|
|
(21), (22) Заявка: 2007122198/03, 13.06.2007
(24) Дата начала отсчета срока действия патента:
13.06.2007
(43) Дата публикации заявки: 20.12.2008
(46) Опубликовано: 10.05.2009
(56) Список документов, цитированных в отчете о поиске:
SU 420409 A1, 04.09.1974. SU 300263 A1, 05.07.1971. SU 666080 A1, 09.06.1979. RU 38454 U1, 20.06.2004. US 4394878 A, 26.07.1983. GB 2386341 A, 17.09.2003.
Адрес для переписки:
163002, г.Архангельск, наб. Северной Двины, 17, Архангельский государственный технический университет 07, патентоведу Т.С.Новиковой
|
(72) Автор(ы):
Малыгин Владимир Иванович (RU), Прокофьев Геннадий Федорович (RU), Лобанов Николай Владимирович (RU), Лобанова Ирина Станиславовна (RU)
(73) Патентообладатель(и):
Государственное образовательное учреждение высшего профессионального образования Архангельский государственный технический университет Федерального агентства по образованию (Рособразование) (АГТУ) (RU)
|
(54) СБОРНАЯ ДЕРЕВОРЕЖУЩАЯ ФРЕЗА
(57) Реферат:
Изобретение относится к дереворежущему инструменту. Фреза содержит корпус, в котором каждый режущий нож закреплен винтами через прижимную планку. На прижимной планке выполнены наклонные цилиндрические пазы, предназначенные для взаимодействия с конической поверхностью головки винта. В гнезде корпуса выполнены параллельно передней поверхности ножа радиальные цилиндрические пазы для взаимодействия с цилиндрической поверхностью головки винта, при этом угол наклона цилиндрических пазов прижимной планки определяется в зависимости от усилия затяжки винта, силы инерции ножа и инерции прижимной планки. Изобретение повышает эффективность работы дереворежущей фрезы. 1 ил.
Изобретение относится к области дереворежущего инструмента и может быть использовано во всех областях промышленного производства, связанных с механической обработкой материалов.
Известны конструкции сборных дереворежущих фрез, у которых режущие ножи крепятся с помощью прижимных планок, осуществляющих силовое замыкание на опорную поверхность ножа с помощью винта, сферическая поверхность головки которого упирается в поверхность гнезда корпуса (ГОСТ 14956-69, ГОСТ 13932-68).
Недостатком такой конструкции является невысокая степень надежности крепления, противодействующего центробежным силам инерции ножа.
Указанного недостатка лишена конструкция фрезы (ГОСТ 10504-63, МН 5772-65), являющаяся прототипом, у которой крепление ножа производится с помощью двухстороннего клина, осуществляющего силовое замыкание на опорную поверхность режущего ножа за счет перемещения клина от центра фрезы в пазу корпуса, имеющего форму типа “ласточкин хвост”. Такая конструкция позволяет повысить надежность крепления ножа при высоких частотах вращения фрезы, так как увеличение центробежных сил самого клина вызывает эффект самозаклинивания.
Недостатком такой конструкции является низкая эксплуатационная точность фрезы, связанная с тем обстоятельством, что при закреплении режущего ножа перемещающийся от центра к периферии клин производит смещение самого режущего ножа вдоль опорной поверхности, причем величина смещения носит случайный характер и зависит от многих факторов (шероховатости поверхностей ножа и корпуса, величины усилия закрепления и др.).
Задачей, на решения которой направлено изобретение является повышение эксплуатационной точности сборных дереворежущих фрез.
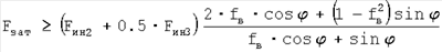
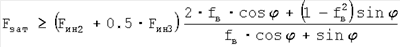
Это достигается тем, что крепящий элемент в виде прижимной планки осуществляет силовое замыкание на опорную поверхность ножа, а ее перемещение осуществляется за счет винта с коническо-цилиндрической головкой, контактирующей конической частью с наклонно-расположенным пазом прижимной планки и цилиндрической частью с радиальными цилиндрическими пазами корпуса фрезы, расположенными параллельно передней поверхности ножа, при этом угол наклона цилиндрических пазов прижимной планки определяется из зависимостей:
;

где – угол наклона цилиндрических пазов прижимной планки;
Fзат – усилие затяжки винта;
Fин2, Fин3 – силы инерции ножа и прижимной планки соответственно;
kЗ – коэффициент запаса надежности закрепления ножа силами трения;
fв – коэффициент трения поверхностей винта о корпус и прижимную планку;
fн – коэффициент трения поверхностей ножа о корпус и прижимную планку.
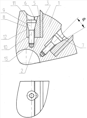
Конструкция сборной дереворежущей фрезы представлена на чертеже и включает корпус 1, в пазу 2 которого расположен режущий нож 3, контактирующий по передней поверхности 4 с опорной поверхностью 5 прижимной планки 6, перемещаемой путем контакта ее наклонно-расположенного цилиндрического паза 7 с конической поверхностью 8 головки 9 винта 10, цилиндрическая часть 11 которой осуществляет силовое замыкание на поверхность цилиндрического паза 12 корпуса фрезы при ввинчивании винта в резьбовое отверстие 13 корпуса фрезы.
Работа фрезы осуществляется следующим образом. В паз 2 корпуса 1 устанавливается режущий нож 3. Также в паз корпуса фрезы устанавливается прижимная планка 6, контактирующая опорной поверхностью 5 с передней поверхностью режущего ножа, причем наклонно-расположенные цилиндрические пазы 7 совмещаются с резьбовыми отверстиями 13 корпуса. В резьбовые отверстия ввинчиваются винты 10, коническая поверхность 8 головки 9 которых перемещает прижимную планку и прижимает режущий нож к корпусу за счет силового замыкания цилиндрической части 11 головки винта на поверхность цилиндрического паза 12 корпуса. После завинчивания винтов фреза готова к последующим операциям – заточке, установке на станок и работе.
Формула изобретения
Сборная дереворежущая фреза, в корпусе которой каждый режущий нож закреплен винтами через прижимную планку, отличающаяся тем, что на прижимной планке выполнены наклонные цилиндрические пазы, предназначенные для взаимодействия с конической поверхностью головки винта, а в гнезде корпуса выполнены параллельно передней поверхности ножа радиальные цилиндрические пазы для взаимодействия с цилиндрической поверхностью головки винта, при этом угол наклона цилиндрических пазов прижимной планки определяется из зависимостей:
;
, где – угол наклона цилиндрических пазов прижимной планки; Fзат – усилие затяжки винта; Fин2, Fин3 – силы инерции ножа и прижимной планки соответственно; kз – коэффициент запаса надежности закрепления ножа силами трения; fв – коэффициент трения поверхностей винта о корпус и прижимную планку; fн – коэффициент трения поверхностей ножа о корпус и прижимную планку.
РИСУНКИ
|
|