|
|
(21), (22) Заявка: 2006112428/04, 15.09.2004
(24) Дата начала отсчета срока действия патента:
15.09.2004
(30) Конвенционный приоритет:
18.09.2003 SE 0302486-6
(43) Дата публикации заявки: 10.11.2007
(46) Опубликовано: 27.04.2009
(56) Список документов, цитированных в отчете о поиске:
Химическая энциклопедия под ред. Н.С.Зефирова. – М., 1999, т.5, с.209. WO 02053543, 11.07.2002. US 5521179, 28.05.1996. GB 2383326, 25.06.2003.
(85) Дата перевода заявки PCT на национальную фазу:
18.04.2006
(86) Заявка PCT:
SE 2004/001335 20040915
(87) Публикация PCT:
WO 2005/026123 20050324
Адрес для переписки:
191036, Санкт-Петербург, а/я 24, “НЕВИНПАТ”, пат.пов. А.В.Поликарпову
|
(72) Автор(ы):
АНДЕРССОН Марьяна (SE), ХАНСЕН Петер (SE), ЛЁНН Ханс (SE), НИКИТИДИС Антониос (SE), СЬЁЛИН Петтер (SE)
(73) Патентообладатель(и):
АстраЗенека АБ (SE)
|
(54) ПРОИЗВОДНЫЕ 2-ПИРИДОНА В КАЧЕСТВЕ ИНГИБИТОРОВ ЭЛАСТАЗЫ НЕЙТРОФИЛОВ И ИХ ПРИМЕНЕНИЕ
(57) Реферат:
Настоящее изобретение относится к соединениям формулы (I), их получению и использованию в качестве ингибиторов эластазы и может быть применено в медицине.

где Y=СН; R1 представляет собой Н или алкил; R2 представляет собой фенил или 5-6-членный гетероарил; G1 представляет собой фенил; R5 представляет собой H, галоген, алкил, CN или фторированный алкил; n=1-3; R4=Н; L представляет собой связь, О, NR29 или алкил; либо R4 и L соединены вместе так, что группа -NR4L- представляет собой 5-7-членное азациклическое кольцо; G2 представляет собой фенил, 5-6-членный гетероарил, циклоалкил, С4-7-гетероцикл, бицикл из двух конденсированных, связанных прямой связью или разделенных атомом О колец, выбранных из фенила, 5-6-членного гетероарила, циклоалкила или С4-7-гетероцикла; или когда L не представляет собой связь, G2 представляет собой Н; s=0-2; R25 представляет собой Н, алкил или циклоалкил; R29 представляет собой Н или алкил. Технический результат – получение новых биологически активных соединений. 6 н. и 4 з.п. ф-лы, 1 табл.
Текст описания приведен в факсимильном виде.                                                                                    
Формула изобретения
1. Соединение формулы (I)
 где Y представляет собой СН; R1 представляет собой H или С1-6алкил; R2 представляет собой фенил или пяти- или шестичленное гетероароматическое кольцо, содержащее от 1 до 4 гетероатомов, независимо выбранных из О, S и N; где указанное ароматическое кольцо возможно замещено 1-3 заместителями, выбранными независимо из ОН, С1-6алкила, C1-6алкокси, NR58COR50, COOR51, CONR53R54 и NR47R48; где указанный алкил возможно дополнительно замещен ОН, C1-6алкокси, CN или CO2R49; R47 и R48 независимо представляют собой Н, С1-6алкил или С2-6алканоил; G1 представляет собой фенил; R5 представляет собой Н, галоген, C1-6алкил, CN или C1-3алкил, замещенный одним или более чем одним атомом F; n представляет собой целое число 1, 2 или 3 и, когда n представляет собой 2 или 3, каждая группа R5 выбрана независимо; R4 представляет собой Н; L представляет собой связь, О, NR29 или C1-6алкил; либо R4 и L соединены вместе так, что группа -NR4L- представляет собой 5-7-членное азациклическое кольцо, возможно включающее один дополнительный гетероатом, выбранный из О, S и NR16; G2 представляет собой моноциклическую кольцевую систему, выбранную из: 1) фенила, 2) 5- или 6-членного гетероароматического кольца, содержащего от одного до трех гетероатомов, независимо выбранных из О, S и N, 3) С3-6 насыщенного или частично ненасыщенного циклоалкила или 4) С4-7 насыщенного или частично ненасыщенного гетероциклического кольца, содержащего один или два гетероатома, независимо выбраных из О, S и NR17, и, возможно, дополнительно включающего карбонильную группу; или G2 представляет собой бициклическую кольцевую систему, в которой эти два кольца либо конденсированы вместе, либо связаны вместе прямой связью, либо разделены атомом О, и каждое из двух колец независимо выбрано из: 1) фенила, 2) 5- или 6-членного гетероароматического кольца, содержащего от одного до трех гетероатомов, независимо выбранных из О, S и N, 3) С3-6 насыщенного или частично ненасыщенного циклоалкила или 4) С4-7 насыщенного или частично ненасыщенного гетероциклического кольца, содержащего один или два гетероатома, независимо выбранных из O, S и NR17, и, возможно, дополнительно включающего карбонильную группу; где указанная моноциклическая или бициклическая кольцевая система возможно дополнительно замещена заместителями в количестве от одного до трех, независимо выбранными из CN, ОН, C1-6алкила, C1-6алкокси, галогена, S(O)sR25, SO2NR26R27 и С1-3алкила, замещенного SO2R39; или когда L не представляет собой связь, G2 может также представлять собой Н; s представляет собой целое число 0, 1 или 2; R25 представляет собой Н, C1-6алкил или С3-6циклоалкил; R16, R17, R26, R27, R29, R39, R49, R50, R51, R53, R54 и R58 независимо представляют собой Н или С1-6алкил; и его фармацевтически приемлемые соли.
2. Соединение формулы (I) по п.1, где R5 представляет собой Cl, СН3, CN или CF3.
3. Соединение по п.1, которое представляет собой 6-метил-5-(1-метил-1Н-пиразол-5-ил)-N-{[5-(метилсульфонил)пиридин-2-ил]метил}-2-оксо-1-[3-(трифторметил)фенил]-1,2-дигидропиридин-3-карбоксамид или его фармацевтически приемлемую соль.
4. Соединение формулы (I) по п.1 или его фармацевтически приемлемая соль для применения в качестве лекарства.
5. Фармацевтическая композиция, ингибирующая активность эластазы нейтрофилов, содержащая соединение формулы (I), как оно определено в любом из пп.1-3, или его фармацевтически приемлемую соль, в смеси с фармацевтически приемлемым разбавителем или носителем.
6. Применение соединения формулы (I), как оно определено в любом из пп.1-3, или его фармацевтически приемлемой соли в производстве лекарства для лечения или профилактики заболеваний или состояний человека, при которых благотворным является ингибирование активности эластазы нейтрофилов.
7. Применение по п.6 в производстве лекарства для лечения или профилактики воспалительных заболеваний или состояний.
8. Способ получения соединения формулы (I), как оно определено в любом из пп.1-3, и его оптических изомеров, рацематов и таутомеров, а также фармацевтически приемлемых солей, при котором подвергают взаимодействию соединение формулы (II)
 где R1, R4, R5, Y, G1, G2, L и n являются такими, как определено в формуле (I), и Hal представляет собой атом галогена, предпочтительно бромо или йодо, с нуклеофилом R2-М, где R2 является таким, как определено в формуле (I), a M представляет собой группу оловоорганической или борорганической кислоты, и, если желательно или необходимо, превращают полученное в результате соединение формулы (I) или другую его соль в его фармацевтически приемлемую соль.
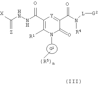
9. Способ получения соединения формулы (I), как оно определено в любом из пп.1-3, и его оптических изомеров, рацематов и таутомеров, а также фармацевтически приемлемых солей, при котором: когда R2 представляет собой кольцо 1,3,4-оксадиазол-2-ил или 1,3,4-тиадиазол-2-ил, подвергают взаимодействию соединение формулы (III)
 где R1, R4, R5, Y, G1, G2, L и n являются такими, как определено в формуле (I), Z представляет собой О или S, и Х представляет собой C1-6алкил или NR47R48, a R47 и R48 являются такими, как определено в формуле (I), с подходящим дегидратирующим агентом, таким как фосфорилхлорид или триметилсилилполифосфат; и, если желательно или необходимо, превращают полученное в результате соединение формулы (I) или другую его соль в его фармацевтически приемлемую соль.
10. Способ получения соединения формулы (I), как оно определено в любом из пп.1-3, и его оптических изомеров, рацематов и таутомеров, а также фармацевтически приемлемых солей, при котором: подвергают взаимодействию соединение формулы (XV)
 где R1, R2, R5, n, G1 и Y являются такими, как определено в формуле (I), a L1 представляет собой уходящую группу, с соединением формулы (IX) или его солью
 где R4, G2 и L являются такими, как определено в формуле (I); и, если желательно или необходимо, превращают полученное в результате соединение формулы (I) или другую его соль в его фармацевтически приемлемую соль.
РИСУНКИ
|
|