Патент на изобретение №2355381
|
||||||||||||||||||||||||||||||||||||||||||||||||||||||||||||||||||||||||||||||||||||||||||||||||||||||||||||||||||||||||||||||||||||||||||||||||||||||||||||||||||||||||||||||||||||||||||||||||||||||||||||||||||||||||||||||||||||||||||||||||||||||||||||||||||||||||||||||||||||||||||||||||||||||||||||||||||||||||||||||||||||||||||||||||||||||||||||||||||||||||||||||||||||||||||||||||||||||||||||||||||||||||||||||||||||||||||||||||||||||||||||||||||||||||||||||||||||||||||||||||||||||||||||||||||||||||||||||||||||||||||||||||||||||||||||||||||||||
(54) ВЫСОКОЭФФЕКТИВНЫЙ ГЕЛЬ С НИЗКИМ СОДЕРЖАНИЕМ ГЛИКОЛЕЙ
(57) Реферат:
Изобретение относится к области косметических средств, в частности антиперспирантов. Не содержащая эластомеров, не содержащая суспензии эмульсия вода-в-масле в виде прозрачного геля с вязкостью более 150000 сП и суммарным уровнем силиконовых связующих веществ меньше или равном 3%, включающая: (а) в качестве внутренней фазы – не содержащий глицин активный антиперспирант, стабилизированный бетаином, и систему гликолей, содержащую
Настоящее изобретение относится к прозрачной высокоэффективной высокой вязкости, не содержащей эластомеров, суспензий, гелевой композиции, которая содержит активный антиперспирант, не содержащий глицина (предпочтительно, с низким отношением металла к хлориду), стабилизированный триметилглицином ( Заявка на патент США Заявка на патент США Антиперспирантные продукты хорошо известны в данной области. Антиперспиранты появлялись на рынке в разнообразных дозированных формах, таких как косметические карандаши, размягченные твердые вещества, размягченные гели, шариковые упаковки, аэрозоли и кремы. Как правило, эти дозированные формы включают раствор активного ингредиента в подходящем растворителе, суспензию активного ингредиента в веществе, не являющемся растворителем, или многофазную дисперсию или эмульсию, в которой раствор активного ингредиента диспергирован в некой непрерывной фазе, или в которой солюбилизированный активный ингредиент образует непрерывную фазу. Из приведенных выше дозированных форм форма косметического карандаша представляет собой пример твердой формы, и размягченное твердое вещество и размягченный гель являются загущенными формами, которые могут или не могут представлять собой твердые вещества (например, в некоторых условиях гели могут течь). Форма косметического карандаша может отличаться от формы размягченного твердого вещества или формы размягченного геля тем, что в косметическом карандаше сформированный продукт, находясь вне упаковки, может сохранять свою форму в течение длительного периода времени, причем продукт, по существу, не теряет своей формы (допуская некоторое сжатие, вследствие испарения растворителя). Путем регулирования количества гелеобразующего или загущающего агентов можно получить размягченный гель или косметический карандаш. Размягченные гели или размягченные твердые вещества могут быть соответствующим образом упакованы в контейнеры, которые имеют внешний вид карандаша, но в которые дозирование осуществляется через отверстия (например, щели или поры), находящиеся в верхней части поверхности упаковки. Размягченные твердые продукты также называли мягкими карандашами или В последнее время активная деятельность была направлена на разработку прозрачных косметических карандашей и размягченных гелей, обладающих антиперспирантными свойствами, в частности на получение косметических карандашей и размягченных гелей, с большей эффективностью (например, увеличивая количества активного антиперспиранта в косметических карандашах и размягченных гелях), улучшенными косметическими характеристиками (включая уменьшенное отбеливание, уменьшенный остаток на коже и меньшую липкость) и обладающих сниженной способностью к раздражению кожи (например, получая так называемый В патенте США Некоторые вещества, содержащие целлюлозу, такие как гидроксипропилцеллюлоза, среди прочих, являются совместимыми с солями многовалентных металлов, и были использованы в производстве прозрачных лосьонов. Эти целлюлозосодержащие вещества, однако, должны быть получены с высоким процентным содержанием воды или спирта для того, чтобы обеспечить солюбилизацию активного ингредиента. Полученные составы, если они на спиртовой основе, в дополнение к высокой раздражающей способности, липки и имеют низкую эффективность; и если они на водной основе, обнаруживают липкость и длительное время высушивания. Прозрачные антиперспирантные размягченные гели (которые дозированы из контейнеров, имеющих внешний вид косметических карандашей), поступившие на рынок в последнее время, состояли из вязких эмульсий с высокодисперсной фазой. Эти размягченные гели обнаруживают некоторые преимущества перед указанными выше косметическими карандашами, в частности перед прозрачными косметическими карандашами на основе ацеталя, заключающиеся в том, что выбор компонентов состава менее ограничен (например, может быть использована вода) и часто может быть значительно снижена липкость. Касательно этих эмульсий, обращают на себя внимание патент США Кроме того, следует отметить публикацию международной заявки PCT В патенте США В патентах США В патенте США В патенте США В патенте США В публикации заявки на патент США В заявке на патент США Дополнительные примеры получения такого типа комплексов на основе солей описаны в заявках на патент США В патенте США В патенте США В патенте США В патенте США Бетаин (определенный ниже) по настоящему изобретению не является поверхностно-активным веществом и, как было обнаружено, обладает свойствами, существенными для области, относящейся к антиперспирантным солям, содержащим цирконий. Бетаин, используемый в настоящем изобретении, представляет собой натуральный продукт, обнаруженный в ряде растений семейства Chenopodiaceae, а также в рыбах и растениях, выбранных из семейства бобовых. Чаще всего экстрагируемый из растений сахарной свеклы (Beta Vulgaiis) он, как сообщают, является чрезвычайно универсальной молекулой, имеющей широкий диапазон применения, а именно, в качестве пищевой добавки, средства, не вызывающего раздражения, увлажнителя кожи, средства, смягчающего кожу, средства, нормализующего физическое состояние кожи, ускорителя заживления ран и в качестве компонента в косметических композициях, предназначенных для стареющей кожи и кожи с пониженным тонусом. Бетаин по номенклатуре ИЮПАК представляет собой внутреннюю соль l-карбокси-N,N,N-триметилметанаммоний гидроксида с альтернативными названиями, включающими карбоксиметилтриметиламмоний бетаин или внутреннюю соль (карбоксиметил)триметиламмоний гидроксида, или глицинбетаин, или гликольбетаин, или глицилбетаинтриметилглицин, или триметилгликоль. Для удобства, в настоящем описании вещество формулы I, (C5H11NO2; имеющее массу, равную 117,08 ат.ед., молекулярную массу, равную 117,15; элементный анализ: C: 51,26; H: 9,46; N: 11,96; O: 27,32), обозначают как бетаин. формула I Бетаин представлен в многочисленных патентах, соответствующих широкому ряду применений. Немецкий патент DE 19725087 относится к косметическим и дерматологическим препаратам, представляющим собой эмульсии масло-в-воде, предназначенные для защиты от света, содержащие гидрофобные неорганические тонкодисперсные пигменты и гидрофильные поверхностно-активные вещества. В публикации PCT WO 97/23594 описаны композиции, очищающие кожу, обладающие увеличенной противомикробной активностью, содержащие 0,1-30% амфотерного, цвиттерионного, неионного, анионного и/или катионного эмульгатора, 0,00001-5% соединения Ag (AgCl, Ag2CO3 и т.д.), в качестве противомикробного агента, нанесенного на инертное вещество подложки в виде частицы (оксиды металлов, в особенности TiO2) и Н2О. Обычная композиция содержит цетилбетаин. В Японском патенте JP 2001163752 описаны композиции для косметического макияжа длительного хранения, содержащие блестящие полимерные порошки пластинчатого типа и антиперспиранты. В Европейском патенте EP 1005853 описано использование бетаинов в качестве антиперспирантов. Моно-, ди- и триметиламмониозамещенные карбоновые кислоты R1R2R3N+(CH2)nC(O)O- (R1-R3 являются H, Me; n=1-10) активны в качестве антиперспирантов и совместимы с кожей и другими общепринятыми составляющими антиперспирантных и дезодорирующих композиций. В Европейском патенте EP 1005852 описано использование в качестве антиперспирантов функционально замещенных бетаинов. Моно-, ди- и триметиламмониозамещенные карбоновые кислоты R1R2R3N+(CH2)nCHX(CH2)mC(O)O- и/или X(CH2)nCH(N+R1R2R3)(CH2)mC(O)O- (R1-R3 являются H, Me; m, n=1-8) активны в качестве антиперспирантов и совместимы с кожей и другими общепринятыми составляющими антиперспирантных и дезодорирующих композиций. В Японском патенте JP 11130652 описаны косметические изделия, увлажняющие кожу и нормализующие физическое состояние кожи, содержащие глинистые минералы и бетаины низкой молекулярной массы, для ингибирования высвобождения из человеческой кожи пирролидонкарбоновой кислоты (натуральный увлажняющий фактор). В Немецком патенте DE 2610225 описаны алюминиевые соли бетаинхлорида, используемые в качестве ингибиторов язвенной болезни, при лечении гастрита, для ускорения заживления ран и в качестве антиперспирантов и дезодорантов. В публикации PCT WO 01/62222 описаны косметические композиции, содержащие фосфолипиды и четвертичные амины. Это изобретение относится к косметическим композициям, предназначенным для применения, главным образом, на стареющей коже и коже с пониженным тонусом; композиция содержит в дополнение к воде, по крайней мере, одно вещество, которое образует с водой слоистую структуру. Описаны композиции, включающие бетаин. В публикации РСТ WO 01/47479, права на которую переуступлены тому же владельцу, что и в данном случае, описаны косметические увлажняющие композиции, содержащие соединения четвертичного аммония. Описаны композиции с кокамидопропилбетаином. В публикации РСТ WO 01/39730 описана косметическая композиция, которая содержит торф и бетаин. Публикация РСТ WO 97/46246 относится к комплексным составам, предназначенным для местного применения, содержащим бетаин, для стимуляции клеточных и физиологических процессов. В публикации РСТ WO 91/18588 описан способ уменьшения раздражающего действия косметической композиции, посредством добавления производных бетаина. В Японском патенте JP 03033266 описаны модифицированные ткани, покрытые смесью додецилбетаина и других компонентов, для регулирования изменения pH кожи в процессе потовыделения. Хотя известны различные косметические гелевые композиции, включая антиперспирантные и дезодорирующие композиции, которые являются прозрачными, все еще желательно получить косметическую гелевую композицию (например, прозрачную антиперспирантную и/или дезодорирующую гелевую композицию), которая обладает лучшей эффективностью по сравнению с другими продуктами, в особенности другими, коммерчески доступными гелевыми продуктами. Бетаин способен дополнительно стабилизировать антиперспирантные соли и, тем самым, с течением времени поддерживать или увеличивать их эффективность. Что касается технологий, касающихся маскировки и нейтрализации запаха, как сообщалось, ряд веществ сами по себе или в комбинации с ароматизирующими веществами обладают свойствами нейтрализовать неприятный запах. По типу воздействия на пахнущие вещества эти вещества и композиции разделяют на несколько обширных классов, которые включают (a) ароматизирующие вещества или их предшественники, которые маскируют восприятие веществ с неприятным запахом; (b) вещества и композиции, которые убивают бактерии или разрушают процессы, посредством которых бактерии на коже или в окружающей среде превращают непахнущие вещества в летучие соединения с неприятным запахом; (c) вещества и композиции, которые подавляют летучесть проблемных веществ посредством физической адсорбции или абсорбции, или путем химического взаимодействия с неприятно пахнущими летучими веществами, которое превращает их в нелетучие; (d) вещества и композиции, которые, хотя сами по себе и не являются сильно пахнущими веществами, маскируют хеморецепцию неприятно пахнущих веществ человеческим носом. В условиях предшествующего уровня техники много усилий было направлено на уменьшение неприятных запахов посредством использования комбинации одного или нескольких из вышеуказанных механизмов. В патенте США Известно, что ароматизирующие вещества могут быть запроектированы для того, чтобы противодействовать неприятным запахам. Ароматизирующие вещества, которые обычно используют для маскировки неприятного запаха, являются такими веществами, которые содержат углерод-углеродную двойную связь, сопряженную с одной или несколькими карбонильными группами. Альдегиды являются наиболее распространенными веществами этого класса, используемыми для нейтрализации неприятных запахов, причем наиболее часто используют дезодорирующие свойства триметилгексаналя, других алкилальдегидов, бензальдегида и ванилина. Например, в заявке на Европейский патент 0404470 описано использование ароматизирующих веществ, обладающих хорошей эффективностью по снижению неприятных запахов, и в заявке на Европейский патент 0545556 описаны смеси ароматизирующих веществ, которые маскируют неприятные запахи. Однако использование только ароматизирующих веществ самих по себе может ограничить типы ароматизирующих веществ, которые парфюмер может создать. Было показано, что другие вещества обладают способностью нейтрализовать неприятные запахи ( В патенте США Хотя известны разнообразные косметические гелевые композиции, включающие антиперспирантные и дезодорирующие композиции, которые являются прозрачными, все еще существует необходимость в получении косметической гелевой композиции (например, прозрачной антиперспирантной и/или дезодорирующей гелевой композиции), которая обладает улучшенной эффективностью, по сравнению с другими продуктами, в особенности с коммерчески доступными гелевыми продуктами. В соответствии с первым аспектом настоящего изобретения разнообразные приведенные выше цели достигают при помощи эмульсии высокой вязкости, которая имеет (1) водную фазу, содержащую воду (или воду и водорастворимый органический растворитель, как определено выше); активный антиперспирант, содержащий металлы алюминия и циркония с низким соотношением M:C1 ((0,9-1,3):1) и стабилизированный бетаином; и (2) масляную фазу, содержащую летучее органическое или силиконовое вещество, и композицию, дополнительно включающую (3) подходящее поверхностно-активное вещество на основе силикона, такое как алкоксилированный, алкилзамещенный силоксановый поверхностно-активный агент в количестве 0,6-0,9% мас. (из расчета на количество активных веществ), который является пригодным для формирования высоковязкого (более 150000 сП) геля, как описано выше, и (4) подходящий солюбилизатор ароматизирующих веществ, такой как простой миристиловый эфир, который способствует растворению ароматизированных масел в масляной фазе, преимущественно на основе силикона. Другой дополнительной целью изобретения является получение продуктов, которые обладают (a) уменьшенным отбеливанием, (b) низкой липкостью, (c) профилем быстрого высушивания и (d) пониженной способностью раздражать кожу по сравнению с коммерчески доступными продуктами. Однако существует еще одна цель изобретения, заключающаяся в получении антиперспирантных/дезодорирующих гелевых продуктов, которые не содержат растворимых в масле смягчающих веществ с высоким показателем преломления (более 1,420) (которые имеют тенденцию замедлять время высушивания гелевой композиции вследствие их малой летучести). Масляная фаза по данному изобретению имеет относительно низкий показатель преломления по сравнению с другими прозрачными гелями, тем самым снижая уровень выравнивающих показатели преломления водорастворимых агентов на органической или силиконовой основе (таких как гликоли и другие одноатомные или многоатомные спирты, ионизируемые одновалентные или двухвалентные неорганические соли, сахара, сложные эфиры и аминокислоты), которые используют для выравнивания показателей преломления водной (внутренней) фазы и масляной (внешней) фазы, для получения прозрачного геля. Дополнительной целью изобретения является получение антиперспирантных и/или дезодорирующих композиций, которые не так чувствительны к разложению ароматизирующих веществ как другие продукты с низкими соотношениями металл:хлор, которые, как можно было ожидать, ухудшают ароматизирующие вещества. Составы по данному изобретению не включают буферы, которые содержат нуклеофильные аминогруппы, такие как глицин, обнаруживают улучшенную стабильность (1) ароматизирующих веществ и (2) нейтрализующих запах сложноэфирных альфа, бета-ненасыщенных карбонильных соединений. Композиции по данному изобретению могут быть использованы в качестве антиперспирантов и/или дезодорантов. Изобретение представляет собой прозрачный гель (50-250 NTU при 21,0°C); высокой вязкости (более 150000 сП); не содержащий эластомеров; не содержащий суспензий; а именно эмульсию вода-в-масле, имеющую суммарный уровень силиконовых смягчающих веществ, равный или меньше 3% мас., где прозрачный гель включает: (a) внутреннюю (водную) фазу, содержащую: (i) 14-30% мас. активного антиперспиранта, не содержащего глицин, с низким соотношением металл:хлорид, находящимся в интервале (0,9-1,3):1, и стабилизированного бетаином; (ii) высокое содержание воды, так что общий уровень воды в композиции составляет более 30% мас. из расчета на общую гелевую композицию; и (iii) 3,5-10% мас. системы гликолей, содержащей пропиленгликоль и второй гликоль, выбранный из группы, состоящей из гликолей и полигликолей, где общее количество пропиленгликоля в полной гелевой композиции превышает или равно 7,5% мас.; и (b) внешнюю (масляную) фазу, содержащую: (i) один или несколько циклометиконов, имеющих температуру вспышки 100°C или ниже (например, один или несколько D4, D5 и D6 циклометиконов); (ii) силиконсополиол; и (iii) солюбилизатор ароматизирующих веществ; и (iv) 0-0,45% мас. (в частности, от 0,05 до приблизительно 0,45% мас.) веществ, содержащих сложные альфа, бета-ненасыщенные эфиры (или их смеси), нейтрализующие неприятный запах; (v) 0-3% мас. силиконового смягчающего вещества; где (1) все количества указаны в расчете на общий состав композиции, (2) максимальный уровень летучих линейных силиконов (если их используют) равен или менее 1% мас. и (3) внешняя фаза не содержит силиконовых смягчающих веществ, которые имеют показатель преломления, превышающий 1,4200. Один конкретный вариант осуществления не содержит аминокислот. Другой вариант осуществления содержит аминокислоты, при условии, что гелевая композиция не содержит глицин. Эти косметические гели быстро высыхают благодаря комбинации низких уровней нелетучих веществ в масляной фазе. Одновалентная или двухвалентная соль может быть необязательно использована в качестве агентов, модифицирующих показатель преломления водный фазы таким образом, чтобы согласовать его с показателем преломления масляной фазы, получая, таким образом, прозрачный гель. Настоящее изобретение может, кроме того, содержать необязательный компонент, который представляет собой, по крайней мере, один нейтрализующий неприятный запах сложный альфа, бета-ненасыщенный эфир или смеси таких веществ. Если уровень компонентов, нейтрализующих неприятный запах, введенных в антиперспирантную и/или дезодорирующую композицию, определенную в данном изобретении, в окончательном составе композиции попадает в точно установленную эффективную зону, то определение этой зоны не является очевидным без количественной оценки дезодорации in-vivo. Данное изобретение идентифицирует оптимальный уровень композиции, нейтрализующей неприятный запах, для того, чтобы иметь благоприятное воздействие контроля различаемого запаха при выделении ее из антиперспирантного и/или дезодорирующего геля как составляющий приблизительно от 0,05 до приблизительно 0,45% мас. от полного состава гелевой композиции. Вещества, содержащие сложные альфа, бета-ненасыщенные эфиры, нейтрализующие неприятный запах, вводят в масляную фазу антиперспирантной композиции. На основе химической композиции этих нейтрализующих неприятный запах компонентов, которая включает, но, не ограничиваясь ими, компоненты, обсуждаемые в патенте США 6610648 (Givaudan) и патенте США 6495097 (Shaw et al), не очевидно, что эти компоненты окажутся стабильными в антиперспирантном и/или дезодорирующем геле, содержащем антиперспиранную активную соль высокой кислотности (низкое соотношение M:C1). Например, в данном изобретении нейтрализующая запах смесь сложных альфа, бета-ненасыщенных эфиров демонстрирует неожиданную стабильность в вышеуказанных антиперспирантных композициях, включающих соли с низким соотношением металл:хлорид (M:C1) и не содержащие глицин. В противоположность, такие композиции, нейтрализующие неприятный запах, являются неустойчивыми, когда сформированы внутри композиций в виде геля, крема и жидкого геля, составленных из глицинсодержащих активных антиперспирантных солей, в которых соотношение металл:Cl соли является низким (низкое соотношение определяют для алюминийциркониевых тетра- или октасолей, где соотношение металл:Cl находится в интервале (0,9-1,3):1; соотношение глицин/Zr превышает величину 1,2; для алюминиевых солей соотношение алюминий:хлорид находится в интервале (0,5-2,5):1; соотношение глицин/Al находится в интервале (0,05-0,26):1). Изобретение представляет собой прозрачный гель (50-250 NTU при 21,0°C); высокой вязкости (более 150000 сП), не содержащий эластомеров, не содержащий суспензий, а именно эмульсию вода-в-масле, имеющую суммарный уровень силиконовых смягчающих веществ меньший или равный 3% мас, где прозрачный гель включает, например, внешнюю фазу, содержащую (процентное содержание от общего состава композиции): (a) 6,5-23,4% мас. (более конкретно 9-20% мас.) одного или нескольких циклометиконов, имеющих температуру вспышки 100°С или меньше; (b) 0,6-0,9% мас. из расчета на количество активных веществ (в частности, 0,6-0,8%) силиконового поверхностно-активного вещества, имеющего величину ГЛБ (гидрофильно-липофильный баланс) меньше или равную 8) такого как силиконсополиол (основа активных веществ представляет собой фактическое количество сополиола, так как сополиол часто используют вместе с таким носителем, как циклометикон, например в виде 10% активных веществ); (с) 0,1-3,0% мас. несиликонированного солюбилизатора органических ароматизирующих веществ (в частности, 0,5-2%), состоящего из совместимых с силиконом неразветвленных и разветвленных углеводородов с молекулярной массой, меньшей, чем 1000, сложных алкилзамещенных фениловых эфиров с длиной алкильной углеродной цепи от C-1 до C-20, и этоксилированных и/или пропоксилированных простых эфиров с длиной углеродной цепи от C-1 до C-25 и степенью этоксилирования и/или пропоксилирования, составляющей от 1 до 10 (например, компоненты группы, состоящей из гидрированного полиизобутена (Polyiso 250), C12-С15алкилбензоата (FINSOLV TN) и простого миристилового эфира ППГ-3 (в частности, простого миристилового эфира ППГ-3), который может способствовать растворению ароматизированных масел в другой масляной фазе, полностью на основе силикона, и который не воздействует отрицательно на ощущения на коже и на характеристики высушивания композиции; (Эстетические ощущения на коже, такие как влажность, липкость и остаток, оценивали для руки от кисти до локтя как с нижней, так и с верхней стороны, с помощью 10 участников тренировочной группы, сравнивая некоторые антиперспирантные гели, описанные в данном изобретении, с коммерческими гелями. Были отмечены существенные различия в эффективности между коммерческим гелем и некоторыми из составов, описанных в настоящем описании, при уровне достоверности 95%); (d) 0-3% мас. (в частности, 0-2,5% мас. или 0,1-1,0% мас.) силиконового смягчающего вещества, имеющего низкий показатель преломления (R.I.<1,4200 при 21°C) (определением исключая (a) и (b), приведенные в выше), выбранного из группы, состоящей из (i) летучих линейных полидиалкилсилоксанов с температурой вспышки ниже или равной 100°С (в частности, диметиконы низкой вязкости); (ii) нелетучие линейные полидиалкилсилоксаны с температурой вспышки выше 100°C; (iii) силанолы (например, диметиконолы, такие как DC 9023 и DC 1501 от компании Dow Corning), в которых одна или две алкильные группы вышеуказанных веществ (i) или (ii) заменены гидроксильной группой; и (iv) смеси любых из вышеуказанных веществ (следует отметить, что комбинации этих силиконовых смягчающих веществ с низким показателем преломления также могут быть использованы, однако, максимальный уровень летучих линейных силиконовых смягчающих веществ должен быть меньше или равен 1% мас.; следует отметить, что один конкретный вариант осуществления изобретения не содержит летучих линейных силиконов (например, летучих диметиконов) и/или не содержит нелетучих силиконов); (e) 0-5% мас. ароматизирующего или маскирующего запах вещества; и (f) 0-0,45% мас. сложных альфа, бета-ненасыщенных эфиров, в качестве вещества, нейтрализующего неприятный запах. Внешняя фаза может быть удобно объединена с внутренней фазой, например внутренней фазой, содержащей: (a) 14-30% мас. из расчета количества водной фазы (в частности, 17-30% мас. и, более конкретно, 17-25% мас.) антиперспирантной активной соли, не содержащей глицин, дополнительно стабилизированной бетаином, содержащим металлы алюминия или алюминия и циркония, где выбор компонентов является таким, что (i) если используют соль алюминия и циркония, тогда соотношение металл:Cl соли должно быть низким, таким как (0,9-1,3):1 (более конкретно, в интервале от (0,9-1,0):1); соотношение бетаин/Zr должно находиться в диапазоне (0,2-3,0):1 (в частности, (0,4-1,5):1) и молярное соотношение бетаин:алюминий должно находиться в диапазоне (0,05-1,0):1 (в частности, (0,05-0,26):1 и, более конкретно, в диапазоне (0,05-0,16):1); (ii) если используют только алюминиевую соль, соотношение алюминий:Cl соли должно находиться в диапазоне (0,5-2,5):1; соотношение бетаин/Al должно находиться в диапазоне (0,05-1,):1; где стабилизированная бетаином и/или буфером антиперспирантная активная соль имеет pH в интервале 2-4, измеренный в воде при концентрации 15% (следует отметить, что бетаин служит двойной цели и как буферный агент, и как агент, выравнивающий показатель преломления (RI) активной фазы); (b) 30-70% мас. воды (в частности, 45-65% и, более конкретно, 50-60%); (с) 3,5-10% мас. (в частности, 4-8% мас.) системы водорастворимых гликолей, которая содержит, по крайней мере, 0,2% и самое большее 7,5% пропиленгликоля и дополнительного гликолевого компонента, выбранного из группы, состоящей из этиленгликоля; диэтиленгликоля; триэтиленгликоля; тетраэтиленгликоля; пропиленгликоля; дипропиленгликоля; трипропиленгликоля; 1,3-пропандиола; 2-метилпропандиола; метилпропандиола; 1,6-гександиола; 1,3-бутандиола; 1,4-бутандиола; от ПЭГ-4 до ПЭГ-600; от ППГ-9 до ППГ-34; неопентилгликоля; триметилпропандиола; 2,2-диметил-l,3-пропандиола; 2,2,4,4-тетраметил-l,3-циклобутандиола и их смесей, в которых количество пропиленгликоля не превышает 7,5% (в частности, не превышает 5%). (Более конкретно, примеры гликолевого компонента включают один или несколько членов группы, состоящей из пропиленгликоля, дипропиленгликоля, 2-метил-1,3-пропандиола, метилпропиленгликоля, полиэтиленгликоля низкой молекулярной массы (менее чем 600) и смесей любых вышеуказанных соединений.); (d) 0-4% мас. (в частности, 0,2-4% мас.) одновалентных или двухвалентных ионизируемых, водорастворимых неорганических или органических солей для того, чтобы способствовать возрастанию показателя преломления активной фазы и оптимизации уровня гликолей. Эти соли имеют формулу МаХb, где a=l или 2, и b=l или 2; M представляет собой фрагмент, выбранный из группы, состоящей из Na+1, Li+1, K+1, Mg+2, Ca+2, Sr+2 и Zn+2, и X является фрагментом, выбранным из группы, состоящей из хлорида, бромида, иодида, цитрата, глюконата, лактата, глицината, глутамата, аскорбата, аспартата, нитрата, фосфата, гидрофосфата, дигидрофосфата, формиата, малоната, малеата, сукцината, карбоната, бикарбоната, сульфата и гидросульфата (отдельные соли представляют собой NaCl, CaCl2 и ZnCl2); (e) 0-5% водорастворимого агента на основе углерода с высоким показателем преломления (R.I.>1,4200), выбранного из группы, состоящей из глицерина, аланина, холина, лизина, диглицерет-7, триглицерет-7-цитрата, глицерет-7-гликолата, глицерет-5-лактата, лаурамидопропилглицерина, глицерет–5-лактата, глицерет-7-гликолата и глицерет–20-бензоата (Ethox GB-2) (например, 0,5-3% мас. агента с высоким показателем преломления, выбранного из группы, состоящей из диглицерет–7-цитрата, глицерет-7-гликолата, глицерет–5-лактата, лаурамидопропилглицерина, глицерет–5-лактата, глицерет–7-гликолата и глицерет–20-бензоата; и (f) 0-10% мас. (в частности, 0-4%) спирта, содержащего от 2 до 4 углеродных атомов (например, 1-5% этанола); где (i) все количества указаны в расчете на общую композицию; (ii) композиция представляет собой эмульсию, имеющую вязкость, превышающую 150000 сП (например в диапазоне 150000-600000 сП, более конкретно 200000-350000 сП); (iii) соотношение масляной фазы и водной фазе в композиции находится в диапазоне от 10:90 до 24:76; и (iv) композиция не содержит глицина, эластомеров, боратов в качестве структурообразователей, гелеобразующих агентов, представляющих собой мыла, нерастворимых суспендированных веществ и вторичных водорастворимых поверхностно-активных веществ, имеющих величину ГЛБ, превышающую или равную 9. Изобретение, кроме того, включает комбинации субинтервалов и подгрупп, описанных выше. Идеально, когда бетаин вводят во время синтеза соли так, чтобы максимизировать стабилизирующее воздействие, которое производит эта аминокислота на молекулы циркониевой соли. Альтернативно, его можно добавлять позже, вместе с дополнительными компонентами активной фазы для получения активного ингредиента, стабилизированного бетаином. Показатель преломления активной фазы согласуют с масляной фазой (составленной из ароматизирующих веществ, поверхностно-активных веществ, силиконов, являющихся солюбилизаторами ароматизирующих веществ) посредством добавления гликолей и необязательно одновалентных и/или двухвалентных солей, так же как одноатомных спиртов, чтобы показатель преломления активной фазы отличался от показателя преломления масляной фазы на величину приблизительно от 0,000 до 0,0040 единиц. Это приводит к тому, что прозрачный продукт имеет величину NTU (нефелометрические единицы мутности) в диапазоне от 50 до 250 и величину R.I. в диапазоне от 1,4025 до 1,4150. Наиболее предпочтительно, когда показатель преломления активной фазы меньше, чем показатель преломления ароматизированной масляной фазы, тем самым минимизируя уровень гликолей. Ароматизированные масла (если их добавляют к композиции) обычно имеют показатели преломления в интервале от 1,4450 до 1,4850, и обычно их используют при уровнях содержания в интервале от 0,50 до 2,0 массовых процентов. Ионизируемые одновалентные и двухвалентные неорганические соли, антиперспирантные соли, воду и необязательные компоненты, такие как спирт, оптимизируют таким образом, чтобы обеспечить быстрое высушивание гелевой композиции. Измерения показателя преломления осуществляют при температуре приблизительно 20-25°С, используя рефрактометр фирмы Bausch and Lomb Abbe 3L. Измерения мутности, как описано в настоящем описании, осуществляют с помощью турбидиметра Orbeco-Hellige #965 с прямым считыванием измерений. Один конкретный вариант осуществления не содержит аминокислот (таким образом, бетаин исключают из класса аминокислот определением). Один вариант осуществления изобретения состоит из композиции масляной фазы, такой, что добавление ароматизирующего компонента (если ароматизирующие вещества добавляют к композиции) обеспечивает показатель преломления, находящийся в диапазоне от приблизительно 1,4015 до приблизительно 1,4150; в особенности, от приблизительно 1,4025 до приблизительно 1,4090. Одним из преимуществ добавления несиликонированного солюбилизатора органических ароматизирующих веществ является улучшенная растворимость ароматизирующих веществ в масляной фазе на основе силикона (прежде всего циклометиконов) гелевой эмульсии. Ограниченную растворимость некоторых ароматизирующих веществ в циклометиконе и линейных полидиалкилорганосилоксанах (если они присутствуют) легко определяют по мутности вышеуказанного силикона(ов), когда к силикону добавляют приблизительно 10-30% мас. ароматизирующих веществ. Специалисту в данной области известно, что добавление такого небольшого количества, как 5-10% мас. солюбилизаторов ароматизирующих веществ (количество зависит от типа ароматизирующего вещества), описанных выше (например, простого миристилового эфира ППГ-3), к смеси силикон/ароматизирующие вещества приводит к получению прозрачного раствора. Высоковязкие гелевые композиции по настоящему изобретению включают антиперспирантный активный агент в количестве, достаточном для получения дезодорирующего эффекта, и/или в количестве, достаточном для снижения потоотделения, когда композицию наносят человеку. В качестве активного антиперспиранта, используемого во внутренней (иначе называемой Антиперспирантные активные вещества могут быть введены в композиции по настоящему изобретению в количествах, которые находятся в диапазоне 14-30% мас. (из расчета на сухое твердое вещество), в частности 17-25% мас. от общей массы композиции. Также могут быть использованы смеси активных веществ. Используемые количества будут зависеть от состава композиции. При количествах, соответствующих верхней границе диапазона, можно ожидать хорошего антиперспирантного эффекта. Как было отмечено выше, активное вещество, предпочтительно, включают в композиции по изобретению путем предварительного смешивания активного вещества с водой и необязательно небольшим количеством пропиленгликоля. Антиперспирантные активные вещества могут быть введены в композиции по настоящему изобретению в количествах, которые описаны выше. При меньших уровнях содержания антиперспирантное активное вещество может не полностью снизить потоотделение, но уменьшить неприятный запах, например, воздействуя как противомикробное вещество. При количествах 15-25% мас. от общей массы композиции (из расчета на активные вещества) можно наблюдать антиперспирантный эффект. Особенно предпочтительными являются антиперспирантные активные вещества, имеющие относительно низкое соотношение металл:хлорид, как обозначено выше; и такие активные вещества описаны в патенте США В одном конкретном варианте представляющей интерес соли алюминийциркониевую тетрасоль или октасоль, не содержащую глицина, используют там, где алюминийциркониевая соль имеет отношение металла к хлориду, находящееся в диапазоне (0,9-1,3):1 (в особенности, в диапазоне (0,9-1,2):1 и, более конкретно, в диапазоне (0,9-1,1):1). Для тетрасоли атомное соотношение Al/Zr находится в диапазоне от (3,2:1) до (4,1:1,0) и мольное соотношение бетаин:цирконий находится в диапазоне (0,2-3,0):1 (в частности, (0,4-1,5):1). Один отдельный вариант осуществления может быть получен с пропиленгликолем и алюминийциркониевой тетрасолью так, чтобы мас./мас. соотношение пропиленгликоль/Zr находилось в диапазоне 0,4-2,5. В одном конкретном варианте представляющей интерес солью является соль хлорида алюминия, стабилизированная бетаином в качестве буфера, где соль имеет соотношение металл:хлорид, находящееся в диапазоне (0,9-1,3):1 (особенно в диапазоне (0,9-1,2):1 и, более конкретно, в диапазоне (0,9-1,1):1). Примеры коммерчески доступных солей хлорида алюминия, не содержащих глицина, имеющих низкое отношение M:C1, включают Westchlor 100 (от компании Westwood Chemicals). Другие представляющие интерес соли включают, но, не ограничиваясь ими, октасоли, в которых атомное соотношение Al/Zr находится в диапазоне (6,2-10,0):1 и мольное соотношение бетаин/Zr находится в диапазоне (0,2-3,0):1 (в частности, (0,4-1,5):1). Для тетрасоли атомное соотношение Al/Zr находится в диапазоне от (3,2:1,0) до (4,1:1,0) и мольное соотношение бетаин:Zr находится в диапазоне (0,12-3,0):1,0 (в частности, (0,4-1,5):1,0). Идеально, когда в случае соли, содержащей цирконий, бетаин вводят во время синтеза соли, для того чтобы максимально увеличить стабилизирующее действие, которое оказывает эта аминокислота (главным образом, на циркониевые соединения). Альтернативно, его можно добавлять позже к соли, не содержащей глицин, вместе с дополнительными компонентами активной фазы для получения стабилизированного бетаином активного вещества. Примеры коммерчески доступных тетрасолей и октасолей с низким соотношением M:C1, не содержащих глицин, включают, но, не ограничиваются ими, Rezal AZP 955 CPG и Rezal AZP 885, соответственно (обе от компании Reheis Chemical Company, Berkeley Heights, NJ). Более подробное описание получения таких коммерчески доступных солей можно найти, например, в публикации заявки на патент США 2004/0001795A1 и заявке США Циклометиконы, используемые в данном изобретении, представляют собой один или несколько компонентов группы, выбранных из групп, состоящих из циклических полидиметилсилоксанов, таких как полидиметилсилоксаны, представляемые формулой II:
Формула II где n равно целому числу от 4 до 6, в частности, 5-6. Они включают тетрамер (D4), пентамер (D5) и гексамер (D6), и смеси любых двух или трех из них. Например, текучие среды DC-245 и DC-345 от компании Dow Corning Corporation (Midland, Michigan) представляют собой типы циклометиконов, которые могут быть использованы. Следует отметить, что для целей настоящего изобретения циклометиконы не рассматривают как силиконовые смягчающие вещества. Подходящие силиконовые поверхностно-активные вещества включают силиконполиглюкозиды (например, октилдиметиконэтоксиглюкозид) и силиконсополиолы, имеющие величину ГЛБ (гидрофильно-липофильный баланс) меньше или равную 8. Величину ГЛБ можно измерить множеством способов, таких как описаны в общепринятых справочниках, или найти в табличных данных, где перечислены эти величины. Величины ГЛБ являются понятием, хорошо известным в данной области, например как описано в патенте США Силиконсополиол (главным образом, диметиконсополиол) может быть использован в количестве 0,6-0,9% мас. (из расчета на активные вещества), в частности 0,6-0,8. Обычно силиконсополиолы, используемые в настоящем изобретении, включают сополиолы нижеследующих формул III и IV. Вещества, соответствующие формуле III, могут быть представлены: (R10)3SiO2-[(R11)-SiO2]x-[Si(R12)(Rb-0-(C2H40)p-(C3H60)s-Rc)O]y-Si-R13)3 Формула III где каждый из R10, R11, R12 и R13 могут быть одинаковыми или различными и каждый независимо выбирают из группы, состоящей из Cl-C6алкила; Rb представляет собой радикал -СmН2m-; Rс представляет собой концевой радикал, который может быть водородом, алкильной группой, содержащей от одного до шести углеродных атомов, ацильной группой, такой как сложный эфир с концевой алкильной группой из 1-4 углеродных атомов, или арильной группой, такой как фенил; m принимает значения от двух до восьми; p и s принимают такие значения, что оксиалкиленовый сегмент -(С2Н4О)р(С3Н6О)s– имеет молекулярную массу в диапазоне от 200 до 5000; сегмент предпочтительно имеет от пятидесяти до сотни мольных процентов оксиэтиленовых элементарных звеньев -(С2Н4О)р– и от одного до пятидесяти мольных процентов оксипропиленовых элементарных звеньев -(С3Н6О)s-; х принимает значения от 8 до 400; и у принимает значения от 2 до 40. Предпочтительно, каждый из R10, R11, R12 и R13 представляет собой метильную группу; Rc является H; m предпочтительно принимает значения три или четыре, тем самым группа Rb, наиболее предпочтительно, является радикалом -(СН2)3-; и значения p и s являются такими, чтобы молекулярная масса оксиалкиленового сегмента -(С2Н4О)р(С3Н6О)s– составляла приблизительно от 1000 до 3000. Наиболее предпочтительно, чтобы p и s, каждый, принимал значение приблизительно от 18 до 28. Второй силоксановый простой полиэфир (сополиол) имеет формулу IV: ((R10)3SiO-[(R11)2-SiO]x-[Si(R12)(Rb-0-(C2H40)pRc)O]y -Si-(R13)3 формула IV где p принимает значения от 6 до 10, х принимает значения от 6 до 100, y принимает значения от 1 до 20, и другие фрагменты имеют значения, определенные в формуле III. Следует понимать, что в обеих формулах I и II, показанных выше, силоксан/оксиалкиленовые сополимеры по настоящему изобретению могут в альтернативных вариантах осуществления принимать форму простых полиэфиров с блокированными концевыми группами, в которых связывающая группа Rb, оксиалкиленовые сегменты и концевой радикал Rс занимают положения, соединенные с концами силоксановой цепи, и не связаны с атомом кремния в силоксановой цепи. Таким образом, один или несколько из заместителей R10, R11, R12 и R13, которые присоединены к двум концевым атомам кремния в конце силоксановой цепи, могут быть замещены сегментом -Rb-O-(С2Н4О)р(С3Н6О)s-Rс или сегментом -Rb-O-(С2Н4О)р-Rс. В некоторых примерах может оказаться желательным поместить сегмент -Rb-O-(С2Н4О)р(С3Н6О)s-Rс или сегмент -Rb-O-(С2Н4О)р-Rс на местах, которые находятся в силоксановой цепи, так же как на местах у одного или обоих концов силоксановой цепи. Отдельные образцы подходящих диметиконсополиолов являются доступными экспериментально или коммерчески от множества поставщиков, включая Dow Corning Corporation, Midland, MI; General Electric Company, Waterford, NY; Witco Corp., Greenwich, CT; Goldschmidt Chemical Corporation, Hopewell, VA. Примеры конкретных продуктов включают DOW CORNING® 5225C от компании Dow Corning, который представляет собой циклометикон с 10% содержанием диметиконсополиола; DOW CORNING® 2-5185C, который представляет собой циклометикон с 45-49% содержанием диметиконсополиола; SILWET L-7622 от Witco; ABIL EM97 от Goldschmidt, который представляет собой циклометикон D5 с 85% содержанием диметиконсополиола; и различные диметиконсополиолы, доступные или коммерчески, или описанные в литературе. Следует также отметить, что могут быть использованы различные концентрации диметиконсополиолов в циклометиконе. В то время, как 10% концентрация в циклометиконе часто может быть коммерчески доступной, другие концентрации могут быть получены путем выпаривания циклометикона или добавления дополнительного количества циклометикона. Вещества с более высокой концентрацией, такие как DOW CORNING® 2-5185, представляют особый интерес. В одном конкретном варианте осуществления может быть использовано 3-9% мас. (в частности, 5-8%) 10% силиконсополиола, такого как диметиконсополиол в смеси циклометиконов, где количество добавленной смеси выбирают так, чтобы уровень силиконсополиола в косметической композиции находился в диапазоне 0,6-0,9% (в частности, 0,6-0,8%) (например, 6,5% 10% диметиконсополиола в смеси циклометиконов). Выбор смягчающих веществ ограничен теми веществами, которые имеют относительно низкий показатель преломления (R.I.<1,4200) для того, чтобы снизить показатель преломления масляной фазы, тем самым упрощая подбор показателя преломления внутренней активной фазы. Смягчающие вещества представляет собой известный в данной области класс веществ, которые оказывают на кожу успокаивающее воздействие. Они являются компонентами, которые способствуют сохранению кожей мягкого, гладкого и пластичного внешнего вида. Смягчающие вещества также известны тем, что уменьшают отбеливание кожи и/или улучшают ее эстетику. Примеры подходящих смягчающих веществ, которые удовлетворяют требованиям о наличии низкого показателя преломления, ограничены структурами на основе силикона, в которых отсутствуют фенильные группы. Предпочтительно, когда линейные силиконы выбирают из группы, состоящей из полидиалкилсилоксанов, которые представлены формулой: (1) (R10)3SiO(Si(R11)2O)xSi(R12)3, где R10, R11 и R12 могут быть одинаковыми или различными; и каждый независимо выбирают из группы, состоящей из Cl-C10алкила (конкретными примерами которых являются полидиметилсилоксаны (диметиконы), особенно низковязкие диметиконы (с вязкостью меньше, чем 100 сП) (с группами R и значениями x, выбранными с сохранением пределов изменений величины RI); (2) силанолы и/или диметиконолы, в которых одна или две из алкильных (таких как метил) групп приведенной выше формулы могут быть заменены гидроксильной группой и которые представлены нижеследующими формулами: HO(R14)2SiO(Si(R15)2O)xSi(R16)2OH и R17(R14)2SiO(Si(R15)2O)xSi(R16)2OH, где R14, R15 и R16 и R17 могут быть одинаковыми или различными; и каждый независимо выбирают из группы, состоящей из Cl-C10алкила (конкретным примером которого является метил) (с группами R и значениями x, выбранными с сохранением пределов изменений величины RI). Отдельные примеры подходящих силиконовых смягчающих веществ включают компоненты, выбранные из группы, состоящей из линейных силиконов (летучих и нелетучих), таких как линейные диметиконы, в частности диметиконы, определены в формуле V, имеющие вязкость, находящуюся в диапазоне от 0,5 до 300000 сантистокс, при значениях t, выбранных так, чтобы сохранить пределы изменения вязкости. Наиболее подходящими являются низковязкие диметиконы, (вязкость меньше, чем 1000 сантистокс (например, DC 200)), включающие гексаметилдисилоксан. Формула V Дальнейшие примеры подходящих силиконовых смягчающих веществ включают диметиконолы (такие как, но, не ограничиваясь ими, Dow Corning® DC 1501), косметический воск Dow Corning 2501 (диметиконсополиол) диметиконолбегенат, C30-45алкилметикон, стеарокситриметилсилан и стеарилдиметикон), так же как силанол DC 9023, также от компании Dow Corning). Смягчающее вещество с низким показателем преломления или смесь смягчающих веществ или их смесь, введенные в композиции по настоящему изобретению могут в качестве иллюстрации быть включены в количествах 0-1% мас., предпочтительно, 0,5-1%. Желательно, чтобы масляная фаза по настоящему изобретению представляла собой силиконовую масляную фазу, так чтобы получить эмульсию вода в силиконовом масле. В целом, масляная фаза и силоксановый поверхностно-активый агент, предпочтительно, составляют от приблизительно 10% до приблизительно 24% мас. от общей массы композиции. Этот поверхностно-активый агент является эмульгатором, который будучи должным образом смешанным с компонентами водной фазы и компонентами масляной фазы, дает эмульсию вода-в-масле. Желательно, чтобы масляная фаза представляла собой композицию жидкостей, но не содержала сколько-нибудь значительного количества нелетучих веществ (а именно, меньше, чем 1,0% мас. любого вещества, имеющего температуру вспышки выше, чем 100°C). Более того, все смягчающие вещества на основе нелетучего силикона, описанные в этой композиции, имеют показатель преломления ниже, чем 1,420. Показатель преломления масляной фазы (включающей ароматизирующие вещества) устанавливают и при необходимости регулируют в диапазоне от 1,4015 до приблизительно 1,4150; главным образом от приблизительно 1,4025 до приблизительно 1,4090, и показатель преломления водной фазы устанавливают и регулируют (при необходимости) так, чтобы он отличался от показателя преломления масляной фазы менее чем на 0,0050, предпочтительно менее чем на 0,0030 единиц. Затем водную фазу смешивают с масляной фазой (например, водную фазу медленно добавляют к масляной фазе при турбулентном перемешивании) и затем при перемешивании добавляют дополнительные добавки или другие активные компоненты. Альтернативно, ароматизирующие вещества могут быть добавлены после добавления активной фазы к масляной фазе. В этом случае показатели преломления масляной фазы (в отсутствии ароматизирующих веществ) и водной фазы должны отличаться менее чем на 0,0020. Полученную эмульсию затем пропускают, например, через коллоидную мельницу или другой эмульгирующий аппарат, обеспечивающий высокий сдвиг, так чтобы получить вязкий гель; гель затем перемещают в подходящий аппликатор или контейнер для использования потребителем. Согласно настоящему изобретению желательно, чтобы водная фаза дополнительно включала смесь гликолей, состоящую из пропиленгликоля и 2-метилпропандиола и/или дипропиленгликоля, что обеспечивает преимущества конечного продукта, которые обсуждены выше. Отдельный пример алкоксилированного алкилзамещенного силоксанового поверхностно-активного агента, но, не ограничиваясь им, предпочтительно, представляет собой диметиконсополиол. Приводимое в качестве иллюстрации алкоксилированное силиконсодержащее поверхностно-активное вещество, которое используют по настоящему изобретению, представляет собой цетилдиметиконсополиол, который упомянут в патенте США Конкретная текучая среда, представляющая собой циклометикон/диметиконсополиол, которая может быть использована для получения алкоксилированного силиконсодержащего поверхностно-активного агента, является смесью циклометикона и диметиконсополиола, и ее обозначают как DC 5225C от компании Dow Corning Corporation. Она представляет собой замещенный простым полиэфиром силикон, относящийся к циклометикону и диметиконсополиолу (показатель преломления (RI)=1,3994) при приблизительно 20-25°C. DC 5225C, который является эмульгирующим агентом, используемым для получения устойчивых эмульсий вода-в-масле, где силикон образует большую часть масляной фазы и представляет собой дисперсию силиконового поверхностно-активного вещества (диметиконсополиола) (10% мас.) в циклометиконе (Dow Corning 245) (90% мас.). В качестве иллюстрации, общее количество текучей среды, которая представляет собой смесь циклометикона и диметиконсополиола, присутствует в композиции в количестве от приблизительно 12,5% до приблизительно 23,9% мас. от общей массы композиции. В соответствии с другим аспектом настоящего изобретения водная фаза прозрачной косметической гелевой композиции дополнительно включает систему гликолей в небольшом количестве (3,5-10% мас., предпочтительно 4-8%), содержащую пропиленгликоль и предпочтительно, по крайней мере, один другой гликоль или полигликоль, для того чтобы способствовать увеличению показателя преломления активной фазы так, чтобы сравнять его с показателем преломления ароматизированной масляной фазы в пределах 0,0000-0,0040 единиц (предпочтительно, 0,0010-0,0030 единиц). Для иллюстрации, трипропиленгликоль может быть использован как дополнительный полипропиленгликоль. В соответствии с данным аспектом настоящего изобретения пропиленгликоль может быть использован в комбинации с гликолями вплоть до их предельного количества. Введение гликолей, в частности MP-диола (2-метил-1,3-пропандиола) и дипропиленгликоля, в гелевую композицию также улучшает косметические свойства, включая снижение липкости, уменьшение отбеливания и уменьшение остатка после нанесения композиции. Более того, композиции, включающие полипропиленгликоль, в частности трипропиленгликоль, имеют улучшенную мягкость (то есть, уменьшение возможности раздражения кожи) относительно коммерчески доступных продуктов. Гликоль или полигликоль выбирают из группы, состоящей из этиленгликоля, пропиленгликоля, 1,2-пропандиола, 2-метилпропандиола, диэтиленгликоля, триэтиленгликоля, тетраэтиленгликоля, дипропиленгликоля, трипропиленгликоля, метилпропандиола, 1,6-гександиола, 1,3-бутандиола, 1,4-бутандиола, от ПЭГ-4 до ПЭГ-600, от ППГ-9 до ППГ-34, неопентилгликоля, триметилпропандиола, 2,2-диметил-1,3-пропандиола, 2,2,4,4-тетраметил-l,3-циклобутандиола и их смесей. Более конкретно, примеры гликолей, которые могут быть использованы вместе с пропиленгликолем, представляют собой один или несколько членов группы, состоящей из дипропиленгликоля, 2-метил-1,3-пропандиола, метилпропиленгликоля, полиэтиленгликоля низкой молекулярной массы (менее чем 600) и смесей любых вышеуказанных соединений, в которых количество пропиленгликоля не превышает 7,5%. В одном варианте осуществления, например, водная фаза дополнительно включает смесь гликолей, состоящую из пропиленгликоля и 2-метилпропандиола и/или дипропиленгликоля, что обеспечивает преимущества конечного продукта, которые описаны выше. Прозрачные гелевые композиции по изобретению могут дополнительно включать, по крайней мере, одну ионизируемую неорганическую соль, которая способствует увеличению показателя преломления активной фазы и оптимизации уровня гликолей. Более высокие уровни гликолей, хотя и хороши для уменьшения липкости, имеют тенденцию увеличивать время высыхания. Эти ионизируемые соли имеют формулу МаХb, где a=l или 2, и b=l или 2; M представляет собой фрагмент, выбранный из группы, состоящей из Na+1, Li+1, K+1, Mg+2, Ca+2, Sr+2 и Zn+2, и X представляет собой фрагмент, выбранный из группы, состоящей из хлорида, бромида, иодида, цитрата, глюконата, лактата, глицината, глутамата, аскорбата, аспартата, нитрата, фосфата, гидрофосфата, дигидрофосфата, формиата, малоната, малеата, сукцината, карбоната, бикарбоната, сульфата, гидросульфата. Особенно применимыми солями являются NaCl и ZnCl2. Как будет понятно специалистам в данной области, хотя в определенных условиях может оказаться возможным добавлять соль непосредственно в часть смеси в процессе производства, предпочтительно добавлять соль в виде смеси или раствора соли в носитель или растворитель, в частности воду. Конечно, разнообразные концентрации предварительной смеси солей могут быть получены в таком диапазоне, как 1-40%. Настоящее изобретение, кроме того, включает способы получения косметических высоковязких гелевых композиций, описанных выше. В таких способах водную фазу, содержащую воду и активный антиперспирант, формируют отдельно от масляной фазы, содержащей алкоксилированный алкилзамещенный силоксановый поверхностно-активный агент, органический солюбилизатор ароматизирующих веществ и циклометикон и, необязательно, ароматизирующие вещества. Две фазы затем объединяют и гомогенизируют для получения требуемой вязкости. Для одного варианта осуществления активная фаза является водной фазой, которая содержит 17-30% мас. (безводного) бетаинсодержащего активного антиперспиранта с низким соотношением металл:хлорид, 3,5-10% мас. системы водорастворимых гликолей и необязательно 0-4% одновалентной или двухвалентной ионизируемой водорастворимой соли. В качестве иллюстрации, свободную воду включают в композицию с содержанием в диапазоне от 30 до 70% мас. от общей массы композиции. Водная фаза может также включать, например (вместе с активным антиперспирантом, системой водорастворимых гликолей и ионизируемой двухвалентной или одновалентной солью), 1-5% мас. водорастворимого агента на углеродной основе с высоким показателем преломления, таким как глицерин. Эти композиции по настоящему изобретению могут быть получены посредством периодического способа или непрерывного или полунепрерывного способа, и эти способы дают композиции, которые являются устойчивыми, высокоэффективными и обладают отличными эстетическими качествами. Композиции по настоящему изобретению используют как общепринятые косметические гелевые композиции. Например, когда композиция по настоящему изобретению представляет собой прозрачную антиперспирантную мягкую гелевую композицию, упакованную в дозирующий контейнер, имеющий на верхней поверхности прорези или поры, соответствующие диапазону вязкости продукта, гель выдавливают из дозирующего контейнера через прорези или поры и наносят на кожу (например, в подмышечные области человеческого тела) путем растирания вещества размягченного геля, выдавленного через верхнюю поверхность контейнера, на коже в подмышечной области. В качестве дополнительного аспекта настоящего изобретения, дозирующий контейнер может быть прозрачным и окрашенным так, чтобы, например, соответствовать удовольствию, получаемому от ароматизирующих веществ. Композиция имеет сниженную липкость, быстро сохнет, дает ощущение прохлады и шелковистости и оставляет много меньше или совсем не оставляет белого остатка при высыхании по сравнению с коммерчески доступными продуктами. Более того, композиции по настоящему изобретению, включающие компонент полипропиленгликоля, обладают улучшенной мягкостью (обладают сниженной способностью к раздражению кожи) по сравнению с коммерчески доступными продуктами и имеют улучшенные косметические характеристики (включая пониженную липкость) и уменьшенный белый остаток после нанесения. Гелевые эмульсии по настоящему изобретению устойчивы и оптически прозрачны, косметически изысканы и их доставляют из соответствующей упаковки, включающей аппликатор. На протяжении настоящего описания показано, что антиперспирантные активные вещества, при использовании в композиции с эффективным количеством антиперспиранта, воздействуют так, чтобы уменьшить неприятный запах тела путем снижения потоотделения; однако эти антиперспирантные активные вещества могут также выполнять дезодорирующую функцию, например в качестве противомикробного агента. Дезодорирующие активные вещества, по существу, не уменьшают потоотделение, но уменьшают неприятный запах другими способами, например с помощью ароматизирующих веществ маскируя неприятный запах или понижая интенсивность неприятного запаха, действуя как абсорбенты запаха или как противомикробные агенты, или как агенты, химически взаимодействующие с неприятно пахнущими веществами и т.д. Количество активного ингредиента, которое может быть использовано, будет варьировать вместе с введенным индивидуальным активным компонентом. Продукт содержит антиперспирантные активные вещества в количествах, достаточных для того, чтобы бороться с неприятным запахом тела или в качестве дезодоранта, или в качестве антиперспиранта посредством нанесения его на подмышечные области тела. Как правило, антиперспирантный продукт должен содержать активное антиперспирантное вещество в количестве приблизительно от 9% до приблизительно 25% мас. от общей массы композиции. Однако как было обнаружено в настоящем изобретении, как минимум, по крайней мере, 14% мас. антиперспирантной соли должно быть использовано для того, чтобы получить необходимую прозрачность. Активное антиперспирантное вещество, используемое в композициях по настоящему изобретению, может быть предварительно растворено в воде или в еще одном растворителе (например, в пропиленгликоле) и может содержать или не содержать буфер. Предпочтительно, антиперспирантные вещества присутствуют в растворе в растворителе. Там, где используют дезодорирующее активное вещество, помимо меньших количеств антиперспирантного активного вещества, любое дезодорирующее активное вещество, которое может быть растворено в масляной фазе, может быть использовано в количестве, достаточном для получения дезодорирующего эффекта. В качестве иллюстрации, дезодорирующим активным веществом может быть простой 2,4,4′-трихлор-2′-гидроксидифениловый эфир (триклозан) и/или бензэтонийхлорид, и/или октоксиглицерин (Sensiva® SC 50). Там, где дезодорирующий компонент используют вместо антиперспирантного активного ингредиента, получают дезодорирующую гелевую композицию (а не антиперспирантную гелевую композицию). Что касается вариантов осуществления, содержащих вещество, в которое входят сложные альфа, бета-ненасыщенные эфиры, нейтрализующие неприятный запах, то может быть описан ряд примеров. Эти примеры включают прозрачные гели, в которых: (a) уровень ароматизирующих веществ меньше, чем 0,1% мас., и уровень вещества, содержащего сложные альфа, бета-ненасыщенные эфиры, нейтрализующие неприятный запах, составляет от 0,1 до 0,4% мас.; (b) уровень ароматизирующих веществ составляет от 0,1 до 2,0%, и уровень вещества, содержащего сложные альфа, бета-ненасыщенные эфиры, нейтрализующие неприятный запах, составляет от 0,1 до 0,4%; (с) гель содержит вещество, включающее сложные альфа, бета-ненасыщенные эфиры, нейтрализующие неприятный запах, содержащее комбинацию двух или более компонентов, выбранных из нижеследующих групп: (1) сложных алкиловых эфиров 3-фенил-2-пропеновой кислоты, где R1 является заместителем в бензольном кольце и представляет собой алкил, алкокси, арил, замещенный арил, предпочтительно R1 является H, Cl-C8алкилом, Cl-C8алкокси или арилом; и R2 представляет собой замещающую группу, которая заменяет водород карбоновой кислоты с образованием сложного эфира, где R2 содержит больше 6 углеродных атомов, арильную или замещенную арильную группу, предпочтительно R2 представляет собой C6-C12алкильную или бензильную группу; и (2) сложный эфир фумаровой или малеиновой кислоты, имеющий линейные сложноэфирные углеродные цепи, содержащие 3-9 углеродных атомов, например дигексилфумарат; (d) гель, содержащий: (1) вещество, включающее сложный альфа, бета-ненасыщенный эфир, нейтрализующий неприятный запах, содержащий сложный эфир e-фенилпропеновой кислоты, выбранный из группы, состоящей из октилметоксициннамата, фенилэтилциннамата, бензилциннамата; и (2) сложный алифатический ненасыщенный эфир, в качестве которого выбран дигексилфумарат; (e) гель, содержащий комбинацию из двух или более компонентов, выбранных из группы, состоящей из: (1) сложных алкиловых эфиров 3-фенил-2-пропеновой кислоты, где R1 является заместителем бензольного кольца и представляет собой алкил, алкокси, арил или замещенный арил; предпочтительно R1 является H, Cl-C8алкилом, Cl-C8алкокси или арилом; и R2 является замещающей группой, которая заменяет водород карбоновой кислоты с образованием сложного эфира, где R2 представляет собой C6-C12алкильную или бензильную группу; и (2) сложный эфир фумаровой или малеиновой кислоты, имеющий линейные сложноэфирные углеродные цепи, содержащие 3-9 атомов углерода, например дигексилфумарат; и (f) гель, в котором вещество, содержащее альфа, бета-ненасыщенный сложный эфир, нейтрализующий неприятный запах, представляет собой смесь: (1) e-фенилового сложного эфира пропеновой кислоты выбранного из группы, состоящей из октилметоксициннамата, фенилэтилциннамата, бензилциннамата; и (2) дигексилфумарата. На протяжении настоящего описания, где композиции описывают как включающие или как содержащие конкретные компоненты или вещества, авторы изобретения полагают, что композиции по настоящему изобретению также могут, по существу, состоять из или состоят из перечисленных компонентов или веществ. Соответственно, на протяжении настоящего описания любая описанная композиция по настоящему изобретению может, по существу, состоять из или состоит из перечисленных компонентов или веществ. Ожидаемый отличительный признак настоящего изобретения заключается в том, что может быть получена прозрачная косметическая гелевая композиция (например, прозрачная дезодорирующая или антиперспирантная гелевая композиция). Термин «прозрачная» (то есть «прозрачность») по настоящему изобретению соответствует своему обычному словарному определению; таким образом, прозрачная, например косметическая гелевая композиция по настоящему изобретению позволяет легко видеть предметы, находящиеся позади нее. В противоположность, полупрозрачная композиция пропускает свет, но вызывает такое рассеяние света, что увидеть предметы, расположенные позади полупрозрачной композиции, невозможно. Оптическая прозрачность композиций по настоящему изобретению может быть измерена турбидиметром, как описано выше, и желательно, чтобы измеренная при комнатной температуре (20°-25°C) она составляла от 50 до 250 NTU. Более того, прозрачная косметическая гелевая композиция по настоящему изобретению, которая находится в виде макроэмульсии, в противоположность микроэмульсии, не нуждается в содержании в ней воска или гелеобразующих агентов, таких как мыла, целлюлозосодержащие вещества или альгинаты. Кроме того, композиции по настоящему изобретению не требуется полидиметилциклосилоксан, хотя настоящие композиции могут содержать это вещество. Несколько отдельных вариантов осуществления включают варианты осуществления, содержащие один или несколько нижеследующих компонентов: 1-4% мас. этанола или пропанола; 9-20% мас. одного или нескольких циклометиконов; 0,6-0,8% мас. силиконового поверхностно-активного вещества; 0,5-2% мас. солюбилизатора ароматизирующих веществ; 45-65% мас. воды; и систему гликолей, содержащей 3-7% мас. пропиленгликоля в комбинации или с 2-метилпропандиолом, или дипропиленгликолем. Разнообразные вещества, вводимые в фазу на водной основе и в фазу на масляной основе, и их показатели преломления (измеренные рефрактометором Bausch and Lomb Abbe 3L) показаны в конкретных нижеследующих составах: 6,0-9,0% мас. диметиконсополиола/циклометикона (10%) (например, Dow Corning 5225C); 3,9-17,9% мас. (предпочтительно, 8-15% мас.) циклометикона (D4, D5, D6 или их смесей); 0,1-3,0% мас. простого миристилового эфира ППГ-3; 17-25% мас. активного антиперспиранта (например, Al-Zr тетрахлоргидрекс, такой как Rezal AZP 955 CPG, или Al-Zr октасоль, такая как Rezal AZP 885), к которому добавлен бетаин так, чтобы молярное соотношение бетаин/Zr находилось в диапазоне 0,2-2,0, или дихлоргидрат алюминия (такой как Westchlor 100, 36,1%), к которому добавлен бетаин так, чтобы молярное соотношение бетаин:Al находилось в диапазоне (0,05-1,0):1; 30-70% мас. воды; 0,2-4,0% мас. ионизируемой соли или комбинаций ионизируемых солей формулы МаХb, где a=l или 2, и b=l или 2; M является фрагментом, выбранным из группы, состоящей из Na+1, Li+1, K+1, Mg+2, Ca+2, Sr+2 и Zn+2, и X является фрагментом, выбранным из группы, состоящей из хлорида, бромида, иодида, цитрата, глюконата, лактата, глицината, глутамата, аскорбата, аспартата, нитрата, фосфата, гидрофосфата, дигидрофосфата, формиата, малоната, малеата, сукцината, карбоната, бикарбоната, сульфата и гидросульфата (предпочтительными солями являются NaCl, CaCl2 и ZnCl2)); 3,5-8%% мас. системы гликолей, который охарактеризован выше в описании изобретения; 0-1% мас. смягчающих веществ с низким показателем преломления (RI<1,4200), таких как диметиконол, диметиконы, силанол и их комбинации; 0-5% мас. ароматизирующего или маскирующего запах вещества; 0,0-0,45% мас. сложных альфа, бета-ненасыщенных эфиров, нейтрализующих запах, или их смесей; 0-10% мас. водорастворимого негликолевого органического растворителя, выбранного из группы, состоящей из спиртов с углеродной цепью, состоящей из 2-4 атомов углерода (например, этанола); 0-5% мас. водорастворимого агента на основе углерода, имеющего высокий показатель преломления, такого как дополнительный бетаин, который не является частью исходной соли, аланин, холин, лизин, глицерин, глицерет-7, тириглицерет-7-цитрат, глицерет-7-гликолат, глицерет-5-лактат, лаурамидопропилглицерин, глицерет-5-лактат, глицерет-7-гликолат и глицерет-20-бензоат; где композиция имеет соотношение масляной фазы к водной фазе, находящееся в диапазоне от 10:90 до 24:76, и величина вязкости находится в диапазоне 150000-600000 сП. ПРИМЕРЫ Нижеследующие примеры предложены для иллюстрации изобретения, и их не следует рассматривать как ограничивающие изобретение. В указанных примерах, как и в других местах описания изобретения, химические символы и терминология имеют свой обычный общепринятый смысл. В указанных примерах, как и в других местах данной заявки, значения, принимаемые n, m и т.д., в формулах, молекулярных массах и степенях этоксилирования или пропоксилирования являются усредненными величинами. Если не указано иное, то температуру выражают в °C. Количества компонентов выражают в массовых процентах от указанного стандарта; если не указан иной стандарт, то имеют в виду общую массу композиции. Различные названия химических компонентов включают названия, перечисленные в CTFA (Международный словарь косметических компонентов) (Ассоциация по парфюмерно-косметическим товарам и ароматизирующим веществам, Inc., 7th изд. 1997). Показатели преломления ( Пример 1 Стабилизированный бетаином раствор антиперспирантной соли может быть получен растворением 19,26 г ZrOCl2.8H2O в 49,6 г воды с последующим добавлением 8,39 г безводного бетаина. После все растворения порошок хлоргидрата алюминия (
К стабилизированному бетаином раствору соли добавляют разнообразные другие компоненты активной фазы, такие как гликоли и дополнительная вода, с образованием активной фазы. Количества разнообразных компонентов активной фазы вместе с необязательными компонентами активной фазы, такими как одновалентные и/или двухвалентные соли и спирты с короткой цепью (2-4 углеродных атома), оптимизируют по ощущению на коже и по показателю преломления (RI) для получения прозрачного, эстетически приятного эмульсионного геля. Пример 2 Стабилизированный бетаином раствор AP соли может быть получен растворением 18,15 г ZrOCO3·8H2O в 5,95 г концентрированной HCl (37%) и 20 г воды (такой как деионизированная (
Как в примере 1, активное вещество смешивают с дополнительными компонентами активной фазы для превращения его в активную фазу. Альтернативно, алюминий/циркониевая тетрасоль может быть получена отдельно, в соответствии, например, с заявкой на патент Примеры 3-28 Примеры 3-28, показанные в таблицах A-С, описывают некоторые иллюстративные способы, которые могут быть использованы (но без ограничения) для получения гелевых эмульсий, в которых размеры образцов составляют приблизительно 500 грамм. Масляную фазу получают, взвешивая и объединяя силиконсополиол, циклометикон, ароматизирующие вещества и солюбилизатор ароматизирующих веществ с любыми необязательными компонентами масляной фазы в химическом стакане. Смесь перемешивают, используя мешалку фирмы Lightnin, модель LI003, при скорости вращения 400-600 об/мин. После того как смесь становится визуально гомогенной, активную фазу (см. описание, приведенное выше) добавляют при перемешивании к масляной фазе. Полную смесь смешивают в течение 15 минут. Затем смесь гомогенизируют в течение 2-4 минут при отсчетах 50-70 на силовом трансформаторе с переменным коэффициентом трансформации (Superior Electric Co., Bristol, CT), используя гомогенизатор от компании Greerco Corp. (Hudson, NH). По примерам 8 и 9 получены такие же композиции, что и по примерам 6 и 7 соответственно, но дополнительно содержащие, нейтрализующий запах сложный альфа, бета-ненасыщенный эфир, такой как описано выше.
Формула изобретения
1. Не содержащая эластомеров, не содержащая суспензии эмульсия вода в масле, которая представляет собой прозрачный гель, имеющий прозрачность 50-250 NTU при 21,0°С; вязкость, превышающую 150000 сП, и с общим уровнем силиконовых смягчающих веществ, который равен или меньше 3 мас.%, где прозрачный гель содержит: 2. Прозрачный гель по п.1, в котором внешняя фаза содержит: 3. Прозрачный гель по п.1, в котором внутренняя фаза содержит: 4. Прозрачный гель по п.2, в котором внутренняя фаза содержит: 5. Прозрачный гель по пп.1-4, содержащий 9-20 мас.% одного или нескольких циклометиконов, имеющих температуру вспышки 100°С или ниже. 6. Прозрачный гель по пп.1-4, содержащий 0,5-2 мас.% несиликонированнного органического солюбилизатора ароматизирующих веществ. 7. Прозрачный гель по пп.1-4, содержащий 0,1-2,0 мас.% силиконовых смягчающих веществ, отличных от циклометиконов, в которых максимальный уровень летучих линейных силиконовых смягчающих веществ меньше или равен 1 мас.%. 8. Прозрачный гель по пп.1-4, который не содержит один или несколько компонентов, выбранных из группы, состоящей из: летучих линейных силиконов, нелетучих силиконов, восков, целлюлоз, альгинатов и аминокислот. 9. Прозрачный гель по пп.1-4, который дополнительно содержит 0,1-8,0 мас.% аминокислот или смесей аминокислот. 10. Прозрачный гель по пп.1-4, содержащий, по крайней мере, одну аминокислоту, и который не содержит один или несколько компонентов, выбранных из группы, состоящей из летучих линейных силиконов и нелетучих силиконов. 11. Прозрачный гель по пп.1-4, содержащий 17-25 мас.% активного антиперспиранта. 12. Прозрачный гель по пп.1-4, содержащий 45-65 мас.% воды. 13. Прозрачный гель по пп.1-4, содержащий 4-8 мас.% системы водорастворимых гликолей. 14. Прозрачный гель по пп.1-4, в котором дополнительный гликолевый компонент выбирают из группы, состоящей из этиленгликоля, 15. Прозрачный гель по пп.1-4, в котором количество пропиленгликоля не превышает 5 мас.%. 16. Прозрачный гель по пп.1-4, в котором соль представляет собой NaCl, CaCl2 или ZnCl2. 17. Прозрачный гель по п.3, где спиртом является 1-8% этанол. 18. Прозрачный гель по п.1, имеющий вязкость в диапазоне 200000-350000 сП. 19. Прозрачный гель по п.1, в котором показатель преломления геля составляет от 1,4025 до 1,4150. 20. Прозрачный гель по пп.1-4, содержащий алюминий/циркониевую соль, и в котором соотношение металл/Cl находится в интервале (0,9-1,1):1; мольное соотношение бетаин/Zr находится в диапазоне (0,4-1,5):1; и молярное соотношение бетаин: алюминий находится в диапазоне (0,05-0,26):1. 21. Прозрачный гель по п.1, в котором силиконовое поверхностно-активное вещество представляет собой силиконсополиол, выбранный из группы, состоящей из соединений Формул I и II где 22. Прозрачный гель по п.1, в котором несиликонированный солюбилизатор ароматизирующих веществ выбирают из группы, состоящей из простого миристилового эфира ППГ-3, гидрированного полиизобутена и С12-С15алкилбензоата. 23. Прозрачный гель по пп.1-4, дополнительно содержащий 0,1-1,0 мас.% силиконового смягчающего вещества, отличного от циклометиконов. 24. Прозрачный гель по п.1, содержащий: 25. Прозрачный гель по п.1, в котором уровень ароматизирующих веществ составляет менее 0,1 мас.% и уровень сложных альфа, бета-ненасыщенных эфиров, нейтрализующих неприятный запах, составляет от 0,1 до 0,4 мас.%. 26. Прозрачный гель по п.1, в котором уровень ароматизирующих веществ составляет от 0,1 до 2,0%, и уровень сложных альфа, бета-ненасыщенных эфиров, нейтрализующих неприятный запах, составляет от 0,1 до 0,4 мас.%. 27. Прозрачный гель по пп.1-4 или 25-26, содержащий сложные альфа, бета-ненасыщенные эфиры, нейтрализующие неприятный запах, которые включают комбинацию двух или более компонентов, выбранных из нижеследующих групп: 28. Прозрачный гель по пп.1 или 25-26, включающий: 29. Прозрачный гель по пп.1-4 или 25-26, содержащий комбинацию из двух или более компонентов, выбранных из группы, состоящей из: 30. Прозрачный гель по пп.1-4 или 25-26, где сложные альфа, бета-ненасыщенные эфиры, нейтрализующие неприятный запах, представляет собой смесь (а) е-фениловых сложных эфиров пропеновой кислоты, выбранных из группы, состоящей из октилметоксициннамата, фенилэтилциннамата и бензилциннамата, и (b) дигексилфумарата.
|
||||||||||||||||||||||||||||||||||||||||||||||||||||||||||||||||||||||||||||||||||||||||||||||||||||||||||||||||||||||||||||||||||||||||||||||||||||||||||||||||||||||||||||||||||||||||||||||||||||||||||||||||||||||||||||||||||||||||||||||||||||||||||||||||||||||||||||||||||||||||||||||||||||||||||||||||||||||||||||||||||||||||||||||||||||||||||||||||||||||||||||||||||||||||||||||||||||||||||||||||||||||||||||||||||||||||||||||||||||||||||||||||||||||||||||||||||||||||||||||||||||||||||||||||||||||||||||||||||||||||||||||||||||||||||||||||||||||

517
7,5% мас. пропиленгликоля; (b) в качестве внешней фазы – циклометиконы, силиконсополиол и солюбилизатор ароматизирующих веществ, где максимальный уровень летучих линейных силиконов
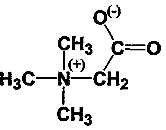
бетаином
), и содержащей малые количества гликолей и низкий уровень нелетучих компонентов. Активная фаза может дополнительно включать одновалентную или двухвалентную ионизируемую соль, растворимую в воде. Гель формируют в виде прозрачного продукта, обладающего пониженными отбеливающими свойствами и липкостью, так же как уменьшенным раздражающим действием на кожу. Агент, нейтрализующий запах, который обеспечивает сохранение улучшенного запаха, является дополнительным необязательным компонентом, который может быть легко включен в гелевую композицию.


