Патент на изобретение №2353622
|
|||||||||||||||||||||||||||||||||||||||||||||||||||||||||||||||||||||||||||||||||||||||||||||||||||||||||||||||||||||||||||||||||||||||||||||||||||||||||||||||||||||||
(54) НОВЫЕ ПРОИЗВОДНЫЕ ФУЗИДОВОЙ КИСЛОТЫ
(57) Реферат:
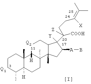
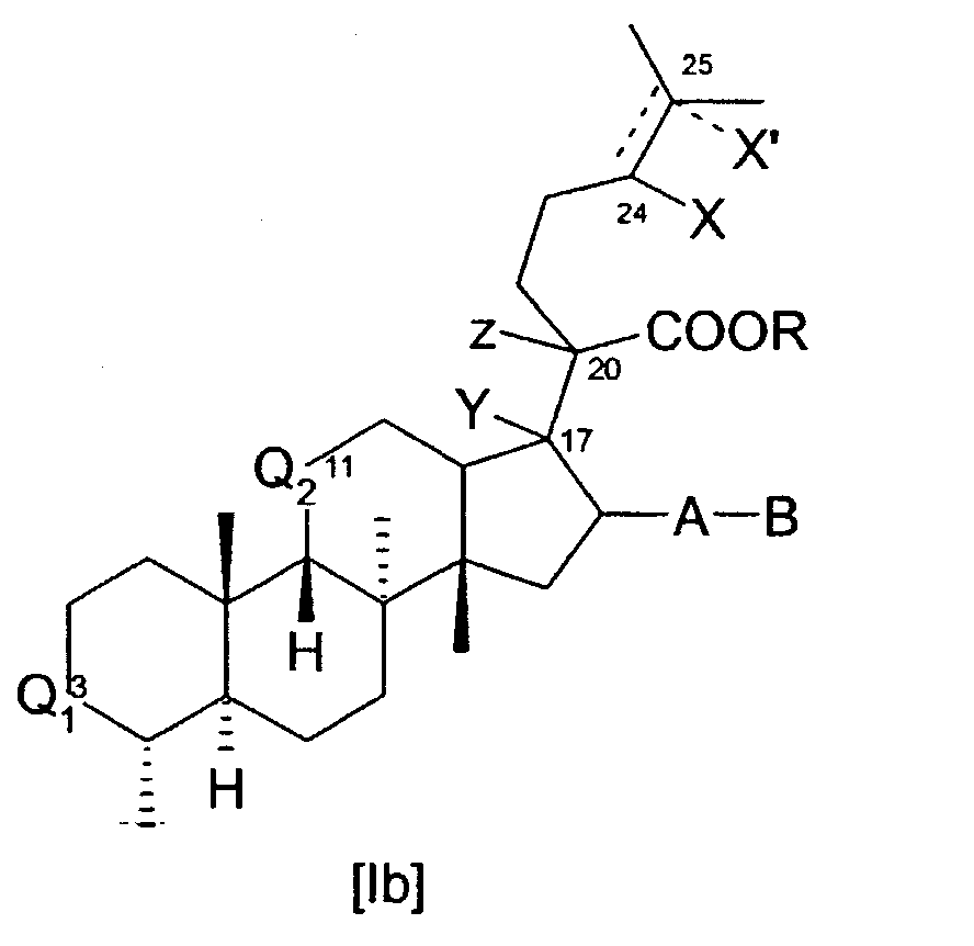
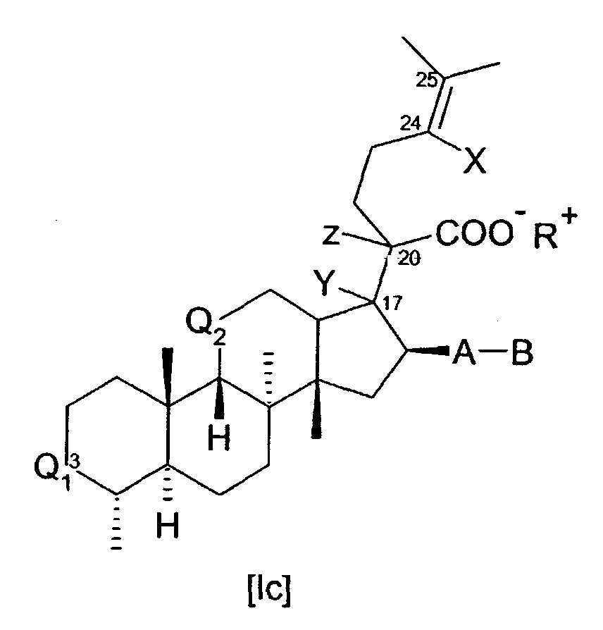
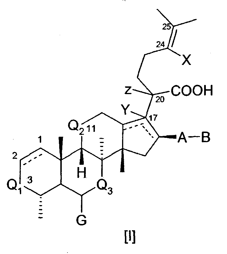
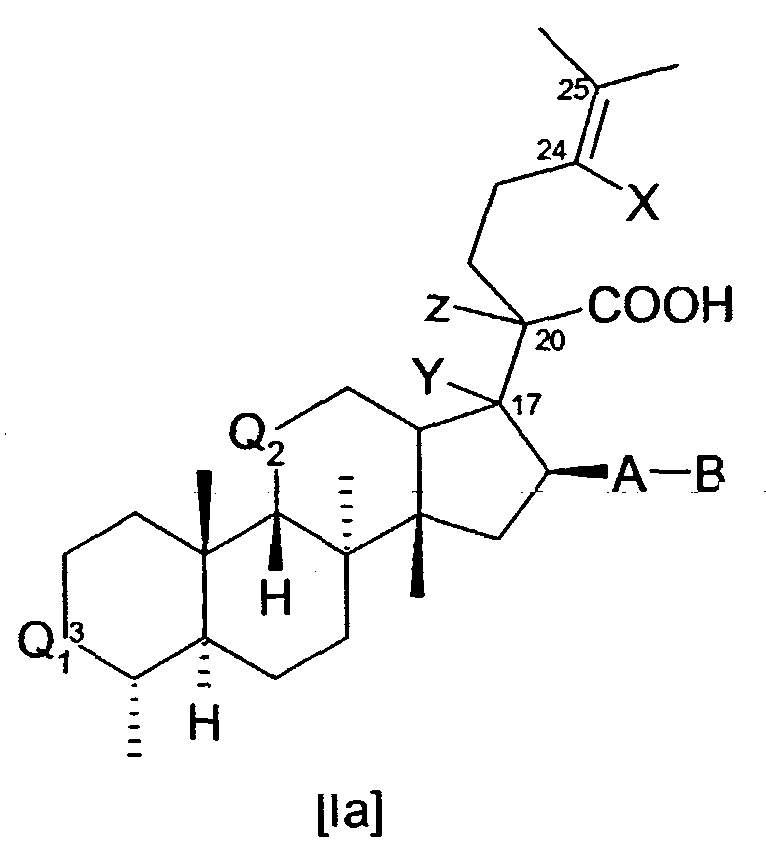
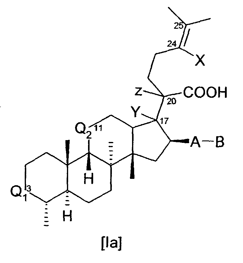
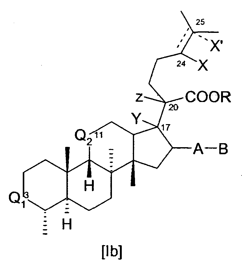
Настоящее изобретение относится к новым производным фузидовой кислоты общей формулы [I], где X обозначает галоген, трифторметил, С1-С7алкил, замещенный фенилом, С2-С9алкенил, необязательно замещенный С1-С7алкилом, галогеном или фенилом, фенил, необязательно замещенный одним или двумя одинаковыми или различными заместителями, выбранными из группы, состоящей из галогена, С1-С7алкила, С2-С9алкенила, фенила, С1-С6алкокси, нитро, С1-С6алкилтио, трифторметила и циано; или X представляет собой нафтил; Y и Z, оба, обозначают водород или вместе со связью С-17/С-20 образуют двойную связь между С-17 и С-20 или вместе представляют собой метилен и образуют циклопропановое кольцо в сочетании с С-17 и С-20; А обозначает О, S или S(O); В обозначает С1-6алкил, С2-6алкенил, С1-6ацил, фенил или бензоил, где С1-6алкил необязательно замещен одним или более галогенами, гидрокси, С2-6алкенилом, фенилом, С1-4гетероарилом или С1-6алкокси; Q1 обозначает -(СНОН)- или -(CHW)-, где W обозначает галоген или азидо; Q2 обозначает -(СНОН)-; к их фармацевтически приемлемый солям и легко гидролизуемым сложным эфирам и к фармацевтическим композициям, включающим указанные производные, а также к их применению в терапии. 9 н. и 22 з.п. ф-лы, 7 табл.
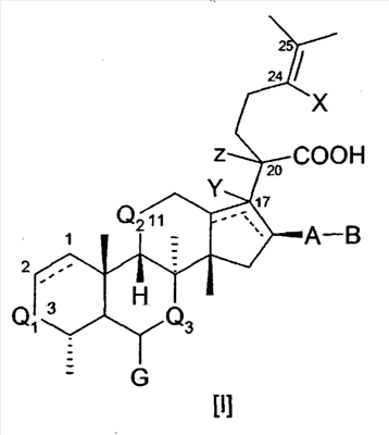
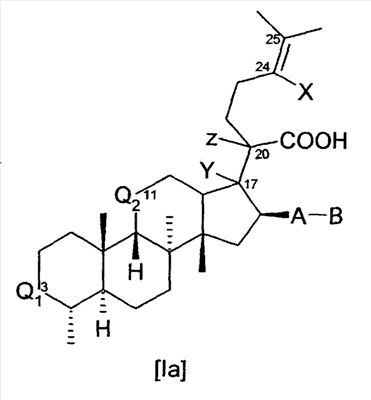
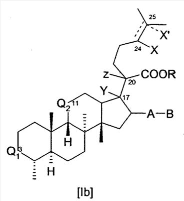
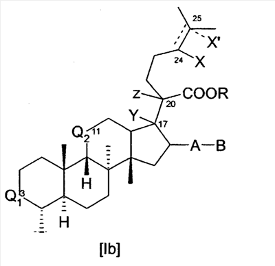
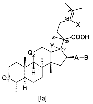
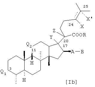
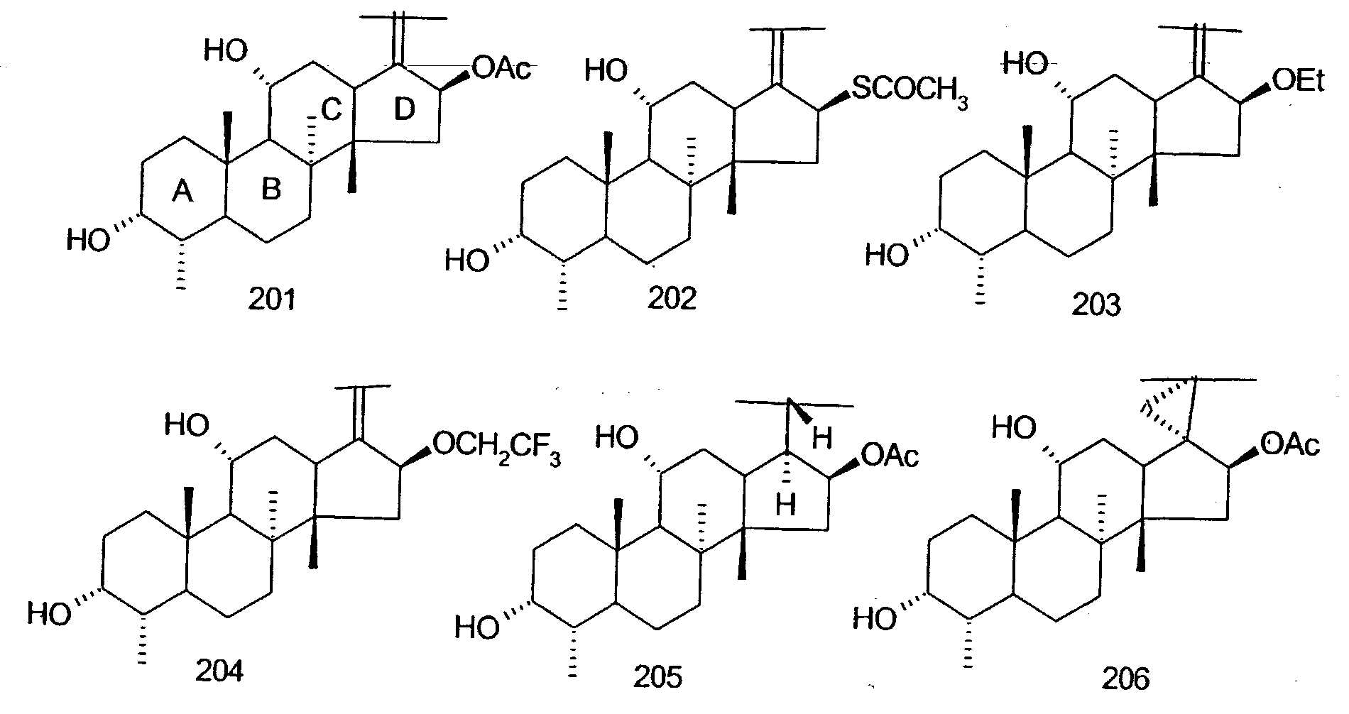
Область техники, к которой относится изобретение Настоящее изобретение относится к новым производным фузидовой кислоты, фармацевтическим композициям, содержащим указанные производные, а также их применению в терапии. Уровень техники Фузидовая кислота относится к фузиданам, которые представляют собой небольшое семейство природных антибиотиков. Фузиданы объединяет наличие тетрациклиновой кольцевой системы с уникальной конформацией по типу «кресло-лодка-кресло», которая отличает их от стероидов. В этой связи, несмотря на некоторое структурное сходство со стероидами, а именно: наличие тетрациклической системы, фузиданы не проявляют какой-либо гормональной активности. Кроме того, фузиданы имеют одинаковую боковую цепь, содержащую карбоновую кислоту, которая присоединена к кольцевой системе в положении С-17 за счет двойной связи, и ацетатную группу, присоединенную в положении С-16. Фузидовая кислота в качестве продукта ферментации Fusidium coccineum представляет собой наиболее мощный антибиотик среди фузидановых соединений и является единственным фузиданом, который нашел клиническое применение при лечении инфекционных заболеваний. Фузидовая кислота (Фуцидин® (Fucidin®)) используется в клинической практике при лечении тяжелых стафилококковых инфекций, в частности, инфекции костей и суставов как в случае острой, так и трудноизлечимой формы заболевания (The Use of Antibiotics, 5th Ed., A. Kucers and N. Mck. Bennett (Eds.), Butterworth 1997, p. 580-587; и содержащиеся в работе ссылки). Несмотря на то, что фузидовая кислота представляет собой чаще всего используемый препарат против стафилококков, она также используется как средство борьбы с некоторыми другими грамположительными видами микроорганизмов. Клиническая значимость фузидовой кислоты также определяется ее эффективным распределением в различных тканях, низким уровнем токсичности и аллергических реакций, а также отсутствием перекрестной резистентности с другими клинически используемыми антибиотиками. Фузидовая кислота широко используется в местной терапии различных кожных и глазных инфекций, вызванных стафилококками. В основном, ее применяют в сочетании с традиционными антибиотиками, такими как пенициллины, эритромицины или клиндамицин. Она также используется как альтернатива ванкомицину для контроля Clostridium difficile. В сравнении со стафилококками некоторые другие грамположительные кокки зачастую проявляют меньшую чувствительность к фузидовой кислоте. Например, можно отметить, что разные виды стерптококков в целом до 100 раз менее чувствительны к фузидовой кислоте, чем стафилококки [Kuchers et al., supra]. Другие чувствительные бактерии включают грамположительные анаэробные кокки, такие как Peptococcus и Peptostreptococcus spp, аэробные или анаэробные грамположительные бактерии, такие как Corynebacterium diphtheriae, Clostridium tetani, Clostridium difficile и Clostridium perfringens. Грамотрицательные бактерии характеризуются резистентностью, за исключением Neisseria spp. и Legionella pneumophila. Данный лекарственный препарат обладает особой эффективностью как против внутриклеточных, так и внеклеточных M.leprae. Взаимосвязь структуры и активности (SAR) для фузидовой кислоты очень широко исследовалась и получено множество аналогов. Однако лишь несколько из указанных аналогов обладают активностью, сравнимой с активностью фузидовой кислоты. Несмотря на интенсивные и широкомасштабные исследования SAR, возможность модификаций боковой цепи изучалась не столь широко. В сравнении с другими антибиотиками применение фузидовой кислоты не приводит к развитию серьезных клинических проблем, связанных с резистентностью к лекарственным препаратам [Turnidge, Int. J. Antimicro. Agents, 12, S35-S44, 1999]. Однако, как указывалось выше, это вещество само по себе обладает достаточно ограниченным спектром антибиотической активности, и, в этой связи, было бы желательно разработать новые аналоги фузидовой кислоты, которые бы обладали антибиотической активностью в отношении более широкого спектра патогенных микроорганизмов и, в частности, стрептококков. Ранее предпринимались попытки улучшить терапевтические свойства фузидана за счет изменения структуры боковой цепи. Так, в документе WO 02/070537 описываются производные фузидовой кислоты, в которых двойная связь С17-С20 была преобразована в циклопропановый фрагмент за счет введения метиленовой группы. В документе WO 01/29061 описываются производные фузидовой кислоты с насыщенной двойной связью С17-С20. Краткое описание сущности изобретения Авторы настоящего изобретения неожиданно обнаружили, что производные фузидовой кислоты, в которых положение С-24 замещено, сохраняют активность против стафилококков и существенно повышают активность в отношении стрептококков. Таким образом, настоящее изобретение относится к соединениям общей формулы I: где Х обозначает галоген, трифторметил, циано, азидо, алкил, алкенил или арил, где указанные алкил, алкенил или арил необязательно замещены одним или более, одинаковыми или различными, заместителями, выбранными из группы, состоящей из алкила, алкенила, арила, алкокси, нитро, алкилтио, галогена, азидо, трифторметила и циано; Y и Z, оба, обозначают водород или вместе со связью С-17/С-20 образуют двойную связь между С-17 и С-20 или вместе представляют собой метилен и образуют циклопропановое кольцо в сочетании с С-17 и С-20; А обозначает связь, O, S или S(O); B обозначает C1-6алкил, C2-6алкенил, C1-6ацил, C3-7циклоалкилкарбонил или бензоил, где все указанные группы необязательно замещены одним или более заместителями, выбранными из группы, состоящей из галогена, гидрокси, алкокси, арила, гетероарила и азидо, или, если А обозначает связь, то В может также обозначать водород; Q1 и Q2 независимо обозначают -CH2-, -C(O)-, -(CHOH)-, -(CHOR)-, -(CHSH)-, -(NH)-, -(CHNH2)- или -(CHW)-, где R обозначает C1-6 алкил и W обозначает галоген, циано, азидо или трифторметил; Q3 обозначает -CH2-, -C(O)- или -CHOH-; G обозначает водород, OH или O-CO-CH3; две связи в пентациклическом кольце, показанные сплошными и прерывистыми линиями, указывают на то, что любая из этих двух связей может представлять собой двойную связь, и в этом случае Y отсутствует, а Z обозначает водород; связь между С-1 и С-2 может представлять собой одинарную или двойную связь; и к фармацевтически приемлемым солям и легко гидролизуемым сложным эфирам указанных соединений. В другом аспекте настоящее изобретение относится к соединениям общей формулы I, применяемым в терапии, и, конкретно, к фармацевтической композиции, включающей соединение формулы I вместе с фармацевтически приемлемым эксципиентом или носителем. В другом аспекте настоящее изобретение относится к способу лечения, предотвращения или ослабления инфекции, где указанный способ включает введение эффективного количества соединений формулы I пациенту при необходимости такого введения. В еще одном аспекте настоящее изобретение относится к применению соединения формулы I для производства лекарственного средства для предотвращения, лечения, ослабления или профилактики инфекций. В еще одном аспекте настоящее изобретение относится к применению соединения формулы I для регулирования микробного роста и для предотвращения или профилактики бактериальных инфекций при разведении животных. В еще одном аспекте настоящее изобретение относится к способу получения соединения формулы Ia где Х обозначает бром, Y и Z, оба, обозначают водород или вместе со связью С-17/С-20 образуют двойную связь между С-17 и С-20 или вместе представляют собой метилен и образуют циклопропановое кольцо в сочетании с С-17 и С-20; А обозначает связь, O, S или S(O); B обозначает C1-6алкил, C2-6алкенил, C1-6ацил, C3-7циклоалкилкарбонил или бензоил, где все указанные группы могут быть необязательно замещены одним или более заместителями, выбранными из группы, состоящей из галогена, гидрокси, C1-6алкокси, арила, гетероциклила или азидо, или, если А обозначает связь, то В может также обозначать водород; Q1 и Q2 независимо обозначают -C(O)-, -(CHOH)-, -(CHSH)- или -(CHW)-, где W обозначает галоген, циано, азидо и трифторметил, включающему: (а) растворение фузидовой кислоты или подходящего аналога фузидовой кислоты в соответствующем органическом растворителе с последующей обработкой бромом с получением 24,25-дибромного промежуточного соединения общей структуры Ib: где Х и Х’ обозначают бром, R обозначает водород, связь между С-24 и С-25 представляет собой одинарную связь и Y, Z, A, B, Q1 и Q2 определены выше; (b) обработку раствора 24,25-дибромного промежуточного соединения в подходящем растворителе в присутствии подходящего основания с получением дегидробромированного соединения формулы Ia в виде соли и (с) контактирование соли, образованной на стадии (b), с кислотой с получением соединения формулы Ia в виде свободной кислоты. В еще одном аспекте настоящее изобретение относится к соединению общей структуры Ib: где Х и Х’ обозначают бром, R обозначает водород, связь между С-24 и С-25 представляет собой одинарную связь, Y и Z, оба, обозначают водород или вместе со связью С-17/С-20 образуют двойную связь между С-17 и С-20 или вместе представляют собой метилен и образуют циклопропановое кольцо в сочетании с С-17 и С-20; А обозначает связь, O, S или S(O); B обозначает C1-6алкил, C2-6алкенил, C1-6ацил, C3-7циклоалкилкарбонил или бензоил, где все указанные группы необязательно замещены одним или более заместителями, выбранными из группы, состоящей из галогена, гидрокси, C1-6алкокси, арила, гетероциклила и азидо, или, если А обозначает связь, то В может также обозначать водород; Q1 и Q2 независимо обозначают -C(O)-, -(CHOH)-, -(CHSH)- или -(CHW)-, где W обозначает галоген, циано, азидо или трифторметил. Подробное описание изобретения Определения В контексте настоящего описания термин “алкил” обозначает одновалентный радикал, полученный из алкана при удалении атома водорода от любого атома углерода, и охватывает подклассы первичных, вторичных и третичных алкильных групп, включая, например, С1-С12 алкил, такой как C1-С8 алкил, такой как С1-С6 алкил, такой как С1-С4 алкил, метил, этил, н-пропил, изопропил, н-бутил, изобутил, втор-бутил, трет-бутил, пентил, гексил, нонил, додеканил, циклопропил, циклопропилметил, циклобутил, циклопентил и циклогексил. Алкан относится к ациклическому или циклическому, разветвленному или неразветвленному насыщенному углеводороду и, в этой связи, полностью состоит из атомов водорода и атомов углерода. Термин “алкенил” в контексте настоящего описания обозначает линейный или разветвленный ациклический углеводород, содержащий одну или несколько двойных углерод-углеродных связей в стереохимии Е или Z, что приемлемо. Данный термин включает, например, С2-С12алкенил, С2-С8алкенил, С2-С6алкенил, винил, аллил, 1-бутенил, 2-бутенил и 2-метил-2-пропенил. Термин “ацил” в контексте настоящего описания обозначает радикал формулы -CO-R, где R обозначает алкил, определенный выше, например, С1-С6ацил, такой как ацил, пропионил, бутирил или пивалоил. Термин “алкокси” в контексте настоящего описания обозначает радикал формулы -O-R, где R обозначает алкил, определенный выше, например, С1-С5алкокси, С1-С3алкокси, метокси, н-пропокси, трет-бутокси и т.п. Термин “галоген” обозначает представителя седьмой основной группы периодической системы элементов, например, фтор, хлор, бром и йод. Термин “циклоалкилкарбонил” в контексте настоящего описания обозначает радикал формулы -C(O)-R’, где R’ обозначает циклический радикал, определенный выше. Термин “арил” в контексте настоящего описания обозначает циклический радикал, необязательно конденсированный бициклический радикал, в котором все атомы кольца представляют углерод и в котором кольцо является ароматическим, или в случае конденсированной кольцевой системы по меньшей мере одно кольцо является ароматическим. Примеры арила включают фенил, нафтил и тетралинил. Термин “алкилтио” в контексте настоящего описания обозначает радикал формулы -S-R’, где R’ обозначает алкил, определенный выше. Термин “гетероарил” в контексте настоящего описания включает радикалы, представляющие собой гетероциклические ароматические кольца, которые включают 1-6 гетероатомов (выбранные из O, S и N) и 1-20 атомов углерода, такие как кольца, включающие 1-5 гетероатомов и 1-10 атомов углерода, такие как кольца, включающие 1-5 гетероатомов и 1-6 атомов углерода, такие как кольца, включающие 1-5 гетероатомов и 1-3 атомов углерода, в частности, 5- или 6-членные кольца с 1-4 гетероатомами, выбранными из O, S и N, или необязательно конденсированные бициклические кольца с 1-4 гетероатомами, где по меньшей мере одно кольцо является ароматическим, например, фуранил, пиридил, хинолил, изохинолил, индолил, тетразолил, тиазолил, имидазолил, пиразолил, оксазолил, изоксазолил, тиенил, пиразинил, изотиазолил, бензимидазолил и бензофуранил. Выражение «легко гидролизуемые сложные эфиры» в контексте настоящего описания обозначает алканоилоксиалкильные, аралканоилоксиалкильные, ароилоксиалкильные, например, ацетоксиметильные, пивалоилоксиметильные, бензоилоксиметильные сложные эфиры и их соответствующие 1′-оксиэтильные производные, или алкоксикарбоноилоксиалкильные сложные эфиры, например, метоксикарбонилоксиметильные сложные эфиры и этоксикарбонилоксиметильные сложные эфиры и их соответствующие 1′-оксиэтильные производные, или лактонильные сложные эфиры, например, фталидильные сложные эфиры или диалкиламиноалкильные сложные эфиры, например, диэтиламиноэтильные сложные эфиры. Выражение «легко гидролизуемые сложные эфиры» включает гидролизуемые in vivo сложные эфиры соединений по настоящему изобретению. Такие сложные эфиры могут быть получены с использованием способов, известных специалистам в данной области, см. патент GB No. 1 490 852, включенный в описание в качестве ссылки. Предпочтительные варианты соединений формулы I В предпочтительном варианте настоящее изобретение относится к соединениям общей формулы Ia где X обозначает галоген, трифторметил, циано, азидо, C1-7алкил, C2-9алкенил или арил, где указанные C1-6алкил, C2-9алкенил или арил необязательно замещены одним или более одинаковыми или различными заместителями, выбранными из группы, состоящей из C1-7алкила, C2-9алкенила, арила, C1-6алкокси, нитро, алкилтио, галогена, азидо, трифторметила или циано; Y и Z, оба, обозначают водород или вместе со связью С-17/С-20 образуют двойную связь между С-17 и С-20 или вместе представляют собой метилен и образуют циклопропановое кольцо в сочетании с С-17 и С-20; А обозначает связь, O, S или S(O); B обозначает C1-6алкил, C2-6алкенил, C1-6ацил, C3-7циклоалкилкарбонил или бензоил, где все указанные группы необязательно замещены одним или более заместителями, выбранными из группы, состоящей из галогена, гидрокси, C1-6алкокси, арила, гетероарила или азидо, или, если А обозначает связь, то В может также обозначать водород; Q1 и Q2 независимо обозначают -C(O)-, -(CHOH)-, -(CHSH)- или -(CHW)-, где W обозначает галоген, циано, азидо или трифторметил; и к их фармацевтически приемлемым солям или легко гидролизуемым сложным эфирам. В предпочтительном варианте соединений формулы I, Ia или Ib Y и Z, оба, обозначают водород и имеют стереохимическую конфигурацию S как при C-17, так и при C-20. В другом предпочтительном варианте соединений формулы I, Ia или Ib Y и Z вместе представляют собой метилен и образуют циклопропановое кольцо в сочетании с C-17 и C-20, имея стереохимическую конфигурацию S как при C-17, так и при C-20. В другом предпочтительном варианте соединений формулы I, Ia или Ib Y и Z вместе со связью С-17/С-20 образуют двойную связь между С-17 и С-20. Наиболее предпочтительная конфигурация двойной связи между С-17 и С-20 такая же, как и в фузидовой кислоте. В еще одном предпочтительном варианте Х обозначает хлор, бром, йод, фтор, метил, этил, пропил, фенил, винил, пропенил, бутенил, пентенил, гексенил, гептенил, ноненил, бифенил или нафтил, где указанные метил, этил, пропил, фенил, винил, пропенил, бутенил, пентенил, гексенил, гептенил, ноненил, бифенил или нафтил необязательно замещены одним или более одинаковыми или различными заместителями, выбранными из группы, состоящей из фтора, хлора, брома, фенила, винила, циано, метокси, трифторметила, нитро, метилтио, бутила, метила, этила, пропила, бутила, пентила, гексила и гептила. В конкретном предпочтительном варианте Х обозначает фтор, хлор, бром, йод, трифторметил, фенил, 4-бромфенил, 4-хлорфенил, 3,5-дифторфенил, транс-1-гексен-1-ил, транс-1-бутен-3,3-диметил-1-ил, транс-1-нонен-1-ил, транс-5-хлор-1-пентен-1-ил, транс-2-фенил-1-винил, 2-фенил-1-этил, 4-н-пропилфенил, 4-винилфенил, 4-трет-бутилфенил, 4-цианофенил, 3-бифенил, 4-(трифторметил)фенил, 4-метоксифенил, 3-цианофенил, 2-метоксифенил, 3-нитрофенил, 3-бромфенил, 4-(метилтио)фенил, 2-нафтил, 3,5-бис-(трифторметил)фенил, 3,4-диметоксифенил или 3,5-дибромфенил. Q1 и Q2 могут быть с успехом выбраны из группы, состоящей из -(CO)- и -(CHOH)-. Q1 может также с успехом представлять собой CHF, CHCl, CHBr, CHI, CHN3. Еще один вариант осуществления настоящего изобретения относится к соединениям формулы Ia, где Q1 и Q2, оба, обозначают -(CHOH)-группу или один из Q1 и Q2 обозначает -(CO)-, или Q1 обозначает CHF, CHCl, CHBr, CHI или CHN3; Х обозначает хлор, бром, йод, трифторметил, азидо или циано; Z и Y вместе со связью С-17/С-20 образуют двойную связь между С-17 и С-20; А обозначает O, S или S(O); B обозначает C1-4алкильную группу, необязательно замещенную одним или более заместителями, выбранными из группы, состоящей из азидо, гидрокси, фтора, хлора и брома, или В обозначает С1-4ацильную группу или бензоильную группу, где обе указанные группы необязательно замещены одним или более атомами галогена, такими как, например, фтор и хлор. Конкретно, в предпочтительном варианте А обозначает O или S(O). В еще одном предпочтительном варианте В обозначает ацил, метил, этил, пропил, бутил, пентил, пропенил или циклопентил, где все указанные группы необязательно замещены одним или более заместителями, выбранными из ряда, состоящего из метила, этила, пропила, бутила, фтора, винила, гидрокси, фенила, фурфурила и метокси. В конкретном предпочтительном варианте В обозначает ацетил, изопропил, этил, 2,2,2-трифторэтил, винил, 1-пентил, 2-метил-1-бутил, 3-метил-1-бутил, циклопентил, 2-гидроксиэтил, бензил, фурфурил, фенил, 2-фторэтил, 2-метоксиэтил, 2,2,2-трихлорэтил, 2-азидоэтил, 2-гидроксиэтил, пропил, трет-бутил, 1,3-дифтор-изопропил, пропионил, хлорацетил или трифторацетил. В конкретном предпочтительном варианте Q1 или Q2 или оба, и Q1 и Q2, обозначают -(COH)-. Когда Q1 и/или Q2 в формулах I, Ia или Ib обозначают -(COH)-, то стереохимическая конфигурация представляет собой предпочтительно 3 Конкретные примеры соединений по настоящему изобретению включают приведенные ниже соединения: Натриевая соль 24-трифторметилфузидовой кислоты (соединение 101), Пивалоилоксиметиловый сложный эфир 24-трифторметилфузидовой кислоты (соединение 102), 24-хлорфузидовая кислота (соединение 103), Пивалоилоксиметиловый сложный эфир 24-хлорфузидовой кислоты (соединение 104), Натриевая соль 24-хлорфузидовой кислоты (соединение 105), 24-трифторметилфузидовая кислота (соединение 106), Ацетоксиметиловый сложный эфир 24-бромфузидовой кислоты (соединение 107), 24-бромфузидовая кислота (соединение 108), Натриевая соль 24-бромфузидовой кислоты (соединение 109), Пивалоилоксиметиловый сложный эфир 24-бромфузидовой кислоты (соединение 110), Ацетоксиметиловый сложный эфир 24-бром-16-деацетокси-16 24-бром-16-деацетокси-16 24-бром-16-деацетокси-16 24-бром-16-деацетокси-16 24-бром-17S,20S-дигидрофузидовая кислота (соединение 115), 24-бром-16-деацетокси-16 Ацетоксиметиловый сложный эфир 24-бром-16-деацетокси-16 Ацетоксиметиловый сложный эфир 24-бром-16-деацетокси-16 24-бром-16-деацетокси-16 Ацетоксиметиловый сложный эфир 24-бром-17S,20S-фузидовой кислоты (соединение 120), Ацетоксиметиловый сложный эфир 24-бром-17S,20S-метиленфузидовой кислоты (соединение 121), 24-бром-17S,20S-метиленфузидовая кислота (соединение 122), 3-дезокси-3 3 24-йодфузидовая кислота (соединение 125), Ацетоксиметиловый сложный эфир 24-йодфузидовой кислоты (соединение 126), Пивалоилоксиметиловый сложный эфир 24-йодфузидовой кислоты (соединение 127), Пивалоилоксиметиловый сложный эфир 24-фенилфузидовой кислоты (соединение 136), 24-фенилфузидовая кислота (соединение 137), Пивалоилоксиметиловый сложный эфир 24-(4-бромфенил)фузидовой кислоты (соединение 138), 24-(4-бромфенил)фузидовая кислота (соединение 139), Пивалоилоксиметиловый сложный эфир 24-(4-хлорфенил)фузидовой кислоты (соединение 140), 24-(4-хлорфенил)фузидовая кислота (соединение 141), Пивалоилоксиметиловый сложный эфир 24-(3,5-дифторфенил)фузидовой кислоты (соединение 142), 24-(3,5-дифторфенил)фузидовая кислота (соединение 143), Ацетоксиметиловый сложный эфир 3-дезокси-3 24-бром-16-деацетокси-16 24-бром-16-деацетокси-16 24-бром-16-деацетокси-16 24-бром-16-деацетокси-16 24-бром-16-деацетокси-16 24-бром-16-деацетокси-16 24-бром-16-деацетокси-16 24-бром-16-деацетокси-16 24-бром-16-деацетокси-16 24-бром-16-деацетокси-16 24-бром-16-деацетокси-16 24-бром-16-деацетокси-16 24-бром-16-деацетокси-16 24-бром-16-деацетокси-16 24-бром-16-деацетокси-16 24-бром-16-деацетокси-16 24-бром-16-деацетокси-16 24-бром-16-деацетокси-16 24-бром-16-деацетокси-16 24-бром-16-деацетокси-16 24-(транс-1-гексен-1-ил)фузидовая кислота (соединение 166), 24-(транс-1-бутен-3,3-диметил-1-ил)фузидовая кислота (соединение 167), 24-(транс-1-нонен-1-ил)фузидовая кислота (соединение 168), 24-(транс-5-хлор-1-пентен-1-ил)фузидовая кислота (соединение 169), 24-(транс-2-фенил-1-винил)фузидовая кислота (соединение 170), 24-(2-фенил-1-этил)фузидовая кислота (соединение 171), 24-(4-н-пропилфенил)фузидовая кислота (соединение 172), 24-(4-винилфенил)фузидовая кислота (соединение 173), 24-(4-трет-бутилфенил)фузидовая кислота (соединение 174), 24-(4-цианофенил)фузидовая кислота (соединение 175), 24-(3-бифенил)фузидовая кислота (соединение 176), 24-(4-(трифторметил)фенил)фузидовая кислота (соединение 177), 24-(4-метоксифенил)фузидовая кислота (соединение 178), 24-(3-цианофенил)фузидовая кислота (соединение 179), 24-(2-метоксифенил)фузидовая кислота (соединение 180), 24-(3-нитрофенил)фузидовая кислота (соединение 181), 24-(3-бромфенил)фузидовая кислота (соединение 182), 24-(4-(метилтио)фенил)фузидовая кислота (соединение 183), 24-(2-нафтил)фузидовая кислота (соединение 184), 24-(3,5-бис-(трифторметил)фенил)фузидовая кислота (соединение 185), 24-(3,4-диметоксифенил)фузидовая кислота (соединение 186), 24-(3,5-дибромфенил)фузидовая кислота (соединение 187), Холиновая соль 24-бромфузидовой кислоты (соединение 188), L-аргининовая соль 24-бромфузидовой кислоты (соединение 189), 2-(диметиламино)этанольная соль 24-бромфузидовой кислоты (соединение 190), 4-(2-гидроксиэтил)морфолиновая соль 24-бромфузидовой кислоты (соединение 191), L-лизиновая соль 24-бромфузидовой кислоты (соединение 192), N-(2-гидроксиэтил)пирролидиновая соль 24-бромфузидовой кислоты (соединение 193), Этаноламиновая соль 24-бромфузидовой кислоты (соединение 194), Калиевая соль 24-бромфузидовой кислоты (соединение 195), Тетрабутиламмониевая соль 24-бромфузидовой кислоты (соединение 196), Бензилтриметиламмониевая соль 24-бромфузидовой кислоты (соединение 197), Цетилтриметиламмониевая соль 24-бромфузидовой кислоты (соединение 198), Тетраметиламмониевая соль 24-бромфузидовой кислоты (соединение 199), Тетрапропиламмониевая соль 24-бромфузидовой кислоты (соединение 300), Трис(гидроксиметил)аминометановая соль 24-бромфузидовой кислоты (соединение 301), N-метил-D-глюкаминовая соль 24-бромфузидовой кислоты (соединение 302), Серебряная соль 24-бромфузидовой кислоты (соединение 303), Бензетониевая соль 24-бромфузидовой кислоты (соединение 304), Триэтаноламиновая соль 24-бромфузидовой кислоты (соединение 305), Пивалоилоксиметиловый сложный эфир 24-(транс-1-гексен-1-ил)фузидовой кислоты (соединение 306), Пивалоилоксиметиловый сложный эфир 24-(транс-1-бутен-3,3-диметил-1-ил)фузидовой кислоты (соединение 307), Пивалоилоксиметиловый сложный эфир 24-(транс-1-нонен-1-ил)фузидовой кислоты (соединение 308), Пивалоилоксиметиловый сложный эфир 24-(транс-5-хлор-1-пентен-1-ил)фузидовой кислоты (соединение 309), Пивалоилоксиметиловый сложный эфир 24-(транс-2-фенил-1-винил)фузидовой кислоты (соединение 310), Пивалоилоксиметиловый сложный эфир 24-(2-фенил-1-этил)фузидовой кислоты (соединение 311), Пивалоилоксиметиловый сложный эфир 24-(4-н-пропилфенил)фузидовой кислоты (соединение 312), Пивалоилоксиметиловый сложный эфир 24-(4-винилфенил)фузидовой кислоты (соединение 313), Пивалоилоксиметиловый сложный эфир 24-(4-трет-бутилфенил)фузидовой кислоты (соединение 314), Пивалоилоксиметиловый сложный эфир 24-(4-цианофенил)фузидовой кислоты (соединение 315), Пивалоилоксиметиловый сложный эфир 24-(3-бифенил)фузидовой кислоты (соединение 316), Пивалоилоксиметиловый сложный эфир 24-(4-(трифторметил)фенил)фузидовой кислоты (соединение 317), Пивалоилоксиметиловый сложный эфир 24-(4-метоксифенил)фузидовой кислоты (соединение 318), Пивалоилоксиметиловый сложный эфир 24-(3-цианофенил)фузидовой кислоты (соединение 319), Пивалоилоксиметиловый сложный эфир 24-(2-метоксифенил)фузидовой кислоты (соединение 320), Пивалоилоксиметиловый сложный эфир 24-(3-нитрофенил)фузидовой кислоты (соединение 321), Пивалоилоксиметиловый сложный эфир 24-(3-бромфенил)фузидовой кислоты (соединение 322), Пивалоилоксиметиловый сложный эфир 24-(4-(метилтио)фенил)фузидовой кислоты (соединение 323), Пивалоилоксиметиловый сложный эфир 24-(2-нафтил)фузидовой кислоты (соединение 324), Пивалоилоксиметиловый сложный эфир 24-(3,5-бис-(трифторметил)фенил)фузидовой кислоты (соединение 325), Пивалоилоксиметиловый сложный эфир 24-(3,4-диметоксифенил)фузидовой кислоты (соединение 326), Пивалоилоксиметиловый сложный эфир 24-(3,5-дибромфенил)фузидовой кислоты (соединение 327). Соединения по настоящему изобретению могут использоваться как таковые или в форме солей или легко гидролизуемых сложных эфиров (определенных выше). В частности, соли соединений по настоящему изобретению представляют собой фармацевтически приемлемые соли, такие как соли щелочных металлов и соли щелочноземельных металлов, например, соли натрия, калия, магния или кальция, а также соли серебра и соли, полученные с использованием оснований, такие как аммониевые соли или соли подходящих нетоксичных аминов, таких как низшие алкиламины, например, триэтиламин, гидрокси-низших алкиламинов, например, 2-гидроксиэтиламин, бис-(2-гидроксиэтил)амин, циклоалкиламинов, например, дициклогексиламин, или бензиламинов, например, N,N’-дибензилэтилендиамин и дибензиламин. Соли серебра по настоящему изобретению могут быть особенно полезны для использования при местном лечении. В предпочтительном варианте фармацевтически приемлемые соли соединения общей формулы I или Ia выбирают из группы, состоящей из натриевых солей, холиновых солей, L-аргининовых солей, 2-(диметиламино)этанольных солей, 4-(2-гидроксиэтил)морфолиновых солей, L-лизиновых солей, N-(2-гидроксиэтил)пирролидиновых солей, этаноламиновых солей, калиевых солей, тетрабутиламмониевых солей, бензилтриметиламмониевых солей, цетилтриметиламмониевых солей, тетраметиламмониевых солей, тетрапропиламмониевых солей, трис(гидроксиметил)аминометановых солей, N-метил-D-глюкаминовых солей, солей серебра, бензетониевых солей и триэтаноламиновых солей. В предпочтительном варианте получения соединения формулы Ia растворитель, используемый на стадии (а) для растворения фузидовой кислоты, представляет собой уксусную кислоту или С1-3 алкиловый сложный эфир С1-4 карбоновой кислоты и является, в частности, этилацетатом. В предпочтительном варианте получения соединения формулы Ia растворитель, используемый на стадии (b) для растворения 24,25-дибромного промежуточного соединения, представляет собой С1-6 спирт, такой как метанол, этанол, н-пропанол, изопропанол или бутанол, или воду, или смесь указанных растворителей. В предпочтительном варианте получения соединения формулы Ia основание, используемое на стадии (b) для дегидробромирования 24,25-дибромного промежуточного соединения, представляет собой соль щелочного металла или шелочноземельного металла и слабой кислоты, такой как карбоновая, фосфорная или борная кислота, например, карбонат калия или натрия, или основания, такого как аммиак или С1-8 замещенный аммиак, например, этиламин, диэтиламин, триэтиламин или пиперидин, или гидроксид щелочного или щелочноземельного металла, такой как разбавленный гидроксид натрия, гидроксид кальция или разбавленный гидроксид калия. Соединения по настоящему изобретению могут включать хиральный(ые) атом(ы) углерода и двойную(ые) углерод-углеродную(ые) связь(и), которые определяют возможность появления стереоизомерных форм. Настоящее изобретение относится ко всем таким изомерам как в чистом виде, так и в виде их смесей. Чистые стереоизомерные формы соединения по настоящему изобретению могут быть получены с использованием известных в данной области методов. Диастереомеры могут быть разделены с использованием методов физического разделения, таких как селективная кристаллизация и хроматография, например, жидкостная хроматография с использованием хиральных стационарных фаз. Указанные чистые стереоизомерные формы могут быть также получены из соответствующих чистых стереоизомерных форм соответствующих исходных материалов при условии, что реакция осуществляется стереоселективно или стереоспецифично. Предпочтительно, если желателен конкретный стереоизомер указанного соединения, чтобы синтез осуществлялся с использованием стереоселективных или стереоспецифических методов получения. Соединения по настоящему изобретению полезны для лечения, предупреждения или ослабления инфекций у пациентов, включая млекопитающих и, в частности, человека. Более конкретно, животные, в отношении которых может быть проведено лечение с использованием соединения по настоящему изобретению, включают домашних животных, таких как лошади, коровы, свиньи, овцы, домашняя птица, рыбы, кошки, собаки и животные зоопарка. Соединения по настоящему изобретению могут быть, в частности, полезны при лечении бактериальных инфекций, таких как кожные инфекции или вторичные кожные инфекции, или глазные инфекции. Кроме того, соединения по настоящему изобретению могут использоваться при лечении простых абсцессов, импетиго, фурункулов или целлюлита. Соединения по настоящему изобретению, в частности, могут использоваться при лечении, например, при местном лечении контагиозных поверхностных инфекций кожи, таких как небуллезное импетиго (или контагиозное импетиго) или буллезное импетиго. В этой связи настоящее изобретение относится к способу лечения, предупреждения или ослабления бактериальных инфекций, где данный способ включает введение пациенту эффективного количества соединения формулы I, необязательно вместе с другим терапевтически активным соединением. Примеры таких других терапевтически активных соединений включают антибиотики, такие как Соединения по настоящему изобретению могут также использоваться для предупреждения или профилактики бактериальных инфекций у животных и, в этой связи, могут использоваться при разведении домашних животных, таких как млекопитающие, например, лошади, коровы, свиньи, овцы, домашняя птица, рыба, кошки, собаки, животные зоопарка. В целях терапевтического применения соединения по настоящему изобретению берут в виде фармацевтической композиции. В этой связи настоящее изобретение относится к фармацевтической композиции, включающей соединения формулы I или Ia, необязательно в сочетании с другими фармацевтически активными соединениями, а также вместе с фармацевтически приемлемым эксципиентом или носителем. Эксципиент должен быть «приемлемым» в том смысле, что он должен совмещаться с другими ингредиентами композиции и не должен оказывать вредного воздействия на реципиента. Обычно активный ингредиент включает от 0,05 до 99,9 мас.% от веса всей композиции. В виде стандартной дозированной формы соединение может вводиться один или несколько раз в день с соответствующими интервалами и всегда в зависимости от состояния пациента, в соответствии с предписаниями лечащего врача. Обычно стандартная дозированная единица композиции содержит от 50 мг до 5000 мг, предпочтительно от 200 мг до 1000 мг соединения формулы I или Ia. В контексте применения при местном лечении больше подходит выражение «используемая единица», которое обозначает однократную дозу, которую можно вводить пациенту, с которой легко манипулировать и которая после упаковки сохраняется в виде физически и химически стабильной стандартной дозы, включающей активный материал как таковой или смесь его с твердыми или жидкими фармацевтическими разбавителями или носителями. Термин «используемая единица» в контексте местного применения обозначает единичную, то есть однократную дозу, которую можно вводить в местном режиме пациенту путем нанесения на квадратный сантиметр пораженной поверхности от 0,1 мг до 10 мг и предпочтительно от 0,2 мг до 1 мг рассматриваемого активного ингредиента. Предусматривается также, что в некоторых режимах лечения лучше проводить введение с более длительными интервалами, например, через день, каждую неделю или с еще более длинными интервалами. Если режим лечения включает введение другого терапевтически активного соединения, рекомендуется свериться с рекомендациями, приведенными в руководстве Гудмана и Гилмана (Goodman & Gilman’s The Pharmacological Basis of Therapeutics, 9th Ed., J.G. Hardman and L.E. Limbird (Eds.), McGraw-Hill 1995), в котором приведены используемые дозы данных соединений. Рассматриваемые композиции включают, в частности, такие композиции, которые имеют форму, приемлемую для перорального введения (включая длительное или задержанное высвобождение), ректального введения, парентерального введения (включая подкожное, внутрибрюшинное, внутримышечное, внутрисуставное и внутривенное введение), чрескожного, офтальмологического, местного, назального или трансбуккального введения. В удобном варианте композиции могут быть представлены в дозированной форме и могут быть изготовлены с использованием любых известных в фармации способов, таких, например, которые описаны в руководстве Ремингтона (Remington, The Science and Practice of Pharmacy, 20 th ed., 2000). Все такие способы включают стадию приведения в контакт активного ингредиента с носителем, который представляет собой один или несколько вспомогательных ингредиентов. В целом, композиции получают путем осуществления однородного и тщательного контакта активного ингредиента с жидким носителем, или тонкоизмельченным твердым носителем, или с ними обоими и затем, при необходимости, путем придания продукту формы желаемой композиции. Композиции по настоящему изобретению, подходящие для перорального введения, могут иметь вид дискретных единиц, таких как капсулы, пакетики, таблетки или пастилки, каждая из которых содержит заданное количество активного ингредиента, могут также иметь вид порошка или гранул, вид раствора или суспензии в водной жидкости или в неводной жидкости, такой как этанол или глицерин; или могут иметь вид эмульсии типа «масло-в-воде» или эмульсии типа «вода-в-масле». Такие масла могут представлять собой пищевые масла, такие как, например, хлопковое масло, кунжутное масло, кокосовое масло или арахисовое масло. Подходящие диспергирующие средства или средства, способствующие суспендированию, в случае применения их в водных суспензиях, включают синтетические или натуральные камеди, такие как трагакант, альгинат, аравийская камедь, декстран, натрий-карбоксиметилцеллюлоза, желатин, метилцеллюлоза, гидроксипропилметилцеллюлоза, гидроксипропилцеллюлоза, карбомеры и поливинилпирролидон. Активные ингредиенты могут быть также введены в виде болюса, электуария или пасты. Таблетки могут быть изготовлены путем прессования или формования активного ингредиента необязательно при наличии одного или нескольких вспомогательных ингредиентов. Таблетки могут быть получены путем прессования в соответствующем аппарате, где активный(ые) ингредиент(ы) находится(ятся) в свободно текучей форме, такой как порошок или гранулы, необязательно при смешивании со связующим веществом, таким как, например, лактоза, глюкоза, крахмал, желатин, аравийская камедь, трагакант, альгинат натрия, карбоксиметилцеллюлоза, метилцеллюлоза, гидроксипропилметилцеллюлоза, полиэтиленгликоль, воски или т.п.; с замасливателем, таким как, например, олеат натрия, стеарат натрия, стеарат магния, бензоат натрия, ацетат натрия, хлорид натрия или т.п.; со средством, способствующим разложению, таким как, например, крахмал, метилцеллюлоза, агар, бентонит, натрий-кроскармеллоза, натрий-крахмалгликоллят, кросповидон или т.п.; или средством, способствующим диспергированию, таким как полисорбат 80. Формованные таблетки могут быть получены при формовании в соответствующей машине смеси порошкового активного ингредиента и подходящего носителя, увлажненного инертным жидким разбавителем. Композиции для ректального введения могут иметь вид суппозитория, в котором соединение по настоящему изобретению смешано с низкоплавкими водорастворимыми или водонерастворимыми твердыми веществами, такими как какао-масло, гидрогенизированные растительные масла, полиэтиленгликоль или сложные эфиры жирных кислот и полиэтиленгликолей, при этом эликсиры могут быть получены при использовании миристилпальмитата. Композиции, подходящие для парентерального введения, в удобном варианте включают стерильный масляный или водный препарат активных ингредиентов, который предпочтительно является изотоническим для крови реципиента, на основе, например, изотонического солевого раствора, изотонического раствора глюкозы или буферного раствора. Композиция может быть соответствующим образом простерилизована, например, фильтрованием через бактериальный фильтр, при добавлении стерилизующего агента к композиции, путем облучения или нагревания композиции. Липосомальные композиции, описанные, например, в Энциклопедии фармацевтической технологии (Encyclopedia of Pharmaceutical Technology, vol. 9, 1994), также приемлемы для парентерального введения. Альтернативно, соединение формулы I может быть представлено в виде стерильного твердого препарата, например, лиофильно высушенного порошка, который легко растворяется в стерильном растворителе непосредственно перед употреблением. Чрескожные композиции могут иметь вид пластыря или иного вида небольших налагаемых участков соответствующего материала. Композиции, пригодные для офтальмологического введения, представлены в виде стерильного водного препарата активных ингредиентов, которые могут иметь форму микрокристаллического продукта, например, форму водной микрокристаллической суспензии. Липосомальные композиции или биодеградируемые полимерные системы, описанные, например, в Энциклопедии фармацевтической технологии (Encyclopedia of Pharmaceutical Technology, vol. 2, 1989), также могут использоваться с данными активными ингредиентами при офтальмологическом введении. Композиции, пригодные для местного или офтальмологического введения, включают жидкие или полужидкие препараты, такие как линименты, лосьоны, гели, аппликации, эмульсии типа «масло-в-воде» или «вода-в-масле», такие как кремы, мази или пасты; или растворы или суспензии, такие как капли. Композиции, пригодные для назального или трансбуккального введения, включают порошковые, самораспыляющиеся и распыляемые композиции, такие как аэрозоли и атомайзеры. Такого рода композиции достаточно детально описаны в литературе (Modern Pharmaceutics, 2nd ed., G.S. Banker and C.T. Rhodes (Eds.), p. 427-432, Marcel Dekker, New York; Modern Pharmaceutics, 3th ed., G.S. Banker and C.T. Rhodes (Eds.), p. 618-619 и 718-721, Marcel Dekker, New York and Encyclopedia of Pharmaceutical Technology, vol. 10, Swarbrick and J.C. Boylan (Eds.), p. 191-221, Marcel Dekker, New York). Кроме указанных выше ингредиентов, композиции соединения по настоящему изобретению формулы I или Ia могут включать один или несколько дополнительных ингредиентов, таких как разбавители, буферы, вкусовые вещества, красители, поверхностно-активные вещества, загустители, консерванты, например, метилгидроксибензоат (включая антиоксиданты), эмульгаторы и т.п. Парентеральные композиции полезны, в частности, для лечения состояний, при которых желателен быстрый ответ организма на лечение. В случае лечения в непрерывном режиме пациентов, страдающих инфекционными заболеваниями, используемые таблетки или капсулы могут иметь вид фармацевтического препарата, оказывающего пролонгированный эффект, достигаемый при пероральном введении лекарственного средства, в частности, это могут быть таблетки с длительным высвобождением. В том случае, когда активный ингредиент вводится в форме солей фармацевтически приемлемых нетоксичных кислот или оснований, предпочтительные соли представляют собой, например, легко растворимые в воде или слаборастворимые в воде соли, подобранные для целей достижения определенной, соответствующей состоянию степени абсорбции. Как отмечалось выше, композиция может содержать другие терапевтически активные компоненты, которые могут быть соответствующим образом введены в сочетании с соединениями по настоящему изобретению при лечении инфекционных заболеваний, такие как другие подходящие антибиотики, в частности, такие антибиотики, которые могут повышать активность и/или препятствовать развитию резистентности. Могут также с успехом использоваться кортикостероиды, включаемые в композиции по настоящему изобретению. В частности, указанный другой активный компонент может включать Другое терапевтически активное соединение может находиться в том же или в отдельном контейнере в составе препарата, адаптированного для проведения одновременного или последовательного введения указанных терапевтически активных соединений. Лечение инфекционных заболеваний часто включает определение перед началом лечения, является ли данное заболевание устойчивым или трудно поддающимся данному лечению. В качестве примера можно отметить, что от пациента могут быть взяты образцы, содержащие инфекционный микроорганизм, например образцы крови или мочи, после чего данный образец культивируют и подвергают воздействию применяемого для лечения соединения с целью определения, отвечает ли данный инфицирующий организм на предполагаемое лечение. Соответственно, настоящее изобретение также относится к способу идентификации соединений, эффективных против микроорганизма, где данный способ включает введение соединения формулы I или Ia, необязательно в сочетании с другими фармацевтически активными агентами, в микроорганизм и определение, оказывает ли данное соединение или смесь соединений токсический или статический эффект на данный микроорганизм. Композиции по настоящему изобретению не ограничиваются фармацевтическими препаратами, но могут использоваться в области не терапевтического применения для регулирования микробного роста. Например, композиции или соединения по настоящему изобретению могут быть полезны в качестве добавок, которые ингибируют микробный рост, применяемых, например, в ферментационных процессах. В качестве примера можно отметить, что присущая данным антимикробным агентам селективность полезна для усиления роста определенных микроорганизмов за счет других микроорганизмов в культуре, включающей множество видов микроорганизмов. Биологическая активность Исследования in vitro продемонстрировали высокую эффективность соединений по настоящему изобретению в отношении штаммов как стафилококков, так и стрептококков, которые входят в число наиболее частых патогенных бактерий, вызывающих различные кожные и глазные инфекции. Биологические тесты показали такую же или в некоторых случаях несколько повышенную антибактериальную активность против стафилококков соединений по настоящему изобретению в сравнении с фузидовой кислотой и, что более важно, существенно более высокую антибактериальную активность против стрептококков, как это видно из таблицы 1, в которой приведены значения МИК выбранных соединений формулы Ia в отношении и стафилококков, и стрептококков. Соединения Аналоги фузидовой кислоты по настоящему изобретению и эталонные соединения 201 (фузидовая кислота (в виде натриевой соли)), 207, 205, 203 и 206 (см. примечания к таблице А) хранят в порошковой форме при температуре +4°С. Для применения в данных тестах их растворяют в 95% EtOH (3,84 мг/мл) и хранят максимум в течение одного месяца при температуре -20°С перед отбором.
Среды LB среды (на 1000 мл ddH2O: 10 г бактотриптона, 5 г дрожжевого экстракта, 10 г NaCl). THB бульон Тодда-Хьюитта (Todd-Hewitt) (SIGMA), номер продукта: Т1438 (на 1000 мл ddH2O: 50 г инфузии из сердца быка, 20 г казеинового пептона, 2 г декстрозы, 2 г NaHCO3, 2,5 г NaCl, 0,4 г Na2HPO4). Чашки готовят с использованием агара в концентрации 1,5%. Чашки Петри с кровяным агаром содержат дополнительно 5 об. % дефибринизированной крови лошади, получаемой от компании SLU (Swedish Agricultural University, Uppsala). Определение МИК (минимальной ингибирующей концентрации) Тест для определения МИК соединений проводят в 96-луночных микротитрационных планшетах (Thermo Labsystems). Бактерии в количестве 4Ч105 инокулируют в 0,4 мл ростовых сред (S. aureus – LB бульон, S. pyogenes – TH бульон), содержащих серийные разбавления исследуемых соединений, начиная от 128 мкг/мл (коэффициент разведения 2, например, 128 мкг/мл, 64 мкг/мл,
Эталонными соединениями в таблице А являются известные производные фузидовой кислоты. Каждое эталонное соединение относится к соединению по настоящему изобретению, указанному выше в той же самой колонке. Эталонные соединения не замещены С-24 и имеют двойную связь между С-24 и С-25. Все другие структурные характеристики эталонных соединений идентичны соответствующим соединениям по настоящему изобретению, указанным выше в той же колонке: 201 – Фузидовая кислота 207 – 16-дезокси-16 205 – 17S,20S-дигидрофузидовая кислота (Duvold, T. et al., J. Med. Chem., 2001, Vol 44, p. 3125-3131) 203 – 16-дезацетокси-16 206 – 17S,20S-метиленфузидовая кислота (Duvold, T., et al., Bioorg. Med. Chem. Lett., 2002, Vol. 12, p. 3569-3572) Приведенные выше данные четко показывают, что замещение фузидовой кислоты в положении 24 приводит к значительному повышению активности соединения против стрептококков (в 2-15 раз), тогда как активность против стафилококков сохраняется по существу на том же уровне. Сокращения Ниже даны определения стандартных сокращений, используемых в данной заявке: AcOH = уксусная кислота Ac2O = уксусный ангидрид Ac = ацетил aq. (водн.) = водный Bu = н-бутил tBu, tBu = трет-бутил Comp. = соединение DBU = 1,8-диазабицикло[5.4.0]ундец-7-ен DMF (ДМФ) = диметилформамид eq. (эквив.) = эквивалент Et = этил Ether = диэтиловый эфир EtOAc = этилацетат EtOH = этанол Ex. (прим.) = пример FA = фузидовая кислота или аналог по кольцевым подструктурам A,B,C,D FCC = колоночная флэш-хроматография Fu = кольцевые подструктуры A,B,C,D в фузидовой кислоте HMPA = триамид гексаметилфосфорной кислоты HPLC (ВЭЖХ)= высокоэффективная жидкостная хроматография iPr = изопропил Me = метил MeOH = метанол m.p. (Т.пл.) = точка плавления MRSA = метициллин-резистентный Staphylococcus aureus Pet.ether = петролейный эфир Ph = фенил Phenac = фенацил Piv = пивалоил Prep. (преп.) = препарат THF (ТГФ)= тетрагидрофуран TLC (ТСХ) = тонкослойная хроматография rt (к.т.)= комнатная температура sat. (насыщ.) NaCl = насыщенный водный раствор хлорида натрия TMS (ТМС) = триметилсилил v = объем Получение соединений по настоящему изобретению Соединения формулы I могут быть синтезированы из известных исходных материалов с использованием различных схем синтеза, в зависимости от потребностей, определяемых каждым конкретным соединением I, таких как доступность исходных материалов, необходимость временной защиты чувствительных заместителей, уровень чистоты и выхода на стадиях синтеза и выбор предпочтительного порядка следования данных стадий реакции. Ниже приведены иллюстративные, но не ограничивающие способы и примеры синтеза различных соединений формулы I или Ia. Различные способы синтеза могут быть объединены друг с другом, как это сочтет нужным специалист в данной области, для получения нужных соединений формулы I или Ia с желаемым замещением в кольце A, C и D, в 24 положении боковой цепи, и с учетом того, что касается их формы: свободных кислот, солей или легко гидролизуемых сложных эфиров. Основной способ синтеза 24-бромсоединений общей формулы I с кольцевыми субструктурами A,B,C,D в FA (фузидовая кислота/аналог фузидовой кислоты) из исходных материалов 201-206 (с теми же кольцевыми подструктурами A,B,C,D) показан на схеме 1: Примеры кольцевых подструктур A,B,C,D фузидовой кислоты и аналогов фузидовой кислоты, FA: Условия: (a) ClCH2O(CO)R’, Et3N, ДМФ (R’ = Me или C(CH3)3), к.т.; (b) Br2, CCl4, 0°C; (c) DBU, CCl4 или CH3CN, к.т.; (d) DBU/водн. MeOH или K2CO3/MeOH, к.т. Фузидовая кислота или аналог фузидовой кислоты могут быть этерифицированы, например, хлорметилацетатом или хлорметилпивалатом, с использованием соответствующего растворителя, такого как диметилформамид, в присутствии подходящего основания, такого как триэтиламин. Сложный эфир может быть затем подвергнут бромированию с использованием брома в подходящем растворителе, таком как тетрахлорид углерода или ацетонитрил. Полученный дибромид (который обычно представляет собой смесь 24-диастереоизомеров) может быть подвергнут дегидробромированию путем обработки соответствующим основанием, таким как DBU, в соответствующем растворителе, таком как тетрахлорид углерода или ацетонитрил, с образованием преимущественно 24-бромфузидовой кислоты или сложноэфирного аналога фузидовой кислоты. При желании, сложный эфир может использоваться в качестве пролекарства соответствующей свободной кислоты I, например, в случае наличия легко гидролизуемой сложноэфирной группы. Альтернативно, сложный эфир может быть гидролизован с использованием подходящего основания, такого как DBU или K2CO3, в подходящем растворителе, таком как вода, содержащая метанол или этанол, с получением желаемых соединений общей структуры I (где Х = бром) в виде свободных кислот или солей. В другом варианте осуществления настоящего изобретения дибромид подвергают на одной стадии дегидробромированию и гидролизу с получением желаемого соединения I в виде свободной кислоты или в виде солей, например, при использовании описанных выше способов. В другом предпочтительном варианте фузидовую кислоту или аналог фузидовой кислоты подвергают непосредственному бромированию в соответствии со способами, описанными выше, с получением соответствующей дибромкислоты (которая обычно представляет смесь 24-диастереоизомеров). Далее дибромкислоту подвергают дегидробромированию, например, в соответствии со способами, описанными выше, с получением желаемых соединений общей структуры I (где Х = бром) в виде свободных кислот и необязательно в виде солей. Распространенный в настоящее время способ получения соединений формулы Ia, где Q1, Q2, A и В указаны выше, Y и Z вместе со связью С-17/C-20 образуют двойную связь между C-17 и C-20, или вместе представляют метилен, или оба обозначают водород, и X обозначает бром, проиллюстрирован на схеме 1a соответствующей реакцией (где FA обозначает кольцевые подструктуры A,B,C,D-фузидовой кислоты или аналога фузидовой кислоты, как показано на схеме 1): Фузидовую кислоту или аналог фузидовой кислоты растворяют в подходящем растворителе, таком как уксусная кислота или С1-4алкиовый сложный эфир С1-4карбоновой кислоты, например этилацетат, изопропилацетат, трет-бутилацетат, и обрабатывают бромом, предпочтительно растворенным в том же растворителе, при температуре -10°C-20°С, предпочтительно при температуре 0°С-10°С, такой как 5°С, с получением 24,25-дибромированного промежуточного соединения. 24,25-дибромированное промежуточное соединение может быть выделено, необязательно, после добавления водного основания и/или восстановителя, такого как Na2SO3, и проводят разделение фаз путем выпаривания органического растворителя. Затем 24,25-дибромированное промежуточное соединение (необязательно без осуществления стадий выделения или очистки) подвергают дегидробромированию с получением соединения формулы Ia при взаимодействии раствора 24,25-дибромированного промежуточного соединения в подходящем растворителе, таком как С1-6спирт, например, метанол, этанол, 1-пропанол, изопропанол или бутанол, или вода, или смесь указанных растворителей, с подходящим основанием, например, при температуре кипения с обратным холодильником, или, например, при температуре от 50°С до 120°С, такой как в диапазоне 60°С-90°С, такой как в диапазоне 70°С-80°С, с получением дегидробромированного соединения формулы Ia в виде соли. Основание, используемое для получения дегидробромированных соединений формулы Ia, может быть соответствующим образом выбрано из солей щелочного металла или щелочноземельного металла на основе слабой кислоты, такой как угольная, фосфорная или борная кислота, например, это может быть карбонат калия или натрия, или может быть выбрано из оснований, таких как аммиак или С1-8замещенный аммиак, например, этиламин, диэтиламин, триэтиламин или пиперидин, или гидроксидов щелочного металла или щелочноземельного металла, таких как гидроксид натрия, гидроксид кальция или разбавленный гидроксид калия. Соединение формулы Ia в виде свободной кислоты может быть далее получено из соли путем подкисления соответствующей кислотой, такой как водный раствор фосфорной кислоты или уксусной кислоты. Соединение формулы Ia далее может быть подвергнуто очистке и рекристаллизации, например, как описано ниже в примерах 8 и 45, с получением чистого соединения Ia или преобразованию в легко гидролизуемый сложный эфир, например, в рамках процедуры, описанной в способе получения 1 и 2, или может быть превращено в подходящую соль, такую как натриевая соль, например, как описано ниже в примере 9. Основной способ, используемый для преобразования бромного заместителя в 24-ом положении соединения общей формулы I (Х = бром), в 24-замещенные соединения общей формулы I (Х = бром) показан на примере преобразования соединения 108 на схеме 2: Условия: (a) ClCH2O(CO)R’, Et3N, ДМФ (R’ = Me или C(CH3)3), к.т.; (d) DBU/водн. MeOH или K2CO3/MeOH, к.т.; (e) CuI, KI, HMPA, 120°C; (f) (R’= -CH2COPh) BrCH2COPh, KF, ДМФ, к.т.; (g) CuI, CiCl, HMPA, 120°C; (h) CF3Cu, HMPA, к.т.; (i) ArB(OR (Fu = кольцевые подструктуры A,B,C,D-фузидовой кислоты) *см. примеры 36-43, иллюстрирующие процедуры с включением Ar и ArB(OR Ацетоксиметиловые сложные эфиры или пивалоилоксиметиловые сложные эфиры 24-бромфузидовой кислоты или аналога 24-бромфузидовой кислоты или могут быть гидролизованы до соответствующих свободных кислот, например, путем обработки метанолом и водным основанием. Бромкислоты далее нагревают с иодидом меди (I) и иодидом калия в HMPA при температуре 120°C с получением соответствующей 24-йодкислоты формулы I. Кислоты могут быть далее этерифицированы до соответствующих фенациловых сложных эфиров при обработке фенацилбромидом и фторидом калия в ДМФ. Фенациловые сложные эфиры дают соответствующие 24-трифторметиловые сложные эфиры, например, при взаимодействии с раствором трифторметилмеди в HMPA. В итоге, сложные эфиры могут быть преобразованы в свободные 24-трифторметилфузидовые кислоты (или аналоги фузидовой кислоты) формулы I при проведении гидролиза, например, щелочного гидролиза. Альтернативно, 24-иодкислоты могут быть подвергнуты этерификации до своих ацетоксиметиловых сложных эфиров или пивалоилоксиметиловых сложных эфиров, как описано выше, после чего преобразованы в соответствующие 24-арильные или алкенильные сложные эфиры и т.п., в ходе соответствующих реакций сочетания, например, в рамках реакции сочетания типа Судзуки с арилбороновой кислотой или сложным эфиром, или замещены арилбороновой кислотой или сложным эфиром, как показано на схеме 2. В итоге соответствующие свободные кислоты соединений общей формулы I могут быть получены при проведении гидролиза сложного эфира, такого как щелочной гидролиз. В другом варианте ацетоксиметиловые сложные эфиры или пивалоилоксиметиловые сложные эфиры 24-бромфузидовой кислоты или аналога 24-бромфузидовой кислоты нагревают с иодидом меди (I) и хлоридом лития в HMPA с получением соответствующего 24-хлорсодержащего сложного эфира. Этот эфир дает свободные 24-хлоркислоты соединений общей формулы I после гидролиза, такого как щелочной гидролиз. Основной способ синтеза соединений I, включающий модификацию в кольце А в ходе реакций синтеза, проиллюстрирован применительно к синтезу соединений 123, 124 и 144 на схеме 3: Условия: (j) PhP3P, CBr4, бензол, к.т.; (k) K2CO3, MeOH, к.т.; (l) LiN3, ДМФ, к.т. Не ограничивающий пример модификации по типу замещения в одном из колец кольцевых подструктур A,B,C,D фузидовой кислоты, например, после введения 24-заместителя, показан на схеме 3 применительно к модификации в кольце А: например, ацетоксиметиловый сложный эфир или пивалоилоксиметиловый сложный эфир 24-бромфузидовой кислоты или аналога 24-бромфузидовой кислоты может быть подвергнут бромированию трифенилфосфином и тетрабромметаном с образованием инверсной конфигурации, соответствующего 3- Основной способ синтеза соединения I, включающий модификацию в кольце А и в кольце D в ходе реакций синтеза, проиллюстрирован применительно к синтезу соединений 112 и 113 на схеме 4: Условия: (m) Ac2O, пиридин, к.т.; (n) 1. 1 экв. водн. NaOH, МеОН, к.т., 2. водн. NaHCO3, 100°C; (o) 1. 1 экв. водн. NaOH, MeOH, к.т., 2. ClCH2(CO)C(CH3)3, ДМФ, к.т.; (p) Cl(CO)OPh, NaBr, DMF, 0°C; (q) Br2, CCl4, к.т.; (r) DBU, CH3CN, температура кипения с обратным холодильником; (s) 1. iPrSH, NaOH, ДМФ, к.т., 2. водн. NaOH, 60°C; (t) 1. 1 экв. водн. NaOH, MeOH, к.т.; 2. NaIO4, MeOH, к.т. Синтез соединений 112 и 113 из фузидовой кислоты иллюстрирует приведенная неограничивающая процедура, в рамках которой 16-заместитель в кольце D может быть в ходе синтеза соединений общей формулы I изменен до алкилтио или алкилсульфинильной группы с 16- СПОСОБЫ ПОЛУЧЕНИЯ И ПРИМЕРЫ Основные сведения Все значения точек плавления приведены в некорректированном виде. Значения химического сдвига в спектрах ядерно-магнитного резонанса (ЯМР) для 1Н (300 МГц) и 13С (75,6 МГц) ( Получение промежуточных соединений для синтеза соединений I Промежуточные соединения общей формулы Ib перечислены в таблице 1: Примечания к формуле Ib и таблице 1: Преп. = Препарат; Преп. = процедура используется при получении других препаратов и в других примерах; Соед. – Соединение; Q2 = CH-OH(
Способы получения Способ получения 1: Ацетоксиметиловый сложный эфир фузидовой кислоты (2а) К раствору фузидовой кислоты (201) (128,6 г, 250 ммоль) в ДМФ (375 мл) добавляют Et3N (45 мл, 33 г, 320 ммоль) и смесь перемешивают в течение 30 минут при комнатной температуре. После этого добавляют хлорметилацетат (49 мл, 55 г, 500 ммоль) и реакционную смесь перемешивают в течение ночи при комнатной температуре, после чего промывают (EtOAc, вода) с получением неочищенного продукта. Неочищенный сложный эфир (2а) рекристаллизуют из изопропилового эфира с получением чистого соединения в виде бесцветного порошка, Т.пл. 103-105°С. 13C ЯМР (CDCl3): 170,4, 169,6, 168,4, 150,6, 132,7, 129,3, 122,9, 79,4, 74,4, 71,4, 68,2, 49,2, 48,7, 44,3, 39,5, 39,0, 37,1, 36,2, 36,2, 35,5, 32,4, 30,3, 30,0, 28,8, 28,3, 25,7, 24,2, 22,8, 20,9, 20,8, 20,7, 17,9, 17,7,15,9. Способ получения 2: Пивалоилоксиметиловый сложный эфир фузидовой кислоты (2b) По процедуре, приведенной для способа получения 1, при замещении хлорметилацетата хлорметилпавалатом, проводя реакцию при температуре 50°С в течение ночи, получают пивалоилоксиметиловый сложный эфир фузидовой кислоты (2b) в виде бесцветного аморфного вещества. 13C ЯМР (CDCl3): 177,0, 170,2, 168,1, 150,9, 132,6, 129,3, 123,0, 79,8, 74,3, 71,4, 68,2, 49,3, 48,8, 44,3, 39,5, 39,0, 38,8, 37,0, 36,3, 36,1, 35,6, 32,3, 30,2, 30,0, 28,8, 28,3, 26,9, 25,7, 24,1, 22,9, 20,8, 17,9, 17,8, 15,9. Способ получения 3: Ацетоксиметиловый сложный эфир 24R,S,25-дибромфузидовой кислоты (3а) Ацетоксиметиловый сложный эфир фузидовой кислоты (2а) (6 г, 10 ммоль) растворяют в CCl4 (40 мл) и добавляют раствор брома (0,56 мл, 1,76 г, 11 ммоль) в CCl4 (40 мл) в течение одного часа при постоянном перемешивании и охлаждении на ледяной бане. Полученный слегка желтый раствор используют на следующей стадии без дальнейшей очистки. 1H ЯМР (CDCl3): 5,91 (м, 1H), 5,78 (ш.с., 2H), 4,36 (ш.с., 1H), 4,20 (м, 1H), 3,75 (ш.с., 1H), 3,16 (м, 1H), 2,80-1,00 (м, 20H), 2,10 (с, 3H), 1,97 (ш.с, 6H), 1,80 (с, 3H), 1,38 (с, 3H), 0,96 (с, 3H), 0,95 (с, 3H), 0,91 (д, 3H). Способ получения 4: Пивалоилоксиметиловый сложный эфир 24R,S,25-дибромфузидовой кислоты (3b) По процедуре, приведенной для способа получения 3, при замещении ацетоксиметилового сложного эфира фузидовой кислоты (2а) пивалоилоксиметиловым сложным эфиром фузидовой кислоты (2b), после концентрирования реакционной смеси и очистки продукта методом колоночной флэш-хроматографии (гексан:EtOAc 50:50, в качестве элюента) получают указанное в заголовке соединение 3b в виде бесцветной пены. 13C ЯМР (CDCl3): 177,0, 170,2, 170,2, 167,7, 167,6, 153,0, 153,0, 127,7, 80,1, 80,0, 74,3, 71,4, 68,5, 68,4, 68,2, 68,1, 66,2, 65,8, 60,4, 49,3, 49,2, 48,9, 48,9 44,5 39,5, 39,0 38,8, 37,0, 36,3, 36,1, 35,8, 35,2, 35,1, 32,3, 31,6, 30,2, 30,0, 28,5, 28,2, 28,2, 27,7, 26,9, 24,1, 24,1, 22,8, 22,7, 20,8, 20,8, 18,1, 18,0, 16,0, 14,2. Способ получения 5: 3-ацетилфузидовая кислота (4) Фузидовую кислоту (201) (74,3 г, 0,144 моль) растворяют в пиридине (75 мл, 74 г, 0,93 моль) и уксусном ангидриде (75 мл, 81 г, 0,79 моль) и полученную реакционную смесь перемешивают при комнатной температуре в течение трех часов, после чего реакция завершается. Ацетилированный продукт осаждают при добавлении льда и воды. Рекристаллизация из смеси метанол/вода дает чистое соединение (4). 13C ЯМР (CDCl3): 174,5, 171,0, 170,6, 151,1, 132,7, 129,7, 123,0, 74,4, 74,2, 68,3, 49,1, 48,8, 44,3, 39,4, 39,0, 37,8, 37,0, 35,8, 34,8, 32,7, 31,1, 28,7, 28,4, 27,4, 25,7, 24,4, 22,6, 21,3, 20,6, 20,6, 18,1, 17,8, 15,5. Способ получения 6: 3-ацетил-16-деацетокси-16 3-ацетоксифузидовую кислоту (4) (9,95 г, 17,8 ммоль) растворяют в MeOH (250 мл) и нейтрализуют эквивалентным количеством водного NaOH (примерно 9 мл, 2М). Растворители выпаривают и к остатку добавляют воду (150 мл). Смесь нагревают до температуры кипения с обратным холодильником и добавляют в течение 30 минут 20 мл насыщенного водного раствора NaHCO3 (примерно 1 M). Полученный прозрачный раствор нагревают до температуры 100°С в течение восьми часов, после чего образуется нерастворимый побочный продукт (соответствующий лактон). Лактон удаляют фильтрованием и фильтрат подкисляют с помощью HCl (20 мл, 4М) и экстрагируют EtOAc. Органическую фазу промывают водой, сушат с использованием MgSO4 и концентрируют при пониженном давлении с получением указанного в заголовке соединения (5), которое используют на следующей стадии без дальнейшей очистки. 13C ЯМР (CDCl3): 174,2, 171,2, 164,7, 132,5, 127,6, 123,2, 74,2, 72,2, 68,4, 49,1, 47,4, 43,9, 39,5, 39,2, 37,7, 36,9, 35,9, 34,9, 32,6, 31,0, 29,1, 28,4, 27,3, 25,7, 24,5, 22,7, 21,4, 20,7, 18,4, 17,9, 15,5. Способ получения 7: Пивалоилоксиметиловый сложный эфир 3-ацетил-16-деацетокси-16 3-ацетил-16-деацетокси-16 13C ЯМР (CDCl3): 177,2, 171,0, 168,6, 164,6, 132,6, 127,2, 123,1, 80,0, 74,1, 72,1, 68,4, 49,1, 47,4, 43,7, 39,5, 39,4, 38,8, 37,7, 36,9, 36,0, 34,9, 32,6, 31,0, 28,9, 28,0, 27,4, 26,9, 25,7, 24,5, 22,6, 21,3, 20,7, 18,4, 17,8, 15,5. Способ получения 8: Ацетоксиметиловый сложный эфир 16-деацетокси-16 По процедуре, приведенной для способа получения 1, при замене фузидовой кислоты 16-деацетокси-16 13C ЯМР (CDCl3): 194,9, 169,5, 168,4, 151,3, 132,7, 129,5, 122,9, 80,0, 71,4, 68,3, 49,2, 49,0, 45,7, 43,7, 41,4, 39,7, 37,2, 36,3, 35,9, 35,7, 32,7, 30,4, 30,0, 29,9, 29,3, 28,3, 25,7, 24,4, 22,4, 20,7, 20,6, 18,6, 17,7, 16,0. Способ получения 9: Ацетоксиметиловый сложный эфир 16-деацетокси-16 По процедуре, приведенной для способа получения 1, при замене фузидовой кислоты калиевой солью 16-деацетокси-16 13C ЯМР (CDCl3): 169,7, 169,6, 151,2, 132,4, 128,6, 123,2, 79,6, 78,8, 71,4, 68,4, 65,2, 49,2, 49,0, 43,3, 39,5, 37,0, 36,3, 36,2, 35,8, 35,5, 32,5, 30,2, 30,0, 28,8, 28,2, 25,7, 24,1, 22,8, 20,9, 20,8, 17,8, 17,7, 16,0, 15,3. Способ получения 10: Ацетоксиметиловый сложный эфир 16-деацетокси-16 По процедуре, приведенной для способа получения (1), при замене фузидовой кислоты 16-деацетокси-16 13C ЯМР (CDCl3): 169,7, 169,1, 151,0, 132,6, 129,9, 123,7, 123,0, 80,1, 79,5, 71,4, 68,3, 67,8, 49,1, 49,0, 43,8, 39,5, 37,1, 36,3, 36,2, 35,8, 35,5, 32,6, 30,3, 30,0, 28,6, 28,2, 25,7, 24,3, 22,7, 20,8, 20,7, 17,7, 17,6, 15,9. Способ получения 11: Пивалоилоксиметиловый сложный эфир 3-ацетил-16 Пивалоилоксиметиловый сложный эфир 3-ацетил-16-деацетокси-16 13C ЯМР (CDCl3): 177,3, 171,0, 167,5, 154,8, 132,6, 129,5, 123,0, 79,8, 74,1, 68,2, 50,6, 49,3, 48,8, 43,5, 42,0, 39,5, 38,9, 37,6, 36,9, 35,8, 35,0, 32,5, 30,9, 28,6, 28,3, 27,3, 27,0, 25,7, 24,3, 22,8, 21,3, 20,7, 17,8, 17,4, 15,5. Способ получения 12: Пивалоилоксиметиловый сложный эфир 3-ацетил-16-деацетокси-16 По процедуре, приведенной для способа получения (3), при замещении ацетоксиметилового сложного эфира фузидовой кислоты (2а) пивалоилоксиметиловым сложным эфиром 3-ацетил-16 13H ЯМР (CDCl3): 5,87 (м, 2H), 5,64 (ш.т., 1H), 4,93 (ш.с., 1H), 4,35 (ш.с., 1H), 4,14 (дд, 1H), 3,46 (ш.д., 1H), 2,80-1,00 (м, 20H), 2,07 (с, 3H), 1,97 (с, 3H), 1,84 (с, 3H), 1,49 (с, 3H), 1,22 (с, 9H), 0,98 (с, 3H), 0,83 (д, 3H), 0,78 (с, 3H). Способ получения 13: Пивалоилоксиметиловый сложный эфир 3-ацетил-16-деацетокси-16 Пивалоилоксиметиловый сложный эфир 3-ацетил-16-деацетокси-16 1H ЯМР (CDCl3) 5,87 (д, 1H) 5,84 (д, 1H), 5,64 (ш.т. 1H), 4,94 (ш.с., 1H), 4,36 (ш.с, 1H), 3,45 (ш.д., 1H), 2,75-2,50 (м, 5H), 2,30-1,00 (м, 15H), 2,07 (с, 3H), 1,85 (с, 3H), 1,78 (с., 3H), 1,46 (с, 3H), 1,23 (с, 9H), 0,98 (с, 3H), 0,83 (дд, 3H), 0,77 (с, 3H). Способ получения 14: Ацетоксиметиловый сложный эфир 17S,20S-дигидрофузидовой кислоты (14) По процедуре, приведенной для способа получения (1), при замене фузидовой кислоты 17S,20S-дигидрофузидовой кислотой (205) (von Duvold, T. et al., J. Med. Chem., 2001, vol. 44, p. 3125-3131), с использованием по 10 экв. каждого из Et3N и хлорметилацетата, при дальнейшей очистке неочищенного продукта колоночной флэш-хроматографией с использованием в качестве элюента смеси петролейный эфир:EtOAc (1:1) получают указанное в заголовке соединение (14). 13C ЯМР (CDCl3): 173,8, 170,0, 169,8, 132,4, 123,3, 78,7, 76,5, 71,4, 68,8, 49,3, 45,7, 44,1, 40,6, 38,3, 37,1, 36,3, 34,3, 32,7, 32,5, 30,3, 30,0, 25,7, 25,2, 23,7, 22,8, 21,0, 20,9, 20,7, 17,7, 17,2, 16,0. Способ получения 15: Ацетоксиметиловый сложный эфир 17S,20S-метиленфузидовой кислоты (15) По процедуре, приведенной для способа получения (1), при замене фузидовой кислоты 17S,20S-метиленфузидовой кислотой (206) (Duvold, T. et al., Bioorg. Med. Chem.Lett., 2002, vol. 12, p. 3569-3572), с использованием по 10 экв. каждого из Et3N и хлорметилацетата, при дальнейшей очистке неочищенного продукта колоночной флэш-хроматографией с использованием в качестве элюента смеси петролейный эфир:EtOAc (1:1) получают указанное в заголовке соединение (15). 13C ЯМР (CDCl3): 171,5, 170,1, 169,6, 132,2, 123,6, 79,1, 78,8, 71,4, 68,3, 49,7, 48,5, 42,6, 40,1, 39,9, 38,6, 37,1, 36,4, 36,3, 36,1, 34,6, 32,3, 31,8, 30,3, 29,9, 26,0, 25,7, 24,1, 22,9, 20,7, 20,7, 18,9, 18,0, 17,6, 16,0. Способ получения 16: Фенациловый сложный эфир 24-иодфузидовой кислоты (7) Смесь фенацилбромида (0,42 г, 2,1 ммоль), фторида калия (0,27 г, 4,6 ммоль) и ДМФ (10 мл) перемешивают в течение пяти минут при температуре 90°С в атмосфере аргона. Добавляют 24-иодфузидовую кислоту (125I) (1,35 г, 2,1 ммоль) и полученную смесь перемешивают в течение одного часа при температуре 90°С. Реакционную смесь обрабатывают (диэтиловый эфир, вода, насыщ. NaCl, MgSO4) и концентрируют при пониженном давлении, получая указанное в заголовке соединение (7) в виде аморфного порошка. 13C ЯМР (CDCl3): 171,1, 170,5, 168,6, 152,3, 137,4, 134,3, 133,8, 128,9, 128,2, 127,8, 100,3, 74,4, 71,4, 68,2, 65,8, 60,4, 49,3, 48,9, 44,7, 41,6, 39,5, 39,1, 37,0, 36,4, 36,1, 36,0, 32,2, 31,7, 30,2, 30,0, 28,9, 24,0, 22,9, 21,0, 20,9, 19,4, 18,0, 16,0, 14,2. Способ получения 17: Фенациловый сложный эфир 24-трифторметилфузидовой кислоты (16) Раствор комплексного соединения трифторметилмеди в HMPA (Kobayashi, Y. et al., Tetrahedron. Lett., 1979, Vol. 42, p. 4071-4072), полученного из трифторметилиодида (0,43 г, 2,2 ммоль) и порошка меди (0,32 г, 5 мг At) в HMPA (1,5 мл), добавляют к фенациловому сложному эфиру 24-иодфузидовой кислоты (7) (190 мг, 0,25 ммоль). Полученную смесь перемешивают в закрытом флаконе в течение 3 дней при комнатной температуре в атмосфере аргона, после чего обрабатывают EtOAc, водой и насыщенным раствором NaCl, сушат и концентрируют при пониженном давлении. Неочищенный продукт очищают колоночной флэш-хроматографией (20-40% EtOAc в петролейном эфире, в качестве элюента) и затем проводят препаративную ВЭЖХ (Lichrospher®-100 RP18, в градиенте 50%-0% 0,01 М водн. NH4 1H ЯМР (CDCl3): 7,88 (дд, 2H), 7,58 (т, 1H), 7,48 (т, 2H), 5,98 (д, 1H), 5,48 (д, 1H), 5,11 (д, 1H), 4,36 (с, 1H), 3,75 (ш.с., 1H), 3,10 (ш.д., 1H), 2,75-1,00 (м, 21H), 2,01 (с, 3H), 1,88 (, 3H), 1,83 (, 3H), 1,38 (с, 3H), 0,98 (с, 3H), 0,93 (с, 3H), 0,92 (д, 3H). Способ получения 18: 24,25-дибромфузидовая кислота (17) Раствор брома (16,0 г, 2,1 моль) в этилацетате (100 мл) добавляют к перемешанному раствору фузидовой кислоты (51,6 г, 0,1 моль) в этилацетате (1000 мл) в течение 75 минут. Температуру поддерживают на уровне 5°С, охлаждая смесь на ледяной бане. Добавляют KH2PO4 (100 мл, 1М водн.) и Na2S2O3 (50 мл, 1М водн.) в течение нескольких минут. Фазу EtOAc отделяют и экстрагируют KH2PO4 (200 мл, 0,5М водн.) и водой (100 мл), после чего концентрируют при пониженном давлении с получением твердого остатка соединения (17), которое используют на следующей стадии без дальнейшей очистки (пример 45). 1H ЯМР (CDCl3): 5,81 (д, 1H), 4,32 (м, 1H), 4,26 (т, 1H), 3,66 (м, 1H),3,09 (м, 1H), 3,0-1,0 (м, 19H), 1,82 (с, 3H), 1,81 (с, 3H), 1,39 (с, 3H), 1,00 (с, 3H), 0,99 (с, 3H), 0,94 (с, 3H), 0,89 (д, 3H). Соединения I по настоящему изобретению В таблице 2 перечислены примеры соединений общей формулы I (соединения общей формулы Ia, где Q2 = CH-OH ( Примечание к таблице 2: Символы в таблице 2, которые являются общими для символов таблицы 1, имеют те же самые значения. Ex.= пример; Ex. = процедура, используемая в других примерах. Примеры легко гидролизуемых сложных эфиров соединений общей формулы I приведены в таблице 3а (для ацетоксиметиловых сложных эфиров) и в таблице 3b (для пивалоилоксиметиловых сложных эфиров) (для сложных эфиров соединений общей формулы Ia (Q2=CH-OH ( Примечание к таблицам 3а b 3b: Символы в таблицах 3a и 3b, которые являются общими для символов таблицы 1, имеют те же самые значения. Ex.= пример; Ex. = процедура, используемая в других примерах. Примеры солей соединений общей формулы I перечислены в таблице 4 (для солей общей формулы Ic (Q2 = CH-OH ( Примечание к таблице 4: Символы в таблицах 3a и 3b, которые являются общими для символов таблицы 1, имеют те же самые значения. Ex.= пример; Ex. = процедура, используемая в других примерах. ПРИМЕРЫ Пример 1: Натриевая соль 24-трифторметилфузидовой кислоты (соединение 101) Указанное в заголовке соединение (101) может быть получено по процедуре примера 9 при замене 24-бромфузидовой кислоты (108) 24-трифторметилфузидовой кислотой (106). Пример 2: Пивалоилоксиметиловый сложный эфир 24-трифторметилфузидовой кислоты (соединение 102) Указанное в заголовке соединение (102) может быть получено по процедуре, описанной в способе получения 2, при замене фузидовой кислоты 24-трифторметилфузидовой кислотой (106) с последующей лиофильной сушкой продукта. Пример 3: 24-хлорфузидовая кислота (соединение 103) Пивалоилоксиметиловый сложный эфир 24-хлорфузидовой кислоты (104) (140 мг, 0,21 ммоль) и K2CO3 (60 мг, 0,43 ммоль) перемешивают в MeOH (2 мл) в течение 3 часов при комнатной температуре. После проведения колоночной флэш-хроматографии концентрированной реакционной смеси (петролейный эфир:EtOAc:HCOOH, 90:10:1-10:90:1, в качестве элюента) получают указанное в заголовке соединение 103. 13C ЯМР (CDCl3): 174,0, 170,6, 152,5, 128,5, 126,8, 74,5, 71,5, 68,2, 49,3, 48,8, 44,6, 39,5, 39,0, 37,0, 36,3, 36,0, 35,6, 32,2, 30,2, 29,9, 27,3, 24,0, 22,9, 21,9, 20,8, 20,6, 20,3, 17,9, 15,9. Пример 4: Пивалоилоксиметиловый сложный эфир 24-хлорфузидовой кислоты (соединение 104) Пивалоилоксиметиловый сложный эфир 24-бромфузидовой кислоты (10) (283 мг, 0,40 ммоль), CuI (240 мг, 1,26 ммоль), LiCl (30 мг, 0,7 ммоль) и HMPA (1,2 мл) встряхивают в закрытом флаконе в течение 3 часов при температуре 120°С. Реакционную смесь промывают (EtOAc и насыщ. NaCl) с получением неочищенного продукта. Далее этот продукт очищают колоночной флэш-хроматографией с использованием смеси петролейный эфир:EtOAc (90:10-10:90) в качестве элюента и получают чистое, указанное в заголовке соединение 104. 13C ЯМР (CDCl3): 177,0, 170,2, 167,8, 152,8, 128,5, 128,0, 126,7, 80,0, 74,4, 71,4, 68,2, 49,3, 48,8, 44,6, 39,5, 39,0, 38,8, 37,0, 36,4, 36,0, 35,5, 35,4, 32,2, 30,2, 29,9, 27,2, 26,9, 24,0, 22,9, 21,9, 20,8, 20,4, 17,9, 16,0, 14,2. Пример 5: Натриевая соль 24-хлорфузидовой кислоты (соединение 105) По процедуре, приведенной в примере 9, при замене 24-бромфузидовой кислоты (108) 24-хлорфузидовой кислотой (103) с последующей лиофильной сушкой продукта получают указанное в заголовке соединение (105). Пример 6: 24-трифторметилфузидовая кислота (соединение 106) Фенациловый сложный эфир 24-трифторметилфузидовой кислоты (17) (15 мг, 0,021 ммоль) и тиофенолат натрия (20 мг, 0,15 ммоль) в сухом ДМФ (0,5 мл) перемешивают в атмосфере аргона при температуре 100°С в течение пяти часов. Добавляют EtOAc (15 мл) и органический раствор экстрагируют с использованием: 3М водн. CaCl2 (10 мл) + 1 М водн. H3PO4 (0,25 мл) и затем (по 10 мл каждого) 3М водн. CaCl2, воды и насыщ. NaCl. После сушки и концентрирования неочищенный продукт очищают колоночной флэш-хроматографией с использованием в качестве элюента смеси петролейный эфир:EtOAc:HCOOH (60:40:1/2) и получают после лиофильной сушки указанное в заголовке соединение 106 в виде аморфного порошка. 1H ЯМР (CDCl3): 5,87 (д, 1H), 4,34 (с, 1H), 3,75 (с, 1H), 3,06 (ш.д., 1H), 2,70-0,80 (м, 22H), 1,98 (с, 3H), 1,85 (кв., 3H), 1,83 (кв., 3H), 1,37 (м, 3H), 0,97 (с, 3H), 0,91 (с, 3H), 0,90 (д, 3H). Пример 7: Ацетоксиметиловый сложный эфир 24-бромфузидовой кислоты (соединение 107) Ацетоксиметиловый сложный эфир 24-R,S,25-дибромфузидовой кислоты (3а) (полученный из 22,3 ммоль ацетоксиметилового сложного эфира фузидовой кислоты) в CCl4 (280 мл) и DBU (6,64 мл, 6,77 г, 44,5 ммоль) кипятят с обратным холодильником в течение 16 часов. Реакционную смесь в виде глиноподобного осадка фильтруют через хлопчатобумажный фильтр и промывают фильтр смесью петролейного эфира и EtOAc. Объединенный фильтрат и промывные воды концентрируют с получением указанного в заголовке соединения 107 в виде неочищенного продукта (примерно 70% чистоты, по данным ЯМР), который может быть использован без дальнейшей очистки при получении соединения 108 (пример 8). Чистый образец получают с использованием колоночной флэш-хроматографии (30-50% EtOAc в петролейном эфире, в качестве элюента). 13C ЯМР (CDCl3): 170,3, 169,6, 167,3, 152,6, 131,6, 127,9, 120,0, 79,5, 74,4, 71,4, 68,2, 49,3, 48,8, 44,6, 39,5, 39,0, 37,8, 37,0, 36,3, 36,0, 35,6, 32,2, 30,2, 29,9, 27,8, 25,3, 24,0, 22,9, 20,8, 20,7, 20,4, 18,0, 16,0. Пример 8: 24-бромфузидовая кислота (108) Неочищенный ацетоксиметиловый сложный эфир 24-бромфузидовой кислоты (соединение 107) или ее пивалоилоксиметиловый сложный эфир (110) (полученный из 44,4 ммоль ацетоксиметилового сложного эфира (2а) или пивалоилоксиметилового сложного эфира (2b)) растворяют в MeOH (250 мл) и добавляют DBU (3 мл) для поддержания щелочной реакции. При комнатной температуре в течение двух часов добавляют смесь MeOH/вода (1:1) (300 мл) при перемешивании, которое продолжат еще в течение двух часов. Добавляют 1М раствор KH2PO4 (100 мл) и при необходимости также фосфорную кислоту с достижением pH примерно 4-5; осадок, который образуется, растворяют при двукратной экстракции EtOAc. Органическую фазу экстрагируют водой и насыщ. NaCl, сушат с использованием MgSO4 и концентрируют с получением неочищенного продукта. Данный продукт очищают колоночной флэш-хроматографией (50% EtOAc в петролейном эфире + 0,5% HCOOH, в качестве элюента) и затем проводят рекристаллизацию из смеси EtOAc + толуол (с частичным выпариванием) с получением чистого указанного в заголовке соединения (108). 13C ЯМР (CDCl3): 173,0, 170,5, 152,6, 131,5, 128,1, 120,1, 74,5, 71,4, 68,2, 49,2, 48,8, 44,6, 39,5, 39,0, 37,8, 37,1, 36,2, 36,2, 35,7, 32,4, 30,2, 29,9, 28,0, 25,3, 24,1, 22,8, 20,8, 20,7, 20,4, 18,0, 15,9. Пример 9: Натриевая соль 24-бромфузидовой кислоты (соединение 109) 24-бромфузидовую кислоту (108) (2,38 г, 4,00 ммоль) растворяют в MeOH (30 мл). Добавляют постепенно эквивалентное количество 1N раствора NaOH (4 мл) до достижения pH примерно 8,5 при измерении pH-метром. Полученный раствор концентрируют и остаток растворяют в EtOH (15 мл). Добавляют EtOAc (25 мл), но кристаллизация не происходит до выпаривания растворителей, добавляют EtOH и EtOAc и растворители снова выпаривают. При этом остаток кристаллизуют из EtOH+EtOAc с образованием указанного в заголовке соединения (109) в виде бесцветных кристаллов. 13C ЯМР (CDCl3): 179,1, 173,5, 138,8, 138,2, 131,3, 122,6, 76,0, 72,5, 68,9, 50,8, 50,0, 43,8, 40,7, 40,3, 38,5, 38,3, 37,8, 37,5, 36,9, 33,0, 31,1, 31,0, 30,2, 25,4, 23,8, 23,8, 22,5, 21,1, 20,5, 17,9, 16,5. Пример 10: Пивалоилоксиметиловый сложный эфир 24-бромфузидовой кислоты (соединение 110) При проведении процедуры, описанной в примере 7, с заменой ацетоксиметилового сложного эфира 24R,S,25-дибромфузидовой кислоты пивалоилоксиметиловым сложным эфиром 24R,S,25-дибромфузидовой кислоты (3b) получают неочищенное, указанное в заголовке соединение (110). Это соединение может быть подвергнуто гидролизу без дальнейшей очистки с получением соединения 108. Колоночная флэш-хроматография образца неочищенного продукта, проводимая с использованием в качестве элюента 30%-50% EtOAc в петролейном эфире, дает чистое, указанное в заголовке соединение (110) в виде слегка желтой аморфной пены. 13C ЯМР (CDCl3): 177,0, 170,2, 167,8, 152,8, 131,5, 127,9, 120,1, 80,0, 74,4, 71,4, 68,2, 49,3, 48,8, 44,6, 39,5, 39,0, 38,8, 37,7, 37,0, 36,3, 36,0, 35,7, 32,3, 30,2, 30,0, 27,8, 26,9, 25,3, 24,0, 22,9, 20,8, 20,4, 18,0, 16,0. Пример 11: Ацетоксиметиловый сложный эфир 24-бром-16-деацетокси-16 Раствор брома (45 мкл, 140 мг, 0,88 ммоль) в CCl4 (5 мл) добавляют к раствору ацетоксиметилового сложного эфира 16-деацетокси-16 13C ЯМР (CDCl3): 194,8, 169,5, 168,0, 153,0, 131,7, 128,1, 120,0, 79,9, 71,4, 68,2, 49,3, 49,0, 45,9, 43,8, 41,4, 39,7, 37,6, 37,2, 36,4, 35,9, 35,8, 32,8, 30,4, 30,1, 29,9, 28,3, 25,3, 24,5, 22,4, 20,7, 20,6, 20,4, 18,8, 16,0. Пример 12: 24-бром-16-деацетокси-16 2-пропантиол (1,4 мл, 1,13 г, 15 ммоль) растворяют в сухом ДМФ (12,5 мл) и добавляют гидрид натрия (60% дисперсия в масле, 0,6 г, примерно 15 ммоль) и затем пивалоилоксиметиловый сложный эфир 3-ацетил-16-деацетокси-16 1H ЯМР (CDCl3): 4,30 (м, 1H), 4,15 (м, 1H), 3,75 (м, 1H), 3,10 (м, 1H), 1,82 (с, 3H), 1,75 (с, 3H), 1,35 (с, 3H), 1,24 (д, 3H, J=6 Гц), 1,18 (д, 3H, J=6 Гц), 0,99 (с, 3H), 0,98 (с, 3H), 0,88 (д, 3H, J=6 Гц), 2,9-1,0 (м, 23H). Пример 13: 24-бром-16-деацетокси-16 К раствору 24-бром-16-деацетокси-16 13C ЯМР (CDCl3): 173,7, 159,6, 131,3, 125,8, 120,2, 71,5, 68,3, 60,2, 51,8, 49,5, 48,2, 47,5, 39,7, 38,2, 37^2, 36,3, 36,1, 35,6, 32,6, 30,4, 30,6, 28,0, 26,6, 25,3, 24,6, 22,7, 20,7, 20,4, 18,3, 17,8, 16,0, 13,5. Пример 14: 24-бром-16-деацетокси-16 Ацетоксиметиловый сложный эфир 24-бром-16-деацетокси-16 13C ЯМР (CDCl3): 202,7, 175,6, 133,0, 131,6, 120,4, 71,4, 68,0, 54,5, 50,4, 48,5, 40,8, 40,6, 37,1, 37,0, 36,7, 36,0, 35,2, 32,7, 31,7, 30,2, 29,9, 25,3, 23,4, 23,3, 21,0, 20,4, 19,5, 16,0. Пример 15: 24-бром-17S,20S-дигидрофузидовая кислота (115) По процедуре, приведенной в примере 14, при замене ацетоксиметилового сложного эфира 24-бром-16-деацетокси-16 13C ЯМР (CDCl3): 180,7, 170,1, 130,9, 120,5, 76,3, 71,5, 68,8, 49,4, 49,4, 44,9, 44,2, 40,6, 38,3, 37,2, 36,4, 36,2, 35,1, 34,3, 32,5, 31,3, 30,3, 29,9, 25,4, 23,8, 22,8, 21,0, 20,8, 20,3, 17,2, 15,9. Пример 16: 24-бром-16-деацетокси-16 По процедуре, приведенной в примере 14, при замене ацетоксиметилового сложного эфира 24-бром-16-деацетокси-16 13C ЯМР (CDCl3): 171,0, 151,7, 132,6, 131,6, 120,2, 80,9, 71,5, 68,4, 64,8, 49,5, 49,0, 44,2, 39,8, 37,6, 37,2, 36,5, 35,9, 35,9, 35,1, 32,8, 30,4, 30,1, 28,9, 25,3, 24,4, 22,3, 20,6, 20,5, 18,6, 16,0, 14,7. Пример 17: Ацетоксиметиловый сложный эфир 24-бром-16-деацетокси-16 По процедуре, приведенной в примере 11, при замене ацетоксиметилового сложного эфира 16-деацетокси-16 13C ЯМР (CDCl3): 169,7, 152,8, 131,2, 127,3, 120,4, 79,6, 78,8, 71,4, 68,4, 65,3, 49,2, 49,1, 43,4, 39,5, 37,7, 37,1, 36,3, 36,3, 35,8, 35,5, 32,5, 30,3, 30,0, 27,8, 25,3, 24,2, 22,8, 20,8, 20,9, 20,3, 17,9, 16,0, 15,3. Пример 18: Ацетоксиметиловый сложный эфир 24-бром-16-деацетокси-16 По процедуре, приведенной в примере 11, при замене ацетоксиметилового сложного эфира 16-деацетокси-16 13C ЯМР (CDCl3): 169,6, 168,7, 152,6, 131,4, 128,5, 123,8, 120,2, 80,1, 79,4, 71,4, 68,2, 67,8, 67,6, 49,1, 49,1, 44,0, 39,5, 37,6, 37,1, 36,2, 35,8, 35,6, 32,5, 30,3, 30,0, 27,6, 25,3, 24,2, 22,8, 20,7, 20,8, 20,3, 17,7, 16,0. Пример 19: 24-бром-16-деацетокси-16 По процедуре, приведенной в примере 14, при замене ацетоксиметилового сложного эфира 24-бром-16-деацетокси-16 13C ЯМР (CDCl3): 175,3, 151,9, 131,4, 129,0, 123,6, 120,2, 80,5, 77,2, 71,5, 68,3, 67,8, 49,1, 49,0, 43,9, 39,6, 37,7, 37,1, 36,2, 35,8, 35,6, 32,5, 30,3, 30,0, 28,0, 25,3, 24,2, 22,8, 20,2, 17,7, 16,0. Пример 20: Ацетоксиметиловый сложный эфир 24-бром-17S,20S-дигидрофузидовой кислоты (120) По процедуре, приведенной в примере 11, при замене ацетоксиметилового сложного эфира 16-деацетокси-16 13C ЯМР (CDCl3): 173,6, 169,9, 169,7, 130,8, 120,4, 78,8, 76,5, 71,4, 68,8, 49,4, 49,3, 45,4, 43,9, 40,6, 40,6, 38,3, 37,2, 36,4, 36,2, 35,0, 34,2, 32,6, 31,2, 30,4, 30,0, 25,3, 23,8, 22,7, 20,9, 20,9, 20,7, 20,3, 17,2, 16,0. Пример 21: Ацетоксиметиловый сложный эфир 24-бром-17S,20S-метиленфузидовой кислоты (соединение 121) По процедуре, приведенной в примере 11, при замене ацетоксиметилового сложного эфира 16-деацетокси-16 13C ЯМР (CDCl3): 171,5, 169,9, 169,6, 130,9, 120,9, 79,2, 79,0, 71,4, 68,3, 49,6, 48,5, 43,3, 40,4, 39,9, 39,2, 37,1, 36,3, 36,2, 35,9, 35,7, 34,6, 32,4, 30,3, 30,0, 29,5, 25,4, 24,2, 22,8, 21,1, 20,9, 20,7, 20,2, 19,4, 17,9, 15,9. Пример 22: 24-бром-17S,20S-метиленфузидовая кислота (соединение 122) По процедуре, приведенной в примере 14, при замене ацетоксиметилового сложного эфира 24-бром-16-деацетокси-16 13C ЯМР (CDCl3): 178,3, 170,0, 130,8, 120,9, 79,6, 71,5, 68,3, 49,3, 48,6, 44,5, 40,8, 40,3, 39,8, 37,1, 36,2, 36,1, 35,9, 34,7, 32,5, 30,3, 29,9, 29,0, 25,3, 24,4, 22,7, 21,4, 20,8, 20,4, 20,2, 17,6, 15,9. Пример 23: 3-дезокси-3 По процедуре, приведенной в примере 14, при замене ацетоксиметилового сложного эфира 24-бром-16-деацетокси-16 13C ЯМР (CDCl3): 173,8, 170,4, 153,0, 131,7, 128,2, 120,0, 74,4, 68,2, 62,7, 49,0, 48,8, 45,5, 44,5, 41,3, 39,4, 39,0, 37,7, 37,2, 36,8, 36,1, 35,1, 32,5, 27,9, 25,4, 23,9, 23,8, 22,0, 20,6, 20,4, 18,9, 17,9. Пример 24: 3 3-дезокси-3 13C ЯМР (CDCl3): 174,1, 170,5, 153,1, 131,6, 128,2, 120,0, 74,5, 68,1, 65,4, 49,1, 48,8, 44,6, 39,4, 39,0, 37,8, 37,4, 36,9, 35,9, 35,5, 32,4, 30,8, 27,9, 26,9, 25,4, 24,2, 23,0, 20,6, 20,5, 20,4, 18,1, 16,7. Пример 25: 24-иодфузидовая кислота (соединение 125) 24-бромфузидовую кислоту (108) (17,0 г, 28,5 ммоль), CuI (27,2 г, 143 ммоль), KI (43,4 г, 285 ммоль) и HMPA (100 мл) нагревают на масляной бане в течение 20 часов в атмосфере аргона при температуре 120°С, при перемешивании и кипячении с обратным холодильником с использованием парциального конденсатора горячего орошения. Добавляют воду (400 мл) и полученную вязкую смесь экстрагируют четыре раза EtOAc (всего 400 мл). Органическую фазу фильтруют через фильтрующее устройство, которое промывают EtOAc. Объединенную органическую фазу экстрагируют 20% водным раствором Na2S2O5, два раза водой и насыщ. NaCl. После сушки с использованием MgSO4 растворитель выпаривают и остаток перемешивают с толуолом (300 мл) в течение трех часов. Осадок отделяют фильтрованием, промывают толуолом и петролейным эфиром и далее сушат с получением практически чистого указанного в заголовке соединения 125 в виде окрашенных в бежевый цвет кристаллов. 13C ЯМР (CDCl3) 173,8, 170,6, 152,3, 137,4, 128,0, 99,9, 74,5, 71,5, 68,2, 60,4, 49,3, 48,8, 44,5, 41,7, 39,5, 39,0, 37,0, 36,4, 36,0, 32,1, 31,6, 30,2, 29,9, 24,0, 23,0, 20,9, 20,7, 19,5, 17,9, 15,9, 14,2. Пример 26: Ацетоксиметиловый сложный эфир 24-иодфузидовой кислоты (соединение 126) По процедуре, приведенной в примере 25, при замене соединения 108 ацетоксиметиловым сложным эфиром 24-бромфузидовой кислоты (107) получают неочищенное соединение 126. Указанный продукт очищают колоночной флэш-хроматографией, используя в качестве элюента 40% EtOAc в петролейном эфире, и получают указанное в заголовке соединение (126) в виде аморфного вещества. 13C ЯМР (CDCl3): 170,3, 169,6, 168,0, 152,5, 137,5, 127,6, 99,8, 79,5, 74,4, 71,4, 68,1, 49,4, 48,8, 44,6, 41,7, 39,5, 39,0, 36,9, 36,5, 35,8, 32,0, 31,6, 30,1, 29,9, 28,6, 23,9, 23,1, 20,9, 20,8, 20,8, 19,4, 17,9, 16,0, 14,2. Пример 27: Пивалоилоксиметиловый сложный эфир 24-иодфузидовой кислоты (соединение 127) 24-иодфузидовую кислоту (125) (0,84 г, 1,31 ммоль) и триэтиламин (0,19 мл, 0,14 г, 1,35 ммоль) растворяют в ДМФ (5 мл) и перемешивают в течение 20 минут при комнатной температуре. Добавляют хлорметилпивалат (0,30 мл, 0,32 г, 2,1 ммоль) и смесь перемешивают в течение ночи при комнатной температуре. Реакционную смесь экстрагируют 3М водн. CaCl2, водой и насыщ. NaCl, сушат с использованием MgSO4 и концентрируют. Остаток очищают колоночной флэш-хроматографией, используя в качестве элюента 40% EtOAc в петролейном эфире, с получением указанного в заголовке соединения (127) в виде аморфного вещества. 13C ЯМР (CDCl3): 177,0, 170,2, 167,8, 152,8, 137,5, 127,7, 99,7, 80,1, 74,4, 71,4, 68,2, 60,4, 49,3, 48,8, 44,6, 41,6, 39,5, 39,0, 38,8, 37,1, 36,3, 36,1, 36,0, 32,3, 31,6, 30,2, 30,0, 28,6, 26,9, 24,1, 22,8, 20,8, 20,8, 19,5, 18,0, 16,0, 14,2. Пример 28: Крем
Нагревают вазелин, парафин, спермацет, монопальмитат сорбитана, монопальмитат полиоксиэтиленсорбитана до температуры 70°С и медленно добавляют воду при постоянном перемешивании. Продолжают перемешивание до охлаждения крема. Растирают натриевую соль 24-бромфузидовой кислоты до получения кремовой основы, которую гомогенизируют в роликовой мельнице. Заполняют кремом алюминиевые мягкие тубы. Пример 29: Мазь
Расплавляют парафин, цетанол, ланолин и вазелин при температуре 70°С. После охлаждения до температуры ниже 40°С растирают натриевую соль 24-бромфузидовой кислоты. Заполняют мазью лакированные алюминиевые мягкие тубы. Пример 30: Капсулы
Пропускают ингредиенты через сито 60 меш и перемешивают всю массу в течение 10 минут. Заполняют смесью твердые желатиновые капсулы с введением в капсулы количеств, равных 400 мг. Пример 31: Таблетки
Натриевую соль 16-деацетокси-16 Пример 32: Суспензия
Кристаллы микронизируют и суспенируют в растворе лимонной кислоты, моногидрофосфата натрия, сахарозы, сорбата калия и ТвинТМ 80 в 10 мл воды, при необходимости проводя слабое нагревание. Натрий-карбоксиметилцеллюлозу растворяют в 4 мл кипящей воды. После охлаждения ее добавляют к другим ингредиентам. Суспензию гомогенизируют в смесителе и в конце процедуры добавляют воду до конечного объема 100 мл. Пример 33: Мазь
Расплавляют парафин, цетанол, ланолин и вазелин при температуре 70°С. После охлаждения до температуры ниже 40°С растирают A и B. Заполняют мазью лакированные алюминиевые мягкие тубы. Пример 34: Мазь
Расплавляют парафин, цетанол, ланолин и вазелин при температуре 70°С. После охлаждения до температуры ниже 40°С растирают A и B. Заполняют мазью лакированные алюминиевые мягкие тубы. Пример 35: Глазной гель
Растворяют эдетат динатрия и маннит в воде для инъекций в сосуде из нержавеющей стали, снабженном устройством для перемешивания и встроенным гомогенизатором. Добавляют Карбомер 934Р, отбирают сосуд и автоклавируют дисперсию при медленном перемешивании и гомогенизации с высокой скоростью. Охлаждают до температуры 70°С, останавливают перемешивание и гомогенизацию. Добавляют микронизированную стерильную натриевую соль 24-бром-16-деацетокси-16 Пример 36: Пивалоилоксиметиловый сложный эфир 24-фенилфузидовой кислоты (соединение 136) Фенилбороновую кислоту (50 мг, 0,4 ммоль) и EtOAc (0,25 мл) добавляют к раствору пивалоилоксиметилового сложного эфира 24-иодфузидовой кислоты (127) (150 мг, 0,2 ммоль) в толуоле (1,5 мл) и барботируют смесь аргоном в течение 2 минут. Добавляют K2CO3 (2М водн. раствор, 0,3 мл) и Pd(PPh3)4 (11,5 мг, 0,01 ммоль), после чего смесь встряхивают при 90°С в течение 20 часов в атмосфере аргона. Реакционную смесь обрабатывают EtOAc, водой и насыщ. NaCl, сушат и концентрируют. Полученный неочищенный продукт очищают колоночной флэш-хроматографией (20% EtOAc в петролейном эфире, в качестве элюента) с получением чистого указанного в заголовке соединения 136. 13C ЯМР (CDCl3): 177,0, 170,2, 167,7, 152,3, 144,1, 133,9, 129,6, 128,9, 128,4, 127,9, 125,9, 80,0, 74,3, 71,4, 67,9, 48,9, 48,7, 44,4, 39,4, 39,0, 38,8, 36,9, 36,3, 36,1, 35,4, 35,0, 32,2, 30,0, 27,4, 26,9, 23,9, 22,7, 22,0, 20,8, 20,0, 17,9, 15,9. Пример 37: 24-фенилфузидовая кислота (соединение 137) По процедуре, описанной в примере 3, при замене пивалоилоксиметилового сложного эфира 24-хлорфузидовой кислоты (104) пивалоилоксиметиловым сложным эфиром 24-фенилфузидовой кислоты (136) и при проведении перед колоночной флэш-хроматографией водной обработки (EtOAc, вода + водн. HCl до pH примерно 2 и насыщ. NaCl) получают чистое, указанное в заголовке соединение (137). 13C ЯМР (CDCl3): 173,9, 170,6, 151,7, 144,1, 134,0, 129,6, 129,5, 128,4, 127,9, 125,9, 74,4, 71,5, 67,9, 48,9, 48,6, 44,3, 39,4, 39,0, 36,8, 36,3, 36,1, 35,4, 35,0, 32,2, 30,0, 30,0, 27,4, 23,8, 22,8, 22,0, 20,8, 20,7, 20,0, 17,9, 15,9. Пример 38: Пивалоилоксиметиловый сложный эфир 24-(4-бромфенил)фузидовой кислоты (соединение 138) По процедуре, приведенной в примере 36, при замене фенилбороновой кислоты [2-(4-бромфенил)-5,5-диметил-1,3,2-диоксаборинан]ом получают указанное в заголовке соединения (138). 13C ЯМР (CDCl3): 177,0, 170,2, 167,7, 152,5, 142,9, 132,9, 131,3, 131,1, 129,0, 128,6, 119,9, 80,0, 74,3, 71,4, 68,0, 49,0, 48,6, 44,5, 39,4, 39,0, 38,8, 37,0, 36,2, 35,1, 35,0, 32,4, 30,1, 30,0, 27,4, 26,9, 24,1, 22,7, 22,0, 20,8, 20,7, 20,0, 18,0, 15,9. Пример 39: 24-(4-бромфенил)фузидовая кислота (соединение 139) По процедуре, описанной в примере 3, при замене пивалоилоксиметилового сложного эфира 24-хлорфузидовой кислоты (104) пивалоилоксиметиловым сложным эфиром 24-(4-бромфенил)фузидовой кислоты (138) и при проведении перед колоночной флэш-хроматографией водной обработки (EtOAc, вода + водн. HCl до pH примерно 2 и насыщ. NaCl) получают чистое, указанное в заголовке соединение (139). 13C ЯМР (CDCl3): 174,0, 170,6, 152,1, 142,9, 133,0, 131,3, 131,1, 129,1, 128,4, 119,8, 74,3, 71,5, 68,0, 49,0, 48,6, 44,4, 39,4, 39,0, 37,0, 36,2, 35,1, 35,0, 32,3, 30,1, 30,0, 27,4, 24,0, 22,7, 22,1, 20,8, 20,6, 20,0, 17,9, 15,9. Пример 40: Пивалоилоксиметиловый сложный эфир 24-(4-хлорфенил)фузидовой кислоты (соединение 140) По процедуре, приведенной в примере 36, при замене фенилбороновой кислоты [2-(4-хлорфенил)-5,5-диметил-1,3,2-диоксаборинан]ом получают указанное в заголовке соединение (140). 13C ЯМР (CDCl3): 177,0, 170,2, 167,8, 152,3, 142,4, 132,9, 131,8, 130,9, 129,1, 128,7, 128,2, 80,0, 74,2, 71,4, 68,0, 49,0, 48,6, 44,5, 39,4, 39,0, 37,0, 36,2, 36,1, 35,1, 35,0, 32,3, 30,1, 30,0, 27,4, 26,9, 24,0, 22,7, 22,0, 21,3, 20,8, 20,8, 20,0, 17,9, 15,9. Пример 41: 24-(4-хлорфенил)фузидовая кислота (соединение 141) По процедуре, приведенной в примере 3, при замене пивалоилоксиметилового сложного эфира 24-хлорфузидовой кислоты (104) пивалоилоксиметиловым сложным эфиром 24-(4-хлорфенил)фузидовой кислоты (140) и при проведении перед колоночной флэш-хроматографией водной обработки (EtOAc, вода + водн. HCl до pH примерно 2 и насыщ. NaCl) получают чистое, указанное в заголовке соединение (141). 13C ЯМР (CDCl3): 173,9, 170,6, 151,9, 142,4, 133,0, 131,8, 130,9, 129,2, 129,1, 128,1, 74,3, 71,6, 71,5, 68,0, 49,0, 48,6, 44,4, 39,4, 39,0, 37,0, 36,2, 36,1, 35,0, 32,3, 30,0, 27,4, 24,0, 22,7, 22,1, 21,3, 20,8, 20,6, 20,0, 17,9, 15,9. Пример 42: Пивалоилоксиметиловый сложный эфир 24-(3,5-дифторфенил)фузидовой кислоты (соединение 142) По процедуре, приведенной в примере 36, при замене фенилбороновой кислоты [2-(3,5-дифторфенил)-5,5-диметил-1,3,2-диоксаборинан]ом получают указанное в заголовке соединение (142). 13C ЯМР (CDCl3): 177,0, 170,2, 167,8, 162,9, 162,7, 152,2, 147,2, 132,3, 130,1, 128,5, 112,2, 112,0, 101,4, 80,1, 74,2, 71,4, 68,1, 49,1, 48,6, 44,5, 39,4, 39,0, 38,8, 37,0, 36,2, 35,3, 34,4, 32,4, 30,2, 30,0, 27,6, 26,9, 24,2, 22,6, 22,1, 20,8, 20,7, 20,2, 18,0, 15,9. Пример 43: 24-(3,5-дифторфенил)фузидовая кислота (соединение 143) По процедуре, приведенной в примере 3, при замене пивалоилоксиметилового сложного эфира 24-хлорфузидовой кислоты (104) пивалоилоксиметиловым сложным эфиром 24-(3,5-дифторфенил)фузидовой кислоты (142) и при проведении перед колоночной флэш-хроматографией водной обработки (EtOAc, вода + водн. HCl до pH примерно 2 и насыщ. NaCl) получают чистое, указанное в заголовке соединение (143). 13C ЯМР (CDCl3): 174,1, 170,6, 162,8, 162,7, 152,0, 147,2, 132,3, 130,2, 129,0, 112,2, 101,4, 74,3, 71,5, 68,1, 49,1, 48,6, 44,4, 39,4, 39,0, 37,0, 36,2, 36,2, 35,3, 34,5, 32,4, 30,2, 29,9, 27,5, 24,1, 22,7, 22,1, 20,7, 20,6, 20,1, 17,9, 15,9. Пример 44: Ацетоксиметиловый сложный эфир 3-дезокси-3 Ацетоксиметиловый сложный эфир 24-бромфузидовой кислоты (107) (0,45 г, 0,67 ммоль) растворяют в сухом бензоле (10 мл) и перемешивают в атмосфере аргона. Добавляют трифенилфосфин (0,7 г, 2,7 ммоль) и тетрабромметан (1,1 г, 3,3 ммоль) и смесь перемешивают при комнатной температуре в течение одного часа. Добавляют диэтиловый эфир (50 мл) и осажденный материал удаляют фильтрованием. Фильтрат концентрируют, а остаток очищают колоночной флэш-хроматографией (элюент: 0%-50% EtOAc в петролейном эфире), получая указанное в заголовке соединение (144). 13C ЯМР (CDCl3): 170,3, 169,6, 167,8, 152,3, 131,8, 128,1, 119,9, 79,5,74,3, 68,1, 62,7, 49,0, 48,8, 45,5, 44,4, 41,3, 39,4, 39,0, 37,7, 37,2, 36,8, 36,1, 35,1, 32,5, 27,8, 25,3, 23,9, 23,9, 22,0, 20,8, 20,7, 20,4, 18,9, 17,9. Пример 45: 24-бромфузидовая кислота (соединение 108) 24,25-дибромфузидовую кислоту (17) (неочищенный продукт, полученный из 0,1 моль фузидовой кислоты) растворяют в EtOH (900 мл) и воде (25 мл) и добавляют K2CO3 (30 г, 0,22 моль). Смесь кипятят с обратным холодильником при непрерывном перемешивании в течение 30 минут, охлаждают до комнатной температуры и выливают в воду (4 литра). Щелочной раствор калиевой соли (108) подкисляют путем добавления водн. H3PO4 (350 мл, 1М) при непрерывном перемешивании до pH 4,0, при этом образуется осадок. Продукт собирают фильтрованием, промывают водой и сушат с получением неочищенного продукта (108). Указанное неочищенное соединение 108 может быть затем очищено и кристаллизовано, например, по процедуре, описанной в примере 8, с получением чистого соединения 108, или может быть преобразовано в легко гидролизуемый сложный эфир, например, по процедуре, описанной в способах получения 1 и 2, или может быть преобразовано в подходящую соль, такую как натриевая соль, как описано в примере 9. Преимуществом натриевой соли соединения 108 8 является то, что при этом сразу удается получить очень чистую кристаллическую натриевую соль, так что отпадает потребность в хроматографической очистке. При высвобождении свободной кислоты из данной натриевой соли (например, как описано выше применительно к калиевой соли) получают продукт, который может быть непосредственно подвергнут кристаллизации (например, из этилацетата и толуола) с образованием чистого кристаллического соединения 108. Пример 46: 24-бром-16-деацетокси-16 По процедуре, приведенной в примере 12, при замене 2-пропантиола этантиолом получают указанное в заголовке соединение (146). 13C ЯМР (CDCl3): 176,3, 154,8, 131,3, 128,3, 120,4, 71,5, 68,4, 49,4, 48,9, 46,1, 45,6, 41,0, 39,7, 37,9, 37,1, 36,4, 36,0, 35,8, 32,7, 30,4, 30,0, 29,6, 28,6, 25,3, 24,4, 22,5, 20,7, 20,4, 18,8, 16,0, 14,7. Пример 47: 24-бром-16-деацетокси-16 По процедуре, приведенной в примере 13, при замене 24-бром-16-деацетокси-16 1H ЯМР (CDCl): 4,40 (д, 1H), 4,37 (м, 1H), 3,76 (м, 1H), 3,18 (д, 1H), 2,90-2,40 (м, 5H), 2,25-1,0 (м, 19H), 1,84 (ш.с., 3H), 1,77 (ш.с., 3H), 1,45 (с, 3H), 1,25 (т, 3H), 0,97 (с, 3H), 0,93 (д, 3H), 0,79 (с, 3H). Пример 48: 24-бром-16-деацетокси-16 По процедуре, приведенной в примере 12, при замене 2-пропантиола аллилмеркаптаном получают указанное в заголовке соединение (148). 13C ЯМР (CDCl3): 175,5, 154,7, 134,4, 131,3, 128,4, 120,4, 117,0, 71,5, 68,4, 49,4, 48,9, 45,6, 39,7, 37,9, 37,1, 36,4, 36,0, 34,7, 32,7, 30,9, 30,3, 30,0, 29,7, 29,0, 28,6, 25,4, 24,4, 22,5, 20,7, 20,4, 18,9, 16,0. Пример 49: 24-бром-16-деацетокси-16 По процедуре, приведенной в примере 12, при замене 2-пропантиола 1-пентантиолом получают указанное в заголовке соединение (149). 13C ЯМР (CDCl3): 176,0, 155,0, 131,3, 128,3, 120,4, 71,5, 68,4, 49,4, 48,9, 46,6, 45,6, 41,0, 39,7, 38,0, 37,1, 36,3, 36,0, 35,9, 35,9, 32,7, 31,4, 30,3, 30,0, 29,4, 28,7, 25,3, 24,3, 22,5, 22,3, 20,7, 20,4, 18,8, 16,0, 14,0. Пример 50: 24-бром-16-деацетокси-16 По процедуре, приведенной в примере 13, при замене 24-бром-16-деацетокси-16 13C ЯМР (CDCl3): 173,6, 159,2, 131,3, 125,9, 120,2, 71,5, 68,3, 49,5, 48,2, 47,6, 39,8, 38,1, 37,1, 36,2, 35,5, 32,5, 31,0, 30,3, 29,9, 27,9, 25,8, 25,3, 24,5, 22,8, 22,7, 22,4, 20,7, 20,4, 17,8, 16,0, 14,0. Пример 51: 24-бром-16-деацетокси-16 По процедуре, приведенной в примере 12, при замене 2-пропантиола 2-метил-1-бутантиолом получают указанное в заголовке соединение (151). 13C ЯМР (CDCl3): 175,8, 155,0, 131,3, 128,3, 120,4, 71,6, 68,4, 49,4, 48,9, 47,2, 46,8, 45,7, 45,6, 43,4, 42,9, 40,8, 40,4, 39,7, 38,0, 37,1, 36,4, 36,0, 35,9, 34,9, 34,6, 32,8, 30,4, 30,0, 29,3, 28,7, 25,3, 24,4, 22,5, 20,7, 20,4, 19,3, 19,0, 18,9, 16,0, 11,3. Пример 52: 24-бром-16-деацетокси-16 По процедуре, приведенной в примере 13, при замене 24-бром-16-деацетокси-16 13C ЯМР (CDCl3): 173,9, 131,3, 126,0, 120,2, 71,5, 68,3, 49,6, 48,3, 47,8, 39,8, 38,2, 37,1, 36,2, 36,1, 35,5, 32,4, 30,3, 29,9, 28,0, 27,9, 25,3, 24,5, 22,8, 20,8, 20,4, 19,5, 17,9, 16,0, 11,2. Пример 53: 24-бром-16-деацетокси-16 По процедуре, приведенной в примере 12, при замене 2-пропантиола 3-метил-1-бутантиолом получают указанное в заголовке соединение (153). 13C ЯМР (CDCl3): 176,0, 155,0, 131,2, 128,3, 120,5, 71,6, 68,4, 49,4, 48,9, 46,6, 45,7, 40,9, 39,7, 38,5, 38,0, 37,1, 36,3, 36,1, 35,9, 33,9, 32,6, 30,3, 30,0, 28,7, 27,7, 25,3, 24,3, 22,6, 22,4, 22,3, 20,8, 20,4, 18,8, 16,0. Пример 54: 24-бром-16-деацетокси-16 По процедуре, приведенной в примере 13, при замене 24-бром-16-деацетокси-16 13C ЯМР (CDCl3): 173,6, 131,3, 120,2, 71,5, 68,3, 49,5, 48,2, 39,8, 38,1, 37,1, 36,2, 35,6, 32,5, 31,5, 30,3, 29,9, 27,8, 25,3, 24,5, 22,8, 22,6, 2,3, 20,8, 20,4, 17,8, 16,0. Пример 55: 24-бром-16-деацетокси-16 Раствор брома (12,0 мг, 0,150 моль) в этилацетате (0,6 мл) добавляют к раствору 16-деацетокси-16 13C ЯМР (CDCl3): 175,3, 155,0, 131,3, 128,2, 120,4, 71,5, 68,4, 49,4, 48,8, 47,7, 46,2, 45,6, 41,1, 39,7, 38,0, 37,2, 36,5, 35,9, 34,6, 32,9, 32,5, 30,4, 30,1, 28,8, 25,3, 24,8, 24,6, 24,5, 22,3, 20,7, 20,4, 19,0, 16,0. Пример 56: 24-бром-16-деацетокси-16 По процедуре, приведенной в примере 12, при замене 2-пропантиола 2,2,2-трифторэтантиолом получают указанное в заголовке соединение (156). 13C ЯМР (CDCl3): 175,6, 155,6, 131,5, 128,9, 120,2, 71,5, 68,3, 49,1, 48,9, 45,9, 41,2, 39,6, 38,9, 37,8, 37,1, 36,3, 36,0, 35,8, 32,7, 30,4, 30,0, 28,5, 25,3, 24,4, 22,5, 21,1, 20,6, 20,4, 18,9, 16,0. Пример 57: 24-бром-16-деацетокси-16 По процедуре, приведенной в примере 55, при замене 16-деацетокси-16 13C ЯМР (CDCl3): 174,4, 153,3, 131,3, 129,0, 120,5, 71,6, 68,3, 59,0, 49,4, 48,9, 45,7, 43,9, 39,9, 39,8, 37,9, 37,1, 36,7, 36,3, 36,1, 35,8, 32,6, 30,3, 30,0, 28,5, 25,4, 24,3, 22,6, 20,7, 20,4, 18,9, 16,0. Пример 58: 24-бром-16-деацетокси-16 По процедуре, приведенной в примере 12, при замене 2-пропантиола бензилмеркаптаном получают указанное в заголовке соединение (158). 13C ЯМР (CDCl3): 175,9, 155,0, 138,4, 131,3, 129,0, 128,4, 128,3, 126,8, 120,4, 71,6, 68,4, 49,3, 48,9, 46,0, 45,7, 40,1, 39,9, 39,7, 38,0, 37,1, 36,3, 36,0, 35,8, 32,5, 30,3, 30,0, 28,7, 25,3, 24,2, 22,5, 20,7, 20,4, 18,9, 16,0. Пример 59: 24-бром-16-деацетокси-16 По процедуре, приведенной в примере 13, при замене 24-бром-16-деацетокси-16 1H ЯМР (CDCl3): 7,30 (м, 5H), 4,54 (д, 1H), 4,35 (ш.с., 1H), 4,04 (д, 1H), 3,76 (м, 1H), 3,l5 (ш.д., 1H), 2,80-2,4 (м, 4H), 2,20-1,0 (м, 18H), 1,84 (ш.с., 3H), 1,76 (ш.с., 3H), 1,38 (с, 3H), 0,96 (с, 3H), 0,92 (д, 3H), 0,75 (с, 3H). Пример 60: 24-бром-16-деацетокси-16 По процедуре, приведенной в примере 12, при замене 2-пропантиола фурфурилмеркаптаном получают указанное в заголовке соединение (160). 13C ЯМР (CDCl3): 175,6, 154,8, 151,9, 141,9, 131,3, 128,4, 120,4, 110,5, 107,5, 71,6, 68,4, 60,4, 49,3, 48,9, 46,6, 45,6, 40,4, 39,7, 37,9, 37,0, 36,2, 36,1, 35,8, 32,4, 32,2, 30,3, 30,0, 25,3, 24,2, 22,6, 21,0, 20,7, 20,4, 18,7, 16,0. Пример 61: 24-бром-16-деацетокси-16 По процедуре, приведенной в примере 12, при замене 2-пропантиола тиофенолом получают указанное в заголовке соединение (161). 13C ЯМР (CDCl3): 176,6, 175,2, 153,1, 138,3, 131,5, 129,1, 129,0, 128,8, 126,0, 120,2, 71,6, 68,4, 49,5, 48,8, 48,5, 45,8, 39,8, 37,9, 37,1, 36,4, 35,9, 35,8, 32,8, 30,3, 30,0, 28,6, 25,3, 24,4, 22,4, 20,7, 20,4, 19,3, 16,0. Пример 62: 24-бром-16-деацетокси-16 По процедуре, приведенной в примере 55, при замене 16-деацетокси-16 13C ЯМР (CDCl3): 191,4, 173,6, 154,1, 137,0, 133,0, 131,5, 128,5, 128,3, 127,3, 120,2, 71,5, 68,3, 49,3, 49,0, 46,1, 43,9, 41,5, 39,7, 37,8, 37,2, 36,4, 35,9, 32,7, 30,4, 30,0, 28,4, 25,3, 24,5, 22,4, 20,6, 20,4, 19,0, 16,0. Пример 63: 24-бром-16-деацетокси-16 По процедуре, приведенной в примере 55, при замене 16-деацетокси-16 13C ЯМР (CDCl3): 171,6, 151,7, 131,9, 131,5, 120,2, 71,5, 70,1, 68,4, 49,3, 49,0, 44,2, 39,7, 37,6, 37,2, 36,4, 35,9, 35,3, 32,8, 30,3, 30,1, 28,9, 25,3, 24,3, 23,2, 22,4, 20,7, 20,5, 20,0, 18,4, 16,0. Пример 64: 24-бром-16-деацетокси-16 По процедуре, приведенной в примере 55, при замене 16-деацетокси-16 13C ЯМР (CDCl3): 174,0, 151,8, 131,4, 129,6, 120,3, 82,5, 80,1, 71,5, 69,1, 68,4, 49,2, 49,1, 43,8, 39,6, 37,7, 37,1, 36,3, 36,1, 35,7, 32,6, 30,3, 30,0, 28,3, 25,3, 24,3, 22,6, 20,8, 20,4, 18,0, 16,0. Пример 65: 24-бром-деацетокси-16 По процедуре, приведенной в примере 55, при замене 16-деацетокси-16 13C ЯМР (CDCl3): 172,1, 151,3, 131,4, 131,0, 120,3, 80,7, 71,6, 71,5, 68,8, 68,4, 59,0, 49,4, 49,1, 43,9, 39,7, 37,6, 37,1, 36,3, 36,1, 35,8, 35,3, 32,6, 30,3, 30,1, 28,6, 25,3, 24,2, 22,6, 20,8, 20,4, 18,2, 16,0. Пример 66: 24-(транс-1-гексен-1-ил)фузидовая кислота (соединение 166) Суспензию пивалоилоксиметилового сложного эфира 24-(транс-1-гексен-1-ил)фузидовой кислоты (306) (50 мг, 0,070 ммоль) в MEOH (1 мл) охлаждают на ледяной бане и добавляют K2CO3 (20 мг, 0,14 ммоль). Смесь перемешивают при комнатной температуре в течение 3 часов и затем подвергают обработке (EtOAc, вода + водн. HCl до pH примерно 2 и насыщ. NaCl) с получением неочищенного продукта. После колоночной флэш-хроматографии неочищенного продукта (петролейный эфир:EtOAc:HCOOH (90:10:0-0:99:1, в качестве элюента) получают чистое, указанное в заголовке соединение (166). 13C ЯМР (CDCl3): 174,1, 170,6, 149,9r 129,9, 129,8, 129,7, 128,5, 127,9, 74,5, 71,5, 68,2, 49,2, 48,7, 44,2, 39,5, 39,0, 37,0, 36,2, 36,2, 35,7, 33,2, 32,4, 32,1, 30,3, 29,9, 28,0, 27,8, 24,2, 22,8, 22,3, 21,5, 20,8, 20,6, 20,4, 17,8, 15,9, 14,0. Пример 67: 24-(транс-бутен-3,3-диметил-1-ил)фузидовая кислота (соединение 167) По процедуре, приведенной в примере 66, при замене пивалоилоксиметилового сложного эфира 24-(транс-1-гексен-1-ил)фузидовой кислоты (306) пивалоилоксиметиловым сложным эфиром 24-(транс-1-бутен-3,3-диметил-1-ил) фузидовой кислоты (307) получают указанное в заголовке соединение (167). 13C ЯМР (CDCl3): 171,1, 139,2, 130,0, 129,9, 122,5, 74,5, 71,5, 68,2, 49,2, 48,7, 44,1, 39,4, 39,0, 37,0, 36,3, 36,2, 35,7, 33,4, 32,4, 30,2, 30,0, 27,9, 24,2, 22,8, 21,6, 20,8, 20,5, 17,8 15,9. Пример 68: 24-(транс-1-нонен-1-ил)фузидовая кислота (соединение 168) По процедуре, приведенной в примере 66, при замене пивалоилоксиметилового сложного эфира 24-(транс-1-гексен-1-ил)фузидовой кислоты (306) пивалоилоксиметиловым сложным эфиром 24-(транс-1-нонен-1-ил) фузидовой кислоты (308) получают указанное в заголовке соединение (168). 13C ЯМР (CDCl3): 173,8, 170,6, 149,9, 129,9, 129,8, 129,7, 128,5, 127,9, 74,5, 71,4, 68,3, 49,2, 48,7, 44,2, 39,5, 39,0, 37,1, 36,2, 35,7, 33,6, 32,4, 31,9, 30,3, 30,0, 29,9, 29,3, 28,0, 27,8, 24,2, 22,7, 21,5, 20,8, 20,6, 20,4, 17,8, 15,9, 14,1. Пример 69: 24-(транс-5-хлор-1-пентен-1-ил)фузидовая кислота (соединение 169) По процедуре, приведенной в примере 66, при замене пивалоилоксиметилового сложного эфира 24-(транс-1-гексен-1-ил)фузидовой кислоты (306) пивалоилоксиметиловым сложным эфиром 24-(транс-5-хлор-1-пентен-1-ил)фузидовой кислоты (309) получают указанное в заголовке соединение (169). 13C ЯМР (CDCl3): 174,1, 170,6, 150,2, 130,6, 129,6, 129,3, 125,9, 74,5, 71,5, 68,2, 49,2, 48,7, 44,6, 44,3, 39,5, 39,0, 37,1, 36,2, 35,7, 32,6, 32,4, 30,5, 30,3, 29,9, 27,9, 27,8, 24,2, 22,8, 21,5, 20,8, 20,6, 20,4, 17,8, 15,9. Пример 70: 24-(транс-2-фенил-1-винил)фузидовая кислота (соединение 170) По процедуре, приведенной в примере 66, при замене пивалоилоксиметилового сложного эфира 24-(транс-1-гексен-1-ил)фузидовой кислоты (306) пивалоилоксиметиловым сложным эфиром 24-(транс-2-фенил-1-винил)фузидовой кислоты (310) получают указанное в заголовке соединение (170). 13C ЯМР (CDCl3): 174,4, 170,6, 150,6, 138,5, 133,6, 130,4, 129,5, 128,6, 127,2, 126,9, 126,3, 126,1, 74,5, 71,5, 68,1, 49,2, 48,7, 44,3, 39,4, 39,0, 37,0, 36,3, 36,1, 35,9, 32,3, 30,1, 29,9, 27,9, 24,0, 22,8, 21,9, 20,8, 20,7, 20,6, 17,8, 15,9. Пример 71: 24-(2-фенил-1-этил)фузидовая кислота (соединение 171) По процедуре, приведенной в примере 66, при замене пивалоилоксиметилового сложного эфира 24-(транс-1-гексен-1-ил)фузидовой кислоты (306) пивалоилоксиметиловым сложным эфиром 24-(2-фенил-1-этил)фузидовой кислоты (311) получают указанное в заголовке соединение (171). 13C ЯМР (CD3OD): 174,5, 172,6, 147,8, 144,2, 144,1, 132,8, 129,4, 129,4, 129,3, 126,6, 75,7, 72,4, 68,5, 50,7, 44,8, 44,3, 40,7, 40,0, 38,2, 37,8, 37,4, 37,3, 36,7, 35,0, 34,8, 33,7, 33,3, 32,8, 31,6, 31,6, 31,0, 30,9, 30,3, 30,2, 28,1, 23,9, 23,8, 22,4, 20,7, 19,7, 19,7, 19,5, 19,4, 18,0, 16,5. Пример 72: 24-(4-н-пропилфенил)фузидовая кислота (соединение 172) По процедуре, приведенной в примере 66, при замене пивалоилоксиметилового сложного эфира 24-(транс-1-гексен-1-ил)фузидовой кислоты (306) пивалоилоксиметиловым сложным эфиром 24-(4-н-пропилфенил)фузидовой кислоты (312) получают указанное в заголовке соединение (172). 13C ЯМР (CDCl3): 173,3, 170,6, 152,0, 141,4, 140,5, 133,9, 129,4, 128,2, 127,8, 74,5, 71,5, 67,9, 48,9, 48,7, 44,3, 39,4, 39,0, 37,7, 36,9, 36,3, 36,1, 35,5, 35,0, 32,2, 30,1, 30,0, 27,5, 24,7, 23,8, 22,7, 22,1, 20,8, 20,7, 19,9, 18,0, 15,9, 14,0. Пример 73: 24-(4-винилфенил)фузидовая кислота (соединение 173) По процедуре, приведенной в примере 66, при замене пивалоилоксиметилового сложного эфира 24-(транс-1-гексен-1-ил)фузидовой кислоты (306) пивалоилоксиметиловым сложным эфиром 24-(4-винилфенил)фузидовой кислоты (313) получают указанное в заголовке соединение (173). 13C ЯМР (CDCl3): 173,5, 170,5, 152,5, 143,8, 136,4, 135,4, 133,7, 129,9, 129,0, 128,5, 125,8, 113,5, 74,4, 71,5, 67,8, 48,9, 48,6, 44,4, 39,4, 39,0, 36,9, 36,3, 36,0, 35,3, 35,1, 32,1, 30,0, 27,4, 23,8, 22,7, 22,1, 20,8, 20,7, 19,9, 17,9, 15,9. Пример 74: 24-(4-трет-бутилфенил)фузидовая кислота (соединение 174) По процедуре, приведенной в примере 66, при замене пивалоилоксиметилового сложного эфира 24-(транс-1-гексен-1-ил)фузидовой кислоты (306) пивалоилоксиметиловым сложным эфиром 24-(4-трет-бутилфенил)фузидовой кислоты (314) получают указанное в заголовке соединение (174). 13C ЯМР (CDCl3): 173,6, 170,6, 151,8, 149,0, 141,0, 133,8, 129,6, 129,1, 128,3, 124,6, 74,5, 71,5, 67,9, 48,9, 48,8, 44,2, 39,4, 39,0, 36,9, 36,2, 36,1, 35,5, 34,9, 34,5, 32,3, 31,5, 30,3, 29,9, 27,6, 23,9, 22,7, 22,1, 20,8, 20,7, 19,9, 18,0, 15,9. Пример 75: 24-(4-цианофенил)фузидовая кислота (соединение 175) По процедуре, приведенной в примере 66, при замене пивалоилоксиметилового сложного эфира 24-(транс-1-гексен-1-ил)фузидовой кислоты (306) пивалоилоксиметиловым сложным эфиром 24-(4-цианолфенил)фузидовой кислоты (315) получают указанное в заголовке соединение (175). 13C ЯМР (CDCl3): 173,4, 170,6, 151,6, 148,9, 132,9, 131,9, 130,4, 130,2, 129,2, 119,0, 109,8, 74,3, 71,4, 68,2, 49,1, 48,7, 44,4, 39,4, 39,0, 37,1, 36,3, 36,1, 35,0, 34,4, 32,6, 30,3, 30,0, 27,6, 24,3, 22,6, 22,2, 20,7, 20,2, 18,0, 15,9. Пример 76: 24-(3-бифенил)фузидовая кислота (соединение 176) По процедуре, приведенной в примере 66, при замене пивалоилоксиметилового сложного эфира 24-(транс-1-гексен-1-ил)фузидовой кислоты (306) пивалоилоксиметиловым сложным эфиром 24-(3-бифенил)фузидовой кислоты (316) получают указанное в заголовке соединение (176). 13C ЯМР (CDCl3): 173,8, 170,5, 152,2, 144,4, 140,9, 140,7, 134,0, 129,1, 128,9, 128,7, 128,6, 128,5, 128,0, 127,4, 126,9, 124,5, 74,4, 71,5, 67,9, 48,8, 48,6, 44,4, 39,3, 39,0, 36,8, 36,2, 36,0, 35,5, 34,9, 32,2, 29,9, 27,6, 23,9, 22,6, 22,2, 20,8, 20,6, 20,0, 17,9, 15,9. Пример 77: 24-(4-трифторметил)фенил)фузидовая кислота (соединение 177) По процедуре, приведенной в примере 66, при замене пивалоилоксиметилового сложного эфира 24-(транс-1-гексен-1-ил)фузидовой кислоты (306) пивалоилоксиметиловым сложным эфиром 24-(4-(трифторметил)фенил)фузидовой кислоты (317) получают указанное в заголовке соединение (177). 13C ЯМР (CDCl3): 173,5, 170,6, 152,3, 147,8, 133,0, 129,8, 129,7, 129,0, 125,0, 74,3, 71,4, 67,9, 49,0, 48,6, 44,4, 39,4, 39,0, 37,0, 36,2, 36,1, 35,0, 34,9, 32,5, 30,0, 27,5, 24,2, 22,5, 22,1, 20,6, 20,0, 18,0, 15,9. Пример 78: 24-(4-метоксифенил)фузидовая кислота (соединение 178) По процедуре, приведенной в примере 66, при замене пивалоилоксиметилового сложного эфира 24-(транс-1-гексен-1-ил)фузидовой кислоты (306) пивалоилоксиметиловым сложным эфиром 24-(4-метоксифенил)фузидовой кислоты (318) получают указанное в заголовке соединение (178). 13C ЯМР (CDCl3): 173,6, 170,7, 157,9, 151,3, 136,4, 133,5, 130,6, 129,7, 128,2, 113,2, 74,4, 71,5, 68,0, 55,2, 49,0, 48,6, 44,2, 39,4, 39,0, 36,9, 36,3, 36,0, 35,3, 35,1, 32,1, 30,0, 27,4, 23,8, 22,8, 22,1, 20,8, 20,7, 20,0, 17,9, 15,9. Пример 79: 24-(3-цианофенил)фузидовая кислота (соединение 179) По процедуре, приведенной в примере 66, при замене пивалоилоксиметилового сложного эфира 24-(транс-1-гексен-1-ил)фузидовой кислоты (306) пивалоилоксиметиловым сложным эфиром 24-(3-цианофенил)фузидовой кислоты (319) получают указанное в заголовке соединение (179). 13C ЯМР (CDCl3): 173,2, 170,5, 152,3, 144,9, 134,0, 132,9, 132,2, 130,6, 129,7, 128,9, 128,8, 119,0, 112,1, 74,3, 71,4, 68,1, 49,1, 48,7, 44,5, 39,4, 39,0, 37,1, 36,3, 36,1, 35,2, 34,4, 32,5, 30,3, 30,0, 27,5, 24,3, 22,6, 22,1, 20,7, 20,2, 18,0, 15,9. Пример 80: 24-(2-метоксифенил)фузидовая кислота (соединение 180) По процедуре, приведенной в примере 66, при замене пивалоилоксиметилового сложного эфира 24-(транс-1-гексен-1-ил)фузидовой кислоты (306) пивалоилоксиметиловым сложным эфиром 24-(2-метоксифенил)фузидовой кислоты (320) получают указанное в заголовке соединение (180). 1H ЯМР (CDCl3): 7,23 (м, 1H), 6,95 (м, 3H), 5,83 (д, 1H), 3,81 (ш.с., 1H), 3,79 (с, 3H), 3,74 (ш.с., 1H), 2,81 (дд, 1H), 2,65-0,95 (м, 22H), 1,95 (с, 3H), 1,84 (ш.с., 3H), 1,50 (ш.с., 3H), 1,27 (с, 3H), 0,92 (ш.с., 3H), 0,92 (д, 3H), 0,81 (ш.с., 3H). Пример 81: 24-(3-нитрофенил)фузидовая кислота (соединение 181) По процедуре, приведенной в примере 66, при замене пивалоилоксиметилового сложного эфира 24-(транс-1-гексен-1-ил)фузидовой кислоты (306) пивалоилоксиметиловым сложным эфиром 24-(3-нитрофенил)фузидовой кислоты (321) получают указанное в заголовке соединение (181). 13C ЯМР (CDCl3): 173,1, 170,5, 152,5, 148,2, 145,3, 135,8, 132,1, 130,9, 128,9, 128,6, 124,1, 121,1, 74,3, 71,4, 68,1, 49,1, 48,6, 44,5, 39,4, 38,9, 37,0, 36,2, 36,1, 35,2, 34,4, 32,5, 30,2, 30,0, 27,5, 24,2, 22,6, 22,2, 20,6, 20,3, 18,0, 15,9. Пример 82: 24-(3-бромфенил)фузидовая кислота (соединение 182) По процедуре, приведенной в примере 66, при замене пивалоилоксиметилового сложного эфира 24-(транс-1-гексен-1-ил)фузидовой кислоты (306) пивалоилоксиметиловым сложным эфиром 24-(3-бромфенил)фузидовой кислоты (322) получают указанное в заголовке соединение (182). 13C ЯМР (CDCl3): 173,8, 170,7, 151,7, 146,1, 132,9, 132,2, 129,6, 129,5, 129,3, 129,0, 128,4, 122,0, 74,3, 71,5, 68,1, 49,0, 48,6, 44,4, 39,4, 39,0, 36,9, 36,3, 36,1, 35,5, 34,8, 32,2, 30,0, 27,6, 24,0, 22,8, 22,1, 20,8, 20,7, 20,0, 17,9, 15,9. Пример 83: 24-(4-(метилтио)фенил)фузидовая кислота (соединение 183) По процедуре, приведенной в примере 66, при замене пивалоилоксиметилового сложного эфира 24-(транс-1-гексен-1-ил)фузидовой кислоты (306) пивалоилоксиметиловым сложным эфиром 24-(4-(метилтио)фенил)фузидовой кислоты (323) получают указанное в заголовке соединение (183). 13C ЯМР (CDCl3): 173,6, 170,7, 151,5, 140,9, 135,9, 133,5, 130,1, 129,5, 128,5, 126,0, 74,4, 71,5, 68,0, 49,0, 48,6, 44,3, 39,4, 39,0, 36,9, 36,3, 36,1, 35,3, 35,0, 32,2, 30,0, 27,4, 23,9, 22,8, 22,1, 20,8, 20,7, 19,9, 17,9, 15,9, 15,7. Пример 84: 24-(2-нафтил)фузидовая кислота (соединение 184) По процедуре, приведенной в примере 66, при замене пивалоилоксиметилового сложного эфира 24-(транс-1-гексен-1-ил)фузидовой кислоты (306) пивалоилоксиметиловым сложным эфиром 24-(2-нафтил)фузидовой кислоты (324) получают указанное в заголовке соединение (184). 13C ЯМР (CDCl3): 174,4, 170,8, 151,6, 141,7, 134,0, 133,4, 131,9, 129,6, 128,7, 128,6, 127,8, 127,6, 127,4, 126,2, 125,6, 74,3, 71,5, 67,5, 48,7, 48,4, 44,2, 39,3, 38,9, 36,6, 36,3, 35,8, 35,2, 35,1, 31,9, 29,9, 29,7, 27,4, 23,6, 22,7, 22,2, 20,8, 20,6, 19,9, 17,8, 15,9. Пример 85: 24-(3,5-бис-(трифторметил)фенил)фузидовая кислота (соединение 185) По процедуре, приведенной в примере 66, при замене пивалоилоксиметилового сложного эфира 24-(транс-1-гексен-1-ил)фузидовой кислоты (306) пивалоилоксиметиловым сложным эфиром 24-(3,5-бис-(трифторметил)фенил)фузидовой кислоты (325) получают указанное в заголовке соединение (185). 13C ЯМР (CDCl3): 173,1, 170,5, 152,9, 145,9, 131,7, 131,4, 129,5, 128,4, 125,3, 121,7, 120,0, 74,3, 71,4, 67,9, 49,0, 48,6, 44,6, 39,4, 38,9, 37,0, 36,2, 36,1, 35,3, 34,6, 32,5, 30,2, 30,0, 27,6, 24,2, 22,4, 22,1, 20,6, 20,2, 18,0, 15,9. Пример 86: 24-(3,4-диметоксифенил)фузидовая кислота (соединение 186) По процедуре, приведенной в примере 66, при замене пивалоилоксиметилового сложного эфира 24-(транс-1-гексен-1-ил)фузидовой кислоты (306) пивалоилоксиметиловым сложным эфиром 24-(3,4-диметоксифенил)фузидовой кислоты (326) получают указанное в заголовке соединение (186). 13C ЯМР (CDCl3): 173,4, 170,5, 152,2, 148,5, 147,3, 136,6, 133,7, 129,1, 128,2, 121,7, 113,1, 110,6, 74,4, 71,5, 68,0, 56,1, 55,9, 49,0, 48,6, 44,4, 39,4, 39,0, 36,9, 36,3, 36,1, 35,2, 35,0, 32,2, 30,0, 27,5, 23,9, 22,7, 22,2, 20,8, 20,6, 20,0, 17,9, 15,9. Пример 87: 24-(3,5-дибромфенил)фузидовая кислота (соединение 187) По процедуре, приведенной в примере 66, при замене пивалоилоксиметилового сложного эфира 24-(транс-1-гексен-1-ил)фузидовой кислоты (306) пивалоилоксиметиловым сложным эфиром 24-(3,5-дибромфенил)фузидовой кислоты (327) получают указанное в заголовке соединение (187). 13C ЯМР (CDCl3): 173,3, 170,5, 152,9, 147,4, 131,8, 131,5, 131,2, 130,7, 128,5, 122,4, 74,4, 71,5, 68,1, 49,1, 48,6, 44,6, 39,4, 39,0, 37,0, 36,2, 36,1, 35,6, 34,6, 32,3, 30,2, 30,0, 27,6, 24,1, 22,8, 22,2, 20,8, 20,7, 20,1, 18,0, 15,9. Пример 88: Холиновая соль 24-бромфузидовой кислоты (соединение 188) Раствор гидроксида холина в метаноле (45%, 0,4 мл, 0,18 г, 1,5 ммоль) постепенно добавляют при перемешивании, к раствору 24-бромфузидовой кислоты (108) (893 мг, 1,5 ммоль) в этаноле (10 мл). Полученный раствор концентрируют при пониженном давлении и остаток кристаллизуют из диэтилового эфира. Указанное в заголовке соединение (188) собирают фильтрованием. 13C ЯМР (CD3OD): 179,1, 173,3, 138,5, 138,3, 131,3, 122,6, 76,0, 72,5, 69,1, 68,9, 57,1, 54,7, 50,8, 50,0, 43,7, 40,7, 40,3, 38,5, 38,3, 37,8, 37,5, 36,9, 33,0, 31,1, 31,0, 30,3, 25,4, 23,8, 22,5, 21,1, 20,5, 17,9, 16,5. Пример 89: L-аргининовая соль 24-бромфузидовой кислоты (соединение 189) По процедуре, приведенной в примере 88, при замене гидроксида холина L-аргинином (261 мг, 1,5 ммоль, в воде (10 мл)) получают указанное в заголовке соединение (189) (из этилацетата) в виде аморфного порошка. 13C ЯМР (CD3OD): 179,2, 174,7, 173,3, 158,9, 139,9, 137,6, 131,5, 122,4, 75,9, 72,5, 68,8, 55,6, 50,8, 50,0, 43,9, 41,9, 40,7, 40,2, 38,6, 38,3, 37,9, 37,5, 36,9, 33,0, 31,1, 31,0, 30,1, 29,5, 25,8, 25,4, 23,8, 22,5, 21,1, 20,5, 17,9, 16,5. Пример 90: 2-(диметиламино)этанольная соль 24-бромфузидовой кислоты (соединение 190) По процедуре, приведенной в примере 88, при замене гидроксида холина 2-(диметиламино)этанолом (151 мкл, 134 мг, 1,5 ммоль) получают указанное в заголовке соединение (190) (из диэтилового эфира) в виде кристаллов. 13C ЯМР (CD3OD): 178,1, 173,1, 141,6, 136,4, 131,6, 122,3, 75,9, 72,5, 68,8, 66,9, 60,9, 57,5, 50,8, 50,0, 44,1, 40,7, 40,2, 38,7, 38,3, 37,9, 37,5, 36,9, 33,0, 31,1, 31,0, 30,0, 25,4, 23,8, 22,5, 21,1, 20,5, 17,9, 16,5, 15,5. Пример 91: 4-(2-гидроксиэтил)морфолиновая соль 24-бромфузидовой кислоты (соединение 191) По процедуре, приведенной в примере 88, при замене гидроксида холина 4-(2-гидроксиэтил)морфолином (184 мкл, 197 мг, 1,5 ммоль) получают указанное в заголовке соединение (191) (из диизопропилового эфира) в виде аморфного порошка. 13C ЯМР (CD3OD): 175,0, 172,7, 147,7, 132,4, 132,2, 121,7, 75,8, 72,5, 68,6, 66,9, 61,3, 58,7, 54,6, 50,7, 49,9, 44,9, 40,7, 40,1, 38,8, 38,2, 37,8, 37,4, 36,8, 32,9, 31,1, 31,0, 29,3, 25,5, 23,9, 23,1, 22,4, 20,8, 20,6, 18,0, 16,5. Пример 92: L-лизиновая соль 24-бромфузидовой кислоты (соединение 192) По процедуре, приведенной в примере 88, при замене гидроксида холина L-лизином (219 мг, 1,5 ммоль, в воде (5 мл)) получают указанное в заголовке соединение (192) (из этилацетата) в виде кристаллов. 13C ЯМР (CD3OD): 179,1, 175,1, 173,2, 139,4, 137,9, 131,4, 122,5, 75,9, 72,5, 68,8, 55,9, 50,8, 50,0, 43,9, 40,7, 40,4, 40,3, 38,6, 38,3, 37,9, 37,5, 36,9, 33,0, 32,0, 31,1, 31,0, 30,2, 28,5, 25,4, 23,8, 23,2, 22,5, 21,2, 20,6, 17,9, 16,5. Пример 93: N-(2-гидроксиэтил)пирролидиновая соль 24-бромфузидовой кислоты (соединение 193) По процедуре, приведенной в примере 88, при замене гидроксида холина N-(2-гидроксиэтил)пирролидином (177 мкл, 173 мг, 1,5 ммоль) получают указанное в заголовке соединение (193) (из диизопропилового эфира) в виде кристаллов. 13C ЯМР (CD3OD): 178,5, 173,1, 140,7, 137,0, 131,5, 122,4, 75,9, 72,5, 70,1, 68,8, 58,3, 55,2, 50,8, 50,0, 44,0, 40,7, 40,2, 38,6, 38,3, 37,8, 37,5, 36,9, 33,0, 31,1, 31,0, 30,1, 25,4, 24,0, 23,8, 23,1, 22,5, 21,1, 20,5, 17,9, 16,5. Пример 94: Этаноламиновая соль 24-бромфузидовой кислоты (соединение 194) По процедуре, приведенной в примере 88, при замене гидроксида холина этаноламином (90 мкл, 92 мг, 1,5 ммоль) получают указанное в заголовке соединение (194) (из диэтилового эфира) в виде аморфного порошка. 13C ЯМР (CD3OD): 178,9, 173,3, 139,7, 137,6, 131,4, 122,5, 75,9, 72,5, 68,8, 59,4, 50,8, 50,0, 43,9, 43,0, 40,7, 40,2, 38,6, 38,3, 37,8, 37,5, 36,9, 33,0, 31,1, 31,0, 30,1, 25,4, 23,8, 22,5, 21,1, 20,5, 17,9, 16,5. Пример 95: Калиевая соль 24-бромфузидовой кислоты (соединение 195) Водный раствор гидроксида калия (0,82 М, 1,8 мл, 1,5 ммоль) добавляют постепенно к раствору 24-бромфузидовой кислоты (108) (893 мг, 1,5 ммоль) в этаноле (10 мл) и воде (2,5 мл). pH раствора отслеживают с помощью pH-метра. Добавляют еще некоторое количество воды (7,5 мл) до pH примерно 7. Полученный раствор (с конечным pH 10) концентрируют при пониженном давлении и остаток кристаллизуют из ацетона. Указанное в заголовке соединение (195) собирают фильтрованием. 13C ЯМР (CD3OD): 179,2, 173,4, 138,6, 138,4, 131,3, 122,6, 75,9, 72,5, 68,9, 50,8, 50,0, 43,7, 40,7, 40,3, 38,5, 38,3, 37,8, 37,5, 36,9, 33,0, 31,1, 31,0, 30,3, 25,4, 23,8, 22,5, 21,2, 20,5, 17,9, 16,5, 8,1. Пример 96: Тетрабутиламмониевая соль 24-бромфузидовой кислоты (соединение 196) По процедуре, приведенной в примере 95, при замене гидроксида калия водн. гидроксидом тетрабутиламмония (примерно 25%, 1,8 мл, 1,5 ммоль, конечный pH 9) получают указанное в заголовке соединение (196) (из диэтилового эфира) в виде кристаллов. 13C ЯМР, (CD3OD): 178,3, 173,2, 140,3, 137,1, 131,4, 122,5, 76,0, 72,5, 68,8, 59,5, 50,8, 50,0, 43,9, 40,7, 40,2, 38,6, 38,3, 37:8, 37,5, 36,8, 32,9, 31,1, 31,0, 30,0, 25,4, 24,8, 23,8, 22,5, 21,1, 20,7, 20,5, 17,9, 16,5, 14,0. Пример 97: Бензилтриметиламмониевая соль 24-бромфузидовой кислоты (соединение 197) По процедуре, приведенной в примере 95, при замене гидроксида калия гидроксидом бензилтриметиламмония (примерно 40% в метаноле, с конечным pH 9) получают указанное в заголовке соединение (197) (из ацетона) в виде кристаллов. 1H ЯМР (CD3OD): 7,55 (м, 5H) 5,74 (д, 1H), 4,53 (с, 2H), 4,30 (ш.с., 1H), 3,64 (ш.с., 1H), 3,10 (с, 9H), 3,00 (д, 1H), 2,8-2,0 (м, 8H), 1,99 (с, 3H), 1,91-1,40 (м, 7H), 1,83 (с, 3H), 1,80 (с, 3H), 1,38 (с, 3H), 1,2-1,0 (м, 3H), 0,99 (с, 3H), 0,95 (с, 3H), 0,89 (д, 3H). Пример 98: Цетилтриметиламмониевая соль 24-бромфузидовой кислоты (соединение 198) По процедуре, приведенной в примере 95, при замене гидроксида калия гидроксидом цетилтриметиламмония (примерно 10% в воде, с конечным pH 10) получают указанное в заголовке соединение (198) (из метилэтилкетона) в виде кристаллов. 13C ЯМР (CD3OD): 179,2, 173,3, 138,4, 138,3, 131,2, 122,6, 76,0, 72,5, 68,9, 67,9, 53,5, 50,8, 50,0, 43,7, 40,7, 40,3, 38,5, 38,3, 37,8, 37,5, 36,8, 33,1, 32,9, 31,1, 31,0, 30,8, 30,7, 30,6, 30,5, 30,3, 27,4, 25,4, 24,0, 23,9, 23,8, 22,5, 21,1, 20,5, 17,9, 16,5, 14,5. Пример 99: Тетраметиламмониевая соль 24-бромфузидовой кислоты (соединение 199) По процедуре, приведенной в примере 95, при замене гидроксида калия гидроксидом тетраметиламмония (примерно 10% в воде, с конечным pH 10) получают указанное в заголовке соединение (199) (из ацетона/диэтилового эфира) в виде кристаллов. 13C ЯМР (CD3OD): 179,2, 173,3, 138,4, 138,3, 131,2, 122,6, 76,0, 72,5, 68,9, 55,9, 50,8, 50,0, 43,7, 40,7, 40,-3, 38,5, 38,3, 37,8, 37,5, 36,8, 32,9, 31,1, 31,0, 30,3, 25,4, 23,8, 23,8, 22,5, 21,1, 20,5, 17,9, 16,5. Пример 100: Тетрапропиламмониевая соль 24-бромфузидовой кислоты (соединение 300) По процедуре, приведенной в примере 95, при замене гидроксида калия гидроксидом тетрапропиламмония (примерно 10% в воде, с конечным pH 9,5) получают указанное в заголовке соединение (300) (из ацетона/диэтилового эфира) в виде кристаллов. 13C ЯМР (CD3OD): 179,2, 173,3, 138,4, 138,3, 131,2, 122,7, 76,0, 72,5, 68,9, 61,3, 50,8, 50,0, 43,7, 40,7, 40,3, 38,5, 38,3, 37,8, 37,5, 36,9, 33,0, 31,1, 31,0, 30,3, 25,4, 23,8, 23,8, 22,5, 21,1, 20,5, 17,9, 16,5, 16,4, 10,9. Пример 101: Трис(гидроксиметил)аминометановая соль 24-бромфузидовой кислоты (соединение 301) По процедуре, приведенной в примере 88, при замене гидроксида калия трис(гидроксиметил)аминометаном (82 мг, 1,5 ммоль), растворенным в этаноле (12 мл) и воде (8 мл), получают указанное в заголовке соединение (301) (из диэтилового эфира) в виде аморфного порошка. 13C ЯМР (CD3OD): 178,8, 173,3, 140,1, 137,4, 131,4, 122,4, 76,0, 72,5, 70,1, 68,8, 61,8, 50,8, 50,0, 43,9, 40,7, 40,2, 38,6, 38,3, 37,8, 37,5, 36,9, 32,9, 31,1, 31,0, 30,1, 25,4, 23,8, 23,1, 22,5, 21,1, 20,5, 17,9, 16,5. Пример 102: N-метил-D-глюкаминовая соль 24-бромфузидовой кислоты (соединение 302) По процедуре, приведенной в примере 88, при замене гидроксида калия N-метил-D-глюкамином (293 мг, 1,5 ммоль), растворенным в этаноле (5 мл) и воде (5 мл), получают указанное в заголовке соединение (302) (из диэтилового эфира) в виде аморфного порошка. 13C ЯМР (CD3OD): 179,2, 173,3, 139,5, 137,8, 131,4, 122,5, 75,9, 73,0, 72,5, 72,2, 70,1, 68,8, 64,8, 61,6, 53,0, 50,8, 50,0, 43,9, 40,7, 40,3, 38,6, 38,3, 37,8, 37,5, 36,9, 34,2, 33,0, 31,0, 30,2, 25,4, 23,8, 22,5, 21,2, 20,9, 20,6, 17,9, 16,5, 14,5. Пример 103: Серебряная соль 24-бромфузидовой кислоты (соединение 303) Раствор натриевой соли 24-бромфузидовой кислоты (109) (926 мг, 1,5 ммоль) в воде (10 мл) добавляют к раствору ацетата серебра (250 мг, 1,5 ммоль) в воде (30 мл). Добавляют этанол (25 мл) и через один час тонкодисперсный осадок собирают фильтрованием (через мелкопористый стеклянный фильтр), промывают водой и сушат в вакууме над силикагелем в темноте в течение нескольких дней. Серебряная соль (303) представляет собой слегка серый аморфный порошок. 1H ЯМР (DMSO): 5,68 (д, 1H), 4,14 (ш.,1H), 4,00 (м, 2H), 3,51 (ш., 1H), 2,9-0,93 (м, 20H), 1,90 (с, 3H), 1,79 (с, 3H), 1,78 (с, 3H), 1,27 (с, 3H), 0,89 (с, 3H), 0,82 (с, 3H), 0,79 (д, 3H). Пример 104: Бензетониевая соль 24-бромфузидовой кислоты (соединение 304) Раствор хлорида бензетония (672 мг, 1,5 ммоль) в воде (5 мл) добавляют к раствору натриевой соли 24-бромфузидовой кислоты (109) (926 мг, 1,5 ммоль) в воде (10 мл), при этом образуется липкий осадок бензетониевой соли. Водную фазу декантируют и осадок промывают водой с декантацией. Осадок растворяют в ацетоне, концентрируют и выпаривают с использованием этилацетата (3 раза) для удаления воды. После обработки диэтиловым эфиром остается соль в виде липкой массы, которую отфильтровывают и оставляют на ночь, получая указанное в заголовке соединение (304) в виде ломкого аморфного порошка. 13C ЯМР (CD3OD): 179,0, 173,3, 157,8, 143,6, 138,7, 138,2, 134,4, 132,0, 131,3, 130,4, 128,9, 128,4, 122,6, 114,8, 76,0, 72,5, 71,0, 70,4, 68,9, 68,3, 66,9, 65,9, 64,7, 58,0, 51,4, 50,8, 50,0, 43,7, 40,7, 40,3, 38,9, 38,5, 38,3, 37,8, 37,5, 36,8, 33,1, 32,9, 32,4, 32,3, 31,1, 31,0, 30,3, 25,4, 23,8, 23,8, 22,5, 21,1, 20,5, 17,9, 16,5, 15,5. Пример 105: Триэтаноламиновая соль 24-бромфузидовой кислоты (соединение 305) По процедуре, приведенной в примере 88, при замене гидроксида холина триэтаноламином (209 мкл, 234 мг, 1,5 ммоль, чистое вещество) получают указанное в заголовке соединение (305) (из этанола/диэтилового эфира) в виде кристаллического порошка. 13C ЯМР (CD3OD): 176,4, 172,9, 144,7, 134,3, 131,9, 122,0, 75,8, 72,5, 68,7, 58,7, 57,6, 50,8, 50,0, 44,5, 40,7, 40,1, 38,7, 38,2, 37,8, 37,5, 36,8, 32,9, 31,0, 29,6, 25,5, 23,8, 22,4, 20,9, 20,5, 18,0, 16,5. Пример 106: Пивалоилоксиметиловый сложный эфир 24-(транс-1-гексен-1-ил)фузидовой кислоты (соединение 306) По процедуре, приведенной в примере 36, при замене фенилбороновой кислоты транс-1-гексен-1-илбороной кислотой получают указанное в заголовке соединение (306). 13C ЯМР (CDCl3): 177,0, 170,3, 168,4, 149,9, 129,8, 129,7, 129,6, 128,4, 127,8, 80,0, 74,4, 71,4, 68,2, 49,2, 48,7, 44,2, 39,4, 39,0, 38,8, 37,1, 36,2, 36,2, 35,7, 33,2, 32,5, 32,1, 30,3, 30,0, 27,8, 27,6, 26,9, 24,3, 22,7, 22,4, 21,5, 20,8, 20,7, 20,4, 17,9, 15,9, 14,0. Пример 107: Пивалоилоксиметиловый сложный эфир 24-(транс-1-бутен-3,3-диметил-1-ил)фузидовой кислоты (соединение 307) По процедуре, приведенной в примере 36, при замене фенилбороновой кислоты транс-1-бутен-3,3-диметил-1-илбороновой кислотой получают указанное в заголовке соединение (307). 13C ЯМР (CDCl3): 177,0, 170,3, 168,5, 149,9, 139,2, 130,1, 129,7, 129,5, 122,5, 80,0, 74,4, 71,4, 68,2, 49,2, 48,7, 44,2, 39,4, 39,0, 38,8, 37,1, 36,2, 36,2, 35,6, 33,4, 32,5, 30,3, 30,0, 29,0, 27,8, 27,7, 26,9, 24,3, 22,7, 21,6, 20,8, 20,7, 20,4, 17,8, 15,9. Пример 108: Пивалоилоксиметиловый сложный эфир 24-(транс-1-нонен-1-ил)фузидовой кислоты (соединение 308) По процедуре, приведенной в примере 36, при замене фенилбороновой кислоты транс-1-нонен-1-илбороновой кислотой получают указанное в заголовке соединение (308). 13C ЯМР (CDCl3): 177,0, 170,3, 168,4, 149,9, 129,8, 129,7, 129,6, 128,5, 127,8, 80,0, 74,4, 71,4, 68,2, 49,2, 48,7, 44,2, 39,4, 39,0, 38,8, 37,1, 36,3, 36,1, 35,7, 33,6, 32,5, 31,9, 30,3, 30,0, 30,0, 29,4, 29,3, 27,8, 27,6, 26,9, 24,3, 22,7, 22,7, 21,5, 20,8, 20,7, 20,4, 17,9, 15,9, 14,1. Пример 109: Пивалоилоксиметиловый сложный эфир 24-(транс-5-хлор-1-пентен-1-ил)фузидовой кислоты (соединение 309) По процедуре, приведенной в примере 36, при замене фенилбороновой кислоты транс-5-хлор-1-пентен-1-илбороновой кислотой получают указанное в заголовке соединение (309). 13C ЯМР (CDCl3): 177,0, 170,2, 168,4, 149,9, 130,7, 129,6, 129,5, 129,3, 125,9, 80,0, 74,4, 71,4, 68,2, 49,2, 48,7, 44,6, 44,2, 39,4, 39,0, 38,8, 37,1, 36,3, 36,1, 35,7, 32,6, 30,5, 30,3, 30,0, 27,8, 27,6, 26,9, 24,3, 22,6, 21,5, 20,8, 20,7, 20,4, 17,9, 15,9. Пример 110: Пивалоилоксиметиловый сложный эфир 24-(транс-2-фенил-1-винил-1-ил)фузидовой кислоты (соединение 310) По процедуре, приведенной в примере 36, при замене фенилбороновой кислоты транс-2-фенил-1-винилбороновой кислотой получают указанное в заголовке соединение (310). 13C ЯМР (CDCl3): 177,0, 170,2, 168,4, 150,4, 138,4, 133,6, 130,3, 129,3, 128,6, 127,1, 126,9, 126,3, 126,1, 80,1, 74,4, 71,4, 68,1, 49,2, 48,7, 44,3, 39,4, 39,0, 38,8, 37,0, 36,2, 36,1, 35,9, 32,4, 30,2, 29,9, 27,9, 27,6, 26,9, 24,1, 22,7, 21,9, 20,8, 20,8, 20,7, 17,8, 15,9. Пример 111: Пивалоилоксиметиловый сложный эфир 24-(2-фенил-1-этил)фузидовой кислоты (соединение 311) Пивалоилоксиметиловый сложный эфир 24-(транс-2-фенил-1-винил)фузидовой кислоты (310) (230 мг, 0,3 ммоль) растворяют в этаноле (5 мл) и добавляют палладий на угле (25 мг, 5%). Колбу отбирают, присоединяют к ней баллон, содержащий газ водород, и перемешивают в течение ночи на магнитной мешалке. Катализатор отфильтровывают через фильтровальное устройство и фильтрат концентрируют. Неочищенный продукт очищают колоночной флэш-хроматографией (элюент: петролейный эфир:EtOAc, 90:10-50:50) с получением чистого указанного в заголовке соединения (311). 13C ЯМР (CD3OD): 178,2, 172,1, 169,7, 152,1, 152,1, 144,1, 143,9, 130,9, 130,8, 129,4, 129,3, 126,6, 81,0, 75,6, 72,3, 68,4, 50,6, 45,5, 44,8, 44,4, 40,6, 40,0, 39,7, 38,1, 37,8, 37,4, 37,3, 36,7, 35,0, 34,8, 33,6, 33,3, 32,8, 31,9, 31,0, 30,2, 28,2, 27,3, 23,9, 23,0, 22,3, 20,9, 19,6, 19,5, 18,2, 16,5. Пример 112: Пивалоилоксиметиловый сложный эфир 24-(4-н-пропилфенил)фузидовой кислоты (соединение 312) По процедуре, приведенной в примере 36, при замене фенилбороновой кислоты 4-н-пропилфенилбороновой кислотой получают указанное в заголовке соединение (312). 13C ЯМР (CDCl3): 177,0, 170,2, 167,6, 152,5, 141,4, 140,5, 133,8, 129,5, 129,0, 128,2, 127,8, 80,0, 74,4, 71,4, 67,9, 48,9, 48,7, 44,4, 39,4, 39,0, 38,8, 37,7, 36,9, 36,3, 36,1, 35,5, 35,0, 32,2, 30,1, 30,0, 27,4, 26,9, 24,7, 23,8, 22,7, 22,1, 20,9, 20,8, 19,9, 18,0, 15,9, 14,0. Пример 113: Пивалоилоксиметиловый сложный эфир 24-(4-винилфенил)фузидовой кислоты (соединение 313) По процедуре, приведенной в примере 36, при замене фенилбороновой кислоты 4-винилфенилобороновой кислотой получают указанное в заголовке соединение (313). 13C ЯМР (CDCl3): 177,0, 170,2, 167,7, 152,6, 143,8, 136,4, 135,4, 133,7, 129,9, 128,8, 128,5, 125,8, 113,6, 80,0, 74,3, 71,4, 67,8, 48,9, 48,6, 44,4, 39,4, 39,0, 38,8, 36,9, 36,3, 36,0, 35,3, 35,0, 32,2, 30,0, 27,3, 26,9, 23,9, 22,7, 22,1, 20,8, 20,8, 19,9, 17,9, 15,9. Пример 114: Пивалоилоксиметиловый сложный эфир 24-(4-трет-бутилфенил)фузидовой кислоты (соединение 314) По процедуре, приведенной в примере 36, при замене фенилбороновой кислоты 4-трет-бутилфенилбороновой кислотой получают указанное в заголовке соединение (314). 13C ЯМР (CDCl3) 177,0, 170,2, 167,6, 152,5, 149,0, 140,9, 133,7, 129,1, 129,0, 128,3, 124,6, 80,0, 74,4, 71,4, 67,9, 48,9, 48,8, 44,3, 39,4, 39,0, 38,8, 36,9, 36,2, 36,1, 35,5, 34,8, 34,5, 32,3, 31,5, 30,3, 30,0, 27,5, 26,9, 23,9, 22,6, 22,1, 20,9, 20,7, 20,0, 18,1, 15,9. Пример 115: Пивалоилоксиметиловый сложный эфир 24-(4-цианофенил)фузидовой кислоты (соединение 315) По процедуре, приведенной в примере 36, при замене фенилбороновой кислоты 4-цианофенилобороновой кислотой получают указанное в заголовке соединение (315). 13C ЯМР (CDCl3): 177,0, 170,1, 167,7, 152,2, 148,9, 132,8, 131,9, 130,5, 130,2, 128,5, 119,0, 109,9, 80,0, 74,2, 71,3, 68,1, 49,1, 48,6, 44,5, 39,4, 39,0, 38,8, 37,1, 36,3, 36,0, 34,9, 34,4, 32,6, 30,3, 30,0, 27,5, 26,9, 24,3, 22,6, 22,2, 20,8, 20,6, 20,2, 18,0, 15,9. Пример 116: Пивалоилоксиметиловый сложный эфир 24-(3-бифенил)фузидовой кислоты (соединение 316) По процедуре, приведенной в примере 36, при замене фенилбороновой кислоты 3-бифенилбороновой кислотой получают указанное в заголовке соединение (316). 13C ЯМР (CDCl3): 177,0, 170,2, 167,8, 152,3, 144,4, 140,9, 140,7, 133,9, 128,9, 128,8, 128,6, 128,6, 128,5, 128,0, 127,5, 126,9, 124,5, 80,0, 74,3, 71,4, 67,8, 48,8, 48,6, 44,4, 39,3, 39,0, 38,8, 36,8, 36,2, 36,1, 35,5, 34,8, 32,2, 30,0, 27,6, 26,9, 23,9, 22,5, 22,2, 20,8, 20,7, 20,0, 18,0, 15,9. Пример 117: Пивалоилоксиметиловый сложный эфир 24-(4-(трифторметил)фенил)фузидовой кислоты (соединение 317) По процедуре, приведенной в примере 36, при замене фенилбороновой кислоты 4-(трифторметил)фенилбороновой кислотой получают указанное в заголовке соединение (317). 13C ЯМР (CDCl3): 177,0, 170,2, 167,7, 152,6, 147,8, 133,0, 129,8, 129,7, 128,5, 125,0, 124,9, 80,0, 74,2, 71,4, 67,9, 49,0, 48,6, 44,5, 39,3, 39,0, 3878, 37,0, 36,2, 36,1, 34,9, 34,8, 32,5, 30,0, 27,4, 26,9, 24,2, 22,4, 22,1, 20,8, 20,6, 20,0, 18,0, 15,9. Пример 118: Пивалоилоксиметиловый сложный эфир 24-(4-метоксифенил)фузидовой кислоты (соединение 318) По процедуре, приведенной в примере 36, при замене фенилбороновой кислоты 4-метоксифенилбороновой кислотой получают указанное в заголовке соединение (318). 13C ЯМР (CDCl3): 177,0, 170,2, 167,7, 157,9, 152,2, 136,3, 133,4, 130,6, 129,0, 128,2, 113,2, 80,0, 74,3, 71,4, 67,9, 55,2, 49,0, 48,6, 44,4, 39,4, 39,0, 38,8, 36,9, 36,3, 36,0, 35,3, 35,1, 32,1, 30,0, 27,3, 26,9, 23,8, 22,8, 22,0, 20,8, 20,0, 17,9, 15,9. Пример 119: Пивалоилоксиметиловый сложный эфир 24-(3-цианофенил)фузидовой кислоты (соединение 319) По процедуре, приведенной в примере 36, при замене фенилбороновой кислоты 3-цианофенилбороновой кислотой получают указанное в заголовке соединение (319). 13C ЯМР (CDCl3): 177,0, 170,2, 167,7, 152,3, 144,9, 134,0, 132,9, 132,2, 130,6, 129,7, 128,9, 128,5, 119,0, 112,2, 80,0, 74,2, 71,3, 68,1, 49,1, 48,7, 44,5, 39,4, 39,0, 38,8, 37,1, 36,3, 36,1, 35,2, 34,4, 32,6, 30,3, 30,0, 27,5, 26,9, 24,3, 22,5, 22,1, 20,8, 20,6, 20,2, 18,0, 15,9. Пример 120: Пивалоилоксиметиловый сложный эфир 24-(2-метоксифенил)фузидовой кислоты (соединение 320) По процедуре, приведенной в примере 36, при замене фенилбороновой кислоты 2-метоксифенилбороновой кислотой получают указанное в заголовке соединение (320). 13C ЯМР (CDCl3): 177,0, 170,2, 167,8, 157,2, 152,2, 132,7, 131,9, 130,9, 130,3, 129,1, 127,5, 120,3, 111,0, 79,9, 74,4, 71,5, 68,0, 55,9, 55,4, 48,9, 48,7, 44,4, 39,4, 39,0, 38,8, 36,8, 36,4, 36,0, 35,4, 34,4, 33,2, 32,1, 30,0, 27,2, 26,9, 23,8, 22,8, 22,0, 20,9, 19,7, 17,9, 15,9. Пример 121: Пивалоилоксиметиловый сложный эфир 24-(3-нитрофенил)фузидовой кислоты (соединение 321) По процедуре, приведенной в примере 36, при замене фенилбороновой кислоты 3-нитрофенилбороновой кислотой получают указанное в заголовке соединение (321). 13C ЯМР (CDCl3): 177,0, 170,2, 167,7, 152,3, 148,3, 145,3, 135,7, 132,1, 130,9, 129,0, 128,4, 124,1, 121,l, 80,0, 74,2, 71,3, 68,1, 49,0, 48,6, 44,5, 39,4, 39,0, 38,8, 37,0, 36,3, 36,1, 35,2, 34,3, 32,6, 30,3, 30,0, 27,6, 26,9, 24,3, 22,5, 22,2, 20,8, 20,6, 20,3, 18,0, 15,9. Пример 122: Пивалоилоксиметиловый сложный эфир 24-(3-бромфенил)фузидовой кислоты (соединение 322) По процедуре, приведенной в примере 36, при замене фенилбороновой кислоты 3-бромфенилбороновой кислотой получают указанное в заголовке соединение (322). 13C ЯМР (CDCl3): 177,0, 170,2, 167,7, 152,5, 146,1, 132,8, 132,2, 129,6, 129,5, 129,0, 128,5, 128,4, 122,0, 80,0, 74,3, 71,4, 68,0, 49,0, 48,6, 44,5, 39,4, 39,0, 38,8, 36,9, 36,3, 36,1, 35,5, 34,8, 32,2, 30,1, 30,0, 27,5, 26,9, 24,0, 22,7. Пример 123: Пивалоилоксиметиловый сложный эфир 24-(4-(метилтио)фенил)фузидовой кислоты (соединение 323) По процедуре, приведенной в примере 36, при замене фенилбороновой кислоты 4-(метилтио)фенилбороновой кислотой получают указанное в заголовке соединение (323). 13C ЯМР (CDCl3): 177,0, 170,2, 167,7, 152,5, 140,8, 135,9, 133,3, 130,1, 128,7, 128,5, 125,9, 79,9, 74,3, 71,4, 67,9, 48,9, 48,6, 44,4, 39,4, 39,0, 38,8, 36,9, 36,3, 36,0, 35,2, 35,0, 32,1, 30,0, 29,9, 27,3, 26,9, 23,9, 22,8, 22,0, 20,8, 20,8, 19,9, 17,9, 15,9, 15,6. Пример 124: Пивалоилоксиметиловый сложный эфир 24-(2-нафтил)фузидовой кислоты (соединение 324) По процедуре, приведенной в примере 36, при замене фенилбороновой кислоты 2-нафтилбороновой кислотой получают указанное в заголовке соединение (324). 13C ЯМР (CDCl3): 177,0, 170,2, 167,7, 152,7, 141,7, 133,9, 133,3, 131,9, 128,7, 128,6, 128,6, 127,8, 127,6, 127,4, 126,2, 125,6, 80,0, 74,3, 71,4, 67,4, 48,6, 48,4, 44,4, 39,3, 39,0, 38,8, 36,6, 36,3, 35,8, 35,2, 35,1, 32,0, 29,9, 29,6, 27,4, 26,9, 23,7, 22,6, 22,2, 20,8, 20,8, 19,9, 17,8, 15,9. Пример 125: Пивалоилоксиметиловый сложный эфир 24-(3,5-бис-(трифторметил)фенил)фузидовой кислоты (соединение 325) По процедуре, приведенной в примере 36, при замене фенилбороновой кислоты 3,5-бис-(трифторметил)фенилбороновой кислотой получают указанное в заголовке соединение (325). 13C ЯМР (CDCl3): 176,9, 170,2, 167,6, 152,7, 145,9, 131,7, 131,7, 131,4, 129,4, 128,2, 123,5, 120,0, 80,1, 74,2, 71,3, 67,9, 60,4, 49,0, 48,6, 44,6, 39,4, 39,0, 38,8, 37,0, 36,2, 36,1, 35,3, 34,6, 32,5, 30,2, 30,0, 27,6, 26,9, 24,3, 22,4, 22,1, 20,8, 20,6, 20,2, 18,0, 15,9, 14,2. Пример 126: Пивалоилоксиметиловый сложный эфир 24-(3,4-диметоксифенил)фузидовой кислоты (соединение 326) По процедуре, приведенной в примере 36, при замене фенилбороновой кислоты 3,4-диметоксифенилбороновой кислотой получают указанное в заголовке соединение (326). 13C ЯМР (CDCl3): 177,0, 170,2, 167,8, 152,1, 148,5, 147,3, 136,6, 133,7, 128,9, 128,2, 121,7, 113,1, 110,6, 80,0, 74,3, 71,4, 67,9, 56,1, 55,8, 49,0, 48,6, 44,4, 39,4, 39,0, 38,8, 36,9, 36,3, 36,0, 35,2, 35,0, 32,2, 30,0, 27,5, 26,9, 23,9, 22,7, 22,1, 20,8, 20,8, 20,0, 17,9, 15,9, 14,2. Пример 127: Пивалоилоксиметиловый сложный эфир 24-(3,5-дибромфенил)фузидовой кислоты (соединение 327) По процедуре, приведенной в примере 36, при замене фенилбороновой кислоты 3,5-дибромфенилбороновой кислотой получают указанное в заголовке соединение (327). 13C ЯМР (CDCl3): 177,0, 170,2, 167,7, 152,7, 147,4, 131,8, 131,5, 131,2, 130,7, 128,3, 122,5, 80,0, 74,2, 71,4, 68,1, 49,1, 48,6, 44,6, 39,4, 39,0, 38,8, 36,9, 36,3, 36,1, 35,6, 34,6, 32,3, 30,2, 30,0, 27,5, 26,9, 24,1, 22,7, 22,2, 20,8, 20,8, 20,1, 18,0, 15,9.
Формула изобретения
1. Производные фузидовой кислоты общей формулы I 2. Соединение по п.1, где Y и Z, оба, обозначают водород и стереохимическая конфигурация соответствует S, как при С-17, так и при С-20. 3. Соединение по п.1, где Y и Z вместе представляют собой метилен и образуют циклопропановое кольцо в сочетании с С-17 и С-20 и стереохимическая конфигурация соответствует S как при С-17, так и при С-20. 4. Соединение по п.1, где Y и Z вместе со связью С-17/С-20 образуют двойную связь между С-17 и С-20. 5. Соединение по п.4, в котором двойная связь С-17/С-20 имеет ту же конфигурацию, что и фузидовая кислота. 6. Соединение по п.1, в котором X обозначает хлор, бром, йод, трифторметил, этил, замещенный фенилом, винил, замещенный фенилом, бутенил, замещенный двумя метильными группами, пентенил, замещенный хлором, гексенил, ноненил, фенил, необязательно замещенный одним или двумя одинаковыми или различными заместителями, выбранными из группы, состоящей из брома, хлора, фтора, пропила, винила, фенила, циано, метокси, трифторметиала, нитро, метилтио, третбутила или нафтила. 7. Соединение по п.1, в котором X обозначает хлор, бром, йод, трифторметил, фенил, 4-бромфенил, 4-хлорфенил, 3,5-дифторфенил, транс-1-гексен-1-ил, транс-1-бутен-3,3-диметил-1-ил, транс-1-нонен-1-ил, транс-5-хлор-1-пентен-1-ил, транс-2-фенил-1-винил, 2-фенил-1-этил, 4-н-пропилфенил, 4-винилфенил, 4-трет-бутилфенил, 4-цианофенил, 3-бифенил, 4-(трифторметил)фенил, 4-метоксифенил, 3-цианофенил, 2-метоксифенил, 3-нитрофенил, 3-бромфенил, 4-(метилтио)фенил, 2-нафтил, 3,5-бис-(трифторметил)фенил, 3,4-диметоксифенил или 3,5-дибромфенил. 8. Соединение по п.1, в котором Q1 обозначает -(СНОН)-. 9. Соединение по п.1, в котором Q1 обозначает CHBr или CHN3. 10. Соединение по п.1, в котором Q1 и Q2, оба, обозначают -(СНОН)-группу или Q1 обозначает CHBr, или CHN3, 11. Соединение по п.1, в котором А обозначает О или S(O). 12. Соединение по п.1, в котором В обозначает С1-С4ацил, метил, замещенный винилом или фенилом, этил, необязательно замещенный одним или более заместителями, выбранными из фтора, гидрокси, метила или метокси, бутил, замещенный метилом, пентил, пропенил или циклопентил. 13. Соединение по п.1, в котором В обозначает ацетил, изопропил, этил, 2,2,2-трифторэтил, 1-пентил, 2-метил-1-бутил, 3-метил-1-бутил, циклопентил, 2-гидроксиэтил, бензил, фурфурил, фенил, 2-фторэтил, или 2-метоксиэтил. 14. Соединение по п.1, в котором Q1 и Q2 обозначают -(СНОН)- и стереохимическая конфигурация соответствует а как при С-3, так и при С-11. 15. Соединение по п.1, где легкогидролизуемый сложный эфир представляет собой пивалоилоксиметиловый сложный эфир или ацетоксиметиловый сложный эфир. 16. Фармацевтически приемлемая соль соединения по любому из пп.1-13, где соли выбирают из группы, состоящей из натриевых солей, холиновых солей, L-аргининовых солей, 2-(диметиламино)этанольных солей, 4-(2-гидроксиэтил)морфолиновых солей, L-лизиновых солей, N-(2-гидроксиэтил)пирролидиновых солей, этаноламиновых солей, калиевых солей, тетрабутиламмониевых солей, бензилтриметиламмониевых солей, цетилтриметиламмониевых солей, тетраметиламмониевых солей, тетрапропиламмониевых солей, трис(гидроксиметил)аминометановых солей, N-метил-D-глюкаминовых солей, солей серебра, бензетониевых солей и триэтаноламиновых солей. 17. Соединение по п.1, которое выбирают из группы, состоящей из таких соединений, как 18. Соединение по любому из пп.1-17 для применения в антибактериальной терапии. 19. Антибактериальная фармацевтическая композиция, включающая соединение по любому из пп.1-17 вместе с фармацевтически приемлемым эксципиентом или носителем. 20. Антибактериальная фармацевтическая композиция по п.19, дополнительно включающая другое терапевтически активное соединение, выбранное из группы, состоящей из антибиотиков и кортикостероидов. 21. Антибактериальная фармацевтическая композиция по п.20, в которой указанное другое терапевтически активное соединение выбирают из группы, состоящей из пенициллинов (феноксиметилпенициллина, бензилпенициллина, диклоксациллина, ампициллина, амоксициллина, пивампициллина, флуклоксациллина, пиперациллина и мецеллинама), цефалоспоринов (цефалексина, цефалотина, цефепима, цефотаксима, цефтазидима, цефтриазона и цефуроксима), монобактамов (азтреонама) и карбапенемов (меропенема); макролидов (азитромицина, кларитромицина, эритромицина и рокситромицина); полимиксинов (колистина); тетрациклинов (тетрациклина, доксициклина, окситетрациклина и лимециклина); аминогликозидов (стрептомицина, гентамицина, тобрамицина и нетилмицина); флуорохинолонов (норфлоксацина, офлоксацина, ципрофлоксацина и моксифлоксацина); клиндамицина, линкомицина, тейкопланина, ванкомицина, оксазолидонов (линезолида), рифамицина, метронидазола, фузидовой кислоты, гидрокортизона, бетаметазон-17-валерата и триамцинолона ацетонида. 22. Способ лечения, предотвращения или ослабления бактериальных инфекций у пациента, включающий введение указанному пациенту эффективного количества соединения по любому из пп.1-17 и необязательно дополнительно включающий одновременное или последовательное введение одного или более других терапевтически активных соединений. 23. Способ по п.22, в котором указанное другое терапевтически активное соединение выбирают из группы, состоящей из антибиотиков и кортикостероидов. 24. Способ по п.22, отличающийся тем, что указанное другое терапевтически активное соединение выбирают из группы, состоящей из пенициллинов (феноксиметилпенициллина, бензилпенициллина, диклоксациллина, ампициллина, амоксициллина, пивампициллина, флуклоксациллина, пиперациллина и мецеллинама), цефалоспоринов (цефалексина, цефалотина, цефепима, цефотаксима, цефтазидима, цефтриазона и цефуроксима), монобактамов (азтреонама) и карбапенемов (меропенема); макролидов (азитромицина, кларитромицина, эритромицина и рокситромицина); полимиксинов (колистина); тетрациклинов (тетрациклина, доксициклина, окситетрациклина и лимециклина); аминогликозидов (стрептомицина, гентамицина, тобрамицина и нетилмицина); флуорохинолонов (норфлоксацина, офлоксацина, ципрофлоксацина и моксифлоксацина); клиндамицина, линкомицина, тейкопланина, ванкомицина, оксазолидонов (линезолида), рифамицина, метронидазола, фузидовой кислоты, гидрокортизона, бетаметазон-17-валерата и триамцинолона ацетонида. 25. Применение соединения по любому из пп.1-17 для производства лекарственного средства для лечения, ослабления или профилактики бактериальных инфекций. 26. Применение по п.25, в котором указанное лекарственное средство также включает другое терапевтически активное соединение, в том же самом или в отдельных контейнерах, приспособленных для одновременного или последовательного введения указанных терапевтически активных соединений. 27. Применение по п.25, в котором указанное другое лекарственное соединение выбирают из группы, состоящей из пенициллинов (феноксиметилпенициллина, бензилпенициллина, диклоксациллина, ампициллина, амоксициллина, пивампициллина, флуклоксациллина, пиперациллина и мецеллинама), цефалоспоринов (цефалексина, цефалотина, цефепима, цефотаксима, цефтазидима, цефтриазона и цефуроксима), монобактамов (азтреонама) и карбапенемов (меропенема); макролидов (азитромицина, кларитромицина, эритромицина и рокситромицина); полимиксинов (колистина); тетрациклинов (тетрациклина, доксициклина, окситетрациклина и лимециклина); аминогликозидов (стрептомицина, гентамицина, тобрамицина и нетилмицина); флуорохинолонов (норфлоксацина, офлоксацина, ципрофлоксацина и моксифлоксацина); клиндамицина, линкомицина, тейкопланина, ванкомицина, оксазолидонов (линезолида), рифамицина, метронидазола, фузидовой кислоты, гидрокортизона, бетаметазон-17-валерата и триамцинолона ацетонида. 28. Применение по любому из пп.1-17 для борьбы с бактериальной инфекцией. 29. Применение соединения по любому из пп.1-17 для предотвращения, или профилактики бактериальных инфекций при разведении животных. 30. Способ получения соединения формулы Ia 31. Соединение общей структуры Ib;
|
|||||||||||||||||||||||||||||||||||||||||||||||||||||||||||||||||||||||||||||||||||||||||||||||||||||||||||||||||||||||||||||||||||||||||||||||||||||||||||||||||||||||






и 11
-тиоацетилфузидовой кислоты (соединение 111),
, 0,016 мкг/мл). Критерием чувствительности является отсутствие видимого роста через 24 часа в условиях аэробной инкубации при температуре 37°С. Каждое соединение тестируют по меньшей мере два раза и во всех случаях в испытание включают фузидовую кислоту в качестве экспериментального контроля.



)2*, Pd(PPh3)4, K2CO3, EtOH+толуол, 90°С.

) (в м.д.) относятся, если особо не указано иное, к растворам дейтерохлороформа относительно внутреннего стандарта тетраметилсилана (

+HCOO–, смешанного с 0,01 М NH4













часа; охлаждают до комнатной температуры и выливают в воду (15 мл). Щелочной раствор (155) подкисляют путем добавления 1М водн. H3PO4 при перемешивании до pH 4,0 и обрабатывают (EtOAc, насыщ. NaCl) с получением неочищенного продукта. Далее указанный неочищенный продукт очищают колоночной флэш-хроматографией (10-50% EtOAc в петролейном эфире + 1% AcOH, в качестве элюента) с получением чистого, указанного в заголовке соединения (155).

