|
(21), (22) Заявка: 2006146469/02, 25.12.2006
(24) Дата начала отсчета срока действия патента:
25.12.2006
(43) Дата публикации заявки: 27.06.2008
(46) Опубликовано: 27.04.2009
(56) Список документов, цитированных в отчете о поиске:
SU 192652 А, 13.04.1967. SU 1212764 А, 23.02.1986. SU 1465274 A1, 15.03.1989. SU 137781 A, 22.05.1961. DT 224685782, 13.01.1977.
Адрес для переписки:
404110, Волгоградская обл., г. Волжский, пр-кт Ленина, 60, кв.44, Б.И.Короткову
|
(73) Патентообладатель(и):
Коротков Борис Иванович (RU)
|
(54) СПОСОБ ШЛИФОВАНИЯ СФЕРИЧЕСКИХ ТОРЦОВ КОНИЧЕСКИХ РОЛИКОВ И СТАНОК ДЛЯ ЕГО ОСУЩЕСТВЛЕНИЯ
(57) Реферат:
Изобретение относится к области машиностроения и может быть использовано при шлифовании торцовых сферических поверхностей, преимущественно конических роликов конических роликоподшипников. Сферические торцы шлифуют с радиусом, меньшим заданного радиуса сферического торца на величину допускаемого отклонения. Используют исходные заготовки конических роликов с увеличенными размерами диаметра их большего основания и угла конуса, определяемыми из условия обеспечения заданных размеров диаметра большего основания и угла конуса на последующих проходах шлифования образующей конуса конических роликов. Обработку производят в непрерывном потоке фасонным шлифовальным кругом на станке, содержащем механизмы ориентации, загрузки и выгрузки, узлы для базирования и перемещения заготовок. Последние выполнены в виде двух сменных чашеобразных соосных дисков, установленных с возможностью вращения в разные стороны с разными скоростями. Один из дисков выполнен с торцом, имеющим круговой венец с радиально расположенными углублениями в виде угловых призм, а второй – с торцом, оснащенным кольцевым постоянным магнитом. В результате повышается точность формы сферической поверхности и стабильность ее радиуса, что обеспечивает заданный гарантированный момент трения конических роликоподшипников. 2 н. и 6 з.п. ф-лы, 15 ил.
Предлагаемое изобретение относится к машиностроению, в частности к области обработки шлифованием торцевых сферических поверхностей, преимущественно сферических торцов конических роликов, и может быть использовано на предприятиях РФ, изготавливающих конические роликоподшипники.
Известен ряд способов шлифования сферических торцов конических роликов в непрерывном потоке, например, по авт. свид. СССР 192655 (принят авторами за прототип), 222188, 225733. По указанным изобретениям разработано, изготовлено и внедрено в 1970 1985 годах на подшипниковых заводах СССР – 1,9,15 ГПЗ большое количество бесцентровых сферошлифовальных станков. Так, по первым двум изобретениям изготовлены станки моделей 6С180, 6С180М, а по третьему – станки БСШ-200, БСШ-300 и их модификации с буквой М. Данные модели станков находятся в эксплуатации до настоящего времени.
Внедрение в подшипниковой промышленности бесцентровых сферошлифовальных станков в непрерывном потоке обеспечило повышение производительности на операциях шлифования сферических торцов конических роликов в несколько раз по сравнению с одношпиндельными автоматами МШ-26.
При разных конструктивных исполнениях основных рабочих узлов, их компоновке и размещении в пространстве обе группы станков объединяет одинаковое решение по конструкции узла привода, базирования и перемещения заготовок конических роликов в зону обработки шлифованием их сферических торцов; он представляет собою два соосных чашеобразных диска, вращающихся с разными скоростями в разные стороны, и расположенный между ними вращающийся сепаратор с гнездами для принудительной подачи заготовок роликов в зону шлифования; при этом для первой группы станков один из дисков привода выполнен закаленным стальным, а торец второго – из полиуретана; для второй группы станков – оба диска стальные, закаленные; такие приводы в дальнейшем условно называют соответственно упругим и жестким. Наладка базирующей конической поверхности торца стального диска для первой группы станков и обоих стальных дисков второй группы производится шлифованием переносной шлифовальной головкой под номинальный (расчетный) угол конической поверхности заготовки роликов, заданный конструкторским чертежом роликоподшипника.
Ввод новых технических условий на изготовление конических роликоподшипников с заданным гарантированным моментом трения для Волжского автомобильного завода в г.Тольятти вынудил изготовителей указанного оборудования и поставщиков подшипников провести в сжатые сроки серьезные научно-исследовательские работы по технологии и исследования конструкции данных станков по обеспечению стабильности радиуса и формы сферических торцов конических роликов при их обработке.
Однако перестройка, процесс приватизации и банкротство некоторых подшипниковых заводов, научно-исследовательского института (ВНИПП) и его филиалов свернули работы по совершенствованию технологии и исследованииям.
Проблема обеспечения стабильности параметров сферических торцов конических роликов остается актуальной до настоящего времени. Этим объясняется появление большого количества предложений и технических решений в РФ по совершенствованию технологии шлифования сферических торцов конических роликов и конструкций устройств (станков) для их обработки, отраженных в Справке по исследованию настоящего заявляемого объекта по патентной литературе и рассмотренных ниже.
В научных статьях, приведенных авторами в Справке по исследованию заявляемого объекта по научно-технической литературе подробно рассмотрены вопросы влияния качества наладки станков указанных выше групп, исходных размеров (диаметра, длины) заготовок конических роликов, предшествующих обработке их сферических торцов на точность формы, радиуса сферической поверхности торцов, обработанных поверхностей. При этом отмечаются трудности, сопряженные с обеспечением исходных заготовок по диаметру, углу конуса, возрастающих с уменьшением угла и увеличением радиуса сферы для станков с жестким приводом; что касается станков с упругим приводом, вопрос обеспечения точностных параметров заданных конструкторским чертежом обойден молчанием. Это дает снование авторам заявки полагать, что влияние угла конуса исходных заготовок роликов на точность формы, радиус сферической поверхности торцов для станков с жестким и упругим приводами до конца не изучен.
Рассмотрим вопросы, как влияют углы конуса и их отклонения (допуски) в исходных заготовках роликов на точность формы, радиус сферической поверхности обрабатываемых на станках с жестким и упругим приводами.
По Государственным стандартам – ГОСТ 333-71, ГОСТ 7260-70, ГОСТ 3169-71, ГОСТ 6364-68 (6) – длина окончательно обработанных роликов находится в пределах 65 70 мм; угол конуса в пределах 0° 20′ 5°, при этом радиус сферической поверхности может быть определен по формуле

где Dр – диаметр сферического торца конических роликов;
– угол конуса (наклона образующей конических роликов к его оси); обозначения представлены на фиг.1.
Сначала сделаем несколько отступлений по определению понятий допускаемых отклонений при контроле угла конуса – «угол минусовый», «угол плюсовый», «угол номинальный». На фиг.2 представлена утрированная схема для пояснений понятий допускаемых отклонений по углу. Отклонение от номинального угла в сторону его увеличения обозначается знаком плюс (+), а в сторону уменьшения – знаком минус (-); N= .
Контроль указанных отклонений производят на специальных измерительных приборах (фиг.3) с установкой в призмах, упором в торец, с настройкой по эталону перемещением его в горизонтальной плоскости вдоль образующей и регулировкой в вертикальной плоскости до получения в крайних точках нулевого значения по индикатору с ценой деления шкалы 0,5 мкм.
Следует отметить, что по принятым заводами действующими технологическими процессами изготовления конических роликов, от получения заготовки до окончательно обработанного, угол конуса назначается равным расчетному (номинальному) значению, предусмотренному конструкторским чертежом роликоподшипника; пооперационные допускаемые отклонения (кроме окончательных операций обработки образующей) назначаются из условий точностных возможностей применяемого оборудования и экономической целесообразности; в рассматриваемом случае заготовки конических роликов, предшествущие обработке сферических торцов, имеют допускаемые отклонения по углу конуса симметричные – в плюсовую и минусовую стороны.
Из теории механизмов известно, что идеальную сферическую поверхность у торцов конических роликов можно получить только в одном случае – когда ось вращения и ось геометрического конуса их лежат в центре сферы, т.е. в нашем случае на оси вращения соосных дисков (см. фиг.9). При нарушении этого принципа, сферические торцы приобретают форму косого сферического конуса, сферического конуса (см. фиг.10).
В самом деле, для станков с жестким приводом, заготовки роликов с плюсовыми отклонениями по углу зависают в верхней части дисков, а с минусовыми – в нижней (фиг.5, 6); под воздействием окружного усилия резания, создаваемого вращающимся шлифовальным кругом, обрабатываемые заготовки роликов поворачиваются на точках подвеса и прижимаются своими образующими к конической поверхности торца одного из дисков, в результате чего ось вращения и ось геометрического центра конуса смещаются с оси соосных дисков; при этом в зоне шлифования заготовки стремятся повернуться на точках подвеса в сторону круговой подачи; принудительно вращающийся сепаратор при этом выполняет дополнительную функцию предохранения от поворота заготовок на точках подвеса и возможного их заклинивания в зоне обработки. По показаниям незаконченных опытных работ, обработка сферических торцов заготовок роликов с номинальными значениями угла (N) протекает без искажения формы сферической поверхности (фиг.4, 8).
Обработка сферических торцов заготовок конических роликов на станках с упругим приводом производится так же, как на станках с жестким приводом, с той лишь разницей, что упругий диск из полиуретана дополнительно выполняет функцию упора в случаях обработки заготовок с уменьшенными (заниженными) диаметрами, предотвращающего заготовки от перемещения их в радиальном направлении усилиями резания.
Вопрос обеспечения длины конических роликов при обработке сферических торцов на станках с жестким и упругим приводами не возникает, т.к. до шлифования сферических торцов все заготовки подвергаются шлифованию обоих торцов на двухсторонних торцешлифовальных станках с допуском по длине минус 0,1 мм.
Обе группы станков не оснащены устройствами автоматического контроля размеров радиуса обработки и подналадки; поддержания величины снимаемого припуска; компенсация износа шлифовального круга, регламентированная правка его по периоду стойкости во времени осуществляется оператором-наладчиком и зависит от его опыта и квалификации.
Из изложенного анализа следует сделать вывод:
– отклонение угла исходных заготовок конических роликов как в сторону его увеличения, так и уменьшения приводит к образованию сферического конуса;
– высота сферического конуса зависит от величины фактических отклонений по углу конуса: минусовые отклонения уменьшают высоту, плюсовые – увеличивают;
– допускаемые отклонения угла конуса на заготовках роликов, предшествующих обработке сферических торцов, необходимо назначать только односторонними и в минусовую сторону.
Статистическими наблюдениями за стабильностью технологического процесса шлифования образующей конической поверхности заготовок роликов, предшествующих обработке их сферических торцов, установлено, что только 55 60% заготовок роликов изготавливается с номинальными значениями угла конуса, 25 30% с плюсовыми отклонениями угла и 20 10% с минусовыми; следовательно, у 40 45% заготовок конических роликов сферическая поверхность торца после обработки будет иметь форму сферического конуса разной высоты.
Наличие в собранном коническом роликоподшипнике хотя бы одного ролика с формой поверхности торца в виде сферического конуса нарушает сопряжение с коническим упорным бортом внутреннего кольца и приводит к
– резкому увеличению момента трения, превышающего заданные конструкторским чертежом величины;
– потере предварительного натяга в собранном узле механизма, машины, и т.д. и необходимости регулировки преднатяга через некоторое время работы в узле.
Кроме указанных выше, известны следующие технические решения по проблемам обработки сферических торцов конических роликов шлифованием.
1. Авт.свид. СССР 293671, БИ 6-1971.
Авт.свид. СССР 1212764, БИ 7-1986 – не востребованы из-за наличия сферического конуса в производстве конических роликоподшипников с заданным гарантированным моментом трения.
2. Авт.свид. СССР 1123841, БИ 42-1984
– не востребовано из-за сложности конструкции, чрезмерно высокой трудоемкости, стоимости изготовления и обслуживания.
3. Авт.свид. СССР 1252137, БИ 31-1986
– не востребовано из-за старения, потери эластичности, разрушения упругодеформированных материалов – резины, полиуретана – при работе в щелочной среде смазывающе-охлаждающей жидкости.
4. Пат. РФ 2162401, БИ 3, 2001
– заявитель сведений о практическом использовании и результатах не имеет.
Техническим результатом изобретения являются:
– повышение точности и стабильности радиуса сферической поверхности конических роликов при их шлифовании;
– повышение качества и формы сферической поверхности торцов конических роликов;
– за счет указанных результатов повысить выход конических роликоподшипников с заданным гарантированным моментом трения до 98%.
Эти результаты достигаются тем, что:
– шлифование сферических торцов конических роликов в непрерывном потоке производят радиусом, меньшим заданного радиуса сферического торца на величину допускаемого отклонения, для чего используют исходные заготовки конических роликов с увеличенными размерами диаметра их большого основания и угла конуса, определяемыми из условия обеспечения заданных размеров диаметра большого основания и угла конуса на последующих проходах шлифования образующей конуса, определяемых по эмпирическим формулам


где Dп – увеличенный диаметр большого основания заготовок конических роликов, мм;
п – увеличенный угол конуса заготовок конических роликов при обработке сферического торца конических роликов, град.;
dп – увеличенный диаметр малого основания заготовок конических роликов, равный dп=dр+2 , мм;
Rп – радиус обработки заготовок конических роликов, равный Rп=Rр– R, мм;
Rp – заданный радиус сферического торца, мм;
Lр – заданная длина ролика, мм;
R – заданный допуск на радиус окончательно обработанного сферического торца, мм;
dp – заданный диаметр малого основания заготовок конических роликов в мм, определяемый формулой dp=Dp-2Lp·tg ,
где Dp – заданный диаметр окончательно обработанного ролика, мм;
– заданный угол конуса окончательно обработанного ролика, град.;
– припуск на сторону для последующего шлифования образующей конуса конического ролика, мм,
или с учетом dп, Rп


– допускаемые отклонения на угол конуса исходных заготовок роликов при обработке сферических торцов выбирают односторонними и направленными в сторону уменьшения угла конуса;
– предлагаемая конструкция станка для шлифования сферических торцов конических роликов в непрерывном потоке фасонным шлифовальным кругом содержит механизмы ориентации, загрузки и выгрузки, узлы для базирования и перемещения обрабатываемых заготовок, выполненные в виде двух чашеобразных соосных дисков, установленных с возможностью вращения в разные стороны с разными скоростями и образующих рабочую зону; при этом один из дисков выполнен с торцом, имеющим круговой венец с радиально расположенными углублениями в виде угловых призм, а второй диск – с торцом, оснащенным кольцевым постоянным магнитом; при наладке станка рабочие поверхности шлифуются переносным приспособлением с допусками, равными допуску на угол конуса исходных заготовок конических роликов при обработке сферических торцов, причем допуск на шлифование диска с кольцевым постоянным магнитом направлен в сторону уменьшения угла, а диска с угловыми призмами – в сторону его увеличения; для ограничения осевого перемещения заготовок конических роликов усилиями резания и исключения их защемления диск с призмами снабжен упругим волнообразным кольцом из плоской пружинной стали и расположенным в пазу с внутренней стороны диска, при этом шаг волн равен шагу между центрами малых оснований заготовок роликов; для принудительного выталкивания обработанных роликов в демагнитизатор на размагничивание, станок снабжен съемником в виде клина из немагнитных материалов, встроенным в зону выгрузки.
Предлагаемое изобретение поясняется эскизами, где представлены:
на фиг.1 – конструкторский чертеж конического ролика со сферическим торцом и обозначениями размеров;
на фиг.2 – утрированная схема конического ролика для определения понятий отклонений угла конуса от номинального (расчетного);
на фиг.3 – схема измерений углов конуса, диаметра большого основания и отклонений углов;
на фиг.4 6 – утрированная схема положения исходных заготовок роликов с отклонениями углов для станков с жестким приводом;
на фиг.7, 8 – утрированная схема положения исходных заготовок роликов с отклонениями углов для станков с упругим приводом;
на фиг.9 – схема получения идеальной поверхности сферического торца;
на фиг.10 – схема получения сферического конуса при разных отклонениях углов конуса и смещении мгновенного центра вращения (МЦВ) с оси сферы;
на фиг.11 – рабочая схема шлифования сферических торцов конических роликов по заявляемому техническому решению;
на фиг.12, 13 – соответственно схемы шлифования на станке и рабочая зона предлагаемого станка;
на фиг.14, 15 – соответственно разрезы рабочей зоны предлагаемого станка по сечениям А-А и В-В.
Для осуществления Способа предварительно определяют по приведенным выше формулам размеры исходных заготовок конических роликов с учетом допускаемых отклонений на радиус сферы окончательно обработанных поверхностей, предшествующих обработке сферических торцов, обеспечивающих точное расположение МЦВ на оси соосных дисков.
Из указанных размеров исходной заготовки должен быть пересмотрен весь маршрутный технологический процесс изготовления в порядке обратной последовательности операций, а также их пооперационные припуски на обработку:
– чистовое шлифование образующей конуса,
– получистовое шлифование образующей конуса;
– снятие окалины галтовкой заготовок в абразивной среде;
– термическая обработка – закалка и отпуск;
– шлифование образующей конуса до закалки;
– шлифование двух торцов заготовок до закалки;
– снятие заусенец после высадки роликов галтовкой;
– высадка заготовок роликов на холодновысадочных прессах-автоматах;
Пример расчета исходных размеров заготовки конических роликов до шлифования их сферических торцов приводится ниже.
Пример расчета исходных размеров заготовок конических роликов, предшествующих шлифованию их сферических торцов, предназначаемых для комплектования конического роликоподшипника 6-7807У с заданным гарантированным моментом трения, применяемого в редукторах заднего моста легковых автомобилей Волжского автомобильного завода (АвтоВАЗ) – деталь 6-7807У-04 по конструкторскому чертежу с размерами окончательно обработанной (размеры в мм);
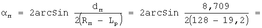
Dp=9,65; Lp=19,2; Rp=138- (минус) 10, =2°;
dp=Dp-2Lp·tg =9,65-2·19,2·tg2°=9,65-2×19,2×0,0349=8,3098;
dп=dр+2· =8,309+2×0,2=8,709;
Rп=Rp– R=138-10=128;


откуда по таблицам · п=4°36′ или угол заготовки ‘=2°18’
( ‘=4°36′:2=2°18’); из расчетов следует, что заготовка конических роликов, предшествующих обработке сферических торцов, должна иметь размеры
Dп=10,245; Lр=19,2; ‘=2°18’, dп=8,709, при этом допускаемое отклонение по углу конуса заготовки должно быть назначено в минусовую сторону на уменьшение угла.
Шлифование сферических торцов исходных заготовок конических роликов ведут в угловых призмах, размещенных кольцеобразно на торце одного из дисков в магнитном поле кольцевого постоянного магнита, расположенного на торце второго диска для повышения устойчивости процесса шлифования и предотвращения смещения МЦВ с оси соосных дисков, вращающихся с разными скоростями в разные стороны; при этом допускаемое отклонение угла конуса исходных заготовок роликов, предшествующих обработке сферических торцов, назначают односторонними в минусовую сторону (на уменьшение угла) для повышения качества и точности формы обработанных сферических торцов; заданные конструкторским чертежом размеры диаметра большого основания Dр, угол конуса , диаметр малого основания dp, обеспечивают шлифованием образующей на последующих проходах.
Станок для шлифования сферических торцов конических роликов в непрерывном потоке фасонным шлифовальным кругом 1, представленный фиг.12 и 13, оснащен приводами шлифовального круга и двух соосных дисков, механизмами ориентирования и загрузки (для упрощения не показаны), узлами для базирования и перемещения заготовок в зону обработки, представляющими два соосных вращающихся в разные стороны с разными скоростями диска 2 и 4, из которых торец левого 2 снабжен кольцевым постоянным магнитом 3, а торец правого 4 круговым венцом 5 с угловыми радиальными призмами 6.
Такое исполнение узла привода обеспечивает надежное положение оси вращения заготовок и центра пересечения образующих геометрического конуса (МЦВ) на оси вращения соосных дисков, исключая образование сферического конуса.
Для исключения возможного защемления в призмах 6 отдельных заготовок роликов из-за разноразмерности их по диаметрам большого основания и ограничения их осевого перемещения усилиями резания, обеспечения минимального зазора между образующими заготовок и боковыми плоскостями призм диск 4 дополнительно снабжен упругодеформированным волнообразным кольцом 7 из плоской пружинной стали, располагаемым в пазу 8 с внутренней стороны концентрично оси диска 4. Шаг волны кольца 7 равен шагу между центрами малых оснований заготовок.
Работа станка сводится к загрузке заготовок роликов в бункер, ориентированию их на валковом устройстве малым основанием вниз, подачей по питательной трубке в рабочую зону (условно не показаны), образованную круговым постоянным магнитом и угловыми призмами; в дальнейшем процесс шлифования происходит автоматически: поддержание радиуса сферы в заданных пределах обеспечивается оператором-наладчиком путем постоянного контроля расстояния между осью соосного диска и профилем шлифовального круга выборочным периодическим контролем радиуса на приборах цеховых лабораторий.
По окончании обработки сферических торцов заготовки принудительно выталкиваются съемником 9 из немагнитных материалов в лоток 10 на размагничивание в демагнитизатор (условно не показан).
Наладку рабочей зоны станка обеспечивают шлифованием рабочих поверхностей дисков: кольцевого постоянного магнита – шлифовальной переносной головкой, а боковые поверхности угловых призм – при изготовлении кругового венца допусками на угол, равный допуску на угол конуса исходных заготовок роликов, предшествующих обработке сферических торцов, причем с направлением для первого на уменьшение угла в минусовую сторону, а для второго – в плюсовую на увеличение угла.
Пример конкретного исполнения
Автором заявляемого технического решения проведены следующие опытно-конструкторские и технологические работы.
1. Анализ состояния технологии изготовления конических роликоподшипников с заданным гарантированным моментом трения, в т.ч. конических роликов со сферическими торцами, в РФ и за рубежом по доступной авторам НТЛ.
2. Спроектирована опытная оснастка на станок БСШ-200М на обработку сферических торцов конических роликов к подшипнику 6-7807У с заданным гарантированным моментом трения для АвтоВАЗа.
3. Проведена обработка опытной партии роликов в количестве 10000 штук:
– радиус сферы (мм) -129,5 137 при номинале по чертежу и допуске по чертежу соответственно 138 минус 10 мм;
– биение сферического торца (мм) – 0,002 0,006 при допуске по чертежу -0,01;
– шероховатость (мкм) – Ra=0,32 0,25;
– волнистость и гранность сферической поверхности при измерении на Телиронде соответственно 0,3-0,4 мкм и 0,6-1,3 мкм;
– при исправлении угла конуса шлифованием образующей в три прохода отклонений параметров сферической поверхности от утвержденной технической и нормативной документации не установлено.
4. Намерения: в случае признания заявляемого объекта изобретениями заключить договоры с Европейской подшипниковой корпорацией (ЕПК) на условиях предоставления права на открытую лицензию для проведения совместных промышленных испытаний, передачи технической документации и внедрения.
Использование Способа и станка в подшипниковой промышленности РФ позволит:
– повысить точность и стабильность радиуса сферической поверхности торцов конических роликов, повысить качество и форму сферической поверхности в 1,5 раза;
– повысить работоспособность в узлах без регулировки преднатяга у потребителей;
– повысить выход годных конических роликоподшипников с заданным гарантированным моментом трения до 98%.
Формула изобретения
1. Способ шлифования сферических торцов конических роликов, осуществляемый на станке в непрерывном потоке, отличающийся тем, что сферические торцы шлифуют с радиусом, меньшим заданного радиуса сферического торца на величину допускаемого отклонения, для чего используют исходные заготовки конических роликов с увеличенными размерами диаметра их большего основания и угла конуса, определяемыми из условия обеспечения заданных размеров диаметра большего основания и угла конуса на последующих проходах шлифования образующей конуса конических роликов.
2. Способ по п.1, отличающийся тем, что используют станок, содержащий два соосных вращающихся с разными скоростями в разные стороны диска с круговой подачей, причем шлифование сферических торцов ведут в угловых призмах, размещенных кольцеобразно на торце одного из дисков, и в магнитном поле кольцевого постоянного магнита, расположенного на торце второго диска, для предотвращения смещения мгновенного центра вращения заготовок роликов усилиями резания с оси дисков.
3. Способ по п.1, отличающийся тем, что увеличенные размеры исходных заготовок конических роликов для шлифования их сферических торцов определяют по формулам

 где Dп – увеличенный диаметр большего основания заготовок конических роликов, мм;
п – увеличенный угол конуса заготовок конических роликов при обработке сферического торца, град; dp – заданный диаметр малого основания заготовок конических роликов, мм; Rp – заданный радиус сферического торца, мм; Lp – заданная длина ролика, мм;
R – заданный допуск на радиус окончательно обработанного сферического торца, мм;
– припуск на сторону для последующего шлифования образующей конуса конического ролика, мм.
4. Способ по п.1, отличающийся тем, что допускаемое отклонение на угол конуса исходных заготовок роликов при обработке сферических торцов выбирают односторонним и направленным в сторону уменьшения угла конуса.
5. Станок для шлифования сферических торцов конических роликов в непрерывном потоке фасонным шлифовальным кругом, содержащий механизмы ориентации, загрузки и выгрузки, узлы для базирования и перемещения обрабатываемых заготовок, выполненные в виде двух сменных чашеобразных соосных дисков, установленных с возможностью вращения в разные стороны с разными скоростями и образующих рабочую зону, отличающийся тем, что один из дисков выполнен с торцом, имеющим круговой венец с радиально расположенными углублениями в виде угловых призм, а второй диск – с торцом, оснащенным кольцевым постоянным магнитом.
6. Станок по п.5, отличающийся тем, что использованы диски с рабочими поверхностями, отшлифованными при наладке станка с допусками, равными допуску на угол конуса исходных заготовок конических роликов при обработке сферических торцов, причем допуск на шлифование диска с кольцевым постоянным магнитом направлен в сторону уменьшения упомянутого угла, а диска с угловыми призмами – в сторону его увеличения.
7. Станок по п.5, отличающийся тем, что для ограничения осевого перемещения заготовок конических роликов усилиями резания и исключения возможного их защемления диск с угловыми призмами снабжен упруго деформированным волнообразным кольцом из плоской пружинной стали, расположенным в пазу, выполненном с внутренней стороны диска концентрично его оси, причем шаг волн упомянутого кольца равен шагу между центрами малых оснований заготовок конических роликов.
8. Станок по п.5, отличающийся тем, что механизм выгрузки конических роликов снабжен съемником из немагнитного материала, например листового фторопласта с рабочей поверхностью в виде клина для принудительного выталкивания обработанных роликов в демагнитизатор на размагничивание.
РИСУНКИ
|