|
|
(21), (22) Заявка: 2007118529/13, 18.05.2007
(24) Дата начала отсчета срока действия патента:
18.05.2007
(43) Дата публикации заявки: 27.11.2008
(46) Опубликовано: 10.05.2009
(56) Список документов, цитированных в отчете о поиске:
Адрес для переписки:
142290, Московская обл., г. Пущино, мкр. В, 26, кв.39, Н.М. Шмаковой
|
(72) Автор(ы):
Редикульцев Юрий Васильевич (RU), Кудряшов Виктор Константинович (RU), Шкидченко Александр Николаевич (RU)
(73) Патентообладатель(и):
Институт биологического приборостроения с опытным производством РАН (RU), Редикульцев Юрий Васильевич (RU), Кудряшов Виктор Константинович (RU), Шкидченко Александр Николаевич (RU)
|
(54) СПОСОБ ПЕРЕРАБОТКИ ОТХОДОВ РАСТИТЕЛЬНОГО СЫРЬЯ
(57) Реферат:
Изобретение относится к технологии ферментативного гидролиза отходов растительного сырья лесной, деревообрабатывающей, сельскохозяйственной промышленности. Способ предусматривает следующее. Осуществляют жидкофазную ферментацию с использованием термофильного штамма гриба Myceliophthora termophila F-2109. Проводят гидролиз растительного сырья жидкофазной фракцией, полученной при жидкофазной ферментации, и содержащей ферменты, обеспечивающие деградацию крахмала, целлюлозы и лигнина. Осуществляют твердофазную ферментацию в слое смеси продуктов жидкофазной ферментации и ферментативного гидролиза растительного сырья, не превышающем 15 мм. При этом переработку осуществляют в условиях порционного замещения целевого продукта свежей средой. Изобретение позволяет получить грибную биомассу, совместимую с микрофлорой желудочно-кишечного тракта животных, повысить биодеградацию растительного сырья. 1 ил.
Изобретение относится к технологии ферментативного гидролиза отходов лесной, деревообрабатывающей и сельскохозяйственной промышленности. Конкретнее, к получению кормовых добавок из отходов производства дигидрокверцетина воздействием ферментов деградирующих биополимеры, такие как лигнин, целлюлоза и крахмал, и образующих растворимые сахара. Изобретение может быть использовано в производстве кормовых добавок широкого ассортимента путем обогащения их продуктами микробного синтеза с использованием гидролизата и в исследовательской практике. Растворимые сахара, получаемые при гидролизе лигнина, целлюлозы и крахмала могут быть использованы для производства лекарственных средств, пищевых и кормовых белковых препаратов, спирта для энергетических целей.
Известны методы переработки растительного сырья, которые по сути воздействия можно разделить на четыре типа: физические, механические, химические и биологические. Каждый из указанных методов в отдельности способствует частичной деградации сложной структуры указанных биополимеров, что существенно увеличивает доступность перерабатываемого сырья для ферментативного гидролиза.
Известны промышленные способы кислотного гидролиза древесины до глюкозы, но они сопровождаются частичной деградацией самой глюкозы и образованием токсичных примесей, от которых необходимо освобождаться. Для проведения указанного процесса требуется дорогое, энергоемкое и стойкое к коррозии оборудование.
Наиболее перспективным является использование ферментов, деградирующих лигнин, целлюлозу и крахмал, которые применяют в спиртовой, пивоваренной, пищевой промышленности, хлебопечении, кормопроизводстве и других, где сырьем являются растительные материалы или отходы переработки растений. Использование указанных ферментов повышает выход целевых продуктов и позволяет подойти к созданию безотходных технологий. Нерешенной проблемой является то, что указанные биополимеры очень сложные субстраты для действия ферментов и не достаточно изучены продуценты, которые бы в полной мере были экономически рентабельными и удовлетворяли потребности отраслей, применяющих растительное сырье.
Известна технология переработки растительного сырья в процессе твердофазного культивирования высших базидиальных грибов, таких как Tyromyces lacteus и Goriolus hirsutus (И.М.Грачева, А.Ю.Кривова. “Технология ферментных препаратов”, НПО “ЭЛЕВАР”, 2000 г., с.315-317).
Грибы росли и накапливали биомассу за счет расщепления целлюлозы, гемиделлюлоз, пектина и лигнина. Культура на твердом субстрате синтезировала весь комплекс необходимых ферментов. Установлено, что степень ферментативной деградации этих биополимеров была следующей: гемицеллюлозы разлагались, деградировали при росте ксилотрофов (грибов белой гнили) на 58%, пектиновые вещества – на 94%, целлюлоза – 53%. Деструкция лигнина растительных субстратов была на 40-45%. Одновременно за счет роста грибов в твердом субстрате повышалось содержание белка и легкоусвояемых углеводов. Деградация субстрата грибами начиналась после завершения активного роста. Наиболее активно процесс протекал в течение 15 дней.
Известная технология реализуется по традиционной схеме проведения операций. Растительное сырье загружают в емкость. Емкость герметизируют и стерилизуют острым водяным паром при температуре 120°С в течение 1 часа. После стерилизации емкость охлаждают до температуры окружающей среды и в твердый субстрат вносят посевную культуру микроорганизмов – продуцентов ферментов, деградирующих лигнин, целлюлозу и крахмал. После засева проводят культивирование гриба в заданных условиях влажности, температуры, аэрации и времени процесса. Производительность твердофазных процессов прямо зависит от оптимизации массообменных показателей и поддержания влажности рабочей среды.
Так, увеличение влажности нарушает рыхлую консистенцию среды, грибной мицелий растет только с поверхности, а внутри образуется зона с пониженным содержанием кислорода, рост в которой невозможен, что приводит к существенному снижению объемов производства продуктов ферментации из-за неполного использования субстрата.
Кроме того, в указанных зонах накапливаются токсичные продукты автолиза биомассы, что приводит к существенному снижению качества целевых продуктов.
Другим недостатком известного процесса являются продолжительность и высокая энергоемкость, связанные с трудностями управления и обеспечения асептических условий проведения твердофазного процесса, что значительно повышает себестоимость производимых продуктов.
Высокие энергетические затраты проведения твердофазной ферментации также связаны с периодическими условиями реализации процесса, рентабельность которого может быть обеспечена только при использовании крупнотоннажного технологического оборудования, больших производственных площадей и трудоемкого ручного труда для обслуживания подготовительных стадий процесса, что существенно снижает конкурентоспособность используемого оборудования.
Известен «Биотехнологический способ комплексной переработки отходов производства пальмового масла» (патент РФ N 2161415, А23К 1/00, 2001.01.10 – прототип).
Способ заключается в том, что твердые отходы подвергают кислотному гидролизу. Гидролизованные твердые отходы смешивают с жидкими отходами. Засев осуществляют биомассой штамма бактерий Acinetobacter baumanni M-1. Проводят жидкофазную ферментацию при рН 6,5-7,5 и температуре 35-45°С. Полученную микробную суспензию сепарируют. Осуществляют доочистку жидкостного потока. Сгущенную биомассу подвергают термообработке при 90°С в течение 1 часа. Затем высушивают и получают кормовой белок. Твердые отходы и твердую фракцию, образующуюся после жидкофазной ферментации, подвергают твердофазной ферментации при рН 6,5-7,5 и температуре 35-45°С. Получают готовый продукт – компост. Способ обеспечивает чистоту производства пальмового масла и позволяет получить товарные продукты в виде кормового белка и компоста.
К недостаткам указанного способа можно отнести кислотный гидролиз твердых отходов, который, как известно, сопровождается частичной деградацией сахаров и накоплением токсичных примесей, что требует проведения дополнительных процедур по очистке полученных веществ перед их использованием в процессе жидкофазной ферментации.
При проведения твердофазной ферментации в указанном способе в качестве питательной среды используют твердые, не переработанные и обсемененные посторонней микрофлорой отходы от производства пальмового масла, а в качестве посевной культуры – твердые отходы, осемененные микрофлорой от жидкофазной ферментации с низкой концентрацией микроорганизмов, что приводит к существенному увеличению времени твердофазной ферментации (как указано в примере, 12 суток) и соответственно к значительным энергозатратам.
Использование культуры бактерий Acinetobacter baumanni M-1 для получения кормового белка не обеспечивает достаточной совместимости грибной биомассы с микрофлорой желудочно-кишечного тракта животных.
Существенное временное различие проведения процессов гидролиза, жидкофазной и твердофазной ферментации и выполнение процедур доочистки промежуточных продуктов не позволяют автоматизировать процесс, что снижает конкурентоспособность известной технологии.
Технический результат изобретения заключается в получении продукта переработки, пригодного в качестве кормовой добавки, сокращении времени обработки растительного сырья, повышении глубины деградации сырья и производительности способа.
Указанный результат достигается тем, что способ переработки отходов растительного сырья предусматривает жидкофазную ферментацию с использованием термофильного штамма гриба Myceliophthora termophila F-2109, гидролиз растительного сырья жидкофазной фракцией, полученной при жидкофазной ферментации, и содержащей ферменты, обеспечивающие деградацию крахмала, целлюлозы и лигнина, и твердофазную ферментацию, осуществляемую на смеси продуктов жидкофазной ферментации и ферментативного гидролиза растительного сырья в слое смеси, не превышающем 15 мм, при этом переработку осуществляют в условиях порционного замещения целевого продукта свежей средой.
В результате реализации способа по настоящему изобретению были выявлены существенные преимущества перед известными аналогами, а именно:
– применение термофильного штамма гриба Myceliophthora termophila F-2109 [Институт биохимии и физиологии микроорганизмов. Всероссийская коллекция микроорганизмов, Myceliophthora termophila (Apinis 1963) van Oorschot 1977, F-2109 ИНМИ, ВКМ F-2109 TUB, WFPL 264A. (WFPL 264A). Получен как: Sporotrichum termophilum. Синонимы: Sporotrichum termophilum Apinis 1963 (Среда 11, 45 С, Л-1, С-5, В-4, К-1)], выделенного из рубца жвачных животных, позволило решить проблему совместимости грибной биомассы с микрофлорой желудочно-кишечного тракта животных, а высокая температура культивирования гриба и ферментативного гидролиза растительного сырья существенно повысили асептическую надежность реализуемых процессов и качество произведенной кормовой добавки;
– использование продуктов, полученных от ферментативного гидролиза и культивирования грибов, позволило существенно интенсифицировать ферментативные реакции на всех стадиях исследуемого процесса и тем самым сократить общее время переработки растительного сырья;
– проведение твердофазной ферментации на гидролизованном субстрате позволило кратно снизить время процесса и тем самым существенно повысить его производительность;
– периодическое порционное замещение целевого продукта свежей питательной средой в непрерывном процессе проведения ферментативных реакций позволило существенно снизить себестоимость производимых продуктов, повысить глубину деградации сложной структуры лигнина, целлюлозы и крахмала до глюкозы и обеспечить конкурентоспособность новой технологии.
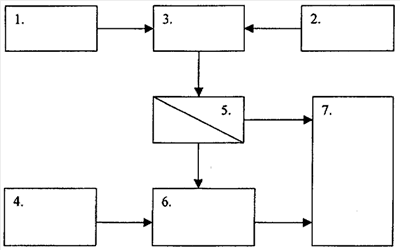
Технологическая схема процесса переработки отходов растительного сырья схематично представлена на чертеже, где изображены емкость 1 с питательной средой, колба 2 с посевной культурой, герметизируемая емкость 3, снабженная теплообменной рубашкой и аэратором барботажного типа (аппарат жидкофазного культивирования), емкость 4 для растительного сырья, сито 5 с отверстиями 1 мм (разделитель фракций), герметизируемая емкость 6 с теплообменной рубашкой (аппарат гидролизный), автоклав 7 (аппарат твердофазный).
В процессе переработки растительного сырья культивирование микроорганизмов – продуцентов биомассы и целевых ферментов, проводили на известной питательной среде Чапека, в которую вносили дополнительно 30% древесных опилок.
В качестве продуцента использовали термофильный штамм гриба Myceliophthora termophila F-2109, выделенный из рубца жвачных животных, который выращивали в колбе 2 на качалке при температуре 45°С в течение 1,5 суток.
Жидкофазное культивирование грибов проводили в аппарате 3, снабженном теплообменной рубашкой и аэратором барботажного типа при температуре 50°С и расходе воздуха 3 л/мин.
Ферментативный гидролиз опилок проводили в аппарате 6, снабженном теплообменной рубашкой, при температуре, поддерживаемой в диапазоне 50-65°С.
Продукты жидкофазного культивирования грибов фильтровали через сито 5 с отверстиями 1 мм.
Твердофазную ферментацию проводили в автоклаве 7, в который устанавливали сито 5 с ферментированными опилками, обогащенными биомассой грибов. Твердофазную ферментацию проводили при температуре 50°С без принудительной вентиляции.
Сушку продуктов переработки (биодеградации) растительного сырья проводили на сетчатых стеллажах, размещенных в сушильном шкафу, при температуре 90°С. Все операции по реализации способа выполняли вручную.
Пример. Способ переработки (биодеградации) растительного сырья выполняли следующим образом. Перед началом процесса биодеградации растительного сырья в аппарат 3 из емкости 1 внесли 1,5 л питательной среды, состава (г/л):
NH4NO3 – 3 г/л; СаСО3 – 0,5 г/л; NaH2PO4·3Н2О – 3 г/л; MgSO4·7Н2О – 0,5 г/л; FeSO4·7H2O – 0,01 г/л; KCl – 0,5 г/л; кукурузный экстрат – 20 мл; крахмал – 10 г/л; сахароза – 30 г/л, древесные опилки (отходы от производства дигидрокверцетина) в объеме 0,5 дм3.
В аппарат 6 объемом 3 дм3 из емкости 4 внесли твердый субстрат (опилки сибирской лиственницы – отходы от производства дигидрокверцетина) массой 2,7 кг, после чего аппараты 3 и 6 стерилизовали в автоклаве при температуре 120°С, в течение 1 часа. После охлаждения аппаратов 3 и 6 до температуры 50°С в аппарат 3 объемом 3 дм3 внесли 1,5-суточный инокулюм гриба Myceliophthora termophila F-2109 в объеме 200 мл, выращенный на среде Чапека в колбе на качалке, при температуре 45°С.
Культивирование гриба в аппарате 3 проводили при расходе аэрирующего воздуха 3 л/мин и температуре 50°С в течение 2-х суток, а в аппарате 6 поддерживали температуру в диапазоне 50-65°С.
Через 2-е суток из аппарата 3 слили 1 л культивационного объема, который пропустили через сито 5, в результате чего получили жидкую фракцию, содержащую раствор ферментов, деградирующих крахмал, лигнин и целлюлозу, и твердую фракцию, содержащую ферментированные опилки и биомассу грибов. Затем в аппарат 3 внесли 1 л свежей питательной среды.
Полученную жидкую фракцию, содержащую раствор ферментов, внесли в аппарат 6 для ферментативного гидролиза опилок, а ферментированные опилки, обогащенные биомассой грибов, разместили на сите 5 тонким слоем. Сито 5 установили в автоклав 7, в котором поддерживали температуру 50°С. Твердофазную ферментацию проводили в течение 12 часов в атмосфере окружающей среды (без принудительной вентиляции), что позволило провести, по меньшей мере, пять генераций роста грибов в оптимальных условиях с полным потреблением грибами остаточных питательных веществ из ферментированного субстрата.
После 12-часового твердофазного культивирования грибов сито 5 извлекли из автоклава 7, и произведенный продукт сушили до постоянного веса. Далее, процесс деградации растительного сырья выполняли по алгоритму:
– из аппарата 3 в сито 5 слили один литр культивационного объема;
– в аппарат 3 из емкости 1 внесли один литр свежей питательной среды;
– на сите 5 провели разделение слитого объема на твердую и жидкую фракции;
– из аппарата 6 извлекли гидролизованные опилки;
– в аппарат 6 из емкости 4 внесли опилки массой 2,7 кг и 1 л раствора ферментов;
– гидролизованные опилки из аппарата 6 перемешали с опилками, обогащенными биомассой грибов, полученными после фракционного разделения на сите 5, и разместили с высотой слоя 15 мм;
– сито 5 установили в автоклав 7, в котором повторили 12-часовой процесс твердофазной ферментации.
Указанный алгоритм повторили 10 раз (5 суток непрерывного процесса), при этом было переработано 27 кг опилок и получено 27,5 кг ферментированного продукта, обогащенного легкодоступными углеводами и биомассой грибов, а производительность переработки (биодеградации) растительного сырья при использовании гидролизного аппарата емкостью 3 дм3 составила 5,4 кг/сутки.
Формула изобретения
Способ переработки отходов растительного сырья, предусматривающий жидкофазную ферментацию с использованием термофильного штамма гриба Myceliophthora termophila F-2109, гидролиз растительного сырья жидкофазной фракцией, полученной при жидкофазной ферментации и содержащей ферменты, обеспечивающие деградацию крахмала, целлюлозы и лигнина, и твердофазную ферментацию, осуществляемую на смеси продуктов жидкофазной ферментации и ферментативного гидролиза растительного сырья в слое смеси, не превышающем 15 мм, при этом переработку осуществляют в условиях порционного замещения целевого продукта свежей средой.
РИСУНКИ
|
|