Патент на изобретение №2354652
|
||||||||||||||||||||||||||
(54) N-2-(2′-МЕТИЛФЕНОКСИ)-ЭТИЛМОРФОЛИНА ГИДРОХЛОРИД, ОБЛАДАЮЩИЙ ГИПОТЕНЗИВНОЙ АКТИВНОСТЬЮ
(57) Реферат:
Заявляемое соединение относится к области органической химии, к классу арилоксиалкиламинов, а именно к новому биологически активному N-2-(2′-метилфенокси)-этилморфолина гидрохлориду (I) формулы
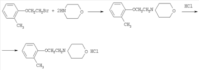
Соединение получено взаимодействием 1-бром-2-(2′-метилфенокси)этана с морфолином. Полученное соединение представляет собой белое кристаллическое вещество, растворимое в горячей воде, этаноле, хлороформе, ДМСО, ДМФА. Технический результат: получено новое соединение, обладающее гипотензивной активностью с длительным эффектом. 1 табл.
Заявляемое соединение относится к области органической химии, к классу арилоксиалкиламинов, а именно к новому биологически активному N-2-(2′-метилфенокси)-этилморфолина гидрохлориду (I) формулы
который может найти применение в медицинской и фармацевтической промышленности в качестве лекарственного гипотензивного препарата. В качестве эталонов сравнения гипотензивного действия нами взяты: известный гипотензивный препарат папаверина гидрохлорид и ближайший структурный аналог пропранолола гидрохлорид (анаприлин) [Машковский М.Д. Лекарственные средства: в 2 т. – 14-е изд., перераб., испр. и доп. – М.: ООО “Издательство Новая Волна”, 2000]. Целью предлагаемого изобретения является получение нового не описанного ранее N-2-(2′-метилфенокси)-этилморфолина гидрохлорида (I), обладающего гипотензивным действием. Поставленная цель достигается получением N-2-(2′-метилфенокси)-этилморфолина гидрохлорида (I) взаимодействием 2-метилфеноксиэтилбромида с морфолином (рис.1): Рис.1. Схема синтеза N-2-(2′-метилфенокси)-этилморфолина гидрохлорида. Методика получения N-2-(2′-метилфенокси)-этилморфолина гидрохлорида. Смесь 15,0 г (0,07 моль) 1-бром-2-(2′-метилфенокси)этана и 12,2 г (0,14 моль) морфолина по окончании экзотермической реакции кипятят на песчаной бане в течение 2 ч, оставляют на ночь, выпавший осадок морфолина гидробромида отфильтровывают, промывали диэтиловым эфиром. Эфирную вытяжку промывают раствором NaOH до обесцвечивания водного слоя. Органический слой сушат кристаллическим NaOH. После удаления осушителя в фильтрат пропускают ток сухого HCl. Выпавший осадок гидрохлорида N-2-(2′-метилфенокси)-этилморфолина отфильтровывают, кристаллизуют из толуола. Выход продукта 10,14 г (56,4%), т.пл. 194-196°С. Заявляемое соединение представляет собой белое кристаллическое вещество, растворимое в горячей воде, этаноле, хлороформе, ДМСО, ДМФА. В спектре ЯМР 1Н (BS-567A, (100 МГц) в CDCl3, внутренний стандарт – ГМДС) соединения I имеются: синглет трех протонов метильной группы в области 2,14 м.д., мультиплет двух аксиальных протонов двух метиленовых групп при атоме азота морфолинового фрагмента N(СН2CH2)2О в области 3,06 м.д., триплет двух протонов метиленовой группы при атоме азота в боковой цепочке в области 3,45 м.д., дублет двух экваториальных протонов двух метиленовых групп при атоме азота морфолинового фрагмента N(CH2CH2)2O в области 3,56 м.д., дублет двух аксиальных протонов двух метиленовых групп при атоме кислорода морфолинового фрагмента N(CH2CH2)2O в области 3,93 м.д., триплет двух экваториальных протонов двух метиленовых групп при атоме кислорода морфолинового фрагмента N(СН2СН2)2O в области 4,23 м.д., триплет двух протонов группы ОСН2 в области 4,52 м.д., мультиплет протонов ароматического кольца в области 6,74-7,15 м.д., уширенный синглет протона группы NH+ в области 13,41 м.д. Острую токсичность при внутривенном введении определяли на белых нелинейных мышах массой 20-25 г. Исследуемое вещество и препараты сравнения вводили в хвостовую вену в виде водного раствора из расчета 0,1 мл на 10 г массы животного в возрастающих дозах. Результаты обрабатывали по Прозоровскому с вычислением средней смертельной дозы (ЛД50) при Р=0,05 [Прозоровский В.В., Прозоровская М.П., Демченко В.М. Фармакол. и токсикол., т. 41, Соединение I исследовали на наличие гипотензивной активности. Опыты проводили на здоровых кошках обоего пола, наркотизированных барбиталом натрия (мединал) в дозе 400 мг/кг, внутрибрюшинно. Заявляемое вещество вводили животным в дозе 5 мг/кг (1/25 ЛД50), а препараты сравнения вводили в дозе 0,1 ЛД50, внутривенно. Артериальное давление измеряли в сонной артерии прямым методом. В каждой серии опытов было использовано 5-6 животных. Степень гипотензивной активности исследуемого соединения и эталонов сравнения выражали в мм рт. ст. относительно исходного уровня в определенные промежутки времени и статистически обрабатывали разностным методом с использованием коэффициента Стьюдента [Сернов Л.Н., Гацура В.В. Элементы экспериментальной фармакологии, М., с.312-313 (2000)]. Результаты испытаний представлены в таблице.
Как видно из таблицы, исследуемое соединение проявляет высокую гипотензивную активность, значительно превосходя препараты сравнения по продолжительности действия. Токсичность соединения I значительно ниже, чем у эталонов сравнения. Таким образом, N-2-(2′-метилфенокси)-этилморфолина гидрохлорид (I) проявляет достоверно более продолжительное гипотензивное действие. Следовательно, заявляемое соединение (I) может найти применение в медицине в качестве гипотензивного лекарственного средства с длительным эффектом.
Формула изобретения
N-2-(2′-метилфенокси)-этилморфолина гидрохлорид
|
||||||||||||||||||||||||||




4, с.497-502 (1978)].