|
|
(21), (22) Заявка: 2007148748/04, 28.12.2007
(24) Дата начала отсчета срока действия патента:
28.12.2007
(46) Опубликовано: 27.04.2009
(56) Список документов, цитированных в отчете о поиске:
С.А.Пономаренко, А.И.Музафаров, О.В.Борщев и др. Синтез битиофенилсиланового дендримера первой генерации. Известия Академии Наук. Серия Химическая. 2005, 3, с.673-679. Juzo Nakayama, Jin-Song Lin “An Organosilikon Dendrimer Composed of 16 Thiophene Rings”. Tetrahedron Letters, 1997, vol.38, N34, p.6043-6046. US 2005176915 A1, 11.08.2005. US2003088032 A1, 08.05.2003. US 6558819 B1, 06.05.2003. Heinrich Lang, Bettina Luhmann “Siloxane and Carbosiloxane Based Dendrimers: Synthesis, Reaction Chemistry, and Potential Applications”. Advanced Materials, 2001, vol.13, N20, p.1523-1540. RU 2147023 C1, 27.03.2000. EP 1027398 A1, 16.08.2000.
Адрес для переписки:
117393, Москва, ул. Профсоюзная, 70, Патентный отдел ИСПМ им. Н.С. Ениколопова, РАН, Директору А.Н.Озерину
|
(72) Автор(ы):
Пономаренко Сергей Анатольевич (RU), Лупоносов Юрий Николаевич (RU), Борщёв Олег Валентинович (RU), Музафаров Азиз Мансурович (RU), Сурин Николай Михайлович (RU)
(73) Патентообладатель(и):
Институт синтетических полимерных материалов (ИСПМ) им. Н.С. Ениколопова РАН (RU)
|
(54) ПОЛИАРИЛСИЛАНОВЫЕ ДЕНДРИМЕРЫ И СПОСОБ ИХ ПОЛУЧЕНИЯ
(57) Реферат:
Изобретение относится к области химической технологии кремнийорганических соединений. Техническая задача – синтез новых полиарилсилановых дендримеров, содержащих как минимум 6 функциональных арилсилановых звеньев, в том числе дендримеров больших генераций, пригодных для использования в качестве люминисцентных материалов для органической электроники и фотоники. Предложены дендримеры общей формулы (I) где R1 означает заместитель из ряда: линейные или разветвленные C1-C20 алкильные группы; линейные или разветвленные С1-С20 алкильные группы, разделенные по крайней мере одним атомом кислорода; линейные или разветвленные C1-C20 алкильные группы, разделенные по крайней мере одним атомом серы; разветвленные С3-С20 алкильные группы, разделенные по крайней мере одним атомом кремния; С2-С20 алкенильные группы; Ar – означает, независимо для каждого n и m, одинаковые или различные ариленовые радикалы, выбранные из ряда: замещенный или незамещенный тиенил-2,5-диил общей формулы (II-a) замещенный или незамещенный фенил-1,4-диил общей формулы (II-б)  замещенный или незамещенный 1,3-оксазол-2,5-диил общей формулы (II-в) замещенный флуорен-4,4′-диил общей формулы (II-г) где R2, R3, R4, R5, R6 означают независимо друг от друга Н или вышеуказанное для R1; R7 означает вышеуказанное для R1; К равно 2 или 3 или 4; L равно 1 или 3 или 7 или 15; m и n означают целые числа из ряда от 2 до 6. Способ получения дендримеров заключается в том, что монодендрон общей формулы (III) где Х означает Н или Br или I, сначала реагирует с литиирующим агентом общей формулы R8Li, где R8 означает линейную или разветвленную С1-С10 алкильную группу, диалкиламидную или фенильную группу; затем полученное соединение взаимодействует с функциональным соединением, выбранным из ряда соединений формулы (СН3)4-KSiYK, где Y означает Cl, или Br, или -ОСН3, или -ОС2Н5, или -ОС3Н7, или -ОС4Н9. Предложенный способ является технологичным, не требуется использование дорогих катализаторов. 2 н. и 22 з.п. ф-лы, 12 ил., 1 табл.
Изобретение относится к области химической технологии кремнийорганических соединений и может найти промышленное применение при получении новых функциональных материалов, обладающих люминесцентными свойствами. Более конкретно, изобретение относится к новым полиарилсилановым дендримерам и способу их получения.
Дендримеры представляют собой высокоупорядоченные пространственно сверхразветвленные полностью ациклические образования, построенные по закону ветвящегося дерева. Существует два основных метода получения дендримеров:
дивергентный и конвергентный. В первом случае синтез дендритных молекул происходит послойно в направлении от центра к периферии путем многократного повторения как минимум двух химических реакций. При этом образуется ряд индивидуальных дендримеров-гомологов, называемых генерациями, а номер генерации G соответствует количеству наращенных слоев ветвления (Фиг.1). В случае конвергентного синтеза построение молекул дендримеров происходит от периферии к центру. Для этого сначала получают “ветви”, которые называются монодендронами и содержат одну функциональную группу в фокальной точке (Фиг.2). Полученные монодендроны присоединяют к центру ветвления с образованием дендримеров (S.M.Grayson, J.M.J.Frechet, Chem. Rev. 2001. V.101. P.3819-386). При этом исходные монодендроны могут быть получены как конвергентным, так и дивергентным методом. В зависимости от функциональности центра ветвления К, которая, как правило, равна двум, трем или четырем, получаются дендримеры с различным числом ветвей-дендронов, определенным разветвленностью центра NC=К (Фиг.3). Разветвленность каждой ветви дендримера (дендрона) зависит от функциональности повторяющегося звена такой макромолекулы (NB) и обычно равна 2 или 3. Для примера на Фиг.1, Фиг.2 и Фиг.3 представлены дендритные макромолекулы с NB=2.
В отличие от классических полимеров, дендримеры являются индивидуальными соединениями, что позволяет их выделять с чистотой, доступной для низкомолекулярных соединений, что особенно важно для органической электроники и фотоники. Специфическая трехмерная архитектура дендритных макромолекул придает им также ряд ценных свойств, таких как хорошая растворимость и пленкообразование, в сочетании с возможностью регулировать их оптические и электрические характеристики за счет направленного молекулярного дизайна.
Под кремнийорганическими дендримерами в рамках данного изобретения мы понимаем такие дендримеры, которые содержат атомы кремния в качестве точек ветвления. Примером таких систем служат поликарбосилановые дендримеры (Н.Lang, В.Liihmann, Adv. Mater. 2001, v.13, No.20, pp.1523-1540).
Под арилсиланами в данном изобретении понимаются соединения, имеющие непосредственную связь кремний-арил или кремний-гетероарил. Известны линейные и разветвленные арилсиланы, а также линейные и разветвленные полимеры на их основе с арилсилановыми фрагментами в основной цепи или в качестве боковых заместителей.
Под полиарилсилановыми дендримерами в данном изобретении понимаются соединения, имеющие в качестве точек ветвления атомы кремния, которые соединяются между собой ариленовыми или гетероариленовыми фрагментами. При этом арилсилановые фрагменты располагаются во всем объеме, т.е. как во внутренней, так и во внешней сфере дендритной макромолекулы.
Органические светоизлучающие дендримеры и устройства на их основе заявлены, например, в Европейском патенте ЕР 1027398 В1, 2004, в Патентах США US 6558818 B1, 2003 и US 6720093 B2, 2004. Используемые дендримеры могут содержать и силиконовые фрагменты, и гетероариленовые, в том числе тиофеновые. Данные дендримеры, однако, не являются ни кремнийорганическими вообще, ни полиарилсилановыми в частности.
Линейные и разветвленные арилсиланы, содержащие в качестве арильных несколько кумариновых фрагментов описаны в W02006046416, 2006. Разветвленные соединения на основе диарилдиариленсилана описаны в патенте США US 6307083 B1, 2001. Однако данные соединения содержат в структуре двойные связи, что делает их чувствительными к окислению и сокращает срок службы функциональных материалов на их основе.
Сополимеры арилсиланов с флуоренами описаны в патенте США US 6558819 B1, 2003. При этом каждый атом кремния содержит по два арильных и два ариленовых заместителя, что делает структуру полимера линейной. Линейные гетероароматические блоксополимеры, в том числе на основе арилсиланов, описаны в патенте США US 7279534 B2, 2007. Ариленовые полимеры, в том числе с арилсилановыми боковыми заместителями, запатентованы в US 7084231 B2, 2006.
Известен тиофенсилановый дендример первой генерации А, имеющий следующую структурную формулу (Tetrahedron Letters, 1997, v.38, No.34, pp.6043-6046):

которая может быть представлена в виде общей формулы (А-1):

Дендример А был синтезирован литиированием тетра-2-тиенилсилана бутиллитием с последующим взаимодействием полученного полилитиевого соединения с трис-2-тиенилметоксисиланом с выходом 19% при оптимизированных условиях. Низкий выход продукта обусловлен реакциями обмена водорода и лития в тиофеновых кольцах. Получать таким образом дендримеры больших размеров не представляется возможным ввиду нерастворимости полилитиевых соединений. Кроме того, дендример А люминесцентными свойствами не обладает.
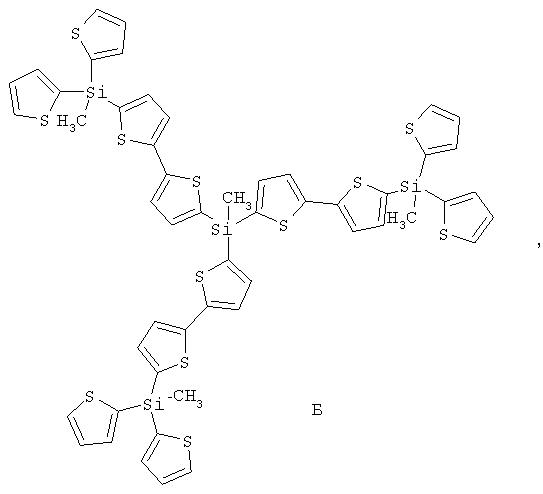
Наиболее близким по строению к заявляемым полиарилсилановым дендримерам является битиофенсилановый дендример первой генерации Б, имеющий следующую структурную формулу (Известия Академии Наук, Серия Химическая, 2005, 3, С.673-679):

которая может быть представлена в виде общей формулы (Б-1):

Дендример Б, в отличие от заявленных арилсилановых дендримеров, содержал только три функциональных битиофенсилановых фрагмента внутри макромолекулы, а в качестве концевых групп содержал монотиофеновые фрагменты, не проявляющие люминесцентных свойств и поэтому не являющиеся функциональными в рамках данного изобретения. В его структуре также отсутствовали концевые алкильные группы. Кроме того, дендример Б был получен по реакциям металлоорганического образования связи тиофен-тиофен из трибром- и монофункциональных магниевых или борорганических производных в условиях Сузуки или Кумады. Недостатками данных реакций является необходимость использования дорогостоящих палладиевых катализаторов.
Полиарилсилановые дендримеры больших генераций (G>1) в литературе не описаны.
Задачей заявляемого изобретения является получение нового технического результата, заключающегося в синтезе новых полиарилсилановых дендримеров, содержащих как минимум шесть функциональных арилсилановых звеньев, в том числе дендримеров больших генераций, обладающих набором свойств для их использования в качестве люминесцентных материалов для органической электроники и фотоники. В качестве таких свойств в рамках данного изобретения выступают хорошая растворимость, высокая эффективность люминесценции и термостабильность.
Кроме того, задачей изобретения является разработка нового способа получения заявленных полиарилсилановых дендримеров, позволяющего получить продукты заданного строения высокой чистоты и пригодного к применению в промышленных условиях.
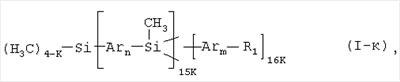
Задача решается тем, что получены полиарилсилановые дендримеры общей формулы (I)

где R1 означает заместитель из ряда: линейные или разветвленные C1-C20 алкильные группы; линейные или разветвленные C1-C20 алкильные группы, разделенные по крайней мере одним атомом кислорода; линейные или разветвленные C1-C20 алкильные группы, разделенные по крайней мере одним атомом серы; разветвленные С3-С20 алкильные группы, разделенные по крайней мере одним атомом кремния;
C2-C20 алкенильные группы;
Ar означает, независимо для каждого n и m, одинаковые или различные ариленовые или гетероариленовые радикалы, выбранные из ряда: замещенный или незамещенный тиенил-2,5-диил общей формулы

замещенный или незамещенный фенил-1,4-диил общей формулы (II-б)

замещенный или незамещенный 1,3-оксазол-2,5-диил общей формулы (II-в) 
замещенный флуорен-4,4′-диил общей формулы (II-г) 
где R2, R3, R4, R5, R6 независимо друг от друга означают Н или заместитель из вышеуказанного ряда для R1, предпочтительно Н или C1-С12 линейные или разветвленные алкильные группы; R7 означает заместитель из вышеуказанного ряда для R1, предпочтительно C1-С12 линейные или разветвленные алкильные группы;
К равно 2 или 3 или 4, предпочтительно 3;
L равно 1 или 3 или 7 или 15, предпочтительно 1 или 3 или 7;
m означает целое число из ряда от 2 до 6, предпочтительно 2 или 3 или 4;
n означает целое число из ряда от 2 до 6, предпочтительно 2 или 3 или 4.
При этом фрагмент (Н3С)4-K-Si является центром ветвления дендримера, а его разветвленность определяется значением К; внутренняя часть молекулы дендримера состоит из KL повторяющихся фрагментов , а внешним слоем дендримера являются фрагменты число которых равно K(L+1).
Положения, отмеченные в формулах (II-а)-(II-г) знаком * (звездочка), являются точками соединения, в которых структурные фрагменты (II-а)-(II-г) связаны друг с другом в форме линейных сопряженных олигомерных цепей Arn (или Arm) или концами цепей Arn (или Arm), связанных с атомами кремния в точках ветвления или с концевыми заместителями R1.
Возможное пространственное расположение структурных фрагментов полиарилсилановых дендримеров общей формулы (I) соответствует представленному на Фиг.1 и Фиг.3, где точками ветвления являются атомы кремния, которые соединены между собой фрагментами Arn.
На Фиг.1 представлено схематическое изображение дендримеров первых четырех генераций G с разветвленностью центра К=3. При этом дендримеру первой генерации (G=1) в формуле (I) соответствует L=1, KL=3 и K(L+1)=4; дендримеру второй генерации (G=2) в формуле (I) соответствует L=3, KL=9 и K(L+1)=12; дендримеру третьей генерации (G=3) в формуле (I) соответствует L=7, KL=21 и K(L+1)=28; дендримеру четвертой генерации (G=4) в формуле (I) соответствует L=15, KL=45 и K(L+1)=48.
Фиг.3 представляет схематическое изображение дендримеров третьей генерации (G=3) с различной разветвленностью центра. При этом дендримеру с разветвленностью центра NC=К=2 в формуле (I) соответствует L=7, KL=14 и K(L+1)=16, дендримеру с разветвленностью центра NC=К=3 в формуле (I) соответствует L=7, KL=21 и K(L+1)=24; дендримеру с разветвленностью центра NC=К=4 в формуле (I) соответствует L=7, KL=28 и K(L+1)=32.
Предпочтительными примерами R1 являются линейные или разветвленные C1-C20 алкильные группы, например, метил, этил, н-пропил, изо-пропил, m-бутил, н-бутил, изо-бутил, втор-бутил, н-пентил, 1-метилбутил, 2-метилбутил, 3-метилбутил, 1-этилпропил, 1,1-диметилпропил, 2,2-диметилпропил, н-гексил, н-гептил, н-октил, 2-этилгексил, н-нонил, н-децил, н-ундецил, н-додецил; С2-С20 алкенильные группы, например, 4-бутен-1-ил, 5-пентен-1-ил, 6-гексен-1-ил, 8-октен-1-ил, И-ундецен-1-ил. Наиболее предпочтительные примеры R1: этил и гексил.
Предпочтительными примерами Ar являются: незамещенный тиенил-2,5-диил общей формулы (II-а), где R2=R3=Н; замещенный тиенил-2,5-диил общей формулы (II-а), где R2=Н, в частности, 3-метилтиенил-2,5-диил, 3-этилтиенил-2,5-диил, 3-пропилтиенил-2,5-диил, 3-бутилтиенил-2,5-диил, 3-пентилтиенил-2,5-диил, 3-гексилтиенил-2,5-диил, 3-(2-этилгексил)тиенил-2,5-диил; незамещенный фенил-1,4-диил общей формулы (II-б), где R4=R5=Н; замещенный фенил-1,4-диил общей формулы (II-б), где R4=Н, в частности, (2,5-диметил)фенил-1,4-диил, (2,5-диэтил)фенил-1,4-диил, (2,5-дипропил)фенил-1,4-диил, (2,5-дибутил)фенил-1,4-диил, (2,5-дипенил)фенил-1,4-диил, (2,5-дигексил)фенил-1,4-диил, 2,5-бис(2-этилгексил)фенил-1,4-диил, (2,5-диметокси)фенил-1,4-диил, (2,5-диэтокси)фенил-1,4-диил, (2,5-дипроокси)фенил-1,4-диил, (2,5-диизопроокси)фенил-1,4-диил, (2,5-дибутокси)фенил-1,4-диил, (2,5-дипентилокси)фенил-1,4-диил, (2,5-дигексилокси)фенил-1,4-диил, 2,5-бис(2-этилгексилокси)фенил-1,4-диил. Наиболее предпочтительные примеры Ar: незамещенный тиенил-2,5-диил и (2,5-диметил)фенил-1,4-диил.
В контексте данного изобретения под Arn (или Arm) понимается любое сочетание из n (или m) звеньев одинаковых или различных Ar, выбранных из вышеприведенного ряда. Предпочтительными примерами такого сочетания являются n (m) одинаковых незамещенных тиенил-2,5-диильных фрагментов, соединенных друг с другом в положениях 2 и 5, например, 2,2′-битиенил-2,5′-диил (II-а-1), 2,2′:5′,2”-тертиенил-2,5”-диил (II-а-2), 2,2′:5′,2”:5”,2”’-кватротиенил-2,5”’-диил (II-а-3):
  
Другим предпочтительным примером такого сочетания являются комбинация различных незамещенных тиенильных фрагментов, соединенных друг с другом в положениях 2 и 5, и различных 2,5-замещенных фенил-1,4-диильных фрагментов, соединенных друг с другом в положениях 1 и 4, таким образом, что их общее количество равно n, например, фрагменты, представленные формулами (II-1)-(II-12):
   
  
  
 
При этом n(m)=2 соответствует формула (II-), n(m)=3 соответствует любая из формул (II-2)-(II-4), n(m)=4 соответствует любая из формул (II-5)-(II-12).
Положения, отмеченные в формулах (II-а-1)-(II-а-3) и (II-1)-(II-12) знаком * (звездочка), являются точками соединения, в которых структурные фрагменты (II-а)-(II-г) связаны друг с другом в форме линейных сопряженных олигомерных цепей Arn (или Arm) или концами цепей Arn (или Arm), связанных с атомами кремния в точках ветвления или с концевыми заместителями R1.
Представленные значения R1, А, Arn и Arm являются частными случаями и не исчерпывают все возможные значения и все возможные сочетания n и m значений Ar между собой.
В частности, в формуле (I) Ar может означать тиенил-2,5-диил, выбранный из ряда соединений формулы (II-а), и фенил-1,4-диил, выбранный из ряда соединений формулы (II-б), тогда заявленные соединения являются политиофенфениленсилановыми дендримерами, общая формула которых имеет следующий вид:

где R1, R2, R3, R4, R5, К, L имеют вышеуказанные значения, n1+n2=n и m1+m2=m.
При этом количества n1 и m1 2,5-тиениленовых фрагментов (II-а), а также n2 и m2 1,4-фениленовых фрагментов (II-б) внутри одного звена макромолекулы являются суммарными. Взаимное расположение данных фрагментов внутри этого звена при любом из n1, n2, m1 или m2 больше 1 может быть блочным или чередующимся определенным образом, но при этом одинаковым для всех повторяющихся KL либо K(L+1) звеньев макромолекулы дендримера.
В этом случае, например, при R1=С6Н13, R2=R3=R4=Н, R5=СН3, К=3, L=1, n1=m1=2, n2=m2=1 тиофенфениленсилановый дендример первой генерации с концевыми гексильными группами (Фиг.4) может быть представлен формулой (I-1):

В частности, в формуле (I) Ar может означать тиенил-2,5-диил, выбранный из ряда соединений формулы (II-а), тогда заявленные соединения являются политиофенсилановыми дендримерами, формула которых имеет следующий вид:

где R1, R2, R3, К, L, n, m имеют вышеуказанные значения.
В этом случае, например, при R1=С6Н13, R2=R3=H, K=3, L=1, n=m=2 битиофенсилановый дендример первой генерации с концевыми гексильными группами (Фиг.5) может быть представлен формулой (1-2):

В частности, в формуле (I) Ar, непосредственно связанный с центром ветвления дендримера, может означать тиенил-2,5-диил, выбранный из ряда соединений формулы (II-а), а остальные Ar, количество которых равно n-1, могут означать любые из вышеперечисленных ариленовых или гетероариленовых фрагментов, тогда формула заявленных полиарилсилановых дендримеров принимает следующий вид:

где R1, R2, R3, Ar, К, L, n и m имеют вышеуказанные значения.
Частными случаями формулы (I-в) являются также дендример I-1 (при Ar = тиенил-2,5-диил (II-а) и фенил-1,4-диил (II-б), R1=С6Н13, R2=R3=R4=Н, R5=СН3, К=3, L=1, n=m=3)и дендример I-2 (при Ar = тиенил-2,5-диил (II-а), R1=С6Н13, R2=R3=H, K=3, L=1, n=m=2).
В частности, в формуле (I) К может быть равно 3, тогда заявленные соединения являются дендримерами с разветвленностью центра NC, равной трем, формула которых имеет следующий вид:

где R1, Ar, L, n и m имеют вышеуказанные значения.
Частными случаями формулы (I-г) являются также дендример I-1 (при Ar = тиенил-2,5-диил (II-а) и фенил-1,4-диил (II-б), R1=С6Н13, R2=R3=R4=H, R5=СН3, L=1, n=m=3) и дендример I-2 (при Ar = тиенил-2,5-диил (II-а), R1=С6Н13, R2=R3=H, L=1, n=m=2).
В частности, в формуле (I) n и m могут быть равны 2, тогда заявленные соединения являются биарилсилановыми дендримерами, формула которых имеет следующий вид:

где R1, Ar, К и L имеют вышеуказанные значения.
Дендример I-2 также является частным случаем формулы (I-д) при Ar = тиенил-2,5-диил (II-а), R1=С6Н13, R2=R3=Н, К=3, L=1.
В частности, в формуле (I) n и m могут быть равны 3, тогда заявленные соединения являются триарилсилановыми дендримерами, формула которых имеет следующий вид:

где R1, Ar, К, L имеют вышеуказанные значения.
Дендример I-1 также является частным случаем формулы (I-е) при Ar = тиенил-2,5-диил (II-а), R1=С6Н13, R2=R3=R4=Н, R5=СН3, К=3, L=1.
В частности, для дендримеров первой генерации L равно 1, и для них формула (I) принимает следующий вид:

где R1, Ar, К, n и m имеют вышеуказанные значения.
Частными случаями формулы (I-ж) являются также дендример I-1 (при Ar = тиенил-2,5-диил (II-а), фенил-1,4-диил (II-б), R1=С6Н13, R2=R3=R4=Н, R5=СН3, К=3, n=m=3) и дендример I-2 (при Ar = тиенил-2,5-диил (II-а), R1=С6Н13, R2=R3=Н, К=3, n=m=2).
В частности, для дендримеров второй генерации L равно 3, и для них формула (I) принимает следующий вид:

где R1, Ar, К, n и m имеют вышеуказанные значения.
В этом случае, например, при Ar = тиенил-2,5-диил (II-а), R1=С6Н13, R2=R3=H,K=3, n=m=2 битиофенсилановый дендример второй генерации с концевыми гексильными группами (Фиг.6) может быть представлен формулой (I-3):

В частности, для дендримеров третьей генерации L равно 7, и для них формула (I) принимает следующий вид:

где R1, Ar, К, n и m имеют вышеуказанные значения.
В этом случае, например, при Ar = тиенил-2,5-диил (II-а), R1=С6Н13, R2=R3=H, K=3, n=m=2 битиофенсилановый дендример третьей генерации с концевыми гексильными группами (Фиг.7) может быть представлен формулой (I-4):

В частности, для дендримеров четвертой генерации L равно 15, и для них формула (I) принимает следующий вид:

где R1, Ar, К, n и m имеют вышеуказанные значения.
В отличие от известных тиофенсилановых дендримеров, например дендримера Б, заявленные полиарилсилановые дендримеры содержат при всех атомах кремния одинаковые или различные арилсилановые группировки, обладающие эффективной люминесценцией, и концевые заместители R1, придающие данным макромолекулам хорошую растворимость в различных органических растворителях.
Под хорошей растворимостью в рамках данного изобретения понимается растворимость дендримера с концентрацией не менее 5 мг/мл, предпочтительно не менее 20 мг/мл, в каком-либо органическом растворителе или их смесях. Примерами таких растворителей могут служить ароматические соединения, например, бензол, толуол, ксилол; хлорорганические соединения, например, дихлорметан, хлороформ, тетрахлорметан, дихлорэтан, тетрахлорэтан, тетрахлорэтилен, хлорбензол; алифатические соединения, например, пентан, гексан, гептан, циклогексан; алифатическое простые эфиры, например, диэтиловый эфир, метилизобутиловый эфир, ТГФ, диоксан; кетоны, например, ацетон, метилэтилкетон; амиды, например, диметилформамид, диметилацетамид; спирты, например, метанол, этанол, изопропанол, бутанол. При этом необходимым и достаточным условием является растворимость хотя бы в одном органическом растворителе или хотя бы в одной смеси из двух или более растворителей.
Полиарилсилановые дендримеры обладают люминесцентными свойствами, что может быть проиллюстрировано спектрами поглощения и люминесценции их разбавленных растворов (см., например, Фиг.8, 9). Оптические характеристики ряда полиарилсилановых дендримеров представлены в таблице. Приведенные данные являются только примерами и ни в коей мере не ограничивают характеристик заявленных полиарилсилановаых дендримеров.
Отличительной особенностью заявленных полиарилсилановых дендримеров является их высокая термическая устойчивость, определяемая в рамках данного изобретения как температура 1% потери массы при нагревании вещества в аргоне. Данная температура составляет не менее 200°С, предпочтительно не менее 300°C, наиболее предпочтительно не менее 400°С. Данные термогравиметрического анализа (ТГА), иллюстрирующие высокую термостабильность заявленных полиарилсилановых на примере дендримеров I-1,I-2,I-3 и I-4, приведены на Фиг.10 и 11.
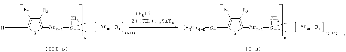
Задача решается также тем, что разработан способ получения полиарилсилановых дендримеров общей формулы (I), заключающийся в том, что монодендрон общей формулы (III)

где Х означает Н или Br или I; R1, Ar, n, m и L имеют вышеуказанные значения, сначала реагирует с литиирующим агентом общей формулы (IV)

где R8 означает линейную или разветвленную C1-С10 алкильную группу, диалкиламидную или фенильную группу, затем полученное монолитийпроизводное общей формулы (V)

где R1, Ar, n, m и L имеют вышеуказанные значения, взаимодействует с функциональным соединением, выбранным из ряда соединений общей формулы (VI)

где К имеет вышеуказанные значения, Y означает Cl или Br или -ОСН3 или -ОС2Н5 или -ОС3Н7 или -ОС4Н9.
В качестве литиирующего агента R8Li может выступать любой коммерчески доступный литиирующий агент, такой как н-бутиллитий, т-бутиллитий, изо-бутиллитий, фениллитий, метиллитий, литийдиизопропиламид в подходящем растворителе, таком как гексан, гептан, толуол, ТГФ. Наиболее предпочтительный реагент – бутиллитий или его раствор в гексане.
Предпочтительными примерами функционального соединения (VI) являются: диметилдихлорсилан, метилтрихлорсилан, тетрахлорсилан, диметилдибромсилан, метилтрибромсилан, тетрабромсилан, диметилдиметоксисилан, метилтриметоксисилан, тетраметоксисилан, диметилдиэтоксисилан, метилтриэтоксисилан, тетраэтоксисилан, диметилдиизопропоксисилан, метилтриизопропоксисилан, тетраизопропоксисилан, диметилдибутоксисилан, метилтрибутоксисилан, тетрабутоксисилан. Наиболее предпочтительный пример – метилтрихлорсилан.
Общая схема процесса может быть представлена следующим образом:

где X, Y, R1, R8, Ar, n, m, К и L имеют вышеуказанные значения.
В частности, функциональным соединением может являться соединение, выбранное из ряда соединений общей формулы (VI), где Y означает Cl, тогда полиарилсилановый дендример получают по следующей общей схеме:

где X, R1, R8, Ar, n, m, L и К имеют вышеуказанные значения.
В частности, функциональным соединением может являться соединение, выбранное из ряда соединений общей формулы (VI), где Y означает -ОСН3, тогда полиарилсилановый дендример получают по следующей общей схеме:

где X, R1, R8, Ar, n, m, L и К имеют вышеуказанные значения.
В частности, в монодендроне формулы (III) Ar может означать тиенил-2,5-диил, выбранный из ряда соединений формулы (II-а), и фенил-1,4-диил, выбранный из ряда соединений формулы (II-б), тогда по следующей общей схеме получают политиофенфениленсилановый дендример:

где n1+n2=n, m1+m2=m, X, Y, R1, R2, R3, R4, R5, R8, К, L, n и m имеют вышеуказанные значения.
В частности, в монодендроне формулы (III) Ar может означать тиенил-2,5-диил, выбранный из ряда соединений формулы (II-а), тогда по следующей общей схеме получают политиофенсилановый дендример:

где X, Y, R1, R2, R3, R8, К, L, n, m имеют вышеуказанные значения.
В частности, в формуле (III) Х может означать Н, с условием что Ar, непосредственно связанный с X, означает тиенил-2,5-диил, выбранный из ряда соединений формулы (II-а), а остальные Ar, количество которых равно n-1, могут означать любые из вышеперечисленных ариленовых или гетероариленовых фрагментов, тогда полиарилсилановый дендример получают по следующей общей схеме:

где Y, R1, R2, R3, Ar, К, L, n и m имеют вышеуказанные значения.
В частности, функциональное соединение может быть выбрано из ряда соединений формулы (VI), где К равно 3, тогда полиарилсилановый дендример получают по следующей схеме:

где X, Y, Ar, R1, R8, L, n и m имеют вышеуказанные значения.
В частности, в монодендроне формулы (III) n и m могут равняться 2, тогда по следующей общей схеме получают полибиарилсилановый дендример:

где X, Y, Ar, R1, R8, K, L имеют вышеуказанные значения.
В частности, в монодендроне формулы (III) n и m могут равняться 3, тогда по следующей общей схеме получают политриарилсилановый дендример:

где X, Y, Ar, R1, R8, К, L имеют вышеуказанные значения.
В частности, в монодендроне формулы (III) L может быть равно 1, тогда по следующей общей схеме получают дендример первой генерации:

где X, Y, Ar, R1, R8, К, n и m имеют вышеуказанные значения.
В частности, в монодендроне формулы (III) L может быть равно 3, тогда по следующей общей схеме получают дендример второй генерации:

где X, Y, Ar, R1, R8, К, n и m имеют вышеуказанные значения.
В частности, в монодендроне формулы (III) L может быть равно 7, тогда по следующей общей схеме получают дендример третьей генерации:

где X, Y, Ar, R1, R8, К, n и m имеют вышеуказанные значения.
В частности, в монодендроне формулы (III) L может быть равно 15, тогда по следующей общей схеме получают дендример четвертой генерации:

где X, Y, Ar, R1, R8, К, n и m имеют вышеуказанные значения.
В отличие от известного метода получения тиофенсиланового дендримера Б, в данном случае после взаимодействия с литиирующим агентом R8Li образуется монолитиевое производное монодендронов формулы (V), хорошо растворимое в различных органических растворителях даже при пониженных температурах. Наличие концевых заместителей R1 как в исходных монодендронах, так и в конечных дендримерах исключает возможности побочных реакций обмена водорода на литий, что существенно повышает выход целевого продукта.
Вышеописанные взаимодействия можно проводить в практически любых безводных растворителях или смесях растворителей, не реагирующих с литийорганическими производными, а также с хлор- и алкоксисиланами. Например, реакцию можно проводить в среде органического растворителя, выбранного из ряда эфиров: тетрагидрофуран, диоксан, метилтретбутиловый эфир, диэтиловый эфир, диметиловый эфир этиленгликоля, или из ряда ароматических соединений: бензол, толуол, ксилол, или из ряда алканов: пентан, гексан, гептан. Предпочтительней всего использование тетрагидрофурана. Смесь из двух или более растворителей также может быть использована. Например, смесь тетрагидрофурана и гексана (присутствует в коммерчески доступных литиирующих агентах, например, раствор бутиллития в гексане). При этом взаимодействие исходных компонентов может проходить при температуре в пределах от -100°С до +30°С при стехиометрическом мольном соотношении функциональных групп исходных компонентов либо избытка одного из них. Предпочтительно взаимодействие проводят при температуре в пределах от -90°С до 0°С. Наиболее предпочтительно взаимодействие проводят при температуре в пределах от -80°С до -60°С при стехиометрическом мольном соотношении функциональных групп исходных компонентов.
После окончания реакции продукт выделяют по известным методикам. Например, добавляют воду и органический растворитель. Органическую фазу отделяют, промывают водой до нейтральной реакции и высушивают, после чего растворитель упаривают. В качестве органического растворителя может быть использован любой не смешивающийся или ограниченно смешивающийся с водой растворитель, например, выбранный из ряда эфиров: диэтиловый эфир, метилтретбутиловый эфир, или выбранный из ряда ароматических соединений: бензол, толуол, ксилол, или выбранный из ряда хлорорганиченских соединений: дихлорметан, хлороформ, четыреххлористый углерод, хлорбензол. Также для выделения могут использоваться смеси органических растворителей. Выделение продукта можно производить и без применения органических растворителей, например, высаживанием водой с последующим отделением продукта от водного слоя фильтрованием, центрифугированием или любым другим известным методом.
Очистку сырого продукта проводят любым известным методом, например, колоночной хроматографией, перекристаллизацией, дробным осаждением, дробным растворением или их любой комбинацией.
Чистоту и строение синтезированных соединений подтверждают совокупностью данных физико-химического анализа, хорошо известных специалистам, таких как хроматографические, спектроскопические, масс-спектроскопические, элементного анализа. Наиболее предпочтительным подтверждением чистоты и структуры полиарилсилановых дендримеров являются ЯМР-спектры на ядрах 1Н, 13С и 29Si, a также ГПХ. Кривые ГПХ дендримеров соответствуют узкому монодисперсному распределению по молекулярному весу (см., например, Фиг.10).
На Фиг.1 представлено схематическое изображение дендримеров различных генераций G (G=1, 2, 3 или 4 для дендримеров первой, второй, третьей и четвертой генераций соответственно) с разветвленностью центра Nc=3 и разветвленностью звена NB=2.
На Фиг.2 представлено схематическое изображение монодендронов различных генераций G (G=1, 2, 3 или 4 для монодендронов первой, второй третьей и четвертой генераций, соответственно) с разветвленностью центра nc=3 и разветвленностью звена NB=2.
На Фиг.3 представлено схематическое изображение дендримеров третьей генерации (G=3) с различной разветвленностью центра NC (NC=2, 3 или 4) и разветвленностью звена NB=2 во всех случаях.
На Фиг.4 представлено схематическое изображение структурной формулы тиофенфениленсиланового дендримера первой генерации I-1.
На Фиг.5 представлено схематическое изображение структурной формулы битиофенсиланового дендримера первой генерации I-2.
На Фиг.6 представлено схематическое изображение структурной формулы битиофенсиланового дендримера второй генерации I-3.
На Фиг.7 представлено схематическое изображение структурной формулы битиофенсиланового дендримера третьей генерации I-4.
На Фиг.8 представлены спектры поглощения (а) и люминесценции (б) разбавленного раствора дендримера I-1 в гексане.
На Фиг.9 представлены спектры поглощения (а) и люминесценции (б) разбавленного раствора дендримера I-3 в ТГФ.
На Фиг.10 представлена кривая ТГА тиофенфениленсиланового дендримера I-1.
На Фиг.11 представлены кривые ТГА ряда битиофенсилановых дендримеров с первой по третью генерации – соединения I-2 (G1), I-3 (G2) и I-4 (G3).
На Фиг.12 представлены ГПХ кривые ряда битиофенсилановых дендримеров с первой по третью генерации – соединения I-2 (G1), I-3 (G2) и I-4 (G3).
В таблице приведены оптические свойства некоторых полиарилсилановых дендримеров в разбавленных растворах в различных растворителях, в том числе максимумы спектров поглощения и люминесценции, квантовый выход люминесценции, характеризующий ее эффективность.
Изобретение может быть проиллюстрировано нижеприведенными примерами. При этом использовали коммерчески доступные реагенты и растворители. Исходные реагенты 5-бром-2,2′-битиофен и 5-гексил-2,2′-битиофен получали по известным методикам (S.Gronowitz, A.-B.-Hornfeldt, Thiophenes, Elsevier Academic press, 2004, pp.755). Другие исходные соединения получали согласно нижеприведенным примерам. Все реакции проводили в безводных растворителях в атмосфере аргона.
Синтез исходных реагентов
Пример 1. Синтез метил(тиен-2-ил)дихлорсилана (VII)

К суспензии 6.09 г (0.25 моль) магния в 15 мл диэтилового эфира прибавили раствор 27.25 г (0.167 моль) 2-бромтиофена в 250 мл диэтилового эфира. К полученному реагенту Гриньяра прибавили 17.82 мл (0.152 моль) метилтрихлорсилана при температуре 0°С. После фильтрования под аргоном и перегонки в вакууме (Ткип=73°С/15 мбар) получили 16.7 г (57% от теоретически возможного) соединения IX. 1Н ЯМР (CDCl3): 1,09 (с, 3Н); 7,25 (дд, 1Н, J1=3,1 Гц, J2=4,9 Гц); 7,57 (д, 1Н, J=3,l Гц); 7,77 (д, 1Н, J=4,9 Гц).
Пример 2. Синтез метил-(2,2′-битиен-5-ил)дихлорсилана (VIII)

Раствор 26.30 г (0.107 моль) 5-бром-2,2′-битиофена в 270 мл сухого ТГФ добавили к суспензии 2.71 г (0.113 моль) магния в 10 мл ТГФ. Полученный реагент Гриньяра добавили к раствору 160.36 г (1.073 моль) метилтрихлорсилана при температуре ниже -50°С. Реакционную смесь перемешивали в течение четырех часов. Осадок отфильтровали, растворитель отогнали. Продукт очищали перегонкой в вакууме (Ткип=110°С/0.11 мбар). Выход: 21.00 г (70% от теоретически возможного). 1Н ЯМР (CDCI3, , м.д., J/Гц): 1.07 (с, 3Н), 7.04 (дд, 1Н, J1=3.7 Гц, J2– 4.9 Гц), 7.23-7.30 (перекрывающиеся сигналы, 4Н), 7.43 (д, 1 Н, J=3.7 Гц). 13С ЯМР ( в CDCl3): 6.71, 124.97, 125.00, 125.66, 128.02, 131.49, 138.08, 138.14, 145.98. 29Si ЯМР ( in CDCl3): 11.24.
Пример 3. Синтез 2-(4-бромо-2,5-диметилфенил)тиофена (IX)

К раствору 29.60 г (122 ммоль) 1,4-дибром-2,5-диметилбензола и 330 мг (0.45 ммоль) катализатора Pd(dppf)Cl2 в 200 мл ТГФ при температуре 0°С добавили раствор 2-тиенилмагнийбромида в ТГФ, свежеприготовленного из 20.95 г (129 ммоль) 2-бромтиофена, 3.24 г (135 ммоль) магния и 200 мл ТГФ. Реакционную смесь перемешивали при 20°С в течение 6 часов. Реакционный выход составил 55% (по данным ГПХ). После выделения и перекристаллизации с последующей очисткой методом колоночной хроматографии было получено 15.80 г (53% от теоретически возможного) хроматографически чистого соединения (IX). 1H ЯМР (CDCl3, , м.д., J/Гц): 2.36 (с, 3Н), 2.38 (с, 3Н), 7.04 (дд, 1Н, J1=3.7 Гц, J2=1.2 Гц), 7.09 (дд, 1Н, J1=3.7 Гц, J2=4.9 Гц), 7.26 (с, 1Н), 7.34 (дд, 1Н, J1=4.9 Гц, J2=1.2 Гц), 7.44 (с, 1Н).
Пример 4. Синтез 2-[2,5-диметил-4-(2-тиенил)фенил]-5-гексилтиофена (X)

Соединение Х получали аналогично синтезу соединения IX из 20.50 г (768 ммоль) соединения IX, 300 мг (0.4 ммоль) катализатора Pd(dppf)Cl2 и раствора 5-гексил-2-тиенилмагнийбромида в ТГФ, свежеприготовленного из 19.93 г (81 ммоль) 2-бромо-5-гексилтиофена и 2.03 г (85 ммоль) магния. Реакционный выход составил 84% (по данным ГПХ). После выделения и очистки методом колоночной хроматографии выход хроматографически чистого продукта составил 21.89 г (81% от теоретически возможного). 1Н ЯМР (CDCl3, , м.д., J/Гц): 0.90 (т, 3Н, J=6.7 Гц), 1.24-1.50 (перекрывающиеся сигналы, 6Н), 1.72 (м, 2Н, М=5, J=7.3 Гц), 2.41 (с, 3Н), 2.44 (с, 3Н), 2.84 (т, 2Н, J=7.3 Гц), 6.76 (д, 1H, J=3.7 Гц), 6.90 (д, 1Н, J=3.7 Гц), 7.10 (перекрывающиеся сигналы, 2Н), 7.33 (перекрывающиеся сигналы, 3Н). 13С ЯМР ( в CDCl3): 14.10, 20.61, 20.75, 22.59, 28.87, 30.13, 31.58, 31.65, 124.09, 125.05, 126.05, 126.32, 133.02, 133.07, 133.24, 133.88, 139.96, 142.76, 145.93.
Пример 5. Синтез бис{5-[4-(5-гексил-2-тиенил)-2,5-диметилфенил]-2-тиенил} (метил)-2-тиенилсилана (XI)

К раствору 14.00 г (40 ммоль) соединения Х в ТГФ добавили 15.80 мл (40 ммоль) 1.6 М раствора н-бутиллития в гексане при температуре -78°С. Реакционную смесь перемешивали в течение одного часа, после чего добавили 4,09 г (20 ммоль) соединения VII. Через 15 минут перемешивания реакционной смеси при охлаждении реакционный выход составил 94% (по данным ГПХ). После стандартного выделения реакции и очистки методом колоночной хроматографии выход хроматографически чистого продукта составил 15.47 г (90% от теоретически возможного). 1Н ЯМР (250 МГц, в CDCl3, ТМС/м.д.): 0.89 (т, 6Н, J=6.7 Гц), 1.00 (с, 3Н), 1.25-1.45 (перекрывающиеся сигналы, 12 Н), 1.71 (м, 4Н, М=5, J=7.3 Гц), 2.42 (с, 12Н), 2.82 (т, 4Н, J=7.3 Гц), 6.75 (дд, 2Н, J1=3.7 Гц, J2=1.2 Гц), 6.90 (д, 2Н, J=3.7 Гц), 7.20-7.30 (перекрывающиеся сигналы, 3Н), 7.31 (с, 2Н), 7.33 (с, 2Н), 7.40 (д, 2Н, J=3.7 Гц), 7.50 (дд, 1Н, J1=3.7 Гц, J2=1.2 Гц), 7.72 (дд, 1Н, J1=4.9 Гц, J2-1.2 Гц). 13С ЯМР (500 МГц, в CDCl3): 0.16, 14.10, 20.75, 22.59, 28.86, 30.13, 31.58, 31.64, 124.11, 126.08, 127.83, 128.19, 128.38, 129.00, 132.32, 132.44, 132.59, 132.77, 133.05, 133.99, 134.83, 137.05, 137.18, 139.94, 145.95, 150.18. 29Si ЯМР (500 МГц, в CDCl3): -25.00.
Пример 6. Синтез {5-[2,5-диметил-4-(2-тиенил)фенил]-2-тиенил}бис{5-[4-(5-гексил-2-тиенил)-2,5-диметилфенил]-2-тиенил}метилсилана (III-1)

К раствору 13.00 г (15.6 ммоль) соединения XI в ТГФ прибавили 6.20 мл (15.6 ммоль) 2.5 М раствора н-бутиллития в гексане при температуре -78°С. Реакционную смесь перемешивали в течение одного часа, после чего добавили раствор эфирного комплекса бромида магния, свежеприготовленного из 490 мг (20.3 ммоль) магния и 3.52 г (18.7 ммоль) дибромэтана и 25 мл диэтилового эфира. Полученный таким образом реактив Гриньяра прибавили к раствору 3.96 г (14.8 ммоль) соединения IX и 200 мг катализатора Pd(dppf)Cl2 в 20 мл ТГФ при температуре 0°С. Реакционную смесь перемешивали в течение 18 часов. Реакционный выход составил 64% (по данным ГПХ). После стандартного выделения реакции и очистки методом колоночной хроматографии на силикагеле выход хроматографически чистого продукта составил 8.85 г (58.5% от теоретически возможного). 1Н ЯМР (250 МГц, в CDCl3, ТМС/м.д.): 0.89 (т, 6Н, J=6.7 Гц), 1.03 (с, 3Н), 1.25-1.45 (перекрывающиеся сигналы, 12 Н), 1.71 (м, 4Н, М=5, J=7.3 Гц), 2.42 (с, 3Н), 2.43 (с, 12Н), 2.44 (с, 3Н), 2.82 (т, 4Н, J=7.3 Гц), 6.75 (дд, 2Н, J1=3.7 Гц, J2=1.2 Гц), 6.90 (д, 2Н, J=3.7 Гц), 7.10 (д, 2Н, J=3.7 Гц), 7.22 (д, 2Н, J=3.1 Гц), 7.23 (д, 2Н, J=3.7 Гц), 7.30 – 7.40 (перекрывающиеся сигналы, 6Н), 7.45 (дд, 3Н, J1=3.7 Гц, J2=1.2 Гц). 13С ЯМР (500 МГц, в CDCl3): 0.15, 14.10, 20.61, 20.76, 22.59, 28.87, 30.13, 31.58, 31.64, 124.11, 125.16, 126.08, 126.42, 127.14, 127.86, 127.94, 132.45, 132.61, 132.72, 132.78, 133.07, 133.14, 133.24, 133.33, 133.59, 134.01, 134.80, 134.97, 137.23, 139.94, 142.63, 145.96, 150.06, 150.22. 29Si ЯМР (500 МГц, в CDCl3): -25.32.
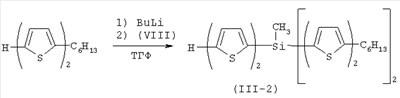
Пример 7. Синтез 2,2′-битиен-5-ил[бис(5′-гексил-2,2′-битиен-5-ил)]метилсилана (III-
2)

Монодендрон III-2 получали аналогично методике синтеза соединения XI из 15.04 г (57.2 ммоль) 5-гексил-2,2′-битиофена, 23.55 мл 2.5 М раствора н-бутиллития (57.2 ммоль) в гексане, 7.99 г (28.6 ммоль) соединения VIII и 400 мл ТГФ. Через 30 минут перемешивания реакционной смеси реакционный выход составил 98% (по данным ГПХ). После выделения и очистки было получено 18.20 г (90% от теоретически возможного) хроматографически чистого соединения III-2. 1Н ЯМР (ДМСО-CCl4, , м.д., J/Гц): 0.88 (т, 6Н, J=6.7 Гц), 0.92 (с, 3Н), 1.24-1.40 (перекрывающиеся сигналы, 12Н), 1.64 (м, 4Н, М=5, J=7.3 Гц), 2.76 (т, 4Н, J=7.3 Гц), 6.69 (д, 2Н, J=3.05 Гц), 7.01 (д, 1Н, J=3.05 Гц), 7.03 (д, 2Н, J=3.7 Гц), 7.21 (д, 2Н, J=3.7 Гц), 7.26 (д, 1Н, J=3.7 Гц), 7.29 (д, 2Н, J=3.7 Гц), 7.31 (д, 2Н, J=3.7 Гц), 7.37 (д, 1Н, J=3.7 Гц). 13С ЯМР ( в CDCl3): -0.16, 14.07, 22.56, 28.72, 30.15, 31.52, 31.55, 123.96, 124.26, 124.35, 124.79, 124.82, 125.12, 127.83, 132.96, 134.05, 134.30, 136.97, 137.78, 137.81, 144.47, 145.17, 145.94. 29Si ЯМР ( in CDCl3): -25.27. Найдено для С37Н42S6Si (%): С, 62.59; Н 5.89; S 27.17; Si 3.69. Вычислено (%): С 62.84; Н 5.99; S 27.20; Si 3.97.
Пример 8. Синтез [[2,2′-битиен-5-ил(метил)силандиил]бис(2,2′-битиене-5′,5-диил)]бис[бис(5′-гексил-2,2′-битиен-5-ил)(метил)силана] (III-3)

Монодендрон III-3 получали аналогично методике синтеза соединения XI из 16.20 г (22.90 ммоль) монодендрона III-2, 9.16 мл 2.5 М раствора н-бутиллития (22.90 ммоль) в гексане, 3.20 г (11.45 ммоль) соединения VIII и 450 мл ТГФ. Через 60 минут перемешивания реакционной смеси реакционный выход составил 90% (по данным ГПХ). После выделения и очистки было получено 15.00 г (81% от теоретически возможного) хроматографически чистого соединения III-3. 1Н ЯМР ( в ДМСО-CCl4, ТМС/м.д.): 0.87 (т, 12Н, J=6.7 Гц), 0.91 (с, 6Н), 0.94 (с, 3Н), 1.22-1.39 (перекрывающиеся сигналы, 24Н), 1.63 (м, 8 Н, М=5, J=7.3 Гц), 2.75 (т, 8Н, J=7.3 Гц), 6.68 (д, 4Н, J=3.7 Гц), 7.00 (д, 1Н, J=3.7 Гц), 7.03 (д, 4Н, J=3.7 Гц), 7.20 (д, 4Н, J=3.7 Гц), 7.24 (д, 1Н, J=3.7 Гц), 7.28 (д, 4Н, J=3.7 Гц), 7.30-7.35 (перекрывающиеся сигналы, 6Н), 7.35-7.40 (перекрывающиеся сигналы, 5Н). 13С ЯМР ( в CDCl3): -0.24, -0.19, 14.07, 22.55, 28.71, 30.14, 31.50, 31.54, 123.97, 124.34, 124.81, 125.15, 125.67, 125.69, 127.82, 132.87, 133.61, 134.26, 134.28, 134.74, 136.90, 137.82, 137.88, 137.91, 143.91, 144.12, 145.18, 145.92. 29Si ЯМР ( in CDCl3): -25.23, -25.08. Найдено для C83H90S14Si3 (%): С, 61.39; Н 5.64; S 27.60; Si 5.08. Вычислено (%): С 61.51; Н 5.60; S 27.70; Si 5.20.
Пример 9. Синтез {[2,2′-битиен-5-ил(метил)силандиил]бис[2,2′-битиен-5′,5-диил(метилсилантриил)бис(2,2′-битиен-5′,5-диил)]}тетракис[бис(5′-гексил-2,2′-битиен-5-ил)(метил)силана] (III-4)

Монодендрон III-4 получали аналогично методике синтеза соединения XI из 10.98 г (6.77 ммоль) монодендрона III-4, 2.71 мл 2.5 М раствора н-бутиллития (6.77 ммоль) в гексане, 0.95 г (3.39 ммоль) соединения VIII и 330 мл ТГФ. Через 90 минут перемешивания реакционной смеси реакционный выход составил 70% (по данным ГПХ). После выделения и очистки было получено 7.02 г (60% от теоретически возможного) хроматографически чистого соединения III-4. 1Н ЯМР ( в ДМСО-CCl4, ТМС/м.д.): 0.87 (т, 24Н, J=6.7 Гц), 0.90 (с, 12Н), 0.93 (с, 9Н), 1.22-1.39 (перекрывающиеся сигналы, 48Н), 1.62 (м, 16 Н, М=5, J=7.3 Гц), 2.74 (т, 16Н, J=7.3 Гц), 6.66 (д, 8Н, J=3.7 Гц), 6.99 (д, 1Н, J=3.7 Гц), 7.01 (д, 8Н, J=3.7 Гц), 7.18 (д, 8Н, J=3.7 Гц), 7.22 (д, 1Н, J=3.7 Гц), 7.27 (д, 8Н, J=3.7 Гц), 7.29-7.33 (перекрывающиеся сигналы, 15Н), 7.33-7.38 (перекрывающиеся сигналы, 12Н). 13С ЯМР ( в CDCl3): -0.24, -0.22, -0.18, 14.07, 22.56, 28.71, 30.14, 31.51, 31.54, 123.97, 124.35, 124.82, 125.15, 125.67, 125.70, 125.73, 127.83, 132.87, 134.17, 134.28, 134.30, 134.72, 137.82, 137.89, 137.94, 143.90, 144.05, 144.14, 145.17, 145.92. 29Si ЯМР ( in CDCl3): -25.24, -25.08, -25.04.
Найдено для C175H186S30Si7 (%): 61.22; Н 5.49; S 27.95; Si 5.49.
Вычислено (%): С 60.96; Н 5.44; S 27.90; Si 5.70.
Синтез дендримеров
Общая методика синтеза дендримеров: к раствору 0.1 ммоль соединения III в ТГФ прибавляют 0.1 ммоль раствора бутиллития в гексане при температуре -60 -80°С. Затем добавляют 0.033 моль соединения VI и перемешивают в течение 30-180 мин. После окончания реакции продукт выделяют по известным методикам. Продукт очищают методом колоночной хроматографии на силикагеле.
Пример 10. Синтез тиофенфениленсиланового дендримера первой генерации (I-1)

Дендример I-1 получали по общей методике синтеза дендримеров из 2.08 г монодендрона III-1, 0.82 мл 2.5 М раствора н-бутиллития в гексане, 96.9 мг метилтрихлорсилана в 30 мл ТГФ. Реакционный выход составил 50% (по данным ГПХ). После выделения и очистки было получено 0.70 г (33% от теоретически возможного) чистого дендримера I-1. 1Н ЯМР (250 МГц, в CDCl3, ТМС/м.д.): 0.89 (т, 18Н, J=6.7 Гц), 1.02 (с, 12Н), 1.25-1.45 (перекрывающиеся сигналы, 36 Н), 1.70 (м, 12Н, М=5, J=7.3 Гц), 2.42 (с, 36Н), 2.44 (с, 18Н), 2.82 (т, 12Н, J=7.3 Гц), 6.75 (д, 6Н, J=3.7 Гц), 6.90 (д, 6Н, J=3.1 Гц), 7.21 (д, 6Н, J=3.7 Гц), 7.23 (д, 6Н, J=3.1 Гц), 7.30 (с, 6Н), 7.34 (с, 6Н), 7.37 (с, 6Н), 7.45 (д, 12Н, J=3.7 Гц). 13С ЯМР (500 МГц, в CDCl3): 0.16, 14.10, 20.76, 22.58, 28.86, 30.13, 31.58, 31.64, 124.11, 126.08, 127.86, 127.95, 132.44, 132.61, 132.65, 132.78, 133.06, 133.15, 133.35, 133.38, 134.01, 134.78, 134.90, 134.98, 137.24, 139.94, 145.95, 150.05, 150.08, 150.21. 29Si ЯМР (500 МГц, в CDCl3): -25.32, -25.29. Найдено для C112H126S18Si4 (%): С, 71.48; Н, 6.55; S, 18.14; Si, 3.64. Вычислено (%): С, 71.31; Н, 6.44; S, 18.62; Si, 3.63.
Пример 11. Синтез битиофенсиланового дендримера первой генерации (I-2)

Дендример I-2 получали по общей методике синтеза дендримеров из 0.90 г монодендрона III-2, 0.8 мл 1.6 М раствора н-бутиллития в гексане, 63.5 мг метилтрихлорсилана в 35 мл ТГФ. Реакционный выход составил 87% (по данным ГПХ). После выделения и очистки было получено 0.58 г (65% от теоретически возможного) чистого дендримера 1-2. 1Н ЯМР (250 МГц, в ДМСО-CCl4, ТМС/м.д.): 0.86 (т, 18Н, J=6.7 Гц), 0.91 (с, 9Н), 0.93 (с, 3Н), 1.23-1.40 (перекрывающиеся сигналы, 36 Н), 1.61 (м, 12Н, М=5, J=7.3 Гц), 2.74 (т, 12Н, J=7.3 Гц), 6.68 (д, 6Н, J=3.7 Гц), 7.02 (д, 6Н, J=3.1 Гц), 7.21 (д, 6Н, J=3.7 Гц), 7.28(д, 6Н, J=3.1 Гц), 7.31(д, 3Н, J=3.1 Гц), 7.33 (д, 3Н, J=3.7 Гц), 7.38 (д, 6Н, J=3.1 Гц). 13С ЯМР (500 МГц, в CDCl3): -0.23, -0.16, 14.05, 22.55, 28.72, 30.16, 31.51, 31.54, 123.99, 124.37, 124.81, 125.72, 132.94, 134.26, 134.32, 134.77, 137.82, 137.94, 143.94, 144.16, 145.20, 145.93. 29Si ЯМР (500 МГц, в CDCl3): -25.24, -25.05. Найдено для C112H126S18Si4 (%): С, 62.37; Н, 5.85; S, 26.18; Si, 5.32. Вычислено (%): С, 62.23; Н, 5.88; S, 26.70; Si, 5.20.
Пример 12. Синтез битиофенсиланового дендримера второй генерации (I-3)

Дендример I-3, получали по общей методике синтеза дендримеров из 1.00 г монодендрона III-3, 0.38 мл 1.6 М раствора н-бутиллития в гексане в гексане, 30.6 мг метилтрихлорсилана и 35 мл ТГФ. Реакционный выход составил 67% (из данных ГПХ). После выделения и очистки было получено 0.51 г (51% от теоретически возможного) чистого дендримера I-3. 1Н ЯМР (250 МГц, в ДМСО-CCl4, ТМС/м.д.): 0.84 (т, 36Н, J=6.7 Гц), 0.88 (с, 18Н), 0.90 (с, 12Н), 1.21-1.37 (перекрывающиеся сигналы, 72 Н), 1.59 (м, 24Н, М=5, J=7.3 Гц). 2.71 (т, 24Н, J=7.3 Гц), 6.64 (д, 12Н, J=3.7 Гц), 6.98 (д, 12Н, J=3.1 Гц), 7.16 (д, 12Н, J=3.7 Гц), 7.25(д, 12Н, J=3.1 Гц), 7.28(д, 9Н,.7=3.1 Гц), 7.29 (д, 9Н, J=3.7 Гц), 7.30-7.35 (перекрывающиеся сигналы, J=18H). 13C ЯМР (500 МГц, в CDCl3): -0.25, -0.20, 14.10, 22.56, 28.71, 30.14, 31.51, 31.53, 123.94, 124.32, 124.81, 125.66, 125.68, 125.72, 132.80, 134.10, 134.16, 134.20, 134.24, 134.65, 137.83, 137.94, 143.87, 144.01, 144.10, 145.14, 145.90. 29Si ЯМР (500 МГц, в CDCl3): -25.25, -25.05. Найдено для C251H272S42Si10 (%): С, 62.00; Н, 5.60; S, 26.65; Si, 5.70. Вычислено (%): С, 61.32; Н, 5.58; S, 27.39; Si, 5.71.
Пример 13. Синтез битиофенсиланового дендримера третьей генерации (I-4)

Дендример I-4, получали по общей методике синтеза дендримеров из 1.02 г монодендрона III-4, 0.18 мл 1.6 М раствора н-бутиллития в гексане, 14.4 мг метилтрихлорсилана и 35 мл ТГФ. Реакционный выход составил 25% (по данным ГПХ). После выделения и очистки было получено 0.14 г (13% от теоретически возможного) чистого дендримера I-4. 1H ЯМР (250 МГц, в ДМСО-CCl4, ТМС/м.д.): 0.84 (т, 72Н, J=6.7 Гц), 0.86 (с, 42Н), 0.88 (с, 30Н), 1.21-1.37 (перекрывающиеся сигналы, 144 Н), 1.59 (м, 48Н, М=5, J=7.3 Гц), 2.70 (т, 48Н, J=7.3 Гц), 6.62 (д, 24Н,.7=3.7 Гц), 6.96 (д, 24Н, J=3.1 Гц), 7.14 (д, 24Н, J=3.7 Гц), 7.18-7.34 (перекрывающиеся сигналы, 108Н). 13С ЯМР (500 МГц, в CDCl3): -0.27, -0.21, 14.10, 22.56, 28.70, 30.12, 31.49, 31.52, 123.93, 124.31, 124.80, 125.65, 125.67, 125.70, 132.78, 134.08, 134.12, 134.16, 134.23, 134.61, 137.81, 137.93, 143.85, 144.00, 144.08, 145.12, 145.87. 29Si ЯМР (500 МГц, д in CDCl3): -25.26, -25.06. Найдено для C526H558S90Si22 (%): С, 62.05; Н, 5.62; S, 25.62; Si, 6.00. Вычислено (%): С, 60.84; Н, 5.42; S, 27.79; Si, 5.95.
Полиарилсилановые дендримеры и способ их получения
| Таблица |
| Дендример |
Растворитель |
Максимум спектра поглощения, нм |
Максимум спектра люминесценции, нм |
Квантовый выход люминесценции Q, % |
| I-1 |
ТГФ |
299 |
375/388 |
36 |
| I-1 |
гексан |
308 |
380/398 |
40 |
| I-2 |
ТГФ |
333 |
374/388 |
30 |
| I-3 |
ТГФ |
334 |
375/390 |
31 |
| I-4 |
ТГФ |
336 |
376/390 |
30 |
Формула изобретения
1. Полиарилсилановые дендримеры общей формулы (I)
 где R1 означает заместитель из ряда: линейные или разветвленные C1-C20 алкильные группы; линейные или разветвленные С1-С20 алкильные группы, разделенные по крайней мере одним атомом кислорода; линейные или разветвленные C1-C20 алкильные группы, разделенные по крайней мере одним атомом серы; разветвленные С3-С20 алкильные группы, разделенные по крайней мере одним атомом кремния; С3-С20 алкенильные группы; Ar означает, независимо для каждого n и m, одинаковые или различные ариленовые или гетероариленовые радикалы, выбранные из ряда: замещенный или незамещенный тиенил-2,5-диил общей формулы , замещенный или незамещенный фенил-1,4-диил общей формулы (II-б) , замещенный или незамещенный 1,3-оксазол-2,5-диил общей формулы (II-в) замещенный флуорен-4,4′-диил общей формулы (II-г) , где R2, R3, R4, R5, R6 означают независимо друг от друга Н или заместитель из вышеуказанного ряда для R1; R7 означает заместитель из вышеуказанного ряда для R1; К равно 2, или 3, или 4; L равно 1, или 3, или 7, или 15; m означает целое число из ряда от 2 до 6; n означает целое число из ряда от 2 до 6; при этом фрагмент (Н3С)4-K-Si является центром ветвления дендримера.
2. Полиарилсилановые дендримеры по п.1, отличающиеся тем, что Ar означает тиенил-2,5-диил, выбранный из ряда соединений формулы (II-а), и фенил-1,4-диил, выбранный из ряда соединений формулы (II-б).
3. Полиарилсилановые дендримеры по п.1, отличающиеся тем, что Ar означает тиенил-2,5-диил, выбранный из ряда соединений формулы (II-а).
4. Полиарилсилановые дендримеры по п.1, отличающиеся тем, что Ar, непосредственно связанный с центром ветвления дендримера, означает тиенил-2,5-диил, выбранный из ряда соединений формулы (II-а).
5. Полиарилсилановые дендримеры по любому из пп.1-4, отличающиеся тем, что К равно 3.
6. Полиарилсилановые дендримеры по любому из пп.1-4, отличающиеся тем, что n и m независимо друг от друга означают целые числа, выбранные из ряда от 2 до 4.
7. Полиарилсилановые дендримеры по любому из пп.1-4, отличающиеся тем, что L равно 1.
8. Полиарилсилановые дендримеры по любому из пп.1-4, отличающиеся тем, что L равно 3.
9. Полиарилсилановые дендримеры по любому из пп.1-4, отличающиеся тем, что L равно 7.
10. Полиарилсилановые дендримеры по любому из пп.1-4, отличающиеся тем, что их растворимость составляет не менее 5 мг/мл.
11. Полиарилсилановые дендримеры по любому из пп.1-4, отличающиеся тем, что они термостабильны до температуры не менее 200°С.
12. Полиарилсилановые дендримеры по любому из пп.1-4, отличающиеся тем, что они обладают люминесцентными свойствами.
13. Способ получения полиарилсилановых дендримеров по любому из пп.1-12, заключающийся в том, что монодендрон общей формулы (III)
 где Х означает Н или Br или I; R1, Ar, n, m и L имеют вышеуказанные значения, сначала реагирует с литиирующим агентом общей формулы (IV)
 где R8 означает линейную или разветвленную С1-С10 алкильную группу, диалкиламидную или фенильную группу, затем полученное монолитийпроизводное общей формулы (V)
 где R1, Ar, n, m и L имеют вышеуказанные значения; взаимодействует с функциональным соединением, выбранным из ряда соединений общей формулы (VI)
 где К имеет вышеуказанные значения, Y означает Cl или Br или -ОСН3 или -ОС2Н5 или -ОС3Н7 или -ОС4Н9.
14. Способ по п.13, отличающийся тем, что функциональное соединение выбрано из ряда соединений формулы (VI), где Y означает Cl.
15. Способ по п.13, отличающийся тем, что в монодендроне формулы (III) Ar означает тиенил-2,5-диил, выбранный из ряда соединений формулы (II-а), и фенил-1,4-диил, выбранный из ряда соединений формулы (II-б).
16. Способ по п.13, отличающийся тем, что в монодендроне формулы (III) Ar означает тиенил-2,5-диил, выбранный из ряда соединений формулы (II-а).
17. Способ по п.13, отличающийся тем, что в монодендроне формулы (III) Х означает Н с условием, что Ar, непосредственно связанный с X, означает тиенил-2,5-диил, выбранный из ряда соединений формулы (II-а).
18. Способ по любому из пп.13-17, отличающийся тем, что функциональное соединение выбрано из ряда соединений формулы (VI), где К равно 3.
19. Способ по любому из пп.13-17, отличающийся тем, что в монодендроне формулы (III) n и m независимо друг от друга означают целые числа, выбранные из ряда от 2 до 4.
20. Способ по любому из пп.13-17, отличающийся тем, что в монодендроне формулы (III) L равно 1.
21. Способ по любому из пп.13-17, отличающийся тем, что в монодендроне формулы (III) L равно 3.
22. Способ по любому из пп.13-17, отличающийся тем, что в монодендроне формулы (III) L равно 7.
23. Способ по любому из пп.13-17, отличающийся тем, что взаимодействие компонентов осуществляют при температуре от минус 90 до 0°С.
24. Способ по любому из пп.13-17, отличающийся тем, что взаимодействие компонентов проводят в среде тетрагидрофурана.
РИСУНКИ
|
|