Патент на изобретение №2354349
|
|||||||||||||||||||||||||||||||||||||||||||||||||||||||||||||||||||||||||||||||||||||||||||||||||||||||||||||||||||||||||||||||||||||||||||||||||||||||||||||||||||||||||||||||||||||||||||||||||||||||||||||||||||||||||||||||||||||||||||||||||||||||||||||||||||||||||||||||||||||||||||||||||||||||||||||||||||||||||||||||||||||||||||||||||||||||||||||||||||||||||||||||||||||||||||||||||||||||||||||||||||||||||||||||||||||||||||||||||||||||||||||||||||||||||||||||||||||||||||||||||||||||||||||||||||||||||||||||||||||||||||||||||||||||||||||||||||||||||||||||||||||||||||||||||||||||||||||||||||||||||||||||||||||||||||||||||||||||||||||||||||||||||||||||||||||||||||||||||||||||||||||||||||||||||||||||||||||||||||||||||||||||||||||||||||||||||||||||||||||||||||||||||||||||||||||||||||||||
(54) НОВЫЕ ЦВЕТООБРАЗУЮЩИЕ КОМПОНЕНТЫ
(57) Реферат:
Изобретение относится к области косметических средств для окрашивания волос. Средство для окрашивания кератиновых волокон, в частности человеческих волос, содержит в косметически приемлемом носителе в качестве цветообразующего компонента 2,4-бис-[(2-гидроксиэтил)амино]-6-метиланизол. Средство может содержать, по крайней мере, один дополнительный проявляющий компонент, один дополнительный цветообразующий компонент, один прямой краситель, при этом прямой краситель является катионным. Изобретение обеспечивает окрашивание волос с высокой интенсивностью и устойчивыми характеристиками окраски в красной и фиолетовой области. 2 н. и 4 з.п. ф-лы.
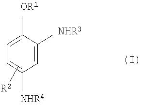
Предложенное изобретение относится к средствам для окрашивания кератиновых волокон, которые содержат специальные производные м-фенилендиамина, к способу окрашивания волос с помощью данных средств, а также к некоторым таким производным м-фенилендиамина и промежуточным продуктам, которые возникают при получении данных соединений. Для окрашивания кератиновых волокон, в частности человеческих волос, предпочтительную роль благодаря своему интенсивному окрашиванию и хорошим стойким свойствам играют так называемые окислительные красящие средства. Такие средства содержат полупродукты окислительных красителей, так называемые проявляющие компоненты и цветообразующие компоненты. Проявляющие компоненты образуют непосредственно красители при воздействии окислителей или кислорода воздуха последовательно или при сочетании с одним или несколькими цветообразующими компонентами. В качестве проявляющих компонентов обычно используют первичные ароматические амины с дополнительной, находящейся в пара- или орто-положении, свободной или замещенной гидроксигруппой или аминогруппой, производные диаминопиридина, гетероциклические гидразоны, производные 4-аминопиразолона, а также 2,4,5,6-тетрааминопиримидин и его производные. Специальными представителями являются, например, п-фенилендиамин, п-толуилендиамин, 2,4,5,6-тетрааминопиримидин, п-аминофенол, N,N-бис-(2′-гидроксиэтил)-п-фенилендиамин, 2-(2,5-диаминофенил)-этанол, 2-(2,5-диаминофенокси)-этанол, 1-фенил-3-карбоксиамидо-4-аминопиразолон-5, 4-амино-3-метилфенол, 2-аминометил-4-аминофенол, 2-гидрокси-4,5,6-триаминопиримидин, 2,4-дигидрокси-5,6-диаминопиримидин, 2,5,6-триамино-4-гидроксипиримидин и 1,3-N,N’-бис(2′-гидроксиэтил)-N,N’-бис(4′-аминофенил)-диаминопропан-2-ол. В качестве цветообразующих компонентов, как правило, используют производные м-фенилендиамина, нафтол, резорцин и производные резорцина, пиразолоны и м-аминофенолы. В качестве цветообразующих веществ подходящими являются, в частности, 1-нафтол, 1,5-, 2,7- и 1,7-дигидроксинафталин, 5-амино-2-метилфенол, м-аминофенол, резорцин, простой резорцинмонометиловый эфир, м-фенилендиамин, 1-фенил-3-метилпиразолон-5, 2,4-дихлор-3-аминофенол, 1,3-бис-(2,4-диаминофенокси)-пропан, 2-хлоррезорцин, 4-хлоррезорцин, 2-хлор-6-метил-3-аминофенол, 2-метилрезорцин, 5-метилрезорцин и 2-метил-4-хлор-5-аминофенол. Хорошие полупродукты окислительных красителей должны в первую очередь выполнять следующие условия: при окислительном сочетании они должны давать желаемые цветовые нюансы при достаточной интенсивности и стойкости. Кроме того, они должны обладать хорошей проникаемостью в волокно, причем, в частности, для человеческих волос не должно быть никакого значительного различия между поврежденными или отросшими волосами (выравнивающая способность). Они должны быть стойкими относительно света, тепла, пота, трения и воздействия химических восстановителей, например жидкостей для химической завивки. В конце концов, они не должны (в случае применения в качестве краски для волос) слишком сильно окрашивать кожу головы и, прежде всего, они не должны вызывать сомнений в отношении токсикологии и дерматологии. Кроме того, необходимо иметь возможность снова легко удалить полученную окраску обесцвечиванием в том случае, если она все же не соответствует индивидуальным желаниям отдельных персон и должна быть удалена. При использовании только одного проявляющего компонента или специальной комбинации цветообразователя/проявителя, как правило, не удается получить естественно смотрящийся на волосах цветовой нюанс. Поэтому в практике обычно используют комбинации различных проявляющих и/или цветообразующих компонентов. Поэтому постоянно существует необходимость в получении новых улучшенных компонентов красителей, которые также не создают проблем в отношении токсикологии и дерматологии. Поэтому задачей предложенного изобретения является получение новых проявляющих компонентов, которые выполняют требования, предъявляемые к полупродуктам окислительных красителей, в частности относительно токсикологических и дерматологических характеристик, и способствуют окрашиванию в широком цветовом спектре с хорошими стойкими характеристиками. Неожиданно было найдено, что специальные производные м-фенилендиамина в высокой степени удовлетворяют требованиям, предъявляемым к цветообразующим компонентам. Предложенные согласно изобретению цветообразующие компоненты делают возможным, в частности, с м-толуилендиамином, 1-(2-гидроксиэтил)-2,5-диаминобензолом, 2,4,5,6-тетрааминопиримидином и бис-(2-гидрокси-5-аминофенил)метаном окрашивание с высокой интенсивностью окраски (от хороших до очень хороших) и устойчивыми характеристиками окраски в красной и фиолетовой области. Поэтому первым объектом предложенного изобретения являются средства для окраски кератиновых волокон, в частности человеческих волос, которые в своем косметически приемлемом носителе в качестве цветообразующего компонента содержат, по крайней мере, одно производное м-фенилендиамина формулы (I)
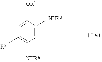
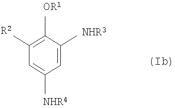
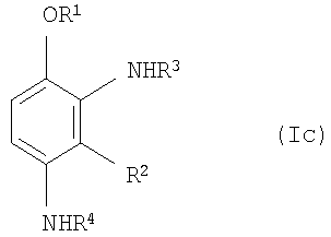
причем R1 означает группу алкила с 1-4 атомами углерода или группу моногидроксиалкила с 1-4 атомами углерода, R2 означает группу метила или группу этила и R3 и R4 независимо друг от друга означают разветвленную или неразветвленную группу гидроксиалкила с 2-6 атомами углерода. При этом под кератиновыми волокнами понимают согласно изобретению мех, шерсть, перья и, в частности, человеческие волосы. Несмотря на то, что предложенные согласно изобретению окислительные красители подходят в первую очередь для окраски кератиновых волокон, ничто в принципе не препятствует их применению в других областях, в частности цветной фотографии. Так как в предложенных согласно изобретению производных м-фенилендиамина речь идет о аминосоединениях, допускается получение из них известных аддитивных солей кислот обычным способом. Поэтому все показания и необходимый в соответствии с этим объем правовой охраны относятся как к представленным в свободной форме соединениям, так и к их водорастворимым, физиологически приемлемым солям. Такими солями являются, например, гидрохлориды, гидробромиды, сульфаты, фосфаты, ацетаты, пропионаты, цитраты и лактаты. Причем особенно предпочтительными являются гидрохлориды и сульфаты. Примерами групп алкила с 1-6 атомами углерода, названными в качестве заместителей в предложенных согласно изобретению соединениях, являются группы метила, этила, пропила, изопропила, бутила, пентила и гексила. Предпочтительными группами алкила являются этил и метил. Предпочтительной группой моногидроксиалкила с 1-6 атомами углерода являются группы гидроксиметила, 2-гидроксиэтила, 3-гидроксипропила или 4-гидроксибутила. Особенно предпочтительной является группа 2-гидроксиэтила. Производные м-фенилендиамина формулы (I) могут быть получены с помощью обычных органических методов. Здесь примером является ссылка на проведение исследований в рамках примеров осуществления. Некоторые производные м-фенилендиамина с родственной структурой в качестве цветообразующих компонентов уже известны их уровня техники. Так, например, в международной заявке на патент WO-A1-88/00042 описаны 5-алкокси-2,4-диамино-1-алкилбензолы в качестве цветообразующих компонентов, которые с проявляющим компонентом п-толуилендиамином обеспечивают интенсивное голубое окрашивание без красного или зеленого оттенка. Такие цветообразующие компоненты отличаются от предлагаемых теперь соединений формулы (I) тем, что аминогруппы являются незамещенными. Неожиданно предложенные теперь соединения с замещенными аминогруппами с проявляющими компонентами, как, например, п-толуилендиамин, способствуют интенсивному от красного до красно-фиолетового окрашиванию. Кроме того, в международной заявке на патент WO-A2-93/10744 описан способ окрашивания волос в кислой среде (рН меньше 7), согласно которому используют производные м-фенилендиамина с родственной структурой. Конкретно там описано соединение 2,4-ди-( Согласно изобретению предпочтительными могут быть производные м-фенилендиамина формулы (I), у которых заместители R3 и R4 одинаковые. Особенно предпочтительно заместители R3 и R4 означают группу 2-гидроксиэтила или группу 3-гидроксипропила. Совершенно предпочтительной является группа 2-гидроксиэтила. Кроме того, согласно изобретению могут быть предпочтительны производные м-фенилендиамина формулы (I), у которых заместитель R1 означает группу алкила с 1-4 атомами углерода. Особенно предпочтительными являются соединения формулы (I), у которых R1 означает группу метила. Кроме того, согласно изобретению могут быть предпочтительны производные м-фенилендиамина формулы (I), у которых R2 означает группу метила. В рамки предложенного изобретения включаются следующие соединения:
В рамках данного варианта осуществления особенно предпочтительными являются соединения формул (Ib) и (Ic). Особенно предпочтительными являются соединения 2,4-бис-[(2-гидроксиэтил)амино]-6-метиланизол и 2,4-бис-[(3-гидроксипропил)амино]-6-метиланизол. Согласно изобретению совершенно предпочтительным соединениям является 2,4-бис-[(2-гидроксиэтил)амино]-6-метиланизол. Кроме того, наряду с производными м-фенилендиамина формулы (I) предложенные согласно изобретению красящие средства могут содержать, по крайней мере, один проявляющий компонент. В качестве проявляющих компонентов обычно используют первичные ароматические амины с дополнительной, находящейся в пара- или орто-положении, свободной или замещенной гидроксигруппой или аминогруппой, производные диаминопиридина, гетероциклические гидразоны, производные 4-аминопиразолона, а также 2,4,5,6-тетрааминопиримидин и его производные. Согласно изобретению может быть предпочтительно использование в качестве проявляющих компонентов производного п-фенилендиамина или его физиологически приемлемой соли. Особенно предпочтительными являются производные п-фенилендиамина формулы (Е1)
причем G1 означает атом водорода, остаток алкила с 1-4 атомами углерода, остаток моногидроксиалкила с 1-4 атомами углерода, остаток полигидроксиалкила с 2-4 атомами углерода, остаток алкоксиалкила с 1-4 атомами углерода в части алкокси и в части алкила, остаток 4′-аминофенила или остаток алкила с 1-4 атомами углерода, который замещен азотсодержащей группой, остатком фенила или 4′-аминофенила; – G2 означает атом водорода, остаток алкила с 1-4 атомами углерода, остаток моногидроксиалкила с 1-4 атомами углерода, остаток полигидроксиалкила с 2-4 атомами углерода, остаток алкоксиалкила с 1-4 атомами углерода в части алкокси и в части алкила или остаток алкила с 1-4 атомами углерода, который замещен азотсодержащей группой; – G3 означает атом водорода, атом галогена, такой как атом хлора, брома, йода или фтора, остаток алкила с 1-4 атомами углерода, остаток моногидроксиалкила с 1-4 атомами углерода, остаток полигидроксиалкила с 2-4 атомами углерода, остаток гидроксиалкокси с 1-4 атомами углерода, остаток ацетиламиноалкокси с 1-4 атомами углерода, остаток мезиламиноалкокси с 1-4 атомами углерода или остаток карбамоиламиноалкокси с 1-4 атомами углерода; – G4 означает атом водорода, атом галогена или остаток алкила с 1-4 атомами углерода или – если G3 и G4 находятся в орто-положении друг к другу, то они могут вместе образовывать мостиковую Заместителями названных в предложенных согласно изобретению соединениях остатков алкила с 1-4 атомами углерода, являются, например, группы метила, этила, пропила, изопропила и бутила. Предпочтительными остатками алкила являются этил и метил. Согласно изобретению предпочтительными остатками алкокси с 1-4 атомами углерода являются, например, группа метокси или этокси. Далее, предпочтительными примерами группы гидроксиалкила с 1-4 атомами углерода могут быть названы группа гидроксиметила, 2-гидроксиэтила, 3-гидроксипропила или 4-гидроксибутила. Особенно предпочтительной является группа 2-гидроксиэтила. Особенно предпочтительной группой полигидроксиалкила с 2-4 атомами углерода является группа 1,2-дигидроксиэтила. Согласно изобретению атомами галогена являются, например, атомы фтора, хлора или брома, совершенно предпочтительными являются атомы хлора. Согласно изобретению следующие используемые понятия являются производными от приведенных здесь определений. Азотсодержащими группами формулы (Е1) являются, в частности, например, аминогруппы, моноалкиламиногруппы с 1-4 атомами углерода, диалкиламиногруппы с 1-4 атомами углерода, группы триалкиламмония с 1-4 атомами углерода, моногидроксиалкиламиногруппы с 1-4 атомами углерода, имидазолиний и аммоний. Особенно предпочтительные п-фенилендиамины формулы (Е1) выбирают из п-фенилендиамина, п-толуилендиамина, 2-хлор-п-фенилендиамина, 2,3-диметил-п-фенилендиамина, 2,6-диметил-п-фенилендиамина, 2,6-ди-этил-п-фенилендиамина, 2,5-диметил-п-фенилендиамина, N,N-диметил-п-фенилендиамина, N,N-диэтил-п-фенилендиамина, N,N-дипропил-п-фенилендиамина, 4-амино-3-метил-(N,N-диэтил)-анилина, N,N-бис-( Согласно изобретению совершенно предпочтительными производными п-фенилендиамина формулы (Е1) являются п-фенилендиамин, п-толуилендиамин, 2-( Согласно изобретению, кроме того, может быть предпочтительно использование в качестве проявляющих компонентов соединений, которые содержат, по крайней мере, два ароматических ядра, замещенных группами амино и/или гидроксила. Под двуядерными проявляющими компонентами, использование которых возможно в композиции красителя согласно изобретению, могут быть названы в частности соединения, которые соответствуют следующей формуле (Е2), а также их физиологически приемлемые соли: причем Z1 и Z2 независимо друг от друга означают остаток гидроксила или NH2, который, при необходимости, замещен остатком алкила с 1-4 атомами углерода, остатком гидроксиалкила с 1-4 атомами углерода и/или мостиком Y, или, при необходимости, является частью мостиковой кольцевой системы, – мостик Y означает группу алкилена с 1-14 атомами углерода, такую как, например, линейная или разветвленная цепь алкилена или кольцо алкилена, которые могут быть прерваны или окончены одной или несколькими азотсодержащими группами и/или одним или несколькими гетероатомами, такими как атомы кислорода, серы или азота, и, возможно, могут быть замещены одним или несколькими остатками гидроксила или алкокси с 1-8 атомами углерода, или означает прямую связь, – G5 и G6 независимо друг от друга означают атом водорода или галогена, остаток алкила с 1-4 атомами углерода, остаток моногидроксиалкила с 1-4 атомами углерода, остаток полигидроксиалкила с 2-4 атомами углерода, остаток аминоалкила с 1-4 атомами углерода или прямую связь с мостиком Y, – G7, G8, G9, G10, G11 и G12 независимо друг от друга означают атом водорода, прямую связь с мостиком Y или остаток алкила с 1-4 атомами углерода, при условии, что – соединения формулы (Е2) содержат только один мостик Y на молекулу и – соединения формулы (Е2) содержат, по крайней мере, одну аминогруппу, которая имеет, по крайней мере, один атом водорода. Согласно изобретению заместители, используемые в формуле (Е2), определяют аналогично вышесказанному. Предпочтительными двуядерными проявляющими компонентами формулы (Е2) являются, в частности, следующие: N,N’-бис-( Совершенно предпочтительными двуядерными проявляющими компонентами формулы (Е2) являются N,N’-бис-( Совершенно предпочтительным двуядерным проявляющим компонентом формулы (Е2) является бис-(2-гидрокси-5-аминофенил)-метан. Кроме того, согласно изобретению может быть предпочтительно использование в качестве проявляющих компонентов производного п-аминофенола или его физиологически приемлемых солей. Особенно предпочтительными являются производные п-аминофенола формулы (Е3)
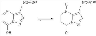
причем G13 означает атом водорода, атом галогена, остаток алкила с 1-4 атомами углерода, остаток моногидроксиалкила с 1-4 атомами углерода, остаток полигидроксиалкила с 2-4 атомами углерода, остаток алкоксиалкила с 1-4 атомами углерода в части алкокси и в части алкила, остаток аминоалкила с 1-4 атомами углерода, остаток гидроксиалкиламино с 1-4 атомами углерода, остаток гидроксиалкокси с 1-4 атомами углерода, гидроксиалкиламиноалкил с 1-4 атомами углерода в части гидроксиалкила и в части аминоалкила или остаток диалкиламино-алкила с 1-4 атомами углерода в части алкиламино и в части алкила, и – G14 означает атом водорода или атом галогена, остаток алкила с 1-4 атомами углерода, остаток моногидроксиалкила с 1-4 атомами углерода, остаток полигидроксиалкила с 2-4 атомами углерода, остаток алкоксиалкила с 1-4 атомами углерода в части алкокси и в части алкила, остаток аминоалкила с 1-4 атомами углерода или остаток цианоалкила с 1-4 атомами углерода, – G15 означает водород, остаток алкила с 1-4 атомами углерода, остаток моногидроксиалкила с 1-4 атомами углерода, остаток полигидроксиалкила с 2-4 атомами углерода, остаток фенила или остаток бензила и – G16 означает водород или атом галогена. Согласно изобретению заместители, используемые в формуле (Е3), определяют аналогично вышесказанному. Предпочтительными п-аминофенолами формулы (Е3) являются, в частности, п-аминофенол, N-метил-п-аминофенол, 4-амино-3-метилфенол, 4-амино-3-фторфенол, 2-гидроксиметиламино-4-аминофенол, 4-амино-3-гидроксиметилфенол, 4-амино-2-( Совершенно предпочтительными соединениями формулы (Е3) являются п-аминофенол, 4-амино-3-метилфенол, 4-амино-2-аминометилфенол, 4-амино-2-( Кроме того, проявляющие компоненты можно выбрать из о-аминофенола и его производных, таких как, например, 2-амино-4-метилфенол, 2-амино-5-метилфенол или 2-амино-4-хлорфенол. Кроме того, проявляющие компоненты можно выбрать из гетероциклических проявляющих компонентов, таких как, например, производные пиридина, пиримидина, пиразола, пиразолпиримидина и их физиологически приемлемых солей. Предпочтительными производными пиридина являются, в частности, соединения, которые описаны в заявках на патент Великобритании GB 1026978 и GB 1153196, такие как 2,5-диаминопиридин, 2-(4′-метоксифенил)-амино-3-аминопиридин, 2,3-диамино-6-метоксипиридин, 2-( Предпочтительными производными пиримидина являются в частности соединения, которые описаны в немецкой заявке на патент DE 2359399, японской заявке на патент JP 02019576 А2 или в международной заявке на патент WO 96/15765, такие как 2,4,5,6-тетрааминопиримидин, 4-гидрокси-2,5,6-триаминопиримидин, 2-гидрокси-4,5,6-триаминопиримидин, 2-диметиламино-4,5,6-триаминопиримидин, 2,4-дигидрокси-5,6-диаминопиримидин и 2,5,6-триаминопиримидин. Предпочтительными производными пиразола являются, в частности, соединения, которые описаны в немецких заявках на патент DE 3843892, DE 4133957 и международных заявках на патент WO 97/08969, WO 94/08970, европейской заявке на патент ЕР-740931 и немецкой заявке на патент DE 19543988, такие как 4,5-диамино-1-метилпиразол, 4,5-диамино-1-( Предпочтительными производными пиразолпиримидина являются, в частности, производные пиразол-[1,5-а]-пиримидина следующей формулы (Е4) и его таутомерные формы, поскольку существует таутомерное равновесие: причем G17, G18, G19 и G20 независимо друг от друга означают атом водорода, остаток алкила с 1-4 атомами углерода, остаток арила, остаток гидроксиалкила с 1-4 атомами углерода, остаток полигидроксиалкила с 2-4 атомами углерода, остаток алкоксиалкила с 1-4 атомами углерода в части алкокси и в части алкила, остаток аминоалкила с 1-4 атомами углерода, который, при необходимости, может быть защищен остатком ацетилмочевины или остатком сульфонила, остаток алкиламиноалкила с 1-4 атомами углерода в части алкиламино и в части алкила, остаток диалкиламиноалкила с 1-4 атомами углерода в части алкила и в части аминоалкила, причем остатки диалкила, при необходимости, образуют углеродный цикл или гетероцикл с 5 или 6 членами кольца, остаток гидроксиалкиламиноалкила с 1-4 атомами углерода в части гидроксиалкила и в части аминоалкила или дигидроксиалкиламиноалкил с1-4 атомами углерода в части гидроксиалкила и в части аминоалкила, – остатки Х независимо друг от друга означают атом водорода, остаток алкила с 1-4 атомами углерода, остаток арила, остаток гидроксиалкила с 1-4 атомами углерода, остаток полигидроксиалкила с 2-4 атомами углерода, остаток аминоалкила с 1-4 атомами углерода, остаток алкиламиноалкила с 1-4 атомами углерода в части алкиламино и в части алкила, остаток диалкиламиноалкила с 1-4 атомами углерода в части алкила и в части аминоалкила, причем остатки диалкила, при необходимости, образуют углеродный цикл или гетероцикл с 5 или 6 членами кольца, остаток гидроксиалкиламиноалкила с 1-4 атомами углерода в части гидроксиалкила и в части аминоалкила или дигидроксиалкиламиноалкил с 1-4 атомами углерода в части гидроксиалкила и в части аминоалкила, остаток амино, остаток алкиламино с 1-4 атомами углерода в части алкила или остаток дигидроксиалкиламино с 1-4 атомами углерода в части гидроксиалкила, атом галогена, группу карбоксильной кислоты или группу сульфоновой кислоты, – i имеет значение 0, 1, 2 или 3, – р имеет значение 0 или 1, – q имеет значение 0 или 1 и – n имеет значение 0 или 1, при условии, что – сумма р+q не равна 0, – если р+q равно 2, то n имеет значение 0 и группы NG17G18 и NG19G20 находятся в позициях (2,3); (5,6); (6,7); (3,5) или (3,7), – если р+q равно 1, то n имеет значение 1 и группы NG17G18 (или NG19G20) и группа ОН находятся в позициях (2,3); (5,6); (6,7); (3,5) или (3,7). Согласно изобретению заместители, используемые в формуле (Е4), определяются аналогично вышесказанному. Если пиразол-[1,5-а]-пиримидин вышеуказанной формулы (Е4) содержит гидроксигруппу в одной из позиций 2, 5 или 7 кольцевой системы, то существует таутомерное равновесие, которое проиллюстрировано, например, на следующей схеме: В качестве пиразол-[1,5-а]-пиримидинов вышеуказанной формулы (Е4) можно назвать, в частности, следующие: – пиразол-[1,5-а]-пиримидин-3,7-диамин; – 2,5-диметилпиразол-[1,5-а]-пиримидин-3,7-диамин; – пиразол-[1,5-а]-пиримидин-3,5-диамин; – 2,7-диметил-пиразол-[1,5-а]-пиримидин-3,5-диамин; – 3-аминопиразол-[1,5-а]-пиримидин-7-ол; – 3-аминопиразол-[1,5-а]-пиримидин-5-ол; – 2-(3-аминопиразол-[1,5-а]-пиримидин-7-иламино)-этанол; – 2-(7-аминопиразол-[1,5-а]-пиримидин-3-иламино)-этанол; – 2-[(3-аминопиразол-[1,5-а]-пиримидин-7-ил)-(2-гидроксиэтил)-амино]-этанол; – 2-[(7-аминопиразол-[1,5-а]-пиримидин-3-ил)-(2-гидроксиэтил)-амино]-этанол; – 5,6-диметилпиразол-[1,5-а]-пиримидин-3,7-диамин; – 2,6-диметилпиразол-[1,5-а]-пиримидин-3,7-диамин; – 3-амино-7-диметиламино-2,5-диметилпиразол-[1,5-а]-пиримидин, а также их физиологически приемлемые соли и их таутомерные формы, если существует таутомерное равновесие. Пиразол-[1,5-а]-пиримидины вышеуказанной формулы (Е4) можно получить, как описано в литературе, путем циклизации аминопиразола или гидразина. В следующем предпочтительном варианте осуществления предложенные согласно изобретению красащие средства содержат, по крайней мере, один дополнительный цветообразующий компонент. В качестве цветообразующих компонентов, как правило, используют производные м-фенилендиамина, нафтолы, резорцин и производные резорцина, пиразолоны и производные м-аминофенола. В качестве цветообразующих веществ пригодными являются, в частности, 1-нафтол, 1,5-, 2,7- и 1,7-дигидроксинафталин, 5-амино-2-метилфенол, м-аминофенол, резорцин, простой резорцинмонометиловый эфир, м-фенилендиамин, 1-фенил-3-метилпиразолон-5, 2,4-дихлор-3-аминофенол, 1,3-бис-(2′,4′-диаминофенокси)-пропан, 2-хлоррезорцин, 4-хлоррезорцин, 2-хлор-6-метил-3-аминофенол, 2-амино-3-гидроксипиридин, 2-метилрезорцин, 5-метилрезорцин и 2-метил-4-хлор-5-аминофенол. Согласно изобретению предпочтительными цветообразующими компонентами являются – м-аминофенол и его производные, такие как, например, 5-амино-2-метилфенол, N-циклопентил-3-аминофенол, 3-амино-2-хлор-6-метилфенол; 2-гидрокси-4-аминофеноксиэтанол, 2,6-диметил-3-аминофенол, 3-трифторацетиламино-2-хлор-6-метилфенол, 5-амино-4-хлор-2-метилфенол, 5-амино-4-метокси-2-метилфенол, 5-(2′-гидроксиэтил)-амино-2-метилфенол, 3-(диэтиламино)-фенол, N-циклопентил-3-аминофенол, 1,3-дигидрокси-5-(метиламино)-бензол, 3-этиламино-4-метилфенол и 2,4-дихлор-3-аминофенол, – о-аминофенол и его производные, – м-диаминобензол и его производные, такие как, например, 2,4-диаминофеноксиэтанол, 1,3-бис-(2′,4′-диаминофенокси)-пропан, 1-метокси-2-амино-4-(2′-гидроксиэтиламино)бензол, 1,3-бис-(2′,4′-диаминофенил)-пропан, 2,6-бис-(2′-гидроксиэтиламино)-1-метилбензол и 1-амино-3-бис-(2′-гидроксиэтил)-аминобензол, – о-диаминобензол и его производные, такие как, например, 3,4-диаминобензойная кислота и 2,3-диамино-1-метилбензол, – производные ди- или тригидроксибензола, такие как, например, резорцин, простой резорцинмонометиловый эфир, 2-метилрезорцин, 5-метилрезорцин, 2,5-диметилрезорцин, 2-хлоррезорцин, 4-хлоррезорцин, пирогаллол и 1,2,4-тригидроксибензол, – производные пиридина, такие как, например, 2,6-дигидроксипиридин, 2-амино-3-гидроксипиридин, 2-амино-5-хлор-3-гидроксипиридин, 3-амино-2-метиламино-6-метоксипиридин, 2,6-дигидрокси-3,4-диметилпиридин, 2,6-дигидрокси-4-метилпиридин, 2,6-диаминопиридин, 2,3-диамино-6-метоксипиридин и 3,5-диамино-2,6-диметоксипиридин, производные нафталина, такие как, например, 1-нафтол, 2-метил-1-нафтол, 2-гидроксиметил-1-нафтол, 2-гидроксиэтил-1-нафтол, 1,5-дигидроксинафталин, 1,6-дигидроксинафталин, 1,7-дигидроксинафталин, 1,8-дигидроксинафталин, 2,7-дигидроксинафталин и 2,3-дигидроксинафталин, – производные морфолина, такие как, например, 6-гидроксибензоморфолин и 6-аминобензоморфолин, – производные хиноксалина, такие как, например, 6-метил-1,2,3,4-тетрагидрохиноксалин, – производные пиразола, такие как, например, 1-фенил-3-метилпиразол-5-он, – производные индола, такие как, например, 4-гидроксииндол, 6-гидроксииндол и 7-гидроксииндол, – производные пиримидина, такие как, например, 4,6-диаминопиримидин, 4-амино-2,6-дигидроксипиримидин, 2,4-диамино-6-гидроксипиримидин, 2,4,6-тригидроксипиримидин, 2-амино-4-метилпиримидин, 2-амино-4-гидрокси-6-метилпиримидин и 4,6-дигидрокси-2-метилпиримидин, или – производные метилендиоксибензола, такие как, например, 1-гидрокси-3,4-метилендиоксибензол, 1-амино-3,4-метилендиоксибензол и 1-(2′-гидроксиэтил)-амино-3,4-метилендиоксибензол. Согласно изобретению особенно предпочтительными цветообразующими компонентами являются 1-нафтол, 1,5-, 2,7- и 1,7-дигидроксинафталин, 3-аминофенол, 5-амино-2-метилфенол, 2-амино-3-гидроксипиридин, резорцин, 4-хлоррезорцин, 2-хлор-6-метил-3-аминофенол, 2-метилрезорцин, 5-метилрезорцин, 2,5-диметилрезорцин и 2,6-дигидрокси-3,4-диметилпиридин. Согласно изобретению особенно подходящими оказались следующие комбинации цветообразователя/проявителя: – 2,4-бис-[(2-гидроксиэтил)амино]-6-метиланизол/п-толуилендиамин, – 2,4-бис-[(2-гидроксиэтил)амино]-6-метиланизол/1-(2-гидроксиэтил-2,5-диаминобензол, – 2,4-бис-[(2-гидроксиэтил)амино]-6-метиланизол/бис-(2-гидрокси-5-аминофенил)метан, а также – 2,4-бис-[(2-гидроксиэтил)амино]-6-метиланизол/2,4,5,6-тетраминопиримидин. Предложенные согласно изобретению средства для окрашивания волос содержат как проявляющие компоненты, так и цветообразующие компоненты предпочтительно в количестве от 0,005 до 20 мас.%, предпочтительно от 0,1 до 5 мас.%, соответственно, в расчете на все окислительное красящее средство. При этом проявляющие и цветообразующие компоненты используют обычно примерно в эквимольных количествах друг к другу. Если использование эквимольных количеств оказалось целесообразным, то определенный избыток отдельных полупродуктов окислительных красителей не является недостатком, так что проявляющие и цветообразующие компоненты могут присутствовать в молярном отношении от 1:0,5 до 1:3, в частности 1:1-1:2. В следующем варианте осуществления данного изобретения красящие средства содержат, по крайней мере, один полупродукт красителей, аналогичных натуральным. В качестве полупродуктов красителей, аналогичных натуральным, предпочтительно используют такие индолы и индолины, которые имеют, по крайней мере, одну гидроксигруппу или аминогруппу, предпочтительно в качестве заместителя у шестого атома кольца. Данные группы могут иметь следующие заместители, например, путем простой или сложной этерификации гидроксигруппы или алкилирования аминогруппы. Во втором предпочтительном варианте осуществления красящие средства содержат, по крайней мере, одно производное индола и/или индолина. Особенно хорошо пригодными в качестве полупродукта аналогичных натуральным красящих веществ являются производные 5,6-дигидроксииндолина формулы (IIa) в которой независимо друг от друга – R1 означает водород, алкильную группу с 1-4 атомами углерода или гидроксиалкильную группу с 1-4 атомами углерода, – R2 означает водород или группу -СООН, причем группа -СООН также может находиться в виде соли с физиологически приемлемым катионом, – R3 означает водород или алкильную группу с 1-4 атомами углерода, – R4 означает водород, алкильную группу с 1-4 атомами углерода или группу -CO-R6, в которой R6 означает алкильную группу с 1-4 атомами углерода, и – R5 означает названные под R4 группы, а также физиологически приемлемые соли этих соединений с органическими или неорганическими кислотами. Особенно предпочтительными производными индолина являются 5,6-дигидроксииндолин, N-метил-5,6-дигидроксииндолин, N-этил-5,6-дигидроксииндолин, N-пропил-5,6-дигидроксииндолин, N-бутил-5,6-дигидроксииндолин, 5,6-дигидроксииндолин-2-карбоновая кислота, а также 6-гидроксииндолин, 6-аминоиндолин и 4-аминоиндолин. Среди данной группы особенно выделяют N-метил-5,6-дигидроксииндолин, N-этил-5,6-дигидроксииндолин, N-пропил-5,6-дигидроксииндолин, N-бутил-5,6-дигидроксииндолин и, в частности 5,6-дигидроксииндолин. Кроме того, замечательно подходящими в качестве полупродукта аналогичных натуральным красящих веществ для волос являются производные 5,6-дигидроксииндола формулы (IIb) в которой независимо друг от друга – R1 означает водород, алкильную группу с 1-4 атомами углерода или гидроксиалкильную группу с 1-4 атомами углерода, – R2 означает водород или группу -СООН, причем группа -СООН также может находиться в виде соли с физиологически приемлемым катионом, – R3 означает водород или алкильную группу с 1-4 атомами углерода, – R4 означает водород, алкильную группу с 1-4 атомами углерода или группу -CO-R6, в которой R6 означает алкильную группу с 1-4 атомами углерода, и – R5 означает названные под R4 группы, – а также физиологически приемлемые соли этих соединений с органическими или неорганическими кислотами. Особенно предпочтительными производными индола являются 5,6-дигидроксииндол, N-метил-5,6-дигидроксииндол, N-этил-5,6-дигидроксииндол, N-пропил-5,6-дигидроксииндол, N-бутил-5,6-дигидроксииндол, 5,6-дигидроксииндол-2-карбоновая кислота, 6-гидрокси индол, 6-аминоиндол и 4-аминоиндол. Среди данной группы особенно выделяют N-метил-5,6-дигидроксииндол, N-этил-5,6-дигидроксииндол, N-пропил-5,6-дигидроксииндол, N-бутил-5,6-дигидроксииндол, а также, в частности, 5,6-дигидроксииндол. В предложенных согласно изобретению красящих средствах производные индолина и индола могут быть использованы как в виде свободных оснований, так и в форме своих физиологически приемлемых солей с неорганическими или органическими кислотами, например гидрохлоридов, сульфатов или гидробромидов. Такие красящие средства содержат обычно производные индола или индолина в количествах от 0,05 до 10 мас.%, предпочтительно от 0,2 до 5 мас.%. В следующем варианте осуществления согласно изобретению может быть предпочтительно использование производного индолина или индола в красящих средствах в комбинации с, по крайней мере, одной аминокислотой или олигопептидом. Аминокислотой является предпочтительно Наряду с предложенными согласно изобретению производными м-фенилендиамина формулы (I), предложенные согласно изобретению красящие средства в следующем предпочтительном варианте осуществления данного изобретения могут содержать один или несколько прямых красителей для нюансирования. Прямыми красителями являются обычные нитрофенилендиамины, нитроаминофенолы, азокрасители, антрахиноны или индофенолы. Предпочтительными прямыми красителями являются соединения, известные под международными названиями или торговыми названиями: НС желтый 2, НС желтый 4, НС желтый 5, НС желтый 6, НС желтый 12, кислотный желтый 1, кислотный желтый 10, кислотный желтый 23, кислотный желтый 36, НС оранжевый 1, дисперсный оранжевый 3, кислотный оранжевый 7, НС красный 1, НС красный 3, НС красный 10, НС красный 11, НС красный 13, кислотный красный 33, кислотный красный 52, НС красный BN, пигмент красный 57:1, НС синий 2, НС синий 12, дисперсный синий 3, кислотный синий 7, кислотный зеленый 50, НС фиолетовый 1, дисперсный фиолетовый 1, дисперсный фиолетовый 4, кислотный фиолетовый 43, дисперсный черный 9, кислотный черный 1 и кислотный черный 52, а также 1,4-диамино-2-нитробензол, 2-амино-4-нитрофенол, 1,4-бис-( Кроме того, предложенные согласно изобретению средства могут содержать катионные прямые красители. При этом особенно предпочтительными являются (a) катионные трифенилметановые красители, как, например, основной синий 7, основной синий 26, основной фиолетовый 2 и основной фиолетовый 14, (b) ароматические системы, которые замещены четвертичной группой азота, как, например, основной желтый 57, основной красный 76, основной синий 99, основной коричневый 16 и основной коричневый 17, а также (c) прямые красители, которые содержат гетероцикл, имеющий, по крайней мере, один четвертичный атом азота, такие как, например, указанные в европейской заявке на патент ЕР-А2-998908 в пп.6-11. Предпочтительными катионными прямыми красителями группы (с) являются, в частности, следующие соединения: Соединения формул (DZ1), (DZ3) и (DZ5), которые также известны под названиями основной желтый 87, основной оранжевый 31, основной красный 51, являются совершенно предпочтительными катионными прямыми красителями группы (с). Катионные прямые красители, продаваемые под товарным знаком Arianor®, также согласно изобретению являются совершенно предпочтительными катионными прямыми красителями. Предложенные согласно изобретению средства согласно данной форме осуществления содержат прямые красители предпочтительно в количестве от 0,01 до 20 мас.%, в расчете на все красящее средство. Кроме того, предложенные согласно изобретению композиции также могут содержать красящие вещества природного происхождения, такие как содержатся, например, в хне красной, хне нейтральной, хне черной, цветках ромашки, сандаловом дереве, черном чае, коре крушины, шалфее, синем сандале, корне марены, катеху, дереве седр и корне альканны. Нет необходимости в том, чтобы полупродукты окислительных красителей или прямые красители являлись, соответственно, единообразными соединениями. Напротив, предложенные согласно изобретению средства для окрашивания волос, ограниченные способом получения для отдельных красителей, могут содержать дополнительно в определенных количествах другие компоненты, если они не оказывают неблагоприятное влияние на результат окрашивания или могут быть исключены по другим причинам, например токсикологическим. Кроме того, красители, применяемые в предложенных согласно изобретению красящих средствах и оттеночных средствах для волос, описаны в монографии Ch. Zviak. Yhe Science of Hair Care., глава 7 (стр.248-250; прямые красители), а также глава 8 (стр.264-267; полупродукты окислительных красителей), выпущенной в виде тома 7 серии “Dermatology” (производитель: Ch., Culnan и Maibach), издательство Marcel Dekker Inc., Нью-Йорк, Базель, 1986, а также “Europäische Inventar der Kosmetik-Rohstoffe”, изданная европейским сообществом, доступная в форме дискет Федерального союза немецких промышленных и коммерческих предприятий для лекарственных средств, рациональных товаров и средств личной гигиены (зарегистрированный союз, Мангейм). Кроме того, предложенные согласно изобретению красящие средства могут содержать все известные для таких композиций активные вещества, вспомогательные вещества и добавки. В большинстве случае предложенные согласно изобретению красящие средства содержат, по крайней мере, одно поверхностно-активное вещество, причем в принципе подходящими являются как анионные, так и цвиттер-ионные, амфолитические, неионные и катионные поверхностно-активные вещества. Однако в многих случаях оказалось предпочтительно выбрать поверхностно-активные вещества из анионных, цвиттер-ионных или неионных поверхностно-активных веществ. В качестве анионных поверхностно-активных веществ в предложенных согласно изобретению композициях подходящими являются все пригодные для использования на человеческом теле анионные поверхностно-активные вещества. Такими анионными поверхностно-активными веществами являются обозначаемые как водорастворимые, анионные группы, такие как, например, карбоксилатная группа, сульфатная группа, сульфонатная группа или фосфатная группа, и липофильная алкильная группа с примерно 10-22 атомами углерода. Дополнительно в молекуле могут содержаться группы простых гликолевых или полигликолевых эфиров, группы сложных эфиров, группы простых эфиров и амидные группы, а также группы гидроксила. Примеры подходящих анионных поверхностно-активных веществ представлены, соответственно, в форме натриевых, калиевых и аммониевых, а также моноалканоламониевых, диалканоламониевых и триалканоламониевых солей с 2 или 3 атомами углерода в алканольной группе, – линейные и разветвленные жирные кислоты с 10-22 атомами углерода (мыла), – сложные эфиры карбоновых кислот формулы R-O-(CH2-CH2O)x-CH2-СООН, в которой R означает линейную алкильную группу с 10-22 атомами углерода и х равно 0 или 1-16, – ацилсаркозиды с 10-18 атомами углерода в ацильной группе, – ацилтауриды с 10-18 атомами углерода в ацильной группе, – ацилизетионаты с 10-18 атомами углерода в ацильной группе, – сложный моноалкиловый и диалкиловый эфир сульфоянтарной кислоты с 8-18 атомами углерода в алкильной группе и сложный моноалкилполиоксиэтиловый эфир сульфоянтарной кислоты с 8-18 атомами углерода в алкильной группе и 1-6 группами оксиэтила, – линейные алкансульфонаты с 12-18 атомами углерода, – линейные альфа-олефинсульфонаты с 12-18 атомами углерода, – сложный метиловый эфир альфа-сульфожирной кислоты жирных кислот с 12-18 атомами углерода, – алкилсульфаты и алкилполигликольэфирсульфаты формулы R-O(СН2-СН2O)х-SO3Н, в которой R предпочтительно означает линейную алкильную группу с 10-18 атомами углерода и х равно 0 или 1-12, – смеси поверхностно-активных гидроксисульфонатов согласно немецкой заявке на патент DE-A-3725030, – сульфатированные простые гидроксиалкилполиэтиленовые эфиры и/или гидроксиалкиленпропиленгликолевые эфиры согласно немецкой заявке на патент DE-A-3723354, – сульфонаты ненасыщенных жирных кислот с 12-24 атомами углерода и 1-6 двойными связями согласно немецкой заявке на патент DE-A-3926344, – сложный эфир винной кислоты и лимонной кислоты со спиртами, представляющие собой продукты присоединения примерно 2-15 молекул этиленоксида и/или пропиленоксида к жирным спиртам с 8 – 22 атомами углерода. Предпочтительными анионными поверхностно-активными веществами являются алкилсульфаты, алкилполигликольэфирсульфаты и карбоновые кислоты простых эфиров, содержащие 10-18 атомов углерода в алкильной группе и до 12 групп гликолевых эфиров в молекуле, а также, в частности, соли насыщенных и, в частности, ненасыщенных карбоновых кислот с 8-22 атомами углерода, такие как олеиновая кислота, стеариновая кислота, изостеариновая кислота и пальмитиновая кислота. Неионные поверхностно-активные вещества содержат в качестве гидрофильной группы, например, группу полиолов, группу простых полиалкиленгликолевых эфиров или комбинацию из группы полиолов и группы простых полигликолевых эфиров. Такими соединениями являются, например, – продукты присоединения от 2 до 30 моль этиленоксида и/или 0-5 моль пропиленоксида к линейным или разветвленным жирным спиртам с 8-22 атомами углерода, к жирным кислотам с 12-22 атомами углерода и к алкилфенолам с 8 -15 атомами углерода в алкильной группе, – сложные моно- и диэфиры жирных кислот с 12-30 атомами углерода из продуктов присоединения от 1 до 30 моль этиленоксида к глицерину, – продукты присоединения от 5 до 60 моль этиленоксида к касторовому маслу и отвержденному касторовому маслу. Предпочтительными неионными поверхностно-активными веществами являются алкилполигликозиды общей формулы R1O-(Z)x. Такие соединения отличаются следующими параметрами. Остаток алкила R1 содержит 6-22 атомов углерода и может быть как линейным, так и разветвленным. Предпочтительными являются первичные линейные и в положении 2 разветвленные метилом алифатические остатки. Такими остатками алкила являются, например, 1-октил, 1-децил, 1-лаурил, 1-миристил, 1-цетил и 1-стеарил. Особенно предпочтительными являются 1-октил, 1-децил, 1-лаурил, 1-миристил. При использовании так называемых оксо-спиртов в качестве исходных веществ преобладают соединения с нечетным количеством атомов углерода в алкильной цепи. Используемые согласно изобретению алкилполигликозиды могут содержать, например, только определенный остаток R1. Однако обычно такие соединения получают из природных жиров и масел или минеральных масел. В этом случае в качестве остатков алкила R1 используют смеси соответствующих исходных соединений или соответствующих переработанных таких соединений. Особенно предпочтительными являются такие алкилполигликозиды, у которых R1 состоит – в основном из групп алкила с 8 и 10 атомами углерода, – в основном из групп алкила с 12 и 14 атомами углерода, – в основном из групп алкила с 8 и 16 атомами углерода, – в основном из групп алкила с 12 и 16 атомами углерода. В качестве сахарного элемента Z возможно использование любых моносахаридов или олигосахаридов. Обычно используют сахары с 5 или 6 атомами углерода, а также соответствующие олигосахариды. Такими сахарами являются, например, глюкоза, фруктоза, галактоза, арабиноза, рибоза, ксилоза, ликсоза, аллоза, альтроза, манноза, гулоза, идоза, талоза и сукроза. Предпочтительными сахарными элементами являются глюкоза, фруктоза, галактоза, арабиноза и сукроза; особенно предпочтительной является глюкоза. Используемые согласно данному изобретению алкилполигликозиды содержат в среднем от 1,1 до 5 сахарных элементов. Алкилполигликозиды с значениями х от 1,1 до 1,6 являются предпочтительными. Совершенно предпочтительными являются алкилгликозиды, у которых х равен 1,1-1,4. Алкилгликозиды наряду со своим поверхностно-активным действием также улучшают фиксацию ароматических компонентов на волосах. Таким образом, специалисты в данной области для получения желаемого действия ароматического масла на волосы путем продолжительной обработки волос предпочтительно используют этот класс веществ в качестве других составляющих предложенных согласно изобретению композиций. Согласно изобретению также возможно использование алкоксилированных гомологов названных алкилполигликозидов. Данные гомологи могут содержать в среднем до 10 элементов этиленоксида и/или пропиленоксида на один элемент алкилгликозида. Далее, возможно использование, в частности, в качестве со-поверхностно-активных веществ цвиттер-ионных поверхностно-активных веществ. Под цвиттер-ионными поверхностно-активными веществами понимают такие поверхностно-активные соединения, которые в молекуле имеют, по крайней мере, одну группу четвертичного аммония и, по крайней мере, одну группу -СОО(-) или -SO3 Также, в частности, в качестве со-поверхностно-активных веществ подходящими являются амфолитические поверхностно-активные вещества. Под амфолитическими поверхностно-активными веществами понимают такие поверхностно-активные соединения, которые кроме алкильной группы с 8-18 атомами углерода или группы ацила содержат в молекуле, по крайней мере, одну свободную аминогруппу и, по крайней мере, одну группу -СООН или -SO3Н и способны к образованию внутренних солей. Подходящими амфолитическими поверхностно-активными веществами являются, например, N-алкилглицины, N-алкилпропионовые кислоты, N-алкиламиномасляные кислоты, N-алкилиминодипропионовые кислоты, N-гидроксиэтил-N-алкиламидопропилглицины, N-алкилтаурины, N-алкилсаркозины, 2-алкиламинопропионовые кислоты и алкиламиноуксусные кислоты, имеющие, соответственно, около 8-18 атомов углерода в алкильной группе. Особенно предпочтительными амфолитическими поверхностно-активными веществами являются N-кокосалкиламинопропионат, кокосациламиноэтиламинопропионат и ацилсаркозин с 12-18 атомами углерода. Согласно изобретению в качестве катионных поверхностно-активных веществ используют, в частности, тип соединений четвертичных аминов, четвертичных эфиров и амидоамины. Предпочтительными соединениями четвертичных аминов являются галогениды аммония, в частности хлориды и бромиды, такие как хлориды алкилтриметиламмония, хлориды диалкилдиметиламмония и хлориды триалкилметиламмония, например хлорид цетилтриметиламмония, хлорид стеарилтриметиламмония, хлорид дистеарилдиметиламмония, хлорид лаурилдиметиламмония, хлорид лаурилдиметилбензиламмония и хлорид трицетилметиламмония, а также соединения имидазолия, известные под названием кватерний-27 и кватерний-83 (INCI). Длинные алкильные цепи вышеназванных поверхностно-активных веществ имеют предпочтительно 10-18 атомов углерода. При четвертичных эфирах речь идет об известных веществах, которые содержат как, по крайней мере, одну эфирную группу, так и, по крайней мере, одну четвертичную группу аммония в качестве структурного элемента. Предпочтительными четвертичными эфирами являются кватернированные эфирные соли жирных кислот с триэтаноламином, кватернированные эфирные соли жирных кислот с диэтанолалкиламинами и квартернированные эфирные соли жирных кислот с 1,2-дигидроксипропилдиалкиламинами. Такие продукты выпускаются, например, под торговыми марками Stepantex®, Dehyquart® и Armocare®. Такими четвертичными эфирами являются, например, продукты Armocare® VGH-70, хлорид N,N-бис(2-пальмитоилоксиэтил)диметиламмония, а также Dehyquart® F-75 и Dehyquart® AU-35. Алкиламидоамины получают обычно амидированием натуральных или синтетических жирных кислот и производных жирных кислот с диалкиламиноаминами. Согласно изобретению особенно подходящее соединение из этой группы представляет стеарамидопропил-диметиламин, коммерчески доступный под названием Tegoamid® S18. Следующие, используемые согласно изобретению катионные поверхностно-активные вещества представляют кватернированные гидролизаты протеина. Согласно изобретению также подходящими являются катионные силиконовые масла, такие как, например, коммерчески доступные продукты Q2-7224 (производитель: Dow Corning, стабилизированный триметилсилиламидиметикон), эмульсия Dow Corning 929 (содержит гидроксиламино-модифицированный силикон, который также обозначается как амидиметикон), SM-2059 (производитель: General Electric), SLM-55067 (производитель: Wacker), а также Abil®-Quat 3270 и 3272 (производитель: Th. Goldschmidt; дичетвертичные полидиметилсилоксаны, кватерний-80). Четвертичным сахарным производным, используемым в качестве катионного поверхностно-активного вещества является, например, торговый продукт Glucquat®100, согласно номенклатуре INCI “лаурил метил глюцет-10 гидроксипропил димониум хлорид”. Под используемыми в качестве поверхностно-активных веществ соединениями с алкильными группами понимают, соответственно, однородные вещества. Однако, как правило, предпочтительно при получении этих веществ исходными продуктами является натуральное растительное или животное сырье, так что получают смесь веществ с алкильными цепями различной длины, зависящей от соответствующего сырья. При поверхностно-активных веществах, представляющих продукты присоединения этиленоксида и/или пропиленоксида к жирным спиртам или производные таких продуктов присоединения, возможно использование как продуктов с Кроме того, предложенные согласно изобретению красящие средства могут содержать дополнительные активные вещества, вспомогательные вещества и добавки, такие как, например, – не ионные полимеры, такие как, например, сополимеры винилпирролидона/винилакрилата, сополимеры поливинилпирролидона и винилпирролидона/винилацетата и полисилоксаны, – катионные полимеры, такие как кватернированный простой эфир целлюлозы, полисилоксаны с четвертичными группами, полимеры хлорида диметилдиаллиламмония, сополимеры хлорида акриламид-диметилдиаллиламмония, диэтилсульфатом кватернированные сополимеры диметиламиноэтилметакрилата/винилпирролидона, сополимеры винил-пирролидона-метохлорида иимдазолиния и кватернированный поливиниловый спирт, – цвиттер-ионные и амфотерные полимеры, такие как, например, сополимеры акриламидопропила-хлорида триметиламмония/акрилата и сополимеры октилакриламида/метилметакрилата/трет-бутиламиноэтилметакрилата/2-гидроксипропилметакрилата, – анионные полимеры, такие как, например, полиакриловые кислоты, сшитые полиакриловые кислоты, сополимеры винилацетата/кротоновой кислоты, сополимеры винилпирролидона/винилдакрилата, сополимеры винилацетата/бутилмалеата/изоборнилакрилата, сополимеры простого метилвинилового эфира/ангидрида малеиновой кислоты и тройные сополимеры акриловой кислоты/этилакрилата/N-трет-бутилакриламида, – загустители, такие как агар-агар, гуаровая смола, альгинаты, ксантановая смола, гуммиарабик, камедь стеркулии жгучей, рожковая мука, камедь льняного семени, дексатраны, производные целлюлозы, например метилцеллюлоза, гидроксиалкилцеллюлоза и карбонилметилцеллюлоза, фракции крахмалов и производные, такие как амилоза, амилопектин и декстрины, глины, такие как, например, бентонит или полностью синтетические гидроколлоиды, такие как, например, поливиниловый спирт, – структурообразователи, такие как малеиновая кислота и молочная кислота, – соединения для кондиционирования волос, такие как фосфолипиды, например, соевый лецитин, яичный лецитин и кефалины, – протеиновые гидролизаты, в частности гидролизаты эластина, коллагена, кератина, молочного белка, соевого протеина и пшеничного протеина, продукты их конденсации с жирными кислотами, а также кватернированные протеиновые гидролизаты, – парфюмерные масла, диметилизосорбит и циклодекстрины, – растворители и вещества, способствующие растворению, такие как этанол, изопропанол, этиленгликоль, пропиленгликоль, глицерин и диэтиленгликоль, – активные вещества, улучшающие структуру волос, в частности моносахариды, дисахариды и олигосахариды, такие как, например, глюкоза, галактоза, фруктоза, фруктовый сахар и лактоза, – кватернированные амины, такие как метил-1-алкиламидоэтил-2-алкилимидазолиний-метосульфат, – антивспениватели, такие как силикон, – красители для окрашивания средств, – активные вещества против отслаивания, такие как пироктон оламин, цинк омадин и климбазол, – светостабилизаторы, в частности производные бензофенона, производные коричной кислоты и триазины, – вещества для регулирования значения рН, такие как, например, обычные кислоты, в частности пищевые кислоты и основания, – активные вещества, такие как аллантоин, пирролидонкарбоновые кислоты и их соли, а также бисаболол, – витамины, провитамины и первичные стадии витаминов, в частности, групп А, В3, В5, B6, С, Е, F и Н, – растительные экстракты из зеленого чая, коры дуба, крапивы, гамамелиса, хмеля, ромашки, корня репейника, хвоща, боярышника, цветков липы, миндаля, алоэ вера, игл ели, конского каштана, сандалового дерева, можжевельника, кокоса, манго, абрикоса, лимона, пшеницы, киви, дыни, апельсина, грейпфрута, шалфея, розмарина, березы, мальвы, сердечника лугового, тимьяна обыкновенного, тысячелистника, тимьяна, мелиссы, стальника полевого, мать-и-мачехи, алтея аптечного, меристемы, женьшеня и имбирного корня, – холестерин, – регуляторы консистенции, такие как сложные эфиры сахара, сложные полиоловые эфиры или простые полиолалкиловые эфиры, – жиры и воски, такие как спермацет, пчелиный воск, горный воск и парафины, – алканоламиды жирных кислот, – комплексообразователи, такие как этилендиаминтетрауксусная кислота (ЭДТУ), нитрилотриуксусная кислота (NTA), – набухающие и проникающие вещества, такие как глицерин, простой пропиленгликольмоноэтиловый эфир, карбонаты, гидрокарбонаты, гуанидины, мочевины, а также первичные, вторичные и третичные фосфаты, – вещества, обуславливающие помутнение, такие как латекс, сополимеры стирола/ПВП и стирола/акриламида, – агенты для перламутрового блеска, такие как этиленгликольмоностеарат и этиленгликольдистеарат, а также ПЭГ-3-дистеарат, – пигменты, – стабилизаторы для перекиси водорода и других окислителей, – вспенивающие агенты, такие как смеси пропана-бутана, N2O, простой диметиловый эфир, CO2 и воздух, – антиокислители. Другие необязательные компоненты, а также используемые количества этих компонентов описаны в специальных справочиниках, известных специалисту в данной области, например, B.Kh.Schrader, Grundlagen und Rezepturen der Kosmetika, 2. Auflage, Hüthig Buch Varlag, Heidelberg, 1989. Предложенные согласно изобретению средства содержат полупродукты красителей предпочтительно в подходящем водном, спиртовом или водно-спиртовом носителе. С целью окрашивания волос используются такие носители, как, например, кремы, эмульсии, гели, или также содержащие поверхностно-активные вещества пенящиеся растворы, как, например, шампуни, пенные аэрозоли или другие композиции, которые являются подходящими для применения на волосах. Однако также возможно введение полупродуктов красителей в порошкообразные композиции, а также в композиции в виде таблеток. Под водно-спиртовыми растворами в рамках предложенного изобретения понимают водные растворы, содержащие от 3 до 70 мас.% спирта с 1-4 атомами углерода, в частности этанол или изопропанол. Предложенные согласно изобретению средства могут содержать дополнительно следующие органические растворители, такие как, например, метоксибутанол, бензиловый спирт, этилдигликоль или 1,2-пропиленгликоль. Причем предпочтительными являются все водорастворимые органические растворители. Непосредственное окислительное окрашивание волокон может происходить в принципе с кислородом воздуха. Однако предпочтительно использование химического окислителя, особенно в том случае, если наряду с окрашиванием желателен осветляющий эффект на человеческие волосы. В качестве окислителя используют персульфаты, хлориты и, в частности, перекись водорода или их продукты присоединения к мочевине, меламину, а также борату натрия. Однако согласно изобретению окислительный краситель также может быть нанесен на волосы вместе с катализатором, который активирует окисление полупродуктов красителей, например, посредством кислорода воздуха. Такими катализаторами являются, например, ионы металлов, иодиды, хиноны или определенные ферменты. Подходящими ионами металлов являются, например, Zn2+, Cu2+, Fe2+, Fe3+, Mn2+, Mn4+, Li+, Mg2+, Ca2+ и Al3+. Причем особенно подходящими являются Zn2+, Cu2+ и Mn2+. В принципе, ионы металлов могут использоваться в форме любой, физиологически приемлемой соли или в форме комплексного соединения. Предпочтительными солями являются ацетаты, сульфаты, галогениды, лактаты и тартраты. Благодаря использованию данных солей металлов возможно как ускорение образования цвета, так и целенаправленное влияние на цветовые нюансы. Подходящими ферментами являются, например, пероксидазы, которые могут отчетливо усиливать действие небольших количеств перекиси водорода. Далее, согласно изобретению являются подходящими такие ферменты, которые непосредственно окисляют окислительные полупродукты красителей с помощью кислорода воздуха, как, например, лакказы, или производят небольшие количества перекиси водорода in situ и таким образом биокаталитически активируют окисление полупродуктов красителей. Особенно подходящими катализаторами для окисления полупродуктов красителей являются так называемые оксидоредуктазы с 2 электронами в комбинации со специальными субстратами, например, следующие: – пираноза-оксидаза и, например, D-глюкоза или галактоза, – глюкоза-оксидаза и D-глюкоза, – глицерин-оксидаза и глицерин, – пируват-оксидаза и бензвиноградная кислота или ее соли, – спирт-оксидаза и спирт (МеОН, EtOH), – лактат-оксидаза и молочная кислота и ее соли, – тирозиназа-оксидаза и тирозин, – уриказа и мочевая кислота или ее соли, – холиноксидаза и холин, – аминокислота-оксидаза и аминокислоты. Целесообразно получение непосредственного красителя для волос прямо перед применением путем смешивания композиции окислителя с композицией, содержащей полупродукты красителей. Полученный при этом, готовый к применению препарат для окраски волос предпочтительно должен иметь значение рН в пределах от 6 до 12. Особенно предпочтительно применение красителя для волос в слабощелочной окружающей среде. Согласно изобретению может быть особенно предпочтительно, если предложенные согласно изобретению красители к моменту применения имеют щелочное значение рН. Особенно предпочтительным является рН между 9 и 12. Температура применения может находиться в пределах между 15 и 40°С. После окончания времени воздействия от 5 до 45 минут краситель смывают с окрашенных волос. Дополнительная промывка шампунем не нужна, если используют насыщенный поверхностно-активными веществами носитель, например красящий шампунь. В частности, при трудно окрашиваемых волосах возможно нанесение на волосы композиции с полупродуктами красителей, но без предварительного смешивания с окислительными компонентами. Затем после окончания времени воздействия от 20 до 30 минут (при необходимости после дополнительно промывания) наносят окислительные компоненты. Затем после окончания дополнительного времени воздействия от 10 до 20 минут смывают и при желании дополнительно моют шампунем. При данной форме применения согласно первому варианту, при котором предварительное нанесение красящих полупродуктов должно вызывать лучшее проникновение в волосы, соответствующее средство имеет значение рН около 4-7. Согласно второму варианту вначале добиваются окисления кислородом воздуха, при этом применяемое средство предпочтительно имеет значение рН от 7 до 10. При последующем ускоряющем дополнительном окислении может быть предпочтительно использование подкисляющих растворов пероксидных сульфатов в качестве окислителя. Вторым объектом предложенного изобретения является применение предложенных согласно изобретению производных м-фенилендиамина для окрашивания кератиновых волокон. Третьим объектом предложенного изобретения является применение предложенных согласно изобретению производных м-фенилендиамина в окислительных красителях для получения красных нюансов. Четвертым объектом предложенного изобретения является способ окраски кератиновых волокон, согласно которому предложенное согласно изобретению средство для окрашивания наносят на волосы и после окончания времени воздействия снова смывают. Пятым объектом предложенного изобретения являются производные м-фенилендиамина формулы (I)
причем R1 означает группу алкила с 1-4 атомами углерода или группу моногидроксиалкила с 1-4 атомами углерода, R2 означает группу метила или этила, R3 и R4 независимо друг от друга означают разветвленную или неразветвленную группу гидроксиалкила с 2-6 атомами углерода. Согласно изобретению особенно предпочтительным м-фенилендиамином является 2,4-бис-[(2-гидроксиэтил)амино]-6-метиланизол. Шестым объектом предложенного изобретения являются первые полупродукты синтеза предложенных согласно изобретению м-фенилендиаминов, в частности бис-(2-хлорэтил)(4-метокси-5-метил-1,3-фенилен)бискарбамат. Седьмым объектом предложенного изобретения являются вторые полупродукты синтеза предложенных согласно изобретению м-фенилендиаминов, в частности 3,3′-(4-метокси-5-метил-1,3-фенилен)бис(1,3-оксазолидин-2-он). Примеры осуществления 1 Синтезы 1.1 2,4-бис-[(2-Гидроксиэтил)амино]-6-метиланизол
1.1.1 2,4-Динитро-6-метиланизол Берут 1 л дымящей азотной кислоты при температуре 5-10°С и при перемешивании по каплям добавляют 100 г 2-метиланизола (около 45 минут). Затем композицию дополнительно перемешивают в течение 30 мин и затем выливают на лед. Осадок отфильтровывают и промывают большим количеством воды. Маточный щелочной раствор дважды разбавляют по 500 мл воды и выпавший осадок отсасывают. Затем объединенные осадки дважды промывают по 400 мл содового раствора и воды и сушат в вакууме в течение ночи. Выход 107 г (62%). Точка плавления 66-68°С. 1.1.2 2.4-Диамино-6-метиланизол-дигидрохлорид 105 г 2,4-динитро-6-метиланизола, 1,35 л этанола, 150 мл воды и 1 г Pd/C (5%-ный) помещают в автоклав и гидрируют при температуре 50°С и давлении водорода 50 бар в течение 12 ч. Затем смесь охлаждают и затем выливают в 1,0 л полуконцентрированной HCI. Катализатор отфильтровывают и фильтрат концентрируют досуха на ротавапоре. Осадок вываривают дважды с по 150 мл этанола, отфильтровывают и сушат в вакууме в течение ночи. Выход 74 г (67%). 1.1.3 бис-(2-Хлорэтил) (4-метокси-5-метил-1,3-фенилен)бискарбамат 56 г 2,4-диамино-6-метиланизол-дигидрохлорида и 134 г карбоната кальция помещают в 1 л диоксана и нагревают при температуре 90°С. В пределах 15 минут добавляют 80 г 2-хлорэтил-хлороформиата и смесь снова перемешивают в течение 4 часов при указанной температуре. Затем смесь охлаждают и минеральную соль отфильтровывают. Фильтрат выливают в воду со льдом и смесь неоднократно экстрагируют сложным этиловым эфиром уксусной кислоты. Затем объединенные фазы сложного этилового эфира уксусной кислоты досуха концентрируют на ротавапоре, при этом получают кристаллы светло-коричневого цвета. Выход 60 г (75%). Точка плавления 63-65°С. 1.1.4 3,3′-(4-Метокси-5-метил-1,3-фенилен)бис(1,3-оксазолидин-2-он) Берут 200 мл гидроксида натрия (20%-ного) и нагревают при температуре 45°С. Затем частями добавляют 59 г бис(2-хлорэтил) (4-метокси-5-метил-1,3-фенилен)бискарбамата и разбавляют 200 мл диоксана. Композицию дополнительно перемешивают в течение 2 часов при температуре 45°С. После перемешивания на ночь при комнатной температуре композицию выливают на лед и смесь нейтрализуют соляной кислотой. Выпавший продукт отсасывают и сушат в вакууме в течение ночи. Выход 34 г (73%). Точка плавления 153-156°С. 1.1.5 2,4-бис-[(2-Гидроксиэтил)амино]-6-метиланизол 33,5 г 3,3′-(4-метокси-5-метил-1,3-фенилен)-бис-(1,3-оксазолидин-2-она) нагревают в 500 мл 20%-ной КОН в течение 10 ч с обратным холодильником. Композицию охлаждают при комнатной температуре и помещают на 1,5 л льда. Затем нейтрализуют HCl и неоднократно экстрагируют сложным этиловым эфиром уксусной кислоты. Объединенные фазы сложного этилового эфира уксусной кислоты концентрируют на ротавапоре и затем дистиллируют в трубке с шаровым расширением (250-290°С, 0,08 мбар). Выход 7,8 г (30%). 2 Окрашивания 2.1 Проведение исследования Для получения красящего крема 50 г кремовой основы помещают в 250-миллилитровый химический стакан и расплавляют при температуре 80°С. Используемая кремовая основа имеет следующий состав:
Соответственно 1/400 моль проявляющего или цветообразующего компонента суспендируют раздельно в дистиллированной воде или растворяют при нагревании. Затем добавляют аммиак (менее 1 мл; 25%-ный раствор аммиака) до установления значения рН между 9 и 10. Растворенные полупродукты красителей последовательно вводят в горячий крем. Затем добавляют 97 г дистиллированной воды и с помощью аммиака устанавливают значение рН 9,5. После добавления 100 г дистиллированной воды исходную смесь перемешивают при пониженной температуре (менее 30°С), при этом получают однородный крем. Для окрашиваний смешивают (поскольку не указано иначе) соответственно 25 г красящего крема с 25 г следующей композиции окислителя.
В каждую из полученных таким образом композиций помещают прядь волос (седина 80%, вес 330-370 мг). Затем композиции и пряди волос помещают на соответственно часовое стекло и пряди волос хорошо укладывают в красящий крем. Время воздействия составляет 30 минут (±1 минута) при комнатной температуре, затем пряди волос извлекают и промывают водным раствором Texapon® EVR9, до тех пор, пока не будет удален избыток краски. Пряди волос сушат на воздухе и их цветовой тон определяют и фиксируют при лампе дневного света (цветовой тестер НЕ240А) (Taschenlexikon der Farben, A.Kornerup u. J.H.Wanscher, 3. unveränderte Auflage 1981, MUSTER-SCHMIDT Verlag; Zürich, Göttingen).
Результаты, полученные при исследованиях по окрашиванию волос, приводят в нижеследующих таблицах. 2.2 Окрашивания 2,4-бис-[(2-гидроксиэтил)амино]-6-метиланизолом
2.3 Окрашивания 2,4-ди-(
2.4 Окрашивания 4,7-бис-(2-гидроксиэтиламино)-2,3-дигидробензофураном (цветообразующий компонент с родственной структурой)
Окрашивания предложенным согласно изобретению цветообразующим компонентом 2,4-бис-[(2-гидроксиэтил)амино]-6-метиланизолом (пункт 2.2) отчетливо смещены в красную область по сравнению с окрашиваниями цветообразующим компонентом уровня техники (пункт 2.3) или соединением с родственной структурой (пункт 2.4). 3 Следующие окрашивания 3.1 Рецептура 1
3.2 Рецептура 2
3.3 Рецептура 3
3.4 Рецептура 4
3.5 Рецептура 5
3.6 Рецептура 6
3.7 Рецептура 7
3.8 Рецептура 8
3.9 Рецептура 9
3.10 Рецептура 10
Рецептуры 1-10 смешивают с вышеописанной композицией окислителя (пункт 2.1) в соотношении 1:1 и полученную используемую композицию наносят на пряди (Kerling, натуральный белый). После времени воздействия 30 минут при комнатной температуре волокна тщательно ополаскивают водой, сушат феном и оценивают окрашивание. При этом получают следующие результаты.
Формула изобретения
1. Средство для окрашивания кератиновых волокон, в частности человеческих волос, содержащее в косметически приемлемом носителе в качестве цветообразующего компонента 2,4-бис-[(2-гидроксиэтил)амино]-6-метиланизол. 2. Средство по п.1, отличающееся тем, что содержит, по крайней мере, один дополнительный проявляющий компонент. 3. Средство по п.1 или 2, отличающееся тем, что содержит, по крайней мере, один дополнительный цветообразующий компонент. 4. Средство по п.1 или 2, отличающееся тем, что дополнительно содержит, по крайней мере, один прямой краситель. 5. Средство по п.4, отличающееся тем, что прямой краситель является катионным. 6. 2,4-бис-[(2-Гидроксиэтил)амино]-6-метиланизол.
|
|||||||||||||||||||||||||||||||||||||||||||||||||||||||||||||||||||||||||||||||||||||||||||||||||||||||||||||||||||||||||||||||||||||||||||||||||||||||||||||||||||||||||||||||||||||||||||||||||||||||||||||||||||||||||||||||||||||||||||||||||||||||||||||||||||||||||||||||||||||||||||||||||||||||||||||||||||||||||||||||||||||||||||||||||||||||||||||||||||||||||||||||||||||||||||||||||||||||||||||||||||||||||||||||||||||||||||||||||||||||||||||||||||||||||||||||||||||||||||||||||||||||||||||||||||||||||||||||||||||||||||||||||||||||||||||||||||||||||||||||||||||||||||||||||||||||||||||||||||||||||||||||||||||||||||||||||||||||||||||||||||||||||||||||||||||||||||||||||||||||||||||||||||||||||||||||||||||||||||||||||||||||||||||||||||||||||||||||||||||||||||||||||||||||||||||||||||||||

4
-гидроксиэтиламино-1-метоксибензол). Предложенные теперь соединения отличаются от этого соединения тем, что они имеют дополнительную алкильную группу на ароматическом ядре. Также в этом документе нет никаких ссылок на предложенные теперь соединения и их замечательные красящие характеристики, а также достигаемые блестящие нюансы в красной области.



,
-алкилендиоксогруппу, такую как, например, этилендиоксигруппа.
-дигидроксипропил)-п-фенилендиамина, N-(4′-аминофенил)-п-фенилендиамина, N-фенил-п-фенилендиамина, 2-(














(-). Особенно подходящими цвиттер-ионными поверхностно-активными веществами являются так называемые бетаины, такие как N-алкил-N,N-диметиламмоний-глицинаты, например кокосалкилдиметиламмоний-глицинат, N-ацил-аминопропил-N,N-диметиламмоний-глицинаты, например кокосациламинопропилдиметиламмоний-глицинат, и 2-алкил-3-карбоксиметил-3-гидроксиэтил-имидазолины с, соответственно, 8-18 атомами углерода в алкильной или ацильной группе, а также кокосациламиноэтилгидроксиэтилкарбоксиметилглицинат. Предпочтительным цвиттер-ионным поверхностно-активным веществом является производное амидов жирных кислот, известное под названием сокамидопропил бетаин (INCI).
нормальным
распределением гомологов, так и с узким распределением гомологов. При этом под 
