|
|
(21), (22) Заявка: 2006118366/13, 09.12.2004
(24) Дата начала отсчета срока действия патента:
09.12.2004
(30) Конвенционный приоритет:
11.12.2003 US 60/528,618 18.05.2004 US 60/572,209
(43) Дата публикации заявки: 20.01.2008
(46) Опубликовано: 10.05.2009
(56) Список документов, цитированных в отчете о поиске:
WO 9945137 А, 10.09.1999. TW 561261 В, 11.11.2003. GB 2345754 А, 19.07.2000. JP 5000100 А, 08.01.1993. SU 1337411 А1, 15.09.1987.
(85) Дата перевода заявки PCT на национальную фазу:
11.07.2006
(86) Заявка PCT:
US 2004/041231 20041209
(87) Публикация PCT:
WO 2005/059164 20050630
Адрес для переписки:
190068, Санкт-Петербург, ул. Садовая, 51, офис 303, ООО “ПАТЕНТИКА”, пат.пов. М.И.Ниловой
|
(72) Автор(ы):
БРЭДФОРД Патрисия Анн (US), ПЕТЕРСЕН Петер Джеймс (US)
(73) Патентообладатель(и):
ВАЙЕТ ХОЛДИНГЗ КОРПОРЭЙШН (US)
|
(54) СТАНДАРТИЗОВАННЫЕ ТЕСТЫ НА ЧУВСТВИТЕЛЬНОСТЬ ДЛЯ АЭРОБНЫХ ПАТОГЕНОВ
(57) Реферат:
Изобретение относится к области микробиологии, и в частности – к составам для определения чувствительности аэробных патогенов к антибиотикам. Состав среды по изобретению содержит питательную среду, подходящую для роста испытуемого аэробного патогена, антибиотик, представляющий собой 7,9-замещенный тетрациклин, адъювант, такой как цистеин, тиогликолат, аскорбиновая кислота, пируват, каталаза, и агенты, восстанавливающие кислород, выделенные из цитоплазматических мембран микроорганизмов. Количество вводимого в состав среды адъюванта колеблется от 0,0005% до 5,0% мас./об. В варианте состава среды количество адъюванта колеблется от 0,5 до 10,05%. Введение адъюванта в составы сред для определения чувствительности аэробных патогенов к антибиотикам стабилизирует среду для теста и исключает расхождения в анализе чувствительности при анализе с применением антибиотиков тетрациклинового семейства. 2 н. и 23 з.п. ф-лы, 4 ил., 9 табл.
ОБЛАСТЬ ТЕХНИКИ
Настоящее изобретение относится к области микробиологии, и в частности – к составам и способам для определения чувствительности аэробных патогенов к антибиотикам. Составы и способы согласно настоящему изобретению особенно полезны для анализа (тестирования) чувствительности, включая анализ чувствительности к антибиотикам семейства тетрациклинов, в особенности – анализа чувствительности с участием 7- и 9-замещенных тетрациклинов, а наиболее конкретно – тигециклина (tigecycline, TGC).
ПРЕДПОСЫЛКИ СОЗДАНИЯ ИЗОБРЕТЕНИЯ
В процессе разработки антибиотика должны быть установлены диапазоны для контроля качества (КК) теста на чувствительность (Национальный комитет по клиническим лабораторным стандартам США (NCCLS), 2003. Methods for Dilution Antimicrobial Susceptibility Tests for Bacteria That Grow Aerobically (Методы разведений для анализа антимикробной чувствительности бактерий, растущих в аэробных условиях); Утвержденные стандарты: М7-А6, 6-е издание, том 23, Национальный Комитет по клиническим и лабораторным стандартам США (NCCLS, Уэйн, Пенсильвания), Национальный Комитет по клиническим и лабораторным стандартам США, 2003. Methods for Dilution Antimicrobial Disk Susceptibility Tests (Методы разведений для дисковых тестов на антимикробную чувствительность), Утвержденные стандарты: М2-А8, 8-е изд., том 20, Национальный Комитет по клиническим и лабораторным стандартам США (NCCLS, Уэйн, Пенсильвания)), которые в дальнейшем будут применять в клинических микробиологических лабораториях для определения достоверности результатов теста пациента. Диапазоны для контроля качества определяют и затем задают для каждого антибиотика, используя при этом отобранную панель организмов, рекомендованных Национальным комитетом по клиническим лабораторным стандартам США (NCCLS).
Диапазоны для контроля качества задают в ходе процесса, известного как исследования согласно М23, которые подразумевают проведение тестов во многих лабораториях, с использованием разных партий среды и сред разных производителей, а также проведение тестов в разные дни (Национальный Комитет по клиническим и лабораторным стандартам США, 2003. Development of In Vitro Susceptibility Testing Criteria and Quality Control Parameters (Разработка критериев для анализа чувствительности in vitro и параметров контроля качества); Утвержденное руководство: М23-А2, 2-е изд., том. 18. Национальный Комитет по клиническим и лабораторным стандартам США (NCCLS, Уэйн, Пенсильвания))
Тигециклин представляет собой глициклиновый антибиотик, который в настоящее время находится в процессе клинической разработки. Тигециклин – антибиотик широкого спектра действия, обладающий одинаковой активностью в отношении чувствительных организмов и организмов с множественной лекарственной устойчивостью (Sum, P.E. and P. Petersen, Bioorganic and Medicinal Chemistry Letters 9, 1459-1462, 1999). Как антибактериальный препарат широкого спектра тигециклин обладает высокой активностью в отношении многих грамположительных и грамотрицательных патогенов, имеющих клиническое значение, включая такие устойчивые патогенны, как Метицилин-устойчивый золотистый стафилококк (MRSA), энтерококки, устойчивые к ванкомицину (VRE), PRSP (Streptococcus pneumoniae, устойчивые к пенициллину) и кишечные бактерии, продуцирующие b-лактамазы расширенного спектра (ESBL) (Biedenbach D.J., M.L.Beach and R.N.Jones, Diagnostic Microbiology and Infectious Disease 40:173-177, 2001; Cercenado, E-, S.Cercenado, J.A.Gomez, and E.Bouza, J.Antimicrob. Chemother. 52:138-139, 2003; Milatovic, D., F.-J.Schmitz, J.Verhoef, and A.C.Fluit, Antimicrob. Agents Chemother. 47:400-404, 2003, а также Petersen, P.J., N.V.Jacobus, W.J.Weiss, P.E.Sum, and R.T.Testa, Antimicrob. Agents Chemother. 43:738-744, 1999). В ходе исследований, направленных на получение сопоставимых диапазонов контроля качества для организмов из Американской коллекции типовых культур (АТСС, American Type Culture Collection), используемых для контроля качества, при тестировании в отношении тигециклина, получали несопоставимые значения МИК (минимальная ингибирующая концентрация, также – минимальная ингибирующая концентрация).
В настоящем изобретении представлены новые способы и составы, обеспечивающие стабильные, сопоставимые значения результатов теста на чувствительность для организмов из АТСС, применяемых для контроля качества.
Эти и другие способы реализации и особенности данного изобретения станут ясны из нижеследующих краткого изложения идеи и описания изобретения, а также из формулы изобретения.
КРАТКОЕ ИЗЛОЖЕНИЕ ИДЕИ ИЗОБРЕТЕНИЯ
В процессе разработки тигециклина было проведено насколько исследований с целью установить диапазоны КК для применения в анализе Минимальной Ингибирующей Концентрации (МИК). В ходе первого исследования был установлен предварительный диапазон КК для каждого из рекомендуемых для контроля качества организмов, которые в течение многих лет применялись на доклинических стадиях разработки. Когда разработка тигециклина достигла фазы 2 клинических исследований, провели хорошо контролируемое исследование согласно документу NCCLS M23. Результаты этого второго исследования (первого исследования по M23) дали диапазоны КК, которые были на одно – два разведения ниже диапазонов, установленных в течение первых пяти лет доклинических исследований. После первого исследования по M23 были приняты уже установленные диапазоны КК. Однако экспериментальные данные, полученные как в исследовательской лаборатории, так и в клинических микробиологических лабораториях, проводящих микробиологические анализы для клинических испытаний, имели отличия от диапазона контроля качества: тигециклин часто выходил за пределы диапазона из-за слишком высоких значений МИК. Впоследствии было проведено второе исследование по M23. Результаты второго исследования по M23 сравнивали с пределами КК, установленными в исследовательской лаборатории, и экспериментальными данными клинических лабораторий. Эти пределы КК стали принятыми значениями для исследователей, работающих с тигециклином. Далее, некоторые лаборатории отмечали, что Минимальные Ингибирующие Концентрации при проведении тестов на организмах для КК все равно варьировались и давали низкие, выходящие за границы диапазона значения. Эти значения соответствовали нижним диапазонам, установленным первым исследованием по M23.
Также было замечено несоответствие между значениями МИК тигециклина, определенными на свежем бульоне Мюллера-Хинтон и значениями МИК, определенными на старых бульонах Мюллера-Хинтон. При проведении тестов по методу микроразбавлений в бульоне для определения МИК в свежем бульоне Мюллера-Хинтон (<1 недели) результаты соответствовали более низким диапазонам, обнаруженным в первом описанном исследовании по M23. Предпочтительным способом реализации данного изобретения является тот, при котором анализ тигециклина в тестах метода микроразведений в бульоне проводят на свежеприготовленной среде, с момента приготовления которой прошло не более 12 часов, и в отсутствие адъювантов при формировании титрационного планшета. Однако, если бульон Мюллера-Хинтон был старым (>1 недели), значения МИК коррелировали с более высокими результатами второго описанного исследования по М23. При использовании заранее приготовленной среды (всегда >1 недели с момента приготовления) не наблюдали вариабельности результатов, они были аналогичны второму исследованию по М23.
Соответственно, в данной области существует потребность в эффективных средствах, обеспечивающих стандартизованные результаты тестов на чувствительность для организмов КК из Американской Коллекции Типовых Культур при анализе в отношении тигециклина.
Настоящее изобретение обеспечивает новые способы и составы, обеспечивающие стандартизованные значения МИК для тигециклина при использовании среды на основе бульона Мюллера-Хинтон II (МНВ).
Тигециклин представляет собой глицилциклин, относится к семейству тетрациклинов и несет замещения в позициях 7 и 9. Далее тигециклин будет обозначаться как GAR-936.
Изобретение описывает новые способы и составы, при помощи которых можно исследовать чувствительность бактерий к антибиотикам. Эти способы и составы повышают эффективность антибиотиков, особенно антибиотиков тетрациклинового ряда.
Пытаясь ограничить вариабельность значений МИК антибиотиков, изобретатели неожиданно и к своему удивлению обнаружили, что добавление адъюванта в среду позволяет стандартизировать определяемые значения МИК. Изобретатели также обнаружили, к своему удивлению, что добавление адъюванта в среду подавляло образование «раннего» пика и делало возможной стандартизацию определяемых МИК.
В частности, для ограничения вариабельности МИК изобретатели также обнаружили, что добавление адъюванта, полученного из мембран цитоплазмы таких микроорганизмов, как Escherichia coli (E.coli), который действует как утилизатор кислорода или восстанавливающий агент, делает возможной стандартизацию полученных МИК.
Один из способов настоящего изобретения обеспечивает состав среды, который обеспечивает стандартизированные, сопоставимые значения результатов теста на чувствительность для микроорганизмов для контроля качества из Американской Коллекции Типовых Культур.
Другой способ реализации настоящего изобретения обеспечивает состав среды, который обеспечивает стандартизированные, сопоставимые значения результатов теста на чувствительность для микроорганизмов КК из Американской Коллекции Типовых Культур при тестировании в отношении тетрациклинов.
Дополнительный способ реализации настоящего изобретения обеспечивает состав среды, который обеспечивает стандартизированные, сопоставимые значения результатов теста на чувствительность для микроорганизмов КК из Американской Коллекции Типовых Культур при тестировании в отношении 7- и 9-замещенных тетрациклинов.
Другой способ реализации настоящего изобретения обеспечивает состав среды, который обеспечивает стандартизированные, сопоставимые значения результатов теста на чувствительность для микроорганизмов КК из Американской Коллекции Типовых Культур при тестировании в отношении тигециклина.
Способы и соответствующие составы согласно настоящему изобретению обеспечивают, в общем смысле, стандартизацию результатов тестов (проб) на чувствительность для тетрациклинов, в частности – для тетрациклинов, несущих замещение в положениях 7 и 9, а особенно – для тигециклина. Были обнаружены новые составы, содержащие тигециклин (TGC). Настоящие составы обеспечивают стандартизированные результаты тестов на чувствительность для организмов КК из Американской Коллекции Типовых Культур при тестировании.
Предусмотрены составы, в которые в качестве компонентов входят тигециклин, питательная среда и адъювант. Настоящий состав обеспечивает стандартные результаты теста на чувствительность для организмов КК из Американской Коллекции Типовых Культур при тестировании.
Изобретение включает также набор для определения чувствительности микроорганизма, каковой набор содержит один или более антибиотиков в тесном контакте или близости со средой и адъювантом.
Определяли значения МИК для TGC в разных условиях методом микроразведений в бульоне, следуя процедурам NCCLS. Для выявления влияния различных условий бульон Мюллера-Хинтон хранили при 2°С, комнатной температуре, в анаэробных условиях и с добавлением Oxyrase®. Для подтверждения разницы минимальных ингибирующих концентраций, наблюдаемой для результатов микроразведений в бульоне для свежих и старых сред, использовали изучение кинетики в координатах время-уничтожение клеток.
При проведении тестов в свежеприготовленной среде TGC был на 2-3 разведения более активен в отношении эталонных штаммов по сравнению с тестами в коммерчески доступной готовой среде из порошка, которую хранили некоторое время (7 дней) (МИК 0.03-0.12 и 0.12-0.25 мкг/мл соответственно). «Старую» среду перед проведением тестов (проводят аналогично тестам со свежей средой) хранили в анаэробных условиях (МИК 0.03-0.12 мкг/мл). Добавление Oxyrase® приводило к получению значений МИК, аналогичных значениям, полученным в свежей среде (значения МИК 0.06-0.25 мкг/мл). Кинетика в координатах «время – уничтожение клеток» продемонстрировала существенную (>3 log10) разницу в жизнеспособном росте между результатами тестов с TGC на свежей и старой средах (ФИГ.1).
Раскрытое и описанное в настоящей заявке изобретение обеспечивает эти и другие способы реализации.
КРАТКОЕ ОПИСАНИЕ ЧЕРТЕЖЕЙ
Данный раздел представляет собой краткое описание чертежей, приведенных с целью проиллюстрировать изобретение, но не для того, чтобы его ограничить.
На фиг.1 показана антибактериальная активность тигециклина (Tigecycline, TGC) на свежих и старых бульонах Мюллера-Хинтон в отношении E.coli АТСС 25922.
На фиг.2 показан анализ (путем ЖХВД) добавления Oxyrase® к среде и подавление формирования «раннего» пика.
На фиг.3 показан анализ (путем ЖХВД) добавления Oxyrase® к свежей и старой среде и подавление формирования «раннего» пика.
На фиг.4 показан спектр протонного ядерного магнитного резонанса раннего пика.
ПОДРОБНОЕ ОПИСАНИЕ ИЗОБРЕТЕНИЯ
В нижеследующем описании использован ряд терминов, применяющихся в области фармацевтики и анализа чувствительности in vitro. Для того чтобы обеспечить ясное и единообразное понимание заявки и формулы, включая объем изобретения, в которых встретятся эти термины, ниже даны следующие определения.
«Адъювант» обозначает субстанцию, которая повышает эффективность медицинского лечения, а также субстанцию, которая может сама по себе обладать либо не обладать антимикробной активностью, но ее действие в комбинации с антибиотиком в достаточном количестве стабилизирует анализ чувствительности и улучшает его качество. Адъюванты включают субстанции, выбранные из группы цистеина, тиогликолата, аскорбиновой кислоты и каталазы. Описанные в настоящей заявке способы и составы включают также применение адъювантов, полученных из цитоплазматических мембран микроорганизмов, таких как Е.coli, которые действуют как стабилизирующие агенты. OXYRASE® – торговая марка цитоплазматических мембран микроорганизмов, таких как Е.coli, поставляемых на рынок компанией Oxyrase, Mansfield, ОН 44901 (Огайо, США), здесь и далее упоминается также как Oxyrase® или Oxyrase® Enzyme System (Ферментная система Oxyrase®). Oxyrase® также известна как биокаталитичекое вещество, восстанавливающее кислород. Кроме того, адъюванты, которые являются восстанавливающими кислород веществами, а также полученные из цитоплазматических мембран микроорганизмов, таких как E.coli, которые содержат фрагменты мембран, которые поглощают кислород, можно применять самостоятельно или в комбинации с другими адъювантами.
«Влияние (эффект) адъюванта» означает увеличение эффективности выбранного антибиотика в присутствии адъюванта. Этот эффект демонстрирует культивирование микроорганизмов, например, таких, как какой-либо инфекционный агент или клинический изолят, либо их жизнеспособные экстракты, которые способны к росту, in vitro в присутствии эффективных количеств одного или более антибиотиков с адъювантом или без них. Присутствие адъюванта повышает эффективность антибиотиков, конкретно – антибиотиков тетрациклинового семейства, и в частности 7- и 9-замещенных тетрациклинов и в особенности тигециклина. Рост бактерий можно описывать как качественными, так и количественными показателями. Примером качественного результата было бы простое указание на то, был рост или его не было, что можно установить визуально невооруженным глазом. Примером количественных результатов может быть сопоставление дней в культуре с показателем роста, принятым в данной области. Примеры показателей роста включают простые ранжированные символы (например, “-,.+-., 1+, 2+, 3+ и 4+”) и численные показатели (например, от 0 до 999), такие, как генерируемые системой культивирования ВАСТЕС 12В (Becton Dickinson, Cockeysville, Md., USA – шт.Мэриленд, США). Значимым аспектом эффекта адъюванта является то, что имеет место наблюдаемое изменение характеристик роста микроорганизма. Такое изменение обнаруживается в условиях теста на чувствительность согласно данному изобретению.
«Тест на чувствительность с адъювантом» обозначает, что с целью установить характер чувствительности микроорганизма к антибиотику в in vitro анализе применяют адъювант в комбинации с антибиотиком тетрациклинового ряда. В тесте на чувствительность с адъювантом образец, содержащий микроорганизм, например, гомогенную популяцию микроорганизмов или смесь типов/вариантов/изолятов и т.д. микроорганизмов, подвергают действию состава, содержащего антибиотик, адъювант и среду, и по жизнеспособности микроорганизмов в образце определяют чувствительность этого микроорганизма к указанному антибиотику. Тест на чувствительность с адъювантом представляет собой способ реализации способов согласно данному изобретению. Такой анализ чувствительности можно провести в стандартной твердой среде или в бульоне, включая среду, известную в данной области как агар Мюллера-Хинтон либо в другой эквивалентной среде. Такую культуральную среду необходимо дополнить подходящим антибиотиком (антибиотиками) и адъювантом в подходящих комбинациях и подходящих концентрациях, что будет обсуждаться ниже. Цель теста на чувствительность – определить антимикробную чувствительность к тетрациклинам, в частности – к 7- и 9-замещенным тетрациклинам и еще более конкретно – к тигециклину.
То, что микроорганизм является «чувствительным», означает, что антибиотик оказывает на него пагубное воздействие, ослабляя такой клинический изолят или инфекционный агент, делая его некомпетентным, неинфекционным или нежизнеспособным, как это понимают в данной области (Yao, J.D. С.et al., В: Murray, Р. R. el al., изд. Manual of Clinical Microbiology (Руководство по клинической микробиологии), ASM Press, Washington, D.C. (2003) pp.1039-1073).
Термин «Чувствительный» здесь синонимичен «чувствительности». Когда микроорганизм, такой как клинический изолят или инфекционный агент, определяют как «чувствительный» к данному антибиотику, говорят, что этот антибиотик обладает активностью в отношении (против) такого изолята или инфекционного агента.
Анализ чувствительности или тест на чувствительность обозначает in vitro анализ, посредством которого определяют чувствительность, как ее понимают в данной области, микроорганизма, такого как клинический изолят или инфекционный агент, к ряду антимикробных соединений, в частности – тетрациклинам, включая 7- и 9-замещенные тетрациклины и особенно – к тигециклину (Jorgensen, J. H. et al., В Murray, P. R et al., eds. Manual of Clinical Microbiology (Руководство по клинической микробиологии), ASM Press, Washington, D.C. (2003) pp.1102-1107; Jorgensen, J.H. et al., B: Murray, P.R. et al, eds. Manual of Clinical Microbiology (Руководство по клинической микробиологии), ASM Press, Washington, D.C. (2003) pp.1108-1127; Вашингтон, Колумбия, США)). Национальный комитет по клиническим лабораторным стандартам США (NCCLS), 2003. Methods for Dilution Antimicrobial Susceptibility Tests for Bacteria That Grow Aerobically (Методы разведении для анализа антимикробной чувствительности бактерий, растущих в аэробных условиях); Утвержденные стандарты: М7-А6, 6-е издание, том 23. Национальный Комитет по клиническим и лабораторным стандартам США (NCCLS, Уэйн, Пенсильвания), Национальный Комитет по клиническим и лабораторным стандартам США, 2003. Methods for Dilution Antimicrobial Disk Susceptibility Tests (Методы разведений для дисковых тестов на антимикробную чувствительность), Утвержденные стандарты: М2-А8, 8-е изд., том 20. Национальный Комитет по клиническим и лабораторным стандартам США (NCCLS, Уэйн, Пенсильвания). Цель описанного здесь анализа чувствительности состоит в более точном определении результатов теста на антимикробную чувствительность для антибиотиков тетрациклинового ряда, включая 7- и 9-замещенные тетрациклины и, в частности, для тигециклина.
Термин «антибиотик» обозначает любое известное в данной области соединение, которое оказывает пагубное действие на жизнеспособность, целостность, инфекционную способность или компетентность инфекционного агента, как это понимают в данной области (см: Yao, et al, В: Murray, P.R. et al., eds. Manual of Clinical Microbiology, ASM Press, Washington, D.C. (2003) pp.1039-1073 and Inderlied, C.B. et al, B:Murray, P.R. et al., eds. Manual of Clinical Microbiology, ASM Press, Washington, D.C. (2003) pp. 1149-1177 (Руководство по клинической микробиологии, Вашингтон, Колумбия, США), Kucers, A. et al., The Use of Antibiotics (Применение антибиотиков, 4-е дополненное издание) 4.sup.th ed. J.B. Lippincott Co. Philadelphia, Pa. (1987); и Lorian, V. ed. Antibiotics in Laboratory Medicine 2.sup.nd Edition, Williams &Wilkins, Baltimore, Md. (Антибиотики в лабораторной медицине, 2-е дополненное издание, Балтимор, Мериленд, США)). Важным классом антибиотиков являются, в частности, тетрациклины, включая 7- и 9-замещенные тетрациклины, конкретно – тигециклин. Термин «антибиотик» в данном описании синонимичен терминам «антимикробный препарат», «лекарство» и «лекарственное средство». Все антибиотики являются лекарственными средствами или лекарствами, но не все лекарственные средства или лекарства являются антибиотиками.
Термин «Тетрациклины» или, в частности, «антибиотики тетрациклинового семейства» обозначают здесь антибиотики, содержащие в качестве ядра гидронафтаценовую структуру (Yao, et al, В: Murray, P.R. et al., eds. Manual of Clinical Microbiology, ASM Press, Washington, D.C. (2003) pp.1051-1052 (Руководство по клинической микробиологии, Вашингтон, Колумбия, США) и Kucers, A. et al., The Use of Antibiotics (Применение антибиотиков, 4-е дополненное издание) 4.sup.th ed. J.В.Lippincott Co. Philadelphia, Pa. (1987) рр.979-1044), а в частности – 7- и 9-замещенные тетрациклины и глицилциклины. Примеры тетрациклинов, полезных для способов согласно данному изобретению, включают, без ограничения, тетрациклин (tetracycline), хлортетрациклин (chlortetracycline), окситетрациклин (oxytetracycline), диметилхлортетрациклин (dimethylchlortetracycline), демеклоциклин (demeclocycline), метациклин (methacycline), лимециклин (lymecycline), кломоциклин (clomocycline), доксициклин (doxycycline) и миноциклин (minocycline). Примеры глициклинов, полезных для методов данного изобретения, включают, без ограничения, N,N-диметилглициламидо 9-аминоминоциклин (DMG-Mino), N,N-диметилглициламидо 9-амино-6-деметил-6-деокситетрациклин (DMG-DMDOT) и тигециклин. Резонно ожидать, что тетрациклины и глицициклины, имеющие химическую структуру, гомологичную любому из названных выше тетрациклинов или глициклинов, также будут полезны в способах согласно настоящему изобретению.
Термин «клинический изолят» обозначает очищенный штамм или бактериальный агент, который вызывает инфекцию, причем такой изолят получают из организма пациента, инфицированного таким инфекционным агентом. От одного пациента можно получить один или более клинических изолятов, и, с другой стороны, один изолят может быть получен от разных пациентов, как это можно видеть во время внутрибольничных вспышек заболеваний (Pittet, D. et al., Archives of Internal Medicine 155:1177-1184 (1995)). Такие клинические изоляты обычно очищают, комбинируя обработку образца с культуральными методами. Эти клинические изоляты как таковые жизнеспособны, и, следовательно, их можно использовать для дальнейшего анализа и тестирования на предмет чувствительности к антибиотикам, а также в таких анализах in vitro, как тест на чувствительность. Процедуры для очистки таких клинических изолятов включают известные в данной области процедуры и методы, в частности описанные в Kent, Р.Т. et al., “Public Health Mycobacteriology: A Guide for the Level III Laboratory”, U.S. Department of Health and Human Service, Centers for Disease Control, Atlanta, Ga. (1985) pp.31-70 («Микобактериология в здравоохранении: Руководство для лабораторий III уровня» Министерство здравоохранения и социального обеспечения США, Джорджия), и для выделения микобактерий, или методы, принципы которых даны в Pfyffer, G.E. et al., B: Murray, P.R. et al., eds. Manual of Clinical Microbiology, ASM Press, Washington, D.C. (2003) pp.532-559)) и Brown, J.M. et al., In: Murray, P.R. et al., eds. Manual of Clinical Microbiology, ASM Press, Washington, D.C. (2003) pp.502-531)) для выделения Nocardia spp., и Funke, G. et al., B: Murray, P.R. et al., eds. Manual of Clinical Microbiology, ASM Press, Washington, D.C. (2003) pp.472-501)) – для выделения коринеформных грамположительных палочек.
Термин «инфекционный агент» обозначает инфекционный микроорганизм, в частности – инфекционную бактерию, как это понимают в данной области. Инфекционные агенты, представляющие особый интерес согласно способам данного изобретения, включают те агенты, которые вызывают заболевание (Isenberg, H.D. et al., В: Murray, P.R. et al., eds. Manual of Clinical Microbiology, ASM Press, Washington, D.C. 1995, pp. 5-18). 0 пациенте – человеке или животном, страдающем заболеванием, вызванным таким инфекционным агентом, говорят, что он «инфицирован» таким агентом. Инфекционный агент, который вызывает заболевание, называют «патогенным». Бактерии, которые в норме не патогенны и составляют часть нормальной бактериальной флоры пациента, называют «комменсалами». В определенных условиях, например у пациентов с нарушенным или ослабленным иммунитетом (например, если пациент инфицирован ВИЧ, или если у пациента СПИД-комплекс, или он перенес трансплантацию какого-либо органа), такие комменсальные микроорганизмы могут вызвать инфекцию. Пациент может быть инфицирован одним или более инфекционными агентами.
Минимальная ингибирующая концентрация (МИК, MIC) – это самая низкая концентрация антимикробного препарата, которая полностью подавляет (ингибирует) рост данного организма в лунках микротитрационного планшета, что определяют невооруженным глазом (Методы разведений для анализа антимикробной чувствительности бактерий, растущих в аэробных условиях); Утвержденные стандарты: М7-А6, 6-е издание, том 23. Национальный Комитет по клиническим и лабораторным стандартам США (NCCLS, Уэйн, Пенсильвания)
Подвергать образец, содержащий какой-либо микроорганизм, действию состава согласно данному изобретению означает смешивать микроорганизм и состав либо обеспечивать контакт между микроорганизмом и композицией каким-либо другим образом.
Следовательно, в самом общем способе реализации настоящее изобретение относится к способу исследования чувствительности микроорганизмов к антимикробным соединениям. В дополнительном способе реализации исследуемый организм представляет собой инфекционный агент или клинический изолят. В другом способе реализации микроорганизм, который предстоит тестировать, получают от пациента, который, как предполагают, инфицирован или находится в состоянии риска инфицирования нежелательной бактерией, либо от пациента установлено – инфицированного нежелательной бактерией. Тест на чувствительность согласно данному изобретению называется в данном описании «тест на чувствительность с адъювантом». Результаты такого анализа чувствительности характеризуют исследуемые микроорганизмы, присутствующие в образце, таком как инфекционный агент или клинический изолят, относительно описанного здесь эффекта адъюванта. Т.е. «тест на чувствительность с адъювантом» определяет, является ли микроорганизм(ы), присутствующий в образце, чувствительным к исследуемому антибиотику или антибиотикам. Предпочтительно, результатом теста на чувствительность с адъювантом согласно данному изобретению является выявление антибиотиков, в частности тетрациклинов, включая 7- и 9-замещенные тетрациклины, и тигециклин -тигециклин, к которым чувствительны присутствующие в образце микроорганизмы. Однако, также важно, что результаты теста на чувствительность согласно данному изобретению выявляют антибиотики, в частности, тетрациклины в комбинации с адъювантом, к которым присутствующие в образце микроорганизмы не чувствительны.
Настоящее изобретение относится далее к составу жидкой или твердой среды для стабилизации результатов теста на чувствительность организмов для контроля качества из АТСС. Было обнаружено, что добавление в среду адъюванта, полученного из цитоплазматических мембран микроорганизмов, таких как Е.coli, стабилизирует результаты теста на чувствительность организмов для контроля качества из АТСС. Хотя это не подкреплено теорией, применение восстанавливающих кислород препаратов в качестве адъювантов снижает содержание кислорода в среде и стабилизирует, в частности, результаты теста на чувствительность организмов для контроля качества из АТСС. В частности, добавление восстанавливающего кислород препарата подавляет формирование «раннего» пика, что показывает ЖХВД.
Состав среды включает питательную среду, адъювант и выбранный антибиотик. Адъювант может факультативно представлять собой восстанавливающий кислород препарат, включая Oxyrase®. Дополнительные адъюванты выбирают из группы цистеина, тиогликолата, аскорбиновой кислоты, пирувата и каталазы в диапазоне концентраций от примерно 0.0005% до примерно 5.0% (масса/объем состава среды [здесь и далее обозначается как мас./об.]), предпочтительно – в диапазоне концентраций от примерно 0.005% до примерно 0.5% (мас./об.), а наиболее предпочтительно – в концентрации примерно 0.5% (мас./об.).
Обнаружили, что включение адъюванта в качестве восстанавливающего кислород препарата, а в частности – таких восстанавливающих кислород препаратов, как препараты, полученные из цитоплазматических мембран микроорганизмов, таких как E.coli, делает возможной стандартизацию полученных в ходе теста на чувствительность результатов организмов для контроля качества из АТСС, при проведении теста в отношении, в частности, 7- и 9-замещенных тетрациклинов. Когда указанный адъювант получают из цитоплазматических мембран микроорганизмов, таких как Е.coli, а конкретно – представляет собой Oxyrase®, в диапазоне концентраций от примерно 0.5% до примерно 10.0% (объем/объем составу среды [здесь и далее обозначается как об./об.]), предпочтительно – от примерно 1.0% до примерно 4.0% (об./об.), а наиболее предпочтительно – в концентрации примерно 2.0% (об./об.).
Способ приготовления среды для теста на чувствительность состоит из следующих этапов:
а. Приготовление среды на основе бульона Мюллера-Хинтон II путем добавления 22 грамм порошковой среды к 1.0 литру дистиллированной воды.
b. Автоклавирование (121°С, 15 фунт/кв.дюйм,15 минут) и охлаждение среды.
с. Добавление Oxyrase® в концентрации вплоть до 10% конечного объема и выдерживание при 35-37°С в инкубаторе в течение 30 минут.
d. Добавление примерно 50 мкл [приготовленной среды] в каждую лунку 96-луночного микротитрационного планшета.
е. Взвешивание лекарственного средства и добавление к лекарственному средству бульона для доведения до концентрации примерно (обычно 128 мкг/мл).
f. Добавление 50 мкл лекарственного средства в первый ряд лунок титрационного планшета.
g. Разведение двукратными серийными разведениями поперек или вдоль планшета. h. Приготовление инокулята Prompt в концентрации 108 КОЕ/мл.
i. Разведение инокулята 1:100 в бульоне в концентрации 10 мкл в 9.9 мл (1:100) составляет 106 колониеобразующих единиц (КОЕ), образующих стандартизованный инокулят.
j. Добавление 50 мкл стандартизованного инокулята в лунки микротитрационного планшета.
к. Инкубирование планшетов при 35-37°С в течение 18-22 часов.
I. Определение МИК невооруженным глазом.
В качестве питательной среды в данном изобретении можно применять любой жидкий или твердый препарат, подходящий для проб на чувствительность.
Предпочтительно, описанная здесь питательная среда представляет собой среду, особенно подходящую для анализа чувствительности, включая анализ чувствительности антибиотиков тетрациклинового ряда и особенно 7- и 9-замещенных тетрациклинов, наиболее конкретно – тетрациклина.
Твердая среда обычно состоит из жидкой среды, которая была переведена в твердую форму (т.е. “желирована”) при помощи такого вещества, как агар или желатин. Примеры легкодоступных сред, подходящих для применения в стабилизации критических моментов для организмов для контроля качества из АТСС в настоящем изобретении, включают, без ограничения, среды Brain Heart Infusion, Brucella, CDC Anaerobe, Nutrient, Schaedler, Thioglycollate, HTM (Haemophilus Test Medium – среда для тестирования гемофил) или Trypticase Soy. (Руководство Difco Manual, 11-е изд., 1998. Difco Laboratories – подразделение компании Becton Dickinson Company Sparks, Мэриленд, США). Эти среды представлены как в форме бульона, так и в форме агара, и их можно дополнить кровью для выращивания требовательных к условиям питания организмов, требующих дополнительных питательных веществ.
Среду можно сделать анаэробной посредством применения ферментной системы Oxyrase®, поставляемой Oxyrase, Inc. (Менсфилд, Огайо, США). При этом “Oxyrase®. for Agar” (Oxyrase® для агара) – это добавка, представляющая собой фильтрованный фермент, которую используют для получения анаэробных условий в разнообразных бактериологических агарозных средах. Аналогично, “Oxyrase® for Broth”(Oxyrase® для бульона) – это добавка, представляющая собой фермент, которую используют для получения анаэробной среды в жидких бактериологических средах (бульонах). Оба эти вида среды коммерчески доступны в стерильной (ЕС) и нестерильной (ЕС/NS) формах.
Упомянутая выше ферментная система Oxyrase® состоит из ферментной системы, полученной из цитоплазматических мембран микроорганизмов, таких как Е. coli. Коммерчески доступные препараты состоят из буферной суспензии частиц мембраны размером 0.2 микрона или меньше. Данная ферментная система активна в широких диапазонах рН и температуры. Точное количество мембран, содержащих ферментные системы, необходимое для восстановления кислорода в среде, варьируется в зависимости от ряда параметров, включающих рН, температуру, виды и количества присутствующего субстрата, отношение площади поверхности к глубине контейнера и объем свободного пространства над средой в контейнере.
Предпочтительные ферментные системы Oxyrase®, применяемые в настоящем изобретении в качестве адъюванта, состоят из поглощающих кислород фрагментов мембраны, которые содержат систему транспорта электронов, которая в присутствии донора водорода восстанавливает кислород до воды. Эти поглощающие кислород фрагменты мембраны могут быть получены из цитоплазматических мембран бактерий и/или из мембран органелл-митохондрий большого числа отличных от бактерий и более высоко организованных организмов. Также в настоящем изобретении можно применять или добавлять другие биокаталитические восстанавливающие кислород вещества, такие как глюкозо-оксидаза, алкоголь оксидаза, каталаза и т.д., хотя обычно это менее предпочтительно.
Предпочтительная ферментная система Oxyrase®, подходящая для применения в настоящем изобретении, включает применение стерильных фрагментов мембраны, полученных из бактерий, обладающих мембранами, которые содержат систему транспорта электронов, которая в присутствии донора водорода в питательной среде восстанавливает кислород до воды. Известно, что многие бактерии обладают мембранами, которые имеют систему транспорта электронов, которая содержит систему транспорта электронов, которая эффективно восстанавливает кислород до воды, если в среде присутствует подходящий донор водорода. Бактерии – источники мембран выбирают из группы: Escherichia coli, Salmonella typhimurium, Gluconobacter oxydans и Pseudomonas aeruginosa. Мембраны этих бактерий очень эффективно удаляют кислород из питательных и других водных и полутвердых сред.
Настоящее изобретение особенно полезно для определения результатов теста на чувствительность организмов для контроля качества из АТСС, а также для исследования клинических изолятов или лечения заболевания, вызванного инфекционными микроорганизмами.
Способы согласно данному изобретению относятся к способу, в котором анализируют чувствительность микроорганизма к антибиотику. В одном способе реализации изобретения микроорганизм представляет собой клинический изолят. В предпочтительном способе реализации изобретения микроорганизмы представляют собой организмы для контроля качества из АТСС. Такие процедуры анализа (тестирования, исследования) или терапевтические режимы подходят для любого микроорганизма, который желательно исследовать, и, в частности, для любой бактерии, которую желательно исследовать.
Способы согласно данному изобретению, в частности способы проведения теста на чувствительность, также удобно осуществлять, предоставляя препараты, применяемые в таком способе, в форме набора. Такой набор предпочтительно содержит подходящие питательные среды (жидкие или твердые), а также адъюванты и тестируемые организмы в качестве контролей набора или их комбинации, антибиотик (антибиотики) или их комбинации и, если это желательно, воду подходящей степени очистки. Контрольные организмы, адъюванты, среды и/или антибиотики в такой подборке могут не быть специально приспособленными для конкретного микроорганизма или могут представлять собой контрольные организмы, адъюванты, среды и/или антибиотики, специально приспособленные для конкретного микроорганизма. Специальные наборы могут содержать, если это желательно, помимо прочего, конкретные организмы для применения, предпочтительно, в качестве стандартов. В таком наборе в случае, если не-бактериальные компоненты не смешаны заранее, как это может быть, такие компоненты обычно находятся в непосредственной близости друг от друга, даже если они содержатся в разных контейнерах или упаковках, а также в непосредственной близости от образцов бактерий, которые могут факультативно представлять собой организмы для контроля качества из АТСС, поставляемые в наборе.
Специалисты в данной области поймут, что данное изобретение можно осуществить в широком диапазоне эквивалентных условий, параметров и т.п., не выходя за пределы идеи и объема изобретения или любого из способов его реализации. Нижеследующие неограничивающие примеры иллюстрируют отдельные аспекты настоящего изобретения.
МАТЕРИАЛЫ И МЕТОДЫ
Организмы
Бактериальные изоляты представляли собой изоляты, рекомендованные NCCLS для контроля качества проб на чувствительность. (Национальный Комитет по клиническим лабораторным стандартам США (NCCLS), 2003. Methods for Dilution Antimicrobial Susceptibility Tests for Bacteria That Grow Aerobically (Методы разведении для анализа антимикробной чувствительности бактерий, растущих в аэробных условиях); Утвержденные стандарты: М7-А6, 6-е издание, том 23. Национальный Комитет по клиническим и лабораторным стандартам США (NCCLS, Уэйн, Пенсильвания), Национальный Комитет по клиническим и лабораторным стандартам США, 2003. Methods for Dilution Antimicrobial Disk Susceptibility Tests (Методы разведении для дисковых тестов на антимикробную чувствительность), Утвержденные стандарты: М2-А8, 8-е изд., том 20. Национальный Комитет по клиническим и лабораторным стандартам США (NCCLS, Уэйн, Пенсильвания)). Стандарты включали E.coli АТСС 25922, S. aureus АТСС 29213, Е.faecalis АТСС 29212, S. pneumoniae АТСС 49247 и Н. influenzae АТСС 49247. Клинические изоляты бактерий E.coli, S. aureus, Е. faecalis, S. pneumoniae, S. pyogenes, M. catarrhalis и Н. influenzae получали из Общей коллекции культур Wyeth (Wyeth General Culture Collection). Штаммы E.coli и S. aureus, экспрессирующие описанные детерминатны устойчивости к тетрациклинам, были описаны ранее (Petersen, P.J., N.V.Jacobus, W.J.Weiss, Р.Е.Sum, R.Т.Testa, Antimicrob. Agents Chemother. 43:738-744, 1999 (Химиотерапия антимикробными препаратами)).
Антибиотики и химические реактивы
Стандартный порошок тигециклина (tigecycline) получали из Wyeth Research (Пирл Ривер, Нью-Йорк, США). Миноциклин (minocycline), тетрациклин (tetracycline), L-цистеин, L-аскорбиновую кислоту, пируват натрия, каталазу и тиогликолат натрия покупали в Компании Sigma/Aldrich Chemical Company (Ст.-Луис, Миссури, США) Oxyrase® покупали в Oxyrase Inc (Менсфилд, Огайо).
Анализ чувствительности
Активность in vitro тигециклина и контрольных антибиотиков определяли методом микроразведений в бульоне, выполняемым согласно рекомендациям NCCLS. (National Committee for Clinical Laboratory Standards, 2003. Национальный Комитет по клиническим лабораторным стандартам США (NCCLS), 2003. Methods for Dilution Antimicrobial Susceptibility Tests for Bacteria That Grow Aerobically (Методы разведении для анализа антимикробной чувствительности бактерий, растущих в аэробных условиях); Утвержденные стандарты: М7-А6, 6-е издание, том 23. Национальный Комитет по клиническим и лабораторным стандартам США (NCCLS, Уэйн, Пенсильвания) применяли для стандартных процедур. Для анализа S. pneumoniae применяли бульон Мюллера-Хинтон с 5% лизированной крови лошади, а для анализа Н. influenzae применяли Haemophilus Test Medium (среда для тестирования гемофил). Oxyrase® (Oxyrase Inc, Mansfield, ОН) применяли, следуя инструкциям производителя: добавляли 1 мл Oxyrase® к 50 мл среды. Исследования влияния (эффекта) возраста среды проводили путем приготовления бульона Мюллера-Хинтон в наборе колб с последующим хранением среды в разных условиях. Определение МИК обычно проводили в дупликатах в каждый день анализа. Хранение в анаэробных условиях осуществляли в анаэробной камере (MACS MG 1000, Don Whitley Scientific LTD). pH среды измеряли при помощи рН-метра (Corning 430). Сравнение активности тигециклина in vitro в отношении клинических изолятов по методикам микроразведений в агаре и бульоне, с Oxyrase® и без нее показано в Таблице 1.
 
Эффект Oxyrase® на активность тигециклина, других глициклинов и миноциклина in vitro (МИК, мкг/мл) показан в Таблице 2.

Эксперимент по сравнению свежих и старых сред в координатах время – уничтожение клеток.
Эксперименты с использованием координат время – уничтожение клеток проводили по методу микроразведений в бульоне, следуя указаниям NCCLS (NCCLS. 1999. Methods for Determining Bactericidal Activity of Antimicrobial Agents (Способы определения бактерицидной активности антимикробных препаратов); Утвержденные указания: М26-А, том 19. Национальный Комитет по клиническим лабораторным стандартам, Уэйн, Пенсильвания, США). Для проведения этого анализа брали начальный инокулят с концентрацией примерно 106 КОЕ/мл и конечной концентрацией антибиотика, равной МИКх4. Колбы, содержащие 50 мл МНВ (Бульон Мюллера-Хинтон) II с подходящим антимикробным препаратом, инокулировали 50 миллилитрами анализируемого организма в логарифмической фазе роста. Колбы для теста (250 мл) инкубировали с встряхиванием (150 об./мин.) в водяной бане с температурой 35°С. На 0, 2, 4, 6, 24 часе отбирали аликвоты для определения числа жизнеспособных бактерий. Готовили серийные разведения в стерильном 0.85% растворе хлорида натрия. Разведенные образцы (0.05 мл) наносили на подходящие чашки с агаром trypticase soy agar (TSA) при помощи устройства для спирального посева (Don Whitley Scientific LTD). Чашки инкубировали при 35°С в атмосферном воздухе в течение 18-22 часов, после чего определяли число колоний на спектрофотометре для прочтения планшетов ProtoCOL (Don Whitley Scientific LTD). Получали кривые уничтожения, откладывая log10 КОЕ/мл против времени в течение 24 часов, и определяли изменение концентрации бактерий. Данные графически показаны на ФИГ.1. В Таблице 3 представлены результаты определения минимальной ингибирующей концентрации для экспериментов по определению влияния возраста среды, в которых сравнивали свежие среды со старыми и определяли влияние Oxyrase® на активность тигециклина.
Как показано в Таблице 3, значения МИК тигециклина, определенные в старой среде, дополненной Oxyrase®, были практически идентичны значениям, определенным в свежей среде. Кроме того, значения МИК тигециклина, определенные в свежей среде, которая также была дополнена Oxyrase®, не были существенно отличны от результатов, полученных в свежей среде без добавок.

Влияние (эффект) возраста среды на значения МИК тигециклина. Для того, чтобы определить влияние возраста среды на активность тигециклина in vitro, готовили МНВ и хранили при комнатной температуре или 2°С в течение 28 дней. Планшеты с микроразведениями в бульоне тигециклина, миноциклина и тетрациклина готовили в дни 0, 7, 14, 21 и 28. Значения МИК определяли в 6-кратных повторах в каждый день анализа, как показано в Таблице 4. Кроме того, как показано в таблице 4, в течение 4-недельного периода анализа имело место воспроизводимое увеличение значений МИК тигециклина на 3-4 разведения. Старение среды несколько замедлялось при хранении среды при 4°С по сравнению со средой, которую хранили при комнатной температуре.
В Таблице 4 показано влияние возраста, способа приготовления и условий хранения среды на активность тигециклина in vitro (МИК, мкг/мл) тигециклина в отношении эталонных организмов АТСС 25922, АТСС 29213 и АТСС 29212 в течение временного интервала с дня 0 до дня 28.


Как показано в Таблице 5, значения МИК тигециклина, определенные в свежей среде, были на 1-3 разведение ниже значений, определенных в старой среде. Для дальнейшего исследования этого эффекта провели эксперимент по определению зависимости уничтожения клеток от времени на Е.coli ATCC 25922 в свежей и старой средах с концентрациями 0.12 и 1 мкг/мл тигециклина, которые представляют 1Х и 4Х МИК для этого организма, определенной в старой среде. Как показано на фиг.1, обе концентрации (0.12 и 1 мкг/мл) тигециклина подавляли рост Е.coli АТСС 25922 при проведении теста в свежей среде. Однако, когда тест проводили в старой среде, имело место возобновление роста штамма после 6 часов контакта с тигециклином в концентрации 0.12 мкг/мл. Со ссылкой на Таблицу 5 для определения того, было ли влияние старой среды ограничено организмами из ATCC для контроля качества, определяли значения МИК в свежеприготовленном бульоне и сравнивали со значениями, определенными в бульоне, который хранили при комнатной температуре в течение 2 недель, при использовании панели, которая включала как клинические изоляты, так и штаммы, экспрессирующие разнообразные детерминанты устойчивости к тетрациклинам.
Поскольку рН среды со временем не изменялся, несоответствие значений МИК тигециклина, определенных в свежей среде, значениям, определенным в старой среде, нельзя объяснить этим фактором. Следовательно, хотя это не и подкрепляется теорией, постулируется, что несоответствие между свежей и старой средами может иметь причиной ускорение окислительной деструкции и формирование «раннего» пика, вызванные увеличением количества растворенного кислорода в среде на основе бульона, которое имеет место при хранении. Поскольку стало очевидным, что концентрация растворенного кислорода влияла на значения МИК тигециклина, было проведено исследование с целью оценить влияние старения среды, которую хранили в анаэробной камере. Как показано в Таблице 6, готовые коммерчески доступные среды, которые хранили в течение 2 недель при комнатной температуре в атмосферном воздухе, давали результаты определения МИК на 1-4 разведения превышающие результаты, полученные на свежеприготовленных средах. Напротив, среды, которые хранили в анаэробных условиях, давали результаты определения МИК тетрациклина, которые были практически идентичны результатам, полученным на свежих средах.
Для проверки указанной гипотезы приготовили растворы тигециклина в воде, свежем бульоне Мюллера-Хинтон и старом бульоне Мюллера-Хинтон. Растворы хранили в течение ночи при комнатной температуре, затем подвергали анализу путем ЖХВД для выявления деструкции тигециклина. Как показано на ФИГ.2, анализ путем ЖХВД дал ранний пик, элюированный при времени задержки от примерно 11.5 до примерно 12.0 минут. Как показано на ФИГ.3, величина раннего пика в свежей среде составляла примерно 12 х величину пика в воде, в то время как в старой среде это отношение составляло примерно 35. Это подтверждает ускорение формирования раннего пика тигециклина в старой среде.
Жидкостная хроматография высокого давления (ЖХВД)
В эксперименте 1 три тестируемых экспериментальных образца испытывали на формирование раннего пика тигециклина. В эксперименте 2 количественно оценивали ранние пики тигециклина, которые возникали через 24 часа, шести экспериментальных тестируемых образцов.
Результаты приведены ниже:
Готовили раствор тигециклина в каждом из указанных выше разбавителей в концентрации 1 мг/мл и анализировали в момент времени «ноль» и через 1 день при комнатной температуре.
Параметры ЖХВД приведены ниже:
Колонка для ЖХВД: Luna C18(2), 5 мкм, 4.6×150 мм
Детектирование: УФ на 250 нм
Скорость потока: 1.5 мл/мин
Вводимый объем = 30 мкл
Подвижная фаза А: 6.8 г КН2PO4 в 950 мл воды, рН до 6.2 с КОН, в смеси с 50 мл ацетонитрила
Подвижная фаза В: 6.8 г КН2PO4 в 500 мл воды, рН до 6.2 с КОН, в смеси с 500 мл ацетонитрила
Градиент:
| Время |
(мин) |
%А |
%В |
| 0 |
95 |
5 |
исходный |
| 20 |
60 |
40 |
линейный |
| 5 |
0 |
100 |
линейный |
| 1 |
0 |
100 |
удерживание |
| 0.1 |
95 |
5 |
исходный |
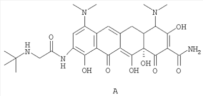
Считается, что «ранний» пик имеет следующую структурную формулу А, характеристический спектр ядерного магнитного резонанса для него показан на ФИГ.4.

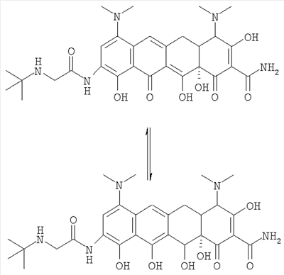
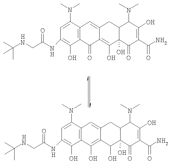
Структурная формула А может также существовать в таутомерной форме. Тутомеры изображены ниже:


Для того чтобы определить, можно ли контролировать концентрацию растворенного кислорода в среде на основе бульона путем добавления восстанавливающих кислород веществ в среду, определяли значения МИК в присутствии 0.05% (мас./об.) L-цистеина, 0.05% L-аскорбиновой кислоты, 0.05% пирувата натрия, 0.05% каталазы и 0.05% тиогликолата натрия, о каждом из которых ранее сообщалось, что в питательной среде для патогенных бактерий они действуют как восстанавливающие кислород препараты. Влияние восстанавливающих препаратов на активность тигециклина, миноциклина и тетрациклина in vitro показано в Таблице 7.
Таблицы 8 и 9 демонстрируют влияние Oxyrase® в отношении штаммов для контроля качества согласно NCCLS – данные собраны в ходе многих независимых экспериментов, проведенных девятью исследователями.

 
Формула изобретения
1. Состав среды для определения чувствительности аэробных патогенов к антибиотикам, отличающийся тем, что указанный состав среды содержит питательную среду, антибиотик и адъювант, выбранный из группы, включающей цистеин, тиогликолат, аскорбиновую кислоту, пируват, каталазу и агенты, восстанавливающие кислород, полученные из цитоплазматических мембран микроорганизмов, в количестве, достаточном для того, чтобы обеспечить стабилизацию результатов анализа, причем антибиотик представляет собой 7,9-замещенный тетрациклин.
2. Состав среды по п.1, отличающийся тем, что адъювант выбирают из группы, включающей цистеин, тиогликолат, аскорбиновую кислоту, пируват и каталазу.
3. Состав среды по п.1, отличающийся тем, что адъювант представляет собой агент, восстанавливающий кислород, полученный из цитоплазматических мембран микроорганизмов.
4. Состав среды по п.1, отличающийся тем, что 7,9-замещенный тетрациклиновый антибиотик выбирают из группы, включающей N,N-диметилглициламидо-9-аминоминоциклин (DMG-mino) и тигециклин (tigecycline).
5. Состав среды по п.4, отличающийся тем, что 7,9-замещенный тетрациклиновый антибиотик представляет собой тигециклин.
6. Состав среды по п.3, отличающийся тем, что адъювант представляет собой агент, восстанавливающий кислород, полученный из микроорганизма, выбранного из группы Escherichia coli, Salmonella typhimurium, Gluconobacter oxydans и Pseudomonas aeruginosa.
7. Состав среды по п.6, отличающийся тем, что адъювант представляет собой агент, восстанавливающий кислород, полученный из Escherichia coli.
8. Состав среды по п.7, отличающийся тем, что адъювант присутствует в количестве от примерно 0,5 до примерно 10,0% об./об. состава среды.
9. Состав среды по п.8, отличающийся тем, что адъювант присутствует в количестве от примерно 1,0 до примерно 4,0% (об./об.).
10. Состав среды по п.9, отличающийся тем, что адъювант присутствует в количестве примерно 2,0% (об./об.).
11. Состав среды для определения чувствительности аэробных патогенов к антибиотикам, отличающийся тем, что указанный состав среды содержит питательную среду, антибиотик и адъювант, выбранный из группы, включающей цистеин, тиогликолат, аскорбиновую кислоту, пируват, каталазу и агенты, восстанавливающие кислород, полученные из цитоплазматических мембран микроорганизмов, причем указанный адъювант присутствует в количестве, достаточном для того, чтобы подавить образование раннего пика соединения, имеющего структурную формулу А
, и время удерживания 11,5-12,0 мин, определенное в анализе ЖХВД при следующих параметрах: колонка для ЖХВД: Luna С18(2), 5 мкм, 4,6×150 мм; детектирование: УФ излучение с длиной волны 250 нм; скорость потока: 1,5 мл/мин; вводимый объем=30 мкл; подвижная фаза А: 6,8 г КН2PO4 в 950 мл воды, рН до 6,2 с КОН, в смеси с 50 мл ацетонитрила; подвижная фаза В: 6,8 г КН2РО4 в 500 мл воды, рН до 6,2 с КОН, в смеси с 500 мл ацетонтрила; градиент:
| Время (мин) |
% A |
% B |
 |
| 0 |
95 |
5 |
исходный |
| 20 |
60 |
40 |
линейный |
| 5 |
0 |
100 |
линейный |
| 1 |
0 |
100 |
удерживание |
| 0,1 |
95 |
5 |
исходный |
12. Состав среды по п.11, отличающийся тем, что адъювант представляет собой агент, восстанавливающий кислород, полученный из цитоплазматических мембран микроорганизмов.
13. Состав среды по п.11, отличающийся тем, что антибиотик представляет собой тетрациклин.
14. Состав среды по п.11, отличающийся тем, что антибиотик представляет собой 7,9-замещенный тетрациклин.
15. Состав среды по п.13, отличающийся тем, что антибиотик выбирают из группы тетрациклина (tetracycline), хлортетрациклина (chlortetracycline), окситетрациклина (oxytetracycline), диметилхлортетрациклина (dimethylchlortetracycline), демеклоциклина (demeclocycline), метациклина (methacycline), лимециклина (lymecycline), кломоциклина (clomocycline), доксициклина (doxycycline), миноциклина (minocycline), N,N-диметилглициламидо-9-аминоминоциклина (DMG-mino), N,N-диметилглициламидо-9-амино-6-деметил-6-деокситетрациклина (DMG-DMDOT) и тигециклина (tigecycline).
16. Состав среды по п.15, отличающийся тем, что антибиотик выбирают из группы, включающей НИ-диметилглициламидо-9-аминоминоциклин (DMG-mino) и тигециклин (tigecycline).
17. Состав среды по п.15, отличающийся тем, что тетрациклиновый антибиотик представляет собой тигециклин.
18. Состав среды по п.16, отличающийся тем, что адъювант представляет собой агент, восстанавливающий кислород, полученный из микроорганизма, выбранного из группы: Escherichia coli, Salmonella typhimurium, Gluconobacter oxydans и Pseudomonas aeruginosa.
19. Состав среды по п.17, отличающийся тем, что адъювант представляет собой агент, восстанавливающий кислород, полученный из микроорганизма Escherichia coli.
20. Состав среды по п.18, отличающийся тем, что адъювант присутствует в среде в количестве примерно от 0,5 до примерно 10,0%.
21. Состав среды по п.19 отличающийся тем, что адъювант присутствует в среде в количестве примерно от 1,0 до примерно 4,0%.
22. Состав среды по п.20, отличающийся тем, что адъювант присутствует в количестве примерно 2,0%.
23. Состав среды по п.2, отличающийся тем, что адъювант присутствует в диапазоне концентраций от примерно 0,0005 до примерно 5,0% мас./об.
24. Состав среды по п.2, отличающийся тем, что адъювант присутствует в диапазоне концентраций от примерно 0,005 до примерно 0,5% мас./об.
25. Состав среды по п.4, отличающийся тем, что адъювант присутствует в концентрации примерно 0,05% мас./об.
РИСУНКИ
|
|