|
|
(21), (22) Заявка: 2006126713/02, 22.11.2004
(24) Дата начала отсчета срока действия патента:
22.11.2004
(30) Конвенционный приоритет:
23.12.2003 DE 10361490.7 24.04.2004 DE 102004020132.3
(43) Дата публикации заявки: 27.01.2008
(46) Опубликовано: 27.04.2009
(56) Список документов, цитированных в отчете о поиске:
ЕР 0543014 А, 26.05.1993. SU 1787052 A3, 07.01.1993. SU 1816235 A3, 15.05.1993. US 6119500 A, 19.09.2000.
(85) Дата перевода заявки PCT на национальную фазу:
24.07.2006
(86) Заявка PCT:
EP 2004/013214 20041122
(87) Публикация PCT:
WO 2005/065853 20050721
Адрес для переписки:
129090, Москва, ул. Б. Спасская, 25, стр.3, ООО “Юридическая фирма Городисский и Партнеры”, пат.пов. Ю.Д.Кузнецову, рег. 595
|
(72) Автор(ы):
КНЕППЕ Гюнтер (DE), РОДЕ Вольфганг (DE)
(73) Патентообладатель(и):
СМС ДЕМАГ АГ (DE)
|
(54) СПОСОБ И ПРОКАТНАЯ КЛЕТЬ ДЛЯ МНОГОКРАТНОГО ВОЗДЕЙСТВИЯ НА ПРОФИЛЬ
(57) Реферат:
Изобретение предназначено для исключения при прокатке листов или лент отклонения от требуемого профиля из-за чрезмерного растяжения в краевых областях (четвертях), в прокатных клетях с рабочими валками, которые опираются на опорные валки или промежуточные валки с опорными валками. Регулировку очага деформации производят с помощью перемещения по оси валковых пар с криволинейными контурами. Исключение отклонений формы листов при значительной ширине спектра продуктов, которые проявляются в форме четвертичных волн, обеспечивается за счет того, что при образовании необходимого профиля очага деформации для двух выбранных положений смещения контуры валков валковой пары выполняют таким образом, что в очаге деформации они дают симметричный относительно центра прокатки профиль с максимумом профиля в центре прокатки, изменяющимся при смещении валков, в то время как контуры валков по меньшей мере второй валковой пары в очаге деформации образуют профиль, симметричный относительно центра прокатки с двумя одинаковыми, изменяющимися при смещении валков максимумами вне центра прокатки. Валки прокатной клети выполнены с соответствующими контурами. 2 н. и 14 з.п. ф-лы, 21 ил.
Изобретение касается способа, а также прокатной клети для прокатки листов или лент с рабочими валками, которые опираются на опорные валки или промежуточные валки и опорные валки, при этом регулировка профиля очага деформации осуществляется с помощью осевого перемещения пар валков, снабженных криволинейным контуром. Валки выбранной валковой пары имеют возможность попарно смещаться по оси относительно друг друга и каждый валок такой валковой пары снабжен криволинейным контуром, который придан установленным навстречу поверхностям обоих валков валковой пары по всей длине их бочек. Известные формы осуществления представлены четырехвалковыми клетями, шестивалковыми клетями и различными вариантами многовалковых клетей, которые выполнены как однопроходные клети, реверсивные клети или прокатные клети тандем.
При горячей прокатке изделий до небольшой конечной толщины и при холодной прокатке для обеспечения плоскостности имеет место задача устранения двух принципиально различных причин несоблюдения плоскостности при помощи одинаковых средств регулирования:
проектный профиль прокатываемого продукта, то есть распределение толщины прокатанного продукта по ширине продукта, необходимое для соблюдения плоскостности, уменьшается пропорционально номинальной толщине продукта от прохода к проходу. В частности при однопроходных прокатных клетях и реверсивных клетях регулирующие механизмы должны быть в состоянии реализовать соответствующую настройку,
в зависимости от фактического прижимного усилия, температуры прокатки и состояния износа валков происходит изменение от прохода к проходу высоты профиля, подлежащей компенсации с помощью регулирующих механизмов, а также распределение профиля. Регулирующие механизмы должны иметь возможность компенсировать изменения в форме и высоте профиля.
Прокатные клети с эффективными регулирующими механизмами для предварительной установки требуемого очага деформации и для регулирования очага деформации под нагрузкой описываются в документе ЕР 0 049 798 В1 и представляют таким образом уровень техники. При этом предусмотрено применение рабочих валков и/или опорных валков, и/или промежуточных валков, которые выполнены с возможностью смещения по оси относительно друг друга. Валки выполнены с криволинейным контуром поверхности, идущим к концу бочки, подобный контур предусмотрен на обоих валках валковой пары соответственно по расположенным навстречу поверхностям валков и проходит по всей длине бочек обоих валков, кроме того имеет соответствующую форму, так что оба контура бочек комплементарно дополняют друг друга исключительно в определенном осевом положении валков относительно друг друга. Благодаря такому мероприятию на форму очага деформации и таким образом на форму поперечного сечения прокатываемого продукта может быть оказано воздействие уже при самом небольшом перемещении валков, имеющих криволинейный контур, без необходимости непосредственной адаптации положения выполненных с возможностью смещения валков к ширине прокатываемого материала.
Признак комплементарного дополнения в определенном осевом положении описывается посредством пригодных функций, описывающих центрально симметричные относительно центра очага деформации точки. Предпочтительно применяется полином третьей степени. Так из ЕР 0543 014 В1 известна шестивалковая прокатная клеть с имеющими возможность осевого смещения промежуточными и рабочими валками, у которой промежуточные валки имеют выпуклость, которая центрально симметрична относительно центра клети, и эта выпуклость может быть описана уравнением третьей степени. Эта центрально симметричная относительно центра очага деформации функция контура валков проявляется в свободном от нагрузки очаге деформации полиномом второй степени, а именно параболой. Подобная форма очага деформации имеет особое преимущество, заключающееся в том, что он подходит для прокатки самых различных по ширине прокатываемых материалов. Достигаемое в результате смещения прокатных валков изменение высоты профиля позволяет производить адаптацию к изложенным выше факторам воздействия и перекрывает с высокой гибкостью большую часть требуемой регулировки профиля.
Установлено, что у названных валков параболический прогиб, идущий по всей длине бочки и описываемый квадратической составляющей, может компенсироваться. В частности, при очень большой ширине продукта выявились отклонения между установленным профилем и фактически требуемым профилем в виде чрезмерного удлинения в краевой области или в области четверти, которые проявлялись в форме так называемых четвертичных волн, которые можно устранить только с помощью более мощных дополнительных устройств, создающих прогиб, целесообразно в комбинации с зонным охлаждением.
Для устранения этого недостатка в документе ЕР 0 294 544 предлагается подобные четвертичные волны компенсировать за счет применения полиномов большей степени. Наиболее эффективным оказывается полином пятой степени, который при ненагруженном очаге деформации выражается полиномом четвертой степени, что по сравнению с полиномом второй степени более эффективно воздействует на отклонения плоскостности по ширине, составляющей примерно 70% от номинальной ширины.
Однако при таком контуре валков недостатком оказывается наличие того обстоятельства, что при перемещении валков при регулировке очага деформации это одновременно сказывается на четвертичных волнах. Оказалось невозможным с помощью одного исполнительного элемента решить две подобного рода различные задачи.
Задачей настоящего изобретения является устранение описанных выше проблем с помощью простого механизма и обеспечение дальнейшего улучшения регулирующих механизмов, а также стратегия получения абсолютно ровных листов или лент с заданным профилем толщины по всей ширине прокатываемого материала.
Поставленная задача решается с помощью отличительных признаков пункта 1 формулы изобретения за счет того, что регулировка очага деформации осуществляется посредством по меньшей двух валковых пар с различной криволинейностью контура, имеющих возможность независимо друг от друга перемещаться в осевом направлении, при этом различные контуры рассчитывают с помощью разложения необходимого профиля очага деформации, действующего в очаге деформации, на по меньшей мере два различных задаваемых профиля очага деформации и переноса их на валковую пару.
Предпочтительные варианты исполнения изобретения приведены в зависимых пунктах формулы изобретения. Прокатная клеть для прокатки листов или лент характеризуется признаками пункта 6 формулы изобретения, а также по другим зависимым пунктам формулы изобретения.
Согласно изобретению функция ненагруженного очага деформации, необходимая для регулировки профиля очага деформации, описывается первоначально для двух выбранных положений смещения в виде полинома n-ой степени с четными показателями степени. Каждая их этих двух функций, применяемых согласно уровню техники для валковой пары, согласно изобретению раскладывается в полином второй степени с известными положительными свойствами для предварительной регулировки и в остаточный полином с более высокими четными показателями степени, которые в центре валка дают 0 (высота профиля в центре валка идентична высоте профиля на его краях) и по обеим сторонам от центра прокатки имеются два максимума, которые пригодны для воздействия на четвертичные волны. Описываемыми по этим полиномам контурами снабжаются валки по меньшей мере двух валковых пар, выполненных с возможностью осевого перемещения независимо друг от друга, так что регулировка необходимого профиля очага деформации согласно изобретению осуществляется с помощью по меньшей мере двух валковых пар с различными контурами валков путем их независимого друг от друга осевого перемещения. Благодаря такому предложенному разложению контура валка известной валковой пары на, по меньшей мере, две валковые пары, выполненные с возможностью независимого осевого перемещения относительно друг друга, появляется таким образом возможность тонкого воздействия и коррекции очага деформации для получения абсолютно ровного листа или ленты с заданным профилем по толщине.
Математическое обоснование для реализации этой задачи будет описано с помощью ссылки на фигуру 1, в которой представлены параметры для составления функции, описывающей контур валков отдельной валковой пары (на фигуре индекс «0» для верхнего валка и индекс «u» для нижнего валка валковой пары):
Очаг деформации описывается функцией

при этом значение отдельных переменных изображено на фиг.1.
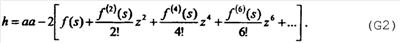
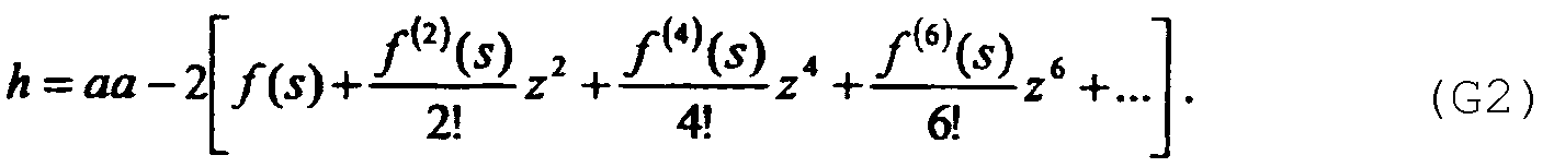
С помощью теоремы Тейлора и некоторых элементарных преобразований может быть получено уравнение в виде

Функция очага деформации таким образом представляется как разность из расстояния между осями валков и удвоенной суммы членов с четными степенями, соответственно в виде симметричной относительно центра клети функции. Этот результат очевидно определяется без задания определенной функции радиуса и поэтому справедлив для дифференцируемой функции. Выбранная функция радиуса влияет через свои производные только на коэффициенты при степенных членах.
По аналогии с валковой парой, имеющей симметричный контур, можно представить, что в клети находится валковая пара с симметричным контуром, не имеющая возможности смещаться, с заданным радиусом Ri (s,z). Контуры этих воображаемых валков изменяются симметрично относительно центра прокатки с помощью направленного в противоположную сторону смещения фактических валков.
Имеет место:

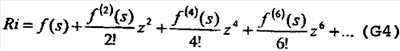
Согласно уравнению (G2) и (G3) заданный радиус Ri описывается функцией

Функция профиля каждого из двух выполненных с возможностью смещения реальных валков пусть задается:

После проведения необходимого дифференцирования согласно уравнению (G5) и подстановки результатов в уравнение (G4) будем иметь в распоряжении уравнение для заданного радиуса валка:

На фиг.2 представлено в матрице коэффициентов наглядное изображение коэффициентов уравнения (G6) до шестой степени и объединение в полином

c первоначально еще неизвестными коэффициентами ск, которые образуются по правилу (G6) из коэффициентов уравнения (G5).
Уравнение (G7) описывает профиль валка, который должен иметь заданный валок в определенном положении смещения. Для это, однако, следует разложить полином на отдельные полиномы, среди которых каждому члену может быть задан параметр величины, понятной для производственной практики.
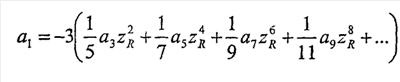
Разложение полинома n-ой степени на отдельные полиномы получается с помощью образования разности членов i-той степени с членами со следующей более низкой степенью и представляется ниже для полинома шестой степени.
В уравнение (G7) включаются отрицательные дополнительные члены с меньшим на 2 степенным порядком и коэффициенты qk, которые одновременно с положительным знаком прибавляются к следующей более низкой степени.

Получающийся равноценный полином упорядочивается новыми членами:

Члены этого уравнения представляют компоненты профиля отдельных степенных порядков по всему профилю. Согласно уравнению (G8) имеет место:

для номинального радиуса

для составляющей второй степени

для составляющей четвертой степени

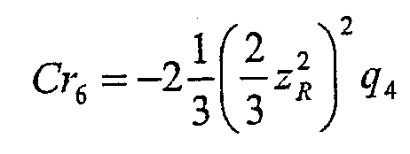
для составляющей шестой степени.
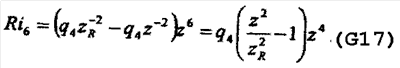
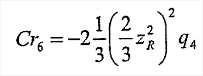
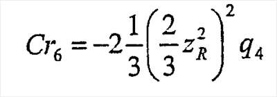
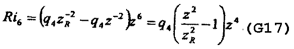
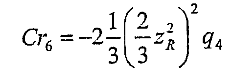
Дальнейший ход расчета показан на примере Ri6:
Простым преобразованием получаем:

Значения qk в (G10) до (G13) должны выбираться так, чтобы Rik при z = zR = b0/2 становилось равным 0, при этом b0 является эталонной шириной комплекта валков.

Отсюда следует

Значение q6 для максимальной, здесь учитываемой шестой степени равно 0, так как оно придано здесь несуществующей 8 степени. Поэтому численно также требуется начинать решение с более высокой степени.
Подставляя уравнение (G15) в уравнение (G14), получим

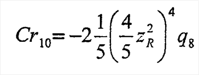
Это выражение является уравнением функции составляющей профиля шестой степени на всем профиле. При z =0 и z = zR получается, как требовалось, составляющая профиля 0. Максимальным значением этой функции является высота профиля, которая стремится к заданному значению.
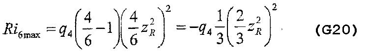
Максимальные значения могут быть получены, если приравнять первую производную 0

После подстановки нуля следует

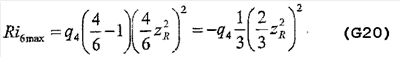
Подстановкой (G17) в (G16) дает собственно максимальное значение

Значения Rikmax идентичны составляющим профиля заданных валков. Так как изменен профиль валка, так называемое возвышение или высота профиля, пересчитывается диаметр валка,

Отношение между возвышением b и q-величинами

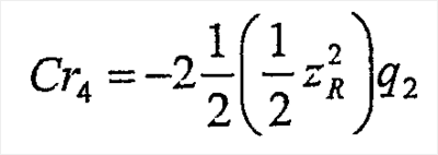
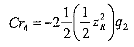
Расчет оставшихся членов Ri4 и Ri2 уравнения (G9) дает блок (G-21) уравнений:
Вторая степень:

Четвертая степень:

Шестая степень:

после проведенного расчета.
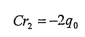
Член Ri0 уравнения (G9) может быть выбран в качестве номинального радиуса валка.
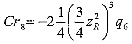
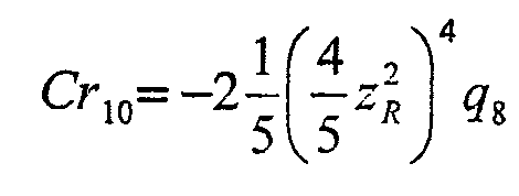
Как видно, полином может быть далее расширен путем продолжения ряда в направлении более высоких степеней. Для примера имеем
Восьмая степень:

и
Десятая степень:

Для определения коэффициентов в уравнении (G5) для функции полинома описывающего шлифовку валков следует выбрать два положения смещения s1 и s2, для которых соответственно следует установить желаемый профиль путем выбора значения возвышения от Cr2 до Crn. Между этими обоими профилями, например в максимальном и минимальном смещении, профили из-за смещения валков непрерывно изменяются. Так как отдельные степенные порядки могут определяться независимо друг от друга, отпадает важное требование комплементарного дополнения профиля валков от верхнего валка к нижнему валку. Однако при желании это легко делается, если для одного из двух свободно выбранных положений, характеризующих смещение, при необходимости вне реального пути смещения, будет установлено для всех порядков степеней одно значение высоты профиля, равное 0.
После выбора значений возвышения из блока уравнений (G21) получаются значения для qk. Значения для ck определяются по уравнению (G15), причем это уравнение аналогично блоку уравнений (G21) может быть расширено путем добавления других членов. После подстановки в уравнения (G10-G13) получаем в распоряжение полное описание функции отдельных порядков степеней. Весь профиль представляется согласно уравнению (G9) в форме отдельных лежащих друг на друге слоев и может быть рассчитан по идентичному уравнению (G7).
Расчет коэффициентов полинома для контуров, имеющих возможность перемещения валков, осуществляют с помощью композиции коэффициентов уравнения (G7) с уравнением (G6).
Уравнение (G7), как уже отмечалось выше, составлено для двух положений, получающихся в результате смещения, s1 и s2. Приравнивание двух уравнений (G7) к уравнению (G6) дает соответственно выбранному степенному порядку необходимые определяющие уравнения для коэффициентов а1 полинома для шлифовки валков. Отдельные определяющие уравнения могут быть определены непосредственно из схемы коэффициентов на фиг.2.
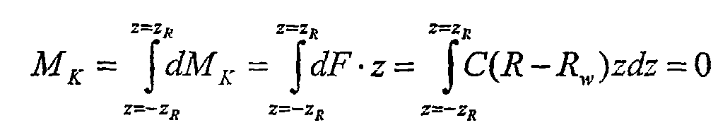
Коэффициент а1 остается неопределенным, так как не оказывает какого-либо влияния на форму профиля валка. Он определяет конусность валка и поэтому требуется другой критерий интерпретации, который в последующем должен истолковываться исходя из контакта профилированного валка с имеющим цилиндрическую форму промежуточным или опорным валком.
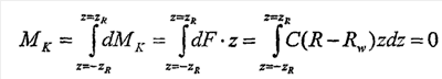
При прокатке в области контакта выпуклые области профиля профилированного валка превращаются благодаря упругим деформациям в цилиндрические области, что при определенных обстоятельствах ведет к непараллельности обоих валков относительно друг друга. Для устранения развода валков конусность а1 контура рабочего валка должна быть определена таким образом, чтобы средние линии обоих валков проходили параллельно друг другу. В этом случае в контактной зоне образуется начальная линия, которая также параллельна средним линиям обоих валков. Пусть радиус этой начальной линии относительно рабочего валка будет Rw. Через элемент длины dz рабочего валка элемент силы dF может быть определен как:

где С – отнесенный к длине модуль упругости сжатия (размерность Н/мм2).
Элемент силы dF определяет на расстоянии z элемента момента dMk, опрокидывающего валки. Таким образом, требуемая параллельность средних линий получается как интеграл элемента момента по контактной длине.

Отнесенный к длине модуль упругости может быть принят постоянным по длине контакта. Отсюда следует:
,
в качестве определяющего уравнения для уклона а1.
Подставляя из уравнения (G5) после интегрирования по эталонной ширине и некоторых элементарных преобразований, получаем определяющее уравнение для а1

Совершенно очевидно, что уравнение (G25) действительно и для профилированных валков, которые находятся в контакте с профилированным валком другой валковой пары, если коэффициент а1 этого контактирующего валка был определен также по уравнению (G25).
После дополнения расчета, проведенного с помощью уравнений (G14)-(G20), например, для шестой степени, для всех рассматриваемых порядков степеней оказалось, что для порядка степени выше 2 на заданном наборе валков и таким образом в очаге деформации всегда устанавливаются два лежащих симметрично относительно центра клети экстремальных значения, расстояние между которыми увеличивается с увеличением порядка степени. Порядок степени 2 имеет только одно экстремальное значение в центре набора валков. Таким образом, согласно изобретению предлагается, что одной валковой паре должен соответствовать полином с порядком степени 2 и второму валковому набору остаточный полином, который перекрывает все высшие порядки степени.
В зависимости от конструкции клети будут выбраны по меньшей мере две валковые пары. В шестивалковой клети, например, выполненные с возможностью перемещения промежуточные валки снабжены профилем, который в очаге деформации образует полином второй степени. Рабочие валки, выполненные с возможностью перемещения, пригодны для остаточного полинома и служат для воздействия на четвертичные волны или оказывают другое специальное воздействие. В зависимости от положения валковой пары в клети известным образом осуществляется увеличение высоты подлежащих регулировке профилей каждой валковой пары для улучшения воздействия на очаг деформации, в частности у находящейся на удалении от очага деформации валковой пары.
Предпочтительного, что даже при большой ширине прокатываемого материала с помощью смещения рабочих валков можно деликатным образом оказывать воздействие на четвертичные волны. Если этих четвертичных волн нет, то рабочие валки остаются в нулевой позиции и ведут себя как валки, которым не был придан контур.
Два максимума в остаточном полиноме находятся в одном положении симметрично относительно центра прокатки, который изменяется по степени полинома. Отсюда появляется – в зависимости от конструкции клети – возможность создания с помощью другой, выполненной с возможностью перемещения, валковой пары дальнейшего регулирования волн на одной восьмой ширины или краевых волн. Естественно, что остается возможность реализовать этот вариант простым путем с помощью замены валков.
В отдельном случае может оказаться целесообразным для валковой пары сформировать полином второй степени и включить дополнительно одну или несколько степеней. Это могло бы иметь смысл, когда клеть работает с близкой к постоянной шириной прокатываемого материала.
С помощью комбинации всех имеющихся в распоряжении форм профиля степеней от 2 до n возможно далее путем соответствующего расчета высоты профиля каждой степени создать совершенно специальные формы профилей и придать их валковой паре. Например, возможна форма профиля, при которой очаг деформации остается по существу параллельным и изменяется только в краевой области прокатываемого материала.
Дополнительное применение систем для изгиба рабочих или промежуточных валков, а также систем охлаждения валков предусматривается для динамической коррекции и для устранения недостатков в краевых областях.
Другие детали, особенности и признаки изобретения поясняются ниже с помощью примеров исполнения изобретения схематически изображенных на чертежах, которые отчетливо показывают эффективность предложенных мероприятий.
Ниже представлено:
Фиг.1 – параметры для составления функций, описывающих очаг деформации и валки,
Фиг.2 – схема коэффициентов функции Ri(s,z),
Фиг.3 – четырехвалковая прокатная клеть в схематичном поперечном сечении,
Фиг.3а и 3b – возможная область перемещения отдельной валковой пары на фиг.3,
Фиг.4 – шестивалковая прокатная клеть, схематическое изображение поперечного сечения,
Фиг.4а и 4b – возможная область перемещения отдельной валковой пары на фиг.4,
Фиг.5 – десятивалковая прокатная клеть, схематическое изображение поперечного сечения,
Фиг.5а – 5d – возможная область перемещения отдельной пары на фиг.5,
Фиг.6 и 7 – необходимый профиль очага деформации, образованный из профилей второй и четвертой степени для двух выбранных положений смещения +100/-100 мм,
Фиг.8 и 9 – результирующий контур валка для необходимого профиля очага деформации на фиг.6 и 7,
Фиг.10 и 11 – необходимый профиль очага деформации для профиля второй степени для двух выбранных положений смещения +100/-100 мм,
Фиг.12 и 13 – результирующий контур валка для необходимого профиля очага деформации на фиг.10 и 11,
Фиг.14 и 15 – необходимый профиль очага деформации для профиля четвертой степени для двух выбранных положений смещения +100/-100 мм,
Фиг.16 и 17 – результирующий контур валка для необходимого профиля очага деформации на фиг.14 и 15,
Фиг.18 и 19 – необходимый профиль очага деформации, образованный суммой профилей второй вплоть до шестнадцатой степени для двух выбранных положений смещения +100/-100 мм,
Фиг.20 и 21 – результирующий контур валка для необходимого профиля очага деформации на фиг.18 и 19.
Фигуры соответственно преобразования 1 и 2 были более подробно описаны выше.
На фиг.3-5 изображены возможные области перемещения отдельных выполненных с возможностью перемещения валковых пар (Р1, Р2, Р3) с различным криволинейным контуром на выбранных в качестве примера прокатных клетях (1, 11, 111). На фиг.3 представлен вид сбоку четырехвалковой клети 1. Она состоит из выполненной с возможностью перемещения валковой пары Р1, рабочих валков 2 и еще одной выполненной с возможностью перемещения валковой пары Р2, опорных валков 4. Между рабочими валками 2 через очаг деформации проходит прокатываемый материал 5.
На фиг.3а и 3b четырехвалковая клеть 1 изображена повернутой на 90°, там же показаны возможные области перемещения валковых пар Р1 и Р2. От центра прокатной клети 8 соответственно возможно перемещение центров валков 7 на величину sp1 для валковой пары Р1 и sp2 для валковой пары Р2 как вправо, так и влево. Перемещение ограничивается эталонной шириной b0, когда край валка смещен в область, граничную с краем прокатываемого материала, имеющего ширину, соответствующую эталонной ширине. На фиг.3 в качестве примера верхний валок валковой пары Р1 перемещен направо на sp1 и соответствующий нижний валок перемещен влево на sp1, в то время как верхний валок валковой пары Р2 смещен налево на sp2 и соответствующий нижний валок смещен направо на sp2. На фиг.3b это смещение выполнено в зеркальном отображении относительно фиг.3а. При совместном рассмотрении этих обеих экстремальных положений становится понятно, каким образом и до каких границ возможно перемещение обеих валковых пар Р1, Р2. Направление перемещения каждой валковой пары при этом не зависит от направления перемещения другой валковой пары.
На фиг.4 показан вид сбоку шестивалковой прокатной клети 11. Она состоит из имеющей возможность перемещения валковой пары Р1, рабочих валков 2, второй имеющей возможность перемещения валковой пары Р2, промежуточных валков 3 и еще одной не имеющей возможности перемещения валковой пары и опорных валков 4. На фиг.4а и 4b, в которых шестивалковая клеть 11, показанная на фиг.4, изображена повернутой на 90°, показаны возможные области перемещения валковых пар Р1 и Р2. Перемещение здесь осуществляется таким же образом, как показано на фиг.3а и 3b, вплоть до максимально возможных величин перемещения sp1, соответственно sp2, при этом здесь промежуточные валки 3, как валковая пара Р2, перенимают функции опорных валков 4 четырехвалковой клети 1 на фиг.3а и 3b. И в этом случае направление перемещения каждой валковой пары не зависит от направления перемещения другой валковой пары.
На фиг.5 показан вид сбоку десятивалковой клети 111, которая показана в качестве примера многовалковой клети. Она состоит из имеющей возможность перемещения валковой пары Р1, рабочих валков 2, имеющей возможность перемещения валковой пары Р2, промежуточных валков 31, другой имеющей возможность перемещения валковой пары Р3, промежуточных валков 311, а также двух пар промежуточных валков 41и 411.
На фиг.5а и 5b показана десятивалковая прокатная клеть 111, представленная на фиг.5, повернутая на 90°, на этих фигурах в разрезе по валкам 41-31-2-2-31-41 представлены возможные области перемещения валковой пары Р1, рабочих валков 2 и валковой пары Р2, установленных слева на фиг.5 промежуточных валков 31.Также и в этом случае максимальная величина перемещения составляет sp1, соответственно sp2.
Фиг.5с и 5d показывают в разрезе по валкам 411-311-2-2-311-411 еще раз валковую пару Р1, но в этот раз вместе с валковой парой Р3, таким образом с расположенными справа на фиг.5 промежуточными валками 311 с максимальным перемещением sp3.
Перемещение всех трех валковых пар происходит внутри максимальных значений sp1, sp2 и sp3 по направлению и величине независимо друг от друга.
Обе пары опорных валков 41 и 411 также и в этом примере исполнения десятивалковой прокатной клети 111 выполнены без возможности перемещения. На примере этой десятивалковой прокатной клети 111 понятно, что имеется большое число комбинаций при соответственно большом количестве имеющих возможность перемещения валковых пар с различными по кривизне контурами валков, парного перемещения валков и таким образом оказания деликатного воздействия на очаг 6 деформации.
На фигурах и соответственно диаграммах 6-21 в качестве примера для различных прокатных клетей 1, 11, 111 (см. фиг.3, 4, 5) с эталонной шириной 2000 мм (абсцисса дана в мм) показаны желательные области регулировки и форма очага деформации для соответственно двух выбранных положений смещения, для положения смещения +100 и для положения смещения -100 мм. Определение каждого необходимого профиля очага деформации для двух выбранных положений смещения +100 мм/-100 мм осуществляется с помощью выбора параметров профиля, которые определяются степенью полинома и высотой профиля, подлежащей реализации в рассматриваемом положении смещения. На фиг.6-17 была выбрана следующая высота профиля (ордината в мкм):
Для положения +100 мм: Вторая степень с высотой профиля 600 мкм
Четвертая степень с высотой профиля 50 мкм
Для положения -100 мм: Вторая степень с высотой профиля 200 мкм
Четвертая степень с высотой профиля -50 мкм
Высота профиля как функция полинома изменяется постоянно с изменением положения смещения между +100 и -100 мм. Следовательно, происходит и постоянное изменение очага деформации, который представляет сумму кривых функций выбранных полиномов.
Эта определенная выше высота профиля дает, как установлено, возможность с помощью элементарных математических приемов однозначно вычислить контуры верхнего и нижнего валков для эталонной ширины валковых пар Р1, Р2, Р3, с помощью которых может быть обеспечено постоянное изменение очага 6 деформации. Профиль очага 6 деформации идентичен кривой функции высоты очага деформации и изображен для сравнения с выбранным профилем. В зависимости от положения смещения на чертежах можно видеть часть контура, который проходит по всей длине валка.
На фиг.6 и 7 в форме изображения, предложенной согласно изобретению, необходимые профили очага деформации разделены для двух выбранных положений смещения, одной валковой пары, соответствующей уровню техники составляющей полинома второй степени и остаточного полинома четвертой степени.
Для положения смещения +100 мм при заданной высоте профиля получаются кривые для необходимого профиля 10 очага деформации, а также кривые 20, представляющие составляющую полинома второй степени, и кривые 22, представляющие составляющую остаточного полинома четвертой степени, которые изображены на фиг.6. На фиг.7 соответственно для положения смещения -100 мм для существенно меньшей высоты профиля приведены кривые для необходимого профиля очага 11 деформации, его составляющей полинома второй степени, кривая 21 и его составляющая в виде остаточного полинома четвертой степени, кривая 23.
В модификации уровня техники, то есть в предложенном согласно изобретению разделении придания контура валкам на по меньшей мере двух валковых парах Р1 и Р2, валки одной пары, например Р1, должны иметь такой контур, что они в двух выбранных положениях смещения создают симметричный профиль очага деформации второй степени 20 и 21. Валки второй валковой пары Р2 должны тогда иметь такой контур, чтобы они в своих выбранных положениях смещения образовывали бы необходимый профиль очага деформации четвертой степени, соответственно 22 и 23. Если две валковые пары Р1 и Р2 находятся в положениях, которые создают необходимый профиль очага деформации 20 и 22, то в очаге деформации получается результирующий профиль 10. В противоположных положениях смещения получается результирующий профиль 11. Чтобы определить контур валков валковой пары, требуется иметь всегда два необходимых профиля очага деформации для двух различных положений смещения. Положения смещения для выбранных валковых пар должны быть непременно различны.
На фиг.8 и 9 изображены контуры верхнего валка 30 и нижнего валка 301, которые определены расчетным путем по необходимому профилю 10 и 11 очага деформации, а именно при положении смещения +100 мм на фиг.8 и при положении смещения -100 мм на фиг.9. Из контуров валков 30 и 301 показаны только участки, лежащие в каждом положении смещения на эталонной ширине. Необходимые профили 10, 11 очагов деформации для целей сравнения изображены более жирно.
На фиг.10-17 показано, как контуры очага деформации, изображенные на фиг.6-9, с помощью полиномов второй и четвертой степени могут согласно изобретению переносится на две валковые пары, имеющие возможность смещаться относительно друг друга.
На фиг.10 и 11 показаны выбранные необходимые профили 20 и 21 очага деформации по фиг.6 и 7, описываемые полиномом второй степени.
Определенная высота профиля в положениях смещения приводит к контурам верхнего и нижнего валков 31, 311, изображенным на фиг.12 и 13, для эталонной ширины этих валковых пар Р1, Р2, Р3, с помощью которых может быть обеспечено постоянное изменение имеющего параболическую форму очага деформации между высотой необходимых профилей 20 и 21 очага деформации.
Равным образом фиг.14 и 15 показывают выбранные необходимые профили 22 и 23 известного из фиг.6 и 7 полинома четвертой степени. Они дают изображенные на фиг.16 и 17 контуры верхнего 32 и нижнего 321 валков, имеющие возможность постоянно изменяться внутри области перемещения.
С помощью валковой пары Р1, Р2, Р3, которая имеет профиль полинома четвертой степени, можно таким образом деликатно воздействовать в диапазоне от +50 до -50 мкм на так называемые четвертичные волны, не подвергая регулировку комплекта валков с профилем второй степени изменению, которое могло бы нанести ущерб.
На фиг.18-21 показано, что методика ни в коем случае не ограничивается применением полиномов второй и четвертой степени и воздействием на четвертичные волны.
На фиг.18 для положения смещения +100 мм требуется почти параллельный необходимый профиль 25 очага деформации, который должен открыться только на краях прокатываемого материала. Он образуется с помощью суммирования кривых функции 24 полиномов со степенью 2, 4, 6, 8, 10, 12, 14 и 16 с высотой профиля 400, 100, 60, 43, 30, 20, 14 и 10 мкм.
Профиль очага деформации должен постоянно изменяться при перемещении необходимого профиля очага деформации вплоть до 0. Поэтому на фиг.19 для противоположного положения смещения -100мм необходимый профиль 26 очага деформации требуется с высотой профиля, равной 0.
На фиг.20 и 21 представлены соответствующие контуры валков 33 для верхнего валка и 331 для нижнего валка. Видно увеличивающееся раскрытие очага деформации при уменьшении необходимого профиля очага деформации на краях прокатываемого продукта, который уменьшается до 0 при перемещении в направлении -100 мм (фиг.21). При -100 мм имеет место параллельный очаг деформации с небольшой s-образной кривизной на краях прокатываемого материала. Валковая пара, имеющая такое исполнение, позволяет деликатно корректировать уменьшение толщины на краях прокатываемого материала. Согласно изобретению подобным образом исполненная валковая пара может с преимуществом применяться в сочетании с валковой парой, имеющей параболический контур, соответственно фиг.10-13. Также при соответствующей конструкции клети возможно дополнительное включение корректировки с валками согласно фиг.14-17.
Изобретение не ограничено представленным примером исполнения. Так, формы профиля, получаемые в очаге деформации 6, валковой пары Р1, Р2, Р3, имеющей возможность перемещения, могут быть описаны с помощью двух свободно выбираемых симметричных профилей любой степени, которые соответствуют также свободно выбираемым положениям смещения. По предпочтительному исполнению изобретения при выборе формы профиля более чем одного порядка степени высоты профиля, соответствующие отдельным порядкам степеней, различны для двух свободно выбираемых положений смещения. Это имеет следствием то, что положение смещения для достижения высоты профиля, равной 0, различно для различных порядков степеней, так что комплементарное дополнение контуров валков сознательно избегается.
Альтернативной этому является то, что для одного из двух выбираемых положений смещения высота профиля для всех степеней приравнивается нулю, чтобы сделать обязательным комплементарное дополнение контуров в этом положении. Соответственно изобретению при этом выбранное положение для профиля 0 может также лежать вне реальной области перемещения.
Далее, согласно изобретению возможно, что при выборе формы профиля из более чем двух порядков степеней со степенями более 2 высота профиля для отдельных порядков степеней для двух свободно выбираемых положений смещения выбирается таким образом, что благодаря перемещению валков происходит непрерывное изменение расстояния между обоими максимумами профиля от минимума к максимуму.
Изобретение также не ограничивается применением полиномов. Так, например, без особых трудностей возможно отдельные валковые пары Р1, Р2, Р3 снабдить контуром, описываемым трансцендентными функциями или экспоненциальными функциями. Для этого трансцендентные или экспоненциальные функции математически раскладываются в степенные ряды.
Промышленное применение, соответственно фактическое перемещение отдельных валковых пар, осуществляется известным образом благодаря тому, что система перемещения валковых пар Р1, Р2, Р3 применяется в качестве системы регулирования в закрытой системе автоматического регулирования плоскостности. Путем измерения распределения растягивающих напряжений по ширине прокатываемой ленты достигается фактическая плоскостность ровность и сравнивается с проектной величиной. Отклонения по ширине ленты анализируются в части порядка степени и отдельным валковым парам Р1, Р2, Р3 согласно порядкам степени, подверженным их влиянию, придаются регулирующие показатели. Со ссылкой на пример, представленный на фиг.6 и 7, валковой паре для формирования необходимого профиля 20, 21 очага деформации придавались бы регулирующие показатели для устранения срединных волн, а валковой паре для формирования необходимого профиля 22, 23 очага деформации придавались бы регулирующие показатели для устранения четвертичных волн.
При большой толщине прокатываемого материала, при которой ошибки в форме профиля проявляются не в виде дефектов плоскостности, в систему регулирования вместо измерений плоскостности с помощью измерения распределения растягивающих напряжений поступают данные измерений непосредственно профиля в форме измерений распределения толщины профиля по ширине прокатываемого материала.
Перечень позиций
| 1 |
Четырехвалковая клеть |
| 11 |
Шестивалковая клеть |
| 111 |
Десятивалковая клеть |
| 2 |
Рабочие валки |
| 3, 31, 311 |
Промежуточные валки |
| 4, 41, 411 |
Опорные валки |
| 5 |
Прокатываемый материал |
| 6 |
Очаг деформации, поперечное сечение прокатываемого материала, вообще профиль очага деформации |
| 7 |
Центр валков |
| 8 |
Центр клети, центр прокатки |
| b0 |
Эталонная ширина |
| Р1, Р2, Р3 |
Валковая пара, имеющая возможность перемещения |
| 10 |
Результирующий необходимый профиль очага деформации второй и четвертой степени для положения смещения +100 мм |
| 11 |
Результирующий необходимый профиль очага деформации второй и четвертой степени для положения смещения -100 мм |
| 20 |
Необходимый профиль очага деформации второй степени для положения смещения +100 мм |
| 21 |
Необходимый профиль очага деформации второй степени для положения смещения -100 мм |
| 22 |
Необходимый профиль очага деформации четвертой степени для положения смещения +100 мм |
| 23 |
Необходимый профиль очага деформации четвертой степени для положения смещения -100 мм |
| 24 |
Необходимый профиль очага деформации от второй до шестнадцатой степени для положения смещения +100 мм |
| 25 |
Суммарный необходимый профиль очага деформации профилей из 24 |
| 26 |
Необходимый профиль очага деформации = 0 для положения смещения -100 мм |
| 30 |
Прокатный контур верхнего валка для необходимого профиля очага деформации по 10 и 11 |
| 301 |
Прокатный контур нижнего валка для необходимого профиля очага деформации по 10 и 11 |
| 31 |
Прокатный контур верхнего валка для необходимого профиля очага деформации по 20 и 21 |
| 311 |
Прокатный контур нижнего валка для необходимого профиля очага деформации по 20 и 21 |
| 32 |
Прокатный контур верхнего валка для необходимого профиля очага деформации по 22 и 23 |
| 321 |
Прокатный контур нижнего валка для необходимого профиля очага деформации по 22 и 23 |
| 33 |
Прокатный контур верхнего валка для необходимого профиля очага деформации по 25 и 26 |
| 331 |
Прокатный контур нижнего валка для необходимого профиля очага деформации по 25 и 26 |
Формула изобретения
1. Способ прокатки листов или лент в прокатной клети (1, 11, 111) с рабочими валками (2), которые опираются на опорные валки (4) или промежуточные валки (3, 31, 311) с опорными валками (4, 41, 411), при этом регулировка профиля (6) очага деформации осуществляется посредством осевого перемещения валковых пар (P1, P2, Р3), снабженных криволинейными контурами (30-331), отличающийся тем, что регулировку профиля очага деформации осуществляют по меньшей мере двумя имеющими возможность перемещаться по оси независимо друг от друга валковыми парами (Р1, P2, Р3) с различными по кривизне контурами (30, 301, 31, 311, 32, 321, 33, 331), при этом упомянутые контуры рассчитывают путем разложения описывающего профиль (6) очага деформации результирующего заданного профиля очага деформации (10, 11) по меньшей мере на два различных профиля (20, 21; 22, 23; 25, 26) очага деформации, которые придают валковым парам (Р1, P2, Р3).
2. Способ по п.1, отличающийся тем, что одной из двух валковых пар (Р1, P2, Р3), выполненных с возможностью осевого перемещения независимо друг от друга, приданы необходимые профили (20, 21) очага деформации второй степени, которые требуют криволинейных контуров валков третьей степени (31, 311), при этом в центре прокатки (8) формируется максимум профиля, изменяющийся при смещении валков, в то время как вторая валковая пара имеет необходимые профили (22, 23) очага деформации четвертой степени, которые требуют криволинейных контуров валков пятой степени (32, 321), вследствие чего образуется изменяющийся при смещении валков профиль очага деформации с двумя одинаковыми максимумами профиля, симметричными относительно центра (8) прокатки.
3. Способ по п.1, отличающийся тем, что первоначально осуществляют разложение результирующих необходимых профилей очага деформации (10, 11), подлежащих расчету для определения изменяющегося при смещении валков профиля очага деформации (6), в полином n-й степени с четными показателями, а затем его представляют в виде необходимых профилей (20, 21) очага деформации, описываемых полиномами второй степени, и необходимых профилей (22, 23, 25, 26) очага деформации, описываемых остаточными полиномами, которые перекрывают все более высокие порядки степени.
4. Способ по одному из пп.1-3, отличающийся тем, что для регулировки профиля (6) очага деформации применяют несколько валковых пар (P1, P2, Р3), формирующих необходимые профили (20, 21; 22, 23; 25, 26) очага деформации, при этом соответствующее расстояние максимумов полученного профиля очага деформации (6) различно относительно центра прокатки (8).
5. Способ по п.1, отличающийся тем, что для валковой пары (Р1, P2, Р3) необходимый профиль (25) очага деформации для положения при смещении определяют в виде суммы профилей (24) с четными степенями порядка 2, 4, 6 n путем выбора соответствующей высоты профиля таким образом, что на широкой области ширины получается квазипрямолинейная кривая необходимого профиля (25) очага деформации, которая отклоняется от прямой только в краевой области, при этом необходимый профиль (26) очага деформации для второго положения смещения для всех выбранных степеней дает высоту профиля, равную 0, благодаря чему между контурами валков (33, 331) получается квазипараллельный очаг деформации, который отклоняется от параллельности только в краевой области.
6. Прокатная клеть (1, 11, 111) для прокатки листов или лент с рабочими валками (2), которые опираются на опорные валки (4) или промежуточные валки (3, 31, 311) с опорными валками (4, 41, 411), при этом регулировка профиля очага деформации (6) осуществляется с помощью осевого перемещения валковых пар (P1, P2, Р3), снабженных криволинейными контурами (30-331), для осуществления способа по одному или нескольким предыдущим пунктам, характеризующаяся тем, что по меньшей мере две валковые пары (Р1, P2, Р3) выполнены с возможностью осевого перемещения независимо друг от друга и имеют различные контуры валков (30, 301; 31, 311; 32, 321), при этом контуры валков одной валковой пары (Р1, P2, Р3) выполнены таким образом, что они в очаге деформации формируют относительно центра прокатки (8) симметричный профиль (20, 21) с максимумом профиля в центре прокатки (8), изменяющимся при перемещении валков, в то время как контуры валков по меньшей мере одной другой валковой пары (Р1, P2, Р3) в очаге (6) деформации формируют симметричный профиль (22, 23) относительно центра прокатки (8), в котором имеются два одинаковых, изменяющихся при смещении валков максимума, симметричные относительно центра прокатки (8).
7. Прокатная клеть (1, 11, 111) по п.6, отличающаяся тем, что несколько валковых пар (Р1, P2, Р3) предусмотрены с двумя лежащими симметрично относительно центра прокатки (8) максимумами, при этом соответствующее расстояние максимумов до центра прокатки (8) различно.
8. Прокатная клеть (1, 11, 111) по п.6, отличающаяся тем, что на валковую пару (Р1, P2, Р3) с центральным максимумом профиля (20, 21) наложены дополнительные составляющие полинома более высокой степени.
9. Прокатная клеть (1, 11, 111) по одному из пп.6-8, отличающаяся тем, что имеющиеся в очаге (6) деформации формы профиля (20, 21; 22, 23; 25, 26) каждой валковой пары (Р1, P2, Р3), выполненной с возможностью перемещения, описываются двумя свободно выбираемыми симметричными профилями любой высоты степени, которые соответствуют двум равным образом свободно выбираемым положениям смещения.
10. Прокатная клеть (1, 11, 111) по п.9, отличающаяся тем, что при выборе формы профиля (20, 21; 22, 23; 25, 26) из более чем одного порядка степени, высота профиля, соответствующая отдельному порядку степени, различна для двух свободно выбираемых положений смещения, при этом отсутствует комплементарное дополнение контуров валков (30-331).
11. Прокатная клеть (1, 11, 111) по п.9, отличающаяся тем, что при выборе формы профиля (20, 21; 22, 23; 25, 26) из более чем двух порядков степени, регулировочные области отдельных порядков степени для двух свободно выбираемых положений смещения выбираются таким образом, что расстояние между обоими максимумами при смещении валков непрерывно изменяется от минимума к максимуму.
12. Прокатная клеть (1, 11, 111) по п.6, отличающаяся тем, что контуры валков (31, 311) валковой пары (P1, P2, Р3) с центральным максимумом профиля (20, 21) следуют математической функции полинома третьей степени, в то время как контуры (32, 321) валков (P1, P2, Р3) с двумя максимумами профиля (22, 23), лежащими симметрично относительно центра прокатки (8), следуют математической функции полинома пятой степени, которая в центре прокатки (8) и на краю эталонной ширины имеет высоту профиля 0.
13. Прокатная клеть (1, 11, 111) по п.6, отличающаяся тем, что для одного из двух выбираемых положений смещения высота профиля, соответствующая всем степеням полинома, устанавливается равной 0, посредством чего обеспечивается комплементарное дополнение контуров валков в этом положении смещения.
14. Прокатная клеть (1, 11, 111) по п.13, отличающаяся тем, что выбранное положение смещения для профиля 0 также лежит вне реальной области смещения.
15. Прокатная клеть (1, 11, 111) по п.6, отличающаяся тем, что свободно выбираемые коэффициенты для линейной составляющей профиля валков каждой валковой пары (P1, P2, Р3) выбираются таким образом, что оси каждого из двух валков валковой пары (Р1, P2, Р3) при прокатке идут параллельно осям валков, на которые они опираются.
16. Прокатная клеть по п.6, отличающаяся тем, что выполненные с возможностью перемещения промежуточные валки (3) шестивалковой прокатной клети (11) имеют контур (31, 311), который в очаге (6) деформации образует полином с центральным максимумом профиля (20, 21), и имеющие возможность перемещаться рабочие валки (2) выполнены с контуром (32, 321), который в очаге деформации (6) образует остаточный полином профиля (22, 23) с двумя максимумами, лежащими симметрично относительно центра прокатки (8).
РИСУНКИ
|
|