Патент на изобретение №2355390
|
||||||||||||||||||||||||||||||||||||||||||||||||||||||||||||||||||||||||||||||||||||||||||||||||||||||||||||||||||||||||||||||||||||||||||||||||||||||||||||||||||||||||||||||||||||||||||||||||
(54) ПРОТИВОСУДОРОЖНОЕ СРЕДСТВО
(57) Реферат:
Изобретение относится к области органической химии и медицины и касается применения 3-метил-6-(проп-1-ен-2-ил)циклогекс-3-ен-1,2-диола в качестве противосудорожного средства. Средство обладает высокой активностью, низкой токсичностью; отсутствием влияния на психолокомоторную активность, отсутствием потенцирования длительности действия снотворных препаратов. 6 табл.
Изобретение относится к области медицины, а именно к новым лекарственным средствам, обладающим противосудорожным эффектом. Задача, на решение которой направлено изобретение, заключается в поиске эффективного низкотоксичного лекарственного средства для предупреждения судорожных состояний различной этиологии, а также в расширении ассортимента противосудорожных средств. Поставленная задача решается путем использования в качестве противосудорожного средства 3-метил-6-(проп-1-ен-2-ил)циклогекс-3-ен-1,2-диола общей формулы 1, включая его пространственные изомеры, в том числе оптически активные формы.
Соединение 1 было впервые получено и описано в статье (Irina V.Il’ina, Konstantin Р.Volcho, Dina V.Korchagina, Vladimir A.Barkhash, Nariman F.Salakhutdinov. Helv. Chim. Acta, 2007, 90, В качестве единственной близкой структурной аналогии можно отметить (1R,2S,5R)-ментол формулы 2:
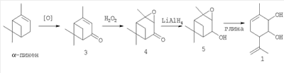
Для соединения 2 было обнаружено (А.С.Hall, C.M.Turcotte, B.A.Betts, Yeung, A.Wing-Yee, S.Abena, L.A.Burk. Eur. J. Pharmacol. 2004, 506, Соединение 1 может быть синтезировано в соответствии со схемой 1 исходя из монотерпена Схема 1. Стадия окисления Острая токсичность соединения 1 определялась на белых беспородных мышах массой 20-22 г при однократном внутрижелудочном введении по методу Кербера. Показано, что соединение 1 является умеренотоксичным веществом: ЛД50 больше 2000 мг/кг, т.е. не менее чем в 3.5 и 4 раза ниже, чем среднесмертельная доза известных антиконвульсантов сибазона и карбамазепина, соответственно, при аналогичном способе введения. Для исследования антиконвульсивной активности соединения 1 был использован набор стандартных тестов: «открытое поле», взаимодействие со снотворным препаратом хлоралгидратом (300 мг/кг внутрибрюшинно); судороги, вызванные стимулятором центрального генеза – коразолом (90 мг/кг внутрибрюшинно), Н-холиномиметиком – никотином (20 мг/кг, внутрибрюшинно), М-холиномиметиком – ареколином (15 мг/кг внутрибрюшинно), а также тест с предшественником дофамина L-Дофа (200 мг/ кг внутрибрюшинно), характеризующий воздействие на дофаминергическую (адренергическую) системы. В тестах «открытое поле» и взаимодействие с L-Дофа эффект оценивали по изменению количества различных видов движений и общего эмоционального состояния животных. Регистрация двигательных актов производилась автоматически в установке «TRUSCAN» (COULBOURN INSTRUMENTS, США). Изучаемое соединение вводили в дозах 0.5, 1.0 и 10 мг/кг однократно внутрижелудочно за час до тестирования. Эталон сравнения сибазон вводили в дозе 2.5 мг/кг. Все полученные экспериментальные данные обрабатывали с использованием t-критерия Стьюдента. Результаты исследования влияния соединения 1 на поведенческие реакции мышей в тесте «открытое поле» (таблицы 1 и 1а) свидетельствуют о том, что соединение 1 во всех дозах по сравнению с контролем не оказывает достоверного влияния на двигательную активность. Взаимодействие соединения 1 со снотворным препаратом – хлоралгидратом изучали при однократном внутрижелудочном введении в дозе 10 мг/кг. О способности изменения длительности хлоралгидратового сна судили по времени утраты и восстановления рефлекса переворачивания мышей. Результаты, представленные в таблице 2, свидетельствуют о том, что соединение 1 в дозе 10 мг/кг достоверно (Р<0.05) по сравнению с эталоном увеличивало время наступления сна и уменьшало его продолжительность. Противосудорожную активность также оценивали по проценту выживших животных после внутрибрюшинного введения коразола в токсической дозе 90 мг/кг. Исследуемое соединение вводили мышам внутрижелудочно в дозах 0.5, 1 и 10 мг/кг за час до воспроизведения судорог. Результаты представлены в таблице 3. В данном тесте показано, что соединение 1 проявило дозозависимый эффект, так в дозах 0.5 и 10 мг/кг оно полностью блокировало развитие судорог и, соответственно, наступление летальных исходов, тем самым проявляя противосудорожное действие в отношении вводимой дозы конвульсанта. В дозе 1 мг/кг наблюдалось незначительное (на 12.5%) усиление токсического действия коразола. При воспроизведении никотиновых судорог происходит возбуждение Н-холинорецепторов в продолговатом мозге. Соединение 1 вводили однократно внутрижелудочно в дозах 0.5, 1.0 и 10 мг/кг за час до воспроизведения судорог. Установлено, что соединение 1 полностью блокирует развитие никотиновых судорог в дозах 0.5 и 10 мг/кг, проявляя противосудорожный эффект. Результаты опытов представлены в таблице 4. Противосудорожное действие агента 1 изучали также в тесте ареколинового тремора (влияние на мускариновые рецепторы). Соединение 1 вводилось однократно внутрижелудочно в дозах 0.5, 1.0 и 10 мг/кг. Критерием эффекта считалась продолжительность тремора. В этом тесте для агента 1 установлен прямой дозозависимый эффект. Однако достоверное уменьшение продолжительности ареколинового тремора, а следовательно, и проявление противосудорожного эффекта по сравнению с контролем обнаружено только при введении агента в дозе 10 мг/кг. Результаты опытов представлены в таблице 5. В тесте с L-Дофа, характеризующем воздействие на дофаминергическую (адренергическую) систему, показано, что соединение 1 в дозе 10 мг/кг способствует усилению угнетающего действия предшественника дофамина, проявляющемуся в увеличении неподвижного момента, резком снижении количества двигательных актов, тем самым проявляя потенцирующее влияние на дофаминергическую систему. Результаты опытов представлены в таблице 6. Таким образом, можно заключить, что соединение 1 проявляет противосудорожное действие в тестах «никотиновые» и «коразоловые» судороги, ареколиновый тремор, возможно, связанное с влиянием агента на нейромедиаторные (ГАМК-ергическую и Н, М-холинергическую) системы, вовлеченные в регуляцию судорожного ответа. Кроме того, изучаемый агент потенцирует действие предшественника дофамина, проявляя стимулирующее влияние на дофаминергическую систему. Изобретение иллюстрируется следующими примерами. Пример 1. Синтез эпоксида вербенола 5. К раствору 10.0 г вербенона 3 в 100 мл метанола прибавляют 20 мл 30%-ной Н2О2, смесь охлаждают до 12°С и добавляют 5 мл 6N водного раствора NaOH. Смесь перемешивают 2 ч при 12-15°С. К реакционной смеси прибавляют 100 мл воды, продукт экстрагируют диэтиловым эфиром (3х80 мл). Органический слой промывают водой, высушивают над MgSO4. Растворитель отгоняют. Получают 7.55 г (68%) эпоксида вербенона 4. 1Н-ЯМР: 0.96 (с, Me (9)); 1.37 (с, Me (8)); 1.44 (с, Me (10)); 2.01 (д, J (7an, 7c)=10, 1Han-C (7)); 2.20 (д.д.д, J=10, J (7c, 1) = 5.5, J (7c, 5)=5.5, 1Hc-C (7)); 2.24 (д.д, J (1, 7c) = 5.5, J (1, 5) = 5.5, 1Н-С (1)); 2.34 (д.д.д, J (5, 1) = 5.5, J (5, 7c) = 5.5, J (5, 3) = 1.7, 1Н-С (5)); 3.05 (д, J (3,5) = 1.7, 1Н-С (3)). К суспензии 0.24 г LiAlH4 в 5 мл диэтилового эфира при 0°С прибавляют 1.0 г эпоксида вербенона 4. Реакционную смесь перемешивают 4.5 ч при 0°С, добавляют 5 мл воды и экстрагируют диэтиловым эфиром. Органический слой высушивают над К2СО3, растворитель отгоняют. Получают 0.84 г (83%) эпоксида вербенола 5. 1Н-ЯМР: 1.05 (с, Ме (8)); 1.25 (с, Ме (9)); 1.32 (с, Ме (10)); 1.34 (д, J (7an, 7cin)=9.5, Han-C(7)); 1.83-1.91 (м, 2Н, Н-С(1), Н-С(5)); 1.91-1.99 (д.м, J (7cin, 7an)=9.5, Нcin-С(7)); 2.70 (ш.с, ОН); 2.96 (д, J=2, Н-С(3)); 4.03 (д, J(4,5)=3, Н-С(4)). 13С-ЯМР: 45.30 (д, С1), 60.55 (с, С2), 60.30 (д, С3), 69.95 (д, С4), 46.70 (д, С5), 40.62 (с, С6), 22.07 (т, С7), 27.17 (к, С8), 22.07 (к, С9), 21.97 (к, С10). HR-MC: 168.11486 (М+, C10H16O2 Пример 2. Синтез 3-метил-6-(проп-1-ен-2-ил)циклогекс-3-ен-1,2-диола 1 на глине асканит-бентонит.
К суспензии 0.5 г глины асканит-бентонит, прокаленной в течение 3 ч при 120°С, в 8 мл СН2Cl2 г прибавляют раствор 0.200 г эпоксида вербенола 5 в 7 мл CH2Cl2, перемешивают 40 минут при 20°С. Добавляют 5 мл диэтилового эфира. Катализатор отфильтровывают, растворитель упаривают. Полученную реакционную смесь делят на колонке с 10 г силикагеля, элюент – раствор диэтилового эфира в гексане от 10 до 90%. Получают 0.094 г (47%) 3-метил-6-(проп-1-ен-2-ил)циклогекс-3-ен-1,2-диола 1. 1H-NMR: 1.75 (д.д.д.д, J 10,5a) = 2.5, J(10,4) = 1.5, J(10,5e) = 1.5, J(10,2) = 1, Me(10)); 1.78 (ш.с, Ме(9)); 1.93 (д.д.д.к, J(5e,5a) = 17.5, J(5e,4) = 5, J(5e.6a) = 5, J(5e,10) = 1.5, He-C(5)); 2.16 (д.д.д.к.д, J=17.5, J(5a,6a)=11, J(5a,4) = 2.5, J(5a,10) = 2.5, J(5a,2) = 1, Ha-C(5)); 2.35 (ш.д.д, J(6a,5a) = 11, J(6a,5e) = 5, Ha-C(6)); 2.44 (ш.с, 2 ОН); 3.77 (ш.д, J(2,1) = 3, H-C(2)); 3.82 (д.д, J(1,2)=3, J(1,6) = 2, H-C(1)); 4.79 и 4.90 (ш.с и м, 2Н-С(8)); 5.56 (д.д.к, J(4,5e) = 5, J(4,5a) = 2.5, J(4,10) = 1.5, H-C(4)). 13C-NMR: 71.39 (д, С1), 71.82 (д, С2), 131.76 (с, С3), 124.89 (д, С4), 24.65 (т, С5), 39.82 (д, С6), 145.67 (с, С7), 111.46 (т, С8), 22.55 (к, С9), 20.72 (к, С10). HR-МС: 168.11503 (M+, C10H16O2 Пример 3. Синтез (1R,2R,6S)-3-метил-6-(проп-1-ен-2-ил)циклогекс-3-ен-1,2-диола ((1R,2R,6S)-1) на глине К10. К суспензии 30.0 г глины К10 (Fluka), прокаленной в течение 3 ч при 110°С, в 200 мл CH2Cl2 прибавляют при перемешивании раствор 11.50 г эпоксида (-)-цис-вербенола ((1R,2R,4S,5R,6S))-5 ( Пример 4. Влияние соединения 1 на психо-локомоторную активность в тесте «открытое поле». Изучение влияния соединения 1 на психо-локомоторную активность проводили на белых беспородных мышах-самцах массой 22-25 г в тесте « открытое поле». Изучаемые соединения вводили в дозе 0.5, 1 и 10 мг/кг, эталон сравнения сибазон – в дозе 2.5 мг/кг внутрижелудочно за час до тестирования. Эффект оценивали по изменению количества различных видов движений и общего эмоционального состояния животных на приборе фирмы TruScan (США). Результаты представлены в таблице 1. Анализ полученных данных показал, что соединение 1 не имеет статистически значимых различий с эталонным препаратом по влиянию на психо-локомоторную активность животных.
Пример 5. Влияние соединения 1 на продолжительность действия снотворного препарата – хлоралгидрата.
При взаимодействии соединения 1 с хлоралгидратом время засыпания удлинялось на 29%, а продолжительность сна укорачивалось на 19% по отношению к контролю, что говорит о некотором стимулирующим влиянии на подкорку головного мозга. В группе с сибазоном наблюдалось сильное потенцирование действия снотворного препарата. Пример 6. Влияние соединения 1 на судороги, вызванные коразолом. Противосудорожную активность оценивали по проценту выживших животных после внутрибрюшинного введения коразола в токсической дозе 90 мг/кг. Исследуемое соединение вводили мышам внутрижелудочно в дозах 0.5, 1 и 10 мг/кг за час до воспроизведения судорог. Результаты представлены в таблице 3.
В данном тесте показано, что соединение 1 проявило дозозависимый эффект: в дозах 0.5 и 10 мг/кг оно полностью блокировало развитие клонических судорог и, соответственно, наступление летальных исходов, тем самым проявив противосудорожное действие в отношении вводимой дозы конвульсанта. В дозе 1 мг/кг наблюдалось незначительное (на 12.5%) усиление токсического действия коразола. Пример 7. Влияние соединения 1 на судороги, вызванные никотином. Противосудорожную активность оценивали по проценту выживших животных после внутрибрюшинного введения никотина в токсической дозе 20 мг/кг. Исследуемое соединение вводили мышам внутрижелудочно в дозах 0.5, 1 и 10 мг/кг за час до воспроизведения судорог. Результаты представлены в таблице 4.
Из данных таблицы 4 видно, что соединение 1 проявило дозозависимый эффект, а именно в дозе 0.5 мг/кг блокировало развитие никотиновых судорог на 50%, в дозе 10 мг/кг – на 40%, проявляя в значительной степени противосудорожный эффект. В дозе 1 мг/кг – не оказывало влияние на действие никотина. Пример 8. Влияние соединения 1 на тремор, вызванный ареколином. Противосудорожную активность оценивали по продолжительности тремора, вызванного внутрибрюшинным введением ареколина в дозе 15 мг/кг. Исследуемое соединение вводили мышам внутрижелудочно в дозах 0.5, 1 и 10 мг/кг за час до воспроизведения судорог. Результаты представлены в таблице 5.
Установлено, что только в дозе 10 мг/кг соединение 1 достоверно (Р<0.05) уменьшает продолжительность тремора, вызванного М-холиномиметиком ареколином. Пример 9. Взаимодействие соединения 1 с предшественником дофамина L-ДОФА. Изучение влияния соединения на дофаминергическую систему осуществляли путем внутрибрюшинного введения L-ДОФА в дозе 200 мг/кг. Эффект оценивали в тесте «открытое поле» по изменению параметров двигательной активности. Изучаемое соединение вводили однократно внутрь в дозе 10 мг/кг за час до воспроизведения теста. Результаты представлены в таблице 6. При взаимодействии соединения 1 с L-ДОФА показано, что данное соединение способствует усилению угнетающего действия предшественника дофамина, проявляющемуся в увеличении неподвижного момента, резком снижении количества двигательных актов, тем самым проявляя потенцирующее влияние на дофаминергическую систему. Таким образом, предлагаемый в качестве противосудорожного средства 3-метил-6-(проп-1-ен-2-ил)циклогекс-3-ен-1,2-диол отличается в лучшую сторону от транквилизаторов бензодиазепинового ряда типа сибазона следующим: – Простым синтезом из доступного природного соединения – Не менее чем в 3.5 раза меньшей токсичностью; – Отсутствием влияния на психо-локомоторную активность; – Отсутствием потенцирования длительности действия снотворных препаратов; – Проявлением холиноблокирующего действия.
Формула изобретения
Применение 3-метил-6-(проп-1-ен-2-ил)циклогекс-3-ен-1,2-диола формулы 1:
|
||||||||||||||||||||||||||||||||||||||||||||||||||||||||||||||||||||||||||||||||||||||||||||||||||||||||||||||||||||||||||||||||||||||||||||||||||||||||||||||||||||||||||||||||||||||||||||||||


2, 353-368), никаких его фармакологических свойств на настоящий момент не описано.
-пинена, широко распространенного в отечественном растительном сырье, с использованием технологичных и доступных реагентов.

+; calc. 168.11502).

=-44 (с 12, CHCl3)) в 150 мл СН2Cl2. Реакционную смесь перемешивают 1 ч при 22°С. Катализатор отфильтровывают, промывают этилацетатом, растворитель отгоняют. Остаток делят колоночной хроматографией на силикагеле, элюент – раствор этилацетата в гексане от 5 до 100%. Получают 5.10 г (44%) (1R,2R,6S)-3-метил-6-(проп-1-ен-2-ил)циклогекс-3-ен-1,2-диола ((1R,2R,6S)-1) (
=-46 (с 18, CHCl3)).