|
|
(21), (22) Заявка: 2007136036/09, 01.03.2006
(24) Дата начала отсчета срока действия патента:
01.03.2006
(30) Конвенционный приоритет:
01.03.2005 US 60/657,835
(46) Опубликовано: 10.05.2009
(56) Список документов, цитированных в отчете о поиске:
US 5430889 А, 04.07.1995. RU 2132594 С1, 27.06.1999. RU 2015622 С1, 30.06.1994. ЕР 0539750 А2, 05.05.1993. ЕР 0656701 А2, 07.06.1995. ЕР 0847153 А2, 10.06.1998.
(85) Дата перевода заявки PCT на национальную фазу:
01.10.2007
(86) Заявка PCT:
US 2006/007227 20060301
(87) Публикация PCT:
WO 2006/094037 20060908
Адрес для переписки:
129090, Москва, ул.Б.Спасская, 25, стр.3, ООО “Юридическая фирма Городисский и Партнеры”, пат.пов. А.В.Мицу, рег. 364
|
(72) Автор(ы):
МУККАВИЛЛИ Киран (US), КУЗИНО Кевин С. (US), ЧУНГ Таек (US)
(73) Патентообладатель(и):
КВЭЛКОММ ИНКОРПОРЕЙТЕД (US)
|
(54) ОПТИМИЗАЦИЯ ОЦЕНКИ КАНАЛА ДЛЯ МНОЖЕСТВЕННЫХ РЕЖИМОВ ПЕРЕДАЧИ
(57) Реферат:
Изобретение относится к области передачи данных и может использоваться для оценивания канала в системе связи с мультиплексированием с ортогональным частотным разделением сигналов (OFDM), поддерживающей многочисленные режимы связи. Достигаемый технический результат – получение оценки радиоканала более высокого качества. Один из способов оценки характеризуется тем, что получают начальную оценку частотного отклика для первого набора Р равномерно разнесенных поддиапазонов, основываясь на оценках коэффициента усиления канала для второго набора неравномерно разнесенных поддиапазонов, осуществляют выведение оценки импульсной характеристики канала во временной области, основываясь на начальной оценке частотного отклика, осуществляют выведение окончательной оценки частотного отклика для каждого режима в пределах каждого символа радиоканала. Одно из устройств для оценки канала в системе связи с мультиплексированием с ортогональным частотным разделением сигналов (ОРВМ) содержит модуль преобразования, сконфигурированный для генерации импульсной характеристики канала, основываясь на OFDM символе, причем импульсная характеристика канала включает в себя множество отметок, зависящий от режима участок обработки, соединенный с модулем преобразования, и сконфигурированный для обработки множества отметок, основываясь на режиме принятого поддиапазона данных, предназначенный для генерации обработанной импульсной характеристики канала, модуль преобразования частоты, соединенный с зависящим от режима участком обработки, сконфигурированный для преобразования обработанной импульсной характеристики канала в окончательную оценку частотного отклика канала. 6 н. и 20 з.п. ф-лы, 9 ил.
По настоящей заявке испрашивается приоритет в соответствии с предварительной заявкой на патент 60/657835, озаглавленной “CHANNEL ESTIMATION FOR A MULTI-MODE OFDM COMMUNICATION SYSTEM WITH INACTIVE SUBBANDS”, зарегистрированной 1 марта 2005, переданной правопреемнику настоящей заявки и в прямой форме включенной здесь в качестве ссылки.
Область техники, к которой относится изобретение
Настоящее изобретение в основном относится к передаче данных и более конкретно к методам оптимизации оценивания канала в системе связи с мультиплексированием с ортогональным частотным разделением сигналов (OFDM), поддерживающей многочисленные режимы связи.
Уровень техники
Метод OFDM представляет собой метод модуляции многих несущих, который эффективно разделяет всю ширину полосы системы на множественные (N) ортогональные поддиапазоны. Эти поддиапазоны также могут упоминаться как тона, поднесущие, элементы разрешения и частотные каналы. С применением OFDM каждый поддиапазон ассоциируется с соответствующей поднесущей, которая может быть модулирована данными.
В системе беспроводной связи радиочастотный (RF, РЧ) модулированный сигнал может проходить по нескольким путям прохождения сигнала от передатчика к приемнику. Если пути сигнала имеют различные задержки, то принятый в приемнике сигнал мог бы включать в себя многочисленные примеры переданного сигнала с различными коэффициентами усиления и задержками. Эта временная дисперсия в радиоканале вызывает частотно избирательное затухание, которое характеризуется частотным откликом, который варьируется по ширине полосы системы. Таким образом, для OFDM системы N поддиапазонов могут иметь дело с различными эффективными каналами и, следовательно, могут быть ассоциированы с различными составными коэффициентами усиления каналов.
Обычно для того чтобы эффективно принимать данные на доступных поддиапазонах, необходима точная оценка радиоканала между передатчиком и приемником. Оценивание канала обычно выполняется посредством отправления контрольного сигнала из передатчика и посредством измерения контрольного сигнала в приемнике. Контрольный сигнал обычно составляется из символов модуляции, которые априори известны для приемника. Приемник может оценивать частотный отклик как отношение символа принятого контрольного сигнала к символу переданного контрольного сигнала и может определять это отношение для каждого поддиапазона, используемого для передачи контрольного сигнала.
В OFDM системе передача контрольного сигнала представляет собой служебные данные. Таким образом, желательно минимизировать передачу контрольного сигнала до возможной степени. Это может быть достигнуто посредством отправления символов контрольного сигнала на подмножестве N полных поддиапазонов и посредством использования упомянутых символов контрольного сигнала для выведения оценок для всех нужных поддиапазонов. Как описано ниже, вычисление для выведения оценок канала может быть большим для некоторых систем, таких как, например, (1) спектрально сформированная система, которая не передает данные/контрольный сигнал вблизи краев полосы, и (2) система, которая не может передавать данные/контрольный сигнал на некоторых поддиапазонах (например, нулевой поддиапазон или DC поддиапазон). Поэтому в уровне техники существует необходимость эффективной оценки отклика канала для этих систем.
Сущность изобретения
Здесь обсуждаются методы эффективного получения, по меньшей мере, одной оценки частотного отклика для радиоканала с множественным доступом в OFDM системе с неактивными поддиапазонами. Указанные методы могут быть использованы для OFDM системы, которая передает контрольный сигнал на поддиапазонах, которые неравномерно распределены на N полных поддиапазонах. Примером такой системы является спектрально сформированная OFDM система, в которой для передачи данных/контрольного сигнала используются только M поддиапазонов, которые центрированы среди N полных поддиапазонов, и остальные N – M поддиапазонов на двух краях полосы не используются и служат как защитные поддиапазоны. Таким образом, неактивные поддиапазоны могут представлять собой защитные поддиапазоны, DC поддиапазон и т.п.
Для оценки канала исходная оценка частотного отклика получается для первого набора P равномерно расположенных поддиапазонов, основываясь, например, на контрольных символах, принятых на втором наборе поддиапазонов, используемых для передачи контрольного сигнала, где P – целое число, которое представляет собой два в некоторой степени. Первый набор включает в себя, по меньшей мере, один поддиапазон, который не входит во второй набор (например, контрольные поддиапазоны среди защитных поддиапазонов). Более того, поддиапазоны в первом наборе равномерно разнесены N/P поддиапазонами. Для получения начальной оценки частотного отклика могут быть использованы экстраполяция и/или интерполяция.
Затем выводится оценка импульсной характеристики временного канала для радиоканала, основываясь на начальной оценке частотного отклика, например, путем выполнения обратного быстрого преобразования Фурье (IFFT) на P точках. Затем, основываясь на оценке импульсной характеристики канала, выводится окончательная оценка частотного отклика для N полных поддиапазонов для каждого режима в пределах каждого OFDM символа. Такая процедура может быть реализована, например, посредством (1) установки отметок низкого качества в оценке импульсной характеристики канала на ноль и сохранения остальных отметок, (2) заполнения пробелами оценки импульсной характеристики канала до длины N, (3) установки на ноль отметок в импульсной характеристике канала, соответствующей временной задержке большей, чем некоторый предопределенный разброс задержки, и (4) выполнения быстрого преобразования Фурье (FFT) на N точках на обработанной оценке импульсной характеристики канала для получения окончательной оценки частотного отклика.
Выбор порога и усечение импульсной характеристики канала может варьироваться в зависимости от режима поддиапазонов данных, для которых генерируется оценка канала. Таким образом, одна и та же импульсная характеристика канала может генерировать различные окончательные оценки частотного отклика, которые варьируются, основываясь на режиме поддиапазонов данных. Оценки импульсной характеристики канала или оценки частотного отклика для множественных OFDM символов могут фильтроваться для каждого режима с целью получения оценки для радиоканала более высокого качества.
Краткое описание чертежей
В дальнейшем изобретение поясняется описанием конкретных вариантов его осуществления со ссылками на сопровождающие чертежи, на которых повсюду подобные элементы обозначены одинаковыми номерами позиций и на которых:
фиг.1 изображает иллюстративную структуру поддиапазонов для OFDM системы,
фиг.2 изображает схему передачи контрольного сигнала, которая может быть использована для получения оценки частотного отклика радиоканала,
фиг.3 изображает схему равномерной передачи контрольного сигнала, которая может упростить вычисление для оценки импульсной характеристики канала и быть использована для получения среднеквадратической оценки частотного отклика радиоканала,
фиг.4 изображает схему равномерной передачи контрольного сигнала для спектрально сформированной OFDM системы,
фиг.5 и 6 изображают процедурные схемы для получения оценки частотного отклика для каждого режима в пределах каждого OFDM символа радиоканала в спектрально сформированной OFDM системе,
фиг.7 изображает упрощенную функциональную блок схему точки доступа и терминала в OFDM системе,
фиг.8 изображает упрощенную функциональную блок схему варианта осуществления OFDM приемника, имеющего оптимизированную обработку оценки канала,
фиг.9 изображает упрощенную функциональную блок схему процесса оптимизированного оценивания канала.
Подробное описание предпочтительных вариантов осуществления изобретения
Слово “иллюстративный” используется здесь для обозначения понятия “служащий в качестве примера, случая или иллюстрации”. Любой вариант осуществления или схему, описанную здесь в качестве иллюстративной, необязательно трактовать как предпочтительную или преимущественную над другими вариантами осуществления или схемами.
Фиг.1 изображает иллюстративную структуру 100 поддиапазонов, которая может быть использована для OFDM системы. OFDM система имеет полную ширину полосы системы BW МГц, которая разделяется на N ортогональных поддиапазонов с использованием OFDM метода. Каждый поддиапазон имеет ширину полосы BW/N МГц. В спектрально сформированной OFDM системе для передачи данных/контрольного сигнала используются только M из N полных поддиапазонов, где M
N поддиапазонов системы OFDM могут испытывать различные условия канала (например, различные эффекты затухания и многолучевого распространения) и могут быть ассоциированы с различными составными коэффициентами усиления каналов. Для точной оценки отклика канала обычно необходимо обрабатывать (например, демодулировать и декодировать) данные в приемнике.
Радиоканал в OFDM системе можно охарактеризовать либо импульсной характеристикой канала во временной области, hNxl, либо соответствующим частотным откликом канала в частотной области, HNxl. Здесь используются термины, которые согласуются с известной терминологией, а именно “импульсная характеристика канала” является откликом канала во временной области и “частотный отклик канала” является откликом канала в частотной области. Частотный отклик канала, HNxl, представляет собой дискретное преобразование Фурье (DFT, ДПФ) импульсной характеристики канала, hNxl. Это соотношение может быть выражено в матричной форме следующим образом:

где hNxl представляет собой N×1 вектор для импульсной характеристики радиоканала между передатчиком и приемником в OFDM системе;
HNxl представляет собой N×1 вектор для частотного отклика радиоканала; и
WNxN представляет собой N×N ДПФ матрицу, используемую для выполнения ДПФ на векторе hNxl для получения вектора HNxl.
ДПФ матрица WNxN определяется так, что (n,m)-й ввод данных задается следующим образом:

где n – индекс строки и m – индекс столбца.
Импульсная характеристика радиоканала может быть охарактеризована L отметками, где L обычно меньше числа полных поддиапазонов (то есть, LhNxl включает в себя один ввод данных для каждой отметки импульсной характеристики канала. Для разброса задержки L первые L вводов данных вектора hNxl могут содержать ненулевые значения и все остальные N-L вводов данных являются нулями или другими несущественными значениями.).>
Из-за того что для точной оценки импульсной характеристики канала необходимо только L отметок, частотный отклик HNxl канала лежит в подпространстве размерностью L (вместо N). Таким образом, частотный отклик радиоканала может быть полностью охарактеризован, основываясь на оценках коэффициента усиления канала лишь для L правильно выбранных поддиапазонов вместо всех N поддиапазонов. Даже если доступны оценки коэффициента усиления канала для более чем L поддиапазонов, может быть получена улучшенная оценка частотного отклика радиоканала путем подавления шумовых составляющих вне этого подпространства.
В одном варианте осуществления от импульсной характеристики канала с N отметками может быть усечено N-L отметок, соответствующих самым длинным задержкам, почти без ухудшения импульсной характеристики канала. Размерность импульсной характеристики канала может поддерживаться на N посредством установки N-L отметок канала на нулевое или некоторое другое несущественное значение. Таким образом, в контексте импульсной характеристики канала термин усечение относится к установке несущественного значения отметок канала вне предопределенного разброса задержки.
Фиг.2 изображает схему 200 передачи контрольного сигнала, которая может быть использована для получения оценки частотного отклика радиоканала в OFDM системе. Контрольный символ передается на каждом из P контрольных поддиапазонов, где в основном L
l по sp. Обычно число контрольных поддиапазонов намного меньше числа используемых поддиапазонов (то есть P
M-P поддиапазонов могут быть использованы для поддержки линии связи с одним пользователем или множественных линий связи, соответствующих многим пользователям. Дополнительно, каждый из поддиапазонов может мультиплексироваться для поддержки многочисленных пользователей или множественных линий передачи данных. В одном варианте осуществления для некоторой линии связи может быть выделено подмножество M-P поддиапазонов.
M-P поддиапазоны могут быть выделены в виде наборов по существу равных поддиапазонов, причем поддиапазоны в пределах некоторого набора поддиапазонов действуют в одинаковом режиме. Например, M-P поддиапазонов может быть выделено для любого из Q предопределенных наборов поддиапазонов, причем каждый из Q наборов поддиапазонов имеет по существу одинаковое число поддиапазонов.
Поддиапазоны, выделенные для конкретного набора поддиапазонов, могут функционировать в одинаковом режиме из Q наборов поддиапазонов. Например, каждая из поднесущих, соответствующих поддиапазонам в наборе поддиапазонов, может быть модулирована одним и тем же типом модуляции, иметь по существу одинаковую скорость передачи данных, иметь данные, закодированные одинаковыми типами кодеров, частотой кодирования, типом многослойной модуляции, или совместно использовать какой-то другой параметр передачи сигнала или комбинацию параметров.
В одном варианте осуществления каждый режим может относиться к конкретной комбинации частоты кодера и типа модуляции. Например, каждый из наборов поддиапазонов может быть сконфигурирован согласно одному из одиннадцати раздельных режимов, которые включают в себя особенную комбинацию типа модуляции, типа кодера и частоты кодирования. Режимы включают в себя: квадратурную фазовую манипуляцию (QPSK), турбокод с частотой 1/3; QPSK, турбокод с частотой 1/2; 16 квадратурную амплитудную модуляцию (QAM), турбокод с частотой 1/3; 16 QAM, турбокод с частотой 1/2; 16 QAM, турбокод с частотой 2/3; QPSK, турбокод с частотой 1/5; многослойную QPSK, энергетический коэффициент 4, турбокод с частотой 1/3; многослойную QPSK, энергетический коэффициент 4, турбокод с частотой 1/2; многослойную QPSK, энергетический коэффициент 4, турбокод с частотой 2/3; многослойную QPSK, энергетический коэффициент 6,25, турбокод с частотой 1/3; многослойную QPSK, энергетический коэффициент 6,25, турбокод с частотой 1/2; и многослойную QPSK, энергетический коэффициент 6,25, турбокод с частотой 2/3. Термин энергетический коэффициент в основном относится к коэффициенту, определяемому из размерностей базового слоя по отношению к слою улучшения. Например, энергетический коэффициент может быть определен как отношение расстояния совокупности базового слоя в квадрате к расстоянию совокупности слоя улучшения в квадрате. Конечно, система не ограничивается одиннадцатью режимами работы, и другие системы могут иметь больше или меньше режимов работы.
Модель для OFDM системы может быть выражена как

где xNx1 представляет собой N×1 вектор с N символами “передачи”, отправляемыми передатчиком на N поддиапазонах, причем нули посылаются на неиспользуемых поддиапазонах;
rNx1 представляет собой N×1 вектор с N “принятыми” символами, полученными приемником для N поддиапазонов;
nNx1 представляет собой N×1 шумовой вектор для N поддиапазонов; и
“o” обозначает произведение Адамара, которое является поэлементным произведением, где i-й элемент вектора rNx1 представляет собой произведение i-х элементов векторов xNx1 и HNx1.
Предполагается, что шум nNx1 является аддитивным белым гауссовым шумом (AWGN) с нулевым средним и дисперсией 2.
Начальная оценка частотного отклика радиоканала может быть получена следующим образом:

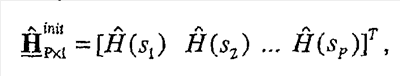
где представляет собой P×1 вектор с P контрольными символами, отправляемыми на P контрольных поддиапазонах;
представляет собой P×1 вектор с P принятыми контрольными символами для P контрольных поддиапазонов;
представляет собой P×1 вектор для действительного частотного отклика P контрольных поддиапазонов;
представляет собой P×1 вектор для начальной оценки частотного отклика;
представляет собой P×1 шумовой вектор для P контрольных поддиапазонов; и
где и P(si) представляют соответственно принятый и переданный контрольные символы для контрольных поддиапазонов si.
Вектора P×1 и включают в себя только P входных данных N×l векторов xNx1, rNx1 и nNx1 соответственно, соответствующих P контрольным поддиапазонам. Как показано в уравнении (4), приемник может получить начальную оценку частотного отклика основываясь на P поэлементных отношениях принятых контрольных символов к переданным контрольным символам для контрольных поддиапазонов, то есть где представляет собой оценку коэффициента усиления канала для поддиапазона si. Вектор характеризует частотный отклик радиоканала для контрольных поддиапазонов.
Оценка частотного отклика для N суммарных поддиапазонов может быть получена на основе начальной оценки частотного отклика с использованием различных методов. Что касается прямой оценки по методу наименьших квадратов, оценка по методу наименьших квадратов импульсной характеристики радиоканала сначала получается, основываясь на следующей оптимизации:

где hLx1 представляет собой Lx1 вектор для гипотетической импульсной характеристики радиоканала;
WPxL представляет собой PxL субматрицу матрицы WNxN; и
представляет собой вектор размерностью Lx1 для оценки импульсной характеристики канала по методу наименьших квадратов.
Матрица WPxL содержит P строк матрицы WNxN, соответствующих P контрольным поддиапазонам. Каждая строка матрицы WPxL содержит L элементов, которые являются первыми элементами соответствующей строки матрицы WNxN. Оптимизация в уравнении (5) осуществляется по всем возможным импульсным характеристикам канала hLx1. Среднеквадратическая оценка импульсной характеристики канала равна гипотетической импульсной характеристике радиоканала hLx1, что приводит к минимальной среднеквадратической ошибке между начальной оценкой импульсной характеристики и частотным откликом, соответствующим hLx1, что задается формулой WPxLhLx1.
Решение задачи оптимизации, поставленной в уравнении (5), может быть выражено следующим образом:

Затем оценка частотного отклика радиоканала может быть выведена из оценки импульсной характеристики канала по методу наименьших квадратов следующим образом:

где WNxL представляет собой NxL матрицу с первыми L столбцами матрицы WNxN; и
 представляет собой вектор размерностью Nx1 для оценки частотного отклика для всех N поддиапазонов.
Вектор  может быть вычислен несколькими способами. Например, сначала может быть вычислен вектор  , как показано в уравнении (6), а затем он может быть использован для вычисления вектора  , как показано в уравнении (7). Что касается уравнения (6), представляет собой LxP матрицу, которую нужно повторно вычислить. Затем может быть получена оценка  импульсной характеристики с помощью LxP операций (или умножений). Что касается уравнения (7), оценка частотного отклика  может быть эффективно вычислена (1) посредством протяжения Lx1 вектора  (с заполнением свободного поля кодовой последовательности пробелами), чтобы получить Nx1 вектор  , и (2) посредством выполнения БПФ на N точках на векторе  , что требует 0,5N·logN комплексных операций. Таким образом, может быть получена оценка частотного отклика  с суммарным числом (L·P+0,5N·logN) комплексных операций для обоих уравнений (6) и (7).
Альтернативно, вектор  может быть вычислен непосредственно из вектора  посредством объединения уравнений (6) и (7) следующим образом:

где представляет собой NxP матрицу, которая может быть предварительно вычислена. Затем может быть получена оценка частотного отклика  с суммарным числом N·P комплексных операций.
Для двух вышеописанных способов вычисления, минимальное число комплексных операций, необходимых для получения  для одного OFDM символа, равно Nop = min{(L·P+0,5N-logN), N·P}. Если контрольные символы передаются в каждом OFDM символе, то скорость вычисления составляет Nop/Tsym миллионов операций в секунду (Mops), что составляет Nop·BW/N Mops, где Tsym представляет собой длительность одного OFDM символа и равно N/BW мксек без циклического префикса (описывается ниже). Число комплексных операций, Nop, может быть очень высоким для OFDM системы с большим числом поддиапазонов. Например, для OFDM системы с полной шириной полосы BW=6 МГц, с суммарным числом поддиапазонов N=4096, суммарным числом контрольных поддиапазонов P=512 и L=512 отметок для вычисления  необходимо 420 Mops. Поскольку уравнение (6) требует 394 Mops и уравнение (7) требует 36 Mops, то вычисление оценки импульсной характеристики канала по методу наименьших квадратов в уравнении (6) является значительно более тяжелым, чем вычисление БПФ на N точках в уравнении (7).
Схема 200 передачи контрольного сигнала на фиг.2 не накладывает ограничения на положения контрольных поддиапазонов. Матрица WPxL содержит P строк матрицы WNxN, соответствующих P контрольным поддиапазонам. Это приводит к необходимости P комплексных операций для каждого из L входов вектора  .
Фиг.3 изображает схему 300 равномерной передачи контрольного сигнала, которая может упростить вычисление для среднеквадратической оценки импульсной характеристики канала  . Что касается схемы 300, P контрольных поддиапазонов равномерно распределяются по N суммарным поддиапазонам, так что следующие друг за другом поддиапазоны разносятся на N/P поддиапазонов (то есть L=P).
Схема 300 равномерной передачи, показанная на фиг.3, может конфигурироваться как Q=N/P наборов поддиапазонов, где один из наборов поддиапазонов конфигурируется как контрольный сигнал, а N/P-1 наборов поддиапазонов присваиваются данным. Каждый из наборов поддиапазонов данных также может конфигурироваться как P поддиапазонов данных, равномерно распределенных по N суммарным диапазонам.
В одном примере суммарное число поддиапазонов N может составлять 4096, а число наборов поддиапазонов и число наборов поддиапазонов Q может составлять 8. Таким образом, имеется P=512 поддиапазонов в каждом наборе поддиапазонов, причем поддиапазоны возникают периодически по полосе, происходя по одному разу каждые восемь поддиапазонов.
В упомянутом случае WPxP представляет собой PxP ДПФ матрицу, , где I представляет собой единичную матрицу, и уравнение (6) можно упростить как:

Уравнение (9) показывает, что оценка импульсной характеристики канала
 может быть получена путем выполнения IFFT на P точках на начальной оценке частотного отклика  . Вектор  может быть подвергнут заполнению свободного поля кодовой последовательности пробелами до длины N. Затем подвергнутый заполнению свободного поля кодовой последовательности вектор  может быть преобразован с помощью БПФ на N точках для получения вектора  следующим образом:

Искомый Sx1 вектор  для оценки частотного отклика для S поддиапазонов также может быть получен, основываясь на векторе  , где в основном N S P. Если S представляет собой число два в некоторой степени, то можно выполнить БПФ на S точках, чтобы получить  .
В случае схемы 300 передачи контрольного сигнала число комплексных операций, требуемых для получения  для одного OFDM символа, составляет Nop=0,5·(P·logP+N·logN) и скорость вычисления составляет 0,5·BW·(P·logP+N·logN)/N Mops. Для вышеописанной иллюстративной OFDM системы вектор  может быть вычислен с использованием схемы 300 передачи контрольного сигнала со скоростью 39,38 Mops, что намного меньше скорости 420 Mops, необходимой для схемы 200 передачи контрольного сигнала.
Среднеквадратическая оценка импульсной характеристики канала пониженной сложности, описанная выше в уравнениях (9) и (10), основана на двух ключевых допущениях:
1. P контрольных поддиапазонов являются периодическими по всем N поддиапазонам, и
2. Число отметок равно числу контрольных поддиапазонов (то есть L=P).
Два упомянутых допущения накладывают важные ограничения в практической OFDM системе. Во-первых, для некоторых систем может быть необязательным передавать контрольные символы на P поддиапазонах, равномерно распределенных по всем N поддиапазонам. Например, в спектрально сформированной OFDM системе никакие символы не передаются на защитных поддиапазонах, чтобы удовлетворять требованиям спектральной маски. В другом примере OFDM система может не разрешать передачу контрольного сигнала/данных на некоторых поддиапазонах (например, на нулевом или DC поддиапазоне). Еще в одном примере контрольный сигнал может быть недоступен для некоторых поддиапазонов из-за исполнения фильтра приемника и/или по другим причинам. Для указанных систем строгая периодичность P контрольных поддиапазонов по всем полным N поддиапазонам обычно является необязательной. Во-вторых, допущение, что L=P (которое менее строгое, чем первое допущение) может ухудшать качество окончательной оценки частотного отклика канала  . Можно показать, что качество оценки канала может ухудшаться почти на 3 дБ относительно оптимальной оценки канала, если (1) L предполагается равным P, (2) энергия контрольного символа является такой же, как энергия символа данных, и (3) фильтрация во временной области не выполняется для захвата дополнительной энергии. Для некоторых систем упомянутая величина ухудшения качества оценки канала может быть неприемлемой.
Для преодоления двух вышеописанных ограничений могут быть использованы различные методы. Во-первых, для получения оценок коэффициента усиления канала для P равномерно разнесенных поддиапазонов на основе принятых контрольных символов могут быть использованы экстраполяция и/или интерполяция. Это позволяет выводить оценку импульсной характеристики канала  с помощью IFFT на P точках. Во-вторых, для получения более высокого качества оценки канала выбор отметки может выполняться на P элементах вектора  . Экстраполяция/интерполяция и выбор отметки описаны подробно ниже.
Фиг.4 изображает схему 400 равномерной передачи контрольного сигнала для спектрально сформированной OFDM системы. Что касается схемы 400, P контрольных поддиапазонов равномерно распределяются по N суммарным поддиапазонам, так что следующие друг за другом поддиапазоны разносятся на N/P поддиапазонов подобно схеме 300. Снова поддиапазоны, охватывающие каждый контрольный поддиапазон, могут быть распределены для набора поддиапазонов данных. Однако контрольные символы передаются только на контрольных поддиапазонах, которые находятся среди M используемых поддиапазонов (или просто “активных контрольных поддиапазонов”). Никакие контрольные символы или символы данных не передаются на защитных поддиапазонах (или просто “неактивных контрольных поддиапазонов”). Таким образом, приемник получает контрольные символы для активных контрольных поддиапазонов и не получает никаких контрольных символов для неактивных контрольных поддиапазонов.
Фиг.5 изображает процесс 500 для получения оценки частотного отклика  для каждого режима в пределах каждого OFDM символа радиоканала с множественным доступом или ассоциированного с каждым символом в спектрально сформированной OFDM системе. Символ OFDM может быть охарактеризован одним или несколькими режимами, включая схему модуляции, частоту кодирования, слои модуляции и т.п. Для схемы многослойной модуляции символ может быть охарактеризован обеими оценками частотного отклика: базовой и улучшения,  . Начальная оценка частотного отклика для первого набора P равномерно разнесенных поддиапазонов получается, основываясь, например, на контрольных символах, принятых на втором наборе поддиапазонов, используемых для передачи контрольного сигнала (блок 512). Первый набор включает в себя, по меньшей мере, один поддиапазон, не входящий во второй набор (например, контрольные поддиапазоны среди защитных поддиапазонов). Оценка импульсной характеристики радиоканала далее выводится, основываясь на начальной оценке частотного отклика (блок 514). Оценки импульсной характеристики канала для множественных OFDM символов могут фильтроваться для получения оценки канала более высокого качества (блок 516). Затем выводится окончательная оценка частотного отклика для каждого режима в каждом OFDM символе OFDM радиоканала основываясь на (фильтрованной или не фильтрованной) оценке импульсной характеристики канала (блок 518). Фильтрация также может выполняться на начальной или окончательной оценке частотного отклика канала (вместо оценки импульсной характеристики канала) для получения оценки канала более высокого качества.
Фиг.6 изображает конкретный процесс 600 для получения оценки частотного отклика  в спектрально сформированной OFDM системе. Первоначально принятые контрольные символы получаются для Pact активных контрольных поддиапазонов с передачей контрольного сигнала (блок 610). Затем выводятся оценки (si) коэффициента усиления канала для Pact активных контрольных поддиапазонов, основываясь на принятых контрольных символах (блок 612). Выходной сигнал блока 612 представляет собой Pactx1 вектор  для начальной оценки частотного отклика для Pact активных контрольных поддиапазонов. Экстраполяция и/или интерполяция выполняются, насколько это необходимо, для получения оценок коэффициента усиления канала для Pact активных контрольных поддиапазонов без передачи контрольного сигнала, как описано ниже (блок 614). Выходной сигнал блока 614 представляет собой Pactx1 вектор  для начальной оценки частотного отклика для Pact активных поддиапазонов без передачи контрольного сигнала. Затем формируется Px1 вектор  для начальной оценки частотного отклика для равномерно разнесенных поддиапазонов, основываясь на оценках коэффициента усиления канала из векторов  и  , например, (блок 616). Оценка коэффициента усиления канала для каждого из P поддиапазонов может быть выведена, основываясь либо на принятых контрольных символах, либо на экстраполяции/интерполяции.
Затем выполняется IFFT на P точках на векторе  для получения Px1 вектора
 для среднеквадратической оценки импульсной характеристики канала, как показано в уравнении (9) (блок 618). Фильтрация во временной области может быть выполнена на оценках  импульсной характеристики канала для множественных OFDM символов для получения оценки канала более высокого качества (блок 620). Фильтрация во временной области может быть опущена или может быть выполнена на оценках частотного отклика вместо оценок импульсной характеристики. Вектор (фильтрованный или не фильтрованный)  включает в себя P входов для L отметок, где L обычно меньше, чем P. Затем вектор  обрабатывается, чтобы выбрать “хорошие” отметки и отбросить или обнулить остальные отметки, как описано ниже (блок 622). Для каждого режима также выполняется заполнение свободного поля кодовой последовательности пробелами для получения соответствующего Nx1 вектора  для оценки импульсной характеристики канала (блок 624). Затем выполняется БПФ на N точках на каждом векторе  , чтобы получить вектор
 для окончательной оценки частотного отклика канала для каждого режима для всех N поддиапазонов (блок 626).
Экстраполяция/интерполяция
Что касается блока 614 на фиг.6, экстраполяция может быть использована для получения оценок коэффициента усиления канала для неактивных контрольных поддиапазонов, которые расположены среди защитных поддиапазонов. Для функции y=f(x), где набор значений y является доступным для набора значений x в пределах известного диапазона, экстраполяция может быть использована для оценивания значения y для значения x вне известного диапазона. Для оценивания канала x соответствует контрольному поддиапазону и y соответствует оценке коэффициента усиления канала. Экстраполяция может быть выполнена различными способами.
В одной схеме экстраполяции оценка коэффициента усиления канала для каждого неактивного контрольного поддиапазона устанавливается равной оценке коэффициента усиления канала для ближайшего активного контрольного поддиапазона следующим образом:

где (si) является оценкой коэффициента усиления канала для поддиапазона si; sb представляет собой первый активный контрольный поддиапазон; и se представляет собой последний активный контрольный поддиапазон, как показано на фиг.4.
В другой схеме экстраполяции оценка коэффициента усиления канала для каждого неактивного контрольного поддиапазона получается, основываясь на взвешенной сумме оценок коэффициента усиления канала для активных контрольных поддиапазонов. Если число отметок L меньше или равно числу активных контрольных поддиапазонов (то есть L Pact), то (при отсутствии шумов) радиоканал может полностью характеризоваться оценками коэффициента усиления канала для активных контрольных поддиапазонов. Для экстраполяции каждый активный контрольный поддиапазон ассоциируется с соответственным набором экстраполяционных коэффициентов, по одному коэффициенту на каждый активный контрольный поддиапазон, где каждый коэффициент может иметь нулевое или ненулевое значение. Экстраполяция/ интерполяция для неактивных контрольных поддиапазонов может быть выражена в матричной форме следующим образом:

где C представляет собой PextЧРact матрицу экстраполяционных коэффициентов.
Число комплексных операций, требуемых для экстраполяции в уравнении (12) составляет Pext·Pact. Число неактивных контрольных поддиапазонов составляет , где G представляет собой число защитных поддиапазонов и [x] представляет собой оператор верхнего значения, который обеспечивает следующее более высокое целое число для x. Число неактивных контрольных поддиапазонов в системе обычно мало, если число защитных поддиапазонов мало. Например, вышеописанная OFDM система может иметь только 10 неактивных контрольных поддиапазонов (то есть Pext=10) вне 512 контрольных поддиапазонов (то есть P=512), если имеется 80 защитных поддиапазонов (то есть G=80). В этом случае вычисление, требуемое для экстраполяции, не сильно увеличивает сложность вычислений. Сложность вычислений также может быть однозначно снижена путем ограничения экстраполяции для использования поднабора активных контрольных поддиапазонов.
Экстраполяционные коэффициенты могут быть фиксированными или могут определяться автономно (то есть предварительно вычисляться), основываясь на критерии, таком как наименьшие квадраты, минимальная среднеквадратическая ошибка (MMSE) и т.п. Для экстраполяции методом наименьших квадратов, матрица коэффициентов C может быть задана следующим образом:

где W представляет собой Pact x L субматрицу матрицы WNxN. В практической системе матрица W W может быть плохо обусловленной, что означает, что вычисление инверсной матрицы может столкнуться с бесчисленными проблемами стабильности. В этом случае можно использовать поправочный член, чтобы обойти проблему плохо обусловленной матрицы, и модифицированная матрица экстраполяции методом наименьших квадратов C может быть задана следующим образом:

где представляет собой маленький поправочный множитель.
Для MMSE экстраполяции матрица коэффициентов может быть задана следующим образом:

где представляет собой отношение сигнал к шуму принятых контрольных символов; и представляет собой множитель, используемый для выведения несмещенной оценки.
В отсутствие SNR информации может рассматриваться как параметр, который может выбираться, чтобы оптимизировать эксплуатационные показатели. Множитель представляет собой скалярную величину, которая также может быть использована, чтобы оптимизировать эксплуатационные показатели. Вектор  , полученный с помощью C , представляет собой MMSE оценку канала в предположении, что отметки во временной области являются некоррелированными и имеют одинаковую энергию. Уравнение (15) предполагает, что автоковариационная матрица шумового вектора n для Pact активного контрольного поддиапазона является единичной матрицей. Уравнение (15) может быть модифицировано для учета этой автоковариационной матрицы, если она известна для приемника.
Еще в одной схеме экстраполяции оценка коэффициента усиления канала для каждого неактивного контрольного поддиапазона устанавливается равной нулю, то есть (si) для si<sb и si>se. Экстраполяция также может выполняться другими способами, и это находится в рамках изобретения. Например, могут быть использованы методы функциональной экстраполяции, такие как линейная и квадратичная экстраполяция. Также могут быть использованы методы нелинейной экстраполяции, которые в общих чертах описываются уравнением (12).
Схема передачи контрольного сигнала может не распределять активные контрольные поддиапазоны равномерно по M используемым поддиапазонам. В этом случае для получения оценок коэффициента усиления канала для равномерно разнесенных поддиапазонов в пределах M используемых поддиапазонов также может быть использована интерполяция. Интерполяция может выполняться различными способами. В основном экстраполяция и/или интерполяция могут выполняться, насколько это необходимо, основываясь на доступных принятых контрольных символах для получения оценок коэффициента усиления канала для P поддиапазонов, равномерно разнесенных по всем N поддиапазонам.
Обработка отметок
Что касается блока 622 на фиг.6, обработка отметок выполняется на векторе
 так, чтобы выбирать или по-другому определять хорошие отметки для оценки импульсной характеристики канала. Термин “хорошая” отметка относится к отметке, значение которой вносит вклад в оценку импульсной характеристики канала без чрезмерного шума. То, что составляет вклад чрезмерного шума, зависит от множества разнообразных факторов, включая рабочий режим поддиапазонов данных, с которым ассоциируется окончательная оценка канала, модель канала, другие системные параметры или комбинацию факторов или параметров. Обработка отметок может быть выполнена различными способами. Обработка значений отметок в оценке импульсной характеристики канала может быть основана на задержке отметки, величине или амплитуде или на некоторой комбинации задержки и энергии, величины или амплитуды.
Усечение отметок
В одной схеме обработки отметок оценка импульсной характеристики канала
 усекается до L значений для L отметок радиоканала. Вектор  содержит P элементов, где P L. P элементов охватывают разброс задержки, определяемый числом отметок, P, и исходным временным интервалом, по которому производится дискретизация. Однако разброс задержки импульсной характеристики канала может быть усечен до более короткого разброса задержки без значительного влияния на оценку импульсной характеристики канала и результирующий окончательный частотный отклик канала.
Для этой детерминистической схемы выбора отметок первые L элементов  , считаются хорошими отметками и сохраняются, а последние P-L элементов заменяются нулями. Когда L
Длина усечения L может быть предопределена и может быть основана, по меньшей мере частично, на рабочем режиме. Может существовать отличная длина усечения L для каждого возможного рабочего режима. В таком варианте осуществления приемник может определять, в каком режиме функционируют поддиапазоны данных, и выбирать длину усечения из множества значений длины усечения, хранимых в памяти.
Выбор порога величины отметки
В другой схеме выбора отметок элементы  с низкой энергией заменяются нулями. Альтернативно элементы из  , имеющие низкую энергию, могут быть заменены или по-другому обработаны, чтобы привести к пренебрежимо малым значениям для этих отметок. Упомянутые элементы  соответствуют отметкам с низкой энергией, где энергия является низкой, вероятно, из-за шума, а не из-за энергии сигнала. Порог используется для определения того, имеет ли заданный элемент/отметка достаточную энергию и могут ли они быть сохранены или обнулены. Этот процесс может быть назван выбором порога.
Порог может быть вычислен, основываясь на различных факторах и различных способах. Порог может быть относительным значением (то есть зависимым от измеренного отклика канала) или от абсолютного значения (то есть независимым от измеренного отклика канала). Относительный порог может быть рассчитан, основываясь на энергии (например, суммарной или усредненной) оценки импульсной характеристики канала. Использование относительного порога гарантирует, что (1) выбор порога не зависит от вариаций принятой энергии и (2) элементы/отметки, которые присутствуют, но с низкой энергией, не обнуляются. Абсолютный порог может вычисляться, основываясь на дисперсии шума/минимальном уровне шума на приемнике на самой низкой энергии, ожидаемой для принятых контрольных символов, и т.п. Использование абсолютного порога заставляет элементы
 соответственно удовлетворять некоторому минимальному значению, чтобы быть сохраненными. Порог может быть также вычислен, основываясь на комбинации факторов, используемых для относительных и абсолютных порогов. Например, порог может быть вычислен, основываясь на энергии оценки импульсной характеристики канала и может быть дополнительно ограничен, чтобы быть больше или равным предопределенному минимальному значению.
Выбор порога может быть выполнен различными способами. В одной схеме выбор порога выполняется после усечения и может быть выражен как:

где , где последние P-L элементов заменяются нулями посредством усечения;
– энергия n-й отметки;
– энергия оценки импульсной характеристики канала для L отметок; и
– порог, используемый для обнуления элементов/отметок с низкой энергией.
Величина представляет собой норму вектора x и равна сумме квадратов всех элементов вектора x.
В уравнении (16) порог задается, основываясь на усредненной энергии L отметок. Коэффициент выбирается на основе компромисса между подавлением шума и уничтожением сигнала. Более высокое значение обеспечивает большее подавление шума, но также увеличивает вероятность обнуления элемента/отметки с низкой энергией сигнала. Коэффициент может быть значением, находящимся в диапазоне от 0 до 1 (например, =0,1). Порог также может задаваться, основываясь на суммарной энергии (вместо усредненной энергии) оценки импульсной характеристики канала  .
Порог может быть фиксированным или может адаптироваться, основываясь на рабочем режиме поддиапазонов данных, для которых должна использоваться оценка канала. Например, пороговое значение может быть основано на (1) особенной схеме кодирования и модуляции или скорости потока данных, которые должны демодулироваться, (2) частоте ошибок по битам (BER), частоте ошибок по пакетам (PER), частоте ошибок по блокам (BLER) или на некотором другом требовании представления частоты ошибок и/или на некоторых других параметрах и соображениях.
Приемник, который конфигурируется, чтобы поддерживать один или несколько режимов, может конфигурироваться, чтобы сохранять, по меньшей мере, одно предопределенное пороговое значение для каждого режима. Приемник может определять, какой режим поддиапазонов данных является рабочим, и может выбирать подходящий порог из множества пороговых значений, хранимых в памяти. Значения отметок импульсной характеристики или значения, выведенные из значений отметок, могут сравниваться с порогом или значением, определенным на основе порогового значения. Например, приемник может сохранять множество значений с каждым значением, соответствующим отличному режиму. Приемник может определять рабочий режим и может определять порог, основываясь на соответствующем значении. Значения энергии отдельных отметок могут сравниваться с пороговым значением, и отметки, имеющие значения энергии, меньшие, чем пороговое значение, могут устанавливаться на ноль.
В другой схеме выбора порога выбор порога выполняется на всех P элементах вектора  (то есть без усечения), используя один порог подобно тому, как показано в уравнении (16). Еще в одной схеме выбора порога выбор порога выполняется на всех P элементах вектора  , используя многочисленные пороги. Например, первый порог может быть использован для первых L элементов вектора  , и второй порог может быть использован для последних P-L элементов вектора  . Второй порог может устанавливаться более низким, чем первый порог. Еще в одной схеме выбора порога выбор порога выполняется только на последних P-L элементах вектора  и не на первых L элементах. Выбор порога может выполняться другими способами.
Выбор порога хорошо подходит для радиоканала, который является “разреженным”, как, например, радиоканал в радиовещательной системе с макрозонами. Разреженный радиоканал имеет большое количество энергии канала, сконцентрированной в нескольких отметках. Каждая отметка соответствует разрешимому пути прохождения сигнала с различной временной задержкой. Разреженный канал включает в себя несколько путей прохождения сигнала, даже несмотря на то что разброс задержки (то есть, разность времен) между этими путями прохождения сигнала может быть большим. Отметки, соответствующие слабым или не существующим путям прохождения сигнала, могут обнуляться или по-другому делаться незначительными.
Фильтрация оценки канала
Что касается блока 518 на фиг.5 и блока 620 на фиг.6, оценка импульсной характеристики канала может быть отфильтрована во временной области с использованием фильтра нижних частот, такого как фильтр конечной импульсной характеристики (FIR), фильтр (IIR, БИХ) бесконечной импульсной характеристики или какой-то другой тип фильтра. Фильтр нижних частот может быть причинным фильтром (который выполняет фильтрацию на прошедших и текущих выборках) или непричинным фильтром (который выполняет фильтрацию на прошедших текущих и будущих выборках, получаемых посредством буферизации). Например, для фильтров непричинного типа приемник может сохранять в буфере или как-то по-другому оценки множественных каналов и может определять выход непричинного фильтра для заданной оценки канала с использованием оценок канала, происходящих позже. Из опорной точки оценки заданного канала оценки канала, основанные на более поздних принятых символах, являются будущими выборками.
Характеристики (например, ширина полосы) фильтра могут быть выбраны, основываясь на характеристиках радиоканала. Фильтрация во временной области может выполняться отдельно для каждой отметки оценки импульсной характеристики канала по множественным OFDM символам. Для отметок оценки импульсной характеристики канала могут быть использованы одинаковые или различные фильтры. Коэффициенты для каждого такого фильтра могут быть фиксированными или регулируемыми на основе детектированных условий канала. Выполнение фильтрации во временной области имеет то преимущество, что контрольные поддиапазоны могут смещаться в частотную область (то есть различные наборы контрольных поддиапазонов могут быть использованы для различных OFDM символов). Смещение контрольных поддиапазонов полезно, когда канал имеет избыточный разброс задержки (то есть импульсная характеристика канала имеет длину более P отметок). Оценка импульсной характеристики канала с более чем P отметками может быть получена с дополнительными и различными контрольными поддиапазонами, обеспечиваемыми смещением. Фильтрация также может выполняться на начальной или окончательной оценках частотного отклика.
OFDM система
Фиг.7 изображает блок схему точки 700 доступа и терминала в спектрально сформированной OFDM системе. На нисходящей линии связи точка 700 доступа, процессор 710 передачи (TX) данных принимает, форматирует, кодирует, перемежает и модулирует (то есть таблицы символов) данные радиообмена и обеспечивает символы модуляции (или просто “символы данных”). OFDM Модулятор 720 принимает и обрабатывает символы данных и контрольные символы и обеспечивает поток OFDM символов. OFDM Модулятор 720 мультиплексирует данные и контрольные символы на нужных поддиапазонах, обеспечивает нулевое значение сигнала для каждого неиспользуемого поддиапазона и получает набор N символов передачи для N поддиапазонов для каждого периода OFDM символа. Каждый символ передачи может быть символом данных, контрольным символом или нулевым значением сигнала. Контрольные символы могут быть отправлены на активных контрольных поддиапазонах, как показано на фиг.4. Контрольные символы могут отправляться непрерывно в каждом периоде OFDM символа. Альтернативно контрольные символы подвергаются временному мультиплексированию (TDM) с символами данных на одном и том же поддиапазоне.
OFDM Модулятор 720 дополнительно преобразует каждый набор N символов передачи во временную область, используя IFFT преобразование на N точках, чтобы получить “преобразованный” символ, который содержит N временных элементов. OFDM Модулятор 720 обычно повторяет участок каждого переданного символа, чтобы получить соответствующий OFDM символ. Повторяющийся участок известен как циклический префикс и используется для борьбы с разбросом задержки в радиоканале.
Передатчик (TMTR) 722 принимает и преобразует поток OFDM символов в один или несколько аналоговых сигналов и дополнительно доводит до нужного условия (например, усиливает, фильтрует и преобразует с повышением частоты) аналоговые сигналы с целью генерации сигнала нисходящей линии связи для передачи по радиоканалу. Затем сигнал нисходящей линии связи передается через антенну 724 в терминалы.
На терминале 750 антенна 752 принимает сигнал нисходящей линии связи и обеспечивает подачу принятого сигнала в приемник (RCVR) 754. Приемник 754 доводит до нужного условия (например, фильтрует, усиливает и преобразует с понижением частоты) принятый сигнал и оцифровывает доведенный до нужного условия сигнал для получения выборок. OFDM демодулятор 756 удаляет циклический префикс, присоединенный к каждому OFDM символу, преобразует каждый принятый преобразованный символ в частотную область с использованием FFT преобразования на N точках, получает N принятых символов для каждого периода OFDM символа и обеспечивает подачу контрольных символов { (si)} в процессор 770 для оценивания канала.
OFDM демодулятор 756 дополнительно принимает из процессора 770 оценку частотного отклика  для нисходящей линии связи, выполняет демодуляцию данных на принятых символах данных (которые являются оценками переданных символов данных) и обеспечивает подачу оценок символов данных в процессор 758 RX данных. Процессор 758 RX данных демодулирует (то есть восстанавливает символы), выполняет обращенное перемежение и декодирует оценки символов данных, чтобы восстановить переданные данные радиообмена. Обработка OFDM демодулятором 756 и процессором 758 RX данных является комплементарной к обработке OFDM модулятором 720 и процессором 710 TX данных соответственно в точке 700 доступа.
Процессор 770 получает принятые контрольные символы для активных контрольных поддиапазонов и выполняет оценку канала, как показано на фиг.5 и 6. Процессор 770 выполняет экстраполяцию и/или интерполяцию, насколько это необходимо для получения оценок коэффициента усиления канала для Pdn равномерно разнесенных поддиапазонов (где представляет Pdn собой число контрольных поддиапазонов для нисходящей линии связи), выводит среднеквадратическую оценку импульсной характеристики  для нисходящей линии связи, выполняет обработку отметок для элементов/отметок  и выводит окончательную оценку частотного отклика  для N поддиапазонов для нисходящей линии связи.
На восходящей линии связи процессор 782 TX данных обрабатывает данные радиообмена и обеспечивает символы данных. OFDM модулятор 784 принимает и мультиплексирует символы данных с контрольными символами, выполняет OFDM модуляцию и обеспечивает поток OFDM символов. Контрольные символы могут передаваться на Pup поддиапазонах, которые были присвоены терминалу 750 для передачи контрольного сигнала, где число контрольных поддиапазонов (Pup) для восходящей линии связи может быть одинаковым или отличаться от числа контрольных поддиапазонов (Pdn) для нисходящей линии связи. Контрольные символы также могут мультиплексироваться с символами данных с использованием TDM. Затем передатчик 786 принимает и обрабатывает поток OFDM символов с целью генерации сигнала восходящей линии связи, который передается через антенну 752 в точку доступа.
В точке 700 доступа сигнал восходящей линии связи из терминала 750 принимается антенной 724 и обрабатывается приемником 742 для получения выборок. Затем OFDM демодулятор 744 обрабатывает выборки и обеспечивает принятые контрольные символы { (si)} и оценки символов данных для восходящей линии связи. Процессор 746 RX данных обрабатывает оценки символов данных для восстановления данных радиообмена, переданных терминалом 750.
Процессор 730 выполняет оценку канала для каждого активного терминала, передающего на восходящей линии связи, как показано на фиг.5 и 6. Многочисленные терминалы могут передавать контрольный сигнал одновременно на восходящей линии связи на их соответствующих выделенных наборах контрольных поддиапазонов, где наборы контрольных поддиапазонов могут чередоваться. Для каждого терминала m процессор 730 выполняет экстраполяцию и/или интерполяцию, насколько это необходимо для терминала, получает начальную оценку частотного отклика  для восходящей линии связи для терминала, выводит среднеквадратическую оценку импульсной характеристики  для терминала, основываясь на  , выполняет выбор отметок и дополнительно получает окончательную оценку частотного отклика  для терминала. Оценка частотного отклика  для каждого терминала обеспечивается в OFDM демодулятор 744 и используется для демодуляции данных для этого терминала.
Процессоры 730 и 770 направляют работу в точке 700 доступа и терминале 750 соответственно. Запоминающие устройства 732 и 772 хранят управляющие программы и данные, используемые процессорами 730 и 770 соответственно. Процессоры 730 и 770 также выполняют вычисление, описанное выше, для выведения оценок частотного отклика и импульсной характеристики для восходящей линии связи и нисходящей линии связи соответственно.
Для OFDM системы с множественным доступом (например, система мультиплексирования с ортогональным частотным разделением сигналов с множественным доступом (OFDMA)) многочисленные терминалы могут одновременно передавать на восходящей линии связи. Для такой системы контрольные поддиапазоны могут совместно использоваться различными терминалами. Методы оценивания канала могут быть использованы в тех случаях, когда контрольные поддиапазоны для каждого терминала охватывают полную рабочую полосу (возможно, за исключением краев полосы). Такая структура контрольных поддиапазонов могла бы быть желательна для получения частотного разнесения для каждого терминала.
OFDM приемник
Фиг.8 изображает упрощенную функциональную блок схему OFDM приемника 800, который может конфигурироваться, чтобы поддерживать многочисленные режимы передачи данных и может оптимизировать обработку оценки канала, основываясь на режиме. Приемник 800 не показывает РЧ входные каскады обработки для цели ясности. Приемник 800 может включать в себя РЧ входные каскады для преобразования с понижением частоты принятых РЧ сигналов в представления в полосе частот, как показано в функциональной блок схеме фиг.7.
Приемник 800 может быть выполнен в терминале подвижной станции, например в OFDM системе, поддерживающей только нисходящую линию связи. В другом варианте осуществления приемник 800 может быть выполнен в одной или нескольких из точек доступа или терминале в OFDMA системе, где сигнал прямой нисходящей линии связи, а также сигналы обратной восходящей линии связи передаются с использованием OFDM символов.
Приемник 800 включает в себя аналогово-цифровой преобразователь (ADC, АЦП) 802, сконфигурированный для дискретизации принятого OFDM символа и для преобразования выборок в цифровое представление. Например, скорость преобразования АЦП 802 может представлять частоту дискретизации.
Выход АЦП 802 соединяется с буфером 804, который также может конфигурироваться, чтобы выполнять преобразование последовательного кода в параллельный. Цифровые выборки принятого OFDM символа, генерированного АЦП преобразователем 802, представляют последовательный поток данных выборок. Буфер 804 может конфигурироваться, чтобы сохранять предопределенное число выборок для параллельной обработки. Предопределенное число выборок может быть больше или равно числу поддиапазонов в OFDM системе. В некоторых вариантах осуществления буфер 804 может конфигурироваться, чтобы сохранять выборки для множественных символов. Например, в OFDM системе, имеющей 4096 поддиапазонов, буфер 804 может конфигурироваться, чтобы сохранять 4096 или более цифровых выборок принятого OFDM символа для последующей обработки.
Буфер 804 соединяется к входу БПФ модуля 806, сконфигурированного для передачи выборок, хранимых в буфере 804, в представление частотной области. В представленном выше примере, где буфер 804 хранит 4096 выборок, БПФ модуль 806 может конфигурироваться, чтобы выполнять БПФ на 4096 точках на выборках, чтобы получить 4096 выборок в частотной области.
Как обсуждалось ранее, OFDM символ может включать в себя некоторое число наборов поддиапазонов с одним или несколькими наборами поддиапазонов, выделенных для контрольного сигнала, и с одним или несколькими наборами поддиапазонов, выделенных для данных. Приемник 800 может иметь знание наборов поддиапазонов, выделенных для контрольного сигнала. Дополнительно приемник 800 может определять один или несколько наборов поддиапазонов данных или может быть присвоен им. Модуль 808 извлечения данных работает на выходе БПФ модуля 806 для выделения поддиапазонов данных, присвоенных приемнику 800. Модуль 808 извлечения данных передает поддиапазоны извлеченных данных в демодулятор 810, который демодулирует поддиапазоны, используя оценку канала для восстановления данных.
Демодулятор 810 или какой-то другой функциональный блок может определять рабочий режим набора поддиапазонов, присвоенного приемнику 800, любым из разнообразных способов. Например, приемник 800 может демодулировать служебное сообщение, которое задает режим одного или нескольких кадров OFDM символов, информация OFDM символов может включать в себя информацию, которая задает режим одного или нескольких кадров последующих OFDM символов, или может быть использован какой-то другой способ передачи сигнала о режиме приемнику 800.
Выход БПФ модуля 806 также соединяется к модулю 820 извлечения контрольного сигнала. Модуль 820 извлечения контрольного сигнала может извлекать выборки контрольных поддиапазонов, например, путем отслеживания поддиапазонов, присвоенных контрольному сигналу. Как описывалось ранее, в OFDM системе, имеющей 4096 поддиапазонов, 512 поддиапазонов может быть присвоено каждому символу контрольного сигнала. Модуль 820 извлечения контрольного сигнала может определять, какие из поддиапазонов присвоены контрольному сигналу, и может извлекать эти выборки в память. Например, модуль 820 извлечения контрольного сигнала может конфигурироваться, чтобы извлекать 512 выборок, соответствующих контрольным поддиапазонам, из 4096 выборок, выходящих из БПФ модуля 806.
Модуль 820 извлечения контрольного сигнала передает выборки контрольного сигнала в дескремблер 824. Каждый из контрольных сигналов, соответствующих контрольным поддиапазонам, может скремблироваться согласно предопределенной схеме скремблирования. Схема скремблирования может быть использована, например, для рандомизации характеристик контрольных сигналов, так чтобы они не могли многократно генерировать один и тот же шум или помехи, но вместо этого выглядят как дополнительные источники шума низкого уровня. Схема скремблирования контрольного сигнала предопределяется, и дескремблер 824 может конфигурироваться для исполнения дополняющего компонента схемы скремблирования контрольного сигнала, используемой на передатчике.
Дескремблированные выборки контрольного сигнала представляют начальную оценку частотного отклика канала. Однако оценка частотного отклика канала может быть улучшена посредством дополнительной обработки начальной оценки частотного отклика канала, основываясь на режиме поддиапазонов данных, которые должны обрабатываться с использованием оценки канала.
Начальная оценка частотного отклика канала передается из дескремблера 824 в модуль 830 обратного БПФ (IFFT). IFFT модуль 830 может иметь размер, который меньше, чем размер модуля 806 прямого БПФ, потому что контрольные поддиапазоны представляют только поднабор полного числа поддиапазонов в OFDM системе. В описанном выше примере имеется 512 контрольных поддиапазонов. Таким образом, IFFT модуль 830 может конфигурироваться для выполнения IFFT на 512 точках. Уменьшение размера IFFT модуля 830 может сильно уменьшить число операций, выполняемых IFFT модулем 830, и число последующих операций, необходимых для получения окончательной оценки частотного отклика канала.
IFFT модуль 830 функционирует на начальной оценке частотного отклика канала, чтобы произвести импульсную характеристику канала. Каждый из выходов из IFFT модуля 830 представляет отчетливую временную отметку. Таким образом, импульсная характеристика канала характеризуется множеством временных отметок, которые охватывают полный разброс задержки, который определяется, основываясь на длительности интервала выборки, используемого для захвата начальных выборок восстановленного OFDM символа.
Как обсуждалось ранее, импульсная характеристика канала может точно характеризоваться меньшим числом выборок, чем число выходов из IFFT модуля 830. Выход IFFT модуля 830 соединяется с модулем 840 усечения, который функционирует, чтобы усекать импульсную характеристику канала до предопределенного разброса задержки, основываясь, по меньшей мере, частично, на режиме поддиапазонов данных, которые должны обрабатываться с использованием оценки канала.
Модуль 840 усечения усекает импульсную характеристику канала посредством установки отметок, больших, чем предопределенный разброс задержки на ноль или на некоторое несущественное значение. Модуль 840 усечения может принимать управляющий сигнал, который показывает предопределенный разброс задержки, после чего метки усекаются или устанавливаются на ноль, например, управляющий сигнал может иметь размерность вектора импульсной характеристики канала, соответствующего числу отметок в импульсной характеристике канала.
В варианте осуществления, показанном на фиг.8, множество предопределенных значений разброса задержки может сохраняться в памяти 844 усечения. Каждое из значений разброса задержки может соответствовать одному или нескольким режимам, в которых могут функционировать поддиапазоны данных. Также могут существовать одно или несколько значений, которые могут быть использованы, когда приемник 800 не уверен в режиме или не способен определить режим.
Первый мультиплексор 842 может быть соединен к памяти 844 усечения и может выбирать одно из хранимых значений разброса задержки, чтобы передавать в модуль 840 усечения, основываясь на управляющем сигнале, обеспеченным модулем 890 управления режимом. Модуль 890 управления режимом управляет первым мультиплексором, чтобы выбирать значение разброса задержки из множества хранимых значений, основываясь на режиме поддиапазонов данных, которые должны обрабатываться с использованием оценки канала.
Выход модуля 840 усечения соединяется с модулем 850 порога, который выполняет выбор порога импульсной характеристики канала, основываясь на режиме поддиапазонов данных, которые должны обрабатываться с использованием оценки канала. Модуль 840 усечения может конфигурироваться, чтобы принимать зависимое от режима пороговое значение, и может конфигурироваться, чтобы принимать нулевое или какое-то другое несущественное значение, отметки которого не превышают порог сравнения определяемый, основываясь на пороговом значении, зависимом от режима.
В одном варианте осуществления модуль 850 порога определяет усредненное значение энергии импульсной характеристики канала путем суммирования квадратов всех значений отметок и деления суммы на число отметок. Число отметок может быть полным числом отметок в импульсной характеристике канала или может быть числом отметок в усеченной импульсной характеристике. По определению отметки, находящиеся вне длины усечения, не вносят вклад в оценку канала. Модуль 850 порога определяет порог сравнения посредством получения некоторой дробной величины, обозначенной в вышеупомянутом уравнении (16), и посредством определения произведения дробной величины и усредненного значения энергии. Модуль порога сравнивает значение энергии каждой отметки с порогом сравнения и обнуляет или делает незначительными те отметки, значения энергии которых оказываются ниже порога сравнения.
Модуль 850 порога может принимать пороговое значение из второго мультиплексора 852, который выбирает одно из множества пороговых значений, хранимых в памяти 854 порога. Память 854 порога может конфигурироваться, чтобы сохранять множество пороговых значений, каждое из которых соответствует одному или нескольким отличным режимам. Одно или несколько пороговых значений могут представлять пороговые значения по умолчанию. Модуль 890 управления режимом управляет вторым мультиплексором 852, чтобы он выбирал пороговое значение, основываясь, по меньшей мере, частично, на режиме поддиапазонов данных, которые должны обрабатываться с использованием оценки канала.
Выход модуля 850 порога соединяется с временным фильтром 860, который конфигурируется, чтобы буферизировать множество обработанных оценок импульсной характеристики канала и фильтровать настоящую оценку импульсной характеристики канала, основываясь на множестве обработанных оценок импульсной характеристики канала. Множество обработанных оценок импульсной характеристики канала может включать в себя обработанные оценки импульсной характеристики канала из прошлых OFDM символов, а также обработанные оценки импульсной характеристики канала из символов, возникающих после того, как текущий символ уже обработан. Таким образом, временной фильтр 860 может конфигурироваться, чтобы выполнять причинную фильтрацию или непричинную фильтрацию импульсной характеристики канала.
Выход временного фильтра 860 соединяется с фазовращателем 870, который конфигурируется, чтобы вращать фазы отметок импульсной характеристики так, чтобы результирующая окончательная оценка частотного отклика канала соответствовала поддиапазонам данных, которые должны обрабатываться. В OFDM системе, имеющей периодический контрольный сигнал и поддиапазоны данных, где разнесение поддиапазонов между наборами поддиапазонов является фиксированным, отметки импульсной характеристики канала могут вращаться на известное значение, так чтобы результирующий частотный отклик совпадал с поддиапазонами данных.
Выход фазовращателя 870 соединяется с БПФ модулем 880, который конфигурируется, чтобы преобразовывать импульсную характеристику канала в окончательную оценку частотного отклика канала. БПФ модуль 880 может конфигурироваться, чтобы иметь размер, равный числу контрольных поддиапазонов. Таким образом, в вышеописанном примере БПФ модуль 880 может конфигурироваться, чтобы выполнять БПФ на 512 точках. Выход БПФ модуля 880 представляет окончательную оценку частотного отклика канала, которая определяется, частично основываясь на режиме. Окончательная оценка частотного отклика канала передается в демодулятор 810 для использования в демодуляции поддиапазонов данных.
Приемник 800 также может конфигурироваться, чтобы одновременно обрабатывать множество наборов поддиапазонов, каждый из которых может конфигурироваться, чтобы функционировать в любом из множества режимов. В таком варианте осуществления приемник 800 может выполнять обработку, основанную на параллельном режиме, на одной и той же начальной оценке импульсной характеристики канала, чтобы одновременно генерировать множество окончательных оценок частотного отклика канала.
Участок приемника 800, выполняющий обработку 895 канала, основанную на режиме, может дублироваться многократно, чтобы позволить приемнику 800 одновременно генерировать множество окончательных оценок частотного отклика канала. Число участков 895 обработки канала, основанной на режиме, может быть равно суммарному числу возможных наборов поддиапазонов, которые могут быть распределены для передачи данных. Таким образом, для OFDM системы, имеющей Q наборов поддиапазонов, один из которых выделен контрольным сигналам, приемник 800 может конфигурироваться с Q-l участками 895 обработки канала, чтобы одновременно генерировать вплоть до Q-1 оценок частотного отклика канала.
Вариант осуществления приемника 800 включает в себя конкретную компоновку модулей. Однако многие модули могут быть заменены подобными или функционально эквивалентными модулями. Дополнительно, порядок положений модулей может быть модифицирован.
Преобразования описаны как выполняемые БПФ или IFFT модулями. Однако исполнение БПФ не требуется, и преобразование может быть выполнено с помощью ПБФ, дискретного преобразования Фурье (DFT, ДПФ), преобразования Адамара и подобным или другим средством для преобразования временных выборок в частотное представление. Аналогично IFFT может быть выполнено посредством обратного дискретного преобразования, обратного преобразования Адамара и подобным или любым подходящим средством для преобразования представления в частотной области в представление во временной области. Таким образом, IFFT модуль 830 может быть любым средством для генерации импульсной характеристики канала. Аналогично БПФ модуль 880 может быть любым средством для генерации окончательной оценки частотного отклика канала.
Аналогично модуль 820 извлечения контрольного сигнала может быть выполнен посредством фильтра, дискретизатора, модуля прореживания и подобным или любым другим средством для извлечения выборок контрольного сигнала. Дескремблер 824 может быть выполнен посредством любой комбинации элементов или устройства, конфигурированного для выполнения дополняющего компонента процесса скремблирования, выполняемого на передатчике. Как таковой дескремблер 824 может быть выполнен как любое подходящее средство для дескремблирования контрольных сигналов.
Модуль 840 усечения также может быть выполнен с использованием множества разнообразных модулей. Например, модуль 840 усечения может включать в себя модуль прореживания, дискретизатор, память, буфер, FIFO (“первым пришел – первым обслужен”) и т.п. или любое другое средство для усечения отметок импульсной характеристики канала.
Модуль 850 порога может быть выполнен с использованием множества разнообразных модулей. Например, модуль 850 порога может включать в себя вычитающее устройство, аккумулятор с удалением, ЦАП (DAC цифроаналоговый преобразователь) и т.п. или любое другое средство для выбора порога отметок импульсной характеристики канала.
Временной фильтр 860 может быть FIR, HR, фильтром Кальмана, аналоговым фильтром, причинным фильтром, непричинным фильтром и т.п. или любым другим средством для фильтрации импульсной характеристики канала. Фазовращатель 870 может включать в себя комплексный умножитель, CORDIC и т.п. или любое другое средство чередования выборок.
Дополнительно положение и порядок разнообразной обработки, зависящей от режима, может быть модифицирован, и один или несколько модулей обработки, зависящей от режима, могут быть опущены. Например, некоторые модули показаны как функционирующие во временной области, но также могут быть выполнены в частотной области. Дополнительно, порядок некоторых модулей может быть изменен. Например, порядок модулей порога и усечения, 840 и 850, может быть изменен. Некоторые варианты осуществления приемника 800 могут не выполнять всю обработку, показанную на фиг.8. Например, может быть опущен любой из модулей усечения или выбора порога, 840 или 850. Временной фильтр 860 может быть опущен. Приемник 800 может не выполнять множественную одновременную оценку канала, зависящую от режима, но может ограничиваться генерацией оценки одного канала или может последовательно генерировать множественные оценки канала.
Фиг.9 изображает упрощенную функциональную блок схему процесса оптимизированного оценивания канала, упоминаемую как способ. Процесс 900 может быть выполнен, например, посредством приемника фиг.8 или участков приемника точки доступа или терминала системы, показанной на фиг.7.
Процесс 900 начинается в блоке 902, где приемник дискретизирует принятый OFDM символ. Приемник переходит к блоку 910 и преобразует выборки OFDM символа в множество поддиапазонов в частотной области. Приемник может конфигурироваться, чтобы выполнять операцию БПФ на выборках, чтобы генерировать отклик в частотной области. Как описано ранее, OFDM символ может включать в себя множество контрольных поддиапазонов в наборе поддиапазонов в пределах суммарного числа поддиапазонов.
Приемник переходит к блоку 920 и выделяет контрольные поддиапазоны. В одном варианте осуществления приемник может конфигурироваться, чтобы выделять контрольные поддиапазоны посредством определения того, какие из поддиапазонов присвоены контрольным каналам и посредством сохранения в памяти БПФ значений, соответствующих этим поддиапазонам.
Приемник переходит к блоку 930, чтобы дескремблировать каждый из контрольных поддиапазонов. Контрольные поддиапазоны могут скремблироваться на передатчике согласно предопределенному алгоритму, и приемник может дескремблировать контрольные поддиапазоны посредством выполнения дополняющего компонента алгоритма скремблирования.
Дескремблированные выборки в частотной области представляют начальную оценку частотного отклика канала, приемник переходит к блоку 940 и выполняет операцию IFFT на начальной оценке частотного отклика канала, чтобы генерировать импульсную характеристику канала.
Приемник может выполнять основанную на режиме обработку на начальной оценке частотного отклика канала или импульсной характеристике канала, хотя обработка во временной области может быть проще для выполнения. Приемник может использовать такую же импульсную характеристику канала для генерации множественных окончательных оценок частотного отклика канала, основанных на режиме, где приемник одновременно поддерживает многочисленные режимы в одном и том же OFDM символе.
Приемник переходит к блоку 950 и выполняет зависящее от режима усечение импульсной характеристики канала. Приемник может выполнять усечение импульсной характеристики канала до некоторой длины, которая короче, чем длина, заданная числом контрольных поддиапазонов. Приемник может сохранять в памяти длину импульсной характеристики, соответствующую некоторому разбросу задержки для каждого режима, и может искать длину импульсной характеристики, соответствующую присвоенному или переданному режиму. По меньшей мере, два режима имеют отличные длины импульсной характеристики, так что длина импульсной характеристики варьируется в зависимости от режима.
Приемник выполняет усечение импульсной характеристики путем установки на ноль тех отметок, которые больше длины импульсной характеристики. То есть те отметки, которые представляют самые длинные разбросы задержки, отсекаются от импульсной характеристики канала.
Приемник переходит к блоку 960 и выполняет зависящий от режима выбор порога усеченной импульсной характеристики канала. Приемник может сохранять в памяти одно или несколько пороговых значений, где каждое пороговое значение соответствует одному или нескольким режимам. Приемник ищет ассоциированное пороговое значение и определяет или генерирует порог сравнения, основанный, по меньшей мере частично, на пороговом значении.
Приемник сравнивает каждое из значений отметок из усеченной импульсной характеристики канала с порогом сравнения. Если значение отметки больше, чем порог сравнения, то приемник выполняет модификацию этого значения отметки. Если значение отметки или значение, генерированное посредством значения отметки, меньше, чем порог сравнения, то приемник устанавливает это значение отметки на ноль или некоторое несущественное значение. Значение является несущественным значением, если не вносит значительный вклад в импульсную характеристику канала или в соответствующую оценку частотного отклика канала.
В одном варианте осуществления зависящее от режима пороговое значение является относительным значением. Например, приемник может конфигурироваться, чтобы определять усредненное значение энергии импульсной характеристики канала. Зависящее от режима пороговое значение может быть дробью. Приемник может масштабировать усредненное значение энергии зависящим от режима пороговым значением, чтобы генерировать порог сравнения. Приемник устанавливает на ноль отметки, имеющие значение энергии отметки меньше, чем порог сравнения.
Приемник переходит к блоку 970 и выполняет временную фильтрацию импульсной характеристики канала, которая была усечена и подвергнута выбору порога. Временной фильтр может использовать значения импульсной характеристики канала, которые охватывают многочисленные символы.
После фильтрации приемник генерирует зависящую от режима импульсную характеристику канала. Приемник может генерировать окончательную оценку частотного отклика канала на поддиапазонах, соответствующих поддиапазонам данных. Приемник переходит к блоку 980 и выполняет чередование фаз значений отметок. Приемник выполняет чередование фаз значений отметок, потому что импульсная характеристика канала была генерирована из выборок контрольных поддиапазонов. Контрольные поддиапазоны в пределах OFDM символа отличаются от поддиапазонов данных, но обычно смещаются известной или фиксированной частотой, такой как фиксированное число поддиапазонов. Таким образом, посредством чередования фаз значений отметок импульсной характеристики канала приемник может производить оценку частотного отклика канала, которая совпадает с поддиапазонами данных. Приемник переходит к блоку 990 и генерирует окончательную оценку частотного отклика канала путем выполнения БПФ на импульсной характеристике канала, подвергнутой усечению, выбору порога, временной фильтрации и чередованию фаз.
Описанные здесь методы оценивания канала могут быть выполнены различными средствами. Например, эти методы могут быть выполнены в аппаратных средствах, в программном обеспечении или их комбинации. Для аппаратного исполнения процессоры, используемые для оценивания канала, могут быть выполнены в пределах одной или нескольких специализированных интегральных схем (ASIC), цифровых процессоров обработки сигналов (DSP), устройств цифровой обработки сигналов (DSPD), программируемых логических устройств (PLD, ПЛУ), программируемых вентильных матриц (FPGA), процессоров, контроллеров, микроконтроллеров, микропроцессоров, других электронных модулей, разработанных для выполнения описанных здесь функций или их комбинаций.
Для программного исполнения методы оценивания канала могут быть выполнены с модулями (например, процедуры, функции и т.д.), которые выполняют описанные здесь функции. Коды программного обеспечения могут сохраняться в запоминающем устройстве (например, запоминающие устройства 732 и 772 на фиг.7) и выполняться процессором (например, процессоры 730 и 770). Запоминающее устройство может быть выполнено внутри процессора или снаружи процессора, в случае чего оно может соединяться с процессором через средство, такое, как известно в уровне техники.
Различные этапы или действия в способе или процессе могут быть выполнены в показанном порядке или могут быть выполнены в другом порядке. Дополнительно, к указанным процессам или способам может быть добавлено один или больше этапов процесса или способа. Дополнительный этап, блок или действие могут быть добавлены в начале, в конце или между существующими элементами способов или процессов.
Связь или соединение необязательно должны быть прямым соединением. Различные модули могут соединяться друг к другу через прямое соединение, прямую связь или через косвенную связь, где для соединения соответствующих модулей могут быть использованы один или несколько промежуточных элементов.
Заголовки включены здесь для ссылки и в целях локализации определенных разделов. Эти заголовки не предназначены, чтобы ограничивать рамки концепции, описанной под ними, и эти концепции могут иметь применение в других разделах по всему описанию.
Предыдущее описание раскрытых вариантов осуществления изобретения представлено, чтобы позволить специалистам реализовать или использовать настоящее изобретение. Различные модификации к этим вариантам осуществления могут быть очевидны специалистам, и заданные здесь основополагающие принципы могут применяться к другим вариантам осуществления, без отклонения от сущности и не выходя за рамки изобретения. Таким образом, настоящее изобретение не ограничивается раскрытыми здесь вариантами осуществления, но соответствует более широким рамкам, согласующимся с принципами и признаками новизны, описанными здесь.
Формула изобретения
1. Способ оценки, по меньшей мере, одного частотного отклика для радиоканала в системе беспроводной связи с множественным доступом, содержащий: получение начальной оценки частотного отклика для первого набора Р равномерно разнесенных поддиапазонов, основываясь на оценках коэффициента усиления канала для второго набора неравномерно разнесенных поддиапазонов, где Р представляет собой целое число больше единицы и является двойкой в некоторой степени, и в котором первый набор включает в себя, по меньшей мере, один поддиапазон, не входящий в состав второго набора; выведение оценки импульсной характеристики канала во временной области, основываясь на начальной оценке частотного отклика; и выведение окончательной оценки частотного отклика для каждого режима в пределах каждого символа радиоканала, основываясь на оценке импульсной характеристики канала.
2. Способ по п.1, в котором режим содержит тип модуляции.
3. Способ по п.1, в котором режим содержит частоту кода.
4. Способ по п.1, в котором режим содержит слой модуляции.
5. Способ по п.2, в котором окончательная оценка частотного отклика содержит оценку частотного отклика базового слоя и оценку частотного отклика слоя увеличения для многослойной схемы модуляции.
6. Способ оценки канала в системе связи с мультиплексированием с ортогональным частотным разделением сигналов (OFDM), содержащий: определение импульсной характеристики канала, имеющей множество отметок, причем импульсная характеристика канала основана частично на множестве контрольных сигналов из принятого OFDM символа; обработку множества отметок в импульсной характеристике канала, основываясь на режиме данных в пределах OFDM символа для генерации множества обработанных отметок; и генерацию оценки частотного отклика канала, основываясь на множестве обработанных отметок.
7. Способ по п.6, который также содержит: дискретизацию принятого символа; генерацию представления в частотной области из выборок; и выделение множества контрольных сигналов из представления в частотной области.
8. Способ по п.6, в котором обработка множества отметок в импульсной характеристике канала содержит обработку множества отметок, с использованием порогового значения, основываясь на режиме данных в пределах OFDM символа.
9. Способ по п.8, в котором обработка множества отметок содержит: генерацию порога сравнения, основываясь на пороговом значении; сравнение значения, генерированного из каждого из множества отметок, с порогом сравнения; и установку на некоторое несущественное значение тех отметок, для которых значение, генерированное из отметок, меньше порога сравнения.
10. Способ по п.6, в котором обработка множества отметок в импульсной характеристике канала содержит обработку множества отметок, с использованием длины усечения, определяемой, основываясь на режиме данных в пределах OFDM символа.
11. Способ по п.6, в котором обработка множества отметок в импульсной характеристике канала содержит: усечение импульсной характеристики канала до некоторой длины, основываясь на режиме данных, для генерации усеченной импульсной характеристики канала; и выбор порога усеченной импульсной характеристики канала, основываясь на режиме данных.
12. Способ по п.6, который также содержит фильтрацию множества обработанных отметок, и в котором оценка частотного отклика канала генерируется, основываясь на отфильтрованном множестве обработанных отметок.
13. Способ по п.6, в котором режим данных содержит, по меньшей мере, один параметр из следующих: тип кодирования, частота кодирования, тип модуляции или их комбинация.
14. Способ по п.6, в котором генерация оценки частотного отклика канала содержит: чередование фаз множества обработанных отметок для генерации множества отметок с повернутой фазой; и преобразование множества отметок с чередованной фазой в окончательную оценку частотного отклика канала на множестве частот поддиапазона данных.
15. Устройство для оценки канала в системе связи с мультиплексированием с ортогональным частотным разделением сигналов (OFDM), содержащее: модуль преобразования, сконфигурированный для генерации импульсной характеристики канала, основываясь на OFDM символе, причем импульсная характеристика канала включает в себя множество отметок; зависящий от режима участок обработки, соединенный с модулем преобразования и сконфигурированный для обработки множества отметок, основываясь на режиме принятого поддиапазона данных, предназначенный для генерации обработанной импульсной характеристики канала; и модуль преобразования частоты, соединенный с зависящим от режима участком обработки, сконфигурированный для преобразования обработанной импульсной характеристики канала в окончательную оценку частотного отклика канала.
16. Устройство по п.15, в котором зависящий от режима участок обработки содержит модуль усечения, сконфигурированный для усечения импульсной характеристики канала до некоторой длины, зависящей от режима.
17. Устройство по п.16, в котором модуль усечения конфигурируется для усечения импульсной характеристики канала посредством установки на ноль некоторого числа отметок, соответствующих задержке, большей предопределенного разброса задержки канала, зависящего от режима.
18. Устройство по п.15, в котором зависящий от режима участок обработки содержит модуль усечения, сконфигурированный для выбора порога множества отметок импульсной характеристики канала, основываясь на пороговом значении, ассоциированном с режимом.
19. Устройство по п.18, в котором модуль усечения сконфигурирован для определения усредненной энергии канала множества отметок, и также сконфигурирован для установления несущественными значений тех отметок, значение энергии которых меньше некоторой доли усредненной энергии канала, причем доля определяется пороговым значением, зависящим от режима.
20. Устройство для оценки канала в системе связи с мультиплексированием с ортогональным частотным разделением сигналов (OFDM), содержащее: средство для определения импульсной характеристики канала, имеющей множество отметок, причем импульсная характеристика канала основана частично на множестве контрольных сигналов из принятого OFDM символа; средство для обработки множества отметок в импульсной характеристике канала, основываясь на режиме данных в пределах OFDM символа для генерации множества обработанных отметок; и средство для генерации оценки частотного отклика канала, основываясь на множестве обработанных отметок.
21. Устройство по п.20, в котором средство для обработки множества отметок содержит средство для усечения множества отметок до предопределенной длины, основываясь на режиме данных.
22. Устройство по п.20, в котором средство для обработки множества отметок содержит средство для выбора порога множества отметок, основываясь, по меньшей мере, частично на некотором пороговом значении, зависящем от режима данных.
23. Устройство по п.20, которое также содержит: средство для чередования фаз множества обработанных отметок для генерации множества отметок с повернутой фазой; и при этом средство для генерации оценки частотного отклика канала содержит средство для преобразования частоты множества отметок с чередованной фазой.
24. Считываемый компьютером носитель, закодированный компьютерной программой, сконфигурированный, чтобы управлять процессором для выполнения этапов, содержащих: определение импульсной характеристики канала, имеющей множество отметок, причем импульсная характеристика канала основана частично на множестве контрольных сигналов из принятого OFDM символа; обработку множества отметок в импульсной характеристике канала, основываясь на режиме данных в пределах OFDM символа для генерации множества обработанных отметок; и генерацию оценки частотного отклика канала, основываясь на множестве обработанных отметок.
25. Считываемый компьютером носитель по п.24, также сконфигурированный для управления процессором для выполнения этапов, содержащих: дискретизацию принятого OFDM символа; генерацию представления в частотной области из выборок; и выделение множества контрольных сигналов из представления в частотной области.
26. Приемник с мультиплексированием с ортогональным частотным разделением сигналов (OFDM), содержащий: аналогово-цифровой преобразователь (ADC, АЦП), сконфигурированный для дискретизации принятого OFDM символа и для генерации множества выборок; модуль преобразования, сконфигурированный для преобразования множества выборок во множество поддиапазонов; модуль выделения контрольного сигнала, сконфигурированный для выделения множества контрольных поддиапазонов из множества поддиапазонов; зависящий от режима участок обработки, сконфигурированный для обработки множества поддиапазонов, основываясь на режиме принятого поддиапазона данных, предназначенный для генерации обработанной импульсной характеристики канала; модуль преобразования частоты, соединенный к зависящему от режима участку обработки, сконфигурированный для преобразования обработанной импульсной характеристики канала в окончательную оценку частотного отклика канала; и демодулятор, сконфигурированный для демодуляции принятого поддиапазона данных, основываясь на окончательной оценке частотного отклика канала.
РИСУНКИ
,>
).> |
|