|
|
(21), (22) Заявка: 2005104820/04, 18.07.2003
(24) Дата начала отсчета срока действия патента:
18.07.2003
(30) Конвенционный приоритет:
19.07.2002 US 60/396,726
(43) Дата публикации заявки: 10.10.2005
(46) Опубликовано: 10.05.2009
(56) Список документов, цитированных в отчете о поиске:
WO 9809961 A1, 12.03.1998. JP 2001011047 A, 16.01.2001. WO 9700868 A1, 09.01.1997. RU 93058438 A, 27.04.1997. RU 2179553 C2, 20.02.2000. RU 98119063 A, 27.06.2000.
(85) Дата перевода заявки PCT на национальную фазу:
21.02.2005
(86) Заявка PCT:
US 03/22401 20030718
(87) Публикация PCT:
WO 2004/009557 20040129
Адрес для переписки:
101000, Москва, М.Златоустинский пер., 10, кв.15, “ЕВРОМАРКПАТ”, пат.пов. И.А.Веселицкой, рег. 11
|
(72) Автор(ы):
ШУМАХЕР Ричард А. (US), ХОППЕР Аллен Т. (US), ТЕХИМ Ашок (US)
(73) Патентообладатель(и):
МЕМОРИ ФАРМАСЬЮТИКЛЗ КОРПОРЕЙШН (US)
|
(54) СОЕДИНЕНИЯ 6-АМИНО-1Н-ИНДАЗОЛА И 4-АМИНОБЕНЗОФУРАНА В КАЧЕСТВЕ ИНГИБИТОРОВ ФОСФОДИЭСТЕРАЗЫ 4
(57) Реферат:
Изобретение относится к новым соединениям формулы 1:

в которой R1 обозначает циклоалкил, содержащий от 3 до 10 атомов углерода, R2 обозначает алкил, содержащий от 1 до 4 атомов углерода, R3 обозначает пиридилметил, R4 обозначает фенил, который является незамещенным или замещенным карбокси-, цианогруппой или алкоксикарбонилом; или его фармацевтически приемлемым солям, при условии, что указанное соединение не является 4-(2-хлор-4-метоксифенил)-5-метил-2-[N-(1-пропилиндазол-6-ил)-N-пропиламино] тиазолом, где оптически активное соединение может быть в виде одного из его разделенных энантиомеров или их смесей, включая рацемические смеси, или к соединениям формулы II:

в которой R3 обозначает водород или пиридилметил, R4 обозначает водород или фенил, который является незамещенным или замещенным галогеном, карбокси-, цианогруппой, алкоксикарбонилом, тетразол-5-илом или фенилсульфониламинокарбонилом; R7 обозначает алкоксигруппу, содержащую от 1 до 4 атомов углерода, которая является разветвленной или неразветвленной; R8 обозначает -СО-С1-4 -алкил или диоксанил, причем по крайней мере один из R3 и R4 отличен от водорода, или его фармацевтически приемлемым солям, где оптически активное соединение может быть в виде одного из его разделенных энантиомеров или их смесей, включая рацемические смеси. Изобретение также относится к фармацевтической композиции, обладающей ингибирующим действием в отношении фермента PDE4, на основе соединений формул I и II и их применению для получения лекарственных средств для ингибирования фермента PDE4 при лечении различных заболеваний. 8 н. и 27 з.п. ф-лы.
Эта заявка претендует на приоритет предварительной заявки U.S. 60/396726, поданной 19 июля 2002 г. Эта заявка родственна заявке 10/051309 и ее предварительным заявкам 60/262651, поданной 22 января 2001 г., 60/267196, поданной 8 февраля 2001 г., и 60/306140, поданной 14 июля 2001 г.; все эти заявки в полном объеме включены в данное описание в качестве ссылок.
Область изобретения
Изобретение относится в общем к области ингибирования фермента фосфодиэстеразы 4 (PDE4). Более подробно это изобретение относится к селективному ингибированию PDE4 новыми соединениями, например, аналогами аминоиндазола и аминобензофурана, способам получения таких соединений, композициям, содержащим такие соединения, и способам их применения.
Предпосылки изобретения
Фосфодиэстеразы (PDEs), специфические в отношении циклических нуклеотидов, представляют семейство ферментов, которые катализируют гидролиз различных циклических нуклеозидмонофосфатов (включая сАМР и cGMP). Эти циклические нуклеотиды выступают в качестве вторичных посредников внутри клеток и в качестве посредников переносят импульсы от поверхностных рецепторов клетки, связывающих различные гармоны и нейромедиаторы. PDEs регулируют уровень циклических нуклеотидов внутри клеток и поддерживают гомеостаз циклических нуклеотидов деградацией таких циклических мононуклеотидов, приводящей к прекращению их посреднической роли.
PDE ферменты могут быть сгруппированы в 11 семейств, согласно их специфичности по отношению к гидролизу сАМР или cGMP, их чувствительности к регулированию кальцием, калмодулином или cGMP и их селективному ингибированию различными соединениями. Например, PDE1 стимулируется Са2+/калмодулином. PDE2 является cGMP-зависимым и находится в сердце и надпочечниках. PDE3 является cGMP-зависимым и ингибирование этого фермента вызывает положительную инотропную активность. PDE4 является сАМР специфичным и его ингибирование вызывает расслабление дыхательных путей, противовоспалительную и антидепрессантную активность. PDE5, по-видимому, играет роль в регулировании содержания cGMP в гладких мышцах сосудов, в результате чего ингибиторы PDE5 могут проявлять сердечно-сосудистую активность. Вследствие того, что PDEs обладают особыми биохимическими свойствами, они могут подвергаться различным способам регулирования.
PDE4 известен разнообразными кинетическими свойствами, включая низкую константу Михаэлиса для сАМР, и восприимчивость к определенным лекарствам. Семейство PDE4 фермента состоит из 4 генов, которые продуцируют 4 изоформы PDE4 фермента, обозначенные PDE4A, PDE4B, PDE4C и PDE4D [См.: Wang et al., Expression, Purification, and Characterization of human cAMP-Specific Phosphodiesterase (PDE4) Subtypes A, B, C and D, Biochem. Biophys. Res. Comm., 234, 320-324 (1997)]. Кроме того, идентифицированы различные варианты сплайсинга каждой PDE4 изоформы.
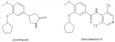
PDE4 изоферменты локализованы в цитозоле клеток и не ассоциированы с какими-нибудь известными мемранными структурами. PDE4 изоферменты специфически инактивируют активность сАМР, катализируя его гидролиз до аденозин 5/-монофосфата (АМФ). Регулирование активности сАМР играет важную роль во многих биологических процессах, включая воспаление и память. Ингибиторы PDE4 изоферментов такие, как ролипрам, пикламиласт, CDP-840 и арифло являются сильными противовоспалительными агентами и поэтому могут быть использованы в лечении болезней, вызываемых воспалением, таких как астма или артрит. Кроме того, ролипрам улучшает познавательные способности у крыс и мышей в процессе их обучения.

В дополнение к таким соединениям, как ролипрам, производные ксантина такие, как пентоксифиллин, денбуфиллин и теофилин, ингибируют PDE4 и в последнее время привлекли значительное внимание благодаря их усиленному влиянию, оказываемому на познавательную способность. сАМР и cGMP являются вторичными посредниками, доносящими клеточные реакции до многочисленных гормонов и нейромедиаторов. Так, терапевтически важные эффекты могут быть следствием PDE ингибирования и образующегося роста числа внутриклеточных сАМР и cGMP в ключевых клетках, которые находятся в нервной системе и других частях организма.
Ролипрам, предпочтительно применяемый, как антидепрессант, селективно ингибирует PDE4 фермент и стал стандартным агентом в классификации подтипов PDE ферментов. Ранние работы в области PDE4 были сосредоточены на лечении депрессии и воспалений, но впоследствии были распространены на болезни, включающие, например, деменцию (слабоумие). (См. “The PDE IV Family Of Calcium-Phosphodiesterases Enzymes,” John A. Lowe, III, et al. Drugs of the Future 1992, 17(9): 799-807 в общем обзоре). Дальнейшие клинические испытания ролипрама и других ингибиторов PDE4 первого поколения были приостановлены из-за побочных эффектов этих соединений. Главным побочным эффектом, обнаруженным на приматах, является вызываемая этими соединениями рвота, в то время, как главным побочным эффектом у грызунов является тестикулярная дегрануляция, ослабление сосудистой гладкой мышцы, психотропные эффекты, увеличение кислой желудочной секреции и желудочная эрозия.
Краткое изложение
Настоящее изобретение относится к новым соединениям, например, аналогам аминоиндазола и аминобензофурана, которые ингибируют PDE4 ферменты и, в частности, улучшают профили побочного эффекта, например, в относительно меньшей степени вызывают рвоту (например, по сравнению с ранее обсуждаемыми видами соединений). Предпочтительно соединения селективно ингибируют PDE4 ферменты. Соединения по настоящему изобретению в то же самое время облегчают доступ в клетки, в частности клетки нервной системы.
Далее, настоящее изобретение включает способы для синтеза соединений с такой активностью и селективностью, а также способы (и соответствующие фармацевтические композиции) для лечения пациентов, например, теплокровных животных, включая человека, требующего PDE ингибирования, в частности PDE4 ингибирования, для лечения болезненных состояний, включающих повышенные внутриклеточные PDE4 уровни или пониженные сАМР уровни, например, включающих неврологические синдромы, в частности состояний, связанных с ухудшением памяти, особенно с ухудшением долговременной памяти, когда такое ухудшение памяти происходит частично вследствие катаболизма внутриклеточных сАМР уровней PDE4 ферментами, или когда такое ухудшение памяти может быть улучшено эффективным ингибированием активности PDE4 фермента.
В предпочтительном варианте соединения по изобретению улучшают такие болезни ингибированием PDE4 ферментов в дозах, не вызывающих рвоту.
Настоящее изобретение включает соединения формул I и II:

в которых
R1 обозначает водород, алкил, содержащий от 1 до 8 атомов углерода, разветвленный или неразветвленный, и незамещенный или замещенный один или более раз галогеном;
циклоалкил, содержащий от 3 до 10, предпочтительно от 3 до 8 атомов углерода, незамещенный или замещенный один или более раз галогеном, гидрокси-, оксо-, циано-, алкилом, содержащим от 1 до 4 атомов углерода, алкокси-, содержащей от 1 до 4 атомов углерода, или их комбинациями (например, циклопентил); или
гетероциклическую группу, насыщенную, частично насыщенную или ненасыщенную, содержащую от 5 до 10 кольцевых атома, из которых, по меньшей мере, один атом является N, О или S, незамещенную или замещенную один или более раз галогеном, алкилом, гидрокси-, алкокси-, алкоксиалкокси-, нитро-, метилендиокси-, этилендиокси-, трифторметил, амино-, аминометил, аминоалкил, аминоалкокси-, диалкиламино-, гидроксиалкил (например, гидроксиметил), гидроксамовой кислотой, тетразол-5-ил, гидроксиалкокси-, карбокси-, алкоксикарбонил (например, трет.-бутилоксикарбонил, этоксикарбонил), циано-, ацил, алкилтио-, алкилсульфинил, алкилсульфонил, фенокси- или их комбинациями (например, тетрагидрофуранил, пиридил, тиенил, пиразинил, хинолинил, изохинолинил, пиримидинил, имидозалил, тиазолил и т.д.);
R2 обозначает водород, алкил, содержащий от 1 до 4 атомов углерода, разветвленный или неразветвленный, незамещенный или замещенный один или более раз галогеном, циано- и/или С1-4алкокси- (например, СН3, С2Н5, CHF2, CF3 и т.д.), и одна или более -СН2СН2– группа может быть замещена в каждом случае -СН=СН- или -С/С-,
R3 обозначает водород, алкил, содержащий от 1 до 8, предпочтительно от 1 до 4 атомов углерода, разветвленный или неразветвленный, незамещенный или замещенный один или более раз галогеном, циано-, С1-4алкокси- или их комбинациями (например, метил, этил, пропил и т.д.);
частично ненасыщенную карбоциклоалкильную группу, в которой карбоциклический фрагмент содержит от 5 до 14 углеродных атомов, а алкильный фрагмент, который является разветвленным или неразветвленным, содержит от 1 до 5 атомов углерода, и которая является незамещенной или замещенной в карбоциклическом фрагменте один или более раз галогеном, алкил, алкокси-, нитро-, циано-, оксо- или их комбинациями, и алкильный фрагмент необязательно замещен галогеном, С1-4алкокси-, циано- или их комбинациями (например, циклогексенилметил и т.д.);
арилалкил, содержащий от 7 до 19 атомов углерода, в котором арильный фрагмент содержит от 6 до 14 атомов углерода, а алкильный фрагмент, который является разветвленным или неразветвленным, содержит от 1 до 5 атомов углерода; арилалкильный радикал является незамещенным или замещенным в арильном фрагменте один или более раз галогеном, трифторметил, CF3О, нитро-, амино-, алкил, алкокси-, алкиламино-, диалкиламино- и/или замещенным в алкильном фрагменте галогеном, циано- или метил (например, бензил, фенетил, фенпропил, метилбензил, метоксибензил, трифторметил, бензил, метилендиоксобензил и т.д.); или
гетероарилалкильную группу, в которой гетероарильный фрагмент может быть частично или полностью насыщенным, содержать от 5 до 10 кольцевых атомов, из которых, по меньшей мере, один атом является N, О или S, а алкильный фрагмент, который является разветвленным или неразветвленным, содержит от 1 до 5 атомов углерода, гетероарилалкильная группа является незамещенной или замещенной один или более раз в гетероарильном фрагменте галогеном, алкил, алкокси-, циано-, трифторметил, CF3О, нитро-, оксо-, амино-, алкиламино-, диалкиламино- или их комбинациями, и/или замещенной в алкильном фрагменте галогеном, циано- или метил, или их комбинациями (например, пиридилметил, пиридилпропил, метилпиридилметил, хлорпиридилметил, дихлорпиридилметил, тиенилметил, тиазолилметил, хинолинилметил, изохинолилилметил, пиперидинилметил, фуранилметил, имидазолилметил, метилимидазолилметил, пирролилметил и т.д.);
R4 обозначает
водород,
арил, содержащий от 6 до 14 атомов углерода, который является незамещенным или замещенным один или более раз галогеном, алкилом, алкенилом, алкинилом, гидрокси-, алкокси-, алкоксиалкокси-, нитро-, метилендиокси-, этилендиокси-, трифторметил, CF3О, амино-, аминоалкил, аминоалкокси-, диалкиламино-, гидроксиалкил (например, гидроксиметил), гидроксамовой кислотой, тетразол-5-ил, 2-(гетероцикл)- тетразол-5-ил (например, 2-(2-тетрагидропиранил)тетразол-5-ил), гидроксиалкокси-, карбокси-, алкоксикарбонил (например, трет.-бутилоксикарбонил, этоксикарбонил), циано-, ацил, алкилтио-, алкилсульфинил, алкилсульфонил, фенокси-, триалкилсилилокси- (например, трет.-бутилдиметилсилилокси-), R5-L- или их комбинациями (например, замещенные или незамещенные фенил, нафтил и бифенил такие, как фенил, метилфенил, хлорфенил, фторфенил, винилфенил, цианофенил, метилендиоксофенил, этилфенил, дихлорфенил, карбоксифенил, этоксикарбонилфенил, диметилфенил, гидроксиметилфенил, нитрофенил, аминофенил и т.д.); или
гетероарил, содержащий от 5 до 10 кольцевых атомов, в котором, по меньшей мере, один кольцевой атом является гетероатомом, и который является незамещенным или замещенным один или более раз галогеном, алкилом, гидрокси-, алкокси-, алкоксиалкокси-, нитро-, метилендиокси-, этилендиокси-, трифторметил, амино-, аминометил, аминоалкил, аминоалкокси-, диалкиламино-, гидроксиалкил (например, гидроксиметил), гидроксамовой кислотой, тетразол-5-ил, 2-(гетероцикл)- тетразол-5-ил, гидроксиалкокси-, карбокси-, алкоксикарбонил (например, трет.-бутилоксикарбонил, этоксикарбонил), циано-, ацил, алкилтио-, алкилсульфинил, алкилсульфонил, фенокси, триалкилсилилокси- (например, трет.-бутилдиметилсилилокси-), R5-L- или их комбинациями (например, пиридил, тиенил, пиразинил, хинолинил, изохинолинил, пиримидинил, имидазолил, тиазолил и т.д.);
R5 обозначает
водород,
алкил, содержащий от 1 до 8, предпочтительно от 1 до 4 атомов углерода, который является незамещенным или замещенным один или более раз галогеном, С1-4алкил,
С1-4алкокси-, оксо- или их комбинациями (например, метил, этил, пропил и т.д.);
алкиламино- или диалкиламино, в которых каждый алкильный фрагмент независимо друг от друга содержит от 1 до 8, предпочтительно от 1 до 4 атомов углерода (например, диметиламино- и т.д.);
частично ненасыщенную карбоциклоалкильную группу, в которой карбоциклический фрагмент содержит от 5 до 14 углеродных атомов, а алкильный фрагмент содержит от 1 до 5 атомов углерода, и которая является незамещенной или замещенной, предпочтительно в карбоциклическом фрагменте, один или более раз галогеном, алкил, алкокси-, нитро-, циано-, оксо- или их комбинациями, циклоалкильный фрагмент, содержащий от 3 до 10, предпочтительно от 3 до 8 атомов углерода, является незамещенным или замещенным один или более раз галогеном, гидрокси-, оксо-, циано-, алкокси-, алкилом, содержащим от 1 до 4 атомов углерода, или их комбинациями (например, циклопентил);
циклоалкилалкил, содержащий от 4 до 16, предпочтительно от 4 до 12, атомов углерода, незамещенный или замещенный в циклоалкильном фрагменте и/или в алкильном фрагменте один или более раз галогеном, оксо-, циано-, гидрокси-, алкил, алкокси- или их комбинацией (например, циклопентилметил, циклопропилметил и т.д.);
арил, содержащий от 6 до 14 атомов углерода, который является незамещенным или замещенным один или более раз галогеном, алкилом, алкенилом, гидрокси-, алкокси-, алкоксиалкокси-, нитро-, метилендиокси-, этилендиокси-, трифторметил, амино-, аминометил, аминоалкил, аминоалкокси-, диалкиламино-, гидроксиалкил (например, гидроксиметил), гидроксамовой кислотой, тетразол-5-ил, гидроксиалкокси-, карбокси-, алкоксикарбонил (например, трет.-бутилоксикарбонил, этоксикарбонил), циано-, ацил, алкилтио-, алкилсульфинил, алкилсульфонил (например, замещенные или незамещенные фенил и нафтил, метилфенил, хлорфенил, фторфенил, винилфенил, цианофенил, метилендиоксофенил, этилфенил, дихлорфенил, карбоксифенил, этоксикарбонилфенил, диметилфенил, гидроксиметилфенил, нитрофенил, аминофенил и т.д.);
арилалкил, содержащий от 7 до 19 атомов углерода, в котором арильный фрагмент содержит от 6 до 14 атомов углерода, а алкильный фрагмент, который является разветвленным или неразветвленным, содержит от 1 до 5 атомов углерода, арилалкильный радикал является незамещенным или замещенным в арильном фрагменте один или более раз галогеном, трифторметил, CF3О, нитро-, амино-, алкил, алкокси-, алкиламино-, диалкиламино- и/или замещенным в алкильном фрагменте галогеном, циано- или метил (например, бензил, фенетил, фенпропил, метилбензил, метоксибензил, трифторметил, бензил, метилендиоксобензил и т.д.);
гетероциклическую группу, насыщенную, частично насыщенную или ненасыщенную, содержащую от 5 до 10 кольцевых атомов, из которых, по меньшей мере, один атом является N, О или S, являющуюся незамещенной или замещенной один или более раз галогеном, алкилом, гидрокси-, алкокси-, алкоксиалкокси-, нитро-, метилендиокси-, этилендиокси-, трифторметил, амино-, аминометил, аминоалкил, аминоалкокси-, диалкиламино-, гидроксиалкил (например, гидроксиметил), гидроксамовой кислотой, тетразол-5-ил, гидроксиалкокси-, карбокси-, алкоксикарбонил (например, трет.-бутилоксикарбонил, этоксикарбонил), циано-, ацил, алкилтио-, алкилсульфинил, алкилсульфонил, фенокси- или их комбинациями (например, пиридил, тиенил, пиразинил, хинолинил, изохинолинил, пиримидинил, имидозалил, тиазолил и т.д.); или
гетероцикл-алкильную группу, в которой гетероциклический фрагмент является насыщенным, частично насыщенным или ненасыщенным и содержит от 5 до 10 кольцевых атомов, из которых, по крайней мере, один атом является N, О или S, а алкильный фрагмент является разветвленным или неразветвленным и содержит от 1 до 5 атомов углерода, гетероциклоалкильная группа является незамещенной или замещенной один или более раз в гетероциклическом фрагменте галогеном, алкил, алкокси-, циано-, трифторметил, CF3О, нитро-, оксо-, амино-, алкиламино-, диалкиламино- или их комбинациями, и/или в алкильном фрагменте замещена галогеном, циано- или метил, или их комбинациями (например, пиридилметил, пиридилпропил, метилпиридилметил и т.п.),
L обозначает простую связь или двухвалентный алифатический радикал, содержащий до 8 атомов углерода, в котором 1 или более -СН2-группа, необязательно каждая, замещены -О-, -S-, -SO2-, -SO-, -NR6-, -SO2NH-, -NHSO2-, -СО-, -NR6CO-, -CONR6-, -NHCONH-, -OCONH, -NHCOO-, -SCONH-, -SCSNH- или -NHCSNH- (например, -O-, CH2-, -СО-, -СО-O-, -O-СО-, -CO-NH-, -NH-CO-, -CH2CH2CH2-NH-CO-, -СН2-СН2-O-, -SO2-NH-CH2CH2-O-, -O-СН2СН2-O-, -CH2-NH-CO-, -CO-NH-CH2-, -SO2-NH-, -CH2-NH-SO2-, -CH2CH2CH2-SO2-NH-, -CONHSO2– и т.д.);
R6 обозначает
водород,
алкил, содержащий от 1 до 8, предпочтительно от 1 до 4 атомов углерода, который является разветвленным или неразветвленным и незамещенным или замещенным один или более раз галогеном, C1-4алкил, С1-4алкокси-, оксо- или их комбинациями (например, метил, этил, пропил и т.д.);
R7 обозначает алкокси или алкилтио-, содержащие в каждом случае от 1 до 4 атомов углерода, которые являются разветвленными или неразветвленными и незамещенными или замещенными один или более раз галогеном (например, СН3,
CHF2, CF3 и т.д.),
R8 обозначает -СО-С1-4-алкил, который является разветвленным или неразветвленным и незамещенным или замещенным один или более раз галогеном (например, СН3, CHF2, CF3 и т.д.), или является

R9 обозначает водород или алкил, содержащий от 1 до 4 атомов углерода, который является разветвленным или неразветвленным и незамещенным или замещенным один или более раз галогеном (например, СН3, CHF2, CF3 и т.д.),
R10 обозначает алкил, содержащий от 1 до 6 атомов углерода, который является разветвленным или неразветвленным и незамещенным или замещенным один или более раз галогеном (например, СН3, CHF2, CF3 и т.д.),
R11 обозначает алкил, содержащий от 1 до 6 атомов углерода, который является разветвленным или неразветвленным и незамещенным или замещенным один или более раз галогеном (например, СН3, CHF2, CF3 и т.д.),
Х и Y независимо друг от друга обозначают О или S, и
А обозначает алкилен, содержащий от 2 до 7 атомов углерода, который является незамещенным или замещенным один или более раз галогеном;
где в формуле I оба R3 и R4 не являются водородом, и в формуле II, по меньшей мере, один из R3 и R4 не является водородом; и
и их фармацевтически приемлемые соли.
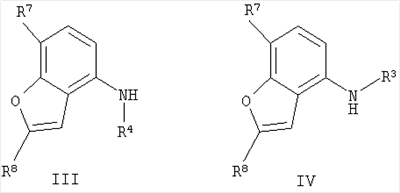
Согласно другому варианту настоящего изобретения предлагается вариант новых соединений согласно формулам III и IV:

в которых R1, R2, R3, R4, R7 и R8 обозначены выше. Соединения этого варианта формул I и II не только обладают PDE4 ингибирующей активностью, но также применяются в качестве промежуточных соединений для получения соединений формулы II, в которой R3 и R4 оба не являются Н.
Кроме того, предпочтительные соединения формул I и II являются соединениями частных формул V и VI:

в которых R1, R2, R4, R7 и R8 обозначены при формулах I и II и один из В, D и Е обозначают N, а другие обозначают С. Предпочтительно, D обозначает N. Также R4 предпочтительно обозначает пиридил или фенил, которые в каждом случае являются замещенными или незамещенными.
В соответствии с дальнейшим вариантом изобретения соединения формул I и II выбирают из следующих соединений:
7-Метокси-2-(2-метил-(1,3-диоксолан-2-ил))-4-[N-(4-пиридилметил)]аминобензофуран,
7-Метокси-2-(2-метил-(1,3-диоксолан-2-ил))-4-[N-(3-пиридилметил)]аминобензофуран,
7-Метокси-2-(2-метил-(1,3-диоксолан-2-ил))-4-[N-фенил-N-(4-пиридилметил)]аминобензофуран,
7-Метокси-2-(2-метил-(l,3-диоксолан-2-ил))-4-[N-(3-цианофенил)-N-(3-пиридилметил)]аминобензофуран,
7-Метокси-2-(2-метил-(1,3-диоксолан-2-ил))-4-[N-фенил-N-(3-пиридилметил)]аминобензофуран,
7-Метокси-2-(2-метил-(1,3-диоксолан-2-ил))-4-[N-(3-цианофенил)-N-(4-пиридилметил)]аминобензофуран,
7-Метокси-2-(2-метил-(l,3-диоксолан-2-ил))-4-[N-(3-цианофенил)-N-(3-пиридилметил)]аминобензофуран,
7-Метокси-2-(2-метил-(1,3-диоксолан-2-ил))-4-[N-(4-карбоксифенил)-N-(3-пиридилметил)]аминобензофуран,
7-Метокси-2-(2-метил-(1,3-диоксолан-2-ил))-4-[N-(-(2Н-тетразол-5-ил)фенил)-N-(3-пиридилметил)]аминобензофуран,
7-Метокси-2-(2-метил-(1,3-диоксолан-2-ил))-4-[N-(4-карбокси-3-хлорфенил)-N-(3-пиридилметил)]аминобензофуран,
7-Метокси-2-(2-метил-(1,3-диоксолан-2-ил))-4-[N-(3-карбокси-5-фторфенил)-N-(3-пиридилметил)]аминобензофуран,
1-Циклопентил-6-[N-(3-(1,1-диметилэтоксикарбонил)фенил)-N-(3-пиридилметил)]-1Н-аминоиндазол,
2-Ацетил-7-метокси-4-(N-(4-цианофенил)-N-(3-пиридилметил))-аминобензофуран,
2-Ацетил-7-метокси-4-(N-фенил-N-(4-пиридилметил))аминобензофуран,
1-Циклопентил-6-(N-фенил-N-(3-пиридилметил))аминобензофуран,
1-Циклопентил-6-(N-(3-карбоксифенил)-N-(3-пиридилметил))аминобензофуран,
2-Ацетил-7-метокси-4-(N-(3-карбоксифенил)-N-(3-пиридилметил))аминобензофуран,
7-Метокси-2-(2-метил-(1,3-диоксалан-2-ил))-4-(N-(4-цианофенил)-N-(3-пиридилметил))аминобензофуран,
2-Ацетил-7-метокси-4-(N-(3-цианофенил)-N-(3-пиридилметил))-аминобензофуран,
2-Ацетил-7-метокси-4-(N-фенил-N-(3-пиридилметил))аминобензофуран,
2-Ацетил-7-метокси-4-(N-(3-цианофенил)-N-(4-пиридилметил))-аминобензофуран,
2-Ацетил-7-метокси-4-(N-(4-ацетилфенил)-N-(3-пиридилметил))-аминобензофуран,
2-Ацетил-7-метокси-4-[N-(4-карбоксифенил)-N-(3-пиридилметил))-аминобензофуран,
2-Ацетил-7-метокси-4-[N-(4-(2Н-тетразол-5-ил)фенил)-N-(3-пиридилметил))-аминобензофуран,
2-Ацетил-7-метокси-4-[N-(4-карбокси-3-хлорфенил)-N-(3-пиридилметил))-аминобензофуран,
2-Ацетил-7-метокси-4-[N-(3-карбокси-5-фторфенил)-N-(3-пиридилметил))-аминобензофуран,
6-Амино-1-циклопентил-3-этил-6-[N-3-(1,1-диметилэтоксикарбонил)фенил]-N-(3-пиридилметил)амино-1Н-индазол,
1-Циклопентил-3-этил-6-[N-(3-карбоксифенил)-N-(3-пиридилметил)]амино-1Н-индазол,
2-Ацетил-7-метокси-N-(4-фенилсульфониламинокарбонилфенил)-N-(3-пиридилметил)-4-аминобензофуран,
и
их фармацевтически приемлемых солей,
где оптически активные соединения могут быть в форме их разделенных энантиомеров или их смесей, включая рацемические смеси.
Соединения по настоящему изобретению эффективны при ингибировании или модуляции активности PDE4 у животных, например, теплокровных, в частности человека. Эти соединения проявляют нейрологическую активность, в частности, когда такая активность воздействует на познавательную способность, включая долговременную память. Эти соединения могут быть также эффективны в лечении болезней, затрагивающих повышенные уровни сАМР. Эти болезни включают, но без ограничения, воспалительные болезни. Эти соединения могут также функционировать, как антидепрессанты, или применяться при лечении познавательных и негативных симптомов шизофрении.
Анализы определения PDE ингибирующей активности, а также селективности PDE ингибирующей активности и селективности ингибирующих PDE4 изоферментов известны из области техники. Смотри, например, патент US 6136821, который включен в данное описание посредством ссылки.
Согласно последующему варианту по изобретению предлагаются соединения, применяемые в качестве промежуточных соединений для получения PDE4 ингибиторов, представленных в этом описании (например, PDE4 ингибиторы формул I и II), и/или применяемых для синтеза меченых радиоактивными изотопами аналогов PDE4 ингибиторов, представленных в этой заявке.
Так, представлены промежуточные соединения формул I и II, в которых R2, R3, R4 и R8 предпочтительно определены для формул I и II, но R1 или R7 обозначают Н, трет-бутилдиметилсилил или подходящую фенольную или индазолильную защитную группу. Подходящие защитные группы описаны, например, в Greene, T.W., Wuts, P.G.M., Protective Groups in Organic Synthesis, 3rd Edition, John Wiley & Sons, 1999, стр.246-293. Эти промежуточные соединения применяют также для синтеза меченых радиоактивными изотопами соединений, например, таких, где R7 обозначает 3Н3СО-, 2Н3СО-, 14СН3– или 11СН3-, например, удалением защитных групп и взаимодействием полученных соединений, в которых R1 или R7 обозначает Н, подходящими радиоактивными реагентами. Такие меченые радиоактивными изотопами соединения применяют для определения распределения соединения в тканях животных методом ПЭТ и для исследований, проводимых в условиях in vivo, ex vivo и in vitro.
Как описано ранее, соединения согласно формуле III, в которой R4, R7 и R8, описанные ранее, применяют в качестве промежуточных соединений для получения соединений согласно формуле II, в которой R3 не является водородом.
Так же, как описано ранее, соединения согласно формуле IV, в которой R3, R7 и R8, описанные ранее, применяются в качестве промежуточных соединений для получения соединений согласно формуле II, в которой R4 не является водородом.
Галогены в данном описании относятся к F, Cl, Br и I. Предпочтительными галогенами являются F и Cl.
Алкил, общеизвестный в качестве группы или заместителя, либо части группы или заместителя (например, алкиламино-, триалкилсилилокси-, аминоалкил, гидроксиалкил) обозначает алифатический углеводородный радикал с прямой или разветвленной цепью, содержащей от 1 до 12 атомов углерода, предпочтительно от 1 до 8 атомов углерода, в частности от 1 до 4 атомов углерода. Подходящие алкильные группы включают метил, этил, пропил, изопропил, бутил, втор.-бутил, трет.-бутил, пентил, гексил, гептил, октил, нонил, децил, ундецил и додецил. Другие примеры подходящих алкильных групп включают 1-, 2- или 3-метилбутил, 1,1-, 1,2- или 2,2-диметилпропил, 1-этилпропил, 1-, 2-, 3- или 4-метилпентил, 1,1-, 1,2-, 1,3- 2,2- 2,3- или 3,3-диметилбутил, 1- или 2-этилбутил, этилметилпропил, триметилпропил, метилгексил, диметилпентил, этилпентил, этилметилбутил, диметилбутил и им подобные.
Замещенными алкильными группами являются описанные выше алкильные группы, которые замещены в одном или более положениях галогенами, оксо-, гидроксил, С1-4алкокси- и/или циано-. Предпочтительными заместителями являются галогены, в частности фтор и хлор.
Алкокси – обозначает алкил-O-группу, а алкоксиалкокси – обозначает алкил-О-алкил-O-группу, в которых алкильные фрагменты соответствуют рассмотренным ранее. Подходящие алкокси- и алкоксиалкокси-группы включают метокси-, этокси-, пропокси-, бутокси-, пентокси-, гексокси-, гептокси-, октокси-, метоксиметокси-, этоксиметокси-, пропоксиметокси- и метоксиэтокси-. Предпочтительными алкокси-группами являются метокси- и этокси-. Аналогично, алкоксикарбонил означает алкил-O-СО-, в котором алкильный фрагмент соответствует рассмотренным ранее. Примеры включают метоксикарбонил, этоксикарбонил, пропоксикарбонил и трет.-бутоксикарбонил.
Циклоалкил обозначает моноциклический, бициклический или трициклический неароматический насыщенный углеводородный радикал, содержащий от 3 до 10 атомов углерода, предпочтительно от 3 до 8 атомов углерода, в частности от 3 до 6 атомов углерода. Предпочтительные циклоалкильные группы включают циклопропил, циклобутил, циклопентил, циклогексил, циклогептил, циклооктил, норборнил, 1-декалин, адамант-1-ил и адамант-2-ил. Другие подходящие циклоалкильные группы включают спиропентил, бицикло[2,1,0]пентил, бицикло[3,1,0]гексил, спиро[2,4]гептил, спиро[2,5]октил, бицикло[5,1,0]октил, спиро[2,6]нонил, бицикло[2,2,0]гексил, спиро[3,3]гептил, бицикло[4,2,0]октил и спиро[3,5]нонил. Предпочтительными циклоалкильными группами являются циклопропил, циклопентил и циклогексил. Циклоалкильные группы могут быть замещенными, например, галогенами и/или алкильными группами.
Циклоалкилалкил относится к циклоалкил-алкильным радикалам, в которых циклоалкильный и алкильный фрагменты соответствуют рассмотренным ранее. Подходящие примеры включают циклопропилметил и циклопентилметил.
Арил, общеизвестный в качестве группы или заместителя, либо в качестве части группы или заместителя, относится к ароматическим карбоциклическим радикалам, содержащим от 6 до 14 атомов углерода, предпочтительно от 6 до 12 атомов углерода, в частности от 6 до 10 атомов углерода. Предпочтительные арильные группы включают фенил, нафтил и бифенил. Замещенные арильные группы включают вышеописанные арильные группы, которые замещены один или более раз, например, галогеном, алкилом, гидрокси-, алкокси-, нитро-, метилендиокси-, этилендиокси-, амино-, алкиламино-, диалкиламино-, гидроксиалкил, карбокси-, циано-, ацил, алкоксикарбонил, алкилтио-, алкилсульфинил, алкилсульфонил и фенокси-.
Арилалкил относится к арилалкильному радикалу, в котором арильная и алкильная группы соответствуют описанным ранее. Подходящие примеры включают бензил, 1-фенетил, 2-фенетил, фенпропил, фенбутил, фенпентил и нафтилметил.
Гетероарил относится к ароматической гетероциклической группе, имеющей один или два кольца и общее число атомов в кольце от 5 до 10, среди которых, по крайней мере, один из атомов кольца является гетероатомом. Предпочтительно, гетероарильная группа содержит от 1 до 3, в частности от 1 до 2, гетероатомов в кольце, которые выбираются из N, О и S. Предпочтительные гетероарильные группы включают фурил, тиенил, пирролил, пиразолил, имидазолил, тиазолил, тетразолил, дитиалил, оксатиалил, изоксазолил, оксазолил, тиазолил, изотиазолил, оксадиазолил, оксатриазолил, диоксазолил, оксатиазолил, тиадиазолил, пиридил, пиридазинил, пиримидинил, пиразинил, тиазинил, оксазинил, изоксазинил, оксатиазинил, оксадиазинил, бензофуранил, изобензофуранил, тионафтенил, изотионафтенил, индолил, изоиндолил, индазолил, бензизоксазолил, бензоксазолил, бензтиазолил, бензизотиазолил, пуринил, бензопиранил, хинолинил, изохинолинил, циннолинил, хиназолинил, нафтиридинил и бензоксазинил, например, 2-тиенил, 3-тиенил, 2-, 3- или 4-пиридил, 2-, 3-, 4-, 5-, 6-, 7- или 8-хинолинил и 1-, 3-, 4-, 5-, 6-, 7- или 8-изохинолинил.
Замещенный гетероарил относится к гетероарильным группам, описанным выше, замещенным один или более раз, например, галоген, алкил, алкокси-, карбокси-, метилен, циано-, трифторметил, нитро-, оксо-, амино-, алкиламино- и диалкиламино-группами.
Гетероциклы включают гетероарильные группы, описанные выше, а также неароматические циклические группы, содержащие, по крайней мере, один кольцевой гетероатом, предпочтительно выбранный из N, О и S, например, тетрагидрофуранил, пиперидинил и пирролидинил.
Гетероцикл-алкил относится к гетероцикл-алкильной группе, в которой гетероциклический и алкильный фрагменты соответствуют рассмотренным ранее. Подходящими примерами являются пиридилметил, триэтилметил, пиримидинилметил, пиразинилметил и изохинолинилметил.
Частично ненасыщенными карбоциклическими структурами являются неароматические моноциклические или бициклические структуры, содержащие от 5 до 14, предпочтительно от 6 до 10 атомов углерода, в которых кольцевая структура(ы) содержит(ат), по крайней мере, одну -С=С-связь. Подходящими примерами являются циклопентенил, циклогексенил, циклогексадиенил, тетрагидронафтенил и индан-2-ил.
Алкенил относится к неразветвленным или разветвленным алифатическим радикалам, содержащим от 2 до 12 атомов углерода, в которых одна или более структур -СН2-СН2– замещена на -СН=СН-. Подходящими алкенил-группами являются этенил, 1-пропенил, 2-метилэтенил, 1-бутен, 2-бутен, 1-пентенил и 2-пентенил.
Алкинил относится к неразветвленным или разветвленным алифатическим радикалам, содержащим от 2 до 12 атомов углерода, в которых одна или более структур -СН2-СН2– замещена на Подходящими алкинил-группами являются этинил, пропинил, 1-бутинил и 2-бутинил.
Ацил относится к алканоил-радикалам, содержащим от 1 до 13 атомов углерода, в которых алкильный фрагмент может быть замещен на галоген, алкил, арил и/или алкокси-, либо ароил радикалам, содержащим от 7 до 15 атомов углерода, в которых арильный фрагмент может быть замещен, например, на галоген, алкил и/или алкокси-. Подходящие ацильные группы включают формил, ацетил, пропионил, бутаноил и бензоил.
Замещенные радикалы предпочтительно имеют от 1 до 3 заместителей, в частности от 1 до 2 заместителей.
В соединениях формулы I, R1 может быть алкильной группой, имеющей предпочтительно от 2 до 4 атомов углерода, которые необязательно замещены галогеном, в частности, фтором или хлором.
R1 может также предпочтительно быть циклоалкилом, в частности, циклопентилом или циклогексилом.
R2 предпочтительно обозначает Н или алкил, имеющий от 1 до 4 атомов углерода, в частности С2Н5.
R3 предпочтительно обозначает Н, алкил, имеющий от 1 до 4 атомов углерода (например, метил, этил, н-пропил или н-бутил), арилалкил (например, замещенный или незамещенный бензил, фенэтил и фенпропил), или гетероарилалкильную группу (например, замещенный или незамещенный пиридилметил, фуранилметил, тиенилметил, пирролилметил, пиримидинилметил, тиазолилметил, изохинолинилметил и хинолинилметил). Предпочтительными заместителями для арильного и гетероарильного фрагментов в R3 является F, Cl, СН3, С2Н5, ОСН3 и CN. В частности, R3 предпочтительно обозначает пиридилметил.
R4 предпочтительно обозначает арил или гетероарил, в частности, фенил, нафтил, бифенил, фуранил, пиразинил, пиримидинил, пиридил, хинолинил и изохинолинил, которые в каждом случае являются незамещенными или замещены один или более раз. Предпочтительными заместителями являются ОН, F, Cl, CF3, алкил (такой, как метил или этил), алкокси (такой, как метокси- и этокси-), CN, винил, СН2ОН, CONHOH, CONH2, метилендиокси-, СООН и их комбинации. Например, R4 может быть фенилом, замещенным галогеном, СООН и/или CN.
Кроме того, если R4 обозначает арил, в частности фенил, предпочтительные заместители включают R5-L-, например, R5-, R5-О-, R5-СО-, R5-NH-CO-, R5-SO2-NH-, R5-SO2-NH-алкилен-О-, NH2-алкил-NH-СО-, R5-алкилен-NH-СО-, алкил-CO-NH-алкил-, а также метил, этил, Cl, F, CN, ОСН3, CF3, амино-, нитро-, НОСН2 и СООН.
Если R4 обозначает арил, замещенный R5-SO2-NH-, это предпочтительно обозначает замещенную фенильную группу и R5 предпочтительно обозначает метил, этил, пропил или фенил.
Если R4 обозначает арил, замещенный R5-SO2-NH-алкилен-О-, это предпочтительно обозначает замещенный фенил. В таких случаях R5 предпочтительно обозначает метил, этил, пропил или фенил и алкилен предпочтительно обозначает -CH2-, -СН2СН2– или -СН2СН2СН2-.
Если R4 обозначает арил, замещенный R5-L-, это предпочтительно обозначает замещенный фенил. В таких случаях предпочтительные R5 группы включают фенил, тетразолил, оксазинил, пиперазинил, метилпиперазинил, пиридил, метилпиридил, пирролинил, метилпирролинил, пиперадинил или метилпиперадинил и L предпочтительно обозначает простую связь, -О-, -СО-, -СН2-, -СН2СН2-, -СН2СН2СН2-, -CH2-O-, -CH2CH2-O-, -CH2CH2CH2-O-, -СН2-NH-CH2CH2-O-, -CO-NH-, -NH-CO- или -CONHSO2-.
R7 предпочтительно обозначает алкокси-, содержащий от 1 до 4 атомов углерода, разветвленный или неразветвленный, незамещенный или замещенный один или более раз галогеном, например, СН3 или C2H5.
R8 предпочтительно обозначает -СО-С1-4-алкил, например, -СОСН3.
R9 предпочтительно обозначает -СН3.
Х и Y оба предпочтительно обозначают О или S, в частности О.
А предпочтительно обозначает -СН2СН2-.
Кроме того, предпочтительными PDE4 ингибиторами по изобретению являются соединения, обозначенные вариантами формул от Iа до IIд, которые соответствуют формулам I и II, но содержат следующие предпочтительные группы:
Ia R3 обозначает арилалкил или гетероарилалкил, в каждом случае замещенный или незамещенный; и
R4 обозначает Н или арил, либо гетероарил, в каждом случае замещенный или незамещенный.
Iб R1 обозначает циклоалкил; и
R2 обозначает Н или С2Н5.
Iв R1 обозначает циклоалкил;
R2 обозначает Н или С2Н5;
R3 обозначает Н или арилалкил, либо гетероарилалкил, в каждом случае замещенный или незамещенный; и
R4 обозначает Н или арил, либо гетероарил, в каждом случае замещенный или незамещенный.
Iг R1 обозначает циклопентил;
R2 обозначает Н или С2Н5;
R3 обозначает арилалкил или гетероарилалкил, в каждом случае замещенный или незамещенный; и
R4 обозначает Н или арил, либо гетероарил, в каждом случае замещенный или незамещенный.
Iд R1 обозначает циклопентил;
R2 обозначает Н или С2Н5;
R3 обозначает пиридил, замещенный или незамещенный; и
R4 обозначает Н или арил, либо гетероарил, в каждом случае замещенный или незамещенный.
Ie R1 обозначает циклопентил;
R2 обозначает Н или С2Н5;
R3 обозначает пиридил, замещенный или незамещенный; и
R4 обозначает фенил, замещенный или незамещенный.
IIа R3 обозначает арилалкил или гетероарилалкил, в каждом случае замещенный или незамещенный; и
R4 обозначает Н или арил, либо гетероарил, в каждом случае замещенный или незамещенный.
IIб R7 обозначает алкокси-, содержащий от 1 до 4 атомов углерода;
R8 обозначает СОСН3 или

R9 обозначает -СН3;
Х и Y оба обозначают О или S; и
А обозначает -СН2СН2-.
IIв R3 обозначает арилалкил или гетероарилалкил, в каждом случае замещенный или незамещенный; и
R4 обозначает Н или арил, либо гетероарил, в каждом случае замещенный или незамещенный;
R7 обозначает алкокси-, содержащий от 1 до 4 атомов углерода;
R8 обозначает СОСН3 или

R9 обозначает -СН3;
Х и Y оба обозначают О или S; и
А обозначает -CH2CH2-.
IIг R3 обозначает пиридил, замещенный или незамещенный;
R4 обозначает Н или арил, либо гетероарил, в каждом случае замещенный или незамещенный;
R7 обозначает алкокси-, содержащий от 1 до 4 атомов углерода;
R8 обозначает СОСН3 или

R9 обозначает -СН3;
X и Y оба обозначают О или S; и
А обозначает -СН2СН2-.
IIд R3 обозначает пиридил, замещенный или незамещенный;
R4 обозначает фенил, замещенный или незамещенный;
R7 обозначает алкокси-, содержащий от 1 до 4 атомов углерода;
R8 обозначает СОСН3 или

R9 обозначает -СН3;
Х и Y оба обозначают О или S; и
А обозначает -СН2СН2-.
Предпочтительные варианты включают: фармацевтические композиции, содержащие соединение по данному изобретению, и фармацевтически приемлемый носитель и, необязательно, другие активные агенты, рассмотренные ниже; способ ингибирования PDE4 фермента, в частности изофермента, например, проводимый посредством стандартного анализа или одного из приведенных в описании, либо в условиях in vitro или in vivo (на животных, например, на моделях животных, или на млекопитающих, либо на человеке); способ лечения неврологических синдромов, а именно, потери памяти, в частности, долговременной памяти, ухудшения или ослабления познавательных способностей, ухудшения памяти и т.д., способ лечения болезненных состояний, обусловленных PDE4 активностью, у млекопитающих, например, человека, например, упомянутых в данном описании.
Соединения по настоящему изобретению могут быть получены стандартными методами. Все исходные материалы известны или могут быть получены стандартными методами из известных исходных материалов. Некоторые методы, которые могут быть применены, описаны ниже.

(THF-ТГФ)
Исходное соединение 6-амино-1-циклопентил-3-этилиндазол может быть синтезировано из 6-карбокси-1-циклопентил-3-этилиндазола с помощью перегруппировки Курциуса. Исходное соединение 6-карбокси-1-циклопентил-3-этилиндазол может быть получено посредством методов, обычных в данной области техники (см., например, WO 098/09961). Альтернативно, исходные 6-амино-1-циклопентил-3-этилиндазолы могут быть синтезированы аминированием 6-гало-1-циклоалкил-3-этилиндазола или восстановлением 6-нитро-1-циклоалкил-3-этилиндазола. Индазольный скелет может быть получен различными методами, общими для области техники такими, как реакция циклоалкилгидразина с 2,4-дифторпропиофеноном.

(Ethylene glycol-этиленгликоль, cat.-катализатор, p-TsOH-п-тозилат, toluene-толуол, TFA-трифторуксусная кислота).
Исходные бензофураны или коммерчески доступны, либо могут быть синтезированы по описанным в литературе методикам посредством внутримолекулярной альдольной конденсации соответствующих замещенных бета-кетоэфиров салицилальдегидов. (См. Strategies for Organic Drug Synthesis and Design, Daniel Lednicer, Ed., 1998, John Wiley and Sons, Inc. Chapter 10, стр.286-289). Нитрование 2-ацетил-7-метоксибензофурана азотной кислотой в уксусном ангидриде дает 2-ацетил-7-метокси-4-нитробензофуран. (В вышеприведенной схеме DPA патент относится к U.S. заявке на патент 10/051309).
Защита карбонильной группы с помощью подходящей основной стабильной защитной группы такой, как диоксан или диоксолан, приводит к желаемым исходным 4-нитробензофуранам. См. также WO 99/40085 и WO 99/37640.
Обычному специалисту в данной области техники очевидно, что некоторые из соединений формул I и II по настоящему изобретению могут существовать в разных геометрически изомерных формах. Кроме того, некоторые из соединений по настоящему изобретению обладают одним или более асимметрическим атомом и вследствие этого способны существовать в форме оптических изомеров, а также в виде их рацемических или нерацемических смесей и, среди прочего, в виде диастереомеров и диастереомерных смесей. Все эти соединения, включая цис-изомеры, транс-изомеры и чистые энантиомеры, включены в объем настоящего изобретения. Практически чистые энантиомеры содержат не более 5 мас.% соответствующего противоположного энантиомера, предпочтительно не более 2 мас.%, наиболее предпочтительно не более 1 мас.%.
Оптические изомеры могут быть получены разделением рацемических смесей согласно стандартным методикам, например, путем образования диастереоизомерных солей с использованием оптически активных кислот или оснований, либо путем образования ковалентных диастереомеров. Примерами подходящих кислот являются винная, диацетилвинная, дибензоилвинная, дитолуолвинная и камфорсульфоновая кислоты. Смеси диастереоизомеров могут быть разделены на их индивидуальные диастереомеры на основании их физических и/или химических различий методами, известными специалистам в данной области техники, например, хроматографически или посредством фракционной кристаллизации. Оптически активные основания или кислоты освобождаются затем из разделенных диастереомерных солей. Другой процесс разделения оптических изомеров включает применение хиральной хроматографии (например, хиральных колонок ЖХВД), с или без стандартной дериватизации, оптимально выбранной для максимального разделения энантиомеров. Подходящие колонки для хиральной ЖХВД, которые выбирают обычно среди многих других, производит фирма Diacel, например, Chiracel OD и Chiracel OJ. Также применяют ферментативное разделение, с дериватизацией или без нее. Оптически активные соединения формул I и II могут быть также получены хиральным синтезом с использованием оптически активных материалов.
Кроме того, обычному специалисту в данной области техники известно, что соединения могут быть применены в различных обогащенных изотопами формах, например, обогащенных по содержанию 2Н, 3Н, 11С и/или 14С.
Настоящее изобретение относится также к применению форм соединений, раскрытых в описании, таких, как фармацевтически приемлемые соли и пролекарства всех соединений по настоящему изобретению. Фармацевтически приемлемые соли включают соли, полученные взаимодействием главных соединений, представляющих собой основания, с неорганической или органической кислотой с образованием соли, например, солей хлористоводородной кислоты, серной кислоты, фосфорной кислоты, метансульфоновой кислоты, камфорсульфоновой кислоты, щавелевой кислоты, малеиновой кислоты, янтарной кислоты и лимонной кислоты. Фармацевтически приемлемые соли также включают соли, полученные взаимодействием главных соединений, представляющих собой кислоту, с соответствующим основанием с образованием, например, солей натрия, калия, кальция, магния, аммония и холиновых солей. Специалисту в данной области техники известно, что кислотно-аддитивные соли названных соединений могут быть получены реакцией соединений с соответствующей неорганической или органической кислотой посредством любого из известных методов. Альтернативно, соли щелочных и щелочноземельных металлов получают реакцией соответствующего основания посредством множества известных методов.
Следующие и приведенные далее примеры кислотных солей могут быть получены реакцией с неорганическими или органическими кислотами и представляют собой: ацетаты, адипаты, альгинаты, цитраты, аспартаты, бензоаты, бензолсульфонаты, бисульфаты, бутираты, камфораты, диглюконаты, циклопентанпропионаты, додецилсульфаты, этансульфонаты, глюкогептаноаты, глицерофосфаты, хемисульфаты, гептаноаты, гексаноаты, фумараты, гидробромиды, гидройодиды, 2-гидроксиэтансульфонаты, лактаты, малеаты, метансульфонаты, никотинаты, 2-нафталенсульфонаты, оксалаты, пальмонаты, пектинаты, персульфаты, 3-фенилпропионаты, пикраты, пивалаты, пропионаты, сукцинаты, тартраты, тиоцианаты, тозилаты, месилаты и ундеканоаты.
Предпочтительно, чтобы полученные соли были фармацевтически приемлемыми для введения млекопитающим. Однако фармацевтически неприемлемые соли соединений также могут использоваться в качестве промежуточных соединений, например, для выделения соединения в виде соли и последующего превращения соли обратно в свободное основное соединение обработкой щелочным реагентом. Свободное основание может быть затем, если требуется, превращено в фармацевтически приемлемую кислотно-аддитивную соль.
Соединения по изобретению могут быть введены индивидуально или в виде активного компонента лекарственного состава. Поэтому настоящее изобретение включает также фармацевтические композиции соединений формул I и II, содержащих, например, один или более фармацевтически приемлемых носителей.
Имеются многочисленные доступные ссылки, в которых описаны методики приготовления различных составов, подходящих для введения соединений по изобретению. Примеры потенциальных составов и препаратов приведены, например, в Handbook of Pharmaceutical Excipients, American Pharmaceutical Association (современное издание); Pharmaceutical Dosage Forms: Tablets (Lieberman, Lachman and Schwartz, editors) современное издание, опубликованное Marcel Dekker, Inc., а также в Remington’s Pharmaceutical Sciences (Arthur Osol, editor), 1553-1593 (современное издание).
С точки зрения высокой степени PDE4 ингибирования соединения по настоящему изобретению могут быть введены любому, кому требуется или желательно PDE4 ингибирование, и/или активация познавательной способности. Введение может осуществляться в соответствии с потребностями пациента, например, орально, назально, парентерально (подкожно, внутривенно, внутримышечно, внутригрудинно и инфузионно), посредством ингаляции, ректально, вагинально, топически, локально, трансдермально и окулярно.
Различные твердые дозированные оральные формы могут быть применены для введения соединений по изобретению, включая такие твердые формы, как таблетки, капсулы, таблетки в оболочке, гранулы, леденцы и порошки без упаковки. Соединения по настоящему изобретению могут быть введены индивидуально или в комбинации с различными фармацевтически приемлемыми носителями, разбавителями (такими, как сахароза, маннитол, лактоза, крахмалы) и вспомогательными веществами, известными из области техники, включая, но не ограничивая, суспендирующие агенты, солюбилизаторы, буферные агенты, связующие, дезинтеграторы, консерванты, красители, ароматизаторы, смазки и подобные им. Капсулы, таблетки и гели с пролонгированным действием также удобны для введения соединений по настоящему изобретению.
Различные жидкие дозированные оральные формы могут быть применены для введения соединений по изобретению, включая водные и неводные растворы, эмульсии, суспензии, сиропы и эликсиры. Такие дозированные формы могут также содержать подходящие инертные разбавители, известные из уровня техники, такие, как вода, и подходящие вспомогательные вещества, известные из уровня техники, такие, как консерванты, смачивающие агенты, заменители сахара, ароматизаторы, а также эмульгирующие и/или суспендирующие агенты для соединений по изобретению. Соединения по настоящему изобретению могут быть введены посредством инъекций, например, внутривенно, в виде изотонического стерильного раствора. Применение других композиций также возможно.
Суппозитории для ректального введения соединений по настоящему изобретению могут быть приготовлены смешением соединений с соответствующими вспомогатрельными веществами такими, как масло какао, салицилаты и полиэтиленгликоли. Составы для вагинального введения могут быть в форме пессария, тампона, крема, геля, пасты, пены или спрея, содержащие в составе помимо активного соединения такие соответствующие носители, которые хорошо известны из уровня техники.
Фармацевтические композиции для местного введения могут быть в виде кремов, мазей, линиментов, лосьонов, эмульсий, суспензий, гелей, растворов, паст, порошков, спреев и капель, подходящих для введения на кожу, в глаза, уши или нос. Местное введение может также включать трансдермальное введение с использованием, например, трансдермальных пластырей.
Могут быть также приготовлены аэрозольные составы, подходящие для введения посредством ингаляции. Например, для лечения заболеваний дыхательных путей соединения по настоящему изобретению могут быть введены посредством ингаляции в виде порошка, например мелкоизмельченного, или в виде пульверизированных растворов или суспензий. Аэрозольные составы могут быть помещены в герметизированные приемлемые пропелленты.
Соединения могут быть введены в виде самостоятельного активного агента или в комбинации с другими фармацевтическими агентами такими, как другие агенты, применяемые в лечении ухудшения когнитивных способностей и/или в лечении психозов, например, в сочетании с другими PDE4 ингибиторами, блокаторами кальциевых канальцев, холинэргическими лекарствами, модуляторами рецепторов аденозина, амфакинами NMDA-R модуляторов, mGluR модуляторами и ингибиторами холинэстеразы (например, донепецилом, ривастигимином и глантанамином). В таких комбинациях каждый активный ингредиент может быть введен или в соответствии с их обычно применяемым диапазоном дозирования, либо ниже обычно применяемого диапазона дозирования.
Настоящее изобретение включает далее способы лечения, представляющие собой ингибирование PDE4 ферментов. Таким образом, настоящее изобретение включает способы селективного ингибирования PDE4 ферментов у животных, например, млекопитающих, в частности людей, на которых такое ингибирование оказывает терапевтическое действие, а также в случае, когда такое ингибирование может облегчить состояния, включающие неврологические синдромы такие, как потеря памяти, в частности долговременной памяти. Такие способы включают введение животным, нуждающимся в этом, предпочтительно млекопитающим, особенно предпочтительно человеку, ингибирующего количества соединения, самостоятельно или в виде составной части лекарственного препарата, как представлено в данном описании.
Состояние, связанное с ухудшением памяти, проявляется в ухудшении способности воспринимать новую информацию и/или неспособности вспомнить ранее усвоенную информацию. Ухудшение памяти является сипмтомом деменции (слабоумия) и вследствие этого может быть признаком таких болезней, как болезнь Альцгеймера, шизофрения, болезнь Паркинсона, болезнь Хантингтона, болезнь Пика, болезнь Крейцфельда-Якоба, ВИЧ, сердечно-сосудистые болезни, головные травмы, а также возрастное снижение познавательных способностей.
Деменция представляет собой ряд болезней, включающих потерю памяти и дополнительное, отдельно от памяти, снижение интеллекта. Настоящее изобретение включает способ лечения пациентов, страдающих от ухудшения памяти при всех формах деменции. Типы деменции классифицируются в соответствии с вызвавшими ее причинами и включают: нейродегенеративные (например, болезнь Альцгеймера, болезнь Паркинсона, болезнь Хантингтона, болезнь Пика), сосудистые (например, инфаркты, кровоизлияния, кардиологические расстройства), смешанные: сосудистые и Альцгеймера, бактериальные менингиты, болезнь Крейцфельда-Якоба, рассеянный склероз, травматические (например, субдуральная гематома или травматическое повреждение головного мозга), инфекционные (например, ВИЧ), генетические (синдром Дауна), токсические (например, тяжелые металлы, алкоголь, некоторые медикаменты), метаболические (например, дефицит витамина В12 или фолатов), гипоксию ЦНС, болезнь Кушинга, психиатрические (например, депрессия и шизофрения) и гидроцефалию.
Настоящее изобретение включает способы, имеющие дело с потерей памяти, отличной от деменции, включающей умеренное ухудшение познавательных способностей (MCI) и возрастное снижение познавательной способности. Настоящее изобретение включает способы лечения ухудшения памяти в результате болезней. В другом варианте применения изобретение включает способы, связанные с потерей памяти, возникающей в результате общей анестезии, химиотерапии, радиологического лечения, постхирургической травмы и терапевтического вмешательства.
Соединения могут быть применены для лечения психиатрических состояний, включая шизофрению, биполярную и маниакальную депрессию, главную депрессию, лекарственную наркоманию и зависимость от морфия. Эти соединения могут усиливать состояние бодрствования. PDE4 ингибиторы могут быть применены для повышения сАМР уровней и защиты нейронов от апоптоза. Также известно, что PDE4 ингибиторы обладают противовоспалительным действием. Комбинация анти-апоптических и противовоспалительных свойств позволяет применять эти соединения для лечения невродегенераций, являющихся результатом болезни или травмы, включающих инсульт, травму позвоночника, развития нервных клеток, болезнь Альцгеймера, рассеянный склероз, амилолатеросклероз (ALS) и множественную системную атрофию (MSA).
Таким образом, в соответствии с предпочтительным вариантом настоящее изобретение включает способы лечения пациентов, страдающих от ухудшения памяти вследствие, например, болезни Альцгеймера, шизофрении, болезни Паркинсона, болезни Хантингтона, болезни Пика, болезни Крейцфельда-Якоба, депрессии, травмы головы, инсульта, гипоксии ЦНС, старческой церебропатии, полиинфарктной деменции и других неврологических состояний, в том числе острых неврологических болезней, а также ВИЧ и сердечно-сосудистых болезней, включающее введение эффективных количеств соединения согласно формуле I или II или их фармацевтически приемлемых солей.
Соединения по настоящему изобретению могут быть применены в способе лечения пациентов, страдающих от болезненных состояний, характеризующихся увеличением NMDA функции, таких, как шизофрения. Соединения также могут быть применены для лечения психозов, характеризующихся повышением уровней PDE4, например, различных форм депрессии таких, как маниакальная депрессия, главная депрессия и депрессия, связанная с психиатрическими и неврологическими расстройствами.
Как было отмечено, соединения по изобретению проявляют также противовоспалительную активность. В результате, соединения по изобретению применяют в лечении различных аллергических и воспалительных болезней, особенно болезненных состояний, характеризующихся уменьшенными уровнями циклического АМР и/или повышенными уровнями форфодиэстеразы 4. Таким образом, в соответствии с дальнейшем вариантом по изобретению предлагается способ лечения аллергических и воспалительных болезненных состояний, включающий введение эффективных количеств соединения согласно формулам I или II, либо их фармацевтически приемлемых солей. Такие болезненные состояния включают: астму, хронические бронхиты, хронические обструктивные легочные болезни (COPD), атопические дерматиты, крапивницу, аллергические риниты, аллергические конъюнктивиты, весенние конъюнктивиты, эозинофильную гранулему, псориаз, воспалительный артрит, ревматоидный артрит, септический шок, язвенный колит, болезнь Крона, реперфузионную травму миокарда и головного мозга, хронический гломерулонефрит, эндотоксический шок, синдром возрастного респираторного дистресса, кистозный фиброз, артериальный рестеноз, атеросклероз, кератоз, ревматоидный спондилит, остеоартрит, лихорадку, сахарный диабет, пневмокониоз, хроническую обструктивную болезнь дыхательных путей, токсическую и аллергическую контактную экзему, атопическую экзему, себоррейную экзему, лишай симплекс, загар, зуд в анально-половой сфере, очаговую алопецию, гипертрофические рубцы, дискоидную красную волчанку, системную красную волчанку, фолликулярную и широко распространенную пиодермию, эндогенные и экзогенные угри, красные угри, болезнь Бехчета, анафилактоидную пурпуру, нефрит, воспалительные кишечные болезни, лейкоз, рассеянный склероз, желудочно-кишечные заболевания, аутоиммунные заболевания и им подобные.
PDE4 ингибиторы для лечения астмы, хронического бронхита, псориаза, аллергических ринитов и других воспалительных заболеваний, и для ингибирования фактора некроза новообразований известны в данной области техники. См., например, WO 98/58901, JP-11-18957, JP 10-072415, WO 93/25517, WO 94/14742, US 5814651 и US 5935978. В этих ссылках описаны, кроме того, анализы определения PDE4 ингибирующей активности, а также методы синтеза таких соединений. В полном объеме эти документы включены в данное описание посредством ссылок.
PDE4 могут быть использованы для предотвращения или улучшения состояния при остеопорозе, в качестве антибиотика, для лечения сердечно-сосудистых болезней посредством мобилизации холестерола из атеросклеротических повреждений, для лечения ревматоидного артрита (RA), для долговременного ингибирования мезенхимно-клеточной пролиферации после трансплантации, для лечения мочевой непроходимости, поддерживаемой доброкачественной гиперплазией простаты, для подавления хемотаксиса и снижения инвазии клеток рака прямой кишки, для лечения В-клеточного хронического лимфатического лейкоза (B-CLL), для ингибирования маточных сокращений, ослабления легочных сосудистых ишемически-реперфузионных повреждений (IRI), для гидратации роговицы, для ингибирования IL-2R экспрессии и устранения тем самым импорта ядерной ДНК ВИЧ-1 в Т клетки, для увеличения индуцированной глюкозой секреции инсулина, в профилактике и лечении колитов и для ингибирования дегрануляции тучных клеток.
Соединения по настоящему изобретению могут быть введены в виде самостоятельного активного агента или в комбинации с другими фармацевтическими агентами такими, как другие агенты, применяемые в лечении нарушения познавательной способности и/или в лечении психозов, например, в сочетании с другими PDE4 ингибиторами, блокаторами кальциевых канальцев, холинэргическими лекарствами, модуляторами рецепторов аденозина, амфакинами NMDA-R модуляторов, mGluR модуляторами и ингибиторами холинэстеразы (например, донепецилом, ривастигимином и глантанамином). В таких комбинациях каждый активный ингредиент может быть введен или в соответствии с их обычно применяемым диапазоном дозирования, либо с диапазонами дозирования ниже обычно применяемых.
Дозы соединений по настоящему изобретению зависят от различных факторов, включающих соответствующий синдром, подлежащий лечению, тяжесть симптомов, способы введения, частоту дозировочных интервалов, утилизируемость данного соединения, эффективность, токсикологический профиль, фармакокинетический профиль соединения и наличие каких-либо вредных побочных эффектов, наряду с другими соображениями.
Соединения по настоящему изобретению обычно вводятся млекопитающим в дозах, обычно принятых для PDE4 ингибиторов таких, как известные соединения, отмеченные выше. Например, соединения могут быть введены в разовой или многократных дозах, путем орального введения при уровне дозирования, например, 0,01-100 мг/кг/день, предпочтительно 0,1-70 мг/кг/день, особенно предпочтительно 0,5-10 мг/кг/день. Единичные дозированные формы могут содержать, например, 0,1-50 мг активного соединения. При внутривенном введении соединения могут быть введены в разовой или многократных дозах при уровне дозирования, например, 0,001-50 мг/кг/день, предпочтительно 0,001-10 мг/кг/день, особенно предпочтительно 0,01-1 мг/кг/день. Единичные дозированные формы могут содержать, например, 0,1-10 мг активного соединения.
При выполнении методик по настоящему изобретению, конечно, подразумевается, что ссылки на данные буферы, среды, реагенты, клетки, условия выращивания культур и так далее, не предполагается лимитировать, но необходимо понимать, что все родственные материалы, известные обычному специалисту в данной области техники, должны представлять интерес или иметь значение в том контексте, в котором происходит настоящее обсуждение. Например, часто можно заместить одну буферную систему или культурную среду другой и все же получить подобные, если не одинаковые, результаты. При этом специалисты в данной области техники должны иметь достаточные знания относительно таких систем и методологий, чтобы суметь без дополнительного экспериментирования произвести такие замены, а также оптимально исследовать свои цели в применении способов и методик, представленных в настоящем описании.
В полном объеме все заявки, патенты и публикации, цитированные выше и ниже, и предварительная заявка US 60/396726, поданная 19 июля 2002 г., включены в данное описание в качестве ссылок.
ПРИМЕРЫ
Настоящее изобретение описывается далее с помощью следующих примеров, не лимитирующих его. В отношении описания этих примеров следует ясно представлять, что другой или отличный варианты способов по настоящему изобретению несомненно будут понятны специалистам в соответствующей области техники.
В ранее приведенных и последующих примерах все температуры приводятся без поправок в градусах Цельсия; и, если не указано иначе, все части и проценты являются массовыми.
Пример 1: 6-Амино-1-циклопентил-3-этил-1Н-индазол
К смеси 1-циклопентил-3-этил-1Н-индазол-6-карбоновой кислоты (258 мг) и триэтиламина (0, 56 мл) в трет.-бутаноле (1 мл) добавляют дифенилфосфорилазид (0,33 мл). Смесь перемешивают при 100°С в течение 4 ч, затем распределяют между водой (25 мл) и эфиром (25 мл). Эфирный слой отделяют, высушивают (MgSO4) и пропускают через слой силикагеля.
Силикагель промывают дополнительно 25 мл эфира и смесь концентрируют в вакууме. Остаток растворяют в ТГФ (5 мл), добавляют 6-нормальный водный раствор HCl (1 мл) и смесь перемешивают в течение 18 ч. Добавляют эфир (25 мл) и воду (25 мл), эфирный слой отделяют, высушивают (MgSO4) и концентрируют в вакууме. Остаток очищают с помощью колоночной хроматографии на силикагеле, получая 0,14 г 6-амино-1-циклопентил-3-этил-1Н-индазола (выход 59%). ЯМР (300 МГц): 7,45 (d, J=8,4 Гц, 1Н), 6,52 (m, 2H), 4,74 (p, J=7,8 Гц, 1Н), 3,86 (расширенный, 2Н), 2,95 (q, J=7,7 Гц, 2Н), 2,3-1,8 (m, 6H), 1,8-1,6 (m, 2H), 1,37 (t, J=7,7 Гц, 3Н).
Пример 2: 1-Циклопентил-3-этил-6-[N-(3-пиридилметил)]амино-1Н-индазол
К смеси 3-пиридинкарбоксальдегида (106 мг, 1,0 моль) в метаноле (5,0 мл) добавляют 6-амино-1-циклопентил-3-этил-1H-индазол (240 мг, 1,05 ммоля) и моногидрат р-толуолсульфокислоты (2,0 мг). Смесь перемешивают в течение 4 ч, а затем охлаждают до 0°С и добавляют порциями боргидрид натрия (0,09 г, 2,3 ммоля) в течение 4 ч. Реакционной смеси дают нагреваться до комнатной температуры в течение 16 ч при перемешивании. Окончание реакции определяют с помощью ТСХ (гексан/этилацетат в соотношении 1:3). Растворитель удаляют, остаток разбавляют водой (10 мл) и экстрагируют этилацетатом (2×20 мл). Объединенные органические слои промывают рассолом (5 мл), высушивают над сульфтом натрия и концентрируют в вакууме, получая желаемый продукт. ЯМР (300 МГц): 8,64 (s, 1H), 8,51 (m, 1H), 7,70 (m, 1H), 7,42 (d, J=8,4 Гц, 1Н), 7,25 (m, 1H), 6,50 (m, 1H), 6,33 (s, 1H), 4,68 (p, J=7,8 Гц 1H), 4,55 (расширенный, 1H), 4,40 (s, 1H), 2,90 (q, J=7,7 Гц, 2Н), 2,1-1,8 (m, 6H), 1,8-1,6 (m, 2H), 1,34 (t, J=7,7 Гц, 3Н).
Следующие соединения получены методом, аналогичным описанному выше в примере 2:
1-Циклопентил-6-(3-пиридилметил)аминоиндазол,
7-Метокси-2-(2-метил-(1,3-диоксолан-2-ил))-4-[N-(3-пиридилметил)]-аминобензофуран и
7-Метокси-2-(2-метил-(1,3-диоксолан-2-ил))-4-[N-(4-пиридилметил)]-аминобензофуран.
Пример 3: 6-Амино-1-циклопентил-3-этил-6-[N-3-(1,1-диметилэтоксикарбонил)фенил]-N-(3-пиридилметил)амино-1Н-индазол
В колбу, объемом 10 мл, высушенную в печке и продутую аргоном, вносят в следующем порядке: 0,06 г (0,61 ммоля) NaOtBu, 36 мг Pd2dba3, 2,0 мл толуола, 0,014 мл Р(tBu)3 и 2,0 мл раствора 140 мг (0,436 ммоля) 6-амино-1-циклопентил-3-этил-N-(3-пиридилметил)-1Н-индазола в толуоле. При пермешивании добавляют по каплям 310 мг (1,5 ммоля) трет.-бутил 3-йодбензоата и смесь перемешивают в течение 18 ч. Реакционную смесь разбавляют EtOAc, дважды промывают Н2О и экстрагируют 3×15 мл 3N-ной HCl. Объединенные кислотные вытяжки промывают 15 мл EtOAc и затем осторожно нейтрализуют 6N-ным раствором NaOH до рН выше 12. Основной раствор экстрагируют 2×15 мл EtOAc и комбинированные органические фракции промывают затем 15 мл Н2О и рассолом, высушивают (MgSO4) и концентрируют. Остаток очищают хроматографией над силикагелем (Biotage Flash 40M), элюируя 25% EtOAc в гексане. ЯМР (300 МГц): 8,65 (расширенный, 1Н), 8,51 (расширенный, 1Н), 8,26 (d, J=8,4, 1H), 7,75 (m, 1H), 7,7-7,5 (m, 3H), 7,27 (m, 1H), 7,1-7,0 (m, 2H), 6,85 (d, J=8,4, 1H), 5,22 (s, 1H), 4,76 (p, J=7,8 Гц, 1Н), 2,96 (q, J=7,7 Гц, 2Н), 2,1-1,8 (m, 6H), 1,8-1,6 (m, 2H), 1,54 (s, 9H), 1,34 (t, J=7,7 Гц, 3Н).
Следующие соединения получены методом, аналогичным описанному выше в примере 3:
7-Метокси-2-(2-метил-(1,3-диоксолан-2-ил))-4-[N-фенил-N-(4-пиридилметил)]аминобензофуран,
7-Метокси-2-(2-метил-(1,3-диоксолан-2-ил))-4-[N-(4-цианофенил)-N-(3-пиридилметил)]аминобензофуран,
7-Метокси-2-(2-метил-(1,3-диоксолан-2-ил))-4-[N-(3-цианофенил)-N-(3-пиридилметил)]аминобензофуран,
7-Метокси-2-(2-метил-(1,3-диоксолан-2-ил))-4-[N-фенил-N-(3-пиридилметил)]аминобензофуран,
7-Метокси-2-(2-метил-(1,3-диоксолан-2-ил))-4-[N-(3-цианофенил)-N-(4-пиридилметил)]аминобензофуран,
7-Метокси-2-(2-метил-(1,3-диоксолан-2-ил))-4-[N-(4-ацетилфенил)-N-(3-пиридилметил)]аминобензофуран,
7-Метокси-2-(2-метил-(1,3-диоксолан-2-ил))-4-[N-(4-карбоксифенил)-N-(3-пиридилметил)]аминобензофуран,
7-Метокси-2-(2-метил-(1,3-диоксолан-2-ил))-4-[N-(4-(2Н-тетразол-5-ил)фенилил)-N-(3-пиридилметил)]аминобензофуран,
7-Метокси-2-(2-метил-(1,3-диоксолан-2-ил))-4-[N-(4-карбокси-3-хлорфенил)-N-(3-пиридилметил)]аминобензофуран,
7-Метокси-2-(2-метил-(1,3-диоксолан-2-ил))-4-[N-(3-карбокси-5-фторфенил)-N-(3-пиридилметил)]аминобензофуран,
1-Циклопентил-6-[N-фенил-N-(3-пиридилметил)]аминоиндазол и
1-Циклопентил-6-[N-(3-(1,1-диметилэтоксикарбонил)фенил)-N-(3-пиридилметил)]-1Н-аминоиндазол.
Пример 4: 6-Амино-1-циклопентил-3-этил-6-[N-(3-карбоксифенил)-N-(3-пиридилметил)]амино-1Н-индазол
Раствор, содержащий 170 мг (0,344 ммоля) 6-амино-1-циклопентил-3-этил-N-[3-(1,1-диметилэтоксикарбонил)фенил]-N-(3-пиридилметил)-1Н-индазола, 3,35 мл дихлорметана и 0,84 мл трифторуксусной кислоты, перемешивают при комнатной температуре в течение 5 ч. Раствор промывают 5,0 мл Н2О. Затем добавляют 5,0 мл Н2О и корректируют рН до 6 добавлением 10%-ного водного раствора NaOH. Объединенные водные слои экстрагируют (2×5 мл) дихлорметаном. Объединенные дихлорметановые экстракты очищают с помощью ускоренной хроматографии над SiO2, используя 10%-ный МеОН в СН2Cl2 в качестве элюэнта. ЯМР (300 МГц): 8,90 (расширенный, 1Н), 8,70 (расширнный, 1Н), 8,25 (d, J=8,4, 1H), 7,7-7,5 (m, 4H), 7,20 (m, 1H), 7,1-7,0 (m, 2H), 6,86 (d, J=8,4, 1H), 5,20 (s, 1H), 4,76 (p, J=7,8 Гц, 1H), 2,96 (q, J=7,7 Гц, 2Н), 2,05 (m, 4H), 1,88 (m, 2H), 1,65 (m, 2H), 1,36 (t, J=7,7 Гц, 3Н).
Следующее соединение получено методом, аналогичным описанному выше в примере 4:
1-Циклопентил-6-[N-(3-карбоксифенил)-N-(3-пиридилметил)]аминоиндазол.
Пример 5: 2-Ацетил-7-метокси-4-нитробензофуран
К раствору 2-ацетил-7-метоксибензофурана (4,0 г) в уксусном ангидриде (50 мл) при 0°С добавляют по каплям 70%-ную азотную кислоту (1,5 мл). Смесь нагревают до комнатной температуры и перемешивают в течение 3 ч, затем переносят в охлажденный льдом насыщенный раствор карбоната натрия (200 мл). При перемешивании осторожно добавляют твердый карбонат натрия до основности, соответствующей рН 8. Смесь фильтруют, и твердое вещество отделяют вакуумной фильтрацией. Затем тведое вещество кипятят в 100 мл метанола в течение 1 ч, охлаждают до 0°С и фильтруют, получая 2-ацетил-7-метокси-4-нитробензофуран (2,1 г). ЯМР (300 МГц): 8,29 (d, J=8,9 Гц, 1Н), 8,14 (s, 1H), 7,00 (d, J=8,9 Гц, 1Н), 4,14 (s, 3H), 2,68 (s, 3Н)
Пример 6: 7-Метокси-2-(2-метил-0.3-диоксолан-2-ил))-4-нитробензофуран
Смесь 2-ацетил-7-метокси-4-нитробензофурана (2,1 г), этиленгликоля (2 мл) и п-толуолсульфокислоты (25 мг) в толуоле (50 мл) нагревают при кипении с присоединенным аппаратом Дина-Старка в течение 18 ч. Смесь распределяют между насыщенным водным раствором NaHCO3 (50 мл) и эфиром (50 мл). Эфирный слой отделяют, промывают водой (25 мл) и рассолом (25 мл), высушивают (MgSO4) и концентрируют, получая чистый 7-метокси-2-(2-метил-(1,3-диоксолан-2-ил))-4-нитробензофуран (2,1 г). ЯМР (300 МГц): 8,22 (d, J=9,0 Гц, 1H), 7,44 (s, 1H), 6,84 (d, J=9,0 Гц, 1Н), 4,11 (s, 3H), 4,11 (m, 4H), 1,86 (s, 3H).
Пример 7: 4-Амино-7-метокси-2-(2-метил-(1,3-диоксолан-2-ил))бензофуран
К суспензии 10%-ного Pd на активированном угле (200 мг) в этаноле (100 мл), в атмосфере азота, прибавляют 7-метокси-2-(2-метил-(1,3-диоксолан-2-ил))-4-нитробензофурана (6,50 г, 23 ммоля). Реакционную смесь трижды дегазируют под вакуумом. Над реакционной смесью пропускают водород, энергично ее перемешивая. После 4 ч реакция завершается посредством ТСХ (гексан:этилацетат в соотношении 5:1). Реакционную смесь фильтруют через слой целита, целит промывают этанолом. Растворитель удаляют в вакууме, получая 5,1 г (88% выход) указанного в заголовке соединения в виде желтого масла.
Пример 8: 2-Ацетил-7-метокси-4-(N-(3-карбоксифенил)-N-(3-пиридилметил)аминобензофуран
трет.-Бутиловый эфир 7-метокси-2-(2-метил-1,3-диоксолан-2-ил)-4-(N-3-карбоксифенил)-N-(3-пиридилметил)аминобензофурана (120 мг) вносят в СН2Cl2 (10 мл), добавляют трифторуксусную кислоту (2 мл) и перемешивают смесь в течение 4 ч. Смесь концентрируют в вакууме, а остаток очищают с помощью колоночной хроматографии, элюируя с линейным градиентом 0%-10% МеОН в EtOAc в течение 15 мин, получая 65 мг 2-ацетил-7-метокси-4-(N-(3-карбоксифенил)-N-(3-пиридилметил)аминобензофурана. ЯМР (300 МГц): 11,60 (расширенный, 1Н,) 8,71 (расширенный, 1Н), 8,56 (расширенный, 1Н), 7,80 (d, J=7,5 Гц, 1Н), 7,60-7,50 (m, 2H), 7,35 (m, 1Н), 7,20 (t, J=7,9 Гц, 1Н), 7,10-7,00 (m, 2H), 6,95-6,80 (m, 2H), 5,09 (s, 2H), 4,01 (s, 3H), 2 (s, 3H).
Следующие соединения получены методом, аналогичным описанному выше в примере 8.
2-Ацетил-7-метокси-4-[N-фенил-N-(4-пиридилметил)]аминобензофуран,
2-Ацетил-7-метокси-4-[N-(4-цианофенил)-N-(3-пиридилметил)]аминобензофуран,
2-Ацетил-7-метокси-4-[N-(3-цианофенил)-N-(3-пиридилметил)]аминобензофуран,
2-Ацетил-7-метокси-4-[N-фенил-N-(3-пиридилметил)]аминобензофуран,
2-Ацетил-7-метокси-4-[N-(3-цианофенил)-N-(4-пиридилметил)]аминобензофуран,
2-Ацетил-7-метокси-4-[N-(4-ацетилфенил)-N-(3-пиридилметил)]аминобензофуран,
2-Ацетил-7-метокси-4-[N-(4-карбоксифенил)-N-(3-пиридилметил)]аминобензофуран,
2-Ацетил-7-метокси-4-[N-(4-(2Н-тетразол-5-ил)фенил)-N-(3-пиридилметил)]аминобензофуран,
2-Ацетил-7-метокси-4-[N-(4-карбокси-3-хлорфенил)-N-(3-пиридилметил)]аминобензофуран и
2-Ацетил-7-метокси-4-[N-(3-карбокси-5-фторфенил)-N-(3-пиридилметил)]аминобензофуран
Пример 9: 2-Ацетил-7-метокси-N-(4-фенилсульфониламинокарбонилфенил)-N-(3-пиридилметил)-4-аминобензофуран
К раствору 2-ацетил-7-метокси-N-(4-карбоксифенил)-N-(3-пиридилметил)-4-аминобензофурана (416 мг, 1,0 ммоля), бензосульфонамида (200 мг, 1,2 ммоля) и диметиламинопиридина (ДМАП) (150 мг, 1,2 ммоля) в дихлорметане (5 мл) добавляют при комнатной температуре одной порцией этилендихлорид (230 мг, 1,2 ммоля) и смесь перемешивают при комнатной температуре в течение 16 ч. Смесь распределяют между водой (25 мл) и EtOAc (25 мл) и значение рН доводят до 5-6 с помощью 1,0-нормальной HCl. Отделяют EtOAc слой, промывают рассолом (25 мл), высушивают (MgSO4) и концентрируют в вакууме. Остаток очищают посредством колоночной хроматографии, элюируя с линейным градиентом от 5% до 10% МеОН в EtOAc, получая 2-ацетил-7-метокси-N-(4-фенилсульфониламинокарбонил-фенил)-N-(3-пиридилметил)-4-аминобензофуран (415 мг). ЯМР (300 МГц): 8,53 (расширенный, 1Н), 8,46 (расширенный, 1Н), 8,06 (d, J=7,3 Гц, 2Н), 7,8-7,3 (m, 6H), 7,21 (m, 1H), 7,1-7,0 (m, 2H), 6,91 (d, J=8,5 Гц, 1Н), 6,56 (d, J=7,3 Гц, 2Н), 4,99 (s, 2H), 4,02 (s, 3H), 2,54 (s, 3H).
Пример 10: Измерение in vitro активности ингибирования фосфодиэстеразы типа 4
Человеческая PDE4 получена из инфицируемых бакуловирусом Sf9 клеток, которые экспрессируют рекомбинантный фермент. сДНК, кодирующая hPDE-4D6, была субклонирована в бакуловирусный вектор. Клетки насекомых (Sf9) инфицированы бакуловирусом и культивировались до тех пор, пока экспрессировался белок. Инфицированные бакуловирусом клетки были лизированы, и лизат использовался как источник hPDE-4D6 фермента. Фермент частично очищался посредством ДЭАЭ (диэтиламиноэтил) ион-обменной хроматографии. Эту методику можно повторить, используя сДНК, кодирующую другие PDE-4 ферменты.
Анализ:
Фосфодиэстеразы 4 типа превращают циклический аденозин монофосфат (сАМР) в 5/-аденозин монофосфат (5/-АМР). Нуклеотидаза превращает 5/-АМР в аденозин. Поэтому комбинированная активность PDE4 и нуклеотидазы превращает сАМР в аденозин. Аденозин легко отделяется от сАМР на колонке с нейтральной окисью алюминия. Ингибиторы фосфодиэстеразы блокируют превращение сАМР в аденозин в этом анализе; следовательно, PDE4 ингибиторы ызывают уменьшение аденозина.
Клеточные лизаты (40 мкл), экспрессирующие hPDE-4D6, соединяют с 50 мкл анализируемой смеси и 10 мкл ингибитора и инкубируют в течение 12 мин при комнатной температуре. Окончательная концентрация компонентов пробы составляет: 0,4 мкг фермента, 10 мМ трис-HCl (рН 7,5), 10 мМ MgCl2, 3 мкМ сАМР, 0,002 ед. 5/-нуклеотидазы и 3×104 имп/мин [3Н] сАМР. Реакцию останавливают добавлением 100 мкл кипящей 5мN HCl. Аликвоту 75 мкл реакционной смеси переносят из каждой ячейки в колонку с окисью алюминия (Multiplate; Millipore). Меченый аденозин элюируют в OptiPlate центрифугированием при 2000 об/мин в течение 2 мин; добавляют 150 мкл сцинтилляционной жидкости на ячейку в OptiPlate. Планшет заклеивают, встряхивают в течение 30 мин и определяют число имп./мин [3Н] аденозина, используя Wallac Triflux®.
Все тестируемые соединения растворяют в 100% ДМСО и разбавляют пробу так, чтобы конечная концентрация ДМСО составила 0,1%. ДМСО при такой концентрации не влияет на ферментную активность.
Уменьшение концентрации аденозина указывает на ингибирование активности PDE. Значения pIC50 определяют скринингом от 6 до 12 концентраций соединений в области от 0,1 нМ до 10,000 нМ, а затем строят кривую зависимости концентрации лекарства от концентрации 3Н-аденозина. Для установления значений pIC50 используют программу нелинейной регрессии (Assay Explorer®).
Пример 11 (метод А): Пассивное уклонение от вхождения в шоковую камеру у крыс, in vivo тест на обучение и память
Испытание проводили по описанной ранее методике (Zhang, H.-T., Crissman, A.M., Dorairaj, N.R., Chandler, L.J., and O’Donnell, J.M., Neuropsychopharmacology, 2000, 23, 198-204). Аппарат (модель E10-16SC, Coulbourn Instruments, Allentown, PA) состоит из камеры с двумя отсеками, в которой освещенный отсек соединен с затемненным отсеком с помощью двери, снабженной резаком. Пол затемненного отсека состоит из прутьев из нержавеющей стали, через которые от постоянного источника тока проходит разряд, вызывающий электрошок. Все экспериментальные группы сначала прошли тренировку на привыкание к аппарату за день перед началом эксперимента. Во время тренировки крысы (самцы Spraque-Dawley (Harlan), весящие от 250 до 350 г) были посажены в освещенный отсек в противоположном направлении к закрытой двери на 1 мин перед поднятием двери. Время ожидания для вхождения в затемненный отсек регистрируют. После вхождения крыс в затемненный отсек закрывают дверь и пропускают электрический ток мощностью 0,5 мА в течение 3 сек. Спустя 24 ч крысам вводят 0,1 мг/кг МК-801 или солевой раствор, за 30 мин до инъекции солевого раствора или тестируемого соединения (доза от 0,1 до 2,5 мг/кг, внутрибрюшинно), которую делают за 30 мин перед началом испытания. Крыс опять сажают в освещенный отсек с открытой дверью. Время ожидания для вхождения в затемненный отсек регистрируют вплоть до 180 сек, после которого эксперимент заканчивают.
Все данные анализировались методом анализа расхождений (ANOVA); индивидуальные сравнения проводились с использованием тестов по Kewman-Keuls. He подвергнутым воздействию шока крысам требуется в среднем не более 30 сек, чтобы пробежать из освещенного отсека в затемненный отсек. Однако, через 24 ч после воздействия электрического шока большинство крыс, предварительно обработанных наполнителем, не вошли снова в затемненный отсек; среднее время ожидания увеличилось до 175 сек (р<0,001). Предварительная обработка МК-801 (0,1 мг/кг) заметно уменьшила это время ожидания по сравнению с наполнителем (р<0,001). Этот эффект амнезии, производимый МК-801, превращается в статистически значимый метод при реальном испытании соединений методом эффекта дозы.
Пример 11 (метод Б): Радиальный лабиринт для навыка поиска пищи для крыс, in vivo тест на обучение и память
Испытание проводили по описанной ранее методике (Zhang, H.-T., Crissman, A.M., Dorairaj, N.R., Chandler, L.J., and O’Donnell, J.M., Neuropsychopharmacology, 2000, 23, 198-204). Через пять дней после размещения крысы (самцы Spraque-Dawley (Harlan), весящие от 250 до 350 г), были помещены в 8-рукавный радиальный лабиринт (каждый рукав размером 60×10×12 см высотой; лабиринт поднят на 70 см от пола) для привыкания в течение 2 дней. Затем крысы индивидуально были пересажены на 5 мин в центр лабиринта с близко помещенными в пищевые ячейки пищевыми гранулами и затем, на следующий день, в ячейки, помещенные в конце рукавов; были проведены 2 серии опытов в день. Далее в каждые 4, случайно выбранные рукава, в качестве приманки положены по одной грануле с пищей. Крысы были сосредоточены в центре платформы (26 см в диаметре) в течение 15 сек и затем отпускались в свободное движение по лабиринту до тех пор, пока не были собраны все пищевые гранулы или спустя 10 мин после появления любой первой крысы. Регистрировали 4 параметра: 1) ошибки рабочей памяти, то есть повторный вход в приманочный рукав во время этого испытания; 2) стандартные ошибки памяти, то есть вход в рукав, не содержащий приманку; 3) совместные входы в рукав; 4) продолжительность испытания (дополнительное), то есть время, проведенное при сборе всех гранул в лабиринте. Если ошибки рабочей памяти равнялись нулю и средняя стандартная ошибка памяти составляла не более одной в пяти последовательных испытаниях, крысам начинали вводить лекарства. Инъекции МК-801 или солевого раствора проводили за 15 мин до введения наполнителя или тестируемого агента, которые вводились за 45 мин до тестирования. Эксперименты проводили в освещенной комнате, в которой размещали несколько экстра-лабиринтов, удобных для проведения наблюдений.
Все данные анализировались методом анализа расхождений (ANOVA); индивидуальные сравнения проводились с использованием тестов по Kewman-Keuls. По сравнению с контрольными опытами введение МК-801 (0,1 мг/кг, внутрибрюшинно) увеличивало частоту как ошибок рабочей памяти, так и стандартных ошибок памяти (р<0,01). Этот эффект амнезии, производимый МК-801, превращается в статистически значимый метод при введении реально тестируемых соединений методом эффекта дозы.
Предшествующие примеры могут быть повторены с подобным успехом замещением общих или специально описанных реагентов и/или рабочих условий по настоящему изобретению, применяемых в предшествующих примерах.
Хотя изобретение было проиллюстрировано в отношении продукции и, особенно соединений, очевидно, что варианты и модификации по изобретению могут быть сделаны без отклонения от сущности или объема по изобретению.
Формула изобретения
1. Соединение формулы I:
 в которой R1 обозначает циклоалкил, содержащий от 3 до 10 атомов углерода; R2 обозначает алкил, содержащий от 1 до 4 атомов углерода; R3 обозначает пиридилметил; R4 обозначает фенил, который является незамещенным или замещенным карбокси-, цианогруппой или алкоксикарбонилом; или его фармацевтически приемлемые соли, при условии, что указанное соединение не является 4-(2-хлор-4-метоксифенил)-5-метил-2-[N-(1-пропилиндазол-6-ил)-N-пропиламино]тиазолом, где оптически активное соединение может быть в виде одного из его разделенных энантиомеров или их смесей, включая рацемические смеси.
2. Соединение формулы II
 в которой R3 обозначает водород или пиридилметил; R4 обозначает водород или фенил, который является незамещенным или замещенным галогеном, карбокси-, цианогруппой, алкоксикарбонилом; тетразол-5-илом или фенилсульфониламинокарбонилом; R7 обозначает алкоксигруппу, содержащую от 1 до 4 атомов углерода, которая является разветвленной или неразветвленной; R8 обозначает -СО-С1-4-алкил или диоксанил, причем по крайней мере один из R3 и R4 отличен от водорода, или его фармацевтически приемлемые соли, где оптически активное соединение может быть в виде одного из его разделенных энантиомеров или их смесей, включая рацемические смеси.
3. Соединение по п.2, которое представлено формулой III или IV:
 где R3 обозначает пиридилметил; R4 обозначает фенил, который является незамещенным или замещенным галогеном, карбоксигруппой, алкоксикарбонилом, цианогруппой, тетразол-5-илом или фенилсульфониламинокарбонилом; R7 обозначает алкоксигруппу, содержащую от 1 до 4 атомов углерода, которая является разветвленной или неразветвленной; R8 обозначает -СО-С1-4-алкил, который является разветвленным или неразветвленным, или диоксанил, или его фармацевтически приемлемые соли, где оптически активное соединение может быть в форме одного из его разделенных энантиомеров или их смесей, включая рацемические смеси.
4. Соединение по п.1, которое представлено частной формулой V:
 в которой R1 обозначает циклоалкил, содержащий от 3 до 10 атомов углерода; R2 обозначает алкил, содержащий от 1 до 4 атомов углерода; R4 обозначает фенил, который является незамещенным или замещенным карбокси-, цианогруппой или алкоксикарбонилом; и один из В, D и Е обозначает N, а два других обозначают С, или его фармацевтически приемлемые соли, где оптически активное соединение может быть в форме одного из его разделенных энантиомеров или их смесей, включая рацемические смеси.
5. Соединение по п.2, которое представлено частной формулой VI:
 в которой R4 обозначает водород или фенил, который является незамещенным или замещенным галогеном, карбокси-, цианогруппой, алкоксикарбонилом, тетразол-5-илом или фенилсульфониламинокарбонилом; R7 обозначает алкоксигруппу, содержащую от 1 до 4 атомов углерода, которая является разветвленной или неразветвленной; R8 обозначает -CO-C1-4-алкил, который является разветвленным или неразветвленным, либо диоксанил, и один из В, D и Е обозначает N, а два других обозначают С, или его фармацевтически приемлемые соли, где оптически активное соединение может быть в форме одного из его разделенных энантиомеров или их смесей, включая рацемические смеси.
6. Соединение по п.4 или 5, в котором D обозначает N, а В и Е обозначают С.
7. Соединение по любому из пп.1-6, где R4 обозначает фенил, который является незамещенным или замещенным один или несколько раз карбоксигруппой или алкоксикарбонилом.
8. Соединение по п.1, которое представляет собой: 1-циклопентил-6-(N-фенил-N-(3-пиридилметил))аминобензофуран, 1-циклопентил-6-(N-(3-карбоксифенил)-N-(3-пиридилметил))аминобензофуран, 6-амино-1-циклопентил-3-этил-6-[N-3-(1,1-диметилэтоксикарбонил)фенил]-N-(3-пиридилметил)амино-1Н-индазол, 1-циклопентил-3-этил-6-[N-(3-карбоксифенил)-N-(3-пиридилметил)]амино-1Н-индазол, или их фармацевтически приемлемые соли, где оптически активные соединения могут быть в форме их разделенных энантиомеров или их смесей, включая рацемические смеси.
9. Соединение по п.2, которое представляет собой: 7-метокси-2-(2-метил-(1,3-диоксолан-2-ил))-4-[N-(4-пиридилметил)]аминобензофуран, 7-метокси-2-(2-метил-(1,3-диоксолан-2-ил))-4-[N-(3-пиридилметил)]аминобензофуран, 7-метокси-2-(2-метил-(1,3-даоксолан-2-ил))-4-[N-фенил-N-(4-пиридилметил)]аминобензофуран, 7-метокси-2-(2-метил-(1,3-диоксолан-2-ил))-4-[N-(3-цианофенил)-N-(3-пиридилметил)]аминобензофуран, 7-метокси-2-(2-метил-(1,3-диоксолан-2-ил))-4-[N-фенил-N-(3-пиридилметил)]аминобензофуран, 7-метокси-2-(2-метил-(1,3-диоксолан-2-ил))-4-[N-(3-цианофенил)-N-(4-пиридилметил)]аминобензофуран, 7-метокси-2-(2-метил-(1,3-диоксолан-2-ил))-4-[N-(3-цианофенил)-N-(3-пиридилметил)]аминобензофуран, 7-метокси-2-(2-метил-(l,3-диоксолан-2-ил))-4-[N-(4-карбоксифенил)-N-(3-пиридилметил)]аминобензофуран, 7-метокси-2-(2-метил-(1,3-диоксолан-2-ил))-4-[N-(-(2Н-тетразол-5-ил)фенил)-N-(3-пиридилметил)]аминобензофуран, 7-метокси-2-(2-метил-(1,3-диоксолан-2-ил))-4-[N-(4-карбокси-3-хлорфенил)-N-(3-пиридилметил)]аминобензофуран, 7-метокси-2-(2-метил-(1,3-диоксолан-2-ил))-4-[N-(3-карбокси-5-фторфенил)-N-(3-пиридилметил)]аминобензофуран, 1-циклопентил-6-[N-(3-(1,1-диметилэтоксикарбонил)фенил)-N-(3-пиридилметил)]-1Н-аминоиндазол, 2-ацетил-7-метокси-4-(N-(4-цианофенил)-N-(3-пиридилметил))-аминобензофуран, 2-ацетил-7-метокси-4-(N-фенил-N-(4-пиридилметил))аминобензофуран, 2-ацетил-7-метокси-4-(N-(3-карбоксифенил)-N-(3-пиридилметил))аминобензофуран, 7-метокси-2-(2-метил-(1,3-диоксалан-2-ил))-4-(N-(4-цианофенил)-N-(3-пиридилметил))аминобензофуран, 2-ацетил-7-метокси-4-(N-(3-цианофенил)-N-(3-пиридилметил))-аминобензофуран, 2-ацетил-7-метокси-4-(N-фенил-N-(3-пиридилметил))аминобензофуран, 2-ацетил-7-метокси-4-(N-(3-цианофенил)-N-(4-пиридилметил))-аминобензофуран, 2-ацетил-7-метокси-4-(N-(4-ацетилфенил)-N-(3-пиридилметил))-аминобензофуран, 2-ацетил-7-метокси-4-[N-(4-карбоксифенил)-N-(3-пиридилметил))-аминобензофуран, 2-ацетил-7-метокси-4-[N-(4-(2Н-тетразол-5-ил)фенил)-N-(3-пиридилметил))аминобензофуран, 2-ацетил-7-метокси-4-[N-(4-карбокси-3-хлорфенил)-N-(3-пиридилметил))аминобензофуран, 2-ацетил-7-метокси-4-[N-(3-карбокси-5-фторфенил)-N-(3-пиридилметил))аминобензофуран, 2-ацетил-7-метокси-N-(4-фенилсульфониламинокарбонилфенил)-N-(3-пиридилметил)-4-аминобензофуран, или их фармацевтически приемлемые соли, где оптически активные соединения могут быть в форме их разделенных энантиомеров или их смесей, включая рацемические смеси.
10. Соединение по п.2, в котором R8 обозначает -СО-С1-4-алкил.
11. Соединение по п.1, в котором R2 обозначает Н или С2Н5.
12. Соединение по п.4, в котором R2 обозначает Н или С2Н5.
13. Соединение по п.1, в котором R1 обозначает циклопентил; R2 обозначает C2H5.
14. Соединение по п.4, в котором R1 обозначает циклопентил; R2 обозначает С2Н5.
15. Соединение по п.2 в котором R3 обозначает пиридилметил.
16. Соединение по п.2 в котором R3 обозначает пиридилметил и R4 обозначает фенил, замещенный или незамещенный.
17. Фармацевтическая композиция, обладающая ингибирующей активностью в отношении фермента PDE4, содержащая соединение по любому из пп.1-16 и фармацевтически приемлемый носитель.
18. Композиция по п.17, в которой соединение представлено в единичной дозе от 0,1 до 50 мг.
19. Применение соединения по любому из пп.1-16 при изготовлении лекарственного средства для ингибирования PDE4 фермента, повышения познавательной способности и/или лечения психоза у пациента.
20. Применение по п.19, по которому названное лекарственное средство представлено в форме, подходящей для введения указанного соединения в количестве от 0,01 до 100 мг/кг массы тела в день.
21. Применение по п.19, в котором названным пациентом является человек.
22. Применение по п.19, в котором лекарственное средство предназначено для лечения нарушения или ослабления познавательных способностей.
23. Применение по п.19, в котором лекарственное средство предназначено для лечения ухудшения памяти.
24. Применение по п.23, в котором лекарственное средство предназначено для лечения ухудшения памяти вследствие болезни Альцгеймера, шизофрении, болезни Паркинсона, болезни Хантингтона, болезни Пика, болезни Крейцфельда-Якоба, ВИЧ, сердечно-сосудистых болезней, головной травмы или возрастного снижения познавательных способностей.
25. Применение по п.23, в котором лекарственное средство предназначено для лечения ухудшения памяти вследствие слабоумия.
26. Применение по п.19, в котором лекарственное средство предназначено для лечения психоза.
27. Применение по п.26, в котором лекарственное средство предназначено для лечения шизофрении, биполярной или маниакальной депрессии либо глубокой депрессии.
28. Применение соединения по любому из пп.1-16 при изготовлении лекарственного средства для лечения болезней, которые связаны с уменьшением уровней сАМР.
29. Применение по п.19, в котором лекарственное средство воздействует на ингибирование PDE4 фермента.
30. Применение соединения по любому из пп.1-16 при изготовлении лекарственного средства для лечения аллергических или воспалительных болезней.
31. Применение соединения по любому из пп.1-16 при изготовлении лекарственного средства для лечения нейродегенерации, вызванной болезнью или травмой.
32. Применение по п.31, в котором болезнь или травма представляют собой инсульт, травму позвоночника, нейрогенезис, болезнь Альцгеймера, рассеянный склероз, амилолатеросклероз (ALS) или множественную системную атрофию (MSA).
33. Применение по п.23, в котором названное лекарственное средство предназначено для лечения нарушения памяти вследствие болезни Альцгеймера, шизофрении, болезни Паркинсона, болезни Хантингтона, болезни Пика, болезни Крейцфельда-Якоба, депрессии, старения, травмы головы, инсульта, гипоксии ЦНС, старческой церебропатии, полиинфарктной деменции и других неврологических состояний, острых неврологических болезней, ВИЧ или сердечно-сосудистых болезней.
34. Применение соединения по любому из пп.1-16 при изготовлении лекарственного средства для лечения пациента, страдающего от привыкания к лекарству или морфиновой зависимости.
35. Применение по п.30, в котором названное лекарственное средство предназначено для лечения воспаления, вызванного заболеванием, включающим астму, хронические бронхиты, хронические обструктивные легочные болезни (COPD), атопические дерматиты, крапивницу, аллергические риниты, аллергические конъюктивиты, весенние коньюктивиты, эозинофильную гранулему, псориаз, воспалительный артрит, ревматоидный артрит, септический шок, язвенный колит, болезнь Крона, реперфузионную травму миокарда и головного мозга, хронический гломерулонефрит, эндотоксический шок, синдром возрастного респираторного дистресса, кистозный фиброз, артериальный рестеноз, атеросклероз, кератоз, ревматоидный спондилит, остеоартрит, лихорадку, сахарный диабет, пневмокониоз, хроническую обструктивную болезнь дыхательных путей, токсическую и аллергическую контактную экзему, атопическую экзему, себоррейную экзему, лишай симплекс, загар, зуд в анально-половой сфере, очаговую алопецию, гипертрофические рубцы, дискоидную красную волчанку, системную красную волчанку, фолликулярную и широко распространенную пиодермию, эндогенные и экзогенные угри, красные угри, болезнь Бехчета, анафилактоидную пурпуру, нефрит, воспалительные кишечные болезни, лейкоз, рассеянный склероз, желудочно-кишечные заболевания, аутоиммунные заболевания.
|
|