной частоты последовательно подключены удвоитель фазы, четвертый узкополосный фильтр и фазовый детектор, второй вход которого соединен с выходом первого узкополосного фильтра, а выход подключен к управляющим входам первого и второго гетеродинов.
На фиг.1 схематично изображен спасательный жилет, одетый на человека; на фиг.2 – то же, разрез.
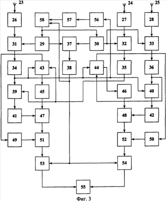
Структурная схема приемника, работающего на пункте контроля, представлена на фиг.3. Взаимное расположение приемных антенн показано на фиг.5. Частотная диаграмма, иллюстрирующая образование дополнительных каналов приема, изображена на фиг.4. Геометрическая схема расположения летательного аппарата (ЛА) и человека показана на фиг.6.
Система содержит спасательный жилет с источниками 1 и 2 света, передатчиками 19 и 20 с передающими антеннами 21 и 22 соответственно и приемник, установленный на пункте контроля.
Спасательный жилет, кроме того, содержит источник 3 энергии, кабели 4 и 5 подвода энергии к источникам света 1, 2 и передатчикам 19, 20, патроны 6 и 7, мембраны 8, 9 и связанные с ними рычаги 10 и 11 с контактами 12 и 13, а также герметичную пневмомагистраль 14, связывающую герметичные воздушные полости 15 и 16. Места ввода кабелей 4 и 5 от источника энергии 3 в полости 15 и 16 загерметизированы уплотнительными кольцами 17 и 18. Источник света 1 и передатчик 19, источник света 2 и передатчик 20 подключены параллельно к источнику энергии 3.
Приемник, установленный на пункте контроля, содержит последовательно включенные первую приемную антенну 23, первый усилитель 26 высокой частоты, первый смеситель 31, второй вход которого соединен с первым выходом первого гетеродина 29, первый усилитель 34 промежуточной частоты, первый блок 43 корреляторов, первый пороговый блок 45, первый ключ 47, третий ключ 51, второй вход которого через третий пороговый блок 49 соединен с вторым выходом первого блока 43 корреляторов, первый фазометр 53 и блок 55 регистрации, последовательно включенные вторую приемную антенну 24, второй усилитель 27 высокой частоты, второй смеситель 32, второй вход которого соединен с первым выходом второго гетеродина 30, второй усилитель 35 промежуточной частоты, второй перемножитель 39, второй вход которого соединен с выходом первого усилителя 34 промежуточной частоты, и второй узкополосный фильтр 41, выход которого соединен с вторым входом первого ключа 47, последовательно включенные третью приемную антенну 25, третий усилитель 28 высокой частоты, третий смеситель 33, второй вход которого соединен с первым выходом второго гетеродина 30, третий усилитель 36 промежуточной частоты, второй блок 44 корреляторов, второй вход которого соединен с выходом первого усилителя 34 промежуточной частоты, второй пороговый блок 46, второй ключ 48, четвертый ключ 52, второй вход которого через четвертый пороговый блок 50 соединен с вторым выходом второго блока 44 корреляторов, и второй фазометр 54, выход которого соединен с вторым входом блока 55 регистрации, последовательно подключенные к выходу третьего усилителя 36 промежуточной частоты третий перемножитель 40, второй вход которого соединен с выходом первого усилителя 34 промежуточной частоты, и третий узкополосный фильтр 42, выход которого соединен с вторым входом второго ключа 48, последовательно подключенные к второму выходу первого гетеродина 29 первый перемножитель 37, второй вход которого соединен с вторым выходом второго гетеродина 30, и первый узкополосный фильтр 38, выход которого соединен с вторыми входами первого 53 и второго 54 фазометров, последовательно подключенные к выходу усилителя 34 первой промежуточной частоты удвоитель фазы 56, четвертый узкополосный фильтр 57 и фазовый детектор 58, второй вход которого соединен с выходом первого узкополосного фильтра 38, а выход подключен к управляющим входам первого 29 и второго 30 гетеродинов.
Система работает следующим образом.
В положении, показанном на фиг.1, давление окружающей среды P2 на мембрану 9 больше, чем атмосферное давление P1 на мембрану 8. Мембрана 9 находится в поджатом, мембрана 8 – в отжатом состоянии. Следовательно, рычаг 11 отжимает контакт 13 от источника 2 света и передатчика 22, а рычаг 10 поджимает контакт 12 к источнику 1 света и передатчику 19. Источник 1 света горит, передатчик 19 излучает сигнал бедствия, источник 2 света не горит, передатчик 20 не работает.
Если человек совершает поворот относительно горизонтальной оси на 180°, тогда наверху оказывается источник 2 света и передатчик 20 с передающей антенной 22.
Давление среды на мембрану 8 становится больше, чем на мембрану 9, мембрана 8 поджимается, рычаг 10 размыкает контакт 12 с источником 1 света и передатчиком 19 с передающей антенной 21. Цепь размыкается, источник 1 света гаснет, передатчик 19 выключается. Одновременно воздух из полости 15 перетекает через магистраль 14 в полость 16, мембрана 9 отжимается, рычаг 11 замыкает контакт 13 с источником 2 света и передатчиком 29 с передающей антенной 22. Источник 2 света загорается, а передатчик 20 излучает сигнал бедствия.
В ночное время и в хорошую погоду источник света может быть обнаружен визуально на значительном расстоянии. Однако в светлое время и в плохую погоду источник света обнаружить затруднительно.
Радиоизлучение является всепогодным и обеспечивает передачу сигнала бедствия на большие расстояния. При этом сигнал бедствия (SOS) излучается периодически с определенным периодом Тп и длительностью Тс на определенной частоте c, которая отводится именно для передачи сигнала бедствия и не занимается для передачи другой информации.
Приемник размещается на пункте контроля, который может быть размещен на суше, на кораблях различного назначения, в том числе и на кораблях поиска и спасения, а также на летательных аппаратах (вертолетах, самолетах и космических аппаратах).
Приемные антенны 23, 24 и 25, поднятые над поверхностью воды, например, с помощью летательного аппарата и расположенные в виде геометрического прямого угла (фиг.5), принимают сигнал бедствия:
,
,
, ,
где Uс, с, 1– 3, Тс – амплитуда, несущая частота, начальные фазы и длительность сигналов бедствия, принимаемых антеннами 23 25;
± – нестабильность несущей частоты сигнала бедствия, обусловленная эффектом Доплера и другими дестабилизирующими факторами.
Регистрация сигнала бедствия осуществляется приемными антеннами 23-25. Указанные сигналы с выходов приемных антенн 23-25 через усилители 26-28 высокой частоты поступают на первые входы смесителей 31-33, на вторые входы которых подаются напряжения гетеродинов 29 и 30:
,
,
частоты которых разнесены на удвоенное значение промежуточной частоты

и выбраны симметричными относительно несущей частоты е
.
Это обстоятельство приводит к удвоению числа дополнительных каналов приема, но создает благоприятные условия для их подавления корреляционной обработкой.
На выходах смесителей 31-33 образуются напряжения комбинационных частот. Усилителями 34-36 выделяются напряжения промежуточной (разностной) частоты:
,
,
, ,
где ;
;
K1 – коэффициент передачи смесителей;
пр= с– г1= г2– с – промежуточная частота;
пр1= 1– г1; пр2= г2– 2; пр3= г2– 3.
Напряжения uг1(t) и uг2(t) со вторых выходов гетеродинов 29 и 30 подаются на два входа перемножителя 37, на выходе которого образуется напряжение
,
где ;
К2 – коэффициент передачи перемножителя;
г= г2– г1,
которое выделяется узкополосным фильтром 38.
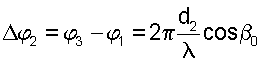
Напряжения uпр1(t) и uпр2(t), uпр2(t) и uпр3(t) с выходов усилителей 34, 35 и 36 промежуточной частоты подаются на входы перемножителей 39 и 40, на выходах которых образуются напряжения
,
,
где ;
,
,
d1, d2 – измерительные базы,
– длина волны,
, – угловые координаты (азимут и угол места) источника излучения сигнала бедствия, которые выделяются узкополосными фильтрами 41 и 42.
Напряжения uпр1(t) и uпр2(t), uпр1(t) и uпр3(1) одновременно поступают на два входа блоков 43 и 44 корреляторов, на выходах которых образуются напряжения, пропорциональные корреляционным функциям R1( ) и R2( ). Указанные напряжения поступают на входы пороговых блоков 45 и 46, где сравниваются с пороговым напряжением Uпор1.
Так как канальные напряжения uпр1(t) и uпр2(t), uпр1(t) и uпр3(t) образуются одним и тем же сигналом бедствия, принимаемым на несущей частоте с, то между ними существует сильная корреляционная связь. Выходные напряжения достигают максимального значения и превышают пороговый уровень Uпор1 в пороговых блоках 45 и 46.
При превышении порогового напряжения Uпор1 в пороговых блоках 45 и 46 формируются постоянные напряжения, которые поступают на управляющие входы ключей 47 и 48, открывая их. В исходном состоянии ключи 47, 48, 51 и 52 всегда закрыты.
На вторых входах блоков 43 и 44 корреляторов формируются напряжения, пропорциональные корреляционным функциям R3( ) и R4( ). Указанные напряжения достигают максимального значения только при истинных значениях угловых координат 0 и 0. И только при этих значениях в пороговых блоках 49 и 50 формируются постоянные напряжения, которые поступают на управляющие входы ключей 51 и 52, открывая их.
При этом напряжения u4(t) и u5(t) с выходов узкополосных фильтров 41 и 42 через открытые ключи 47, 51 и 48, 52 поступают на первые входы фазометров 53 и 54, на вторые входы которых подается напряжение uг(t) с выхода узкополосного фильтра 38. Фазометры 53 и 54 измеряют фазовые сдвиги  1 и  2, которые регистрируются блоком 55 регистрации.
Зная высоту h полета летательного аппарата и измерив угловые координаты и , можно точно и однозначно определить координаты источника излучения сигнала бедствия (человека, терпящего бедствие на воде) (фиг.6).
Для обеспечения симметричности несущей частоты с принимаемого сигнала бедствия относительно частот г1 и г2 гетеродинов 29 и 30 используется система фазовой автоподстройки частоты, состоящая из последовательно подключенных к выходу первого усилителя 34 промежуточной частоты удвоителя фазы 56, четвертого узкополосного фильтра 57 и фазового детектора 58, второй вход которого соединен с выходом первого узкополосного фильтра 38, а выход подключен к управляющему входу гетеродинов 29 и 30.
Преобразованный по частоте сигнал бедствия uпр1(t) с выхода первого усилителя 34 промежуточной частоты поступает на вход удвоителя фазы 56, в качестве которого может использоваться перемножитель, на два входа которого подается один и тот же преобразованный по частоте сигнал бедствия uпр1(t).
На выходе удвоителя фазы 56 образуется гармоническое напряжение
,
где ,
которое выделяется узкополосным фильтром 57 и поступает на первый вход фазового детектора 58, на второй вход которого подается напряжение uг(t) с выхода первого узкополосного фильтра 38.
Если указанные напряжения отличаются друг от друга по фазе или частоте, то на выходе фазового детектора 58 образуется управляющее напряжение. Причем амплитуда и полярность этого напряжения зависят от степени и направления отклонения несущей частоты с принимаемого сигнала бедствия относительно частот г1 и г2 гетеродинов 29 и 30. Управляющее напряжение воздействует на гетеродины 29 и 30, изменяя согласованно их частоты г1 и г2 так, чтобы сохранялась симметричность несущей частоты c относительно частот г1 и г2 гетеродинов 29 и 30
.
Описанная выше работа приемника соответствует случаю приема полезного сигнала бедствия по основному каналу на частоте с.
Если ложный сигнал (помеха) принимается по первому зеркальному каналу на частоте з1 или по второму зеркальному каналу на частоте з2, то на первых выходах блоков 43 и 44 корреляторов напряжения отсутствуют. Ключи 47 и 48 не открываются и указанные ложные сигналы (помехи) подавляются.
По аналогичной причине подавляются и ложные сигналы (помехи), принимаемые по первому комбинационному каналу на частоте к1, или по второму комбинационному каналу на частоте к2, или по любому другому дополнительному каналу.
Если ложные сигналы (помехи) одновременно принимаются по первому и второму зеркальным каналам на частотах з1 и з2, то на первых выходах блоков 43 и 44 корреляторов образуются напряжения. Однако ключи 47 и 48 в этом случае не открываются. Это объясняется тем, что канальные напряжения образуются разными ложными сигналами (помехами), принимаемыми на разных частотах з1 и з2. Поэтому между канальными напряжениями существует слабая корреляционная связь. Выходные напряжения блоков 43 и 44 корреляторов не достигают максимального значения и не превышают порогового напряжения Uпор в пороговых блоках 45 и 46. Ключи 47 и 48 не открываются, и указанные ложные сигналы (помехи) подавляются.
По аналогичной причине подавляются и все другие ложные сигналы (помехи), одновременно принимаемые по двум или более другим дополнительным каналам.
Приемник инвариантен к нестабильности несущей частоты принимаемых сигналов, так как пеленгация источника излучения сигнала бедствия осуществляется на стабильной частоте, равной разности частот гетеродинов г2– г1. Приемник также инвариантен к виду модуляции принимаемых сигналов, если сигналы бедствия имеют модуляцию (манипуляцию) одного из параметров.
Таким образом, предлагаемая система по сравнению с прототипом и другими техническими решениями аналогичного назначения обеспечивает повышение устойчивой работы приемника системы. Это достигается использованием системы фазовой автоподстройки частоты, которая обеспечивает симметричность несущей частоты c принимаемого сигнала бедствия относительно частот г1 и г2 гетеродинов
.
Формула изобретения
Система для обнаружения человека, терпящего бедствие на воде, включающая спасательный жилет, одетый на человека и содержащий два источника света, один из которых расположен в грудной области спасательного жилета, а другой – в заспинной его области, источник тока, два размыкателя электрической цепи, две сообщающиеся герметичные емкости, каждая из которых отделена от окружающей среды мембраной, при этом одна из герметичных емкостей расположена в грудной области спасательного жилета, а другая – в заспинной его области, мембрана каждой емкости связана с размыкателем электрической цепи соответствующего ей источника света посредством рычага, а оба источника света через размыкатели соединены с источником тока параллельно, и два миниатюрных передатчика с передающими антеннами, один из которых расположен в грудной области спасательного жилета, а другой – в заспинной его области, и приемник, установленный на пункте контроля и содержащий последовательно включенные первую приемную антенну, первый усилитель высокой частоты, первый смеситель, второй вход которого соединен с первым выходом первого гетеродина, первый усилитель промежуточной частоты, первый блок корреляторов, второй вход которого соединен с выходом второго усилителя промежуточной частоты, первый пороговый блок, первый ключ, третий ключ, второй вход которого через третий пороговый блок соединен с вторым выходом первого блока корреляторов, первый фазометр и блок регистрации, последовательно включенные вторую приемную антенну, второй усилитель высокой частоты, второй смеситель, второй вход которого соединен с первым выходом второго гетеродина, второй усилитель промежуточной частоты, второй перемножитель, второй вход которого соединен с выходом первого усилителя промежуточной частоты, и второй узкополосный фильтр, выход которого соединен с вторым входом первого ключа, последовательно включенные третью приемную антенну, третий усилитель высокой частоты, третий смеситель, второй вход которого соединен с первым выходом второго гетеродина, третий усилитель промежуточной частоты, второй блок корреляторов, второй вход которого соединен с выходом первого усилителя промежуточной частоты, второй пороговый блок, второй ключ, четвертый ключ, второй вход которого через четвертый пороговый блок соединен с вторым выходом второго блока корреляторов, и второй фазометр, выход которого соединен с вторым входом блока регистрации, последовательно подключенные к выходу третьего усилителя промежуточной частоты третий перемножитель, второй вход которого соединен с выходом первого усилителя промежуточной частоты, и третий узкополосный фильтр, выход которого соединен с вторым входом второго ключа, последовательно подключенные к второму выходу первого гетеродина первый перемножитель, второй вход которого соединен с вторым выходом второго гетеродина, и первый узкополосный фильтр, выход которого соединен с вторыми входами первого и второго фазометров, при этом частоты первого г1 и второго г2 гетеродинов разнесены на удвоенное значение промежуточной частоты г2– г1=2 пр и выбраны симметричными относительно несущей частоты с принимаемого сигнала бедствия с– г1= г2– с= пр, отличающаяся тем, что приемник снабжен удвоителем фазы, четвертым узкополосным фильтром и фазовым детектором, причем к выходу первого усилителя промежуточной частоты последовательно подключены удвоитель фазы, четвертый узкополосный фильтр и фазовый детектор, второй вход которого соединен с выходом первого узкополосного фильтра, а выход подключен к управляющим входам первого и второго гетеродинов.
РИСУНКИ
|
|