|
|
(21), (22) Заявка: 2006124513/04, 30.11.2004
(24) Дата начала отсчета срока действия патента:
30.11.2004
(30) Конвенционный приоритет:
09.12.2003 US 60/528,378
(43) Дата публикации заявки: 27.01.2008
(46) Опубликовано: 10.05.2009
(56) Список документов, цитированных в отчете о поиске:
WO 03/095434 А, 20.11.2003. WO 89/07596 A, 24.08.1989. RU 2001132085 A, 10.10.2003.
(85) Дата перевода заявки PCT на национальную фазу:
10.07.2006
(86) Заявка PCT:
EP 2004/013557 20041130
(87) Публикация PCT:
WO 2005/058847 20050630
Адрес для переписки:
101000, Москва, М.Златоустинский пер., 10, кв.15, “ЕВРОМАРКПАТ”, пат.пов. И.А.Веселицкой, рег. 11
|
(72) Автор(ы):
БЕРДЖЕР Джейкоб (US), КЛАРК Робин Дуглас (US), ДЖАО Чухай (US)
(73) Патентообладатель(и):
Ф.ХОФФМАНН-ЛЯ РОШ АГ (CH)
|
(54) ПРОИЗВОДНЫЕ БЕНЗОКСАЗИНА И ИХ ПРИМЕНЕНИЕ
(57) Реферат:
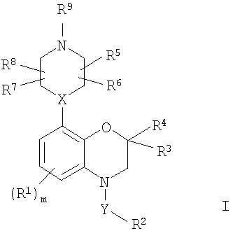
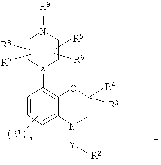
Изобретение относится к новым соединениям общей формулы (I)

или к их фармацевтически приемлемым солям или к сольватам, где m равно от 0 до 3, Х означает N, Y означает -SO2-, каждый R1 независимо означает галоген, С1-С12алкил, галоген(С1-С12)алкил, гидрокси(С1-С6)алкил, R2 означает арил или гетероарил, который представляет собой моноциклический радикал, содержащий от 5 до 12 атомов в цикле, включающий один, два или три гетероатома азота в цикле, необязательно замещенные галогеном или циано, каждый R3 и R4 независимо означает С1-С12алкил или R3 и R4 вместе с атомом углерода, к которому они присоединены, образуют циклическую группу, содержащую в цикле 3-6 атомов, и каждый из R5, R6, R7, R8 и R9 означает водород. Изобретение также относится к фармацевтической композиции. Технический результат – получение новых биологически активных соединений, обладающих антагонистическим действием в отношении рецептора 5-НТ6. 2 н. и 13 з.п. ф-лы, 2 табл.
Изобретение относится к производным бензоксазина и ассоциированным композициям, к их применению для получения лекарственных средств и к способам их получения.
Действие нейромедиатора, 5-гидрокситриптамина (5-НТ), в качестве главного регуляторного нейромедиатора в головном мозге, опосредуется рядом рецепторных семейств, обозначаемых 5-НТ1, 5-НТ2, 5-НТ3, 5-НТ4, 5-НТ5, 5-НТ6 и 5-НТ7. Благодаря высокому уровню мРНК кодирующей рецептор 5-НТ6 принято считать, что рецептор 5-НТ6 может играть главную роль в патологии и лечении нарушений центральной нервной системы. Прежде всего были идентифицированы селективные лиганды 5-НТ2 и 5-НТ6 в качестве эффективных средств для лечения некоторых нарушений ЦНС, таких как болезнь Паркинсона, болезнь Гентингтона, тревога, депрессия, маниакальная депрессия, психозы, эпилепсия, обсессивно-компульсивные состояния, нарушения настроения, мигрень, болезнь Альцгеймера (для усиления познавательной способности), нарушений сна, нарушения питания, такие как анорексия, булимия и ожирение, приступы паники, акатизия, нарушение в форме гиперактивности при дефиците внимания (ADHD), нарушение в форме дефицита внимания (ADD), синдром отмены при злоупотреблении лекарственными средствами, такими как кокаин, этанол, никотин и бензодиазепины, шизофрения, а также нарушения, ассоциированные с травмой спинного мозга и/или травмой головного мозга, такой как гидроцефалия. Предполагается также, что такие соединения можно использовать для лечения некоторых нарушений желудочно-кишечного тракта (GI), таких как функциональное нарушение кишечника. См., например, B.L.Roth и др., J.Pharmacol. Exp. Ther., 268, 1403-14120 (1994), D.R.Sibley и др., Mol. Pharmacol., 43, 320-327 (1993), A.J.Sleight и др., Neurotransmission, 11, 1-5 (1995), и A.J.Sleight и др., Serotonin ID Research Alert, 2 (3), 115-118 (1997).
Несмотря на то, что известен ряд модуляторов 5-НТ6, существует необходимость в соединениях, которые можно использовать для модулирования 5-НТ6 и/или других рецепторов 5-гидрокситриптамина, указанных выше.
В настоящем изобретении предлагаются соединения формулы (I)

или их фармацевтически приемлемые соли или сольваты, где
m равно от 0 до 3,
Х означает N или СН,
Y означает -SO2– или -СН2-,
каждый R1 независимо означает галоген, С1-С12алкил, галоген(С1-С12)алкил, С1-С12алкокси, циано, гидрокси(С1-С6)алкил, С1-С12алкокси(С1-С12)алкил, -SO2Ra, -С(=O)-NRbRc, -SO2-NRbRc, -SRb, -N(Rb)-C(=O)-Rc, -C(=O)-Rb или -N(Rb)-SO2-Ra, где каждый Ra независимо означает С1-С12алкил или галоген(С1-С12)алкил, а каждый Rb и Rc независимо означает водород, С1-С12алкил или галоген(С1-С12)алкил,
R2 означает арил или гетероарил, необязательно замещенный группами C1-С12алкил, галоген, галоген(С1-С12)алкил, С1-С12алкокси или циано, каждый R3 и R4 независимо означает С1-С12алкил, гидрокси(С1-С6)алкил или С1-С12алкокси(С1-С12)алкил, или R3 и R4 вместе с атомом углерода, к которому они присоединены, образуют циклическую группу, содержащую в цикле 3-6 атомов, которая необязательно включает гетероатом, выбранный из N, О и S, и
каждый R5, R6, R7, R8 и R9 независимо означает водород или С1-С12алкил или
R9 и один из R5, R6, R7 или R8 вместе с атомами, к которым они присоединены, образуют гетероциклоаминовый цикл, содержащий в цикле 5-7 атомов.
Кроме того, в настоящем изобретении предлагаются способы получения, композиции и способы применения соединений формулы (I).
Соединения по изобретению включают бензоксазиновую циклическую систему, содержащую 2,2-диалкил- или другие заместители в положении 2, которая неожиданно обладает более высоким сродством к рецепторам 5-гидрокситриптамина, прежде всего 5-НТ6, причем такое сродство обнаружено у соединений, в которых бензоксазиновая циклическая система содержит только один атом водорода в положении 2.
Если не указано иное, следующие термины, используемые в описании заявки, включая формулу изобретения, имеют значения, указанные ниже. Следует также отметить, что используемые в описании заявки и в формуле изобретения формы единственного числа включают формы множественного числа, если не указано иное.
“Агонист” означает соединение, которое повышает активность другого соединения или рецепторного участка.
«Алкил» означает одновалентный насыщенный углеводородный радикал с прямой или разветвленной цепью, включающий только атомы углерода и водорода и содержащий от 1 до 12 атомов углерода. «(Низш.)алкил» означает алкильную группу, содержащую от 1 до 6 атомов углерода. Примеры алкильных радикалов включают, без ограничения перечисленным, метил, этил, пропил, изопропил, изобутил, втор-бутил, трет-бутил, пентил, н-гексил, октил, додецил и т.п.
“Алкилен” означает насыщенный двухвалентный углеводородный радикал с прямой цепью, содержащий от одного до шести атомов углерода, или насыщенный двухвалентный углеводородный радикал с разветвленной цепью, содержащий от трех до шести атомов углерода, например метилен, этилен, 2,2-диметилэтилен, пропилен, 2-метилпропилен, бутилен, пентилен и т.п.
«Алкокси» означает радикал формулы -O-R, где R означает алкильный радикал, указанный выше. Примеры радикалов алкокси включают, без ограничения перечисленным, метокси, этокси, изопропокси и т.п.
«Алкоксиалкил» означает радикал формулы RaRb-, где Ra означает алкокси, указанный выше, а Rb означает алкилен, указанный выше. Примеры радикалов алкоксиалкил включают метоксиэтил, этоксиэтил, 2,3-диметоксипропил и т.п.
«Антагонист» означает соединение, которое снижает или блокирует активность другого соединения или рецепторного участка.
«Арил» означает одновалентную циклическую ароматическую углеводородную группу, включающую моно-, би- или трициклический ароматический цикл. Арильная группа необязательно замещена, как указано в описании заявки. Примеры арильных групп включают, без ограничения перечисленным, необязательно замещенный фенил, нафтил, фенантрил, флуоренил, инденил, пенталенил, азуленил, оксидифенил, бифенил, метилендифенил, аминодифенил, дифенилсульфидил, дифенилсульфонил, дифенилизопропилиденил, бензодиоксанил, бензофуранил, бензодиоксилил, бензопиранил, бензоксазинил, бензоксазинонил, бензопиперадинил, бензопиперазинил, бензопирролидинил, бензоморфолинил, метилендиоксифенил, этилендиоксифенил и т.п., включая их частично гидрированные производные.
“Арилалкил” и “аралкил”, которые используются взаимозаменяемым образом, означают радикал -RaRb, где Ra означает группу алкилен, указанную выше, а Rb означает группу арил, указанную выше. Примеры аралкильных радикалов включают, например, бензил, фенилэтил, 3-(3-хлорфенил)-2-метилпентил и т.п.
“Циклоалкил” означает одновалентный насыщенный карбоциклический радикал, включающий один или более циклов и необязательно замещенный одним или более заместителями, независимо выбранными из группы, включающей гидрокси, алкил, алкокси, галоген, галогеналкил, амино, моноалкиламино или диалкиламино, если не указано иное. Примеры циклоалкильных радикалов включают, без ограничения перечисленным, циклопропил, циклобутил, циклопентил, циклогексил, циклогептил и т.п., включая их частично ненасыщенные производные.
“Циклоалкилалкил” означает радикал формулы -R’R”, где R’ означает алкилен, указанный выше, а R” означает циклоалкил, указанный выше.
“Гетероалкил” означает алкильный радикал, указанный выше, в котором один, два или три атома водорода независимо заменены на группу, независимо выбранную из группы, включающей -ORa, -NRbRc и -S(O)nRd (где n равно целому числу от 0 до 2), причем подразумевается, что местом присоединения гетероалкильного радикала является атом углерода, Ra означает водород, ацил, алкил, циклоалкил или циклоалкилалкил, Rb и Rc независимо друг от друга означают водород, ацил, алкил, циклоалкил или циклоалкилалкил и если n равно 0, то Rd означает водород, алкил, циклоалкил или циклоалкилалкил, а если n равно 1 или 2, то Rd означает алкил, циклоалкил, циклоалкилалкил, амино, ациламино, моноалкиламино или диалкиламино. Типичные примеры включают, без ограничения перечисленным, 2-гидроксиэтил, 3-гидроксипропил, 2-гидрокси-1-гидроксиметилэтил, 2,3-дигидроксипропил, 1-гидроксиметилэтил, 3-гидроксибутил, 2,3-дигидроксибутил, 2-гидрокси-1-метилпропил, 2-аминоэтил, 3-аминопропил, 2-метилсульфонилэтил, аминосульфонилметил, аминосульфонилэтил, аминосульфонилпропил, метиламиносульфонилметил, метиламиносульфонилэтил, метиламиносульфонилпропил и т.п.
“Гидроксиалкил” означает группу формулы HO-Rc-, где Rc означает алкилен, указанный выше. Примеры гидроксиалкильных групп включают гидроксиэтил, гидроксипропил, 2,3-дигидроксипропил и т.п.
“Гетероарил” означает моноциклический или бициклический радикал, содержащий от 5 до 12 атомов в цикле и по меньшей мере один ароматический цикл, включающий один, два или три гетероатома в цикле, выбранные из N, О или S, а остальные атомы в цикле являются атомами углерода, причем подразумевается, что место присоединения гетероарильного радикала находится в ароматическом цикле. Гетероарильный цикл необязательно замещен, как указано выше. Примеры гетероарильного радикала включают, без ограничения перечисленным, необязательно замещенный имидазолил, оксазолил, изоксазолил, тиазолил, изотиазолил, оксадиазолил, тиадиазолил, пиразинил, тиенил, бензотиенил, тиофенил, фуранил, пиранил, пиридил, пирролил, пиразолил, пиримидил, хинолинил, изохинолиннл, бензофурил, бензотиофенил, бензотиопиранил, бензимидазолил, бензоксазолил, бензоксадиазолил, бензотиазолил, бензотиадиазолил, бензопиранил, индолил, изоиндолил, триазолил, триазинил, хиноксалинил, пуринил, хиназолинил, хинолизинил, нафтиридинил, птеридинил, карбазолил, азепинил, диазепинил, акридинил и т.п., включая их частично гидрированные производные.
Термин “галоген” означает заместитель фтор, хлор, бром или иод.
“Галогеналкил” означает алкил, указанный выше, в котором один или более атомов водорода заменены на один или разные галогены. Примеры галогеналкила включают -СН2Cl, -СН2CF3, -СН2CCl3, перфторалкил (например, -CF3) и т.п.
“Гетероциклоамино” означает насыщенный цикл, в котором по меньшей мере один атом означает N, NH или N-алкил, а остальные атомы в цикле образуют алкиленовую группу.
“Гетероциклил” означает одновалентный насыщенный радикал, включающий от одного до трех циклов и один, два, три или четыре гетероатома (выбранных из атомов азота, кислорода или серы). Гетероциклильный радикал необязательно замещен, как указано в тексте заявки. Примеры гетероциклильного радикала включают, без ограничения перечисленным, необязательно замещенный пиперидинил, пиперазинил, гомопиперазинил, азепинил, пирролидинил, пиразолидинил, имидазолинил, имидазолидинил, пиридинил, пиридазинил, пиримидинил, оксазолидинил, изоксазолидинил, морфолинил, тиазолидинил, изотиазолидинил, хинуклидинил, хинолинил, изохинолинил, бензимидазолил, тиадиазолидинил, бензотиазолидинил, бензоазолидинил, дигидрофурил, тетрагидрофурил, дигидропиранил, тетрагидропиранил, тиаморфолинил, тиаморфолинилсульфоксид, тиаморфолинилсульфон, дигидрохинолинил, дигидроизохинолинил, тетрагидрохинолинил, тетрагидроизохинолинил и т.п.
“Необязательно замещенный”, используемый в сочетании с терминами “арил”, “фенил”, “гетероарил” или “гетероциклил”, означает арил, фенил, гетероарил или гетероциклил, который необязательно и независимо замещен одним-четырьмя заместителями, предпочтительно одним или двумя заместителями, выбранными из группы, включающей алкил, циклоалкил, циклоалкилалкил, гетероалкил, гидроксиалкил, галоген, нитро, циано, гидрокси, алкокси, амино, ациламино, моноалкиламино, диалкиламино, галогеналкил, галогеналкокси, гетероалкил, -COR (где R означает водород, алкил, фенил или фенилалкил), -(CR’R”)n-COOR (где n равно целому числу от 0 до 5, R’ и R” независимо означают водород или алкил, а R означает водород, алкил, циклоалкил, циклоалкилалкил, фенил или фенилалкил) или -(CR’R”)n-CONRaRb (где n равно целому числу от 0 до 5, R’ и R” независимо означают водород или алкил, а Ra и Rb независимо друг от друга означают водород, алкил, циклоалкил, циклоалкилалкил, фенил или фенилалкил).
«Уходящая группа» означает группу, название которой обычно ассоциируется с ее использованием в синтетической органической химии, т.е. означает атом или группу, которая замещается в условиях реакции замещения. Примеры уходящей группы включают, без ограничения перечисленным, галоген, алкан- или ариленсульфонилокси, такой как метансульфонилокси, этансульфонилокси, тиометил, бензолсульфонилокси, тозилокси и тиенилокси, дигалогенфосфиноилокси, необязательно замещенный бензилокси, изопропилокси, ацилокси и т.п.
«Модулятор» означает соединение, которое взаимодействует с мишенью. Взаимодействие включает, без ограничения перечисленным, действие типа агониста, действие типа антагониста и т.п., как указано в описании заявки.
“Необязательный” или “необязательно” означает, что нижеописанное событие или обстоятельство может произойти, но необязательно произойдет и что описание включает случаи, когда это событие или обстоятельство произойдет, и случаи (примеры), когда оно не произойдет.
“Патологическое состояние” означает заболевание, состояние, симптом или показание.
«Инертный органический растворитель» или «инертный растворитель» означает растворитель, инертный в условиях описываемой в тексте реакции, включающий, например, бензол, толуол, ацетонитрил, тетрагидрофуран, N,N-диметилформамид, хлороформ, хлористый метилен или дихлорметан, дихлорэтан, диэтиловый эфир, этилацетат, ацетон, метилэтилкетон, метанол, этанол, пропанол, изопропанол, трет-бутанол, диоксан, пиридин и т.п. Если не указано иное, растворители, использованные в реакциях по настоящему изобретению, являются инертными растворителями.
«Фармацевтически приемлемый» означает материал, который используют при получении фармацевтической композиции и который обычно является безопасным, не токсичным, безопасным в биологическом или ином отношении и включает материал, приемлемый как в ветеринарии, так и в фармацевтике.
«Фармацевтически приемлемые соли» соединения означают соли, которые являются фармацевтически приемлемыми и которые обладают необходимой фармакологической активностью исходного соединения. Такие соли включают кислотно-аддитивные соли неорганических кислот, таких как хлористоводородная кислота, бромистоводородная кислота, серная кислота, азотная кислота, фосфорная кислота и т.п., или органических кислот, таких как уксусная кислота, бензолсульфоновая кислота, бензойная кислота, камфорсульфоноая кислота, лимонная кислота, этансульфоновая кислота, фумаровая кислота, глюкогептоновая кислота, глюконовая кислота, глутаминовая кислота, гликолевая кислота, гидроксинафтоевая кислота, 2-гидроксиэтансульфоновая кислота, молочная кислота, малеиновая кислота, яблочная кислота, малоновая кислота, миндальная кислота, метансульфоновая кислота, муконовая кислота, 2-нафталинсульфоновая кислота, пропионовая кислота, салициловая кислота, янтарная кислота, винная кислота, пара-толуолсульоновая кислота, триметилуксусная кислота и т.п., или соли, образующиеся при замене кислотного протона, присутствующего в исходном соединении, на ион металла, например ион щелочного металла, ион щелочно-земельного металла, или ион алюминия, или при образовании протоном координационного соединения с органическим или неорганическим основанием. Приемлемые органические основания включают диэтаноламин, этаноламин, N-метилглюкамин, триэтаноламин, трометамин и т.п. Приемлемые неорганические основания включают гидроксид алюминия, гидроксид кальция, гидроксид калия, карбонат натрия и гидроксид натрия.
Предпочтительными фармацевтически приемлемыми солями являются соли уксусной кислоты, хлористоводородной кислоты, серной кислоты, метансульфоновой кислоты, малеиновой кислоты, фосфорной кислоты, винной кислоты, лимонной кислоты, натрия, калия, кальция, цинка и магния.
Подразумевается, что все ссылки на фармацевтически приемлемые соли включают их сольватированные (сольваты) или кристаллические формы (полиморфные модификации) указанной кислотно-аддитивной соли.
“Пролекарство” означает любое соединение, которое высвобождает активное исходное соединение формулы I in vivo, когда такое пролекарство вводится млекопитающему. Пролекарства соединений формулы I получают модификацией одной или более функциональных групп, присутствующих в соединении формулы I, таким образом, что модифицированные группы могут расщепляться in vivo с высвобождением исходного соединения. Пролекарства включают соединения формулы I, в которых гидрокси-, амино- или сульфгидрильная группа в соединении формулы I связана с любой группой, которая может отщепляться in vivo с регенерацией свободной гидрокси-, амино- или сульфгидрильной группы соответственно. Примеры пролекарств включают, без ограничения перечисленным, сложные эфиры (например, ацетат, формиат и бензоат), карбаматы (например, N,N-диметиламинокарбонил) и простые эфиры гидроксильных функциональных групп соединений формулы I, N-ацилпроизводные (например, N-ацетил), N-основания Манниха, Шиффовы основания и енаминоны аминогрупп, оксимы, ацетали, кетали и енольные сложные эфиры кетонных и альдегидных функциональных групп в соединениях формулы I и т.п. (см. Bundegaard H., Design of Prodrugs, с.1-92, Elesevier, New York-Oxford (1985), и т.п.).
“Защитная группа” означает группу, которая селективно блокирует одну реакционноспособную группу в полифункциональном соединении таким образом, что химическую реакцию можно провести избирательно по другой незащищенной реакционноспособной группе в соответствии с известными методами синтетической химии. Некоторые способы по настоящему изобретению рассчитаны на то, что защитные группы блокируют реакционноспособные атомы азота и/или кислорода в реагентах. Например, термин «аминозащитная группа» или «N-защитная группа» означает органические группы, предназначенные для защиты атома азота от нежелательных реакций при проведении синтеза. Типичные N-защитные группы включают, без ограничения перечисленным, трифторацетил, ацетамидо, бензил (Bn), бензилоксикарбонил (CBZ), пара-метоксибензилоксикарбонил, пара-нитробензилоксикарбонил, трет-бутоксикарбонил (ВОС) и т.п. Выбор группы, которая будет устойчива в условиях проводимых реакций и которую вместе с тем легко удалить, представляется очевидным для специалиста в данной области.
Термин “сольваты” означает сольватированные формы, содержащие стехиометрическое или нестехиометрическое количество растворителя. Некоторые соединения способны удерживать в кристаллической решетке фиксированное количество молекул растворителя, образуя сольват. Гидраты образуются в том случае, если в качестве растворителя используется вода, а алкоголяты образуются в том случае, если растворителем является спирт. Гидраты образуются благодаря комбинации одной или более молекул воды с одной молекулой соединения, причем в указанной комбинации вода сохраняет молекулярную форму, такую как Н2О, и такие комбинации могут существовать в виде одного или более гидратов.
“Субъект” означает млекопитающих и немлекопитающих. Млекопитающие означают любого члена класса млекопитающих, включая, без ограничения перечисленным, человека, нечеловекообразных приматов, таких как шимпанзе и другие виды мартышек и обезьян, сельскохозяйственных животных, таких как крупный рогатый скот, лошади, овцы, козы и свиньи, домашних животных, таких как кролики, собаки и кошки, лабораторных животных, включая грызунов, таких как крысы, мыши и морские свинки и т.п. Примеры немлекопитающих включают, без ограничения перечисленным, птиц и т.п. Термин субъект не означает конкретный возраст или пол.
«Терапевтически эффективное количество» означает количество соединения, которое при введении субъекту для лечения патологического состояния является достаточным для излечения патологического состояния. Терапевтически эффективное количество варьирует в зависимости от типа соединения, патологического состояния, подлежащего лечению, тяжести болезни, возраста и относительного состояния здоровья субъекта, от способа и формы введения, от мнения лечащего врача или практикующего ветеринара и других факторов.
Термины “указанные выше” и “указанные в данном контексте” в сочетании с переменным включают ссылку на более широкое определение, а также на предпочтительные, более предпочтительные и наиболее предпочтительные определения, если таковые вообще присутствуют в тексте.
“Терапия” или “лечение” заболевания включает: (1) профилактику заболевания, т.е. предупреждение развития клинических симптомов заболевания у субъекта, который подвержен или предрасположен к заболеванию, но у которого не обнаруживаются или не проявляются симптомы заболевания; (2) подавление заболевания, т.е. остановку или подавление развития заболевания или его клинических симптомов, или (3) ослабление заболевания, например стимуляцию временной или долгосрочной регрессии заболевания или его клинических симптомов.
Термины “обработка”, “контактирование” и “взаимодействие” в связи с химической реакцией означают добавление или смешивание двух или более реагентов в соответствующих условиях с целью получения требуемого продукта. Подразумевается, что реакция, которая приводит к указанному и/или требуемому продукту, необязательно осуществляется непосредственно за счет комбинации двух первоначально добавленных реагентов, т.е. при этом в реакционной смеси могут образоваться один или более промежуточных соединений, из которых в конечном счете образуется указанный и/или требуемый продукт.
В общем случае номенклатура, использованная в описании заявки, основана на программном обеспечении AUTONOMTM версия 4.0 компьютерной системы института Бельштейна для формирования систематической номенклатуры ИЮПАК. При этом нумерация атомов в бензоксазиновых соединениях производится в соответствии с номенклатурой ИЮПАК, как указано ниже.

Приведенные в описании химические структуры получены с использованием программного обеспечения ISIS®, версия 2.2. Подразумевается, что любая свободная валентность у атомов углерода, азота или кислорода означает присутствие атома водорода.
В изобретении предлагаются соединения формулы (I)

или их фармацевтически приемлемые соли или сольваты, где
m равно от 0 до 3, предпочтительно m равно 0 или 1,
Х означает N или СН, предпочтительно Х означает N,
Y означает -SO2– или -СН2-, предпочтительно Y означает -SO2-,
каждый R1 независимо означает галоген, С1-С12алкил, галоген(С1-С12)алкил, С1-С12алкокси, циано, гидрокси(С1-С12)алкил, С1-С12алкокси(С1-С12)алкил, -SO2Ra, -C(=O)-NRbRc, -SO2-NRbRc, -SRb, -N(Rb)-C(=O)-Rc, -C(=O)-Rb или -N(Rb)-SO2-Ra, где каждый Ra независимо означает С1-С12алкил или галоген(С1-С12)алкил, а каждый Rb и Rc независимо означает водород, С1-С12алкил или галоген(С1-С12)алкил,
R2 означает арил или гетероарил, необязательно замещенный группами С1-С12алкил, галоген, галоген(С1-С12)алкил, C1-C12алокси или циано,
каждый R3 и R4 независимо означает С1-С12алкил, гидрокси(С1-С12)алкил или С1-С12алкокси(С1-С12)алкил, или R3 и R4 вместе с атомом углерода, к которому они присоединены, образуют циклическую группу, содержащую в цикле 3-6 атомов, которая необязательно включает гетероатом, выбранный из N, О и S, предпочтительно R3 и R4 означают С1-С12алкил и каждый R5, R6, R7, R8 и R9 независимо означает водород или С1-С12алкил, или
R9 и один из R5, R6, R7 или R8 вместе с атомами, к которым они присоединены, образуют гетероциклоаминовый цикл, содержащий в цикле 5-7 атомов.
Подразумевается, что изобретение включает не только различные возможные изомеры, но и различные смеси изомеров. Кроме того, изобретение также включает сольваты и соли соединений формулы I. Если любой из R1, R3, R4, R5, R6, R7, R8 и R9 означает С1-С12алкил, то предпочтительно указанные заместители означают C1-С6алкил и более предпочтительно С1-С4алкил. В некоторых вариантах Y означает -SO2.
В некоторых вариантах m равно 0 или 1.
В некоторых вариантах Х означает N.
В некоторых вариантах R1 означает галоген, С1-С12алкил, галоген(С1-С12)алкил, С1-С12алкокси, циано, гидрокси(С1-С12)алкил или C1-C12алокси(С1-С12)алкил.
В некоторых вариантах R2 означает галогенфенил.
В некоторых вариантах Y означает -SO2, m равно 0 или 1, Х означает N, R1 означает галоген, С1-С12алкил, галоген(С1-С12)алкил, С1-С12алкокси, циано, гидрокси(С1-С12)алкил или С1-С12алкокси(С1-С12)алкил, а R2 означает галогенфенил.
В некоторых вариантах R2 означает арил, предпочтительно необязательно замещенный фенил или необязательно замещенный нафтил. Более предпочтительно R2 означает фенил, 2-фторфенил, 2-хлорфенил, 3,4-дихлорфенил, 4-хлорфенил, 3-хлорфенил, 4-метоксифенил, 3,5-дихлорфенил, 2,6-дихлорфенил, 2,4-дихлорфенил, 3-метансульфониламинофенил, 2-метансульфонилфенил, 2-карбамоилфенил, 3-метансульфонилфенил, 4-метансульфонилфенил, 3-фторфенил, нафтил, 2,4-дифторфенил, 2-цианофенил, 2-хлор-4-фторфенил, 2-метил-5-фторфенил или 5-хлорнафтил. В специальных вариантах R2 означает фенил или галогенфенил. Более предпочтительно R2 означает фенил или галогенфенил, такой как 2-галогенфенил, 3-галогенфенил или 4-галогенфенил. В специальных вариантах R2 может означать 2-хлорфенил или 2-фторфенил.
В некоторых вариантах R3 и R4 означают С1-С12алкил. В других вариантах R3 и R4 вместе с атомом углерода, к которому они присоединены, образуют циклическую группу, содержащую в цикле от 3 до 6 атомов, которая необязательно включает гетероатом, выбранный из N, О и S. В специальных вариантах R3 и R4 означают метил или R3 и R4 вместе с атомом углерода, к которому они присоединены, образуют циклобутильный цикл или группу.
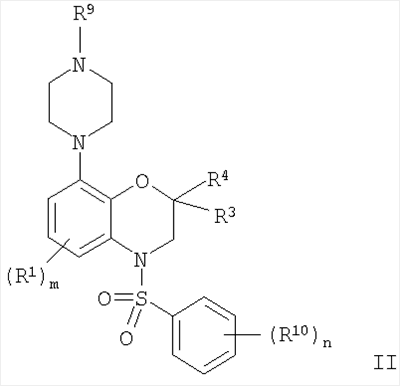
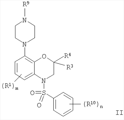
В некоторых вариантах соединения формулы (I) более конкретно означают соединения формулы (II)

где n равно от 0 до 5, предпочтительно n равно от 0 до 2,
каждый R10 независимо означает С1-С12алкил, галоген, галоген(С1-С12)алкил,
C1-C12алокси или циано, а
m, R1, R3, R4 и R9 имеют значения, указанные в тексте заявки.
В некоторых вариантах соединений формулы II n равно 0 или 1.
В некоторых вариантах соединений формулы II R10 означает галоген.
В некоторых вариантах соединений формулы II n равно 0 или 1, а R10 означает галоген.
Некоторые типичные соединения формулы I, их температуры плавления и молекулярные ионы по данным масс-спектрометрии приводятся в таблице 1. Если на указано иное, температура плавления указана для гидрохлоридов.
| Таблица 1 |
 |
Структура |
Название |
tпл. (°С) или МС (М+Н) |
| 1 |
 |
4-(2-Фторбензолсульфонил)-2,2-диметил-8-пиперазин-1-ил-3,4-дигидро-2Н-бензо[1,4]оксазин |
222,9-227,1°С |
| 2 |
 |
4-(3-Фторбензолсульфонил)-2,2-диметнл-8-пиперазин-1-ил-3,4-дигидро-2Н-бензо[1,4]оксазин |
>300°С (разл.) |
| 3 |
 |
4-(4-Фторбензолсульфонил)-2,2-диметил-8-пиперазин-1-ил-3,4-дигидро-2Н-бензо[1,4]оксазин |
184-193°С |
| 4 |
 |
4-(3-Хлорбензолсульфонил)-2,2-диметил-8-пиперазин-1-ил-3,4-дигидро-2Н-бензо[1,4]оксазин |
233,2-235°С |
| 5 |
 |
6-Фтор-4-(2-фторбензолсульфонил)-2,2-диметил-8-пиперазин-1-ил-3,4-дигидро-2Н-бензо[1,4]оксазин |
262,3-265,8°С |
| 6 |
 |
4-(4-Хлорбензолсульфонил)-2,2-диметил-8-пиперазин-1-ил-3,4-дигидро-2Н-бензо[1,4]оксазин |
273,0-277,1°С |
| 7 |
 |
6-Фтор-4-(3-фторбензолсульфонил)-2,2-диметил-8-пиперазин-1-ил-3,4-дигидро-2Н-бензо[1,4]оксазин |
197-198,2°С |
| 8 |
 |
6-Фтор-4-(4-фторбензолсульфонил)-2,2-диметил-8-пиперазин-1-ил-3,4-дигидро-2Н-бензо[1,4]оксазин |
204,7-210,3°С |
| 9 |
 |
4-Бензолсульфонил-6-фтор-2,2-диметил-8-пиперазин-1-ил-3,4-дигидро-2Н-бензо[1,4]оксазин |
259,6-264,2°С |
| 10 |
 |
2-(2,2-Диметил-8-пиперазин-1-ил-2,3-дигидробензо[1,4]оксазин-4-сульфонил)бензонитрил |
190,6-192,2°С |
| 11 |
 |
3-(2,2-Диметил-8-пиперазин-1-ил-2,3-дигидробензо[1,4]оксазин-4-сульфонил)бензонитрил |
189,0-194,9°С |
| 12 |
 |
4-Бензолсульфонил-2,2-диметил-8-пиперазин-1-ил-3,4-дигидро-2Н-бензо[1,4]оксазин |
213,6-215,0°С |
| 13 |
 |
4-(2-Фторбензолсульфонил)-2,2-спироциклобутан-8-пиперазин-1-ил-3,4-дигидро-2Н-бензо[1,4]оксазин |
194,8-207,6°С |
| 14 |
 |
4-(3-Фторбензолсульфонил)-2,2-спироциклобутан-8-пиперазин-1-ил-3,4-дигидро-2Н-бензо[1,4]оксазин |
200,1-206,1°С |
| 15 |
 |
4-(2-Хлорбензолсульфонил)-2,2-спироциклобутан-8-пиперазин-1-ил-3,4-дигидро-2Н-бензо[1,4]оксазин |
191,7-194,3°С |
| 16 |
 |
4-Бензолсульфонил-2,2,6-триметил-8-пиперазин-1-ил-3,4-дигидро-2Н-бензо[1,4]оксазин |
262,9-264,6°С |
| 17 |
 |
4-(3-Фторбензолсульфонил)-2,2,6-триметил-8-пиперазинил-ил-3,4-дигидро-2Н-бензо[1,4]оксазин |
253,3-255,8°С |
| 18 |
 |
4-(2-Фторбензолсульфонил)-2,2,6-триметил-8-пиперазин-1-ил-3,4-дигидро-2Н-бензо[1,4]оксазин |
274,6-276,2°С |
| 19 |
 |
(4-Бензолсульфонил-2,2-диметил-8-пиперазин-1-ил-3,4-дигидро-2Н-бензо[1,4]оксазин-6-ил)метанол |
419 (М+Н) |
| 20 |
 |
2,2-Диметил-8-пиперазин-1-ил-4-(пиридин-3-сульфонил)-3,4-дигидро-2Н-бензо[1,4]оксазин |
389 (М+Н) |
Другим объектом настоящего изобретения является композиция, включающая терапевтически эффективное количество соединения формулы (I) и фармацевтически приемлемый носитель.
Еще одним объектом настоящего изобретения является способ лечения патологического состояния ЦНС у субъекта, включающий введение субъекту терапевтически эффективного количества соединения формулы (I). Предпочтительно патологическое состояние включает психозы, шизофрению, маниакальные депрессии, неврологические нарушения, нарушения памяти, нарушение в форме дефицита внимания, болезнь Паркинсона, боковой амиотрофический склероз, болезнь Альцгеймера и болезнь Гентингтона.
Еще одним объектом настоящего изобретения является способ лечения у субъекта нарушения желудочно-кишечного тракта, включающий введение субъекту терапевтически эффективного количества соединения формулы (I).
Другим объектом настоящего изобретения является способ получения соединения формулы (I).
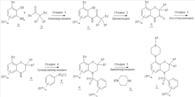
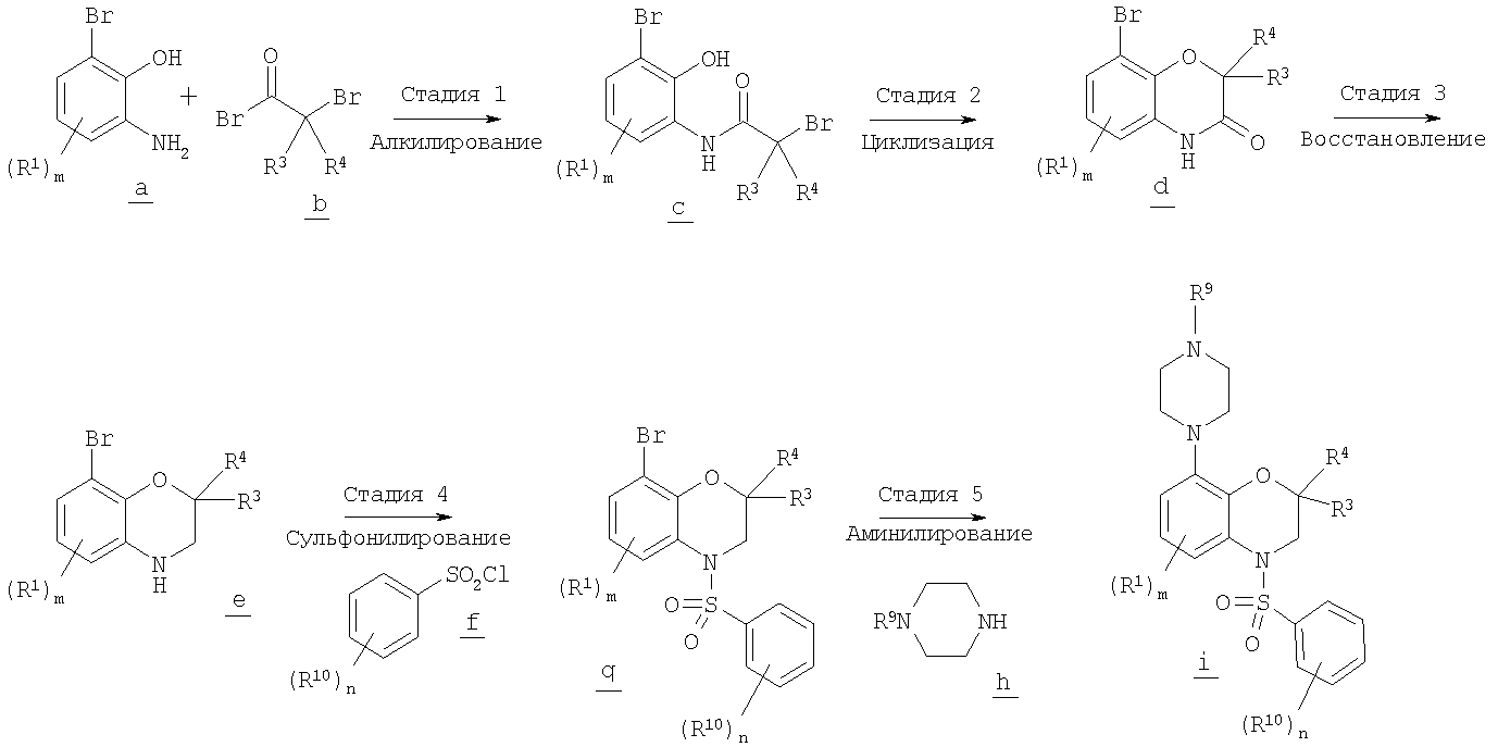
В варианте изобретения конкретные соединения формулы I, обозначенные ниже как соединения формулы i:

получают методом, который включает следующие стадии:
а) взаимодействие соединения формулы а

с соединением формулы b

с образованием соединения формулы с

б) циклизацию соединения формулы с с образованием соединения формулы d

в) восстановление соединения формулы d с образованием соединения формулы е

г) взаимодействие соединения формулы е с соединением формулы f

с образованием соединения формулы g

д) взаимодействие соединения формулы g с соединением формулы h

с образованием соединения формулы i
где R1, R3, R4, R9, R10, m и n имеют значения, указанные выше.
В варианте изобретения конкретные соединения формулы I, обозначенные ниже как соединения формулы m

получают методом, который включает следующие стадии:
а) взаимодействие соединения формулы d

с соединением формулы j

с образованием соединения формулы k

б) восстановление соединения формулы k с образованием соединения формулы l

в) взаимодействие соединения формулы l с соединением формулы h

с образованием соединения формулы m,
где R1, R3, R4, R9, R10, m и n имеют значения, указанные выше.
В еще одном варианте изобретения конкретные соединения формулы I, обозначенные ниже как соединения формулы q

получают методом, который включает следующие стадии:
а) взаимодействие соединения формулы g

с соединением формулы n

с образованием соединения формулы о

б) дегидратирование соединения формулы о с образованием соединения формулы р

в) дегидрирование соединения формулы р с образованием соединения формулы q,
где R1, R3, R4, R9, R10, m и n имеют значения, указанные выше.
Кроме того, указанные методы иллюстрируются схемами реакций, приведенными ниже.
Исходные материалы и реагенты, которые используются при получении указанных соединений, являются коммерческими препаратами, поставляемыми фирмами, такими как Aldrich Chemical Co., или их можно получить методами, известными специалисту в данной области, по методикам, описанным в литературе, такой как Fieser and Fieser’s Reagents for Organic Synthesis, Wiley & Sons, New York, т.т.1-15 (1991), Rodd’s Chemistry of Carbon Compounds, Elsevier Science Publishers, т.т.1-5, и Supplementals (1989) и Organic Reactions, т.т.1-40, John Wiley and Sons (1991). Следующие схемы реакций лишь иллюстрируют некоторые методы синтеза соединений по настоящему изобретению, а различные модификации этих схем реакций могут быть разработаны и предложены специалистом в данной области со ссылкой на материалы настоящей заявки.
Исходные материалы и промежуточные соединения в указанных схемах реакций можно получить и при необходимости очистить соответствующими способами, включая, без ограничения перечисленным, фильтрование, перегонку, кристаллизацию, хроматографию и т.п. Такие материалы можно охарактеризовать соответствующими методами, включая физические константы и спектральные данные.
Если не указано иное, реакции, приведенные в описании заявки, предпочтительно проводили в атмосфере инертного газа при атмосферном давлении при температуре от приблизительно -78°С до приблизительно 150°С, более предпочтительно от приблизительно 0°С до приблизительно 125°С и наиболее предпочтительно при приблизительно комнатной температуре, например при приблизительно 20°С.
Ниже на схеме А иллюстрируется методика получения конкретных соединений формулы (I), в которых R1, R3, R4, m и n имеют значения, указанные выше.
Схема А

В схеме А на стадии 1 орто-аминофенол а N-алкилируют по реакции с галоидангидридом b с образованием бензамида с. Реакцию проводят в сухом полярном апротонном растворителе при пониженной температуре в присутствии основания в виде амина. Галоидангидрид b может включать, например, 2-бром-2-метилпропионилбромид (при условии, что R3 и R4 каждый означает метил), 2-бром-2-(2-гидроксиэтил)бутироилбромид (при условии, что R3 и R4 каждый означает 2-гидроксиэтил), 2-бром-2-(2-метоксиэтил)пропионилбромид (при условии, что R3 означает 2-метоксиэтил, а R4 означает метил), 1-бромциклобутанкарбонилбромид (при условии, что R3 и R4 вместе с атомом углерода, к которому они присоединены, образуют циклобутил) и т.п. Во многих случаях атом брома в галоидангидриде b можно заменить на атом хлора или на другие уходящие группы.
На стадии 2 бензамид с циклизуют с образованием бензоксазинона d. Циклизацию проводят при нагревании бензамида с в присутствии слабого основания, такого как карбонат калия, в полярном апротонном растворителе.
Бензоксазинон d, полученный на стадии 2, восстанавливают на стадии 3 с образованием бензоксазина е. Восстановление на стадии 3 проводят с использованием, например, восстанавливающих агентов, таких, как боран или борановые комплексы, цианоборогидрид натрия, никель Ренея/гидразин или т.п.
На стадии 4 бензоксазин е вводят в реакцию сульфонилирования, при обработке арилсульфонилгалогенидом f с образованием арилсульфонилбензоксазина g. Реакцию сульфонилирования на стадии 4 обычно проводят в полярном апротонном растворителе в присутствии основания в виде амина. Следует отметить, что арилсульфонилгалогенид f можно заменить на гетероарилсульфонилхлориды, такие как пиридинсульфонилхлориды, тиенсульфонилхлориды, фурансульфонилхлориды или т.п.
На стадии 5 проводят реакцию аминирования, при которой арилсульфонилбензоксазин g обрабатывают пиперазином h в присутствии палладиевого катализатора в неполярном растворителе, при этом получают пиперазиниларилсульфонилбензоксазин i. Соединение i представляет собой соединение формулы (I) по изобретению, где Х означает N, Y означает -SO2-, R2 означает необязательно замещенный фенил, а R5, R6, R7 и R8 означают водород. Более конкретно соединение i означает соединение формулы (II), описанное выше.
Если R9 означает водород, то для защиты соответствующего атома азота в пиперазине i можно использовать ВОС-группу или другие защитные группы, а удаление ВОС-группы или другой защитной группы можно проводить на стадии 5 после реакции аминирования.
Различные варианты вышеуказанной методики возможны и будут предложены специалистом в данной области со ссылкой на материалы настоящей заявки. Один из таких вариантов, показанный на схеме Б, можно использовать для получения соединений формулы (I), в которых Y означает -СН2-, а не -SO2-.
Схема Б

В схеме Б на стадии 1 бензоксазинон d (полученный, как показано выше на схеме А), подвергают N-бензилированию по реакции с бензилбромидом i с образованием N-бензилбензоксазинона k. Затем N-бензилбензоксазинон k восстанавливают на стадии 2 с образованием N-бензилбензоксазина l. Затем N-бензилбензоксазин l в свою очередь аминируют по реакции с пиперазином h (показанным на схеме А) с образованием пиперазинилбензилбензоксазина m, который представляет собой соединение формулы (I), где Х означает N, Y означает -СН2-, R2 означает необязательно замещенный фенил, a R5, R6, R7 и R8 означают водород. Если R9 означает водород, то во время реакции аминирования используют стратегию введения/удаления соответствующих защитных групп аналогично тому, как указано выше.
Еще один вариант методики (схемы А), показанной на схеме В, можно использовать для получения соединений формулы (I), в которых Х означает -СН-, а не N.
Схема В

В схеме В на стадии 1 арилсульфонилбензоксазин g (полученный, как показано выше на стадии 4 схемы А) обрабатывают алкиллитием, таким как н-бутиллитий, в безводном полярном апротонном растворителе при охлаждении сухим льдом/ацетоном с образованием промежуточного литийорганического соединения (не показано), где атом брома в соединении g заменен на атом лития. Затем промежуточным литийорганическим соединением алкилируют in situ гетероциклический кетон n с образованием гетероциклилзамещенного арилсульфонилбензоксазина о. Гетероциклический кетон n может включать, например, показанный выше пиперидон или в другом варианте пирролидинон или азепинон, каждый из которых является коммерческим препаратом. Если R9 означает водород, то для защиты экспонированного атома азота в гетероциклическом кетоне n и соответствующего атома азота в гетероциклилзамещенном арилсульфонилбензоксазине о можно использовать ВОС-группу или другие защитные группы.
На стадии 2 гетероциклилзамещенный арилсульфонилбензоксазин о дегидратируют при обработке слабой кислотой с образованием соединения р, где гетероциклильный остаток является частично ненасыщенным. В некоторых вариантах такое дегидратирование может проходить самопроизвольно, что исключает стадию 2.
На стадии 3 соединение p, полученное на стадии 2, гидрируют с образованием замещенного бензоксазина q. Гидрирование проводят с использованием катализатора на основе платины или палладия в этаноле. Бензоксазин q является соединением формулы (I), где Х означает СН, Y означает -SO2-, a R2 означает необязательно замещенный фенил.
Методику, показанную на схеме В, можно также использовать для получения соединений формулы (I), где Х означает СН, Y означает -СН2-, а R2 означает необязательно замещенный фенил. При этом вместо арилсульфонилбензоксазина g в качестве исходного соединения используется N-бензилбензоксазинон k.
Более подробно способы получения соединений формулы I описаны ниже в разделе примеры.
Соединения по изобретению обладают сродством к одному или более рецепторам 5-гидрокситриптамина, включая 5-НТ1, 5-НТ2, 5-НТ3, 5-НТ4, 5-НТ5, 5-НТ6 и/или 5-НТ7. В общем случае соединения обладают избирательным сродством к рецептору 5-НТ6 и предполагается, что они могут использоваться для лечения некоторых нарушений ЦНС, таких как болезнь Паркинсона, болезнь Гентингтона, тревога, депрессия, маниакальная депрессия, психозы, эпилепсия, обсессивно-компульсивные состояния, нарушения настроения, мигрень, болезнь Альцгеймера (для усиления познавательной способности), нарушения сна, нарушения питания, такие как анорексия, булимия и ожирение, приступы паники, акатизия, нарушение в форме дефицита внимания, сопровождающееся гиперактивностью (ADHD), нарушение в форме дефицита внимания (ADD), синдром отмены при злоупотреблении лекарственными средствами, такими как кокаин, этанол, никотин и бензодиазепины, шизофрения, а также нарушения, ассоциированные с травмой спинного мозга и/или травмой головного мозга, такой как гидроцефалия. Предполагается также, что такие соединения можно использовать для лечения некоторых нарушений желудочно-кишечного тракта (GI), таких как функциональное нарушение кишечника.
Фармакологию соединений по настоящему изобретению определяют по известным методикам. Методика определения сродства анализируемых соединений к рецептору 5-НТ6 при связывании радиоактивного лиганда in vitro и методика проведения функционального анализа описаны в примере 2.
Настоящее изобретение включает фармацевтические композиции, содержащие по меньшей мере одно соединение по настоящему изобретению или его индивидуальный изомер, рацемическую или нерацемическую смесь изомеров или фармацевтически приемлемую соль или ее сольват, в смеси по меньшей мере с одним фармацевтически приемлемым носителем и необязательно с другими терапевтическими и/или профилактическими ингредиентами.
В общем случае соединения по настоящему изобретению вводят в терапевтически эффективном количестве любыми приемлемыми способами введения, принятыми для агентов аналогичного назначения. Пригодные дозы обычно составляют 1-500 мг в сутки, предпочтительно 1-100 мг в сутки и наиболее предпочтительно 1-30 мг в сутки, в зависимости от множества факторов, таких как тяжесть излечиваемого заболевания, возраст и относительное состояние здоровья субъекта, активность используемого соединения, способ и форма введения, показания, на основании которых назначается введение лекарственного средства, опыт и квалификация лечащего врача. Специалист по указанным заболеваниям без особых экспериментов, на основании своего опыта и описания настоящего изобретения, сможет определить терапевтически эффективное количество соединений по настоящему изобретению, необходимое для данного заболевания.
В общем случае соединения по настоящему изобретению вводят в виде фармацевтических композиций, включающих композиции, пригодные для перорального (включая трансбуккальный и сублингвальный), ректального, назального, местного, легочного, вагинального или парентерального (включая внутримышечный, внутриартериальный, подоболочечный, подкожный и внутривенный) способов введения или в форме, пригодной для введения ингаляционным способом или вдуванием. Предпочтительным способом введения обычно является пероральный способ при соответствующей суточной схеме приема лекарственного средства, которая назначается в соответствии с тяжестью заболевания.
Соединение или соединения по настоящему изобретению в смеси с одним или более соответствующими адъювантами, носителями или разбавителями можно перерабатывать в фармацевтические композиции и стандартные лекарственные формы. Фармацевтические композиции и стандартные лекарственные формы могут включать соответствующие ингредиенты в соответствующих пропорциях, могут содержать или не содержать дополнительные активные соединения или составные части, а стандартные лекарственные формы могут содержать любое приемлемое эффективное количество активного ингредиента в соответствии с назначенной суточной схемой применения лекарственного средства. Фармацевтические композиции могут использоваться в виде твердых форм, таких как таблетки или заполненные капсулы, в виде полутвердых, порошкообразных составов пролонгированного действия или жидкостей, таких, как растворы, суспензии, эмульсии, эликсиры, или заполненные капсулы для перорального введения; или в форме суппозиториев для ректального или вагинального введения; или в форме стерильных инъекционных растворов для парентерального введения. Для типичных стандартных лекарственных форм пригодны составы, содержащие в таблетке приблизительно один (1) мг активного ингредиента, или в более общем виде, от приблизительно 0,01 до приблизительно 100 мг.
Соединения по настоящему изобретению можно получать в виде множества форм для перорального введения. Фармацевтические композиции и лекарственные формы могут включать в качестве активного компонента соединение или соединения по настоящему изобретению или их фармацевтически приемлемые соли. Фармацевтически приемлемые носители могут иметь твердую или жидкую консистенцию. Твердые формы препаратов включают порошки, таблетки, пилюли, капсулы, крахмальные облатки, суппозитории и диспергируемые гранулы. Твердый носитель может представлять собой одно или более веществ, которые могут действовать как разбавители, ароматизаторы, солюбилизаторы, замасливатели, суспендирующие агенты, связующие агенты, консерванты, дезинтегрирующие агенты или инкапсулирующий материал. При изготовлении в виде порошков носитель обычно представляет собой тонко измельченное твердое вещество, которое находится в смеси с тонко измельченным активным компонентом. При изготовлении таблеток активный компонент обычно смешивают в соответствующей пропорции с носителем, обладающим необходимыми связующими свойствами, и прессуют в таблетки необходимой формы и размера. Порошки и таблетки предпочтительно содержат от приблизительно одного (1) до приблизительно семидесяти (70) процентов активного соединения. Пригодные носители включают, без ограничения перечисленным, карбонат магния, стеарат магния, тальк, сахарозу, лактозу, пектин, декстрин, крахмал, желатин, трагакант, метилцеллюлозу, натриевую соль карбоксиметилцеллюлозы, низкоплавкий воск, масло какао и т.п. Предполагается, что термин «препарат» включает композицию активного соединения с инкапсулирующим материалом-носителем, при условии, что капсула содержит активный компонент в смеси с носителями или без них, причем активный компонент окружен носителем, который контактирует с активным компонентом. Аналогичное определение относится к облаткам и лепешкам. Таблетки, порошки, капсулы, пилюли, облатки и лепешки представляют собой твердые формы, пригодные для перорального введения.
Другие формы, пригодные для перорального введения, включают жидкие формы препаратов, включающие эмульсии, сиропы, эликсиры, водные растворы, водные суспензии или твердые формы препаратов, которые непосредственно перед применением переводят в жидкую форму. Эмульсии можно получать в растворах, например в водных растворах пропиленгликоля, или они могут содержать эмульгирующие агенты, например, такие как лецитин, моноолеат сорбита или аравийская камедь. Водные растворы получают, растворяя активный компонент в воде и добавляя соответствующие красители, ароматизаторы, стабилизаторы и загустители. Водные суспензии готовят диспергированием тонко измельченного активного компонента в воде, содержащей вязкий материал такой, как природные или синтетические камеди, смолы, метилцеллюлоза, натриевая соль карбоксиметилцеллюлозы и прочие известные суспендирующие агенты. Жидкие формы препаратов включают растворы, суспензии и эмульсии и могут содержать, наряду с активным компонентом, красители, ароматизаторы, стабилизирующие агенты, буферные вещества, искусственные и природные подсластители, диспергирующие агенты, загустители, солюбилизирующие агенты и т.п.
Соединения по настоящему изобретению можно получать в форме для парентерального введения (например, инъекцией, например, инъекцией струйным вливанием или непрерывным вливанием) и можно поставлять в виде стандартной лекарственной формы в ампулах, в предварительно заполненных одноразовых шприцах, небольших контейнерах для вливания или контейнерах с несколькими дозами, содержащих консервант. Композиции могут иметь форму суспензий, растворов или эмульсий в масляном или водном связующем, например растворов в водном полиэтиленгликоле. Примеры масляных или неводных носителей, разбавителей, растворителей или связующих включают пропиленгликоль, полиэтиленгликоль, растительные масла (например, оливковое масло) и сложные эфиры органических кислот, пригодные для инъекций (например, этилолеат), и могут содержать дополнительные компоненты, такие как консерванты, смачивающие, эмульгирующие или суспендирующие, стабилизирующие и/или диспергирующие агенты. В другом варианте активный ингредиент может находиться в порошкообразной форме, полученной выделением стерильного твердого вещества в асептических условиях или лиофилизацией раствора, для смешивания перед употреблением с соответствующим носителем, например стерильной, апирогенной водой.
Соединения по настоящему изобретению можно получать для местного нанесения на эпидермис в виде мазей, кремов или лосьонов или в виде чрескожного пластыря. Например, мази и кремы получают на водной или масляной основе при добавлении пригодных загустителей и/или желирующих агентов. Лосьоны получают на водной или на масляной основе, кроме того, обычно содержащей один или более эмульгирующих агентов, стабилизирующих агентов, диспергирующих агентов, суспендирующих агентов, загущающих агентов или красителей. Составы, пригодные для местного введения в ротовую полость, представляют собой лепешки, включающие активные ингредиенты в смеси с ароматизированной основой, обычно с сахарозой и аравийской камедью или трагакантом; пастилки, включающие активный ингредиент на инертной основе, такой как желатин и глицерин или сахароза и аравийская камедь; раствор для полоскания, включающий активный ингредиент в соответствующем жидком носителе.
Соединения по настоящему изобретению можно получать в форме суппозиториев. Низкоплавкий воск, такой как смесь глицеридов жирных кислот или масло какао, сначала расплавляют, а затем в нем равномерно диспергируют активный компонент, например, перемешиванием. Расплавленную гомогенную смесь выливают в формы соответствующего размера и охлаждают для приобретения твердой консистенции.
Соединения по настоящему изобретению можно получать для вагинального введения. Пригодными являются вагинальные суппозитории, тампоны, кремы, гели, пасты, пены и спреи, содержащие наряду с активным ингредиентом носители, известные в данной области техники.
Соединения по настоящему изобретению можно получать для назального введения. Растворы или суспензии вводят непосредственно в носовую полость обычными способами, например капельницей, пипеткой или спреем. Составы могут поставляться в форме, содержащий одну или несколько доз. В случае капельницы или пипетки пациенту вводят определенный объем раствора или суспензии. Аэрозоли вводят дозирующим пульверизатором в виде предварительно отмеренной дозы.
Соединения по настоящему изобретению можно получать для аэрозольного введения, прежде всего в дыхательные пути, включая интраназальное введение. Обычно частицы соединения имеют небольшие размеры, например приблизительно пять (5) или менее мкм. Такой размер частиц получают известными методами, например, измельчением на микронной коллоидной мельнице (микронизацией). Активный ингредиент получают в герметичной упаковке с соответствующим пропеллентом, таким как хлорфторуглерод (ХФУ), например дихлордифторметан, трихлорфторметан или дихлортетрафторэтан, или диоксид углерода или другой приемлемый газ. Аэрозоль может также содержать ПАВ, такое как лецитин. Доза лекарственного средства регулируется дозирующим клапаном. В другом варианте активные ингредиенты готовят в форме сухого порошка, например порошкообразной смеси соединения с соответствующей порошкообразной основой, такой как лактоза, крахмал, производные крахмала, такие как гидроксипропилметилцеллюлоза и поливинилпирролидон (ПВП). В полости носа порошкообразный носитель образует гель. Порошкообразную композицию можно изготовить в виде стандартной лекарственной формы, например, в капсулах или картриджах, например, в желатиновой или блистерной упаковке, из которой порошок можно вводить ингалятором.
При необходимости составы можно получать с энтеросолюбильным покрытием для введения с замедленным или регулируемым высвобождением активного ингредиента. Например, соединения по настоящему изобретению можно получать в виде систем для чрескожной или подкожной доставки. Эти системы обладают преимуществом в тех случаях, когда необходимо замедленное высвобождение соединения или если решающим фактором является согласие пациента с назначенным курсом лечения. В чрескожных системах доставки соединение часто фиксируют на твердой подложке, которую наклеивают на кожу. Указанное соединение может также находиться в комбинации с усилителем всасывания, например азоном (1-додецилазациклогептан-2-он). Системы замедленного высвобождения вводятся подкожно в субдермальный слой хирургом или с использованием инъекции. В подкожных имплантатах соединение включено в липидную растворимую мембрану, например в силиконовый каучук, или биодеградируемый полимер, например полимолочную кислоту.
Фармацевтические препараты предпочтительно представляют собой стандартные лекарственные формы. В такой форме препарат разделен на стандартные дозы, содержащие соответствующие количества активного компонента. Стандартная форма может представлять собой упакованный препарат, причем упаковка содержит дискретные количества препарата, такие как упакованные таблетки, капсулы и порошки во флаконах или ампулах. Кроме того, стандартная форма может представлять собой капсулу, таблетку, облатку или лепешку или может представлять собой упаковку, содержащую определенное количество любой из указанных форм.
Прочие фармацевтически приемлемые носители и их составы описаны в книге Remington, The Science and Practice of Pharmacy, ed. by E.W.Martin, Mack Publishing Company, 19th edition, Easton, Pensilvania (1995). Типичные фармацевтические составы, содержащие соединение по настоящему изобретению, описаны в примерах 6-12.
Примеры
Следующие препараты и примеры приведены с целью предоставить возможность специалисту в данной области более подробно ознакомится с предлагаемым изобретением и использовать его на практике. Примеры приведены с целью иллюстрации и не ограничивают объема изобретения.
Пример 1
4-(2-Фторбензолсульфонил)-2,2-диметил-8-пиперазин-1-ил-3,4-дигидро-2Н-бензо[1,4]оксазин
В примере описан метод получения соединения формулы (I) по методике, показанной ниже на схеме Г.
Схема Г

2-Бром-N-(3-бром-2-гидроксифенил)-2-метилпропионамид

В раствор 2-амино-6-бромфенола (4,198 г, 22,3 ммоля) в сухом СН2Cl2 (200 мл) добавляли пиридин (1,8 мл, 22,3 ммоля), смесь охлаждали на ледяной бане и медленно добавляли раствор 2-бром-2-метилпропионилбромида (2,8 мл, 22,6 ммоля). Смесь перемешивали при комнатной температуре в течение 1 ч, а затем выливали в СН2Cl2 и воду. Органический слой промывали водой, сушили и концентрировали в вакууме, при этом получали неочищенный 2-бром-N-(3-бром-2-гидроксифенил)-2-метилпропионамид, который использовали на стадии 2 без дополнительной очистки.
Стадия 2
8-Бром-2,2-диметил-4Н-бензо[1,4]оксазин-3-он

2-Бром-N-(3-бром-2-гидроксифенил)-2-метилпропионамид, полученный на стадии 1, растворяли в ДМФА (200 мл) и в полученный раствор добавляли К2СО3 (6,3 г, 45,58 ммоля). Смесь нагревали при 150°С в течение ночи, затем охлаждали и выливали в смесь вода/этилацетат. Органический слой промывали солевым раствором, сушили над MgSO4 и концентрировали в вакууме. Полученный остаток коричневого цвета очищали экснресс-хроматографией, при этом получали 8-бром-2,2-диметил-4Н-бензо[1,4]оксазин-3-он в виде твердого вещества белого цвета (84,6%). МС: 256 (М-Н)–.
Стадия 3
8-Бром-2,2-диметил-3,4-дигидро-2Н-бензо[1,4]оксазин

8-Бром-2,2-диметил-4Н-бензо[1,4]оксазин-3-он, полученный на стадии 2 (768,30 мг, 3,0 ммоля), растворяли в сухом тетрагидрофуране (ТГФ) и раствор нагревали до температуры кипения растворителя. В реакционную смесь добавляли по каплям 0,3 мл 10 М раствора борана/диметилсульфида (ВН3/ДМС) в ТГФ и смесь кипятили с обратным холодильником в течение 1 ч. Затем в реакционную смесь добавляли по каплям 10% раствор HCl в этаноле до появления белого осадка и смесь кипятили с обратным холодильником в течение 10 мин. Реакционную смесь охлаждали, осадок отделяли фильтрованием, промывали эфиром и высушивали на воздухе, при этом получали 770 мг гидрохлорида 8-бром-2,2-диметил-3,4-дигидро-2Н-бензо[1,4]оксазина (92%) в виде твердого вещества белого цвета. МС: 280 (М+Н).
Стадия 4
8-Бром-4-(2-фторбензолсульфонил)-2,2-диметил-3,4-дигидро-2Н-бензо[1,4]оксазин

Гидрохлорид 8-бром-2,2-диметил-3,4-дигидро-2Н-бензо[1,4]оксазина (518 мг, 2,14 ммоля) растворяли в 5 мл хлористого метилена и в полученный раствор добавляли пиридин (253,85 г, 3,21 ммоля). Реакционную смесь перемешивали при комнатной температуре, добавляли по каплям 2-фторбензолсульфонилхлорид (416,37 мг, 2,14 ммоля) и смесь перемешивали при комнатной температуре в течение еще 2 ч. Затем реакционную смесь кипятили с обратным холодильником в течение 1 ч, охлаждали до комнатной температуры, разбавляли добавлением 5 мл хлористого метилена и добавляли 10% HCl. Органический слой отделяли, промывали водой, насыщенным раствором NaHCO3 и сушили (Na2SO4). Растворитель удаляли при пониженном давлении, остаток очищали экспресс-хроматографией (элюент: EtOAc/гексан, от 5% до 20%), при этом получали 610 мг (71,3%) 8-бром-4-(2-фторбензолсульфонил)-2,2-диметил-3,4-дигидро-2Н-бензо[1,4]оксазина в виде масла, которое затвердевало при хранении. tпл.108,0-110,1°C. МС: 401 (М+Н).
Стадия 5
трет-Бутиловый эфир 4-[4-(2-фторбензолсульфонил)-2,2-диметил-3,4-дигидро-2Н-бензо[1,4]оксазин-8-ил]пиперазин-1-карбоновой кислоты

В нагретую дегазированную смесь Pd2(dba)3 (трис(дибензилиденацетон)дипалладий (0), 20,59 мг, 0,022 ммоля), BINAP (2,2′-бис(дифенилфосфино)-1,1′-бинафтил, 35,0 мг, 0,056 ммоля) и t-BuONa (151,26 мг, 1,57 ммоля) в 5 мл толуола добавляли раствор 8-бром-4-(2-фторбензолсульфонил)-2,2-диметил-3,4-дигидро-2Н-бензо[1,4]оксазина (450 мг, 1,124 ммоля) и 1-Вос-пиперазина (209,4 мг, 1,124 ммоля) в 5 мл толуола. Полученную смесь нагревали до 90°С и перемешивали при указанной температуре в течение 2 ч. Затем смесь охлаждали до комнатной температуры, добавляли этилацетат и фильтровали через целит. Фильтрат промывали водой (2×15 мл), солевым раствором (1×15 мл), сушили над MgSO4 и концентрировали в вакууме. Полученный остаток очищали экспресс-хроматографией (элюент: EtOAc/гексан, от 15% до 30%), при этом получали 470 мг (0,93 ммоля) трет-бутилового эфира 4-[4-(2-фторбензолсульфонил)-2,2-диметил-3,4-дигидро-2Н-бензо[1,4]оксазин-8-ил]пиперазин-1-карбоновой кислоты. МС: 506 (М+Н).
Стадия 6
4-(2-Фторбензолсульфонил)-2,2-диметил-8-пиперазин-1-ил-3,4-дигидро-2Н-бензо[1,4]оксазин

трет-Бутиловый эфир 4-[4-(2-фторбензолсульфонил)-2,2-диметил-3,4-дигидро-2Н-бензо[1,4]оксазин-8-ил]пиперазин-1-карбоновой кислоты (470 мг, 0,93 ммоля) растворяли в 3 мл этанола, в полученный раствор добавляли 1 мл 10% раствора HCl в этаноле, смесь нагревали при 100°С (на паровой бане) в течение 15 мин и охлаждали до комнатной температуры, при этом наблюдалось образование осадка в виде кристаллического вещества белого цвета. Твердое вещество отделяли фильтрованием и сушили при 70°С в вакууме, при этом получали 160 мг гидрохлорида 4-(2-фторбензолсульфонил)-2,2-диметил-8-пиперазин-1-ил-3,4-дигидро-2Н-бензо[1,4]оксазина. tпл.222,9-227,1°С. МС: 479 (М+Н).
Раствор охлаждали до комнатной температуры, твердое вещество отделяли фильтрованием и сушили в вакууме, при этом получали 0,115 г гидрохлорида 4-бензил-8-пиперазин-1-ил-4Н-бензо[1,4]оксазин-3-она в виде порошка светло-желтого цвета. tпл.235,9-236,2°C. МС: 324 (М+Н)+.
Соединения, приведенные выше в таблице 1, получали по вышеуказанной методике при замене 2-фторбензолсульфонилхлорида на стадии 4 на соответственно замещенный бензолсульфонилхлорид или на пиридинсульфонилхлорид и/или при замене 2-бром-2-метилпропионилбромида на стадии 2 на 1-бромциклобутанкарбонилбромид.
Пример 2
В примере описан анализ связывания соединений формулы (I) in vitro в присутствии радиоактивного меченого лиганда.
Активность соединений по изобретению при связывнии с рецептором in vitro определяли по следующей методике. Анализ сродства лиганда (в двух повторах) проводили методом конкурентного связывания [3H]LSD клеточными мембранами клеток НЕК293, стабильно экспрессирующих рекомбинантный рецептор 5-НТ6 человека. Клеточную линию получали по методу, описанному в статье Monsma и др., Molecular Pharmacology, 43, 320-327 (1993).
Анализ проводили в буферном растворе для анализа, содержащем 50 мМ трис-HCl, 10 мМ MgSO4, 0,5 мМ EDTA, 1 мМ аскорбиновую кислоту, рН 7,4, при 37°С, в объеме реакционной смеси 250 мкл. Пробирки для анализа, содержащие [3H]LSD (5 нМ), конкурирующий лиганд и мебранную фракцию, инкубировали при встряхивании на водяной бане в течение 60 мин при 37°С, раствор фильтровали на фильтрах Packard GF-B (предварительно пропитанных 0,3% PEI) с использованием 96-луночного сборщика клеток (фирмы Packard) и трижды промывали 50 мМ раствором трис-HCl, охлажденным льдом. Количество связанного [3H]LSD определяли по числу импульсов в минуту на счетчике Packard TopCount.
Вытеснение [3H]LSD из участков связывания рассчитывали по графикам зависимости концентрация/связывание по логистическому уравнению с четырьмя параметрами:

где Hill означает коэффициент наклона по Хиллу, [лиганд] означает концентрацию конкурирующего радиактивного меченого лиганда, a IC50 означает концентрацию радиоактивного меченого лиганда, при которой наблюдается специфическое связывание, равное половине от максимального значения. В числителе указано специфическое связывание, которое означает разность между Bmax и базисными данными (basal).
При испытании соединений формулы I по методике, описанной в примере 5, было установлено, что соединения по изобретению являются антагонистами рецептора 5-НТ6. Неожиданно соединения формулы (I), где R3 и R4 означают метил или где R3 и R4 вместе образуют циклобутильную группу, проявляют более высокое сродство к рецептору 5-НТ6 на приблизительно 1/2 логарифма log или выше по сравнению с соответствующими соединениями, в которых R3 и R4 означают водород. Этот неожиданный результат более полно иллюстрируется величинами pKi, приведенными в таблице 2.
| Таблица 2 |
| Соединение |
R3, R4 |
pKi |
| 4-(2-Фторбензолсульфонил)-2,2-диметил-8-пиперазин-1-ил-3,4-дигидро-2Н-бензо[1,4]оксазин |
R3, R4 означают метил |
9,68 |
| 4-(2-Фторбензолсульфонил)-8-пиперазин-1-ил-3,4-дигидро-2Н-бензо[1,4]оксазин |
R3, R4 означают водород |
8,90 |
| 4-(3-Фторбензолсульфонил)-2,2,6-триметил-8-пиперазин-1-ил-3,4-дигидро-2Н-бензо[1,4]оксазин |
R3, R4 означают метил |
9,39 |
| 4-(3-Фторбензолсульфонил)-6-метил-8-пиперазин-1-ил-3,4-дигидро-2Н-бензо[1,4]оксазин |
R3, R4 означают водород |
8,70 |
| 6-Фтор-4-(2-фторбензолсульфонил)-2,2-диметил-8-пиперазин-1-ил-3,4-дигидро-2Н-бензо[1,4]оксазин |
R3, R4 означают метил |
9,68 |
| 6-Фтор-4-(2-фторбензолсульфонил)-8-пиперазин-1-ил-3,4-дигидро-2Н-бензо[1,4]оксазин |
R3, R4 означают водород |
9,14 |
| 4-(3-Фторбензолсульфонил)-2,2-спироциклобутан-8-пиперазкп-1-ил-3,4-дигидро-2Н-бензо[1,4]оксазин |
R3, R4 образуют циклобутил |
8,93 |
| 4-(3-Фторбепзолсульфонил)-8-пиперазин-1-ил-3,4-дигидро-2Н-бензо[1,4]оксазин |
R3, R4 означают водород |
7,95 |
| 4-(3-Хлорбензолсульфонил)-2,2-спироциклобутан-8-пиперазин-1-ил-3,4-дигидро-2Н-бензо[1,4]оксазин |
R3, R4 образуют циклобутил |
9,30 |
| 4-(2-Хлорбензолсульфонил)-8-пиперазин-1-ил-3,4-дигидро-2Н-бензо[1,4]оксазин |
R3, R4 означают водород |
8,67 |
Пример 3
Свойство соединений по изобретению усиливать познавательные способности определяли на модели познавательных способностей у животных по узнаванию объекта. Для испытаний использовали самцов крыс Wistar возрастом 4 месяца (фирма Charles River, Нидерланды). Соединения получали ежедневно, растворяли в физиологическом растворе и анализировали при трех дозах. Введение проводили внутрибрюшинно (в объеме 1 мл/кг) за 60 мин до проведения испытаний (Т1). Через 30 мин после введения соединения животным вводили гидробромид скополамина. Испытания проводили в двух экспериментах на двух равных группах подопытных животных (по 24 особи). Порядок введения доз анализируемых соединений выбирали произвольно. Эксперименты проводили с использованием двойного слепого метода. Каждую дозу вводили крысам однократно. Объект испытаний на узнавание выбирали, как описано в статье Ennaceur A., Delacour J., A new one-trial test for neurobiological studies of memory in rats. 1: Behavioral data, Behav. Brain Res. 31, 47-59 (1988).
Формула изобретения
1. Соединение формулы (I)
 или его фармацевтически приемлемая соль или его сольват, где m равно от 0 до 3, Х означает N, Y означает -SO2-, каждый R1 независимо означает галоген, С1-С12алкил, галоген(С1-С12)алкил, гидрокси(С1-С6)алкил, R2 означает арил или гетероарил, который представляет собой моноциклический радикал, содержащий от 5 до 12 атомов в цикле, включающий один, два или три гетероатома азота в цикле, необязательно замещенные галогеном или циано, каждый R3 и R4 независимо означает С1-С12алкил, или R3 и R4 вместе с атомом углерода, к которому они присоединены, образуют циклическую группу, содержащую в цикле 3-6 атомов, и каждый из R5, R6, R7, R8 и R9 означает водород.
2. Соединение по п.1, где R2 означает арил.
3. Соединение по п.1, где R2 означает необязательно замещенный фенил.
4. Соединение по п.3, где R3 и R4 означают С1-С12алкил.
5. Соединение по п.4, где m равно 0 или 1.
6. Соединение по п.5, где R2 означает галогенфенил.
7. Соединение по п.6, где R2 означает 2-галогенфенил, 3-галогенфенил или 4-галогенфенил.
8. Соединение по п.7, где R2 означает 2-фторфенил или 2-хлорфенил.
9. Соединение по п.4, где R3 и R4 означают метил.
10. Соединение по п.4, где R3 и R4 вместе с атомом углерода, к которому они присоединены, образуют циклическую группу, содержащую в цикле 3-6 атомов.
11. Соединение по п.4, где R3 и R4 вместе с атомом углерода, к которому они присоединены, образуют циклобутильную группу.
12. Соединение по п.1, где указанное соединение означает соединение формулы (II)
 где n равно от 0 до 5, каждый R10 независимо означает галоген или циано, а m, R1, R3, R4 и R9 имеют значения, указанные в п.1.
13. Соединение по п.12, где n равно 0 или 1.
14. Соединение по п.13, где R10 означает галоген.
15. Фармацевтическая композиция, обладающая антагонистическим действием в отношении рецептора 5-НТ6, включающая эффективное количество соединения по п.1 в смеси с фармацевтически приемлемым носителем.
|
|