|
|
(21), (22) Заявка: 2007136097/15, 31.03.2006
(24) Дата начала отсчета срока действия патента:
31.03.2006
(30) Конвенционный приоритет:
31.03.2005 KR 10-2005-0026963
(46) Опубликовано: 10.05.2009
(56) Список документов, цитированных в отчете о поиске:
(85) Дата перевода заявки PCT на национальную фазу:
28.09.2007
(86) Заявка PCT:
KR 2006/001212 20060331
(87) Публикация PCT:
WO 2006/104369 20061005
Адрес для переписки:
129090, Москва, ул. Б.Спасская, 25, стр.3, ООО “Юридическая фирма Городисский и Партнеры”, пат.пов. А.В.Мицу
|
(72) Автор(ы):
ХВАН Дзае-Кван (KR), ХАН Дзунг-Соо (KR), ЛИМ Чол-Сеунг (KR), ЦЗИНь Дацин (KR), ЛИ Сун-Хи (KR), ХАН Киу-Ли (KR)
(73) Патентообладатель(и):
АМИКОДЖЕН, ИНК (KR)
|
(54) НОВОЕ ПРИМЕНЕНИЕ СОЕДИНЕНИЙ ЛИГНАНА
(57) Реферат:
Настоящее изобретение относится к новому применению соединений лигнана, представленных формулой I, приведенной в описании. Более конкретно, настоящее изобретение относится к фармацевтической композиции для лечения или предотвращения болезни мозга, содержащей соединение лигнана, представленное формулой I, или экстракт Myristica fragrans в качестве активного ингредиента, а также способ и применение для лечения или предотвращения болезни мозга с использованием соединения лигнана. Соединение лигнана, представленное формулой I, обладает антиокислительным, защитным для клеток мозга и противовоспалительным эффектами. Соответственно, указанное соединение лигнана будет полезным для лечения или предотвращения болезней мозга. 10 н. и 4 з.п. ф-лы, 16 ил., 2 табл.
Область изобретения
Настоящее изобретение относится к новому применению соединений лигнана. Более детально настоящее изобретение относится к фармацевтической композиции для лечения или предотвращения болезней мозга, содержащей соединения лигнана или экстракт Myristica fragrans, способу лечения или предотвращения болезни мозга с использованием их и применению этого.
Предпосылки изобретения
По мере того как продолжительность человеческой жизни увеличивается и общество в целом стареет, возрастает заболеваемость болезнями мозга, такими как апоплексия мозга, слабоумие и болезнь Паркинсона. Болезни мозга показывают, что гибель или дегенерация определенных клеток мозга развивается временно или надолго. Поскольку мертвые клетки мозга не восстанавливаются, гибель клетки мозга ведет к необратимым повреждениям функции мозга. Главным образом, несовершенство функции мозга, сопутствующее прогрессирующему ослаблению познавательной функции, сенсорной функции, двигательной функции и функции всего организма приводит к изменениям свойств и поведения, так что пациенты оказываются в ситуации, когда они не могут контролировать себя. Главные факторы гибели клеток мозга включают окислительную токсичность от окислительных стрессов, возбудительную токсичность и апоптоз, и каждый из них вызывает гибель клеток соответственно через специфический путь передачи сигнала.
В частности, предполагают, что у пациентов, страдающих от апоплексии мозга, повреждении мозга, слабоумия альцгеймерного типа или болезни Паркинсона, основным фактором гибели клеток мозга является окислительное повреждение белков, нуклеиновых кислот и липидов после накопления активных форм кислорода. В частности, окислительный стресс свободными радикалами, как сообщают, является основным фактором гибели клеток, происходящей в каждой ткани организма и также, предположительно, является основным механизмом клеточной гибели при болезнях мозга (Schapira, А.Н., Curr. Opin. Neurol., 9 (4): 260-264, 1996). Доказательства того, что свободные радикалы связаны с гибелью нейрональных клеток при болезни мозга, включают увеличение образования активных форм кислорода после ишемии и ингибирующие эффекты антиоксидантов на ишемическую гибель нейрональных клеток (Flamm, E.S., et al., Stroke 9 (5): 445-447, 1978; Chan, P.H., J. Neurotrauma 9 Suppl. 2: 3417-423, 1992), возрастание Fe2+ в стриатуме при болезни Хантингтона (Dexter, E.T. et al., Ann. Neurol., 32 Suppl.: S 94-100, 1992), образование свободных радикалов под воздействием бета-амилоида, показанное при болезни Альцгеймера (Richardson J.S. et al., Ann. N.Y. Acad. Sci., 777: 362-367, 1996), точечная мутация в гене Cu/Zn SOD-1 при боковом амиотрофическом склерозе (ALS) (Rosen, D.R. et al., Nature, 362(6415): 59-62, 1993) и так далее.
Кроме того, глутамат, возбудительный нейромедиатор, действует как нейромедиатор в нормальном состоянии. Однако глутамат вызывает гибель нейрональных клеток, когда его экспрессия повышена в силу различных причин. Сверхактивность глутаматных рецепторов, таких как NMDA, АМРА и каинатных рецепторов, также известна как основной фактор гибели нейрональных клеток (Choi D.W. Neuron, 1: 623-634, 1988). Обнаружено, что нейрональная токсичность под воздействием глутамата связана с гибелью нейрональных клеток при ALS. Это подтверждено тем, что нарушение деятельности глутамат-синтетазы, нарушение деятельности глутаматных транспортных белков и возрастание количества глутаматных рецепторных белков обнаружено у пациентов с ALS (Rothstein, J.D., Clin. Neurosci., 3(6): 348-359, 1995; Shaw, P.J. et al., J. Neurol., 244: Suppl 2 S 3-14, 1997).
Кроме того, сообщали об апоптозе, как о еще одном факторе гибели клеток мозга. Показано, что апоптоз является основным типом гибели клеток при ишемии, повреждении мозга, повреждении позвоночника, слабоумии альцгеймерного типа и болезни Паркинсона (Smale et al., Ехр. Neurol., 133: 225-230, 1995; Crow et al., Nat. Med., 3: 73-76, 1997).
Данные сообщения свидетельствуют, что гибель клеток мозга от окислительной токсичности, возбудительной токсичности и апоптоза являются основными факторами различных болезней мозга и, таким образом, разработка лекарственных средств для лечения болезней мозга направлена на ингибирование окислительной токсичности и возбудительной токсичности и/или ингибирование апоптоза мозговых клеток.
Между тем, лигнан относится к группе природных соединений, где остатки н-фенилпропана связаны при помощи -участка н-пропиловых боковых цепей, и широко распространен в природе. Проводили исследования различных физиологических активностей лигнана, таких как понижающая уровень глюкозы в крови, противораковая, противоастматическая и отбеливающая активность. Например, сообщали, что лигнаны, выделенные из кунжута, такие как сезамин, эписезамин, сезаминол, сезамолин и эписезаминол, обладают противовоспалительными эффектами (выложенный корейский патент, номер публикации 1997-7001043), а соединения лигнана, выделенные из Magnoliae flos, можно использовать в качестве противоастматических веществ (корейский патент 0263439). Кроме того, лигнан мускатного ореха является типичным соединением лигнана, обнаруженным в Myristica fragrans (Tuchinda Р. et al., Phytochemistry, 59: 169-173, 2002) и, как сообщают, обладает различными активностями, такими как активация каспазы-3, вызывающей апоптоз (Park B.Y. et al., Biol. Pharm. Bull., 27(8): 1305-1307, 2004), и антибактериальная активность. Однако до сих пор не сообщали о применении соединений лигнана, включая лигнан мускатного ореха, в качестве веществ для лечения болезней мозга.
Подробное описание изобретения
Техническая проблема
Соответственно, авторы настоящего изобретения проводили длительное исследование с целью нахождения соединения природного происхождения, способного лечить болезни мозга, и в результате обнаружили, что соединение лигнана, выделенное и очищенное из экстракта Myristica fragrans, обладает превосходными эффектами в лечении и предотвращении болезни мозга, тем самым составляя предмет настоящего изобретения.
Объект настоящего изобретения относится к новому применению экстракта Myristica fragrans или соединений лигнана, выделенных и очищенных из него, для лечения или предотвращения болезни мозга.
Техническое решение
Для достижения вышеуказанной цели в одном аспекте настоящее изобретение относится к фармацевтической композиции для лечения или предотвращения болезни мозга, содержащей соединение лигнана, представленное формулой I, или его фармацевтически приемлемую соль в качестве активного ингредиента.
Формула I

где R1 и R2 являются, каждый, независимо C1-5 алкоксигруппой или гидроксильной группой, и R3 является или 
В другом аспекте, настоящее изобретение относится к способу лечения или предотвращения болезни мозга, включающему введение субъекту, нуждающемуся в этом, эффективного количества соединения лигнана, представленного формулой I.
В следующем аспекте, настоящее изобретение относится к способу ингибирования гибели клеток мозга, включающему введение субъекту, нуждающемуся в этом, эффективного количества соединения лигнана, представленного формулой I.
В еще одном аспекте, настоящее изобретение относится к применению соединения лигнана, представленного формулой I, для получения вещества для лечения болезни мозга.
В следующем аспекте, настоящее изобретение относится к применению соединения лигнана, представленного формулой I, для получения ингибитора гибели клеток мозга.
В другом аспекте, настоящее изобретение относится к фармацевтической композиции для лечения или предотвращения болезни мозга, содержащей экстракт Myristica fragrans в воде или в C1-C6 органическом растворителе в качестве активного ингредиента.
В еще одном аспекте, настоящее изобретение относится к способу лечения или предотвращения болезни мозга, включающему введение субъекту, нуждающемуся в этом, эффективного количества экстракта Myristica fragrans в воде или в C1-C6 органическом растворителе.
В другом аспекте, настоящее изобретение относится к способу ингибирования гибели клеток мозга, включающему введение субъекту, нуждающемуся в этом, эффективного количества экстракта Myristica fragrans в воде или в C1-С6 органическом растворителе.
В еще одном аспекте, настоящее изобретение относится к применению экстракта Myristica fragrans в воде или в C1-C6 органическом растворителе для получения вещества для лечения болезни мозга.
В следующем аспекте, настоящее изобретение относится к применению экстракта Myristica fragrans в воде или в C1-C6 органическом растворителе для получения ингибитора гибели клеток мозга.
Термин «эффективное количество» относится к количеству соединения лигнана по изобретению или экстракта Myristica fragrans, которое способно эффективно ингибировать гибель клеток мозга и лечить и/или предотвращать болезнь мозга, будучи введенным субъекту.
Термин «субъект» охватывает млекопитающих, в частности животных, включая людей. Субъект может являться пациентом, нуждающимся в лечении.
Далее настоящее изобретение будет описано подробно.
Настоящее изобретение отличается тем, что относится к новому применению экстракта Myristica fragrans и соединения лигнана, выделенного и очищенного из него.
Соединение лигнана по настоящему изобретению представлено формулой I:
Формула I

где R1 и R2 являются независимо C1-5 алкоксигруппой или гидроксильной группой, и R3 является 
или

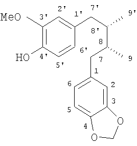
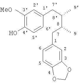
По настоящему изобретению предпочтительное соединение лигнана может являться лигнаном мускатного ореха химической формулы I, то есть [(8R,8’S)-7-(3,4-метилендиоксифенил)-7′-(4-гидрокси-3-метоксифенил)-8,8′-диметилбутан)], где R1 является метоксигруппой, R2 является гидроксильной группой и R3 является

Химическая формула I

Соединение лигнана по настоящему изобретению можно использовать в форме соли и, предпочтительно, фармацевтически приемлемой соли. Предпочтительно, соль является кислотно-аддитивной солью, образованной фармацевтически приемлемой свободной кислотой. Свободная кислота, применяемая по настоящему изобретению, может являться органическими кислотами или неорганическими кислотами. Органические кислоты включают лимонную кислоту, уксусную кислоту, молочную кислоту, винную кислоту, малеиновую кислоту, фумаровую кислоту, муравьиную кислоту, пропионовую кислоту, щавелевую кислоту, трифторуксусную кислоту, бензойную кислоту, глюконовую кислоту, м-сульфоновую кислоту, гликолевую кислоту, янтарную кислоту, 4-толуолсульфокислоту, глютаминовую кислоту и аспарагиновую кислоту, но не ограничиваются ими. Также, неорганические кислоты включают соляную кислоту, бромноватую кислоту, серную кислоту и фосфорную кислоту, но не ограничиваются ими.
Соединение лигнана по настоящему изобретению можно получать из растения или части растения любым общепринятым способом экстрагирования и выделения вещества. Стебли, корни или листья соответствующим образом высушивают и мацерируют или только высушивают для получения желаемого экстракта, который затем очищают любым общепринятым способом очистки, известным специалисту в данной области. Кроме того, синтетические соединения или их производные, соответствующие соединению лигнана, представленному формулой I, являются, в основном, коммерчески доступными веществами или могут быть изготовлены химически с использованием любого известного способа синтеза.
Соединение лигнана по настоящему изобретению, представленное формулой I, можно получать и очищать из Myristica fragrans Houtt (Jung Yun Lee et al., Kor. J. Pharmacogn. 21 (4): 270-273, 1990). Предпочтительно, его можно выделять и очищать из мускатного ореха или кожуры. Под мускатным орехом понимают зрелый плод Myristica fragrans, или семя, содержащееся в плоде. Кроме того, соединение лигнана по настоящему изобретению можно выделять и очищать из масла, полученного при отжиме мускатного ореха. Также его можно выделять и очищать из Myristica argentea Warb, другого члена семейства Myristicaceae (Filleur, F. et al., Natural Product Letters, 16: 1-7, 2002). Кроме того, его можно также выделять и очищать из Machilus thunbergii (Park B.Y. et al., Biol. Pharm. Bull., 27 (8): 1305-1307, 2004) и Leucas aspera (Sadhu, S.K. et al., Chem. Pharm. Bull., 51(9): 595-598, 2003).
Экстракционным растворителем для выделения соединения лигнана по настоящему изобретению может служить вода или C1-С6 органический растворитель. Предпочтительные примеры экстракционного растворителя могут включать очищенную воду, метанол, этанол, пропанол, изопропанол, бутанол, ацетон, простой эфир, бензол, хлороформ, этилацетат, метиленхлорид, гексан, циклогексан, петролейный эфир и тому подобное, которые можно использовать отдельно или в смеси из них. Более предпочтительно можно использовать метанол или гексан. Выделение и очистку соединения лигнана по настоящему изобретению из экстракта Myristica fragrans можно проводить, например, колоночной хроматографией и высокоэффективной жидкостной хроматографией (ВЭЖХ) с набивкой колонок различными синтетическими смолами, такими как силикагель или активированный оксид алюминия, или их сочетанием. Однако способ экстракции, а также выделения и очистки активного ингредиента не следует ограничивать данными хроматографическими методами.
Как таковое, соединение лигнана по настоящему изобретению можно применять в форме чисто выделенного или очищенного соединения или в форме экстракта, содержащего соединение. Например, как описано выше, соединение лигнана по настоящему изобретению можно применять в форме экстракта семени, плода или кожуры Myristica fragrans, или в форме масла, полученного при отжиме семени Myristica fragrans. Как описано выше, экстракт можно получать, экстрагируя Myristica fragrans водой или C1-С6 органическим растворителем. Предпочтительно, экстракт может являться экстрактом семени Myristica fragrans, то есть экстрактом мускатного ореха.
Активные формы кислорода, вещество, вызывающее окислительную токсичность in vivo, индуцирует перекисное окисление липидов, являющихся компонентом клеточной мембраны, тем самым нарушая биозащиту и систему передачи сигнала клеточной мембраны, а также индуцирует окислительное повреждение ДНК, разрушение красных кровяных клеток и перекисное окисление белков, тем самым снижая функции различных ферментов in vivo. В результате, известно, что активные формы кислорода вызывают различные болезни, такие как рак, болезни мозга, включая апоплексию мозга и болезнь Паркинсона, болезнь сердца, ишемию, артериосклероз, болезнь кожи, болезнь желудка, воспаление, ревматизм и аутоиммунное заболевание, а также старение. Предполагают, что активные формы кислорода являются основным фактором болезни Альцгеймера (Maccioni et al., Arch. Med. Res., 32: 367-381, 2001). Вследствие этого, в примере настоящего изобретения исследовали ингибирование продукции активных форм кислорода соединением лигнана по настоящему изобретению. В результате показано, что соединение лигнана по настоящему изобретению концентрационно-зависимым образом ингибировало продукцию активных форм кислорода, вызванную глутаматом у клеточной линии НТ22, полученной из гиппокампа в мозге, а также вызванную BSO (бутионинсульфоксид) у культивируемых нейронов гиппокампа (см. фиг.7 и 8).
Перекисное окисление липидов является показателем, указывающим на повреждение мозга в результате окислительных стрессов (Sewerynek et al., Neuroscience Letter, 195: 203-205, 1995). Перекись водорода распадается на воду и кислород. В процессе этого образуется свободный радикал гидроксила. Данный свободный радикал вызывает повреждение ДНК, карбонилирование белков и перекисное окисление липидов. Вследствие этого, в другом примере настоящего изобретения исследовали ингибирование опосредованного перекисью водорода перекисного окисления липидов соединением лигнана по настоящему изобретению. В результате показано, что соединение лигнана по настоящему изобретению концентрационно-зависимым образом ингибировало перекисное окисление липидов (см. фиг.9).
В следующем примере настоящего изобретения исследовали, проявляет ли цитотоксичность само соединение лигнана по настоящему изобретению. В результате показано, что соединение лигнана по настоящему изобретению не проявляет цитотоксичность даже при концентрации 10 мкМ (см. фиг.10).
Другой причиной гибели клеток мозга является апоптоз под воздействием глутамата как возбудительного нейромедиатора и его рецептора (Olney, J.W., Int Rev. Neurobiol., 27: 337-362, 1985). Вследствие этого, в другом примере настоящего изобретения исследовали, ингибирует ли соединение лигнана по настоящему изобретению апоптоз клеток мозга, индуцированный глутаматом. В результате показано, что соединение лигнана по настоящему изобретению концентрационно-зависимым образом ингибировало апоптоз клеток мозга, индуцированный глутаматом (см. фиг.11).
Кроме того, сообщали об эпидемиологическом доказательстве того, что нестероидные противовоспалительные лекарственные средства, такие как ибупрофен, замедляют развитие болезни Альцгеймера (McGeer и McGeer, Exp. Gerontol., 33: 371-378, 1998). В частности, показано, что введение ибупрофена мыши с модельной болезнью Альцгеймера замедляет развитие болезни (Lim et al., J. Neurosci., 20: 5709-5714, 2000). Вследствие этого, соединение, обладающее противовоспалительной, а также антиоксидантной активностью, высокоэффективно для лечения и предотвращения болезни мозга. Соответственно, в следующем примере настоящего изобретения исследовали противовоспалительную активность соединения лигнана по настоящему изобретению, обрабатывая микроглию как иммунные клетки мозга LPS (липополисахарид). В результате показано, что соединение лигнана по настоящему изобретению существенно снижало экспрессию и продукцию различных иммунных медиаторов, таких как IL-6, TNF- , NO, iNOS и COX-2, индуцированных LPS (см. фиг.12-15).
Как указано выше, соединение лигнана по настоящему изобретению обладает превосходным антиоксидантным эффектом, ингибируя перекисное окисление липидов и продукцию активных форм кислорода, превосходным защитным эффектом на клетки мозга, ингибируя апоптоз клеток мозга, и превосходным противовоспалительным эффектом. Вследствие этого, настоящее изобретение относится к фармацевтической композиции для лечения и предотвращения болезни мозга, содержащей соединение лигнана, представленное формулой I, или его фармацевтически приемлемую соль в качестве активных ингредиентов. Кроме того, настоящее изобретение относится к фармацевтической композиции для лечения и предотвращения болезни мозга, содержащей экстракт Myristica fragrans. Получение экстракта Myristica fragrans описано выше.
Кроме того, настоящее изобретение относится к способу и применению для лечения или предотвращения болезни мозга, включающему введение субъекту, нуждающемуся в этом, эффективного количества соединения лигнана, представленного формулой I, или экстракта Myristica fragrans.
Кроме того, настоящее изобретение относится к способу и применению для ингибирования гибели клеток мозга, включающему введение субъекту, нуждающемуся в этом, эффективного количества соединения лигнана, представленного формулой I, или экстракта Myristica fragrans.
Композицию по настоящему изобретению можно вводить пероральным или парентеральным способом и применять в форме общепринятых лекарственных препаратов при клиническом введении. Общепринятые лекарственные препараты можно получать с использованием растворителей или вспомогательных веществ, таких как наполнители, загустители, связывающие вещества, смачивающие вещества, разобщающие вещества и сурфактанты. Твердые препараты для перорального введения включают таблетки, пилюли, порошки, гранулы и капсулы и их получают сочетанием соединения лигнана или экстракта Myristica fragrans с, по меньшей мере, одним вспомогательным веществом, например крахмалом, карбонатом кальция, сахарозой, лактозой или желатином. Также, кроме простого вспомогательного вещества, можно использовать смазывающее вещество, такое как стеарат магния или тальк. Примеры жидких препаратов для перорального введения включают суспензии, жидкие препараты, эмульсии и сиропы. Жидкие препараты могут содержать простой растворитель, такой как вода, жидкий парафин, и различные вспомогательные вещества, например увлажнители, подсластители, ароматизаторы и консерванты. Примеры фармацевтических препаратов для парентерального введения включают стерилизованные водные растворы, неводные растворы, суспензии, эмульсии, сублимированные препараты, мази и кремы. Неводные растворы и суспензии можно получать, используя пропиленгликоль, полиэтиленгликоль, растительные масла, такие как оливковое масло, а также инъекционные сложные эфиры, такие как этилолеат.
Также, композицию по настоящему изобретению можно вводить парентеральными способами, включая подкожную, внутривенную, внутримышечную или внутрибрюшинную инъекцию. Для парентерального введения соединение лигнана, представленное формулой I, или экстракт Myristica fragrans можно смешивать со стабилизатором или буфером в воде для получения раствора или суспензии, из которых затем можно создать стандартную лекарственную форму в виде ампул или флаконов. Системы доз могут включать, например, 1, 2, 3 или 4-кратную индивидуальную дозу или 1/2, 1/3 или 1/4 индивидуальной дозы. Предпочтительно, индивидуальная доза содержит количество эффективного лекарственного средства, которое вводят одной дозой и которое обычно соответствует целой, половине, трети или четверти суточной дозы.
Соединение лигнана по настоящему изобретению, представленное формулой I, или экстракт Myristica fragrans можно вводить в эффективной дозе 0,1-50 мг/кг массы тела, и, предпочтительно, 1-10 мг/кг массы тела 1-3 раза в сутки. Доза соединения лигнана, представленного формулой I, или экстракта Myristica fragrans может варьировать в зависимости, например, от массы тела, возраста, половой принадлежности, состояния здоровья, диеты, времени введения, способа введения, скорости выведения и тяжести болезни конкретного пациента.
Соединение лигнана по настоящему изобретению проверяли на токсичность при пероральном введении крысам и в результате обнаружили, что 50% летальная доза (LD50) превышала 2000 мг/кг массы тела (данные не приведены).
Термин «болезнь мозга», к которой применима фармацевтическая композиция по настоящему изобретению, относится к болезни, возникающей в результате гибели или дегенерации клеток мозга, вызванной окислительными стрессами под воздействием окисления липидов, активных форм кислорода и/или свободных радикалов; возбудительной токсичностью под воздействием глутамата; и/или апоптоза. Примеры болезни мозга включают, например, дегенеративную болезнь мозга, такую как слабоумие, легкое нарушение познавательных способностей, болезнь Паркинсона и болезнь Хантингтона, ишемическую болезнь мозга, такую как апоплексия мозга, и судорожную болезнь мозга, такую как эпилепсия. В частности, болезни мозга могут включать, но не ограничиваться такими болезнями как слабоумие, болезнь Паркинсона, апоплексию мозга, болезнь Хантингтона, болезнь Крейтцфельда-Якоба, болезнь Пика, боковой амиотрофический склероз (ALS), комплекс болезнь Паркинсона-ALS-слабоумие, болезнь Вильсона, прогрессирующий супрануклеарный паралич, легкое нарушение познавательных способностей и эпилепсия, где слабоумие включает старческое слабоумие, слабоумие альцгеймерного типа, мультиинфарктную деменцию, алкогольную деменцию и таламическое слабоумие.
Краткое описание чертежей
На фиг.1 представлен процесс выделения соединения лигнана из Myristica fragrans.
На фиг.2 представлен спектр 13С-ЯМР (13С-ЯМР) соединения лигнана по настоящему изобретению.
На фиг.3 представлен спектр 1Н-ЯМР (1Н-ЯМР) соединения лигнана по настоящему изобретению.
На фиг.4 представлен 1Н-1Н COSY спектр соединения лигнана по настоящему изобретению.
На фиг.5 представлен 1H-13С НМВС спектр соединения лигнана по настоящему изобретению.
На фиг.6 представлен EI-масс-спектр соединения лигнана по настоящему изобретению.
Фиг.7 представляет график, иллюстрирующий ингибиторный эффект соединения лигнана по настоящему изобретению на продукцию активных форм кислорода под воздействием глутамата в клетках НТ-22.
Фиг.8 представляет график, иллюстрирующий ингибиторный эффект соединения лигнана по настоящему изобретению на продукцию активных форм кислорода под воздействием BSO в культивируемых клетках гиппокампа.
Фиг.9 представляет график, иллюстрирующий ингибиторный эффект соединения лигнана по настоящему изобретению на перекисное окисление липидов в ткани мозга, вызванное перекисью водорода, для различных концентраций.
Фиг.10 представляет график, иллюстрирующий цитотоксический эффект соединения лигнана по настоящему изобретению.
Фиг.11 представляет график, иллюстрирующий ингибиторный эффект соединения лигнана по настоящему изобретению на апоптоз, индуцированный глутаматом, для различных концентраций.
Фиг.12 представляет график, иллюстрирующий ингибиторный эффект соединения лигнана по настоящему изобретению на IL-6 в культивируемой микроглие мозга.
Фиг.13 представляет график, иллюстрирующий ингибиторный эффект соединения лигнана по настоящему изобретению на TNF- в культивируемой микроглие мозга.
Фиг.14 представляет график, иллюстрирующий ингибиторный эффект соединения лигнана по настоящему изобретению на NO в культивируемой микроглие мозга.
Фиг.15 представляет результаты ингибиторного эффекта соединения лигнана по настоящему изобретению на экспрессию белков iNOS и СОХ-2, индуцированных LPS в культивируемой микроглие мозга.
А: анализ результата вестерн-блоттинга; и
В: график, количественно иллюстрирующий ингибиторный эффект соединения лигнана по настоящему изобретению на экспрессию белков iNOS и СОХ-2.
Фиг.16 представляет результаты LC/MS анализа при использовании лигнана мускатного ореха по настоящему изобретению.
Лучший вариант осуществления изобретения
Далее настоящее изобретение будет описано подробно при помощи примеров. Следует понимать, однако, что данные примеры служат только для иллюстрации и не имеют целью ограничить область настоящего изобретения.
ПРИМЕР 1
Выделение и очистка соединения лигнана из Myristica fragrans
<1-1> Выделение и очистка соединения лигнана
К 100 г (сухой вес) высушенного и измельченного мускатного ореха добавляли 400 мл 75 об.% метанола и раствор оставляли стоять при комнатной температуре в течение 2 дней. Затем раствор фильтровали через фильтровальную бумагу Whatman 2. Стадию фильтрации повторяли дважды. Метанольный фильтрат концентрировали в вакууме и лиофилизовали, получая 7 г грубого метанольного экстракта мускатного ореха. Грубый метанольный экстракт фракционировали последовательно этилацетатом, бутанолом и водой для получения 4,2 г этилацетатной фракции. Этилацетатную фракцию элюировали колоночной хроматографией на силикагеле (Merck Kieselgel 66; 70-230 меш), используя смесь растворителей гексана и этилацетата (10:1 об./об.) для получения 1,0 г фракции III. Растворитель полностью удаляли в вакуумном роторном испарителе для получения грубого экстракта мускатного ореха. Фракцию III затем элюировали колоночной хроматографией на силикагеле (Merck Kieselgel 66; 70-230 меш), используя смесь растворителей гексана и этилацетата (20:1 об./об.) для получения 0,52 г фракции III-B. Фракцию III-B затем элюировали колоночной хроматографией на Rp-18 (Merck LiChroprep; 25-40 мкм), используя 80% метанол для получения 0,5 г фракции индивидуального соединения III-B-2. Процесс выделения представлен на фиг.1.
<1-2> Анализ структуры
Для определения структуры выделенного индивидуального соединения фракции III-B-2 анализировали спектр 1Н-ЯМР и спектр 13С-ЯМР при 600 МГц и 150 МГц соответственно в растворителе ДМСО. Результаты представлены на фиг.2 и 3 соответственно. Для определения корреляции 1H-1H и корреляции 1H-13C на основании результатов спектральных анализов 13С-ЯМР и 1H-ЯМР анализировали 1Н-1H COSY спектр и 1H-13С НМВС спектр. Результаты представлены на фиг.4 и 5 соответственно. Результаты спектральных анализов 1Н-ЯМР, 13С-ЯМР, 1Н-1H COSY и 1H-13С НМВС анализировали совместно и представили в таблице 1.
| Таблица 1 |
| Позиция |
13С-ЯМР |
1Н-ЯМР |
1H-1H COSY |
1H-13C НМВС |
| 1 |
135,4 |
 |
 |
 |
| 2 |
109,2 |
6,72 шир.с |
 |
C-7, C-6, C-4, C-3 |
| 3 |
147,3 |
 |
 |
 |
| 4 |
145,1 |
 |
 |
 |
| 5 |
107,9 |
6,79 д (7,8) |
6,61 |
С-6, C-4, C-3, C-1 |
| 6 |
121,7 |
6,61 дд (7,8) |
6,79 |
C-7, С-5, C-4, С-2, C-1 |
| 7 |
38,2 |
2,23 дд (13,2, 9,3) |
1,64, 2,66 |
С-8, С-6, С-2, C-1 |
| 2,66 дд (13,2, 4,8) |
1,64, 2,23 |
С-9, С-8, C-6, С-2, C-1 |
| 8 |
38,7 |
1,64 шир.с |
0,75, 2,23, 2,66 |
C-7 |
| 9 |
16,0 |
0,75 д (6,3) |
1,64 |
С-8, C-7 |
| 1′ |
132,4 |
 |
 |
 |
| 2′ |
112,9 |
6,66 шир.с |
 |
C-7′, С-6′, C-4′, C-3′ |
| 3′ |
147,1 |
 |
 |
 |
| 4′ |
144,4 |
 |
 |
 |
| 5′ |
115,2 |
6,66 д (7,9) |
6,53 |
С-6′, С-4′, С-3′, С-1′ |
| 6′ |
121,0 |
6,53 д (7,9, 1,1) |
6,66 |
С-7′, С-5′, С-4′,С-2′, С-1′ |
| 7′ |
38,0 |
2,17 дд (13,2, 9,3) |
1,64, 2,66 |
С-8′, С-6′, С-2′, С-1′ |
| 2,66 дд (13,2, 4,8) |
1,64, 2,17 |
С-9′, С-8′, С-6′, С-2′, С-1′ |
| 8′ |
38,7 |
1,64 шир.с |
0,75, 2,17, 2,66 |
С-7′ |
| 9′ |
16,1 |
0,75 д (6,3) |
1,64 |
С-8′, С-7′ |
| ОМе |
55,5 |
3,72 (с) |
 |
 |
| O-СН2-O |
100,6 |
5,95 д (4,8) |
 |
С-3, С-4 |
<1-3> Анализ масс
Результаты EI/MS анализа для анализа масс очищенного выше индивидуального соединения III-B-2 представлены на фиг.6. В EI/MS анализе [М]+ наблюдали при m/z 328, что указывало на то, что индивидуальное соединение имеет молекулярную массу 328 дальтон и молекулярную формулу С20Н24O4.
<1-4> Измерение оптического вращения
Оптическое вращение измеряли, растворяя 20 мг очищенного выше индивидуального соединения III-B-2 в 2 мл хлороформа (CHCl3) и анализируя с помощью автоматического поляриметра (APIII-589, Rodulph, NJ, США). В результате оптическое вращение ([ ]D) составило +4,0 (CHCl3, с=1,0).
Результаты анализов 1H-ЯМР, 13С-ЯМР, 1H-1H COSY и 1H-13С НМВС, EI/MS и [ ]D анализировали в сравнении с опубликованными результатами предыдущих исследований (Woo, W.S. et al., Phytochemistry, 26: 1542-1543, 1987). В результате обнаружили, что выделенное индивидуальное соединение являлось лигнаном мускатного ореха, представленным химической формулой I:
Химическая формула I

ПРИМЕР 2
Изучение ингибиторного эффекта соединения лигнана по настоящему изобретению на активные формы кислорода
Клеточную линию НТ-22 (предоставлена Dr. David Schubert), полученную из гиппокампа, играющего роль в функции памяти мозга, обрабатывали 5 мМ глутаматом и 5 мкМ соединением лигнана по настоящему изобретению одновременно в течение 8 часов. В качестве контроля клеточную линию НТ-22 не обрабатывали соединением лигнана по настоящему изобретению. Обработанную клеточную линию НТ-22 затем обрабатывали CM-H2DCFDA (хлорметильным производным диацетата дихлордигидрофлуоресцеина, Molecular Probes) для анализа продукции активных форм кислорода. В результате, как показано на фиг.7, соединение лигнана по настоящему изобретению ингибировало продукцию активных форм кислорода, индуцированную глутаматом. Кроме того, в контроле, который не был обработан глутаматом, соединение лигнана по настоящему изобретению существенно ингибировало продукцию активных форм кислорода, естественно существующую в клетке.
Затем анализировали антиоксидантный эффект соединения лигнана по настоящему изобретению в тканевой культуре нейронов гиппокампа. Для данного анализа гиппокамп плода, извлеченного из беременной (18 дней) мыши, культивировали в нейробазальной среде (Gibco BRL), содержащей добавки В-27 и 2 мМ L-глутамин, в течение 10 дней. Для индукции окислительного стресса в тканевой культуре нейронов гиппокампа ее обрабатывали 1 мМ BSO в течение 8 часов. Здесь тканевую культуру нейронов гиппокампа также обрабатывали соединением лигнана по настоящему изобретению в каждой из концентраций (0,1; 0,5 и 1 мкМ) в то же самое время для анализа ингибиторного эффекта соединения лигнана по настоящему изобретению на активные формы кислорода. Контроль не обрабатывали BSO. Затем количество образованных активных форм кислорода измеряли способом, известным специалистам в данной области (Jung, Y.S., Biochem Biophys Res Commun., 320(3): 789-94, 2004), с использованием 10 мкМ DCFDA (молекулярные пробы). В результате, как показано на фиг.8, соединение лигнана по настоящему изобретению ингибировало продукцию активных форм кислорода в тканевой культуре нейронов гиппокампа до контрольного уровня.
ПРИМЕР 3
Изучение ингибиторного эффекта соединения лигнана по настоящему изобретению на переписное окисление липидов
После анестезии крысы ткань крысы перфузировали 0,9% физиологическим раствором, содержащим ЭДТА. Затем мозг извлекали из крысы и промывали ледяным 20 мМ Tris-HCl (pH 7,4). После удаления воды измеряли вес мозга. Мозг смешивали с 0,1 г/мл ледяного 20 мМ Tris-HCl (pH 7,4) и гомогенизировали. Гомогенизированный мозг центрифугировали и супернатант собирали. 40 мкл супернатанта смешивали с 40 мМ перекисью водорода для индукции перекисного окисления липидов. Одновременно, соединения лигнана, выделенные по примеру 1, в различных концентрациях (0,5, 1, 5 и 10 мкМ) добавляли в супернатант соответственно. После инкубации супернатанта на водяной бане (37°С) в течение 30-60 минут 162,5 мкл раствора R1 (набор для анализа перекисного окисления липидов, по каталогу 437634, Calbiochem) и 37,5 мкл раствора R2 (набор для анализа перекисного окисления липидов, по каталогу 437634, Calbiochem) добавляли в культивируемый супернатант, и супернатант далее инкубировали при 45°С в течение 40 минут. Затем поглощение инкубированной среды измеряли при 586 нм, чтобы определить количественно перекисное окисление липидов.
В результате, как показано на фиг.9, наблюдали, что соединение лигнана по настоящему изобретению дозозависимо ингибировало перекисное окисление липидов, индуцированное перекисью водорода. В частности, 10 мкМ соединение лигнана по настоящему изобретению ингибировало перекисное окисление липидов до такого же уровня, как в контроле, где перекисное окисление липидов не было индуцировано перекисью водорода.
ПРИМЕР 4
Изучение цитотоксического эффекта соединения лигнана по настоящему изобретению
Для того чтобы изучить собственный цитотоксический эффект лигнана мускатного ореха, клеточную линию НТ-22, полученную из гиппокампа, обрабатывали лигнаном мускатного ореха в концентрациях (1, 5 и 10 мкМ) в течение 24 часов. В результате, как показано на фиг.10, лигнан мускатного ореха по настоящему изобретению не индуцировал цитотоксичность даже в концентрации 10 мкМ.
ПРИМЕР 5
Изучение ингибиторного эффекта соединения лигнана по настоящему изобретению на апоптоз клеток мозга
Клеточную линию НТ-22, полученную из гиппокампа, обрабатывали 5 мМ глутаматом в течение 24 часов для индукции апоптоза. В контроле клеточную линию НТ-22 не обрабатывали глутатамом. Затем клеточную линию НТ-22 обрабатывали соединением лигнана по настоящему изобретению в концентрациях (1, 2, 5 и 10 мкМ) в течение 24 часов. Гибель клеток анализировали с помощью WST-1 (Roche). В результате, как показано на фиг.11, наблюдали, что соединение лигнана по настоящему изобретению дозозависимо ингибировало апоптоз клеток мозга, индуцированный глутаматом.
ПРИМЕР 6
Изучение противовоспалительного эффекта соединения лигнана по настоящему изобретению
<6-1> Ингибиторный эффект на провоспалительные цитокины
Микроглия является единственным типом клеток, происходящим из мезодермы центральной нервной системы, и ее активность существенно возрастает при воспалительной реакции, имеющей место в ткани мозга (Streit, W.J. Prog. Neurobiol., 57: 563-581, 1999). При активации микроглии LPS она синтезирует и секретирует различные провоспалительные цитокины, такие как IL-1, IL-6 и TNF- (Chen, S. Neurobiol. Aging, 17: 781-787, 1996). Вследствие этого, для изучения противовоспалительного эффекта соединения лигнана по настоящему изобретению исследовали эффект соединения лигнана по настоящему изобретению на продукцию IL-6 и TNF- в активированной микроглии. Во-первых, только неокортекс выделяли из мозга крысы возрастом 1 день. Затем готовили смесь микроглия-астроглия способом, известным специалистам в данной области (Kim, H.Y. et al., J Immunol., 171: 6072-6079, 2003). Смесь микроглия-астроглия разделяли в соотношении 4 матраса/1 голову и культивировали в среде MEM, содержащей 10% FBS, в матрасе емкостью 75 см3 в течение 2 недель. Микроглию отделяли от культивируемых клеток и культивировали в среде MEM, содержащей 5% FBS, в течение 24 часов. Культивируемую микроглию промывали бессывороточной средой 2 раза и обрабатывали 1 мкг/мл LPS и 2,5 и 10 мкМ соединением лигнана по настоящему изобретению в течение 24 часов. Затем количество IL-6 и TNF- , секретируемое в среду культивирования клеток, измеряли с помощью системы твердовазного анализа ELISA (RPN2742 для IL-6, RPN2744 для TNF- , Amersham Bioscience). Для данного анализа 50 мкл супернатанта среды культивирования микроглии и 50 мкл стандарта каждого материала (чисто выделенного и измеренного IL-6 или TNF- ) добавляли в 96-луночный планшет, покрытый антителами, специфическими для IL-6 и TNF- мыши. После 2 часов взаимодействия при комнатной температуре каждую лунку промывали промывающим буфером (Amersham Bioscience) 3 раза. 100 мкМ обработанные биотином антитела, специфические для IL-6 или TNF- , добавляли в каждую лунку и инкубировали при комнатной температуре в течение 1 часа. Каждую лунку промывали промывающим буфером 3 раза. 100 мкл раствора стрептавидина (Amersham Bioscience), связанного с HRP, добавляли в каждую лунку и инкубировали при комнатной температуре в течение 30 минут. Затем 100 мкл стоп-реагента (Amersham Bioscience) добавляли в каждую лунку для остановки реакции, и поглощение раствора из каждой лунки измеряли с помощью микроридера при 450 нм. В результате, как показано на фиг.12 и 13, соединение лигнана по настоящему изобретению дозозависимо ингибировало продукцию провоспалительных цитокинов (IL-6 и TNF- ), индуцированную LPS. В частности, ингибиторный эффект на продукцию TNF- был сильнее.
<6-2> Ингибиторный эффект на продукцию NO в микроглие, активированной LPS
При активации микроглии индуцируется экспрессия NO как медиатора нервной передачи и иммунного ответа (Liu, В. et al., Ann. N.Y. Acad.Sci., 962: 318-331, 2002). Вследствие этого, изучали эффект соединения лигнана по настоящему изобретению на продукцию NO. Во-первых, только неокортекс выделяли из мозга мыши возрастом 1 день. Затем готовили смесь микроглия-астроглия способом, известным специалистам в данной области (Kirn, H.Y. et al., J Immunol., 171: 6072-6079, 2003). Смесь микроглия-астроглия разделяли в соотношении 4 матраса/1 голову и культивировали в среде MEM, содержащей 10% FBS, в матрасе емкостью 75 см2 в течение 2 недель. Микроглию отделяли от культивируемых клеток и культивировали в среде MEM, содержащей 5% FBS, в течение 24 часов. Культуру ткани микроглии в среде MEM, содержащей 5% FBS, вносили в концентрации 1,5 104 клеток/лунку и культивировали в 96-луночном планшете. После 1 дня культивирования микроглию обрабатывали 1 мкг/мл LPS (Sigma) для индукции активации микроглии. Одновременно, микроглию также обрабатывали 2,5 и 10 мкМ соединением лигнана по настоящему изобретению вместе с LPS, и взаимодействие продолжалось в течение 16 или 24 часов. Затем среду культивирования клеток собирали и измеряли продукцию NO. Продукцию NO анализировали, измеряя количество нитрита как стабильного метаболита NO в среде культивирования клеток при помощи набора реактивов Griess (Molecular Probe). Способ измерения был следующим: 150 мкл среды культивирования клеток смешивали с 20 мкл реактива Griess и 130 мкл воды и инкубировали в микропланшете при комнатной температуре в течение 30 минут. Затем измеряли поглощение полученного раствора в планшет-ридере при 548 нм.
В результате, как показано на фиг.14, соединение лигнана по настоящему изобретению дозозависимо ингибировало продукцию NO, индуцированную LPS, в культуре ткани микроглии. В частности, 10 мкМ соединение лигнана по настоящему изобретению обладало степенью ингибирования около 90%.
<6-3> Ингибиторный эффект на экспрессию iNOS и СОХ-2
В примере <6-2> наблюдали, что соединение лигнана по настоящему изобретению ингибировало продукцию NO, индуцированную LPS, в культивируемой микроглие мыши. NO образуется благодаря ферменту iNOS, экспрессия которого индуцирована в результате активации микроглии. Вследствие этого, изучали корреляцию между снижением продукции NO и ингибированием экспрессии iNOS. Дополнительно изучали изменения количества белка СОХ-2, участвующего в продукции других опосредующих воспаление веществ. Для вестерн-блоттинг анализа культуру ткани микроглии культивировали в 60-мм чашке Петри до концентрации 7,5 105 клеток/мл. После 1 дня культивации индуцировали активацию микроглии обработкой 1 мкг/мл LPS (Sigma). Одновременно микроглию также обрабатывали 2,5 и 10 мкМ соединением лигнана по настоящему изобретению вместе с LPS, и инкубировали в течение 16 или 24 часов. Инкубированные клетки промывали холодным PBS 2 раза, а затем разводили холодным лизирующим буфером (1% SDS, 1 мМ Na3VO4, 10 мМ NaF, 10 мМ Tris-Cl, pH 7,4, содержащим 1 коктейль из ингибиторов протеаз). Лизат клеток центрифугировали при 4°С и 12000 g в течение 10 минут и супернатант собирали. Затем количественное содержание белков определяли способом ВСА. Белки в том же количестве разделяли SDS-PAGE и переносили на PVDF мембрану. Каждую мембрану блокировали 3% раствором BSA и промывали раствором TBS-T (10 мМ Tris-Cl, pH 7,5, 150 мМ NaCl, содержащий 0,1% Tween 20) 3 раза. Затем первичные антитела, специфические для iNOS (кроличьи поликлональные AT, Upstate, 06-573) и СОХ-2 (кроличьи поликлональные AT, Santa Cruz Biotechnology, sc-7951) добавляли к мембране и инкубировали при комнатной температуре в течение 1 часа. После того, как мембрану промывали раствором TBS-T 3 раза, конъюгированные с HRP вторичные специфические антитела добавляли к мембране и инкубировали при комнатной температуре в течение 1 часа. Мембрану вновь промывали раствором TBS-T 3 раза и каждую полоску на мембране анализировали, используя систему ECL (Sigma).
В результате, как показано на фиг.15, соединение лигнана по настоящему изобретению концентрационно-зависимым образом ингибировало экспрессию iNOS и СОХ-2, индуцированную LPS в культуре ткани микроглии.
ПРИМЕР 7
Тест на перенос соединения лигнана по настоящему изобретению в мозг
Изучали перенос соединения лигнана по настоящему изобретению в мозг.
<7-1> Обработка лигнаном мускатного ореха по настоящему изобретению и сбор образцов
Канюли РЕ50 независимо вводили в бедренную вену и бедренную артерию самца крысы 3D весом 250 г и к канюлям подсоединяли шприцы, содержащие отдельно физиологический раствор и гепарин (25 ME) соответственно. Лигнан мускатного ореха, выделенный и очищенный по примеру 1, растворяли в ДМСО и вводили крысе внутривенно в количестве 1 мг/кг массы тела. 400 мкл образцов крови собирали из артерии через 0,5, 1, 1,5 и 2 минуты после введения. После последнего отбора образца голову крысы быстро отделяли и ткань мозга извлекали и слегка промывали физиологическим раствором.
<7-2> Обработка образцов
а. Обработка образца крови
Образец крови, полученный по примеру <7-1>, центрифугировали при 3000 об/мин в течение 5 минут для получения 100 мкл плазмы крови. 500 мкл этилацетата добавляли к плазме крови и смесь перемешивали на вихревой мешалке в течение 10 минут. Затем смесь центрифугировали при 3000 об/мин в течение 5 минут для получения 400 мкл супернатанта. Супернатант выпаривали и высушивали в потоке азота и воссоздавали как 100 мкл подвижной фазы.
b. Обработка образца ткани мозга
Вес образца ткани мозга, полученного по примеру <7-1>, измеряли, а затем физиологический раствор, соответствующий по весу 2-кратному весу мозговой ткани, добавляли к ткани мозга и смесь гомогенизировали. Гомогенизированную смесь перемешивали на вихревой мешалке в течение 5 минут, а затем смесь центрифугировали при 3000 об/мин в течение 5 минут.5 мл этилацетата добавляли к 1 мл супернатанта, полученного после центрифугирования, и смесь перемешивали на вихревой мешалке в течение 10 минут. Затем смесь центрифугировали при 3000 об/мин в течение 5 минут для получения супернатанта. 4 мл супернатанта выпаривали и высушивали в потоке азота и воссоздавали как 100 мкл подвижной фазы.
<7-3> Стандартный тест
Исходный раствор концентрации 1 мг/мл, полученный при растворении в метаноле лигнана мускатного ореха, выделенного по примеру 1, серийно разводили. 10 мкл раствора лигнана мускатного ореха добавляли к 90 мкл холостого образца плазмы крови крысы или 90 мкл холостого образца гомогената мозга для получения нужной концентрации образца плазмы или мозговой ткани. Затем каждый образец обрабатывали по способу примера <7-2>. 10 мкл образца, воссозданного как 100 мкл подвижной фазы, вводили в систему LC/MS (Agilent 1100 Series, Agilent Technologies, Santa Clara, США). LC/MS анализ проводили, используя колонку 3,0 мм 150 мм С18 Luna (Phenomenex, Torrance, CA/ США) в условиях мобильной фазы ацетонитрил:метанол:деионизованная дистиллированная вода (DDW)=40:40:20.
В результате, как показано на фиг.16, лигнан мускатного ореха обнаруживали в SIM [327,0-328,0] отрицательного ESI, и время удерживания составляло 8,36 минуты. В вышеприведенной хроматограмме была вычислена площадь под пиком лигнана мускатного ореха и построена линейная стандартная кривая, учитывающая концентрацию и площадь под пиком лигнана мускатного ореха.
<7-4> Анализ образцов
Образец крови и образец мозговой ткани, обработанные по примеру <7-2>, вводили в систему LC/MS, а затем LC/MS анализ проводили по способу примера <7-3> и на хроматограмме определяли площадь под пиком лигнана мускатного ореха. Концентрацию лигнана мускатного ореха рассчитывали, используя площадь под пиком лигнана мускатного ореха, по стандартной кривой, полученной по примеру <7-3>.
<7-5> Расчет переноса лигнана мускатного ореха в мозг
На графике зависимости концентрации лигнана мускатного ореха от времени, полученном для образца крови по примеру <7-4>, значение AUC0 t (площадь под кривой: AUC) от 0 до времени последнего образца «tiast» получено трапецеидальным способом (Schaum’s Outline of Mathematica, MaGraw-Hill, 2000). Кроме того, количество (Xb) лигнана мускатного ореха рассчитывали, используя концентрацию образца мозговой ткани. AUC лигнана мускатного ореха можно рассчитать, используя математическое уравнение 1.
Математическое уравнение 1

где С является концентрацией лигнана мускатного ореха, a t является изменением времени.
Значение клиренса при поглощении мозгом (CLuptake) лигнана мускатного ореха, переходящего в мозг, можно рассчитать, используя математическое уравнение 2.
Математическое уравнение 2

Математическое уравнение 2 получали следующим способом. Изменение количества лигнана мускатного ореха в мозге можно представить математическим уравнением 3. Математическое уравнение 3

где CLuptake является значением клиренса при поглощении мозгом лигнана мускатного ореха, переходящего в мозг, CLefflux является значением клиренса при поглощении мозгом лигнана мускатного ореха, переходящего в кровь, Ср является концентрацией лигнана мускатного ореха в крови и Сb является концентрацией лигнана мускатного ореха в мозговой ткани.
При допущении, что немедленно после введения Сb близко к 0, математическое уравнение 3 можно представить математическим уравнением 4.
Математическое уравнение 4

Если обе части уравнения интегрировать от t=0 до t=t, математическое уравнение 4 можно представить математическим уравнением 5.
Математическое уравнение 5

Математическое уравнение 5 пересчитано в математическое уравнение 6.
Математическое уравнение 6

Вследствие этого, клиренс при поглощении мозгом лигнана мускатного ореха, переходящего в мозг, можно представить указанным математическим уравнением 2.
Клиренс при поглощении мозгом лигнана мускатного ореха, переходящего в мозг, рассчитывали, используя математическое уравнение 2. В результате, как показано в таблице 2, клиренс при поглощении мозгом лигнана мускатного ореха, переходящего в мозг, составил 0,203±0,039 мл/мин. Основываясь на полученном результате, можно заметить, что перенос лигнана мускатного ореха в мозг был относительно достаточным.
Таблица 2 Клиренс при поглощении мозгом лигнана мускатного ореха, переходящего в мозг |
 |
Соединение лигнана по настоящему изобретению |
| Xb (ug) |
7,90±1,52 |
| AUC (ug/мл/мин) |
38,89±3,62 |
| CLuptake (мл/мин) |
0,203±0,039 |
ПРИМЕР ПОЛУЧЕНИЯ ПРЕПАРАТОВ 1
Получение фармацевтических препаратов, содержащих фармацевтическую композицию для лечения или предотвращения болезни мозга по настоящему изобретению
<1-1> Получение препарата в виде таблетки
25 мг соединения лигнана или экстракта Myristica fragrans no настоящему изобретению, 26 мг лактозы для непосредственного таблетирования, 3,5 мг Avicel (микрокристаллическая целлюлоза), 1,5 мг крахмального гликоната натрия (разобщающее средство) и 8 мг L-HPC (низкомолекулярная гидроксипропилцеллюлоза, связывающее вещество) для непосредственного таблетирования помещали в U-образный смеситель и смешивали между собой в течение 20 минут. После завершения смешивания 1 мг стеарата магния (смазывающее вещество) добавляли туда и смешивали в течение 3 минут. Смесь подвергали количественному анализу и анализу содержания влаги, таблетировали и покрывали оболочкой, таким образом получая препарат в виде таблетки.
<1-2> Получение препарата в виде сиропа
Сироп, содержащий 2% (в/об) лигнан мускатного ореха по настоящему изобретению или его фармацевтически приемлемую соль в качестве активного ингредиента получали следующим образом:
2 г кислотно-аддитивной соли лигнана мускатного ореха по настоящему изобретению, 0,8 г сахарина и 25,4 г сахара растворяли в 80 г горячей воды. Раствор охлаждали и затем 8,0 г глицерина, 0,04 г отдушки, 4,0 г этанола, 0,4 г сорбиновой кислоты и соответствующее количество дистиллированной воды добавляли к охлажденному раствору. К смеси добавляли воду, чтобы довести объем до 100 мл.
<1-3> Получение препарата в виде капсулы
50 мг соединения лигнана или экстракта Myristica fragrans no настоящему изобретению, 50 мг лактозы, 46,5 мг крахмала, 1 мг талька и соответствующее количество стеарата магния смешивали между собой. Смесью наполняли жесткую желатиновую капсулу, таким образом получая препарат в виде капсулы.
<1-4> Получение препарата в виде инъекционной жидкости
Инъекционную жидкость, содержащую 10 мг активного ингредиента, получали следующим образом:
1 г гидрохлорида лигнана мускатного ореха по настоящему изобретению, 0,6 г хлорида натрия и 0,1 г аскорбиновой кислоты растворяли в дистиллированной воде для получения 100 мл раствора. Раствор разливали по сосудам и стерилизовали его нагреванием при 20°С в течение 30 минут.
ПРИМЕР ПРИМЕНЕНИЯ 1
Болезнь Паркинсона
Известно, что болезнь Паркинсона представляет собой дегенеративное мозговое заболевание центральной нервной системы и проявляется в виде тремора, мышечной ригидности и потери физической подвижности (акинезии), сопровождающейся психической депрессией. Также известно, что болезнь Паркинсона является, главным образом, следствием гибели дофаминергических нейрональных клеток в компактной черной субстанции (Fahn S., Parkinson’s disease in: Diseases of the nervous system, (ED) by A.Asbury, G.Mckhann, pp.1217-1238, Saunders, 1986). Сообщали, что гибель нейрональных клеток, сопровождаемая болезнью Паркинсона, происходит в результате окислительного стресса, нарушения энергетического метаболизма, мутации митохондриальных генов, возбудительной аминокислотной токсичности и так далее. В частности, существует много сообщений о том, что гибель нейрональных клеток происходит главным образом в результате окислительного стресса (Fahn S. и Cohen, G., Ann. Neurol. 32(6): 804-812, 1992; Foley Р. и Riederer P., J. Neurol., 247 [Sppl.2] II/82-II/94, 2000). Соответственно, фармацевтическая композиция по настоящему изобретению, обладающая способностью защищать клетки мозга от окислительного стресса, а также способностью ингибировать гибель клеток мозга посредством апоптоза, является высокоэффективной для лечения и предотвращения болезни Паркинсона.
ПРИМЕР ПРИМЕНЕНИЯ 2
Болезнь Альцгеймера
Известно, что болезнь Альцгеймера является дегенеративным нейрональным заболеванием, сопровождающимся серьезным нарушением памяти и психическим расстройством, и рост заболеваемости составляет примерно 10-15%/год. Согласно заключению аутопсии для пациентов с болезнью Альцгеймера, у них обнаруживают сенильную бляшку и нейрофибриллярный клубок. Окислительное повреждение имеет отношение к возникновению сенильной бляшки, а сама сенильная бляшка вызывает воспалительный ответ. Существует сообщение об эпидемиологических свидетельствах того, что противовоспалительные средства, такие как ибупрофен, замедляют развитие болезни Альцгеймера (McGeer и McGeer, Exp.Gerontol., 33: 371-378, 1998). У мыши с модельной болезнью Альцгеймера лечение ибупрофеном замедляло развитие болезни (Lim et al., J. Neurosci., 20: 5709-5714, 2000). Соответственно, фармацевтическая композиция по настоящему изобретению, обладающая способностью защищать клетки мозга от окислительного стресса, а также противовоспалительной активностью, является высокоэффективной для лечения и предотвращения болезни Альцгеймера.
ПРИМЕР ПРИМЕНЕНИЯ 3
Апоплексия мозга
Апоплексия мозга относится к неврологическим симптомам, наблюдающимся в результате повреждения соответствующего участка мозга, проявляющимся как засорение или разрыв кровеносного сосуда, снабжающего кровью мозг. Мозг выполняет множество функций. Однако поврежденная часть мозга не функционирует, проявляя таким образом нарушение физической подвижности и нарушение памяти. Апоплексия мозга случается, главным образом, у пожилых людей, однако, может случаться и у двадцатилетних или тридцатилетних людей. Рост заболеваемости апоплексией мозга не снизился за 10 лет. Известно, что апоплексия мозга происходит в результате апоптоза, индуцированного избыточным возбуждением рецептора NMDA (N-метил-D-аспартата) секретируемым сверх нормы глутаматом. Активность микроглии вносит вклад в токсичность NMDA (Tikka и Koistinaho, J. Immunol., 166(12): 7527-33, 2001). Кроме того, другой причиной апоплексии мозга является окислительный стресс. Соответственно, фармацевтическая композиция по настоящему изобретению, обладающая способностью защищать клетки мозга от окислительного стресса, а также противовоспалительной активностью, является высокоэффективной для лечения и предотвращения апоплексии мозга.
ПРИМЕР ПРИМЕНЕНИЯ 4
Легкое нарушение познавательных способностей (MCI)
Немалое количество пожилых людей имеют легкое нарушение памяти, но не испытывают серьезных трудностей в повседневной жизни. Такая ситуация называется «легкое нарушение познавательных способностей (MCI)». Диагноз MCI у пожилых людей может с высокой вероятностью (10-15%/год) перерасти в дегенеративные нейрональные заболевания, такие как болезнь Альцгеймера, в течение нескольких лет. Подобное легкое нарушение познавательных способностей является переходной стадией между нормальным старением и началом болезни Альцгеймера, а также продромальным симптомом дегенеративного нейронального заболевания. Согласно заключению аутопсии для пациентов с MCI, у них обнаруживают сенильную бляшку и нейрофибриллярный клубок подобно тому, как при болезни Альцгеймера. Окислительное повреждение имеет отношение к возникновению сенильной бляшки, а сама сенильная бляшка вызывает воспалительный ответ. Соответственно, фармацевтическая композиция по настоящему изобретению, обладающая способностью защищать клетки мозга от окислительного стресса, а также противовоспалительной активностью, является высокоэффективной для лечения и предотвращения легкого нарушения познавательных способностей.
Перекрестная ссылка на родственные заявки
По настоящей заявке испрашивается приоритет в отношении корейской патентной заявки 10-2005-0026963, поданной 31 марта 2005 года, содержание которой приведено здесь в качестве ссылки.
Промышленное применение
Как описано выше, соединение лигнана по настоящему изобретению обладает ингибиторным эффектом в отношении различных медиаторов, вызывающих гибель клеток мозга, и их активности. В частности, оно обладает повышенным антиоксидантным эффектом, ингибируя перекисное окисление липидов и продукцию активных форм кислорода, повышенным защитным эффектом для клеток мозга, ингибируя апоптоз клеток мозга, а также повышенным противовоспалительным эффектом. Соответственно, соединение лигнана по настоящему изобретению или экстракт Myristica fragrans найдет значительное применение для лечения или предотвращения болезней мозга.
Формула изобретения
1. Фармацевтическая композиция для лечения или предотвращения болезни мозга, которая содержит соединение лигнана, представленное формулой I, или его фармацевтически приемлемую соль в качестве активного ингредиента: Формула I
 где R1 и R2 являются независимо С1-5 алкоксигруппой или гидроксильной группой, и R3 является или .
2. Фармацевтическая композиция по п.1, в которой соединение лигнана является лигнаном мускатного ореха, представленным химической формулой I: Химическая формула I
.
3. Фармацевтическая композиция для лечения или предотвращения болезни мозга, которая содержит экстракт Myristica fragrans в воде или C1-С6 органическом растворителе в качестве активного ингредиента.
4. Фармацевтическая композиция по п.1 или 3, где болезнь мозга является любой, выбранной из группы, включающей слабоумие, болезнь Паркинсона, апоплексию мозга, болезнь Хантингтона, болезнь Крейтцфельда-Якоба, болезнь Пика, боковой амиотрофический склероз (ALS), комплекс болезнь Паркинсона-ALS-слабоумие, болезнь Вильсона, прогрессирующий супрануклеарный паралич, легкое нарушение познавательных способностей и эпилепсию.
5. Способ лечения или предотвращения болезни мозга, включающий введение субъекту, нуждающемуся в этом, эффективного количества соединения лигнана, представленного формулой I.
6. Способ ингибирования гибели клеток мозга, включающий введение субъекту, нуждающемуся в этом, эффективного количества соединения лигнана, представленного формулой I.
7. Способ по п.5 или 6, в котором соединение лигнана является лигнаном мускатного ореха, представленным химической формулой I: Химическая формула I
.
8. Способ лечения или предотвращения болезни мозга, включающий введение субъекту, нуждающемуся в этом, эффективного количества экстракта Myristica fragrans в воде или С1-С6 органическом растворителе.
9. Способ ингибирования гибели клеток мозга, включающий введение субъекту, нуждающемуся в этом, эффективного количества экстракта Myristica fragrans в воде или C1-C6 органическом растворителе.
10. Применение соединения лигнана, представленного формулой I, для получения фармацевтической композиции для предотвращения или лечения болезни мозга.
11. Применение соединения лигнана, представленного формулой I, для получения фармацевтической композиции для ингибирования гибели клеток мозга.
12. Применение по п.10 или 11, где соединение лигнана является лигнаном мускатного ореха, представленным химической формулой I: Химическая формула I
.
13. Применение экстракта Myristica fragrans в воде или C1-С6 органическом растворителе для получения фармацевтической композиции для предотвращения или лечения болезни мозга.
14. Применение экстракта Myristica fragrans в воде или C1-С6 органическом растворителе для получения фармацевтической композиции для ингибирования гибели клеток мозга.
РИСУНКИ
|
|