|
(21), (22) Заявка: 2007142637/15, 19.11.2007
(24) Дата начала отсчета срока действия патента:
19.11.2007
(46) Опубликовано: 10.05.2009
(56) Список документов, цитированных в отчете о поиске:
RU 2306169 С1, 20.09.2007. RU 2295684 C1, 20.03.2007. RU 2264532 С1, 20.11.2005. GB 1189513 А, 29.04.1970. WO 9005008 А1, 17.05.1990. СПРАВОЧНИК ПО ТЕХНИЧЕСКОЙ АКУСТИКЕ. Под ред. М.Хекла и X.А.Мюллера. – Ленинград: Судостроение, 1980, с.188-193, 206-208. СТРАУС В. Промышленная очистка газов. – М.: Химия, 1981, с.514-534. ФРИДМАН В.М. Ультразвуковая химическая аппаратура. – М.: Машиностроение, 1967, с.59-63, 75-88.
Адрес для переписки:
625000, г.Тюмень, ул. Володарского, 38, ТюмГНГУ, патентно-информационный отдел
|
(72) Автор(ы):
Савиных Юрий Александрович (RU), Музипов Халим Назипович (RU), Васильева Анастасия Юрьевна (RU), Шамшеев Константин Александрович (RU), Вилкова Татьяна Ефимовна (RU)
(73) Патентообладатель(и):
Государственное образовательное учреждение высшего профессионального образования “Тюменский государственный нефтегазовый университет” (RU)
|
(54) СПОСОБ ОЧИСТКИ ГАЗА ОТ КАПЕЛЬНОЙ ЖИДКОСТИ В СЕПАРАТОРЕ
(57) Реферат:
Изобретение относится к нефтяной промышленности. Через входной штуцер 8 подают нефтеводогазовую смесь 9 в полость сепаратора 1. В сепараторе 1 газ с капельной жидкостью 10 отделяется от нефтеводяной смеси 6 и поступает в выходной газовый штуцер 2. Между выходным газовым штуцером 2 и технологической линией газопровода 4 встраивают выходной газовый патрубок 3 с акустическими четвертьволновыми резонаторами, размещенными по окружности, и штырями, размещенными по окружности и по образующим. В патрубке 3 происходит коагуляция капелек жидкости. Газ, очищенный от капельной жидкости, выходит из выходного патрубка 3 в технологическую линию газопровода 4. Нефтеводяную смесь удаляют из сепаратора 1 через выходной нефтеводяной штуцер 5. Изобретение обеспечивает эффективную очистку от капельной жидкости в сепараторе. 3 ил.
Изобретение относится к нефтяной промышленности, в частности к очистке газа от капельной жидкости.
Известны способы, например, нефтегазовый поток, подведенный в гидроциклон, приобретает вращательное движение вокруг направляющего патрубка и осевое движение, образуя таким образом нисходящий вихрь. Нефть, имеющая большую плотность, чем газ, центробежной силой прижимается к стенке гидроциклона, а газ движется в центре, при этом он интенсивно отделяется от нефти /1/.
Недостаток данного способа заключается в больших потерях нефти в узлах замера (трапно-замерные установки), на которых обычно устанавливаются негерметичные мерники (при самотечной системе сбора нефти), кроме того испарение легких фракций провоцирует потери углеводородов и более тяжелых бензиновых фракций.
Наиболее близким способом к технической сущности очистки газа от капельной жидкости можно отнести известное явление – коагуляции (процесс сближения и укрупнения взвешенных в газе или жидкости мелких твердых частиц, жидких капелек и газовых пузырьков под действием акустических колебаний звуковых и ультразвуковых частот) капелек жидкости в газовой среде, – если это явление применить к очистке газа от капельной жидкости [2].
Недостаток данного способа (в случае применения современных методов возбуждения ультразвука в трубах) заключается в сложности использования ультразвуковых колебаний, например, при использовании магнитострикционного метода (или других методов) – необходима электроэнергия, кабель и генератор ультразвуковых частот.
Задачей изобретения является обеспечение эффективной очистки газа от капельной жидкости, в частности на выходе сепаратора.
Техническим результатом предложенного способа является обеспечение эффективной очистки нефтеводогазовой смеси от капельной жидкости в технологической схеме промыслового сбора, который достигается тем, что способ очистки газа от капельной жидкости в сепараторе, оборудованном входным штуцером для нефтеводогазовой смеси, выходным газовым штуцером, технологической линией газопровода, штуцером для выхода нефтеводяной смеси и технологической нефтеводяной линией, предусматривающий следующие операции: а) – встраивание выходного газового патрубка с акустическими четвертьволновыми резонаторами и штырями между выходным газовым штуцером и технологической линией газопровода; б) – размещение внутри выходного газового патрубка по окружности акустических четвертьволновых резонаторов; в) – размещение внутри выходного газового патрубка перед акустическими четвертьволновыми резонаторами по окружности и по образующим штырей; г) – осуществление подачи через входной штуцер нефтеводогазовой смеси с выделением газа с капельной жидкостью в полость сепаратора; д) – создание газом с капельной жидкостью при обтекании штырей крупномасштабных турбулентных вихрей; е) – генерирование крупномасштабными турбулентными вихрями низкочастотного звука после штырей; ж) – трансформация низкочастотного звука в область ультразвука акустическими четвертьволновыми резонаторами; з) – формирование стоячих волн в ультразвуковом диапазоне частот; и) – осуществление коагуляции капелек жидкости в ультразвуковых стоячих волнах; к) – осуществление осаждения укрупненных капелек жидкости в виде струек под собственным весом в нефтеводяную смесь, находящуюся в сепараторе; л) – осуществление слива нефтеводяной смеси с дополнительным приростом от капельной жидкости, полученной после коагуляции в ультразвуковых стоячих волнах, через выходной нефтеводяной штуцер в технологическую нефтяную линию; м) – осуществление выхода очищенного газа от капельной жидкости в технологическую линию газопровода.
Сопоставительный анализ с прототипом показывает, что в заявленном способе очистки газа от капельной жидкости в сепараторе используют ультразвуковое поле стоячих волн, трансформируемое из низкочастотного звука (генерируемых турбулентными вихрями путем штырей) акустическими четвертьволновыми резонаторами.
Таким образом, предлагаемое изобретение соответствует критерию «Новизна».
Сравнение заявленного решения с другими техническими решениями показывает, что выделение газа из жидкости известно [2]. Однако неизвестно, что ультразвук можно создать с помощью четвертьволновых резонаторов.
Таким образом, предлагаемое изобретение соответствует критерию «Изобретательский уровень».
Основные положения физической сущности для осуществления способа.
1. Поток газа по трубопроводу при любых скоростях сопровождается возникновением вихрей, приводящих к появлению звука. Особенно сильный звук возникает при преодолении потоком препятствий (заслонок, решеток, поворотов и т.д.).
2. Преобразование низкочастотного шума в ультразвук.
3. Преобразование низкочастотного звука осуществляется акустическими четвертьволновыми резонаторами, которые размещаются в выходном газовом патрубке и который встраивается между выходным газовым штуцером и технологической линией.
4. Формирование ультразвуковых стоячих волн в пространстве между акустическими четвертьволновыми резонаторами.
5. Использование явления физического процесса коагуляции капелек жидкости в ультразвуковом поле стоячих волн для очистки газа.
Покажем возможность использования акустической коагуляции капельной жидкости ультразвуковыми стоячими волнами с последующим осаждением их в виде струек жидкости обратно в сепаратор.
1. Волны и колебательная скорость.
Волновое уравнение, описывающее упругое возмущение, имеет вид /3/.

Частным решением уравнения (1) является

где а – смещение частицы среды относительно положения покоя; А – амплитуда смещения; – угловая частота; t – время.
Выражение (2) описывает плоскую гармоническую волну частоты f= /2 , распространяющуюся в положительном направлении оси х.
Дифференцируя (2) по t, получаем для скорости частицы среды – так называемой колебательной скорости

Следовательно, амплитуда колебательной скорости

Величина U определяет ту максимальную скорость, с которой частицы движутся в процессе колебаний.
Согласно выражению (4) скорость частицы колеблется между этой величиной и нулем.
2. Интерференция волн. Стоячие волны.
Явления, связанные с одновременным существованием в некоторой точке среды нескольких колебаний, называют интерференцией.
Явления интерференции играют важную роль в излучении звука.
Особенно важную роль играет интерференция при распространении двух одинаковых волн в противоположных направлениях. Колебания, распространяющиеся в положительном и отрицательном направлениях по оси x, можно записать в виде


Применяя теорему сложения, получим для результирующей стоячей волны выражение

из которого непосредственно вытекает, что в точках Cos(2 x/ ) обращается в нуль, смещение а, тождественно равно нулю; это имеет место при х, равном нечетному числу /4. Посередине между этими точками располагаются точки, в которых Cos (2 x/ ) по абсолютной величине максимален; здесь амплитуда смещения в стоячей волне вдвое превосходит амплитуды в исходных бегущих волнах.
Выражение для колебательной скорости в стоячей волне найдем, дифференцируя выражение

Таким образом, узлы и пучности колебательной скорости располагаются в тех же точках, что и узлы, и пучности смещения.
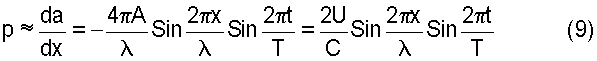
3. Давление в стоячей волне.
Обратимся теперь к вопросу о распределении давления в стоячей волне. В волне, распространяющейся в направлении сил оси x, давление р пропорционально изменению смещения вдоль x, т.е. величине d a/dx. Дифференцируя выражение (7) по x, получим

Таким образом, в стоячей волне и звуковое давление содержит узлы и пучности; однако местоположение узлов давления совпадает с положением пучностей смещения и наоборот. Амплитуда давления в пучностях вдвое превосходит амплитуду в исходных бегущих волнах [3].
4. Акустическая коагуляция.
Уже давно было известно, что под влиянием звуковых колебаний между частицами, колеблющимися в звуковом поле, могут возникать силы притяжения и отталкивания. Для сферических частиц этот процесс был экспериментально и теоретически исследован Кенигом [4] в связи с работами Бьеркнесса [5]. На этом явлении основаны отчасти возникновение пылевых фигур в трубках Кундта.
Брандт и Фройнд [6] и Бранд и Гидеман [7] показали, что под действием ультразвуковых волн в аэрозолях мгновенно происходит коагуляция и осаждение частиц.
Брандт и Фройнд изучили подробности процесса оседания частиц микрофотографированием при освещении по методу темного поля.
На основании этих опытов Брандт и Гидеман различают две стадии коагуляции. Вначале частицы принимают участие в колебательном процессе и следуют за движением жидкости между пучностями и узлами колебаний. При этом они в результате столкновений и под действием сил взаимного притяжения слипаются и увеличиваются в размерах. На второй стадии увеличившиеся частицы уже не следуют за звуковыми колебаниями, а совершают хаотические движения, причем в результате новых взаимных соударений и столкновений с меньшими частицами их размеры продолжают увеличиваться, а затем выпадают в осадок.
5. Коагуляция капелек жидкости в стоячей волне.
Пусть в газе с динамической вязкостью , колеблющемся с амплитудой UГ и частотой f, находится капелька жидкости с радиусом R и плотностью .
Согласно закону Стокса [3] сила трения, действующая на частицу (капельку жидкости),

где  – разность скоростей капельки жидкости и газа.
Согласно формуле (10), скорость капельки жидкости

Движение капельки жидкости описывается дифференциальным уравнением

или

Общее решение этого уравнения имеет вид [3]

Непериодический член отображает переходный процесс. Им можно пренебречь, так как коагуляция происходит через такое время, когда переходный процесс не оказывает уже никакого влияния.
Таким образом, амплитуда колебания капельки жидкости равна

Степень участия капельки жидкости в звуковых колебаниях газа (так называемый коэффициент увлечения) в случае стоячей звуковой волны определяется соотношением

Отношение амплитуд ХКЖ/UГ будет тем меньше, чем больше радиус капельки жидкости и чем выше частота.
Таким образом, для степени участия капельки жидкости в колебаниях газа определяющей является величина R2 f.
Если принять значение ХКЖ/UГ=0,8 за границу, до которой капельки жидкости еще увлекаются звуковыми колебаниями, то из соотношения

получим

Величина Z определяет степень участия капельки жидкости в колебаниях газа.
Таким образом, соотношение (18) позволяет рассчитать частоты, необходимые для создания стоячих волн с целью коагуляции капелек жидкости.
Согласно приведенным выше положениям физической сущности – достигается акустическая коагуляция капельной жидкости.
На фиг.1 изображена схема сепаратора с газовым патрубком для очистки газа от капельной жидкости; на фиг.2 показана схема газового патрубка с размещенными внутри четвертьволновыми резонаторами и штырями; на фиг.3 показана схема коагуляции капельной жидкости в поле звуковой стоячей волны, сформированной четвертьволновыми резонаторами в газовом патрубке.
На фиг.1 изображено: 1 – сепаратор; 2 – выходной газовый штуцер; 3 – выходной газовый патрубок; 4 – технологическая линия газопровода; 5 – выходной штуцер нефтеводяной смеси; 6 – нефтеводяная смесь в сепараторе; 7 – поток нефтеводяной смеси из входного штуцера нефтеводогазовой смеси в сепаратор; 8 – входной штуцер нефтеводогазовой смеси; 9 – входной поток нефтеводогазовой смеси во входной штуцер; 10 – газ с капельной жидкостью, поступающий в выходной газовый патрубок.
На фиг.2 изображено: 3 – выходной газовый патрубок; 10 – газ с капельной жидкостью, поступающий в выходной газовый патрубок; 11 – четвертьволновые резонаторы, смещенные относительно друг друга во внутренней полости выходного газового патрубка; 12 – штыри; 13 – турбулентные вихри, сформированные обтеканием штырей газовым потоком капельной жидкостью; 14 – звук, возникающий при срыве вихрей на препятствии – со штырей; 15 – звуковое поле стоячих волн; 16 – движение струек жидкости после коагуляции капельной жидкости в звуковом поле стоячих волн обратно в полость сепаратора.
На фиг.3 изображено: 3 – выходной газовый патрубок; 11 – четвертьволновые резонаторы, смещенные относительно друг друга во внутренней полости выходного газового патрубка; 15 – звуковое поле стоячих волн; 17 – коагулированная капельная жидкость в звуковом поле стоячих волн.
Способ осуществляется следующим образом.
Встраивают выходной газовый патрубок 3 (фиг.1) с акустическими четвертьволновыми резонаторами 11 (фиг.2) и штырями 12 (фиг.2) между выходным газовым штуцером 2 (фиг.1) и технологической линией газопровода 4 (фиг.1).
Размещают внутри выходного газового патрубка 3 (фиг.1) и (фиг.2) по окружности акустические четвертьволновые резонаторы 11 (фиг.2) и (фиг.3).
Размещают внутри выходного газового патрубка 3 (фиг.2) перед акустическими четвертьволновыми резонаторами 11 (фиг.2) по окружности и по образующим штыри 12 (фиг.2).
Осуществляют подачу через входной штуцер 8 (фиг.1) нефтеводогазовой смеси 9 (фиг.1) с выделением газа с капельной жидкостью 10 (фиг.1) в полость сепаратора 1 (фиг.1).
При обтекании штырей 12 (фиг.2) газом с капельной жидкостью 10 (фиг.2) создаются крупномасштабные турбулентные вихри 13 (фиг.2), которые генерируются в низкочастотный звук 14 (фиг.2) после штырей 12 (фиг.2) посредством акустических четвертьволновых резонаторов 11.
Низкочастотный звук 14 (фиг.2) трансформируется в область ультразвука акустическими четвертьволновыми резонаторами 11 (фиг.2).
При этом в ультразвуковом диапазоне частот, генерируемом устройством, образуется поле стоячих волн 15 (фиг.2).
В ультразвуковых стоячих волнах 15 (фиг.3) осуществляется коагуляция капелек жидкости (фиг.3).
Укрупненные капельки жидкости в виде струек 16 (фиг.3) осаждаются под собственным весом в нефтеводяную смесь 6 (фиг.1), находящуюся в сепараторе 1 (фиг.1).
Осуществляют слив нефтеводяной смеси 6 (фиг.1) с дополнительным приростом от капельной жидкости 16 (фиг.2), полученной после коагуляции в ультразвуковых стоячих волнах 15 (фиг.3), через выходной нефтеводяной штуцер 5 (фиг.1) в технологическую нефтяную линию (не показано).
Газ, очищенный от капельной жидкости, выходит из выходного патрубка 3 (фиг.1) в технологическую линию газопровода 4 (фиг.1).
Источники информации
1. Муравьев В.М. Справочник мастера по добыче нефти. Изд.3, перераб. и доп. М.: Недра, 1975, – с.176.
2. Ультразвук. Маленькая энциклопедия. Гл. ред. И.П.Голямина. М.: – Советская энциклопедия, 1979, с.161-162 /ПРОТОТИП/.
3. Бергман Л. Ультразвук и его применение в науке и технике. ИЛ. – М.: ИЛ, 1957, – с.23-25, 489-491, 495-497.
4. König W., Hydrodynamisch-akustische Untersuchungen, Ann. d. Phys. (3), 42,353,549 (1891).
5. Bjerknes C.A. Remarques historiques sur la theori du mouvement d’un ou de plusieurs corps, de formes constantes ou variables, dans un fluide incompfessible; sur les forces apparentes, qui en resultent et sur les experiences qui s’y rattachent, Compt. Rent., 84, 1222, 1309, 1375, 1446, 1493 (1867).
6. Brandt., ber das Verhalten von Schwebstofen in schwingen Gasen bei Schall- und Ultraschallfrequenzen, Kolloid / Zs., 76, 272 (1936).
7. Brandt O., Hiedenmann E., ber das Verhalten von Aerosolen im akustischen Feld, Kolloid. Zs., 75, 129 (1936).
Формула изобретения
Способ очистки газа от капельной жидкости в сепараторе, оборудованном входным штуцером для нефтеводогазовой смеси, выходным газовым штуцером, технологической линией газопровода, штуцером для выхода нефтеводяной смеси и технологической нефтеводяной линией, предусматривающий встраивание выходного газового патрубка с акустическими четвертьволновыми резонаторами и штырями между выходным газовым штуцером и технологической линией газопровода, при этом акустические четвертьволновые резонаторы располагают внутри выходного газового патрубка по окружности, а штыри располагают внутри выходного газового патрубка перед акустическими четвертьволновыми резонаторами по окружности и по образующим; осуществление подачи через входной штуцер нефтеводогазовой смеси с выделением газа с капельной жидкостью в полость сепаратора; создание газом с капельной жидкостью при обтекании штырей крупномасштабных турбулентных вихрей; генерирование крупномасштабными турбулентными вихрями низкочастотного звука после штырей; трансформацию низкочастотного звука в область ультразвука акустическими четвертьволновыми резонаторами; формирование стоячих волн в ультразвуковом диапазоне частот; осуществление коагуляции капелек жидкости в ультразвуковых стоячих волнах; осаждение укрупненных капелек жидкости в виде струек под собственным весом в нефтеводяную смесь, находящуюся в сепараторе; осуществление слива нефтеводяной смеси с дополнительным приростом от капельной жидкости, полученной после коагуляции в ультразвуковых стоячих волнах, через выходной нефтеводяной штуцер в технологическую нефтяную линию; выход газа, очищенного от капельной жидкости, из выходного патрубка в технологическую линию газопровода.
РИСУНКИ
|