|
|
(21), (22) Заявка: 2007124201/04, 28.06.2007
(24) Дата начала отсчета срока действия патента:
28.06.2007
(46) Опубликовано: 10.05.2009
(56) Список документов, цитированных в отчете о поиске:
US 5792799, 11.08.1998. RU 2126388, 20.02.1999. US 5510369, 23.04.1996.
Адрес для переписки:
125502, Москва, ул. Лавочкина, 50-1, кв.24, пат.пов. Н.Л.Цетович
|
(72) Автор(ы):
Синауридзе Елена Ивановна (RU), Атауллаханов Фазоил Иноятович (RU), Бутылин Андрей Александрович (RU), Сулимов Владимир Борисович (RU), Романов Алексей Николаевич (RU), Боголюбов Алексей Алексеевич (RU), Кузнецов Юрий Владимирович (RU), Грибкова Ирина Владимировна (RU), Горбатенко Александр Сергеевич (RU), Кондакова Ольга Анатольевна (RU)
(73) Патентообладатель(и):
Общество с ограниченной ответственностью “Бионика” (RU)
|
(54) НОВЫЕ СОЕДИНЕНИЯ, ОБЛАДАЮЩИЕ ФУНКЦИЕЙ ИНГИБИТОРОВ ТРОМБИНА, И ФАРМАЦЕВТИЧЕСКИЕ КОМПОЗИЦИИ НА ИХ ОСНОВЕ
(57) Реферат:
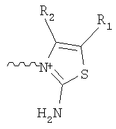
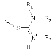
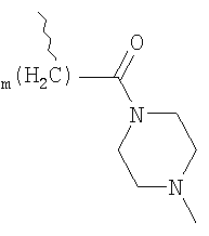
Настоящее изобретение описывает новые химические соединения общей структурной формулы (I), его фармацевтически приемлемые соли или сольваты: , где значение радикалов А, С, R9 такие, как указано в формуле изобретения, R1, R2, R3, R4 независимо друг от друга представляют собой водород или C1-6 алкил; В представляет собой -(СН2)n-, где n принимает целые значения от 1 до 5; где R5 выбирают из группы, содержащей водород, C1-6алкокси, CH2NR10R11, CH(CH3)NR10R11 и другие значения, указанные в формуле изобретения, R6 и R7 независимо представляют собой водород, C1-6алкил; C1-6алкокси; галоген; R8 представляет собой водород или C1-6алкил; R10, R12 независимо друг от друга выбирают из группы, состоящей из водорода, C1-6алкила; (CH2)mCOOR13, (CH2)mCON(R13)2 и др. значения, указанные в формуле изобретения, где m принимает целые значения от 1 до 4, R13 представляет собой водород или C1-6алкил, R11 представляет собой C1-6 алкил; Ar; Ar представляет собой фенил, пиридил, оксазолил, тиазолил, тиенил, фуранил, пиримидинил, пиридазинил, пиразинил, индолил, бензофуранил, бензотиофенил, замещенные от одного до пяти заместителей, выбранных из группы: водород, C1-6алкил, C1-6алкокси, галоген, N(R13)2, ОН, NO2, CN, COOR13, CON(R13)2, SO2R13; применение этих соединений в качестве ингибиторов тромбина и фармацевтические композиции на их основе. Технический результат: получены новые соединения, которые могут быть полезны для лечения и профилактики тромбинзависящих тромбоэмболических событий, а также в научно-исследовательских целях. 3 н. и 2 з.п. ф-лы, 4 табл., 2 ил.
Текст описания приведен в факсимильном виде.                                                    
Формула изобретения
1. Соединение общей структурной формулы (I), его фармацевтически приемлемые соли или сольваты:
 структуры: где С выбирают из группы, содержащей



 где R1, R2, R3, R4 независимо друг от друга представляют собой водород или С1-6алкил; В представляет собой -(СН2)n-, где n принимает целые значения от 1 до 5; А выбирают из группы, содержащей структуры:



 где R5 выбирают из группы, содержащей водород, C1-6алкокси, CH2NR10R11, CH(CH3)NR10R11,
, , , , R6 и R7 независимо представляют собой водород, C1-6алкил; C1-6алкокси; галоген; R8 представляет собой водород или C1-6алкил; R9 выбирают из следующей группы, состоящей из:
, , R10, R12 независимо друг от друга выбирают из группы, состоящей из водорода, C1-6алкила; (CH2)mCOOR13, (CH2)mCON(R13)2,
 ,  где m принимает целые значения от 1 до 4, R13 представляет собой водород или C1-6алкил, R11 представляет собой C1-6алкил; Ar; Ar представляет собой фенил, пиридил, оксазолил, тиазолил, тиенил, фуранил, пиримидинил, пиридазинил, пиразинил, индолил, бензофуранил, бензотиофенил, замещенные от одного до пяти заместителей, выбранных из группы: водород, C1-6алкил, C1-6алкокси, галоген, N(R13)2, ОН, NO2, CN, COOR13, CON(R13)2, SO2R13; за исключением:


2. Соединение по п.1, его фармацевтически приемлемые соли или сольваты, а именно
,
,
 где Y выбирают из группы, состоящей из водорода, галогена, COOR13, CON(R13)2, SO2R13, r принимает целые значения от 2 до 5.
3. Соединение по п.1, его фармацевтически приемлемые соли или сольваты, характеризующиеся тем, что они обладают способностью ингибировать тромбин.
4. Применение соединения по п.1, его фармацевтически приемлемых солей или сольватов в качестве ингибиторов тромбина.
5. Фармацевтическая композиция для лечения и профилактики тромбинзависящих тромбоэмболических событий, содержащая терапевтически эффективное количество соединения по п.1, его фармацевтически приемлемых солей или сольватов и фармацевтически приемлемый носитель.
РИСУНКИ
PC4A – Регистрация договора об уступке патента СССР или патента Российской Федерации на изобретение
Прежний патентообладатель:
Общество с ограниченной ответственностью “Бионика”
(73) Патентообладатель:
Открытое акционерное общество “Аполло БиоФарм”
Договор № РД0055124 зарегистрирован 02.10.2009
Извещение опубликовано: 10.11.2009 БИ: 31/2009
PD4A – Изменение наименования обладателя патента СССР или патента Российской Федерации на изобретение
(73) Новое наименование патентообладателя:
Закрытое акционерное общество «Аполло БиоФарм» (RU)
Адрес для переписки:
119334, Москва, ул. Косыгина, 15, офис 526, ЗАО «Аполло БиоФарм»
Извещение опубликовано: 10.04.2010 БИ: 10/2010
PC4A – Регистрация договора об уступке патента СССР или патента Российской Федерации на изобретение
Прежний патентообладатель:
Закрытое акционерное общество “Аполло БиоФарм”
(73) Патентообладатель:
Общество с ограниченной ответственностью “Бионика”
Договор № РД0061530 зарегистрирован 10.03.2010
Извещение опубликовано: 20.04.2010 БИ: 11/2010
|
|