Патент на изобретение №2163336
|
||||||||||||||||||||||||||
(54) СПОСОБ ОБНАРУЖЕНИЯ И НЕЙТРАЛИЗАЦИИ ПЛАСТИКОВЫХ ПРОТИВОПЕХОТНЫХ МИН, СОДЕРЖАЩИХ ИНИЦИИРУЮЩЕЕ ВЗРЫВЧАТОЕ ВЕЩЕСТВО НА ОСНОВЕ СВИНЦА В СОСТАВЕ КАПСЮЛЯ-ДЕТОНАТОРА
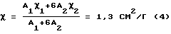
(57) Реферат: Изобретение относится к обеспечению безопасности и предназначено для разминирования наземных минных полей. Предлагаемый способ обнаружения пластиковых мин основан на использовании импульсного источника рентгеновского излучения со средней энергией квантов в интервале 100 – 300 кэВ, длительностью импульса 10-3 – 10-4 с, потоком энергии излучения в месте нахождения мины в пределах 10-5 – 10-8 Дж/см2, а возникающий при разогреве инициирующего взрывчатого вещества звуковой импульс регистрируют одним или несколькими звуковыми детекторами. Способ нейтрализации обнаруженных мин заключается в том, что для нейтрализации используют импульс рентгеновского излучения со средней энергией квантов в интервале 100 – 300 кэВ, потоком энергии излучения в месте нахождения мины в пределах 0,1-10 Дж/см2, длительностью импульса в пределах 1 – 30 с. Изобретение позволяет повысить вероятность обнаружения и нейтрализации пластиковых мин, содержащих инициирующее взрывчатое вещество на основе свинца в составе капсюля-детонатора. 2 с. и 1 з.п. ф-лы. Изобретение относится к области обеспечения безопасности жителей и предназначено для разминирования территорий, на которых происходили военные действия. Проблема разминирования огромных площадей, начиненных минами, которые широко применялись в многочисленных военных конфликтах за последние полвека, приобрела глобальный характер. По оценкам Организации Объединенных Наций в настоящее время имеется 110 миллионов задействованных противопехотных мин в 64 странах. Помимо смертельных поражений они вызывают в тысячу раз чаше потерю ступней ног и другие тяжелые ранения: такие взрывы гремят в среднем каждые 20 минут. Во многих странах большие участки земли выведены из хозяйственного оборота вследствие наличия мин. Наиболее трудны для обнаружения небольшие пластиковые мины, не содержащие металлических деталей и потому не обнаруживаемые обычными металлоискателями. По этой причине исследователи в разных странах ищут нестандартные способы решения проблемы. Известен способ обнаружения неметаллических предметов, основанный на использовании радиотехнических датчиков (см., например, И.А. Васильев, А.А. Дмитриев, С. И. Иванов и др. “Широкозахватные системы обнаружения мин”. Информационно-аналитический журнал “Вооружение, политика, конверсия”. 1997 г., N 3-4 (17-18), стр. 25-27). Способ основан на изменении диэлектрических свойств грунта в месте установки мины. Для уменьшения вероятности ложных тревог применяется широкозахватная система датчиков, сигналы которых обрабатываются на ЭВМ по специальной программе для пространственной селекции подземных объектов. Известен способ обнаружения неметаллических предметов, основанный на использовании микроволнового источника энергии (см. WO 98/36235 A1, F H 11/12, 20/08/1998). Для нагревания песчаной почвы, которая, в отличие от пластиковой мины, содержит влагу, используется микроволновой источник энергии. Энергия, подаваемая в течение нескольких секунд, нагревает воду, имеющуюся в почве. Инфракрасные детекторы фиксируют разность температур между почвой и пластиком, который проявляет себя как “холодное пятно” на тепловом изобретении. Этот способ, принятый за прототип, не пригоден для обнаружения и нейтрализации пластиковых мин в почвах, не содержащих влаги. Предлагаемая группа изобретений предназначена для обнаружения и последующей нейтрализации (обезвоживания) пластиковых противопехотных мин. Для обнаружения и нейтрализации пластиковых мин предлагается то обстоятельство, что все они содержат капсюль-детонатор, который инициирует подрыв при повышении давления. Способ обнаружения пластиковых противопехотных мин, содержащих инициирующее взрывчатое вещество на основе свинца в составе капсюля-детонатора, основан на воздействие на обрабатываемую поверхность источником энергии в виде импульсного источника рентгеновского излучения со средней энергией квантов интервале 100-300 кэВ, длительностью импульса 10-3-10-4 с, потоком энергии излучения в месте нахождения мины в пределах 10-5-10-8 Дж/см2, а взаимодействующий при разогреве инициирующего взрывчатого вещества звуковой импульс регистрируют одним или несколькими звуковыми детекторами. Для локализации мины используют информацию об амплитуде, направлении и времени прихода звукового импульса на несколько звуковых детекторов, размещенных в пределах облучаемой области. Способ нейтрализации обнаруженных пластиковых мин, содержащих инициирующее взрывчатое вещество на основе свинца в составе капсюля-детонатора, основан на воздействии на мину источником энергии в виде импульса рентгеновского излучения со средней энергией квантов в интервале 100-300 кэВ, с потоком энергии излучения в месте нахождения мины в пределах 0,1-10 Дж/см2 и длительностью импульса в пределах 1-30 с. Основным элементом капсюля служит навеска инициирующего взрывчатого вещества (ВВ), в основном это азид свинца PbN6, с массой в пределах 0,01-0,05 г. Для последующих оценок в качестве базового значения примем m0=0,03 г (1) Для этого при осуществлении способа обнаружения пластиковых противопехотных мин, основанного на использовании источника энергии, воздействующего на обрабатываемую площадь, источник выполнен в виде импульсного источника рентгеновского излучения со средней энергией квантов в пределах 100-300 кэВ, длительностью импульса 10-3-10-4 с, потоком энергии излучения в месте нахождения мины 10-5-10-8 Дж/см2, а возникающий при разогреве азида свинца звуковой импульс регистрируют одним или несколькими звуковыми детекторами. При осуществлении способа нейтрализации обнаруженной пластиковой противопехотной мины используют импульс рентгеновского излучения со средней энергией квантов в пределах 100-300 кэВ, потоком энергии излучения в месте нахождения мины в пределах 0,1-10 Дж/см2 и длительностью импульса в пределах 1-30 с. Известно (см., например, Ю.В. Шахов, “Взрывчатые вещества и пороха”, М.: Воениздат, 1976 г.), что азид имеет такие характеристики: плотность = 4,0 г/см3, температура вспышки T = 340oC, теплота взрыва Q = 367 кал/г = 1540 Дж/г = 7,4 10-19 Дж/молекулу = 4,64 эВ/молек. По абсолютной температуре вспышки Tабс = 340 + 273 = 613 К можно оценить энергию активации данной молекулы E – kT = 5,3 10-2 эВ (k = 8,6 10-5 эВ/K – постоянная Больцмана).
Остальные части пластиковой мины состоят из вещества с малым атомным номером: водород, углерод, азот, кислород. В отличие от свинца они обладают малым поглощением при облучении квантами с энергией в интервале 100-300 кэВ. Необходимые данные о коэффициентах поглощения для разных элементов имеются в справочнике Э. Стром, Х. Исраэль, “Сечения взаимодействия гамма-излучения”, М.: Атомиздат, 1973 г. Конкретные оценки проводятся ниже для энергии квантов = 150кэВ = 2,4 10-14Дж (2)Для этой энергии массовые коэффициенты поглощения для свинца ( 1) и азота ( 2) таковы 1 = 1,82 см2/г; 2 = 0,025 см2/г (3)Для остальных материалов пластиковой мины массовой коэффициент поглощения близок к 2 и не превышает 0,03 см2/г для энергии квантов больше 100 кэВ. Эффективный массовый коэффициент поглощения для азида свинца вычисляется по формуле![]() где A1 = 207 – атомный вес свинца; A2 = 14 – атомный вес азота. Глубина заложения мины обычно составляет h = 10 см. Плотность почвы с учетом пористости можно принять равной п = 2 г/см3, так что массовая толщина этого слоя m = h![]() п= 20 г/см2. Ослабление потока квантов в почве, также в основном состоящей из легких элементов, составит величинуexp (-20 0,03) = exp (-0,6) = 0,55 (5)Поскольку в дальнейшем оценки проводятся с точностью до множителя порядка единицы, то ослабление в почве ниже подразумевается, но для упрощения изложения явно в формулы не включается. Обозначим через J (Дж/см2) плотность потока излучения в точке нахождения мины; плотность поглощенной в навеске азида свинца энергии излучения с учетом формулы (4) составит ![]() Известно (см. , например, Л.Р. Кимель, В.П. Машкович, “Защита от ионизирующих излучений”, М.: Атомиздат, 1966 г.), что при более строгих расчетах прохождения ионизирующих излучений через преграду учитывают фактор накопления и смягчение спектра. Использование данных о факторе накопления, приведенных на с. 135 указанной книги, показывает, что оценка (6) плотности поглощения энергии излучения остается по порядку величины правильной. Азид свинца – активная среда, в которой распад молекулы сопровождается выделением энергии Q = 4,64 эВ/молек. Сравнение с энергией активации E = 5,3 10-2 эВ показывает, что энергии, выделившейся при распаде одной молекулы азида, достаточно, чтобы вызвать распад порядка No = 102 молекул, каждая из которых в свою очередь может вызвать распад No = 102 молекул второго поколения и т.д.
Следует учесть также, что энергия ф вылетевшего из атома свинца фотоэлектрона составляет примерно половину энергии поглощенного рентгеновского кванта, т.е.
ф= 70кэВ (7)Основные потери энергии быстрого электрона связаны с электрон-электронными столкновениями, тем не менее этой энергии достаточно, чтобы вызвать распад некоторого числа молекул первого поколения. В целом можно принять, что первичный квантовый выход, т.е. число распавшихся молекул первого поколения на один поглощенный квант, равен No = 102 (8) Согласно теории цепных химических реакций (см. Н.Н. Семенов, “О некоторых проблемах химической кинетики и реакционной способности”, М., Изд-во АН СССР, 1958 г., с. 450) длина цепи Nц, т.е. число рапспавшихся молекул на одну первичную, зависит от ряда факторов: температуры, степени разветвления, концентрации дезактивирующих радикалов, размеров навески, наличия примесей и т.п. В упомянутой монографии Н.Н. Семенова на с. 331 приведена длина цепи для реакции в газовой фазе хлора с этиленом: Nц = 3 106. На с. 265 рассматривается фотохимическая реакция окисления сульфита, для которой квантовый выход (синоним длины цепи) Nц = 105. На с. 376 рассмотрены реакции: H2 + Br (Nц = 103), H2 + Cl2 (Nц = 109).
По сравнению с этими примерами азид свинца боле чувствителен к внешним воздействиям. Однако небольшие размеры навески ограничивают длину цепей. Необходимо также учитывать энергию связи молекул в кристаллической решетке (порядка 1 эВ). Поэтому для данного случая можно принять, что длина цепи равнаNц = 105 (9) Общий же квантовый выход при облучении азида свинца рентгеновскими квантами равен произведению No из (8) и Nц из (9) N = No Nц = 102 105 = 107 (10)Энерговыделение в азиде свинца за счет цепных реакций равно ![]() Поскольку W1значительно превышает W0, для расчетов разогрева будем использовать W1 из (11). Известно (см., например, Н. Ашкрофт, Н. Мермин, “Физика твердого тела”, т. 2, М. : Мир, 1979 г., с.56), что теплоемкость диэлектриков при обычных температурах подчиняется закону Дюлонга и Пти: молярная теплоемкость равна 5,96 кал/мольК = 24,9 Дж/мольК. Для азида свинца молекулярный вес = 291, так что его удельная теплоемкостьC = 24,9/291 = 0,086 Дж/г К (13) Навеска массой m0 = 0,03 г при плотности = 4,0 г/см3 имеет объем 0,03/4,0 = 7,5 10-3 см3; размер навески равенq = (7,5 10-3)1/3 = 0,2 см = 2 мм (12)Азид свинца и остальная взрывчатка в составе мины – диэлектрики, плохо проводящие тепло; их коэффициент температуропроводности не превышает = 0,1 см2/с. Растекание тепла от нагретой излучением навески азида свинца происходит за время не меньше, чемtq= a2/ = (0,2)2/0,1 = 0,4c (14)Как будет показано далее, пригодный для обнаружения мины импульс облучения должен быть значительно короче tq, поэтому все количество тепла из (11) будет оставаться в объеме навески. Из формул (11) и (12) получим разогрев азида свинца в потоке излучения T( K) = w1/C = 5 103 J(Дж/cм2) (15)Для того, чтобы в результате облучения не произошел подрыв ВВ, температура разогретой излучением навески не должна превышать температуру вспышки T = 340oC. Значительное количество пластиковых мин находится в южных странах, где температура почвы в дневные часы достигает 50oC. Поэтому, если поиск мин проводится днем, то разогрев навески от излучения не должен превышать T = 340-50=290oC. Примем во внимание, что условия прессования азида свинца в капсюль-детонатор могут отличаться от образца к образцу, поэтому за безопасный уровень импульсного разогрева примем величину( T)без= 0,5![]() T = 145 C (16)Подставляя это значение в левую часть формулы (15), получим безопасный уровень облучения Jбез = 145/5 103 = 3 10-2 Дж/см2 (17)Кинетика разложения азида свинца при повышении температуры имеет резко выраженный пороговый характер: при температуре вспышки происходит мгновенный взрыв, а при меньших температурах разложение останавливается. При действии больших доз рентгеновского излучения процесс разложения (радиолиз) молекул азида свинца будет иметь самоускоряющийся (взрывной) характер, если длительность облучения меньше tq – времени теплоотвода из (14). Если же время облучения будет существенно превышать время теплоотвода tq, то при соответствующей дозе облучения Jн произойдет невзрывной процесс разложения азида и, как следствие, нефтрализация мины. Исходя из оценки (14) для tq, длительность облучения при нейтрализации мины должна быть в пределах 1-30 с. При таком н поток излучения Jн, обеспечивающий безопасную нейтрализацию мины, можно оценить, увеличив на два порядка значение Jбез из (17)Jн = 3 Дж/см2 (18) При нейтрализации в целях предотвращения непроизвольного взрыва и уменьшения длительности н, при сохранении полного потока Jн, желательно интенсивность облучения плавно увеличивать от малых значений в начале процесса, когда доля разложившихся молекул еще мала, до больших в конце процесса, когда разложится значительная часть молекул азида свинца.
Скорость звука в кристаллах зависит от молекулярного веса в основном как -1/2. Используя справочные данные (см., например, “Физические величины”, Справочник, М.: Энергоатомиздат, 1991 г.) для таких соединений, как NaCl (c = 4,6 103 м/с), NaBr (c = 3 103м/с), получим оценку для скорости звука в азиде свинцаc = 1,8 103 м/с = 1,8 105см/с (19)При облучении потоком квантов давление в навеске будет резко возрастать, если длительность облучения удовлетворяет неравенству![]() ![]() 0= a/c = 0,2cм/1,8 105cм/c = 1,1 10-6c (20)Если же, с учетом формулы (14), выполняется двойное неравенство 0 tq, (21)то навеска будет плавно увеличивать свой объем V пропорционально разогреву V/V = ![]() ![]() T, (22)где V – увеличение объема; – коэффициент объемного расширения азида свинца.
Для оценки можно использовать данные из того же справочника “Физические величины” для сходного по структуре соединения PbCl2 = 1 10-4I/K (23)Используя (15) и (23), с помощью (22) получим зависимость относительного изменения объема навески от уровня облучения V/V = 0,5 J(Дж/cм2) (24)Примем, что навеска имеет форму шара радиуса R = a/2 = 0,1 cv/ Объем навески пропорционален кубу радиусу. Отсюда следует, что относительное изменение радиуса R/R = 1/3 V/V. В результате из формулы (24) получим соотношение R(cм) = 1,7-2 10-2J(Дж/cм2) (25)При длительности облучения средняя скорость расширения равнаv = R/ (26)В окружающей среде расширение навески создает звуковую волну импульсного типа с давлением на границе навески P0= 1C1v = 1 C1R/ , (27)где 1, C1 – плотность и скорость звука в окружающей взрывчатке.
Для оценок примем такие значения: 1= 1 г/см3; C1 = 1 км/с = 105 см/с.
Эти числа, а также (25) подставим в (27) 0(дин/см2) = 1,7 103 J(Дж/cм2)/ (c) (28)Распространяясь от навески на расстояние r, звуковая волна будет ослабляться по закону P = p0R/r; подставив числовые значения, получим расчетную формулу P(дин/см2=1,7 102 J(Дж/см2)/ (r(с) r(см)) (29)Диаметр мины рассматриваемого типа 10-20 см. Примем, что источник рентгеновского излучения находится на высоте 0,5 м над землей, так что поток излучения охватывает круг диаметром 1 м. Для более точной локализации мины в пределах этой площади могут быть размещены несколько датчиков-звукоприемников, при этом расстояние от них до мины не превысит r = 1 м = 102 см. Согласно (29) амплитуда волны в этой точке составит r = 102см:p = 1,7 J(Дж/cм2)/ (c) (30)Силу звука измеряют в децибелах (дБ) L(дБ)=20 ед (P/P*); P*=20 мкПа=2 10-4 дин/см2 (31)Примем для определенности, что регистрации звукового импульса достаточно, чтобы сила звука была на уровне L=10 дБ, что согласно принятой классификации (см., например, “Техническая энциклопедия”, т. 26, М.: БСЭ, 1934 г. ) соответствует уровню шума от шелеста листьев при слабом ветре. Тогда из (31) находим требуемое давление в звуковой волне в точке приема P=P* 100,5=2 10-4 100,5= 6,3 10-4 дин/см2 (32)Подстановка этого значения в (30) приводит к соотношению J(Дж/cм2) = 3,7 10-4![]() (c) (33)При выборе оптимальной длительности импульса следует иметь в виду, что полоса звуковых частот и длительность импульса связаны условиемv ![]() = 1 (34)Известно, что затухание звуковой волны будет незначительным, если характерная длина волны будет больше размеров неоднородностей в среде. В рассматриваемых условиях затухание волны будет небольшим, если длина волны будет порядка = 10 см (35)Полагая скорость звука в почве u = 1 км/с = 105 см/с, получим = u/ = 104Гц (36)Тогда из (34) следует = 1/ = 10-4c = 100 мкс (37)Подставив это значение в (33), получим J(Дж/см2)=3,7 10-4 10-4= 3,7 10-8 Дж/см2 (38)Сравнение (38) с (17) показывает, что поток, достаточный для формирования звукового сигнала, позволяющего обнаружить мину, значительно меньше потока, способного вызвать ее подрыв. Умножив (38) на облучаемую площадь S = 1 м2 = 104см2, получим полную энергию излученных за импульс рентгеновских квантов W=3,7 10-4 Дж (39)Устойчивость звукоприемников к ложным звуковым сигналам, приходящим извне, повысится, если их диаграмма направленности позволяет избирательным образом регистрировать сигнал, приходящий из нижней полусферы. Истинный сигнал, исходящий от капсюля-детонатора, расположенного в пределах облучаемой области, будет приходить на отдельные датчики с разных направлений и в разные моменты времени. Конструкция датчиков, позволяющая использовать эти обстоятельства, также приведет к уменьшению вероятности ложных тревог. Регистрация амплитуды и сдвига по времени прихода сигнала на отдельные датчики позволит повысить точность локализации мины. Благодаря этому можно будет приблизить источник излучения к земле и произвести нейтрализацию мины с малого расстояния, выиграв в энергии импульса (39) в отношении (50/10)2=25 раз. Предлагаемый способ нейтрализации (обезвреживания) обнаруженных пластиковых мин, содержащих капсюль-детонатор с азидом свинца, может быть использован и в других ситуациях, когда нежелательно или невозможно извлечь мину и вывести ее в безопасное место для уничтожения путем подрыва. Формула изобретения
MM4A Досрочное прекращение действия патента Российской Федерации на изобретение из-за неуплаты в установленный срок пошлины за поддержание патента в силе
Дата прекращения действия патента: 07.01.2002
Номер и год публикации бюллетеня: 11-2003
Извещение опубликовано: 20.04.2003
|
||||||||||||||||||||||||||

= 4,0 г/см3, температура вспышки T = 340oC, теплота взрыва Q = 367 кал/г = 1540 Дж/г = 7,4
10-19 Дж/молекулу = 4,64 эВ/молек. По абсолютной температуре вспышки Tабс = 340 + 273 = 613 К можно оценить энергию активации данной молекулы E – kT = 5,3
= 150кэВ = 2,4
1) и азота (


= 291, так что его удельная теплоемкость
T(
C (16)
меньше tq – времени теплоотвода из (14). Если же время облучения 

и длительность импульса
будет больше размеров неоднородностей в среде. В рассматриваемых условиях затухание волны будет небольшим, если длина волны будет порядка