|
(21), (22) Заявка: 2006132148/11, 06.09.2006
(24) Дата начала отсчета срока действия патента:
06.09.2006
(43) Дата публикации заявки: 20.03.2008
(46) Опубликовано: 10.05.2009
(56) Список документов, цитированных в отчете о поиске:
RU 2191721 C1, 27.10.2002. JP 2141400 A, 30.05.1990. RU 2076833 C1, 10.04.1997. WO 9418073 A1, 18.08.1994.
Адрес для переписки:
141070, Московская обл., г. Королев, ул. Ленина, 4а, ОАО “РКК “Энергия” им. С.П. Королева”, отдел интеллектуальной собственности
|
(72) Автор(ы):
Севастьянов Николай Николаевич (RU), Верхотуров Владимир Иванович (RU), Орлов Александр Герасимович (RU), Блинов Виктор Алексеевич (RU), Ковтун Владимир Семенович (RU), Платонов Валерий Николаевич (RU), Орловский Игорь Владимирович (RU)
(73) Патентообладатель(и):
Открытое акционерное общество “Ракетно-космическая корпорация “Энергия” имени С.П. Королева” (RU)
|
(54) СПОСОБ УПРАВЛЕНИЯ ОРИЕНТАЦИЕЙ ГЕОСТАЦИОНАРНОГО КОСМИЧЕСКОГО АППАРАТА, ОСНАЩЕННОГО РАДИОМАЯКОМ
(57) Реферат:
Изобретение относится к космической технике и может быть использовано для управления ориентацией космических аппаратов. Способ управления ориентацией геостационарного космического аппарата заключается в определение зависимости от углов поворота космического аппарата по рысканию углов поворота плоскостей поляризации каждой приемной антенны из пары одинаковых приемных антенн, установленных в местах, прилежащих к n-ой или n-ым точкам прицеливания, и принимающих линейно поляризованные сигналы от радиомаяка, плоскость поляризации которого совмещена с плоскостью, образованной осями связанного базиса, одна из которых совмещена с местной вертикалью, а другая – с осью управления по углу тангажа. Достигается управление ориентацией космического аппарата по рысканию от бортового радиомаяка одним излучающим проводником без дополнительного использования других бортовых датчиков. 7 ил.
Изобретение относится к космической технике и может быть использовано для управления ориентацией космических аппаратов (КА).
Известен способ управления ориентацией КА [1], снабженного бортовым радиотехническим комплексом (БРК), включающий построение и поддержание исходной ориентации, при которой ось антенны БРК направлена в заданную точку визирования на поверхности планеты, измерение исходного сигнала на выбранных измерительных станциях (ИС), находящихся в области видимости КА. При этом в качестве источника сигнала может выступать штатный радиопередатчик или радиомаяк, а в качестве эталонной величины исходного сигнала могут быть использованы амплитуда сигнала, соотношение «сигнал-шум» или другие параметры сигнала. Способ включает также установку закона изменения сигнала от БРК на ИС при его измерении в процессе угловых отклонений от заданной ориентации КА, определение приращений исходного сигнала на ИС, имеющего разные знаки и амплитуды; построение и поддержание заданной ориентации КА, параметры которой совпадают с параметрами исходной; измерение текущего сигнала на ИС и, в случае его отклонения от исходного, расчет по определенному закону изменения сигнала на ИС положения оси антенны БРК КА; в свою очередь, по измеренному и рассчитанному положению оси антенны БРК КА – определение текущей ориентации КА и проведение коррекции его ориентации.
Недостатком указанного способа управления ориентацией КА является то, что его точность напрямую зависит от числа ИС. Для того чтобы обеспечить требуемую точность поддержания ориентации ( 0,1°) по трем осям управления геостационарного спутника связи в орбитальной системе координат (ОСК), требуется установить несколько десятков таких ИС. Причем эффективность их работы, связанная с чувствительностью к изменению сигнала, будет наиболее высокой, если они будут размещены по периметру наземной зоны обслуживания связи бортовыми космическими станциями спутника (см.[2], стр.32).
В конечном счете это приводит к удорожанию стоимости системы, реализующей предложенный способ управления. Целесообразно иметь такую систему для орбитальной группировки спутников, тогда стоимость затрат на управление одним спутником может быть уменьшена.
Известен способ управления ориентацией геостационарного КА, оснащенного радиомаяком [3], наиболее близкий из аналогов – прототип, включающий радиоуправление угловым движением при построении местной вертикали.
Способ включает в себя формирование радиомаяком излучаемого сигнала с диаграммой направленности вдоль оси связанного базиса, совмещенной с местной вертикалью космического аппарата, определение n-х точек прицеливания оси главного лепестка диаграммы направленности антенны радиомаяка на поверхности Земли при орбитальной ориентации космического аппарата, где n=1, 2, 3, – число точек прицеливания, при этом n=1 при нулевой широте точки стояния космического аппарата, n=2, 3, – при отклонениях космического аппарата по широте, измерение при орбитальной ориентации космического аппарата излучаемой радиомаяком мощности сигнала в точке(ах) прицеливания приемными антеннами с диаграммами направленности, пересекающимися в точке(ах) равного уровня мощности, измерение излучаемого радиомаяком сигнала в процессе поддержания текущей ориентации космического аппарата антеннами с указанными диаграммами направленности в точке(ах) их равного уровня мощности, сравнение указанных измеренных величин мощности сигнала радиомаяка, определение по результатам сравнения углов рассогласования ориентации космического аппарата по осям связанного базиса управления креном и тангажом относительно соответствующих осей орбитального базиса, формирование управляющих команд на исполнительные органы по осям крена и тангажа для коррекции углового движения космического аппарата по углам рассогласования до построения местной вертикали.
Формирование излучения радиомаяком сигнала электромагнитного поля производится вдоль оси связанного базиса, совмещенной с местной вертикалью КА. Определяется n точек прицеливания оси главного лепестка диаграммы направленности антенны радиомаяка (РМ) на поверхности Земли при орбитальной ориентации КА, где n=1 при нулевой широте точки стояния КА, n=2, 3, при отклонениях КА по широте. Для этого определяется поле видимости маяка – поверхность Земли, ограниченная наклонной восьмеркой, являющейся проекцией орбиты КА на поверхность Земли. В свою очередь, в поле видимости маяка определяются точки прицеливания – точки пересечения оси главного лепестка антенны РМ с земной поверхностью. Из-за нестабильности положения КА в точке стояния, обусловленного его отклонениями по широте, луч радиомаяка последовательно проходит поля обзора приемных антенн. Переключения с одной антенны на следующую представляют собой последовательные дискретные изменения номеров задействованных антенн, пропорциональные угловым отклонениям КА.
Схема одной антенны для приема сигнала маяка реализуется с помощью нескольких одинаковых лучей, которые образуют собой диаграмму направленности (ДН). Например, на трехлучевой ДН ширина всех трех лучей одинакова. Окружности поперечного сечения каждой из диаграмм являются кривыми одинакового (равного) уровня мощности и построены таким образом, что пересекаются в максимуме диаграммы направленности.
Рассмотрены примеры построения и других ДН, в частности это четырехлучевая диаграмма, которая также определяет максимум диаграммы направленности. За счет крутизны диаграммы (по мощности) каждого луча формируется в целом высокочувствительная антенна для приема сигнала радиомаяка.
Производится измерение при орбитальной ориентации КА излучаемой радиомаяком максимальной мощности сигнала в точке(ах) прицеливания лучевыми приемными антеннами с диаграммами направленности, пересекающимися в точке(ах) равного уровня мощности. Измеряют также излучаемую РМ мощность сигнала в процессе поддержания текущей ориентации КА антеннами с указанными диаграммами направленности в точке(ах) их равного уровня мощности.
Каждая антенна, принимающая сигнал маяка, обеспечивает возможность сравнения величин измеренной мощности сигнала радиомаяка. Далее по результатам сравнения определяют углы рассогласования ориентации осей связанной системы координат (ССК) с осями ОСК по крену ( y) и тангажу ( z). По указанным осям рассогласования формируют управляющие команды на исполнительные органы для коррекции углового движения КА до построения местной вертикали.
При использовании способа управления, выбранного в качестве прототипа, сокращается необходимое число ИС по сравнению с ранее рассмотренным аналогом. Антенная система более компактно располагается на поверхности Земли в поле видимости РМ. Затраты на ее создание меньше, чем в случае аналога.
Недостаток способа заключается в том, что для его реализации РМ, расположенный на борту КА, должен иметь несколько излучающих проводников и несколько зеркал (три и более), что увеличивает массу РМ и КА в целом. Способ также не решает задачу трехосной ориентации КА. Для управления КА по рысканию ( х) дополнительно используется датчик ориентации на Солнце. А для поддержания ориентации в целом используется также и гироскопический измеритель вектора угловой скорости (ГИВУС).
Технический результат предлагаемого способа управления заключается в обеспечении управления ориентацией КА по рысканию от бортового РМ с одним излучающим проводником без дополнительного использования других бортовых датчиков за счет измерения мощности линейно поляризованного сигнала РМ парами антенн с повернутыми плоскостями поляризации относительно положения, ориентированного на прием сигнала, определения зависимости углов поворота КА по углу рыскания от отношения величин мощности измеренных сигналов каждой из антенн с последующим использованием указанной зависимости для управления ориентацией КА по рысканию.
Технический результат достигается тем, что в способе управления ориентацией геостационарного космического аппарата, оснащенного радиомаяком, включающем формирование радиомаяком излучаемого сигнала с диаграммой направленности вдоль оси связанного базиса, совмещенной с местной вертикалью космического аппарата, определение n-x точек прицеливания оси главного лепестка диаграммы направленности антенны радиомаяка на поверхности Земли при орбитальной ориентации космического аппарата, где n=1, 2, 3, – число точек прицеливания, при этом n=1 при нулевой широте точки стояния космического аппарата, n=2, 3, – при отклонениях космического аппарата по широте, измерение при орбитальной ориентации космического аппарата излучаемой радиомаяком мощности сигнала в точке(ах) прицеливания приемными антеннами с диаграммами направленности, пересекающимися в точке(ах) равного уровня мощности, измерение излучаемого радиомаяком сигнала в процессе поддержания текущей ориентации космического аппарата антеннами с указанными диаграммами направленности в точке(ах) их равного уровня мощности, сравнение указанных измеренных величин мощности сигнала радиомаяка, определение по результатам сравнения углов рассогласования ориентации космического аппарата по осям связанного базиса управления креном и тангажом относительно соответствующих осей орбитального базиса, формирование управляющих команд на исполнительные органы по осям крена и тангажа для коррекции углового движения космического аппарата по углам рассогласования до построения местной вертикали, дополнительно определяют зависимости от углов поворота космического аппарата по рысканию углов поворота плоскостей поляризации каждой приемной антенны из пары одинаковых приемных антенн, установленных в местах, прилежащих к n-ой(ым) точке(ам) прицеливания, и принимающих линейно поляризованные сигналы от радиомаяка, плоскость поляризации которого совмещена с плоскостью, образованной осями связанного базиса, одна из которых совмещена с местной вертикалью, а другая – с осью управления по углу тангажа, далее из указанных зависимостей выбирают те, которые удовлетворяют точности определения поворота космического аппарата по углу рыскания, зависящей от поворота плоскостей поляризации приемных антенн в местах их установки, и по зависимостям, удовлетворяющим указанной точности, выбирают места установки одинаковых пар приемных антенн, далее для текущих значений углов поворота плоскостей поляризации приемных антенн каждой пары ±Ф относительно положения, ориентированного на прием от бортового радиомаяка линейно поляризованного сигнала, определяют зависимости углов поворота космического аппарата по углу рыскания от отношения величин мощности измеренных сигналов каждой из приемных парных антенн и выбирают ту зависимость, крутизна характеристики которой обеспечивает с заданной точностью определение угла поворота космического аппарата по углу рыскания с учетом затухания сигнала по линии его прохождения, фиксируют для указанной зависимости значение угла поворота плоскости поляризации антенн |Ф0|, далее после построения местной вертикали производят измерения антеннами с плоскостями поляризации, повернутыми на углы ±Ф0, мощности сигналов излучения от радиомаяка, проверяют на затухание измеренные значения путем их сравнения от разных пар приемных антенн в местах их установки, прилежащих к n-ой(ым) точке(ам) прицеливания, и по результатам сравнения выбирают значения мощности сигналов, исключающие помехи, приводящие к затуханию сигналов, затем через отношение величин выбранных значений мощности сигналов и зависимости от них углов поворота космического аппарата по углу рыскания определяют текущие углы ориентации космического аппарата по углу рыскания, по изменению которых, в свою очередь, определяют угловую скорость аппарата по рысканию, по углам и угловой скорости движения космического аппарата осуществляют изменение угловой скорости путем формирования команд на исполнительные органы до величины, соответствующей поиску зоны чувствительности ориентации космического аппарата по радиомаяку в указанных пределах зависимости углов поворота космического аппарата по углу рыскания от отношения величин мощности измеренных сигналов, далее путем вращения относительно местной вертикали осуществляют поиск и приведение управления по каналу рыскания в указанную зону чувствительности, после чего осуществляют управление построением и поддержанием заданной ориентации по углу рыскания в пределах зоны чувствительности ориентации космического аппарата по радиомаяку.
В основу предлагаемого способа положено изменение коэффициента кроссполяризационных потерь принимаемого сигнала от бортового РМ при изменении угла между плоскостями поляризации падающей волны и приемной антенны и, как следствие, изменение мощности сигнала на входе приемной антенны. При этом прием сигнала осуществляют парами одинаковых антенн.
Для пояснения сути предлагаемого способа в описание заявки введены фиг.1-фиг.7.
На фиг.1 представлена схема расположения систем координат, связанных с геостационарным спутником (ГСС).
На фиг.2 представлен график зависимости изменения разности углов поворота плоскости поляризации приемной антенны и углов поворота ГСС по рысканию от углов поворота спутника по рысканию и нулевом его угле поворота по крену для земной измерительной станции, расположенной в г.Москве, при стоянии ГСС в точке 90° в.д.
На фиг.3 представлены графики зависимости углов поворота ГСС по рысканию от углов поворота ГСС по крену для различных значений углов поворота плоскости поляризации приемных антенн.
На фиг.4 представлена схема штатного ориентированного на прием сигнала от РМ КА положения плоскости поляризации приемной антенны.
На фиг.5 представлен график зависимости угла поворота ГСС по рысканию от отношения величин мощности измеренных сигналов каждой из приемных парных антенн с повернутыми плоскостями поляризации относительно положения, ориентированного на прием от бортового РМ линейно поляризованного сигнала.
На фиг.6 в виде графика показан пример влияния осадков (дождя) на точность определения угла рыскания ГСС по излучаемой мощности РМ.
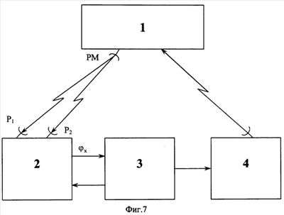
На фиг.7 в виде блок-схемы представлен пример системы для реализации предлагаемого способа радиоуправления ориентацией ГСС.
Первоначально, для того чтобы обеспечить требуемый технический результат, определяют зависимости от углов поворота КА по рысканию углов поворота плоскостей поляризации каждой приемной антенны из пары приемных антенн, установленных в прилежащих к n-ой(ым) точке(ам) прицеливания РМ.
Для пояснения сути предлагаемого технического решения рассматривают установленный на борту ГСС РМ, имеющий линейную, например, вертикальную (V) поляризацию. Маяк расположен таким образом, что плоскость поляризации его излучения находится в плоскости XOZ ГСС, с осями ССК OX, OY, OZ. При этом ось ОХ совмещена с местной вертикалью ГСС, а ось OZ совмещена с осью управления по углу тангажа.
Далее рассматривают системы координат, применяемые в дальнейшем описании технического решения, с учетом угловой спутниковой проекции КА (ГСС) на Землю (см.[2], стр.39-41) при поддержании спутником штатной ориентации в ОСК. Для этого на фиг.1 кроме ранее введенных обозначений введены дополнительные обозначения:
О – центр Земли; Р – северный полюс Земли; N – точка, задающая положение земной станции (ЗС) на поверхности Земли; – географическая широта ЗС;  – разность долготы точки N и подспутниковой точки ГСС; А – проекция точки N на плоскость экватора; – радиус-вектор ГСС ЗС; – вектор электрического поля сигнала РМ; – единичный вектор, совпадающий с направлением распространения сигнала; – вектор, определяющий кроссовую составляющую сигнала РМ; – вектор, задающий направление оси OZ.
С учетом введенных обозначений, радиус-вектор ГСС ЗС определяется через географические координаты угловой спутниковой проекции на Землю:

где Rc – расстояние от спутника до центра Земли (OO );
Rз – радиус Земного шара (O N), тогда

При этом зависимости между введенными на фиг.1 векторами имеют вид:

Для дальнейшего пояснения сути технического решения определяют зависимость угла Ф поворота плоскости поляризации сигнала, принимаемого ЗС, от углового вектора поворота ГСС 
При поворотах ГСС относительно оси OZ направляющие косинусы вектора (и соответственно ) в ОСК (OX, OY, OZ) не меняются. Следовательно, где – новое положение вектора после указанного поворота.
Тогда 
т.е. угол Ф от угла поворота z ГСС не зависит.
Определяют направляющие косинусы вектора в ОСК (OX, OY, OZ) при повороте ГСС на угол y:
 
Тогда в соответствии с (2) 

Характерен случай, когда ЗС находится на меридиане подспутниковой точки, тогда  =0. Следовательно, см.(1), кy=0 и 
В соответствии с (2) можно определить значение для с учетом выбранного направления , см. фиг.1.

Таким образом, при  =0 , .

Следовательно, если ЗС находится на меридиане подспутниковой точки, повороты ГСС относительно оси управления по крену ( y) не приводят к изменению угла Ф.
Определяют направляющие косинусы вектора в ОСК (OX, OY, OZ) при повороте ГСС на угол х:

В соответствии с (2)



При ограничениях на допустимое значение угла х 1° и  =0, с точностью до б.м. второго порядка малости можно получить




Из (6) следует, что для случая расположения ЗС на меридиане подспутниковой точки измеряемое рассогласование по поляризации Ф равно углу поворота КА относительно местной вертикали (углу рыскания х) с точностью до б.м. второго порядка малости.
Для ЗС, расположенной в подспутниковой точке, =0 и  =0, следовательно, кy=кz=0 {см.(1)}, и для выражения (6) будет соблюдаться строгое равенство.
Когда географическая долгота точки положения ЗС не совпадает с географической долготой подспутниковой точки, необходимо определить степень влияния указанного рассогласования на точность определения зависимости Ф=f( x).
Таким образом определяют зависимости углов поворота плоскостей поляризации приемных антенн Ф, ориентированных на прием от бортового РМ линейно поляризованного сигнала в местах установки антенн, прилежащих к n-ой точке прицеливания РМ, от углов поворота КА по х. При этом сама точка прицеливания РМ может находиться в разных местах зоны покрытия ГСС (см.[2], стр.29).
Далее из указанных зависимостей выбирают те, которые удовлетворяют точности определения Ф=f( x).
На фиг.2 представлен график зависимости х=f( х), где х=Ф- х. Расчеты проведены для ЗС, расположенной в Москве ( ЗС=37,96°, =55,68°), и подспутниковой точки, расположенной на меридиане 90° в.д., при этом в расчетах приняты значения y=0, Rc=42150 км, Rз=6371 км. Как видно из графика на фиг.2, в данном случае указанным рассогласованием можно пренебречь. Следовательно, выбор места установки антенн удовлетворяет точности определения поворота КА по углу рыскания, зависящей от поворота плоскости поляризации приемных антенн.
Для общего случая определения необходимо решить уравнение
, где


Входящие в выражение (8) преобразования коммутативны, поскольку недиагональные элементы матриц есть б.м. величины. И, следовательно, последовательность выполнения операций здесь несущественна.
На фиг.3 представлены зависимости х=f( y) для различных значений Ф, полученные путем математического моделирования по выражению (7) для указанного ранее случая установки ЗС.
В каждой из пяти пар графиков, представленных на фиг.3, одна соответствует углу поворота плоскости поляризации Ф (Ф=-1; -0,5; 0; 0,5; 1), при этом x=Ф для y=0.
Из графиков следует, что поворот на угол y=1,4° приводит к погрешности определения угла  х 0,09°, а при y=1° погрешность составляет  х 0,07°.
Такие величины лежат за пределами чувствительности измерительного комплекса, поэтому практическое использование рассмотренного эффекта невозможно.
Кроме того, приведение по рысканию при построении ОСК производится, как правило, после построения местной вертикали. Современные построители местной вертикали (включая рассмотренный в [3] радиопостроитель местной вертикали) должны обеспечивать требуемую точность ( y, z<0,1°).
Таким образом, после построения местной вертикали зависимость угла поворота плоскости поляризации Ф от угла поворота ( y) при управлении КА можно не учитывать.
Рассмотренный пример касался линейной вертикально поляризованной электромагнитной волны, излучаемой РМ. Следует отметить, что он справедлив и для других видов линейной поляризации, в частности горизонтальной. При этом должны соблюдаться ранее введенные условия расположения плоскости поляризации РМ по отношению к осям связанного базиса ГСС.
Как уже отмечалось, при вращении КА угол между плоскостями поляризации падающей волны и приемной антенны может изменяться, что приводит к изменению коэффициента поляризационных потерь и, как следствие, изменению мощности сигнала на входе приемной антенны.
Однако вращение КА – это не единственный механизм, приводящий к повороту плоскости поляризации сигнала. Дополнительный поворот происходит по трассе полета КА (см.[2]) за счет рефракции сигнала; деполяризации сигнала на гидрометеорах при наличии осадков; поворота плоскости поляризации, обусловленного анизотропией коэффициента преломления атмосферы вдоль силовых линий магнитного поля («явление Фарадея»), и других факторов.
Перечисленные факторы плюс изменение эффективной изотропно излучаемой мощности (ЭИИМ) РМ в направлении на ЗС в результате вращения КА и ослабления амплитуды сигнала в осадках приводят к изменению мощности Р сигнала, регистрируемого на ЗС.
В общем случае мощность принимаемого сигнала может быть представлена в виде:

где Lo – коэффициент, учитывающий затухание сигнала в свободном пространстве;
 ,
– коэффициент усиления антенны ЗС; – коэффициент собственного шума приемника антенны ЗС;
f – функция, выражающая зависимость мощности Р принимаемого сигнала от аргументов:
Ф – текущий угол, определяющий положение плоскости поляризации приемной антенны относительно положения, ориентированного на прием сигнала от бортового РМ;
ф – коэффициент, учитывающий поворот плоскости поляризации сигнала на атмосферном участке трассы из-за анизотропии среды вдоль силовых линий магнитного поля («явление Фарадея»);
 – коэффициент, учитывающий деполяризацию сигнала на гидрометеорах;
о -коэффициент ослабления сигнала в осадках;
m – коэффициент кроссполяризационной развязки антенны радиомаяка;
а – коэффициент кроссполяризационной развязки приемной антенны ЗС;
,
PS – мощность электромагнитной волны солнечного излучения, принимаемого на ЗС при «прямой» солнечной засветке антенны ЗС, имеющей место при положении Солнца в секторе ±1,5° относительно оси приемной антенны.
Для определения искомого вектора поворота КА на поверхности Земли строится система измерений, включающая парное число одинаковых измерительных антенн земных станций.
В качестве примера для начала рассматривают использование для управления двух станций (ЗС1 и ЗС2), расположенных в точке N (см. фиг.1). Плоскости поляризации антенн указанных станций повернуты относительно штатного положения, ориентированного на равносигнальный прием сигнала от РМ V-поляризации (в нашем примере) на фиксированные углы ±Ф0 (см. фиг.4).
На фиг.4 введены дополнительные обозначения: (OXYZ)1 – базис ЗС, ориентированный на прием штатного сигнала; – вектор конечного поворота КА; OX’Y’Z’ – текущее положение осей ССК КА.
В ориентированном положении на прием штатного сигнала от РМ ось O1X1 направлена в начало ССК (в точку О), а ось O1Z1 параллельна оси OZ.
Через P1, P2 обозначается измеряемая мощность сигнала РМ на ЗС1, ЗС2 соответственно.
Указанные мощности можно сравнить через отношение величин:

Подставив в (10) выражение для P1 и P2 и учитывая при этом идентичность сигналов на ЗС1,2, можно получить:

где 
(1), (2) – индексы, принадлежащие ЗС1,2 соответственно.
Входящие в (11) величины , , , , , , , , являются входными параметрами задачи, описывающей угловую зависимость

При этом параметры , , , , , , характеризуют шумы, вносимые в систему соответствующими факторами. В идеальной системе каждый из этих параметров должен быть нулевым, а постоянная К, не влияющая на эту зависимость, может быть положена равной 1.
С учетом указанных допущений для иллюстрации механизма поворота х=f(dP) строят зависимости для случая идеальной системы:

где – вектор электрического поля падающей волны;
, – единичные векторы электрического поля приемных антенн ЗС1 и ЗС2 соответственно.
Далее анализируются графики x=f(dP) для различных значений Ф до получения необходимой крутизны характеристики зависимости, определяющей заданную точность радиоуправления ГСС. Фиксируют после получения указанной зависимости значение , соответствующее заданной точности определения углов рыскания.
График зависимости (13) для случая Ф0=85°, представленный на фиг.5, носит качественный характер и приведен для иллюстрации зависимости изменения угла х от значений dP. В точках, где х=±5°, функция имеет логарифмический вид.
Для случая зависимости x=f(dP), приведенной в виде графика на фиг.5, характерны следующие особенности:
– график имеет линейный участок на интервале -2,5° х 2,5°;
– интервал корректного определения знака производной угла поворота х составляет -4° x 4°;
– угол наклона графика на линейном участке, как следует из (13), равен

Погрешность определения угла x при заданных величинах параметров в (11) определяется погрешностью измерения мощностей P1 и Р2 принимаемых сигналов на ЗС1 и ЗС2 соответственно.
Через Р отображается погрешность определения величины dP, т.е. , так как следовательно , или с учетом Р можно получить

Из (14), (15) определяется погрешность

Из выражения (16) следует: чем больше угол поворота плоскости поляризации
ЗС Ф0 от номинального положения, ориентированного на прием от бортового РМ линейно поляризованного сигнала, тем выше точность определения угла x.
Таким образом, выбором угла Ф0 можно добиться необходимой точности радиоуправления КА по оси х. При этом величина Ф0 должна быть такой, чтобы при поворотах КА на угол х=±2° (в рабочем диапазоне угла для приведения ориентации к заданной) запас по мощности принимаемого сигнала позволял превысить его затухание по линии его прохождения и величину шума приемника антенны ЗС.
Известно (см.[2]), что для космической радиосвязи используются диапазоны частот выше частот ионосферного отражения (более 30 МГц). На практике космическая радиосвязь осуществима только в «окнах» между полосами поглощения в парах воды и кислорода. Первые три полосы поглощения имеют центральные частоты 22,2 ГГц (Н2О), 60 ГГц (O2) и 118,8 ГГц (О2). Суммарное поглощение атмосферными газами на пути r0 (км) может быть определено с помощью выражения

где 0, n – коэффициенты затухания в дБ·км-1 для кислорода и водяного пара соответственно.
В [2] приведены зависимости коэффициентов 0, n от частоты при температуре 20°С и влажности 7,5 г·м-3. Там же приведены зависимости затухания при однократном прохождении радиоволн через слоистую атмосферу от частоты при разных углах местоположения антенны ЗС.
Другим фактором, определяющим уровень затухания сигнала в атмосфере, являются гидрометеоры, т.е. конденсированные водяные пары в атмосфере (дождевые капли, град, лед, туман, облака, снег). Наличие их, в особенности дождя, ухудшает характеристики космических линий связи. Дождевые капли вызывают затухание и рассеивание радиоволны. Удельное затухание у поверхности Земли зависит от интенсивности дождя:

где а и b – постоянные, зависящие от температуры;
А – интенсивность дождя в мм·ч-1.
В соответствии с известными расчетными зависимостями, отражающими энергетику спутниковых линий (см.[2], стр.149-184), можно определить необходимую величину запаса мощности сигнала на прием.
Например, ЗС определенной конфигурации, расположенные в Москве, должны обеспечивать запас по мощности не менее 15 дБ.
Однако, как показывает опыт испытания системы, из-за затухания сигнала в постоянно изменяющейся атмосфере не всегда удается получить требуемую точность измеренного значения угла х. Наибольшее влияние в таких случаях оказывают осадки в виде дождя и снега. На фиг.6 показан контроль угла х на рабочем временном интервале при наличии дождя. Как видно из графика, допустимый для управления угол 0,3° превышен более чем на порядок. В конечном счете это приводит к недопустимому срыву заданной ориентации КА, обеспечивающей работу полезной бортовой нагрузки.
Возможны и другие причины потерь энергетики в спутниковых линиях, связанные с помехами в местах расположения ЗС. Для исключения влияния факторов внешней среды на решение задачи управления угловым движением КА по углу рыскания предлагается в местах установки, прилежащих к n-ой точке прицеливания в радиусе несколько десятков километров (или несколько сот километров, удовлетворяющих, в конечном счете, необходимой точности решения задачи), устанавливать по несколько пар одинаковых приемных антенн с плоскостями поляризации, развернутыми относительно положения, ориентированного на прием бортового сигнала заданной поляризации на углы ±Ф0.
Далее, путем сравнения измеренных значений мощности принимаемых сигналов с учетом дополнительного контроля (например, метеорологического контроля атмосферы) в зонах установки ЗС необходимо исключить влияние осадков и других внешних факторов на точность определения углов х за счет отбраковки искаженной информации.
Например, для оценки затухания в дожде измеряемых сигналов необходимо знать статистику затухания для каждой ЗС на данной частоте. Благодаря тому, что в настоящее время проводятся измерения с помощью спутниковых маяков, появились базы данных для проверки и уточнения статистических моделей затухания сигнала.
Во всех предложенных методах статистической переменной величиной является интенсивность дождя у поверхности Земли и затухание в дожде определяется соотношением (см.[4]):

где – удельное затухание, дБ·км-1;
D(A) – эффективная длина пути.
Главное различие методов расчета затухания при моделировании заключается в выборе функции D(A). Модели, описывающие распределение интенсивности дождя, зависят от функции местоположения. Наиболее простая из них основана на понятии характеристической высоты атмосферы, под которой подразумевают высоту атмосферы, состоящую только из молекул воды, распределенных равномерно с высотой и имеющих такое же поглощение, как и реальная атмосфера. Характеристическая высота атмосферы h, состоящая из молекул воды, равна 2,1 км. Эквивалентная длина пути в атмосфере определяется соотношением

где h – высота ЗС над уровнем моря;
– угол места направления на КА из точки расположения ЗС.
Как следует из (20), длина пути в атмосфере существенно зависит от угла места.
Для исключения влияния указанных негативных факторов на радиоуправление угловым движением КА необходимо проверить на затухание в газах атмосферы и гидрометеорах полученные измеренные значения путем их сравнения от разных пар приемных антенн и на основе функций распределения и статистики затухания сигнала определить достоверно измеренные значения. Выбором необходимого числа пар антенн и выбором конкретных мест установки ЗС обеспечивается необходимая степень достоверности.
В качестве примера для принятия решения может служить конечная зависимость, определяющая влияние указанных функций распределения сигнала на определение угла х (см. фиг.6). Как видно из графика, представленного на фиг.6, через математическое определение «ошибки усреднения» измерений можно определять номинальный уровень искомой величины. В частности, при регламентных работах с СВЧ-приборами можно произвести соответствующие настройки. Далее необходимо вести статистический учет получаемых отклонений от величины настройки. При этом нужно учитывать наличие гидрометеоров, сезонности, мест районирования ЗС и других факторов, оказывающих влияние на отклонения от величины настройки.
В процессе получения угла х при помощи каждой из установленных в точке прицеливания пар антенн производится сравнивание полученных результатов. Зная статистику затухания сигналов для каждой ЗС, можно определить наиболее достоверный результат. При этом управление переключается на те группы антенн, которые в текущий момент времени в наименьшей степени подвержены действию негативных факторов (имеют наиболее достоверный результат).
При наличии на борту КА нескольких антенн РМ, в том числе с управляемыми диаграммами направленности, можно определить несколько точек прицеливания на земной поверхности, соответствующих указанным диаграммам. Это позволяет расширить территорию размещения приемников с учетом, например, районирования территории по интенсивности дождевых осадков (см.[2], стр. 159) и другим неблагоприятным факторам.
При удержании «точки стояния» КА на экваторе по угловым координатам долготы и широты, не превышающим 0,1° от номинальных значений (для ГСС «Ямал»), поле видимости РМ можно принять за область, имеющую неизменную величину. В таком случае, точка прицеливания оси главного лепестка антенны РМ также не изменяется, и управление угловым движением позиционируется относительно только этой точки.
В случае отклонения КА по широте поле видимости РМ также будет перемещаться (см.[3]). Как указывалось ранее, точность измерения углов х и, следовательно, точность поддержания ориентации КА зависит от места положения точки N, задающей положение ЗС. Для получения расчетной точности производится перемещение между полями обзора антенн для приема маяка по маршруту, который проделывает КА в течение суток.
Перемещение между полями обзора антенн для приема маяка происходит вдоль наклонно ориентированного пути с целью улучшения совпадения полей обзора антенн и наклонного поля видимости маяка. По мере указанного перемещения путем математического моделирования дополнительно исследуется на точность управления угловым движением размещение в окрестностях, прилежащих к n-м точкам прицеливания, измерительных пар антенн для управления КА.
По результатам исследования определяется точность проводимых измерений угла
x и исходя из необходимой достаточности получения его заданной величины назначаются дополнительно n-е число точек прицеливания, где n=2, 3
В указанных точках устанавливается парное число антенн с плоскостями поляризации (±Ф0)n относительно положения, ориентированного на прием бортового сигнала заданной поляризации. Далее, управление КА по рысканию производится относительно новых мест расположения антенн, прилежащих к n-м точкам прицеливания.
Схема системы для реализации предлагаемого способа представлена на фиг.7, где введены обозначения: 1 – КА; 2 – блок измерения углового отклонения КА по рысканию (БИУОР); 3 – блок дистанционного управления ориентацией КА по рысканию (БДУОР); 4 – земная станция служебного канала управления (ЗС СКУ, см.[2], стр.350-359).
БИУОР 2 включает в себя: две ЗС, антенны которых постоянно работают на прием сигнала от РМ; частотно-цифровые преобразователи принимаемых сигналов; спецвычислитель. На выходе блока по описанному выше алгоритму формируется цифровой сигнал, пропорциональный углу х.
Примером реализации БИУОР 2 может служить известная схема многоканального одномерного пеленгатора с логарифмической амплитудной характеристикой (см.[4], стр.163-179).
БДУОР 3 предназначен для формирования кинематического и динамического контуров управления ориентацией КА (см.[5]). Управление ориентацией аппарата производится по принципу трех независимых плоских вращений. В таком случае закон управления по рысканию формируется в БДУОР 3 независимо от других каналов управления.
Для формирования указанного закона БДУОР 3 с определенной частотой запрашивает в БИУОР 2 значения х. Указанная запросная частота позволяет определять значение . Таким образом, на фазовой плоскости, отражающей угловое движение аппарата, можно постоянно получать текущие значения х, для формирования закона управления, (см.[5], стр.178-291).
По угловому рассогласованию, определяемому кинематическим контуром БДУОР 3, формируются и выдаются команды через динамический контур КА на исполнительные органы (силовые гироскопы и реактивные двигатели), которые поступают через ЗС СКУ 4 на его борт. Тем самым замыкается контур управления угловым движением КА. Управление по углу рыскания начинают после построения местной вертикали.
При этом первоначально получают угловую скорость по каналу рыскания, обеспечивающую поиск зоны чувствительности наземного измерительного комплекса к поворотам КА. Указанная зона чувствительности соответствует определенному интервалу в зависимости, приведенной на фиг.5. На графике фиг.5 эта зона ограничена значениями -4,5° x 4,5°. Попадание в указанную зону погранично определено логарифмической особенностью функции в точках x=±5°. Следовательно, угловая скорость , где dt – дискретный интервал опроса (например, последовательным цифровым кодом по принципу «команда-ответ»), должна позволять корректно определять знак угла поворота х. Или дифференцирующая частота опроса значений угла х с достаточной степенью точности должна позволять определять экстремумы функции x=f(dP). В свою очередь, точность определения экстремумов будет влиять на точность определения предельного цикла управления угловым движением КА по рысканию на фазовой плоскости, так как указанные экстремумы определяют время начала переключений исполнительных органов, применяемых для управления ориентацией.
Для получения необходимой величины осуществляют первоначальное гашение или разгон угловой скорости КА. В случае ГСС типа «Ямал» диапазон необходимой величины угловой скорости поиска может составить (0,05 0,2)°/сек.
Таким образом, путем вращения КА относительно оси, задающей местную вертикаль осуществляют классический поиск и приведение управления угловым движением в зону чувствительности датчика внешней информации, которым является антенный наземный комплекс ЗС, принимающий сигнал бортового РМ. А после приведения в указанную зону осуществляют построение и поддержание заданной ориентации по углу рыскания в пределах зоны чувствительности указанного датчика.
Проведенный анализ движения показывает, что как только заданы начальные условия, т.е. значения х, для момента времени, который принят за начало, все дальнейшее поведение системы становится однозначно определенным и может быть изображено соответствующей фазовой диаграммой на фазовой плоскости управления.
Рассмотренный пример реализации БДУОР 3 наземными средствами не единственный. Функциональное назначение блока может также быть реализовано с помощью бортовых вычислительных средств. В таком случае ЗС СКУ 4 будет напрямую передавать на борт КА значения углов х с определенной частотой.
Однако в обоих случаях в контуре управления угловым движением не задействуются ГИВУС и другие (кроме РМ) датчики внешней информации. Радиоуправление от РМ полностью исключает необходимость их использования.
Предложенный способ радиоуправления КА по рысканию, дополнив известные способы построения местной вертикали с использованием бортовых и наземных радиосредств (см.[3]), позволяет производить трехосное радиоуправление орбитальной ориентацией геостационарных КА. В таком случае часть функциональной бортовой аппаратуры, предназначенной для решения указанной задачи, можно перенести на Землю. Следовательно, повышается надежность управления КА за счет возможности практически неограниченного резервирования задействованных на Земле аппаратных средств из-за их доступности для наращивания, замены и технического обслуживания.
Сокращается количество бортовой аппаратуры, необходимой для решения задачи построения орбитальной ориентации. А в случае наличия постоянного состава указанной аппаратуры повышается отказоустойчивость КА при реализации одного из основных динамических режимов за счет функционального резервирования ее наземными средствами.
Предлагаемый способ управления может также применяться в сочетании с другими датчиками внешней информации, например, с построителями местной вертикали инфракрасного, оптического и др. типов.
Необходимо также подчеркнуть, что РМ является постоянной принадлежностью БРК. Поэтому специальной дополнительной установки бортовой аппаратуры для решения поставленной задачи не потребуется.
Таким образом, предлагаемый способ радиоуправления ориентацией геостационарного КА позволяет повысить отказоустойчивость аппарата в режиме поддержания орбитальной ориентации при наличии постоянного состава бортовой аппаратуры.
Литература
1. B.C.Ковтун, Ю.Р.Банит. Способ управления ориентацией космического аппарата снабженного бортовым радиотехническим комплексом. Патент РФ 2191721, 2001.
2. Спутниковая связь и вещание. Справочник. Под редакцией Л.Я.Кантора. Москва. Радио и связь. 1997.
3. Spacecraft methods and structures with beacon-receiving field-of-view matched to beacon station window. Patent US 2003/0150960 A1, Aug. 14, 2003.
4. B.B.Крохин. Информационно-управляющие космические радиолинии. Ч.2. Москва. 1993.
5. Б.В.Раушенбах, Е.Н.Токарь. Управление ориентацией космических аппаратов. Москва. «Наука». 1974.
Формула изобретения
Способ управления ориентацией геостационарного космического аппарата, оснащенного радиомаяком, включающий формирование радиомаяком излучаемого сигнала с диаграммой направленности вдоль оси связанного базиса, совмещенной с местной вертикалью космического аппарата, определение n-х точек прицеливания оси главного лепестка диаграммы направленности антенны радиомаяка на поверхности Земли при орбитальной ориентации космического аппарата, где n=1, 2, 3, – число точек прицеливания, при этом n=1 при нулевой широте точки стояния космического аппарата, n=2, 3, – при отклонениях космического аппарата по широте, измерение при орбитальной ориентации космического аппарата излучаемой радиомаяком мощности сигнала в одной или нескольких точках прицеливания приемными антеннами с диаграммами направленности, пересекающимися в одной или нескольких точках равного уровня мощности, измерение излучаемого радиомаяком сигнала в процессе поддержания текущей ориентации космического аппарата антеннами с указанными диаграммами направленности в одной или нескольких точках их равного уровня мощности, сравнение указанных измеренных величин мощности сигнала радиомаяка, определение по результатам сравнения углов рассогласования ориентации космического аппарата по осям связанного базиса управления креном и тангажом относительно соответствующих осей орбитального базиса, формирование управляющих команд на исполнительные органы по осям крена и тангажа для коррекции углового движения космического аппарата по углам рассогласования до построения местной вертикали, отличающийся тем, что определяют зависимости от углов поворота космического аппарата по рысканию углов поворота плоскостей поляризации каждой приемной антенны из пары одинаковых приемных антенн, установленных в местах прилежащих к n-й или n-м точкам прицеливания, и принимающих линейно поляризованные сигналы от радиомаяка, плоскость поляризации которого совмещена с плоскостью, образованной осями связанного базиса, одна из которых совмещена с местной вертикалью, а другая – с осью управления по углу тангажа, далее из указанных зависимостей выбирают те, которые удовлетворяют точности определения поворота космического аппарата по углу рыскания, зависящей от поворота плоскостей поляризации приемных антенн в местах их установки, и по зависимостям, удовлетворяющим указанной точности, выбирают места установки одинаковых пар приемных антенн, далее для текущих значений углов поворота плоскостей поляризации приемных антенн каждой пары ±Ф относительно положения, ориентированного на прием от бортового радиомаяка линейно поляризованного сигнала, определяют зависимости углов поворота космического аппарата по углу рыскания от отношения величин мощности измеренных сигналов каждой из приемных парных антенн и выбирают ту зависимость, крутизна характеристики которой обеспечивает с заданной точностью определение угла поворота космического аппарата по углу рыскания с учетом затухания сигнала по линии его прохождения, фиксируют для указанной зависимости значение угла поворота плоскости поляризации антенн |Ф0|, далее после построения местной вертикали производят измерения антеннами с плоскостями поляризации, повернутыми на углы ±Ф0, мощности сигналов излучения от радиомаяка, проверяют на затухание измеренные значения путем их сравнения от разных пар приемных антенн в местах их установки, прилежащих к n-й или n-м точкам прицеливания и по результатам сравнения выбирают значения мощности сигналов, исключающие помехи, приводящие к затуханию сигналов, затем через отношение величин выбранных значений мощности сигналов и зависимости от них углов поворота космического аппарата по углу рыскания определяют текущие углы ориентации космического аппарата по углу рыскания, по изменению которых, в свою очередь, определяют угловую скорость аппарата по рысканию, по углам и угловой скорости движения космического аппарата осуществляют изменение угловой скорости путем формирования команд на исполнительные органы до величины, соответствующей поиску зоны чувствительности ориентации космического аппарата по радиомаяку в указанных пределах зависимости углов поворота космического аппарата по углу рыскания от отношения величин мощности измеренных сигналов, далее путем вращения относительно местной вертикали осуществляют поиск и приведение управления по каналу рыскания в указанную зону чувствительности, после чего осуществляют управление построением и поддержанием заданной ориентации по углу рыскания в пределах зоны чувствительности ориентации космического аппарата по радиомаяку.
РИСУНКИ
|