|
|
(21), (22) Заявка: 2006111583/04, 30.08.2004
(24) Дата начала отсчета срока действия патента:
30.08.2004
(30) Конвенционный приоритет:
09.09.2003 EP 03019686.9
(43) Дата публикации заявки: 27.10.2007
(46) Опубликовано: 10.05.2009
(56) Список документов, цитированных в отчете о поиске:
US 4244871 А, 13.01.1981. WO 99/44596 A2, 10.09.1999. EP 0171636 A1, 19.02.1986. US 3933802, 20.01.1976. SU 419035 A1, 05.03.1974.
(85) Дата перевода заявки PCT на национальную фазу:
10.04.2006
(86) Заявка PCT:
EP 2004/009665 20040830
(87) Публикация PCT:
WO 2005/023260 20050317
Адрес для переписки:
101000, Москва, М.Златоустинский пер., 10, кв.15, “ЕВРОМАРКПАТ”, пат.пов. И.А.Веселицкой, рег. 11
|
(72) Автор(ы):
АЛЬБЕРАТИ-ДЖИАНИ Даниела (CH), ХОЛИДОН Синесе (CH), НАРКИЗЯН Робер (FR), НЕТТЕКОВЕН Маттиас Генрих (DE), НОРКРОСС Роджер Дейвид (CH), ПИНАР Эмманьюэль (FR), ШТАДЛЕР Хенри (CH)
(73) Патентообладатель(и):
Ф.ХОФФМАНН-ЛЯ РОШ АГ (CH)
|
(54) ПРОИЗВОДНЫЕ 1-(2-АМИНОБЕНЗОЛ)ПИПЕРАЗИНА, ИСПОЛЬЗУЕМЫЕ В КАЧЕСТВЕ ИНГИБИТОРОВ ПОГЛОЩЕНИЯ ГЛИЦИНА И ПРЕДНАЗНАЧЕННЫЕ ДЛЯ ЛЕЧЕНИЯ ПСИХОЗА
(57) Реферат:
Описываются производные 1-(2-аминобензол)пиперазина формулы (I) и фармацевтически приемлемые кислотно-аддитивные соли, значения радикалов указаны в формуле изобретения. Соединения обладают ингибирующим действием в отношении транспортера глицина I. Описывается также лекарственное средство на основе соединений формулы (I), которое может использоваться для лечения заболеваний, основанных на ингибировании поглощения глицина. 3 н. и 9 з.п. ф-лы, 5 табл.

Текст описания приведен в факсимильном виде.                                                                                                                                                                
Формула изобретения
1. Производные 1-(2-аминобензол)пиперазина формулы:
 где Ar представляет собой замещенный фенил или 6-членный гетероарил, содержащий один, два или три атома азота, где фенильная и гетероарильные группы являются замещенными одним-тремя заместителями, выбранными из группы, состоящей из галогена, NO2, CN, (С1-С6)-алкила, (С1-С6)-алкила, замещенного галогеном, (С1-С6)-алкокси, (С1-С6)-алкокси, замещенного галогеном, NR7R8, C(O)R9 или SO2R10; R1 представляет собой водород или (С1-С6)-алкил; R2 и R2′ независимо друг от друга представляют собой водород, (CR2)n-гидрокси, в том случае, когда R означает водород или (С1-С6)-алкил, или представляют собой (С1-С6)-алкил, (С2-С6)-алкенил, (СН2)n-(С3-С6)-циклоалкил, (СН2)n-гетероциклоалкил, где гетероциклоалкил выбран из тетрагидрофуранила, тетрагидропиранила, (СН2)n-O-(С1-С6)-алкил или (СН2)n-фенил, или R2 и R2′ образуют вместе с атомом азота, к которому они присоединены, 4-7-членное гетероциклоалкильное кольцо, необязательно содержащее в дополнение к атому N еще один гетероатом, выбранный из группы, состоящей из N, S или О, где указанные кольца являются незамещенными или замещенными группой (CH2)n-гидрокси, (C1-С6)-алкилом, группой (С1-С6)-алкокси, (СН2)n-O-(С1-С6)-алкилом, или образуют вместе с атомом азота 5-членную гетероарильную группу, необязательно содержащую в дополнение к атому N один, два или три дополнительных атома азота и где гетероарильная группа является необязательно замещенной (С1-С6)-алкилом; R3, R4 и R6 независимо друг от друга представляют собой водород, галоген; R5 представляет собой NO2, CN, C(O)R9, S-(С1-С6)-алкил, SO2R10 или представляет собой NR11R12; R7 и R8 независимо друг от друга представляют собой водород, (СН2)n-(С3-С6)-циклоалкил или (С1-С6)-алкил, или образуют вместе с атомом азота, к которому они присоединены, 5-6-членное гетероциклоалкильное кольцо, необязательно содержащее в дополнение к атому N еще один гетероатом О; R9 представляет собой (С1-С6)-алкил, (С1-С6)-алкокси или NR7R8; R10 представляет собой (С1-С6)-алкил, (СН2)n-(С3-С6)-циклоалкил или NR7R8; R11 и R12 независимо друг от друга представляют собой водород, SO2-(С1-С6)-алкил, или образуют вместе с атомом азота 5-членную гетероарильную группу, необязательно содержащую в дополнение к атому N один или три атома азота, и где гетероарильная группа является необязательно замещенной (СН2)n(С3-С6)-циклоалкилом; n означает 0, 1 или 2; и фармацевтически приемлемые кислотно-аддитивные соли этого соединения, при условии, что исключаются следующие соединения: 1-(4-метоксифенил)-4-[2-(4-метил-1-пиперазинил)-5-нитробензоил]пиперазин, 1-(4-метоксифенил)-4-[2-(4-морфолинил)-5-нитробензоил]пиперазин, 1-[2-(4-морфолинил)-5-нитробензоил]-4-[2-нитро-4-(трифторметил)фенил]пиперазин, 1-(4-метоксифенил)-4-[5-нитро-2-(1-пирролидинил)бензоил]пиперазин, 1-[2-[4-(2-гидроксиэтил)-1-пиперазинил]-5-нитробензоил]-4-(4-метоксифенил)пиперазин, 1-[2-фтор-4-(1-оксопропил)фенил]-4-[5-нитро-2-(1-пиперидинил)-бензоил]пиперазин, 1-[2-фтор-4-(1-оксопропил)фенил]-4-[5-нитро-2-(1-пирролидинил)-бензоил]пиперазин, 1-[2-фтор-4-(1-оксопропил)фенил]-4-[2-(4-метил-1-пиперидинил)-5-нитробензоил]пиперазин, 1-[2-фтор-4-(1-оксопропил)фенил]-4-[2-(4-метил-1-пиперазинил)-5-нитробензоил]пиперазин, 1-[2-фтор-4-(1-оксопропил)фенил]-4-[2-(4-морфолинил)-5-нитробензоил]пиперазин, 1-[5-[[метил(фенилметил)амино]сульфонил]-2-(4-морфолинил)бензоил]-4-(4-нитрофенил)пиперазин и 1-(4-ацетил-2-фторфенил)-4-[2-(4-морфолинил)-5-нитробензоил]-пиперазин, 1-{4-[4-(2-морфолин-4-ил-5-нитробензоил)пиперазин-1-ил]-3-фторфенил}этанон.
2. Производные 1-(2-аминобензол)пиперазина формулы:
 где Ar представляет собой замещенный фенил или 6-членный гетероарил, содержащий один, два или три атома азота, и где фенильная и гетероарильные группы являются замещенными одним-тремя заместителями, выбранными из группы, состоящей из галогена, NO2, CN, (С1-С6)-алкила, (C1-С6)-алкила, замещенного галогеном, (С1-С6)-алкокси, (С1-С6)-алкокси, замещенного галогеном, NR7R8, C(O)R9 или SO2R10; R1 представляет собой водород или (С1-С6)-алкил; R2 и R2′ независимо друг от друга представляют собой водород, (C1-С6)-алкил, (С3-С6)-алкенил, (С3-С6)-циклоалкил, тетрагидропиранил, тетрагидрофуранил, (С1-С6)-алкил-тетрагидропиранил и (С1-С6)-алкил-тетрагидрофуранил, (С1-С6)-алкил-(С3-С6)-циклоалкил, (С2-С6)-алкил-O-R13, (С1-С6)-алкилфенил; или R2 и R2′ образуют вместе с атомом азота, к которому они присоединены, 4-7-членное гетероциклоалкильное кольцо, необязательно содержащее в дополнение к атому N еще один гетероатом, выбранный из группы, состоящей из N, S или О, где указанные кольца являются незамещенными или замещенными группой гидрокси, (С1-С6)-алкилом, (С1-С6)-алкокси, (С1-С6)-алкил-O-R13, или образуют вместе с атомом азота 5-членную гетероарильную группу, необязательно содержащую в дополнение к атому N один, два других атома азота и где гетероарильная группа является необязательно замещенной (C1-С6)-алкилом или (С3-С6)-циклоалкилом; R3, R4 и R6 независимо друг от друга представляют собой водород, галоген; R5 представляет собой NO2, CN, C(O)R9, S-(С1-С6)-алкил, SO2R10 или представляет собой NR11R12; R7 и R8 независимо друг от друга представляют собой водород, (C1-С6)-алкил-(С3-С6)-циклоалкил или (С1-С6)-алкил, или образуют вместе с атомом азота, к которому они присоединены, 5-6-членное гетероциклоалкильное кольцо, необязательно содержащее в дополнение к атому N еще один гетероатом О; R9 представляет собой (С1-С6)-алкил, (С1-С6)-алкокси или NR7R8; R10 представляет собой (С1-С6)-алкил, (С1-С6)-алкил-(С3-С6)-циклоалкил или NR7R8; R11 и R12 независимо друг от друга представляют собой водород, SO2-(С1-С6)-алкил, или образуют вместе с атомом азота 5-членную гетероарильную группу, необязательно содержащую в дополнение к атому N один или три других атома азота, и где гетероарильная группа является необязательно замещенной (С3-С6)-циклоалкилом; R13 представляет собой водород, (С1-С6)-алкил; и фармацевтически приемлемые кислотно-аддитивные соли этих соединений, при условии, что исключаются следующие соединения: 1-[2-[[2-(диэтиламино)этил]амино]-5-нитробензоил]-4-(метоксифенил)пиперазин, 1-(4-метоксифенил)-4-[2-(4-метил-1-пиперазинил)-5-нитробензоил]пиперазин, 1-(4-метоксифенил)-4-[2-(4-морфолинил)-5-нитробензоил]пиперазин, 1-[2-(4-морфолинил)-5-нитробензоил]-4-[2-нитро-4-(трифторметил)фенил]пиперазин, 1-(4-метоксифенил)-4-[5-нитро-2-(1-пирролидинил)бензоил]пиперазин, 1-[2-[4-(2-гидроксиэтил)-1-пиперазинил]-5-нитробензоил]-4-(4-метоксифенил)пиперазин, 1-[2-фтор-4-(1-оксопропил)фенил]-4-[5-нитро-2-(1-пиперидинил)бензоил]пиперазин, 1-[2-фтор-4-(1-оксопропил)фенил]-4-[5-нитро-2-(1-пирролидинил)бензоил]пиперазин, 1-[2-фтор-4-(1-оксопропил)фенил]-4-[2-(4-метил-1-пиперидинил)-5-нитробензоил]пиперазин, 1-[2-фтор-4-(1-оксопропил)фенил]-4-[2-(4-метил-1-пиперазинил)-5-нитробензоил]пиперазин, 1-[2-фтор-4-(1-оксопропил)фенил]-4-[2-(4-морфолинил)-5-нитробензоил]пиперазин, 1-[5-[[метил(фенилметил)амино]сульфонил]-2-(4-морфолинил)бензоил]-4-(4-нитрофенил)пиперазин и 1-(4-ацетил-2-фторфенил)-4-[2-(4-морфолинил)-5-нитробензоил]пиперазин, 1-{4-[4-(2-морфолин-4-ил-5-нитробензоил)пиперазин-1-ил]-3-фторфенил}этанон.
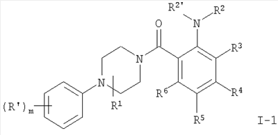
3. Соединение формулы I-1 по п.1
 где R’ представляет собой галоген, NO2, CN, (С1-С6)-алкил, (С1-С6)-алкил, замещенный галогеном, (С1-С6)-алкокси, (С1-С6)-алкокси, замещенный галогеном, NR7R8, C(O)R9 или SO2R10; m означает 1, 2 или 3; R1 представляет собой водород или (С1-С6)-алкил; R2 и R2′ независимо друг от друга представляют собой водород, (CR2)n-гидрокси, в том случае, когда R означает водород или (С1-С6)-алкил, или представляют собой (С1-С6)-алкил, (С2-С6)-алкенил, (СН2)n-(С3-С6)-циклоалкил, (CH2)n-гетероциклоалкил, где гетероциклоалкил выбран из тетрагидрофуранила, тетрагидропиранила, (СН2)n-O-(С1-С6)-алкил или (СН2)n-фенил; R3, R4 и R6 независимо друг от друга представляют собой водород, галоген; R5 представляет собой NO2, CN, C(O)R9, S-(С1-С6)-алкил, SO2R10 или представляет собой NR11R12; R7 и R8 независимо друг от друга представляют собой водород, (СН2)n-(С3-С6)-циклоалкил или (С1-С6)-алкил, или образуют вместе с атомом азота, к которому они присоединены, 5-6-членное гетероциклоалкильное кольцо, необязательно содержащее в дополнение к атому N еще один гетероатом О; R9 представляет собой (С1-С6)-алкил, (С1-С6)-алкокси или NR7R8; R10 представляет собой (С1-С6)-алкил, (СН2)n-(С3-С6)-циклоалкил или NR7R8; R11 и R12 независимо друг от друга представляют собой водород, SO2-(С1-С6)-алкил, или образуют вместе с атомом азота 5-членную гетероарильную группу, необязательно содержащую в дополнение к атому N один или три других атома азота, и где гетероарильная группа является необязательно замещенной (СН2)n(С3-С6)-циклоалкилом; n означает 0, 1 или 2; и фармацевтически приемлемые кислотно-аддитивные соли этих соединений.
4. Соединение формулы I-1 по п.3, которое представляет собой одно из следующих соединений: 1-(4-{4-[2-(циклопропилметиламино)-5-нитробензоил]пиперазин-1-ил}-3-фторфенил)этанон, 1-{4-[4-(2-циклогексиламино-5-нитробензоил)пиперазин-1-ил]-3-фторфенил}этанон, 1-{4-[4-(2-диэтиламино-5-нитробензоил)пиперазин-1-ил]-3-фторфенил}этанон, 1-{3-фтор-4-[4-(2-изобутиламино-5-нитробензоил)пиперазин-1-ил]фенил}этанон, 1-{4-[4-(2-циклобутиламино-5-нитробензоил)пиперазин-1-ил]-3-фторфенил}этанон, 1-{4-[4-(2-циклобутиламино-5-нитробензоил)пиперазин-1-ил]-3-фторфенил}этанон, 1-{4-[4-(2-циклопентиламино-5-нитробензоил)пиперазин-1-ил]-3-фторфенил}этанон или 1-(4-{4-[2-(аллилметиламино)-5-нитробензоил]пиперазин-1-ил}-3-фторфенил)этанон.
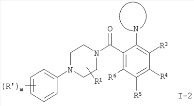
5. Соединение формулы I-2 по п.1
 где R’ представляет собой галоген, NO2, CN, (С1-С6)-алкил, (С1-С6)-алкил, замещенный галогеном, (С1-С6)-алкокси, (С1-С6)-алкокси, замещенный галогеном, NR7R8, C(O)R9 или SO2R10; m означает 1, 2 или 3; R1 представляет собой водород или (С1-С6)-алкил;
представляет собой 4-7-членное гетероциклоалкильное кольцо, необязательно содержащее в дополнение к атому N еще один гетероатом, выбранный из группы, состоящей из N, S или О, где указанные кольца являются незамещенными или замещенными группой (CH2)n-гидрокси, (C1-С6)-алкилом, (С1-С6)-алкокси, (СН2)n-O-(С1-С6)-алкилом, или образуют вместе с атомом N 5-членную гетероарильную группу, необязательно содержащую в дополнение к атому N один, два других атома азота, и где гетероарильная группа является необязательно замещенной (С1-С6)-алкилом; R3, R4 и R6 независимо друг от друга представляют собой водород, галоген; R5 представляет собой NO2, CN, C(O)R9, S-(С1-С6)-алкил, SO2R10 или представляет собой NR11R12; R7 и R8 независимо друг от друга представляют собой водород, (СН2)n-(С3-С6)-циклоалкил или (С1-С6)-алкил, или образуют вместе с атомом азота, к которому они присоединены, 5-6-членное гетероциклоалкильное кольцо, необязательно содержащее в дополнение к атому N еще один гетероатом О; R9 представляет собой (С1-С6)-алкил, (С1-С6)-алкокси или NR7R8; R10 представляет собой (С1-С6)-алкил, (СН2)n-(С3-С6)-циклоалкил или NR7R8; R11 и R12 независимо друг от друга представляют собой водород, SO2-(С1-С6)-алкил, или образуют вместе с атомом азота 5-членную гетероарильную группу, необязательно содержащую в дополнение к атому N один или три других атома азота, и где гетероарильная группа является необязательно замещенной (СН2)n(С3-С6)-циклоалкилом; n означает 0, 1 или 2; и фармацевтически приемлемые кислотно-аддитивные соли этих соединений.
6. Соединение формулы 1-2 по п.5, которое представляет собой одно из следующих соединений: 1-{3-фтор-4-[4-(5-нитро-2-пирролидин-1-илбензоил)пиперазин-1-ил]фенил}этанон, 1-{3-фтор-4-[4-(5-нитро-2-пиперидин-1-илбензоил)пиперазин-1-ил]фенил}этанон, 1-{4-[4-(2-азепан-1-ил-5-нитробензоил)пиперазин-1-ил]-3-фторфенил}этанон, 1-(3-фтор-4-{4-[2-(2-метилпиперидин-1-ил)-5-нитробензоил]пиперазин-1-ил}фенил)этанон, 1-(3-фтор-4-{4-[2-(4-метилпиперидин-1-ил)-5-нитробензоил]пиперазин-1-ил}фенил)этанон, 1-(3-фтор-4-{4-[2-(3-метилпиперидин-1-ил)-5-нитробензоил]пиперазин-1-ил}фенил)этанон, 1-(3-фтор-4-{4-[2-(2-метилпирролидин-1-ил)-5-нитробензоил]пиперазин-1-ил}фенил)этанон, 1-(4-{4-[2-(2,5-дигидропиррол-1-ил)-5-нитробензоил] пиперазин-1-ил}-3-фторфенил)этанон, 1-{3-фтор-4-[4-(5-нитро-2-тиоморфолин-4-илбензоил)пиперазин-1-ил]фенил}этанон, 1-(3-фтор-4-{4-[2-(3-гидроксипиперидин-1-ил)-5-нитробензоил]пиперазин-1-ил}фенил)этанон, 1-{4-[4-(2-азепан-1-ил-5-метансульфонилбензоил)пиперазин-1-ил]-3-фторфенил}этанон, 1-{3-фтор-4-[4-(5-метансульфонил-2-пирролидин-1-илбензоил)пиперазин-1-ил]фенил}этанон, N-метил-4-пирролидин-1-ил-3-[4-(4-трифторметилфенил)пиперазин-1-карбонил]бензолсульфонамид, N-метил-4-морфолин-4-ил-3-[4-(4-трифторметилфенил)пиперазин-1-карбонил]бензолсульфонамид, 3-[4-(4-ацетил-2-фторфенил)пиперазин-1-карбонил]-N-метил-4-пирролидин-1-илбензолсульфонамид, 1-(3-фтор-4-{4-[2-(3-гидроксиметилпирролидин-1-ил)-5-нитробензоил]пиперазин-1-ил}фенил)этанон, 2-[4-(2-морфолин-4-ил-5-нитробензоил)пиперазин-1-ил]-5-трифторметилбензонитрил, 3-фтор-4-[4-(5-метансульфонил-2-пиперидин-1-илбензоил)пиперазин-1-ил]бензонитрил, 2-фтор-4-[4-(5-метансульфонил-2-пиперидин-1-илбензоил)пиперазин-1-ил]бензонитрил, [4-(2-фтор-4-трифторметилфенил)пиперазин-1-ил]-(5-метансульфонил-2-пиперидин-1-илфенил)метанон, [4-(3-фтор-4-трифторметилфенил)пиперазин-1-ил]-(5-метансульфонил-2-пиперидин-1-илфенил)метанон, 3-[4-(4-циано-фенил)пиперазин-1-карбонил]-N-метил-4-пирролидин-1-илбензолсульфонамид, 3-[4-(4-циано-2-фторфенил)пиперазин-1-карбонил]-N-метил-4-пирролидин-1-илбензолсульфонамид, 3-[4-(2-фтор-4-трифторметилфенил)пиперазин-1-карбонил]-N-метил-4-пирролидин-1-илбензолсульфонамид, 3-[4-(3-фтор-4-трифторметилфенил)пиперазин-1-карбонил]-N-метил-4-пирролидин-1-илбензолсульфонамид, 3-[4-(4-ацетил-2-фторфенил)пиперазин-1-карбонил]-N-метил-4-пиперидин-1-илбензолсульфонамид, 3-[4-(4-циано-фенил)пиперазин-1-карбонил]-N-метил-4-пиперидин-1-илбензолсульфонамид, 3-[4-(4-циано-2-фторфенил)пиперазин-1-карбонил]-N-метил-4-пиперидин-1-илбензолсульфонамид, 3-[4-(4-циано-3-фторфенил)пиперазин-1-карбонил]-N-метил-4-пиперидин-1-илбензолсульфонамид, N-метил-4-пиперидин-1-ил-3-[4-(4-трифторметилфенил)пиперазин-1-карбонил]бензолсульфонамид, 3-[4-(2-фтор-4-трифторметилфенил)пиперазин-1-карбонил]-N-метил-4-пиперидин-1-илбензолсульфонамид, 3-[4-(2-фтор-4-трифторметилфенил)пиперазин-1-карбонил]-N-метил-4-пиперидин-1-илбензолсульфонамид, 3-[4-(2-фтор-4-трифторметилфенил)пиперазин-1-карбонил]-N-метил-4-морфолин-4-илбензолсульфонамид или 3-[4-(3-фтор-4-трифторметилфенил)пиперазин-1-карбонил]-N-метил-4-морфолин-4-илбензолсульфонамид.
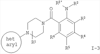
7. Соединение формулы I-3 по п.1
 где «hetaryl» представляет собой 6-членный гетероарил, содержащий один, два или три атома азота, необязательно замещенный одним-тремя заместителями, выбранными из группы, состоящей из галогена, NO2, CN, (C1-С6)-алкила, (С1-С6)-алкила, замещенного галогеном, (С1-С6)-алкокси, (С1-С6)-алкокси, замещенного галогеном, NR7R8, C(O)R9 или SO2R10; R1 представляет собой водород или (С1-С6)-алкил; R2 и R2′ независимо друг от друга представляют собой водород, (CR2)n-гидрокси, в том случае, когда R означает водород или (С1-С6)-алкил, или представляют собой (С1-С6)-алкил, (С2-С6)-алкенил, (СН2)n-(С3-С6)-циклоалкил, (СН2)n-гетероциклоалкил, где гетероциклоалкил выбран из тетрагидрофуранила, тетрагидропиранила, (СН2)n-O-(С1-С6)-алкил или (СН2)n-фенил, R3, R4 и R6 независимо друг от друга представляют собой водород, галоген; R5 представляет собой NO2, CN, C(O)R9, S-(С1-С6)-алкил, SO2R10 или представляет собой NR11R12; R7 и R8 независимо друг от друга представляют собой водород, (СН2)n-(С3-С6)-циклоалкил или (С1-С6)-алкил, или образуют вместе с атомом азота, к которому они присоединены, 5-6-членное гетероциклоалкильное кольцо, необязательно содержащее в дополнение к атому N еще один гетероатом О; R9 представляет собой (С1-С6)-алкил, (С1-С6)-алкокси или NR7R8; R10 представляет собой (С1-С6)-алкил, (СН2)n-(С3-С6)-циклоалкил или NR7R8; R11 и R12 независимо друг от друга представляют собой водород, SO2-(С1-С6)-алкил, или образуют вместе с атомом азота 5-членную гетероарильную группу, необязательно содержащую в дополнение к атому N один или три других атома азота, и где гетероарильная группа является необязательно замещенной (СН2)n(С3-С6)-циклоалкилом; n означает 0, 1 или 2; и фармацевтически приемлемые кислотно-аддитивные соли этих соединений.
8. Соединение формулы I-4 по п.1
 где «hetaryl» представляет собой 6-членный гетероарил, содержащий один, два или три атома азота, необязательно замещенный одним-тремя заместителями, выбранными из группы, состоящей из галогена, NO2, CN, (С1-С6)-алкила, (С1-С6)-алкила, замещенного галогеном, (С1-С6)-алкокси, (C1-С6)-алкокси, замещенного галогеном, NR7R8, C(O)R9 или SO2R10; R1 представляет собой водород или (С1-С6)-алкил;
представляет собой 4-7-членное гетероциклоалкильное кольцо, необязательно содержащее в дополнение к атому N еще один гетероатом, выбранный из группы, состоящей из N, S или О, где указанные кольца являются незамещенными или замещенными группой (CH2)n-гидрокси, (C1-С6)-алкилом, (С1-С6)-алкокси, (СН2)n-O-(С1-С6)-алкилом, или образуют вместе с атомом азота 5-членную гетероарильную группу, необязательно содержащую в дополнение к атому N один, два других атома азота и где гетероарильная группа является необязательно замещенной (С1-С6)-алкилом; R3, R4 и R6 независимо друг от друга представляют собой водород, галоген; R5 представляет собой NO2, CN, C(O)R9, S-(С1-С6)-алкил, SO2R10 или представляет собой NR11R12; R7 и R8 независимо друг от друга представляют собой водород, (СН2)n-(С3-С6)-циклоалкил или (С1-С6)-алкил, или образуют вместе с атомом азота, к которому они присоединены, 5-6-членное гетероциклоалкильное кольцо, необязательно содержащее в дополнение к атому N еще один гетероатом О; R9 представляет собой (С1-С6)-алкил, (С1-С6)-алкокси или NR7R8; R10 представляет собой (С1-С6)-алкил, (СН2)n-(С3-С6)-циклоалкил или NR7R8; R11 и R12 независимо друг от друга представляют собой водород, SO2-(С1-С6)-алкил, или образуют вместе с атомом азота 5-членную гетероарильную группу, необязательно содержащую в дополнение к атому N один или три других атома азота, и где гетероарильная группа является необязательно замещенной (СН2)n(С3-С6)-циклоалкилом; n означает 0, 1 или 2; и фармацевтически приемлемые кислотно-аддитивные соли этих соединений.
9. Соединение формулы I-4 по п.8, которое представляет собой одно из следующих соединений: 3-[4-(3-фтор-4-трифторметилфенил)пиперазин-1-карбонил]-N-метил-4-морфолин-4-илбензолсульфонамид, (2-морфолин-4-ил-5-нитрофенил)-[4-(5-трифторметилпиридин-2-ил)пиперазин-1-ил]метанон, [4-(3-хлор-5-трифторметилпиридин-2-ил)пиперазин-1-ил]-(2-морфолин-4-ил-5-нитрофенил)метанон, 6-[4-(2-морфолин-4-ил-5-нитробензоил)пиперазин-1-ил]никотинонитрил, [4-(3-хлор-пиридин-2-ил)пиперазин-1-ил]-(2-морфолин-4-ил-5-нитрофенил)метанон, (2-морфолин-4-ил-5-нитрофенил)-[4-(4-трифторметилпиридин-2-ил)пиперазин-1-ил]метанон, (2-морфолин-4-ил-5-нитрофенил)-[4-(6-трифторметилпиридин-2-ил)пиперазин-1-ил]метанон, [4-(5-бром-пиримидин-2-ил)пиперазин-1-ил]-(2-морфолин-4-ил-5-нитрофенил)метанон, [4-(6-хлор-5-трифторметилпиридин-2-ил)пиперазин-1-ил]-(2-морфолин-4-ил-5-нитрофенил)метанон, (5-метансульфонил-2-морфолин-4-илфенил)-[4-(2-трифторметилпиримидин-4-ил)пиперазин-1-ил]метанон, (5-метансульфонил-2-морфолин-4-илфенил)-[4-(6-трифторметилпиримидин-4-ил)пиперазин-1-ил]метанон, (5-метансульфонил-2-морфолин-4-илфенил)-[4-(5-трифторметилпиримидин-2-ил)пиперазин-1-ил]метанон, 6-[4-(5-метансульфонил-2-морфолин-4-илбензоил)пиперазин-1-ил]никотинонитрил, (5-метансульфонил-2-морфолин-4-илфенил)-[4-(5-трифторметилпиридин-2-ил)пиперазин-1-ил]метанон, [4-(3-хлор-5-трифторметилпиридин-2-ил)пиперазин-1-ил]-(5-метансульфонил-2-морфолин-4-илфенил)метанон, [4-(5-хлор-пиридин-2-ил)пиперазин-1-ил]-(5-метансульфонил-2-морфолин-4-илфенил)метанон, (5-метансульфонил-2-морфолин-4-илфенил)-[4-(6-трифторметилпиридин-3-ил)пиперазин-1-ил]метанон, [4-(3-фтор-5-трифторметилпиридин-2-ил)пиперазин-1-ил]-(5-метансульфонил-2-морфолин-4-илфенил)метанон, (5-метансульфонил-2-морфолин-4-илфенил)-[4-(6-метилпиридин-3-ил)-пиперазин-1-ил]метанон, (5-метансульфонил-2-морфолин-4-илфенил)-[4-(5-метилпиридин-2-ил)-пиперазин-1-ил]метанон, (5-метансульфонил-2-морфолин-4-илфенил)-[4-(4-трифторметилпиридин-2-ил)пиперазин-1-ил]метанон, (5-метансульфонил-2-морфолин-4-илфенил)-[4-(6-трифторметилпиридин-2-ил)пиперазин-1-ил]метанон, (5-метансульфонил-2-морфолин-4-илфенил)-[4-(2-трифторметил-пиримидин-5-ил)пиперазин-1-ил]метанон, (5-метансульфонил-2-морфолин-4-илфенил)-[4-(6-трифторметил-пиридазин-3-ил)пиперазин-1-ил]метанон, [4-(4-диметиламино-[1,3,5]триазин-2-ил)пиперазин-1-ил]-(5-метансульфонил-2-морфолин-4-илфенил)метанон или, (5-метансульфонил-2-морфолин-4-илфенил)-(5′-трифторметил-2,3,5,6-тетрагидро-[1,2′]бипиразинил-4-ил)метанон.
10. Лекарственное средство, обладающее ингибирующим действием в отношении транспортера глицина I (GlyT-1), содержащее одно или более соединений по п.1 и фармацевтически приемлемые наполнители.
11. Лекарственное средство по п.10 для лечения заболевания, основанного на ингибировании поглощения глицина.
12. Лекарственное средство по одному из пп.10-11, где заболевание представляет собой психоз, боль, нарушение функционирования памяти и способности к обучению, шизофрению, слабоумие и другие заболевания, связанные с когнитивными процессами, такие как дефицит внимания или болезнь Альцгеймера.
РИСУНКИ
|
|