|
(21), (22) Заявка: 2006141628/15, 13.05.2005
(24) Дата начала отсчета срока действия патента:
13.05.2005
(30) Конвенционный приоритет:
25.05.2004 US 60/574,171
(43) Дата публикации заявки: 27.05.2008
(46) Опубликовано: 27.04.2009
(56) Список документов, цитированных в отчете о поиске:
US 4259337 А, 31.03.1981. WO 2004/024702 А1, 25.03.2004. RU 2167881 С2, 27.05.2001. Беликов В.Г. Фармацевтическая химия. – М.: Высшая школа, 1993, ч.1, с.43-47.
(85) Дата перевода заявки PCT на национальную фазу:
24.11.2006
(86) Заявка PCT:
IB 2005/001438 20050513
(87) Публикация PCT:
WO 2005/115389 20051208
Адрес для переписки:
129090, Москва, ул. Б.Спасская, 25, стр.3, ООО “Юридическая фирма Городисский и Партнеры”, пат.пов. Е.Е.Назиной, рег. 517
|
(72) Автор(ы):
КЕРЛИ Маркус Юджин мл. (US)
(73) Патентообладатель(и):
ПФАЙЗЕР ПРОДАКТС ИНК. (US)
|
(54) НОВОЕ ПРИМЕНЕНИЕ
(57) Реферат:
Изобретение относится к области медицины и ветеринарии и касается применения 4-трифторметилбензилового эфира
(S)-3-[3-(1-карбокси-1-метилэтокси)фенил]пиперидин-1-карбоновой кислоты в производстве лекарственного средства для паллиативной, профилактической или лекарственной терапии отрицательного энергетического баланса у жвачных животных, где данное заболевание выбрано из синдрома жировой инфильтрации печени, дистоции, иммунного нарушения, ослабленной иммунной функции, токсификации, первичных и вторичных кетозов, синдрома падающей коровы, расстройства пищеварения, утраты аппетита, задержки отделения плаценты, смещения сычуга, мастита, (эндо-)-метрита, бесплодия, низкой фертильности и хромоты. Изобретение обеспечивает высокую эффективность лечения. 2 н. и 4 з.п. ф-лы, 4 ил., 8 табл.
Область техники, к которой относится изобретение
Описанное здесь изобретение относится к новому применению агонистов рецептора, активируемого пероксисомальным пролифератором (PPAR), в частности к альфа агонистам PPAR, для терапии отрицательного энергетического баланса у жвачных животных, и более конкретно, для терапии заболевания, связанного с отрицательным энергетическим балансом (NEB) у жвачных животных.
Уровень техники
Переходный период у жвачных животных определяют как период, измеряемый от последней стадии беременности до начала лактации. Его иногда определяют от 3 недель до и до трех недель после отела, но расширяют и до 30 дней до отела до 70 дней после отела (J.N. Spain and W.A. Scheer, Tri-State Dairy Nutrition Conference, 2001, 13).
Энергетический баланс определяют как разницу между потребляемой энергией и израсходованной энергией, и считают, что животное имеет отрицательный энергетический баланс, если потребляемая им энергия является недостаточной для удовлетворения потребностей содержания и производства (например, молока). Корова в состоянии NEB вынуждена изыскивать энергию для удовлетворения дефицита из резервов ее тела. Поэтому коровы в состоянии NEB обычно теряют форму тела и живой вес, причем коровы, которые испытывают больший дефицит энергии, обычно теряют форму тела и вес ускоренными темпами.
Важно, чтобы минеральный и энергетический баланс и общее здоровье коровы в переходный период поддерживалось соответствующим образом, так как этот период является чрезвычайно важным для последующего состояния здоровья, производства и доходности молочных коров.
Жвачные животные удовлетворяют их потребности в глюкозе почти исключительно за счет глюконеогенеза в печени, так как в отличие от млекопитающих с однокамерным желудком, непосредственно из желудочно-кишечного тракта абсорбируется мало глюкозы. В период отела уменьшается потребление пищи и наблюдается дефицит пропионата, главного предшественника глюкогена, образуемого в рубце. Синтезу глюкозы также значительно способствует катаболизм аминокислот из пищевого рациона или из скелетной мышцы.
Также выделяются жирные кислоты с длинной цепью (или неэтерифицированные жирные кислоты, NEFA) из телесного жира.
NEFA, уже повышенные за 7 дней до отела, являются значительным источником энергии для коровы в течение раннего послеродового периода, и чем выше энергетический дефицит, тем выше концентрация NEFA в крови. Некоторые исследователи считают, что в период ранней лактации (Bell and references therein-см. выше) усвоение молочной железой NEFA объясняется образованием некоторого количества молочного жира. Циркулирующие NEFA поглощаются печенью и окисляются в митохондриях до диоксида углерода или кетоновых тел, включая 3-гидроксибутират, или реконвертируются в результате этерификации в триглицириды и хранятся. Считают, что у млекопитающих с однокамерным желудком вход NEFA в митохондрии регулируется ферментом карнитин-пальмитоилтрансферазой (CPT-1), однако ряд исследований показал, что у жвачных животных происходит малое изменение в активности CPT-1 во время переходного периода (Drackley-см. выше). Кроме того, способность печени синтезировать липопротеины очень низкой плотности для экспорта триглицеридов из печени является ограниченной.
Существенно, что если усвоение NEFA коровьей печенью становится избыточным, накопление кетоновых тел может привести к кетозу, и избыточное хранение триглицеридов может привести к жировой инфильтрации печени. Жировая инфильтрация печени может приводить к более длительному выздоровлению от других заболеваний, повышенной частоте возникновения проблем со здоровьем и развитию состояния “падающей коровы”, которое приводит к гибели коров.
Таким образом, жировая инфильтрация печени является метаболическим заболеванием жвачных животных, особенно высокопродуктивных молочных коров, в переходный период, которое отрицательно влияет на устойчивость к заболеваниям (смещение сычуга, хромота), иммунную функцию (маститы, метрит), репродуктивную способность (течка, интервал между отелами, жизнеспособность плода, кисты яичников, метрит, задержка отделения плаценты), и надой молока (максимальный надой, 305-дневный надой). Жировая инфильтрация печени развивается в значительной степени ко дню после отела и предшествует индуцированному (вторичному) кетозу. Это обычно происходит в результате повышенной этерификации NEFA, абсорбированной из крови, в сочетании с низкой способностью печени жвачного животного секретировать триглицериды в виде липопротеинов очень низкой плотности.
Путем улучшения энергетического баланса, или путем лечения отрицательного энергетического баланса, степень отрицательных последствий может быть уменьшена.
Длительное применение стимуляторов активности альфа PPAR (альфа рецептор, активируемый пероксисомальным пролифератором) у людей может обеспечивать терапевтические эффекты при лечении дислипидемии, болезни коронарных артерий и определенных врожденных дефицитов ферментов (P. T. Ines, P. Gervois, B. Staels, Current Opinion Lipidology, 1999, 10, 2, 151). Однако имеется много биологических, метаболических и физиологических различий между млекопитающими с однокамерным желудком и жвачными животными. Одним типичным и важным примером в контексте этой заявки является энергетический метаболизм, так как микробы почти исключительно в рубце переваривают углеводы в пище. Главными источниками для углеводов у коров являются поэтому летучие жирные кислоты, которые ресинтезируются в глюкозу в печени.
Ген PPAR альфа был также вовлечен у млекопитающих в ряд метаболических процессов путем регуляции генов, занятых в глюконеогенезе, кетогенезе, усвоении жирных кислот и окислении (M. C. Sugden, K. Bulmer, G. F. Gibbons, B. L. Knight, M. J. Holness, Biochem J., 2002,364, 361 ).
Совсем недавно Drackley выдвинул гипотезу, что дородовой рацион с высоким содержанием жиров может увеличивать экспрессию PPAR альфа, приводя к повышенному окислению в печени и пониженной этерификации жирных кислот в ткани печени коровы в переходный период. Однако описанное взаимодействие биологических процессов является сложным, и знание важных генов, ферментов и эндогенных субстратов, требующихся для оптимизации энергетического баланса, является ограниченным. Кроме того, неизвестно, как модификация экспрессии PPAR будет влиять на надой молока или его качество, липолиз или глюконеогенез, так как NEFA являются необходимыми субстратами как для биосинтеза молока, так и для биосинтеза глюкозы.
Имеется необходимость в безопасной, эффективной терапии отрицательного энергетического баланса у жвачных животных. В частности, имеется необходимость в терапии жвачных животных, таких как овцы и крупный рогатый скот, более конкретно овцы и крупный рогатый скот перед отелом, особенно молочные коровы перед отелом.
Более конкретно, имеется необходимость в безопасной, эффективной терапии заболевания жвачного животного, связанного с отрицательным энергетическим балансом у жвачных животных, которое включает первичные и вторичные кетозы, синдром падающей коровы, расстройство пищеварения, утрату аппетита, задержку отделения плаценты, смещение сычуга, нарушение иммунной функции, мастит, (эндо-)-метрит, бесплодие, низкую фертильность, хромоту, подострый ацидоз рубца и недостаточное поглощение питательных веществ, связанное со стрессом, например периодом течки, плохими условиями содержания, перенаселенностью, перевозкой, доминированием или болезнью.
Предпочтительно, чтобы терапия легко осуществлялась путем перорального или парентерального введения, предпочтительно, чтобы не присутствовали остатки лекарственного препарата в мясе и/или молоке, и предпочтительно, чтобы не требовался период, в течение которого молоко не употребляется. Также предпочтительно, чтобы терапия не была токсичной при кормлении и ухаживании за животным.
Мы открыли новое применение соединения формулы I для паллиативной, профилактической или лекарственной терапии отрицательного энергетического баланса у жвачных животных. В частности, мы открыли новое применение соединения формулы I для паллиативной, профилактической или лекарственной терапии заболевания жвачного животного, связанного с отрицательным энергетическим балансом у жвачных животных.
Одним аспектом изобретения является применение соединения формулы I, его изомера, пролекарства указанного соединения или изомера, или фармацевтически приемлемой соли указанного соединения, изомера или пролекарства, в производстве лекарственного средства для паллиативной, профилактической или лекарственной терапии отрицательного энергетического баланса у жвачных животных.
Другим аспектом изобретения является способ паллиативной, профилактической или лекарственной терапии отрицательного энергетического баланса у жвачных животных, который включает введение жвачному животному эффективного количества соединения формулы I, его изомера, пролекарства указанного соединения или изомера, или фармацевтически приемлемой соли указанного соединения, изомера или пролекарства.
Дополнительные аспекты изобретения определены в описании и формуле изобретения.
В неопубликованной предварительной патентной заявке США (US)60/574171, неопубликованной на дату приоритета настоящего изобретения, и которая была опубликована в качестве международной заявки (WO) 04/048334, описаны активаторы PPAR в качестве пригодных при различных заболеваниях, включая сердечно-сосудистые заболевания и нарушение обмена веществ.
В предварительной патентной заявке США (US) 60/574136 с датой приоритета настоящего изобретения раскрывается применение агонистов PPAR при росте уровней глюкозы в сыворотке крови жвачных животных.
Описание чертежей
На фигуре 1 приведены содержания триглицеридов в печени жвачного животного после отела, и после введения соединения формулы I.
На фигуре 2 приведены содержания NEFA в сыворотке крови жвачного животного после отела, и после введения соединения формулы I.
На фигуре 3 показан средний дневной надой молока у ста двадцати четырех стельных, нелактирующих коров, подвергнутых лечению агонистом PPAR, в сравнении с плацебо.
На фигуре 4 показан средний недельный выход белка у ста двадцати четырех стельных, нелактирующих коров, подвергнутых лечению агонистом PPAR, в сравнении с плацебо.
Сущность изобретения
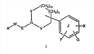
В качестве первого аспекта настоящего изобретения предлагается применение соединения формулы I, описанного в US 60/574171 и W004/048334:

его изомеров, пролекарств указанных соединений или изомеров, или фармацевтически приемлемых солей указанных соединений, изомеров или пролекарств;
где m и n каждый независимо означают 1 или 2;
V и Y каждый независимо представляют собой a) метилен или b) карбонил;
F и G каждый независимо представляют собой a) водород, b) галоген, c) (C1-C4) алкил, необязательно замещенный атомами фтора от одного до девяти, d) (C3-C6)циклоалкил, e) гидрокси, f) (C1-C4)алкокси или g) (C1-C4)алкилтио;
X является a) -Z или b) -B-C(R1R2)-Z;
B представляет собой a) окси, b) тио, c) сульфинил, d) сульфонил, e) метилен или f) -N(H)-;
Z представляет собой a) -C(O)OH, b) -C(O)O-(C1-C4)алкил, c) -C(O)O-(C0-C4)алкил-арил, d) -C(O)-NH2, e) гидроксиаминокарбонил, f) тетразолил, g)тетразолиламинокарбонил, h) 4,5-дигидро-5-оксо-1,2,4-оксадиазол-3-ил, i) 3-оксоизоксазолидин-4-ил-аминокарбонил, j) -C(O)N(H)SO2R4, или k)-NHSO2R4; где R4 представляет собой a) (C1-C6)алкил, b) амино или c) моно-N- или ди-N,N-(C1-C6)алкиламино, где (C1-C6)алкильные заместители в R4 необязательно независимо замещены атомами фтора от одного до девяти;
R1 представляет собой a) H, b) (C1-C4)алкил, или c) (C3-C6)циклоалкил;
R2 представляет собой a) H, b) (C3-C6)циклоалкил или c) полностью или частично насыщенную или полностью ненасыщенную линейную или разветвленную углеродную цепь, имеющую от одного до четырех членов; где углерод(ы) углеродной цепи могут необязательно быть заменены одним или двумя гетероатомами, выбранными независимо из кислорода и серы; и где сера является необязательно моно- или диоксо- замещенной;
где углерод(ы) углеродной цепи в R2 являются необязательно независимо замещенными следующим образом: a) углеродом(ами), необязательно моно-, ди- или тризамещенным(и) независимо галогеном, b) углеродом(ами), необязательно монозамещенным(и) гидрокси или (C1-C4)алкокси, и c) углеродом(ами), необязательно монозамещенным оксо; и
где углерод(ы) углеродной цепи в R2 являются необязательно монозамещенным Q;
где Q является полностью или частично насыщенным или полностью ненасыщенным кольцом, включающим от трех до восьми членов, необязательно имеющим от одного до четырех гетероатомов, выбранных независимо из кислорода, серы и азота, или является бициклическим кольцом, состоящим из двух конденсированных частично или полностью насыщенных, или полностью ненасыщенных колец, включающих от трех до шести членов, взятых независимо; где бициклическое кольцо необязательно имеет от одного до четырех гетероатомов, выбираемых независимо из кислорода, серы и азота;
где кольцо Q является необязательно моно-, ди- или тризамещенным независимо a) галогеном, b) (C2-C6)алкенилом, c) (C1-C6)алкилом, d) гидрокси, e) (C1-C6)алкокси, f) (C1-C4)алкилтио, g) амино, h) нитро, i) циано, j) оксо, k) карбокси, l) (C1-C6)алкилоксикарбонилом или m) моно-N- или ди-N,N-(C1-C6)алкиламино; где (C1-C6)алкил и (C1-C6)алкокси заместители на кольце Q являются необязательно моно-, ди- или тризамещенными независимо a) галогеном, b) гидрокси, c) (C1-C6)алкокси, d) (C1-C4)алкилтио, e) амино, f) нитро, g) циано, h) оксо, i) карбокси, j) (C1-C6)алкилоксикарбонилом или k) моно-N- или ди-N,N-(C1-C6)алкиламино; где (C1-C6)алкильный заместитель, который находится на кольце Q, также необязательно замещен атомами фтора, от одного до девяти;
или где R1 и R2 связаны вместе с образованием от трех- до шестичленного полностью насыщенного карбоциклического кольца, необязательно имеющего один гетероатом, выбранный из кислорода, серы и азота, с образованием гетероциклического кольца;
E представляет собой a) карбонил, b) сульфонил или c) метилен;
W представляет собой a) химическую связь, b) карбонил, c) -N(H)-, d) -N((C1-C4)алкил)-, e) (C2-C8)алкенил, f) окси, g) -(C1-C4)алкил-O-, h) -NH-(C1-C4)алкил- или i) -(C1-C6)алкил-; где (C1-C6)алкильные и (C2-C8)алкенильные группы в W могут необязательно быть моно- или дизамещенными независимо a) оксо, b) галогеном, c) (C1-C6)алкоксикарбонилом, d) (C1-C6)алкилом, e) (C2-C6)алкенилом, f) (C3-C7)циклоалкилом, g) гидрокси, h) (C1-C6)алкокси, i) (C1-C4)алкилтио, j) амино, k) циано, l) нитро, m) моно-N- или ди-N,N-(C1-C6)алкиламино или n) -NH-(C1-C6)алкиламино;
или где W является CR7R8, где R7 и R8 связаны вместе с образованием от трех- до шестичленного полностью насыщенного карбоциклического кольца;
A является a) моно-N- или ди-N,N-(C1-C6)алкиламино, b) (C2-C6)алканоиламино, c) (C1-C6)алкокси, d) частично или полностью насыщенным или полностью ненасыщенным кольцом, содержащим от трех до восьми членов, необязательно содержащим от одного до четырех гетероатомов, выбранных независимо из кислорода, серы и азота, или e) бициклическим кольцом, состоящим из двух конденсированных частично или полностью насыщенных или полностью ненасыщенных колец, содержащих от трех до шести членов, взятых независимо; где бициклическое кольцо необязательно имеет от одного до четырех гетероатомов, выбранных независимо из кислорода, серы и азота; и
где кольцо A является необязательно моно-, ди- или тризамещенным независимо a) оксо, b) карбокси, c) галогеном, d) (C1-C6)алкоксикарбонилом, e) (C1-C6)алкилом, f) (C2-C6)алкенилом, g) (C3-C7)циклоалкилом, h) (C3-C7)циклоалкил(C1-C6)алкилом, i) гидрокси, j) (C1-C6)алкокси, k) (C1-C4)алкилтио, l) (C1-C4)алкилсульфонилом, m) амино, n) циано, o) нитро, или p) моно-N- или ди-N,N-(C1-C6)алкиламино; где (C1-C6)алкильный и (C1-C6)алкоксильный заместители на кольце A являются также необязательно моно-, ди- или тризамещенными независимо a) галогеном, b) гидрокси, c) (C1-C4)алкилом, необязательно замещенным атомами фтора от одного до девяти, d) (C3-C6)циклоалкилом, e) (C1-C6)алкокси, f) амино или g) моно-N- или ди-N,N-(C1-C6)алкиламино;
или где кольцо A является необязательно монозамещенным частично или полностью насыщенным или полностью ненасыщенным кольцом, содержащим от трех до восьми членов, необязательно имеющим от одного до четырех гетероатомов, выбранных независимо из кислорода, серы и азота; также где это кольцо, имеющее от трех до восьми членов, является необязательно моно-, ди- или тризамещенным независимо a) галогеном, b) гидрокси, c) (C1-C4)алкилом, необязательно замещенным атомами фтора от одного до девяти, d) (C3-C7)циклоалкилом, e) (C1-C6)алкокси, необязательно замещенным атомами фтора от одного до девяти, f) амино, g) моно-N- или ди-N,N-(C1-C6)алкиламино или h) (C1-C4)алкилтио;
при условии, что:
1) когда V и Y являются каждая метиленом и m и n являются каждый единицей, образуя шестичленное пиперидинильное кольцо, это кольцо замещено фенильным кольцом (обозначенным как J), но не в 4-положении;
2) когда E является карбонилом, W является химической связью и X является -B-C(R1R2)-Z, где R1 и R2 каждый являются водородом, B является -О- или -N(H)-, и Z является -C(O)OH или -C(O)O-(C1-C4)алкилом, тогда один из F или G должен быть a) -(C1-C4)алкилом, b) (C3-C6)циклоалкилом, c) (C1-C4)алкокси или d) (C1-C4)алкилтио,
в производстве лекарственного средства для паллиативной, профилактической или лекарственной терапии отрицательного энергетического баланса у жвачных животных.
Более конкретно, в настоящем изобретении предлагается применение соединения формулы I с дополнительным условием, что:
3) когда E является карбонилом, W является химической связью, X является -Z, и Z является -C(O)OH, -C(O)O-(C1-C4)алкилом, -C(O)NH2, тогда один из F или G должен быть a) -(C1-C4)алкилом, b) (C3-C6)циклоалкилом, c) (C1-C4)алкокси или d) (C1-C4)алкилтио.
Более конкретно, в настоящем изобретении предлагается применение соединения формулы I, где V и Y являются каждый метиленом; или где один из V и Y является карбонилом, а другой является метиленом.
Более конкретно, в настоящем изобретении предлагается применение соединения формулы I, где E является карбонилом;
W представляет собой a) химическую связь, b) окси, c) -N(H)-, d) -N(H)-(C1-C4)алкил-, e) -(C1-C4)алкил-, f) -(C1-C4)алкил-О- или g) -CR7R8-, где R7 и R8 связаны вместе с образованием трехчленного полностью насыщенного карбоциклического кольца; и
A является частично или полностью насыщенным или полностью ненасыщенным кольцом, содержащим от трех до восьми членов, необязательно имеющее от одного до четырех гетероатомов, выбранных из кислорода, серы и азота;
где кольцо A является необязательно моно-, ди- или тризамещенным независимо a) оксо, b) карбокси, c) галогеном, d) (C1-C6)алкоксикарбонилом, e) (C1-C6)алкилом, f) (C2-C6)алкенилом, g) (C3-C7)циклоалкилом, h) (C3-C7)циклоалкил(C1-C6)алкилом, i) гидрокси, j) (C1-C6)алкокси, k) (C1-C4)алкилтио, l) (C1-C4)алкилсульфонилом, m) амино, n) циано, o) нитро или p) моно-N- или ди-N,N-(C1-C6)алкиламино; где (C1-C6)алкильный и (C1-C6)алкоксильный заместители на кольце A являются также необязательно моно-, ди- или тризамещенными независимо a) галогеном, b) гидрокси, c) (C1-C4)алкилом, необязательно замещенным атомами фтора от одного до девяти, d) (С3-С6)циклоалкилом, е) (С1-С6)алкокси, f) амино или g) моно-N- или ди-N,N-(C1-C6)алкиламино;
или где кольцо А является необязательно монозамещенным частично или полностью насыщенным или полностью ненасыщенным кольцом, содержащим от трех до восьми членов, необязательно имеющим от одного до четырех гетероатомов, выбранных независимо из кислорода, серы и азота; также где это кольцо, содержащее от трех до восьми членов, является необязательно моно-, ди- или тризамещенным независимо а) галогеном, b) гидрокси, с) (С1-С6)алкилом, необязательно замещенным атомами фтора от одного до девяти, d) (С3-С7)циклоалкилом, е) (С1-С6)алкокси, необязательно замещенным атомами фтора от одного до девяти, f) амино, g) моно-N- или ди-N,N-(C1-C6)алкиламино или h) (C1-C4)алкилтио.
Более конкретно, в настоящем изобретении предлагается применение соединения формулы I, где
А представляет собой а) фенил, необязательно независимо замещенный одним или двумя: 1) -(С1-С6)алкилом, 2) -CF3, 3) -OCF3, 4) -(С1-С6)алкокси, 5) (С3-С7)циклоалкилом, 6) галогеном, 7) -(С1-С4)алкилтио или 8) гидрокси; или b) тиазолилом, необязательно независимо замещенным 1) одним или двумя метилами или 2) фенилом, необязательно замещенным одним или двумя а) -(С1-С6)алкилом, b) -CF3, c) -OCF3, d) -(С1-С6)алкокси, e) (С3-С7)циклоалкилом, f) галогеном, g) -(С1-С4)алкилтио или h) гидрокси.
Более конкретно, в настоящем изобретении предлагается применение соединения формулы I,
где
F и G являются каждый независимо a) водородом, b) галогеном, c) (C1-C4)алкилом или d) (C1-C4)алкокси;
X является a) -Z или b) -B-C(R1R2)-Z;
B является a) окси, b) тио или c)-N(H)-;
Z является a) -C(O)OH, b)-C(O)O-(C1-C4)алкилом, c) -C(O)NH2 или d) тетразолилом;
R1 является a) водородом или b) метилом; и
R2 является a) водородом или b) полностью или частично насыщенной или полностью ненасыщенной линейной или разветвленной углеродной цепью, содержащей от одного до четырех членов; где углерод(ы) в углеродной цепи могут необязательно быть заменены одним или двумя гетероатомами, выбранными независимо из кислорода и серы;
где углерод(ы) углеродной цепи в R2 является (являются) необязательно монозамещенными Q;
где Q является частично или полностью насыщенным или полностью ненасыщенным кольцом, имеющим от трех до восьми членов, необязательно имеющим от одного до четырех гетероатомов, выбранных независимо из кислорода, серы и азота.
Более конкретно, в настоящем изобретении предлагается применение соединения формулы I, где
R1 является a) водородом или b) метилом; и
R2 является a) водородом, b) метилом или c) -О-CH2-фенилом.
Более конкретно, в настоящем изобретении предлагаются соединения, в которых
m является единицей, n является единицей и V и Y являются каждый метиленом с образованием пиперидинильного кольца;
X является -B-C(R1R2)-Z;
B является окси; и
фенильное кольцо (обозначенное как J) присоединено в 3-положении пиперидинильного кольца.
В частности, в настоящем изобретении предлагается применение соединения формулы I-A

где R1 и R2 являются каждый независимо a) водородом или b) метилом;
F и G являются каждый независимо a) водородом или b) метилом; и
Z является -C(O)OH.
В частности, в настоящем изобретении предлагается применение соединения формулы I-A, где
W является a) окси, b) -N(H)-, c) -N(H)-(C1-C4)алкил-, d) -(C1-C4)алкил- или e) -(C1-C4)алкил-O-; и
A является фенилом, необязательно замещенным a) -(C1-C4)алкилом, b) -CF3, c) -OCF3, d) -(C1-C4)алкокси, e) циклопропилом, f) галогеном, g) -(C1-C4)алкилтио или h) гидрокси.
В частности, в настоящем изобретении предлагается применение соединения формулы I-A, где
W является химической связью; и
A является тиазолилом, необязательно замещенным a) одним или двумя метилами, или b) -фенилом, необязательно замещенным 1) -(C1-C4)алкилом, 2) -CF3, 3) -OCF3, 4) -(C1-C4)алкокси, 5) циклопропилом, 6) галогеном или 7) -(C1-C4)алкилтио.
Более конкретно, в настоящем изобретении предлагается применение соединения формулы I, где
m является единицей, n является единицей и V и Y являются каждый метиленом с образованием пиперидинильного кольца;
X является -Z;
и
фенильное кольцо (обозначенное как J) присоединено в 3-положении пиперидинильного кольца.
В частности, в настоящем изобретении предлагается применение соединения формулы I-B

где F и G являются каждая a) водородом, b) метилом, c) фтором или d) метокси; и
Z является a) -C(O)OH, b) -C(O)O-(C1-C4)алкилом или c) -C(O)NH2.
Более конкретно, в настоящем изобретении предлагается применение соединения формулы I-B, где
W представляет собой a) -(C1-C4)алкил- или b) -(C1-C4)алкил-O-; и
A представляет собой фенил, необязательно замещенный a) -(C1-C4)алкилом, b) -CF3, c) -OCF3, d) -(C1-C4)алкокси, e) циклопропилом, f) галогеном или g) гидрокси.
Более конкретно, в настоящем изобретении предлагается применение соединения формулы I-B, где
W является химической связью; и
A представляет собой тиазолил, необязательно замещенный a) одним или двумя метилами или b) – фенилом, необязательно замещенным 1) -(C1-C4)алкилом, 2) -CF3, 3) -OCF3, 4) -(C1-C4)алкокси, 5) циклопропилом или 6) галогеном.
В частности, в настоящем изобретении предлагается применение соединений формулы I-C

где R1 и R2 являются каждый независимо a) водородом или b) метилом;
F и G являются каждый независимо a) водородом или b) метилом; и
Z является -C(O)OH.
Более конкретно, в настоящем изобретении предлагается применение соединения формулы I-C, где
W является a) окси, b) -N(H)-, c) -N(H)-(C1-C4)алкилом, d) -(C1-С4)алкил- или e) -(C1-C4)алкил-О-; и
A представляет собой фенил, необязательно замещенный a) -(C1-C4)алкилом, b) -CF3, c) -OCF3, d) -(C1-C4)алкокси, e) циклопропилом, f) галогеном, g) -(C1-C4)алкилтио или h) гидрокси.
Более конкретно, в настоящем изобретении предлагается применение соединения формулы I-C, где
W является химической связью; и
A представляет собой тиазолил, необязательно замещенный a) одним или двумя метилами или b) – фенилом, необязательно замещенным 1) -(C1-C4)алкилом, 2) -CF3, 3) -OCF3, 4) -(C1-C4)алкокси, 5) циклопропилом, 6) галогеном или 7) -(C1-C4)алкилтио.
В частности, в настоящем изобретении предлагается применение соединения формулы I-D

где F и G являются каждый независимо a) водородом, b) метилом, c) фтором или d) метокси; и
Z является a) -C(O)OH, b) -C(O)O-(C1-C4)алкилом или c) -C(О)NH2.
Более конкретно, в настоящем изобретении предлагается применение соединения формулы I-D, где
W является a) -(C1-C4)алкил- или b) -(C1-C4)алкил-O-; и
A является фенилом, необязательно замещенным a) -(C1-C4)алкилом, b) -CF3, c) -OCF3, d) -(C1-C4)алкокси, e) циклопропилом, f) галогеном, g) -(C1-C4)алкилтио или h) гидрокси.
Более конкретно, в настоящем изобретении предлагается применение соединения формулы I-D, где
W является химической связью; и
A представляет собой a) тиазолил, необязательно замещенный 1) одним или двумя метилами или 2) – фенилом, необязательно замещенным i) -(C1-C4)алкилом, ii) -CF3, iii) -OCF3, iv) -(C1-C4)алкокси, v) циклопропилом или vi) галогеном; или b) фенилом, необязательно замещенным 1) -(C1-C4)алкилом, 2) -CF3, 3) -OCF3, 4) -(C1-C4)алкокси, 5) циклопропилом, 6) галогеном или 7) -(C1-C4)алкилтио.
Более конкретно, в настоящем изобретении предлагается применение соединений формулы I, приводимых далее в качестве примеров в экспериментальной части.
Другим аспектом изобретения является применение соединения формулы I в производстве лекарственного средства для паллиативной, профилактической или лекарственной терапии заболевания жвачного животного, связанного с отрицательным энергетическим балансом у жвачных животных.
Другим аспектом изобретения является применение соединения формулы I в производстве лекарственного средства для паллиативной, профилактической или лекарственной терапии отрицательного энергетического баланса у жвачных животных, у которых предотвращается или ослабляется избыточное накопление триглицеридов в ткани печени, и/или предотвращается или ослабляется избыточное повышение уровней неэтерифицированных жирных кислот в сыворотке крови.
Другим аспектом изобретения является применение соединения формулы I в производстве лекарственного средства для паллиативной, профилактической или лекарственной терапии заболевания жвачного животного, связанного с отрицательным энергетическим балансом у жвачных животных, у которых предотвращается или ослабляется избыточное накопление триглицеридов в ткани печени, и/или предотвращается или ослабляется избыточное повышение уровней неэтерифицированных жирных кислот в сыворотке крови.
Болезнь жвачного животного, связанная с отрицательным энергетическим балансом у жвачных животных, упоминаемая здесь в аспектах изобретения, предпочтительно включает одно или более заболеваний, выбранных независимо из синдрома жировой инфильтрации печени, дистоции, иммунного нарушения, ослабленной иммунной функции, токсификации, первичных и вторичных кетозов, синдрома падающей коровы, расстройства пищеварения, утраты аппетита, задержки отделения плаценты, смещения сычуга, мастита, (эндо-)-метрита, бесплодия, низкой фертильности, хромоты, подострого ацидоза рубца и недостаточного поглощения питательных веществ, связанного со стрессом, например периодом течки, плохими условиями содержания, перенаселенностью, перевозкой, доминированием или болезнью. Изобретение также дает возможность модифицировать стандартный рацион дойной коровы для поддержания соответствующего энергетического баланса.
Болезнь жвачного животного, связанная с отрицательным энергетическим балансом у жвачных животных, упоминаемая здесь в аспектах изобретения, еще более предпочтительно включает одно или более заболеваний, выбранных из синдрома жировой инфильтрации печени, первичного кетоза, синдрома падающей коровы, (эндо-)-метрита и низкой фертильности.
Другим аспектом изобретения является применение соединения формулы I для повышения фертильности, включая снижения срока восстановления способности к репродукции, нормальную цикличность течки, повышенную степень оплодотворения и повышенную жизнеспособность плода.
Другим аспектом изобретения является применение соединения формулы I для производства лекарственного средства для управления эффективным гомеорезисом для согласования отела и лактогенеза.
Другим аспектом изобретения является применение соединения формулы I для производства лекарственного средства для улучшения или поддержания функционирования печени жвачного животного и гомеостатических сигналов в течение переходного периода.
В одном аспекте изобретения соединение формулы I вводят в течение периода от 30 дней до отела до 70 дней после отела.
В другом аспекте изобретения соединение формулы I вводят до отела и, необязательно, также во время отела.
В еще одном аспекте изобретения соединение формулы I вводят после отела.
В еще одном аспекте изобретения соединение формулы I вводят во время отела.
Более предпочтительно, чтобы соединение формулы I вводили в течение периода от 3 недель до отела и до 3 недель после отела.
В другом аспекте изобретения соединение формулы I вводят до трех раз в течение первых семи дней после отела.
Предпочтительно, чтобы соединение формулы I вводили однократно в течение первых 24 часов после отела.
В другом аспекте изобретения соединение формулы I вводят до отела и до четырех раз после отела.
В другом аспекте изобретения соединение формулы I вводят при отеле и затем до четырех раз после отела.
Другим аспектом изобретения является применение соединения формулы I в производстве лекарственного средства для паллиативной, профилактической или лекарственной терапии отрицательного энергетического баланса у жвачных животных, и для повышения качества молока жвачного животного и/или надоя молока.
В предпочтительном аспекте изобретения повышение качества молока устанавливается по снижению уровней кетоновых тел в молоке жвачного животного.
В другом аспекте изобретения увеличивается максимальный надой.
Жвачным животным предпочтительно является корова или овца.
В другом аспекте изобретения общее увеличение надоя молока у жвачного животного получают в течение 305 дней периода лактации у коровы.
В другом аспекте изобретения общее увеличение надоя молока у жвачного животного получают в течение первых 60 дней периода лактации у коровы.
Общее увеличение надоя молока у жвачного животного или увеличение максимального надоя или повышение качества молока получают предпочтительно от молочной коровы.
В другом аспекте изобретения повышение качества молока у жвачного животного и/или повышение надоя молока получают после введения соединения формулы I здоровому жвачному животному.
В другом аспекте изобретения предлагается соединение формулы I для применения в ветеринарии.
В предпочтительном аспекте изобретения предлагается соединение формулы I для применения при паллиативной, профилактической или лекарственной терапии отрицательного энергетического баланса у жвачных животных.
В еще одном более предпочтительном аспекте изобретения предлагается соединение формулы I для применения при паллиативной, профилактической или лекарственной терапии заболевания жвачного животного, связанного с отрицательным энергетическим балансом у жвачных животных, в котором предпочтительно болезнь выбирают из синдрома жировой инфильтрации печени, дистоции, иммунного нарушения, ослабленной иммунной функции, токсификации, первичных и вторичных кетозов, синдрома падающей коровы, расстройства пищеварения, утраты аппетита, задержки отделения плаценты, смещения сычуга, мастита, (эндо-)-метрита, бесплодия, низкой фертильности, хромоты, подострого ацидоза рубца и недостаточного поглощения питательных веществ, связанного со стрессом, например периодом течки, плохими условиями содержания, перенаселенностью, перевозкой, доминированием или болезнью.
В другом аспекте изобретения предлагается соединение формулы I для применения при паллиативной, профилактической или лекарственной терапии отрицательного энергетического баланса у жвачных животных, и для повышения количества и/или качества молока жвачного животного.
В другом аспекте изобретения предлагается набор для паллиативной, профилактической или лекарственной терапии отрицательного энергетического баланса у жвачных животных, включающий: a) соединение формулы I, и b) необязательно, один или более фармацевтически приемлемых носителей, наполнителей или разбавителей, и c) упаковку, вмещающую в себя a) и необязательно b).
Набор предпочтительно предназначен для паллиативной, профилактической или лекарственной терапии заболевания жвачного животного, связанного с отрицательным энергетическим балансом у жвачных животных.
Более предпочтительно набор предназначен для паллиативной, профилактической или лекарственной терапии синдрома жировой инфильтрации печени, дистоции, иммунного нарушения, ослабленной иммунной функции, токсификации, первичных и вторичных кетозов, синдрома падающей коровы, расстройства пищеварения, утраты аппетита, задержки отделения плаценты, смещения сычуга, мастита, (эндо-)-метрита, бесплодия, низкой фертильности и хромоты.
Еще более предпочтительно, чтобы набор дополнительно содержал инструкции по паллиативной, профилактической или лекарственной терапии заболевания жвачного животного, связанного с отрицательным энергетическим балансом у жвачных животных.
Термин “переходный период” означает период от 30 дней до отела и до 70 дней после отела.
Используемый здесь термин “подвергать лечению”, “лечение”, “виды лечения” или “терапия” включает профилактическую, паллиативную или лекарственную терапию.
Используемый здесь термин “отрицательный энергетический баланс” означает, что поступающая с пищей энергия не удовлетворяет требованиям содержания и продуктивности (молочной).
Используемый здесь термин “корова” включает телку, отелившуюся первый раз, и отелившуюся несколько раз корову.
Термин “здоровое жвачное животное” означает, что жвачное животное не проявляет признаков следующих симптомов: синдрома жировой инфильтрации печени, дистоции, иммунного нарушения, ослабленной иммунной функции, токсификации, первичных и вторичных кетозов, синдрома падающей коровы, расстройства пищеварения, утраты аппетита, задержки отделения плаценты, смещения сычуга, мастита, (эндо-)-метрита, бесплодия, низкой фертильности и/или хромоты.
Используемый здесь термин “качество” молока относится к уровням в молоке белка, жира, лактозы, соматических клеток и кетоновых тел. Повышение качества молока достигается при увеличении содержания жира, белка или лактозы, или при снижении уровня соматических клеток или уровня кетоновых тел.
Увеличение надоя молока может означать увеличение содержания сухих веществ молока или молочного жира или молочного белка, так же как, или вместо этого, увеличение объема надоя молока.
Применяемый здесь термин “избыточное накопление триглицеридов” означает их содержание в ткани печени выше физиологической нормы 10 мас.%.
Применяемый здесь термин “чрезмерное повышение уровней неэтерифицированных жирных кислот в сыворотке крови” означает уровни неэтерифицированных жирных кислот в сыворотке крови выше, чем 800 мкмоль/л.
Если не указано иначе, термин “до отела” означает период 3 недели перед днем отела.
Если не указано иначе, термин “после отела” означает период 6 недель после момента изгнания новорожденного из матки.
Термин “при отеле” означает период 24 часа после момента изгнания новорожденного из матки.
Термин “период беременности” означает период от начала дородового периода до конца послеродового периода.
Термин “фармацевтически приемлемый” означает что носитель, разбавитель, среда, наполнитель и/или соль должны быть совместимы с другими ингредиентами состава лекарственного средства и не опасны для принимающего их реципиента.
Применяемый здесь термин “терапевтически эффективное количество соединения” означает количество, которое является эффективным для проявления терапевтической или биологической активности в месте (местах) действия у жвачного животного без чрезмерного вредного побочного действия (такого как чрезмерная токсичность, раздражение или аллергическая реакция), соизмеряемое с разумным соотношением польза/риск при применении по настоящему изобретению.
При упоминании применения соединений в настоящем изобретении предполагается, что они всегда включают все активные формы таких соединений, включая, например, их свободную форму, например форму свободной кислоты или основания, а также все пролекарства, полиморфы, гидраты, сольваты, таутомеры, стереоизомеры, например диастереомеры и энантиомеры, и другие подобные соединения, и все фармацевтически приемлемые описанные выше соли, если не указано иначе. Следует также учитывать, что здесь также включено применение соответствующих активных метаболитов таких соединений в любой подходящей форме.
Выражение “пролекарство” относится к соединениям, которые являются предшественниками лекарственного средства и после введения высвобождают лекарственное средство in vivo в результате какого-либо химического или физиологического процесса (например, пролекарство, подвергнутое действию физиологического pH или действию фермента, превращается в требуемую лекарственную форму).
Примеры пролекарств, которые при расщеплении высвобождают свободную кислоту, и такие гидролизуемые эфирообразующие остатки соединений формулы I, включают, но этим не ограничиваясь, те, которые имеют карбоксильный фрагмент, в котором свободный водород замещается (C1-C4)алкилом, (C2-C7)алканоилоксиметилом, 1-(алканоилокси)этилом, имеющим от 4 до 9 углеродных атомов, 1-метил-1-(алканоилокси)этилом, имеющим от 5 до 10 углеродных атомов, алкоксикарбонилоксиметилом, имеющим от 3 до 6 углеродных атомов, 1-(алкоксикарбонилокси)этилом, имеющим от 4 до 7 углеродных атомов, 1-метил-1-(алкоксикарбонилокси)этилом, имеющим от 5 до 8 углеродных атомов, N-(алкоксикарбонил)аминометилом, имеющим от 3 до 9 углеродных атомов, 1-(N-(алкоксикарбонил)амино)этилом, имеющим от 4 до 10 углеродных атомов, 3-фталидилом, 4-кротонолактонилом, гамма-бутиролактон-4-илом, ди-N,N-(C1-C2)алкиламино(C2-C3)алкилом (таким как -диметиламиноэтил), карбамоил-(C1-C2)алкилом, N,N-ди(C1-C2)алкилкарбамоил-(C1-C2)алкилом и пиперидино-, пирролидино- или морфолино(C2-C3)алкилом.
Описания примеров кольца (колец), описания типичных колец, содержащихся в соединениях формулы (I), и описания других элементов, применяемых в формуле (I) и в разделах способов получения, включая меченые изотопами соединения, приведены в заявке US 60/574171 и в заявке WO04/048334 на стр.37-41, содержание которых приводится здесь путем соответствующей ссылки.
Подробное описание изобретения
В целом соединения, применяемые в настоящем изобретении, могут быть получены способами, включающими известные в химии способы, описанные в US60/574171 и в WO04/048334, на стр.41-67, содержание которых приводится здесь путем соответствующей ссылки.
Пролекарства соединений формулы I могут быть получены способами, известными специалистам в этой области и описанными в US60/574171 и в WO04/048334, на стр. 68-69, содержание которых приводится здесь путем соответствующей ссылки.
Некоторые из соединений формулы I, применяемые в настоящем изобретении, или промежуточные соединения в их синтезах имеют асимметричные углеродные атомы и поэтому являются энантиомерами или диастереомерами. Способы разделения диастереомерных и энантиомерных смесей включают хорошо известные специалистам в этой области способы, и они дополнительно описаны в US60/574171 и в WO04/048334, на стр.84, содержание которых приводится здесь путем соответствующей ссылки.
Некоторые из соединений формулы I, применяемые в настоящем изобретении, являются кислотными, и они образуют соль с фармацевтически приемлемым катионом. Некоторые из соединений формулы I, применяемые в настоящем изобретении, являются основными, и они образуют соль с фармацевтически приемлемым анионом. Все такие соли входят в объем настоящего изобретения, и они могут быть получены традиционными способами, такими как взаимодействие кислотных и основных структур, обычно в стехиометрическом соотношении, или в водной, неводной или частично водной среде, по обстоятельствам. Соли выделяют или фильтрацией, осаждением нерастворителем с последующей фильтрацией, испарением растворителя, или, в случае водных растворов, лиофилизацией, по обстоятельствам. Соединения могут быть получены в кристаллической форме растворением в соответствующем растворителе (растворителях), таком как этанол, гексаны или смеси вода/этанол.
Для специалиста в этой области очевидно, что некоторые из представленных здесь соединений могут существовать в нескольких таутомерных формах. Все такие таутомерные формы рассматриваются как часть настоящего изобретения. Например, все енольные и кетоформы соединений формулы I, применяемых в настоящем изобретении, входят в это изобретение.
Кроме того, когда соединения формулы I, применяемые в настоящем изобретении, образуют гидраты или сольваты, они также входят в объем настоящего изобретения.
Соединения формулы I для применения в настоящем изобретении, их пролекарства и соли таких соединений и пролекарства – все адаптированы для терапевтического применения в качестве средств, которые стимулируют активность рецептора, активируемого пероксисомальным пролифератором (PPAR) у жвачных животных. Таким образом, считается, что соединения для применения в настоящем изобретении путем активации рецептора PPAR стимулируют транскрипцию главных генов, участвующих в окислении жирной кислоты. В силу их активности эти средства также снижают уровни триглицеридов и NEFA в плазме и предотвращают накопление триглицеридов в печени жвачных животных.
Применение соединений формулы I по настоящему изобретению, их пролекарств и солей таких соединений и лекарств в качестве средств при терапии выше описанных заболеваний/состояний жвачных животных демонстрируется активностью соединений настоящего изобретения в анализах, описанных ниже.
FRET анализ PPAR
Измерение рекрутмента коактиватора с помощью ядерного рецептора после ассоциации рецептор-лиганд является методом оценки способности лиганда продуцировать функциональную реакцию посредством ядерного рецептора. FRET анализ (резонансный перенос энергии флуоресценции) PPAR измеряет лиганд-зависимое взаимодействие между ядерным рецептором и коактиватором. GST/PPAR( , , и ) лиганд-связывающий домен (LBD) метят с помощью меченого европием анти-GST антитела, в то время как SRC-1 (коактиватор стероидного рецептора-1) синтетического пептида, содержащего аминогруппу на конце длинноцепочечной молекулы биотина, метят с помощью связанного со стрептавидином аллофикоцианина (APC). Связывание лиганда с PPAR LBD вызывает конформационное изменение, которое позволяет связать SRC-1. При связывании SRC-1 донорная FRET молекула (европий) входит в непосредственную близость с акцепторной молекулой (APC), вызывая перенос энергии флуоресценции между донором (337 нм возбуждение и 620 нм эмиссия) и акцептором (620 нм возбуждение и 665 нм эмиссия). Увеличение отношения 665 нм эмиссии к 620 нм эмиссии является мерой способности лиганд-PPAR LBD к рекрутменту SRC-1 синтетического пептида и, следовательно, мерой способности лиганда продуцировать функциональную реакцию через PPAR рецептор.
[1] GST/PPAR LBD экспрессия. Человеческий PPAR LBD (аминокислоты 235-507) соединяют с концевой карбоксильной группой глутатион-S-трансферазы (GST) в pGEX-6P-1 (Pharmacia, Piscataway, N.J.). GST/PPAR LBD слитый белок экспрессируют в BL21[DE3]pLysS клетки с использованием 50 мкМ IPTG индукции при комнатной температуре в течение 16 часов (клетки, индуцированные при A600 0,6). Слитый белок очищают на гранулах глютатион-сефарозы 4В, элюируют в 10 мМ восстановленный глютатион, и проводят диализ против 1xPBS при 4°C. Слитый белок определяют количественно с помощью анализа по Брэдфорду (M. M. Bradford, Analst. Biochem. 72:248-254; 1976), и хранят при -20°C в 1xPBS, содержащим 40% глицерина и 5 мМ DTT.
[2] FRET анализ. Реакционная смесь для FRET анализа состоит из 1 x FRET буфера (50 мМ Tris-Cl pH 8,0, 50 мМ KCl, 0,1 мг/мл BSA, 1 мМ EDTA, и 2 мМ DTT), содержащего 20 нМ GST/PPAR LBD, 40 нМ SRC-1 пептида (аминокислоты 676-700, 5′-длинноцепочечной биотин-CPSSHSSLTERHKILHRLLQEGSPS-NH2, поставляемый фирмой American Peptide Co., Sunnyvale, CA), 2 нМ соединенного с европием анти-GST антитела (Wallac, Gaithersburg, MD), 40 нМ соединенного с стрептавидином APC (Wallac), и контрольных и тестируемых соединений. Конечный объем доводят до 100 мкл водой и переносят в черный 96-луночный планшет (Microfuor B, Dynex (Chantilly, VA)). Реакционные смеси инкубируют в течение 1 часа при 4°C и измеряют флуоресценцию в планшет-ридере Victor 2 (Wallac). Данные представляют в виде отношения эмиссии при 665 нм к эмиссии при 615 нм.
Измерения селективности
Метод транзиторных трансфекций с использованием HepG2 клеточной линии гепатомы.
HepG2 клетки были транзиторно трансфицированы путем экспрессии плазмид, кодирующих hPPAR , hPPAR или mPPAR химерические рецепторы, и репортера, содержащего дрожжевые верхние активирующие последовательности (UAS) в обратном направлении вирусного E1B промотора, контролирующего репортерный ген люциферазы. Кроме того, плазмида pRSV -gal была использована для контроля эффективности трансфекции. HepG2 клетки выращивали в среде DMEM, дополненной 10% FBS и 1 мкМ неосновной аминокислоты. В первый день клетки распределяли по нескольким 100 мм чашкам по 2,5×106/на чашку и инкубировали в течение ночи при 37°C/5% CO2. На второй день клетки транзиторно трансфицировали плазмидой ДНК, кодирующей химерный рецептор, репортерный ген люциферазы; и -gal. Для каждой 100 мм чашки, 15 мкг репортера (PG5E1b) ДНК люциферазы, 15 мкг Gal4-PPAR химерного рецептора ДНК и 1,5 мкг -gal плазмиды ДНК смешивали с 1,4 мл opti-MEM в пробирке. 28 мкл реагента LipoFectamine-2000 добавляли к 1,4 мл opti-MEM в пробирку и инкубировали в течение 5 мин при комнатной температуре. Разбавленный реагент Lipofectamine-2000 объединяли со смесью ДНК и инкубировали в течение 20 мин при комнатной температуре. После добавления свежей среды в каждую 100 мм чашку с клетками, 2,8 мл смеси Lipofectamine2000-ДНК добавляли по каплям в 100 мм чашку, содержащую 14 мл среды, и инкубировали при 37°C в течение ночи. Днем три клетки трипсинизировали из 100 мм чашек и пересеивали на 96-луночные планшеты. Клетки высевали по 2,5×104 клеток на лунку в 150 мкл среды и добавляли 50 мкл соединения, разбавленного средой. Концентрации добавляемых контрольных средств и тестируемого соединения составляли от 50 мкМ до 50 пМ. После добавления соединений планшеты инкубировали при 37°C в течение 24 часов. Затем клетки отмывали один раз 100 мкл PBS, лизировали и подвергали измерению активности люциферазы и -gal с использованием набора Dual-Light luciferase kit от фирмы Tropix®, в соответствии с рекомендациями производителя на люминометре EG&G Bethold MicroLumat LB96P. Получали значения Hep G2-hBeta EC50 (“EC50 “) и Hep G2-hAlpha EC50 (“EC50 “) с использованием программы GraphPad Prism . EC50 является концентрацией, при которой PPAR опосредованный транскрипционный ответ достигает половины его максимального ответа.
Отрицательный энергетический баланс
Для определения отрицательного энергетического баланса измеряли концентрации NEFA или кетоновых тел в сыворотке крови или уровни триглицеридов в тканях печени. Уровни NEFA и/или триглицеридов и/или кетоновых тел выше нормы указывают на отрицательный энергетический баланс. Уровнями, считаемыми “выше нормы” или “избыточными”, являются:
NEFA > 800 мкмоль/л в сыворотке крови.
Триглицериды > 10 мас.% в ткани печени.
Кетоновые тела > 1,2 мкмоль/л в сыворотке крови.
Определение изменений в крови концентраций неэтерифицированной жирной кислоты (NEFA) и уровней триглицеридов печени:
Соединения вводили один или несколько раз в переходный период при уровнях дозы, предсказанной в качестве эффективной в результате сравнения результатов in-vitro тестов сродства рецептора в лабораторных образцах и фармакокинетических оценок у крупного рогатого скота. Уровни NEFA определяли стандартными лабораторными методами, например, с использованием промышленного набора WAKO NEFA kit (Wako Chemical Co., USA, Dallas,TX, 994-75409), и содержание триглицеридов печени определяли с использованием методов, описанных в литературе (J.K. Drackley, J.J. Veenhuizen, M.J. Richard and J.W. Young, J Dairy Sci, 1991, 74, 4254).
Все животные были получены из промышленной молочной фермы приблизительно за тридцать дней до ожидаемой даты отела. Коровы были перемещены в отдельное здание приблизительно за 10-14 дней до ожидаемой даты их отела и переведены на сухую диету TMR-Close-Up. Регистрация животных в исследовании начиналась приблизительно за 7 дней до ожидаемой даты их отела. Животных перемещали в загон для исследований, взвешивали и закрывали каждое животное в стойла с кормушкой. В это время вводили соответствующие дозы и получали соответствующие образцы крови (см. таблицу ниже).
Как можно скорее после отела ( 30 минут) корову переводили в боксовый сарай для следующего доения по расписанию (в 6:00 и 19:00). Терапию животных после отела проводили через день в течение 8 дней. Образцы NEFA до и после отела анализировали с использованием набора WAKO NEFA-C test kit (#994-75409). Биопсию печени после отела проводили у всех коров на 5, 10 и 14 день после отела. Ткани транспортировали во льду и хранили замороженными при -70°F. Для получения результатов исследования образцы анализировали на уровни триглицеридов печени с использованием метода, описанного Drackley, J. K. et al. (1991, J Dairy Sci (74):4254-4264).
Все животные, подвергнутые терапии Соединением Z, 4-трифторметилбензиловым эфиром (3S)-3-[3-(1-карбокси-1-метилэтокси)фенил]пиперидин-1-карбоновой кислоты, продемонстрировали значительно более низкие уровни NEFA в сыворотке крови от Дня 1 (после отела) до Дня 6 исследования по сравнению с контрольными животными. Кроме того, животные в группе терапии T03 продемонстрировали значительно более низкие уровни NEFA в сыворотке крови по сравнению с контрольными животными для всех моментов времени. Все режимы терапии значительно понижали уровни триглицеридов печени по сравнению с плацебо для всех моментов времени измерений (Дни 5, 10 и 14 после отела).
Кетоновые тела
Уровни кетоновых тел в сыворотке крови могут быть измерены стандартными методами, хорошо известными специалисту в этой области, например использованием коммерчески доступных наборов для этой цели, включая набор Sigma BHBA kit с номером заказа 310-A.
Содержание молока:
Приборы для анализа содержания белка, жира или лактозы в молоке являются коммерчески доступными (MilkoScanTM 50, MilkoScanTM 4000, MilkoScanTM FT 6000 поставляются фирмой Foss Group).
Приборы для анализа содержания соматической клетки являются также коммерчески доступными (Fossomatic TM FC, Fossomatic TM Minor поставляются фирмой Foss Group).
Сто двадцать четыре стельных, нелактирующих коровы голштинской породы подразделяли на две группы терапии (плацебо и соединение при дозе приблизительно 0,5 мг/кг). Животным давали возможность отелиться, проводя терапию путем подкожной инъекции в день отела и на пятый день после отела. Клинические проявления и дневной надой молока регистрировались в течение последующих шестидесяти дней. Средний дневной надой молока у коров, подвергнутых терапии, увеличивался от 41,8 до 43,2 кг/день (p=0,052). Был также значительным положительный эффект, связанный с качеством молока (повышенный выход белка и лактозы, пониженное количество соматической клетки). Результаты приведены на фигуре 3 и фигуре 4, где соединение обозначает соединение Z.
Соединения, применяемые в этом изобретении, могут быть введены отдельно или в комбинации с одним или более другими соединениями изобретения или в комбинации с одним или более другими лекарственными средствами (или в виде любой их комбинации).
Например, соединения этого изобретения могут также быть смешаны с одним или более биологически активными соединениями или средствами, выбранными из седативных средств, анальгетиков, противовоспалительных средств, аналептиков, антибактериальных средств, противодиарейных средств, антиэндотоксинов, фунгицидов, стимуляторов дыхания, кортикостероидов, диуретиков, паразитицидов, растворов электролитов и пищевых добавок, стимуляторов роста, гормонов и средств терапии нарушения обмена веществ, дающих еще более широкий спектр ветеринарного или сельскохозяйственного применения.
Примеры соответствующих активных соединений и средств приведены ниже:
Ингибиторы амилазы рубца и/или глюкозида, например акарбоза.
Седативные средства: альфа-адренергические агонисты, например ксилазин.
Анальгетики и противовоспалительные средства: лигнокаин, новокаин, флуниксин, окситетрациклин, кетопрофен, мелоксикам и карпрофен.
Аналептики: этамифиллин, доксапрам, дипренорфин, гиосцин, кетопрофен, мелоксикам, петидин, ксилазин и буторфанол.
Антибактериальные средства: хлортетрациклин, тилозин, амоксициллин, ампициллин, апромицин, цефхином, цефалексин, клавулановая кислота, флорфеникол, данофлоксацин, энрофлоксацин, марбофлоксацин, фрамицетин, прокаин-пенициллин, прокаин- бензилпенициллин, бензатин-пенициллин, сульфадоксин, триметоприм, сульфадимидин, бахилоприм, стрептомицин, дигидрострептомицин, сульфаметоксипиридазин, сульфаметоксипуридазин, окситетрациклин, флуниксин, тилмикозин, клоксациллин, этиромицин, неомицин, нафциллин, ауреомицин, линеомицин, цефоперазон, цефалониум, окситетрациклин, формосульфатиазол, сульфадиазин и цинк.
Противодиарейные средства: гиосцин, дипирон, активированный уголь, аттапульгит, каолин, шелуха исфагулы.
Антиэндотоксины: флуниксин, кетопрофен.
Фунгициды: энилконазол, натамицин.
Стимуляторы дыхания: флорфеникол.
Кортикостероиды: дексаметазон, бетаметазон.
Диуретики: фрусемид.
Паразитициды: амитраз, дельтаметрин, моксидектин, дорамектин, альфа-циперметрин, фенвалерат, эприномектин, перметрин, ивермектин, абамектин, рикобендазол, левамизол, фебантел, триклабендазол, фенбендазол, албендазол, нетобимин, оксифеназол, оксиклозанид, нитроксинил, морантел.
Растворы электролитов и пищевые добавки: декстроза, лактоза, пропиленгликоль, молочная сыворотка, глюкоза, глицин, кальций, кобальт, медь, йод, железо, магний, марганец, фосфор, селен, цинк, биотин, витамин B12, витамин E и другие витамины.
Стимуляторов роста: моненсин, флавофосфолипол, бамбермицин, салиномицин, тилозин.
Гормоны: хориальный гонадотропин, сывороточный гонадотропин, атропин, мелатонин, окситоцин, динопрост, клопростенол, этипростон, лупростиол, бусерелин, эстрадиол, прогестерон и бычий соматотропин.
Средства терапии нарушения обмена веществ: глюконат кальция, бороглюконат кальция, пропиленгликоль, сульфат магния.
Соединения этого изобретения могут также быть смешаны с одним или более биологически активными соединениями или средствами, выбранными из противопротозойных средств, таких как имидокарб, средств для лечения метеоризма, таких как диметикон и полоксален, и пробиотиков, таких как молочнокислая бактерия и стрептококк.
Другие соединения, которые могут быть смешаны с соединениями для применения в изобретении, включают защищенный холин рубца; DCAD; аминокислоты, например глутамин, лизин, серин, метионин, аланин, аспартамин; пробиотики, например пропионибактерии, тейкомицин А2; дрожжи; глюкокортикоиды: предшественники глюкозы, например глюкагон, пропиленгликоль, пропионовая кислота, пропиловые эфиры, пропиловый спирт, лактоза, глицерин, пируват; растительные масла, например сафлор; рыбьи жиры; ненасыщенные жирные кислоты, например CLA; экстракты из морских водорослей (для увеличения омега жирных кислот); стеролы растений, например эргостерол; альфа-кетоизокапроаты; витамин D; соли кальция и магния; разнообразные фирменные терапевтические средства: Reassure, Rally, MEGALAC, Fermenten, Rumensin crc bolus; и разнообразные противовоспалительные средства: преднизолон; ионофорные антибиотики, например нигерицин, тетроназин; антибиотики: цефамизин и метронидазол.
В качестве предпочтительной особенности настоящего изобретения, ингибиторы альфа-амилазы и альфа-глюкозидазы, например акарбоза, могут быть объединены с описанным здесь соединением, PPAR-агонистом, особенно приводимым в качестве примера или предпочтительным соединением, для применения по настоящему изобретению.
Обычно их вводят в виде составов совместно с одним или более фармацевтически приемлемыми наполнителями. Термин “наполнитель” используется здесь для описания любого ингредиента, отличного от соединения (соединений) по изобретению. Выбор наполнителя будет в большой степени зависеть от таких факторов, как конкретный способ введения, воздействие наполнителя на растворимость и стабильность, и вид лекарственной формы.
Фармацевтические композиции, подходящие для доставки соединений настоящего изобретения, и способы их получения совершенно очевидны для специалистов в этой области. Такие композиции и способы их получения можно найти, например, в монографии “Remington’s Pharmaceutical Sciences”, 19th Edition (Mack Publishing Company, 1995).
С учетом их применения у жвачных животных соединения могут быть введены отдельно или в виде состава, соответствующего конкретно рассматриваемому применению. Пути и способы введения составов для применения по настоящему изобретению, которые были подробно описаны в приоритетной заявке для настоящего изобретения, а также опубликованы в US 60/574171 и WO04/048334, на стр. 94-97, содержание которых приводится здесь путем соответствующей ссылки.
Такие составы получают традиционным способом в соответствии со стандартной ветеринарной практикой.
Эти составы будут изменяться в зависимости от массы содержащегося в них активного соединения, в зависимости от видов домашних животных, подвергаемых терапии, тяжести и типа инфекции и массы тела животного. Для парентерального, местного и перорального введения обычная доза содержит активный ингредиент в интервале от 0,05 до 5 мг на 1 кг массы тела животного. Предпочтительно, чтобы интервал составлял от 0,01 до 1 мг на 1 кг.
В качестве альтернативы соединения могут вводиться жвачному животному с питьевой водой или кормом, и для этой цели концентрированная кормовая добавка или заранее приготовленная смесь может быть приготовлена для смешения с нормальным кормом или питьем животного.
Поскольку может быть желательным введение комбинации активных соединений, например, для цели лечения конкретного заболевания или состояния, то в объем настоящего изобретения входят две или более фармацевтических композиции, по меньшей мере, одна из которых содержит соединение по изобретению, которые могут соответственно быть объединены в виде набора, удобного для совместного введения композиций.
Таким образом, набор по изобретению включает две или более разделенных фармацевтических композиций, по меньшей мере, одна из которых содержит соединение формулы (I) по изобретению, и средство для раздельного хранения указанных композиций, такое как контейнер, бутыль с несколькими отделениями, или разделенный на несколько отделений пакет из фольги. Примером такого набора является хорошо известная блистерная упаковка, применяемая для упаковки таблеток, капсул и других подобных форм.
Набор по изобретению особенно удобен для введения различных лекарственных форм, например, перорально и парентерально, для введения раздельных композиций при различных интервалах между введением лекарственного средства или для определения титра раздельных композиций относительно друг друга. Для удобства при применении набор обычно включает инструкции по введению и может быть снабжен так называемой памяткой.
Для введения жвачным животным суммарная дневная доза соединений по изобретению обычно составляет от 0,05 мг/кг до 5 мг/кг, в зависимости, конечно, от способа введения. Например, пероральное введение может потребовать суммарную дневную дозу от 0,05 мг/кг до 5 мг/кг, в то время как для внутривенной дозы может потребоваться только от 0,01 мг/кг до 1 мг/кг. Суммарная дневная доза может быть введена в виде одноразовой дозы или разделенных доз. Ветеринар легко сможет определить дозы для конкретных жвачных животных в соответствии с возрастом, массой и необходимостью.
Примеры составов
В далее приводимых составах “активный ингредиент” означает соединение, применяемое в настоящем изобретении.
Состав 1: Раствор для парентерального введения
Раствор активного ингредиента приготавливают следующим образом:
| Ингредиент |
Количество (мг/5 мл) |
| Активный ингредиент |
1-750 |
| Гидроксид калия |
0-75 |
| Гидроксид натрия |
0-75 |
| Мононатрийфосфат |
0-50 |
| Динатрийфосфат |
0-100 |
| Поливинилпирролидон |
0-50 |
| Метилпарабен |
0-40 |
| Вода |
до 5 мл |
или
Состав 2: Раствор для парентерального введения
Раствор активного ингредиента приготавливают следующим образом:
| Ингредиент |
Количество (мг/5 мл) |
| Активный ингредиент |
1-750 |
| Мононатрийфосфат |
0-50 |
| Динатрийфосфат |
0-100 |
| Метилпарабен |
0-40 |
| Вода |
до 5 мл |
или
Состав 3: Раствор для парентерального введения
Раствор активного ингредиента приготавливают следующим образом:
| Ингредиент |
Количество (мг/5 мл) |
| Активный ингредиент |
1-500 |
| Гидроксипропилбетациклодекстрин |
10-4000 |
| Метилпарабен |
0-40 |
| Вода |
до 5 мл |
Состав 4: Раствор для подкожного введения
Раствор активного ингредиента приготавливают следующим образом:
| Ингредиент |
Количество (мг) |
| Активный ингредиент |
1-500 |
| Формаль глицерина |
100-10000 |
Состав 5: Желатиновые капсулы
Твердые желатиновые капсулы приготавливают следующим образом:
| Ингредиент |
Количество (мг/капсула) |
| Активный ингредиент |
1-500 |
| Крахмал, NF |
0-1000 |
| Порошок крахмального клейстера |
0-250 |
| Силиконовое масло 350 сантистокс |
0-45 |
Состав 6: Таблетки – Состав таблеток приготавливают с использованием нижеприведенных ингредиентов:
| Ингредиент |
Количество (мг/таблетка) |
| Активный ингредиент |
0,25-500 |
| Целлюлоза микрокристаллическая |
100-1000 |
| Диоксид кремния пирогенный |
10-1000 |
| Стеариновая кислота |
5-50 |
Компоненты перемешивают и прессуют с образованием таблеток.
Альтернативно таблетки, каждая из которых содержит 1-500 мг активных ингредиентов, формуют следующим образом:
Состав 7: Таблетки
| Ингредиент |
Количество (мг/таблетка) |
| Активный ингредиент |
1-500 |
| Крахмал |
45-200 |
| Целлюлоза микрокристаллическая |
35-100 |
| Поливинилпирролидон (в виде 10% раствора в воде) |
4-20 |
| Натрий-карбоксиметилцеллюлоза |
4,5 |
| Стеарат магния |
0,5-2 |
| Тальк |
1-5 |
Активные ингредиенты, крахмал и целлюлозу просеивают через сито No. 45 меш (U.S.) и тщательно перемешивают. Раствор поливинилпирролидона смешивают с полученными порошками, которые затем просеивают через сито No. 14 меш (U.S.). Полученные таким образом гранулы сушат при 50-60°C и просеивают через сито No. 18 меш (U.S.). Натрий-карбоксиметилцеллюлозу, крахмал, стеарат магния и тальк, предварительно просеянные через сито No. 60 U.S., затем добавляют к гранулам, которые после смешения прессуют на таблетировочной машине с получением таблеток.
Суспензии, каждая из которых содержит 1-750 мг активного ингредиента на 5 мл дозы, приготавливали следующим образом:
Состав 8: Суспензии
| Ингредиент |
Количество (мг/5 мл) |
| Активный ингредиент |
1-750 мг |
| Натрий-карбоксиметилцеллюлоза |
50 мг |
| Сироп |
1,25 мг |
| Раствор бензойной кислоты |
0,10 мл |
| Ароматизатор |
q.v. |
| Окрашивающее вещество |
q.v. |
| Очищенная вода |
до 5 мл |
Активный ингредиент просеивают через сито No. 45 меш (U.S.) и смешивают с натрий-карбоксиметилцеллюлозой и сиропом с образованием однородной пасты. Раствор бензойной кислоты, ароматизатор и окрашивающее вещество разбавляют некоторым количеством воды и добавляют при перемешивании. Затем добавляют соответствующее количество воды для получения требуемого объема.
ОБЩИЕ ЭКСПЕРИМЕНТАЛЬНЫЕ МЕТОДИКИ
Для краткости, приготовление приведенных ниже препаратов и примеров, которые были подробно описаны в приоритетном документе для данной заявки, также опубликовано в US 60/574171 и в WO04/048334. Все детали эксперимента приведены здесь путем соответствующих ссылок на них.
Препарат 1: 3-(3-Метоксифенил)-1H-пиперидин
Препарат 2: алкиловые эфиры 2-метил-2-(3-пиперидин-3-ил-фенокси)пропионовой кислоты
Препарат 3: Растворение алкиловых эфиров 2-метил-2-(3-пиперидин-3-ил-фенокси)пропионовой кислоты
Пример 1: бензиловый эфир 2-(3-{1-[(4-Изопропилфенил)ацетил]пиперидин-3-ил}фенокси)-2-метилпропионовой кислоты
Пример 1-1: 2-(3-{1-[(3-Метоксифенил)ацетил]пиперидин-3-ил}фенокси)-2-метилпропионовая кислота
Пример 1-2: 2-(3-{1-[(4-Метоксифенил)ацетил]пиперидин-3-ил}фенокси)-2-метилпропионовая кислота
Пример 1-3: 2-(3-{1-[(4-Фторфенил)ацетил]пиперидин-3-ил}фенокси)-2-метилпропионовая кислота
Пример 1-4: 2-(3-{1-[(4-Гидроксифенил)ацетил]пиперидин-3-ил}фенокси)-2-метилпропионовая кислота
Пример 1-5: 2-{3-[1-(4-Изопропилбензоил)пиперидин-3-ил]фенокси}-2-метилпропионовая кислота
Пример 1-6: 2-(3-{1-[(2,4-Диметоксифенил)ацетил]пиперидин-3-ил}фенокси)-2-метилпропионовая кислота
Пример 1-7: 2-Метил-2-(3-{1-[(4-трифторметилфенил)ацетил]пиперидин-3-ил}фенокси)пропионовая кислота
Пример 1-8: 2-(3-{1-[3-(3-Метоксифенил)пропионил]пиперидин-3-ил}фенокси)-2-метилпропионовая кислота
Пример 1-9: 2-Метил-2-{3-[1-(пиридин-2-ил-ацетил)пиперидин-3-ил]фенокси}пропионовая кислота
Пример 1-10: 2-Метил-2-{3-[1-(пиридин-3-ил-ацетил)пиперидин-3-ил]фенокси}пропионовая кислота
Пример 1-11: 2-Метил-2-{3-[1-(пиридин-4-ил-ацетил)пиперидин-3-ил]фенокси}пропионовая кислота
Пример 1-12: 2-[3-(1-циклогексилацетилпиперидин-3-ил)фенокси]-2-метилпропионовая кислота
Пример 1-13: (S)-2-(3-{1-[(4-Изопропилфенил)ацетил]пиперидин-3-ил}фенокси)-2-метилпропионовая кислота
Пример 1-14: (R)-2-(3-{1-[(4-Изопропилфенил)ацетил]пиперидин-3-ил}фенокси)-2-метилпропионовая кислота
Пример 1-15: 2-[3-(1-Изобутирилпиперидин-3-ил)фенокси]-2-метилпропионовая кислота
Пример 1-16: 2-Метил-2-[3-(1-фенилацетилпиперидин-3-ил)фенокси]пропионовая кислота
Пример 1-17: 2-Метил-2-{3-[1-(3-фенилпропионил)пиперидин-3-ил]фенокси}пропионовая кислота
Пример 1-18: 2-Метил-2-[3-(1-м-толилацетилпиперидин-3-ил)фенокси]пропионовая кислота
Пример 1-19: 2-Метил-2-{3-[1-(пиридин-2-карбонил)пиперидин-3-ил]фенокси}пропионовая кислота
Пример 1-20: 2-Метил-2-{3-[1-(пиридин-3-карбонил)пиперидин-3-ил]фенокси}пропионовая кислота
Пример 1-21: 2-[3-(1-Бензоилпиперидин-3-ил)фенокси]-2-метилпропионовая кислота
Пример 1-22: 2-(3-{1-[(3-Фторфенил)ацетил]пиперидин-3-ил}фенокси)-2-метилпропионовая кислота
Пример 1-23: 2-(3-{1-[(3-Хлорфенил)ацетил]пиперидин-3-ил}фенокси)-2-метилпропионовая кислота
Пример 1-24: 2-(3-{1-[(4-Хлорфенил)ацетил]пиперидин-3-ил}фенокси)-2-метилпропионовая кислота
Пример 1-25: 2-Метил-2-(3-{1-[(4-трифторметоксифенил)ацетил]пиперидин-3-ил}фенокси)пропионовая кислота
Пример 1-26: 2-Метил-2-{3-[1-(3-пиперидин-1-ил-пропионил)пиперидин-3-ил]фенокси}пропионовая кислота
Пример 1-27: 2-Метил-2-{3-[1-(3-метилбутирил)пиперидин-3-ил]фенокси}пропионовая кислота
Пример 1-28: 2-(3-{1-[(4-Этоксифенил)ацетил]пиперидин-3-ил}фенокси)-2-метилпропионовая кислота
Пример 1-29: 2-(3-{1-[(2-Метоксифенил)ацетил]пиперидин-3-ил}фенокси)-2-метилпропионовая кислота
Пример 1-30: 2-Метил-2-[3-(1-o-толилацетилпиперидин-3-ил)фенокси]пропионовая кислота
Пример 1-31: 2-Метил-2-[3-(1-п-толилацетилпиперидин-3-ил)фенокси]пропионовая кислота
Пример 1-32: 2-(3-{1-[(3,5-Диметоксифенил)ацетил]пиперидин-3-ил}фенокси)-2-метилпропионовая кислота
Пример 1-33: 2-Метил-2-(3-{1-[(3-трифторметилфенил)ацетил]пиперидин-3-ил}фенокси)пропионовая кислота
Пример 1-34: 2-(3-{1-[(3,5-Бис-трифторметилфенил)ацетил]пиперидин-3-ил}фенокси)-2-метилпропионовая кислота
Пример 1-35: 2-Метил-2-(3-{1-[(3-трифторметоксифенил)ацетил]пиперидин-3-ил}фенокси)пропионовая кислота
Пример 1-36: 2-Метил-2-(3-{1-[3-(3-трифторметоксифенил)пропионил]пиперидин-3-ил}фенокси)пропионовая кислота
Пример 1-37: 2-Метил-2-{3-[1-(пиперидин-1-ил-ацетил)пиперидин-3-ил]фенокси}пропионовая кислота
Пример 1-38: 2-Метил-2-{3-[1-(морфолин-4-ил-ацетил)пиперидин-3-ил]фенокси}пропионовая кислота
Пример 1-39: 2-Метил-2-{3-[1-(пиперазин-1-ил-ацетил)пиперидин-3-ил]фенокси}пропионовая кислота
Пример 1-40: 2-(3-{1-[(1H-Бензоимидазол-2-ил)ацетил]пиперидин-3-ил}фенокси)-2-метилпропионовая кислота
Пример 1-41: 2-{3-[1-(Бензо[1,3]диоксол-5-ил-ацетил)пиперидин-3-ил]фенокси}-2-метилпропионовая кислота
Пример 1-42: 2-(3-{1-[(2-Гидроксифенил)ацетил]пиперидин-3-ил}фенокси)-2-метилпропионовая кислота
Пример 1-43: 2-(3-{1-[(4-трет-Бутилфенил)ацетил]пиперидин-3-ил}фенокси)-2-метилпропионовая кислота
Пример 1-44: 2-(3-{1-[(4-Этилфенил)ацетил]пиперидин-3-ил}фенокси)-2-метилпропионовая кислота
Пример 1-45: 2-{3-[1-(4-Изобутилбензоил)пиперидин-3-ил]фенокси}-2-метилпропионовая кислота
Пример 1-46: 2-(3-{1-[(4-Изобутилфенил)ацетил]пиперидин-3-ил}фенокси)-2-метилпропионовая кислота
Пример 1-47: 2-Метил-2-(3-{1-[4-(2,2,2-трифтор-1-гидрокси-1-трифторметилэтил)бензоил]пиперидин-3-ил}фенокси)пропионовая кислота
Пример 1-48: (S)-2-(3-{1-[(4-трет-Бутилфенил)ацетил]пиперидин-3-ил}фенокси)-2-метилпропионовая кислота
Пример 1-49: (S)-2-Метил-2-(3-{1-[(4-трифторметоксифенил)ацетил]пиперидин-3-ил}фенокси)пропионовая кислота
Пример 1-50: (R)-2-Метил-2-(3-{1-[(4-трифторметоксифенил)ацетил]пиперидин-3-ил}фенокси)пропионовая кислота
Пример 1-51: (R)-2-(3-{1-[(4-трет-Бутилфенил)ацетил]пиперидин-3-ил}фенокси)-2-метилпропионовая кислота
Пример 1-52: (S)-2-(3-{1-[(4-Циклогексилфенил)ацетил]пиперидин-3-ил}фенокси)-2-метилпропионовая кислота
Пример 1-53: (S)-2-(3-{1-[(4-Метансульфонилфенил)ацетил]пиперидин-3-ил}фенокси)-2-метилпропионовая кислота
Пример 1-54: (S)-2-{3-[1-(Бифенил-4-ил-ацетил)пиперидин-3-ил]фенокси}-2-метилпропионовая кислота
Пример 1-55: (S)-2-Метил-2-{3-[1-(нафталин-2-ил-ацетил)пиперидин-3-ил]фенокси}пропионовая кислота
Пример 1-56: (S)-2-Метил-2-(3-{1-[4-метил-2-(4-трифторметилфенил)тиазол-5-карбонил]пиперидин-3-ил}фенокси)пропионовая кислота
Пример 1-57: (S)-2-Метил-2-{3-[1-(нафталин-1-ил-ацетил)пиперидин-3-ил]фенокси}пропионовая кислота
Пример 1-58: (S)-2-Метил-2-(3-{1-[(4-трифторметилфенил)ацетил]пиперидин-3-ил}фенокси)пропионовая кислота
Пример 1-59: 2-(4-{1-[(4-Изопропилфенил)ацетил]пиперидин-3-ил}фенокси)-2-метилпропионовая кислота
Пример 1-60: 2-Метил-2-(4-{1-[(4-трифторметилфенил)ацетил]пиперидин-3-ил}фенокси)пропионовая кислота
Пример 1-61: 2-{4-[1-(4-Изопропилбензоил)пиперидин-3-ил]фенокси}-2-метилпропионовая кислота
Пример 1-62: 2-Метил-2-{4-[1-(пиридин-2-ил-ацетил)пиперидин-3-ил]фенокси}пропионовая кислота
Пример 1-63: 2-(4-{1-[3-(4-Изопропилфенил)пропионил]пиперидин-3-ил}фенокси)-2-метилпропионовая кислота
Пример 1-64: (3-{1-[(4-Изопропилфенил)ацетил]пиперидин-3-ил}фенокси)уксусная кислота
Пример 2: 2-(3-{1-[(4-Изопропилфенокси)ацетил]пиперидин-3-ил}фенокси)-2-метилпропионовая кислота
Пример 2-1: 2-(3-{1-[2-(4-Изопропилфенокси)-2-метилпропионил]пиперидин-3-ил}фенокси)-2-метилпропионовая кислота
Пример 2-2: 2-Метил-2-(3-{1-[(4-трифторметоксифенокси)ацетил]пиперидин-3-ил}фенокси)пропионовая кислота
Пример 2-3: (S)-2-(3-{1-[(4-Изопропилфенокси)ацетил]пиперидин-3-ил}фенокси)-2-метилпропионовая кислота
Пример 2-4: (R)-2-(3-{1-[(4-Изопропилфенокси)ацетил]пиперидин-3-ил}фенокси)-2-метилпропионовая кислота
Пример 2-5: (S)-2-Метил-2-(3-{1-[(4-трифторметоксифенокси)ацетил]пиперидин-3-ил}фенокси)пропионовая кислота
Пример 2-6: (R)-2-Метил-2-(3-{1-[(4-трифторметоксифенокси)ацетил]пиперидин-3-ил}фенокси)пропионовая кислота
Пример 2-7: 2-(3-{1-[(3-Изопропилфенокси)ацетил]пиперидин-3-ил}фенокси)-2-метилпропионовая кислота
Пример 2-8: 2-(3-{1-[(4-трет-Бутилфенокси)ацетил]пиперидин-3-ил}фенокси)-2-метилпропионовая кислота
Пример 2-9: 2-Метил-2-[3-(1-м-толилоксиацетилпиперидин-3-ил)фенокси]пропионовая кислота
Пример 2-10: 2-Метил-2-(3-{1-[(3-трифторметилфенокси)ацетил]пиперидин-3-ил}фенокси)пропионовая кислота
Пример 2-11: (S)-2-(3-{1-[(3-Изопропилфенокси)ацетил]пиперидин-3-ил}фенокси)-2-метилпропионовая кислота
Пример 3: 2-(3-{1-[3-(4-Изопропилфенил)пропионил]пиперидин-3-ил}фенокси)-2-метилпропионовая кислота
Пример 3-1: 2-Метил-2-(3-{1-[3-(4-трифторметилфенил)пропионил]пиперидин-3-ил}фенокси)пропионовая кислота
Пример 3-2: 2-Метил-2-(3-{1-[3-(4-трифторметоксифенил)пропионил]пиперидин-3-ил}фенокси)пропионовая кислота
Пример 4: 4-Изопропилфениловый эфир 3-[3-(1-карбокси-1-метилэтокси)фенил]пиперидин-1-карбоновой кислоты
Пример 4-1: 3-Изопропилфениловый эфир 3-[3-(1-карбокси-1-метилэтокси)фенил]пиперидин-1-карбоновой кислоты
Пример 4-2: 4-трет-Бутилфениловый эфир 3-[3-(1-карбокси-1-метилэтокси)фенил]пиперидин-1-карбоновой кислоты
Пример 4-3: 4-Изопропилфениловый эфир (R)-3-[3-(1-карбокси-1-метилэтокси)фенил]пиперидин-1-карбоновой кислоты
Пример 4-4: 4-Изопропилфениловый эфир (S)-3-[3-(1-карбокси-1-метилэтокси)фенил]пиперидин-1-карбоновой кислоты
Пример 5: 4-Изопропилбензиловый эфир 3-[3-(1-карбокси-1-метилэтокси)фенил]пиперидин-1-карбоновой кислоты
Пример 5-1: 4-Трифторметилбензиловый эфир 3-[3-(1-карбокси-1-метилэтокси)фенил]пиперидин-1-карбоновой кислоты
Пример 5-2: 4-Изопропилбензиловый эфир (R)-3-[3-(1-карбокси-1-метилэтокси)фенил]пиперидин-1-карбоновой кислоты
Пример 5-3: 4-Изопропилбензиловый эфир (S)-3-[3-(1-карбокси-1-метилэтокси)фенил]пиперидин-1-карбоновой кислоты
Пример 5-4: 4-Циклогексилбензиловый эфир (S)-3-[3-(1-карбокси-1-метилэтокси)фенил]пиперидин-1-карбоновой кислоты
Пример 5-5: 4-Этилбензиловый эфир (S)-3-[3-(1-карбокси-1-метилэтокси)фенил]пиперидин-1-карбоновой кислоты
Пример 5-6: 3-Трифторметилбензиловый эфир (S)-3-[3-(1-карбокси-1-метилэтокси)фенил]пиперидин-1-карбоновой кислоты
Пример 5-7: 4-Трифторметоксибензиловый эфир (S)-3-[3-(1-карбокси-1-метилэтокси)фенил]пиперидин-1-карбоновой кислоты
Пример 5-8: Бензиловый эфир (S)-3-[3-(1-карбокси-1-метилэтокси)фенил]пиперидин-1-карбоновой кислоты
Пример 5-9: 4-Фторбензиловый эфир (S)-3-[3-(1-карбокси-1-метилэтокси)фенил]пиперидин-1-карбоновой кислоты
Пример 5-10: 4-Фтор-3-трифторметилбензиловый эфир (S)-3-[3-(1-карбокси-1-метилэтокси)фенил]пиперидин-1-карбоновой кислоты
Пример 5-11: 3-Фтор-4-трифторметилбензиловый эфир (S)-3-[3-(1-карбокси-1-метилэтокси)фенил]пиперидин-1-карбоновой кислоты
Пример 5-12: 3-Трифторметоксибензиловый эфир (S)-3-[3-(1-карбокси-1-метилэтокси)фенил]пиперидин-1-карбоновой кислоты
Пример 6: 4-Изопропилбензиловый эфир 3-[3-(1-карбокси-1-метилэтокси)фенил]пиперидин-1-карбоновой кислоты
Пример 6-1: 4-Трифторметилбензиловый эфир (3S)-3-[3-(1-карбокси-1-метилэтокси)фенил]пиперидин-1-карбоновой кислоты
Пример 6-2: 4-Циклопропилбензиловый эфир 3-[3-(1-карбокси-1-метилэтокси)фенил]пиперидин-1-карбоновой кислоты
Пример 7: Метиловый эфир (S)-3-[3-(1-карбокси-1-метилэтокси)фенил]пиперидин-1-карбоновой кислоты
Пример 7-1: 2-Метоксиэтиловый эфир (S)-3-[3-(1-карбокси-1-метилэтокси)фенил]пиперидин-1-карбоновой кислоты
Пример 7-2: Изопропиловый эфир (S)-3-[3-(1-карбокси-1-метилэтокси)фенил]пиперидин-1-карбоновой кислоты
Пример 7-3: Этиловый эфир (S)-3-[3-(1-карбокси-1-метилэтокси)фенил]пиперидин-1-карбоновой кислоты
Пример 7-4: Изобутиловый эфир (S)-3-[3-(1-карбокси-1-метилэтокси)фенил]пиперидин-1-карбоновой кислоты
Пример 7-5: Циклогексилметиловый эфир (S)-3-[3-(1-карбокси-1-метилэтокси)фенил]пиперидин-1-карбоновой кислоты
Пример 8: 2-Метил-2-{3-[1-(4-трифторметилбензилкарбамоил)пиперидин-3-ил]фенокси}пропионовая кислота
Примеры 8-1 – 8-6 были приготовлены из аналогичных исходных реагентов с использованием методов, аналогичных методам, описанным в примере 8.
Пример 8-1: 2-{3-[1-(4-Изопропилбензилкарбамоил)пиперидин-3-ил]фенокси}-2-метилпропионовая кислота
Пример 8-2: 2-Метил-2-{3-[1-(4-трифторметоксибензилкарбамоил)пиперидин-3-ил]фенокси}пропионовая кислота
Пример 8-3: (S)-2-Метил-2-{3-[1-(4-трифторметоксибензилкарбамоил)пиперидин-3-ил]фенокси}пропионовая кислота
Пример 8-4: (S)-2-{3-[1-(4-Изопропилбензилкарбамоил)пиперидин-3-ил]фенокси}-2-метилпропионовая кислота
Пример 8-5: (S)-2-{3-[1-(Циклогексилметилкарбамоил)пиперидин-3-ил]фенокси}-2-метилпропионовая кислота
Пример 8-6: 2-{3-[1-(4-Изопропилфенилкарбамоил)пиперидин-3-ил]фенокси}-2-метилпропионовая кислота
Пример 9: 4-Трифторметилбензиловый эфир (R)-3-(3-карбокси-4-метилфенил)пиперидин-1-карбоновой кислоты
Пример 9-1: (R)-2-Метил-5-{1-[4-метил-2-(4-трифторметилфенил)тиазол-5-карбонил]-пиперидин-3-ил}бензойная кислота
Пример 9-2: (S)-2-Метил-5-{1-[4-метил-2-(4-трифторметилфенил)тиазол-5-карбонил]пиперидин-3-ил}бензойная кислота
Пример 9-3: 2-Метил-5-{1-[4-метил-2-(4-трифторметилфенил)тиазол-5-карбонил]пиперидин-3-ил}бензойная кислота
Пример 9-4: 4-Трифторметилбензиловый эфир (S)-3-(3-карбокси-4-метилфенил)пиперидин-1-карбоновой кислоты
Пример 9-5: 4-Трифторметилбензиловый эфир 3-(3-карбокси-4-метилфенил)пиперидин-1-карбоновой кислоты
Пример 9-6: 2-Метил-5-{1-[(4-трифторметоксифенил)ацетил]пиперидин-3-ил}бензойная кислота
Пример 9-7: 5-{1-[(4-Изопропилфенил)ацетил]пиперидин-3-ил}-2-метилбензойная кислота
Пример 9-8: 2-Метил-5-{1-[(4-трифторметилфенил)ацетил]пиперидин-3-ил}бензойная кислота
Пример 9-9: 2-Метил-5-{1-[3-(4-трифторметилфенил)акрилоил]пиперидин-3-ил}бензойная кислота
Пример 9-10: 5-{1-[3-(4-Изопропилфенил)акрилоил]пиперидин-3-ил}-2-метилбензойная кислота
Пример 9-11: 2-Метил-5-{1-[3-(4-трифторметилфенил)пропионил]пиперидин-3-ил}бензойная кислота
Пример 9-12: 5-{1-[3-(4-Изопропилфенил)пропионил]пиперидин-3-ил}-2-метилбензойная кислота
Пример 9-13: 4-Изопропилбензиловый эфир 3-(3-карбокси-4-метилфенил)пиперидин-1-карбоновая кислота
Пример 9-14: (R)-2-Метил-5-[1-(4-трифторметилбензилкарбамоил)пиперидин-3-ил]бензойная кислота
Пример 9-15: (S)-2-Метил-5-[1-(4-трифторметилбензилкарбамоил)пиперидин-3-ил]бензойная кислота
Пример 9-16: 2-(4-Трифторметилфенил)этиловый эфир (R)-3-(3-карбокси-4-метилфенил)пиперидин-1-карбоновой кислоты
Пример 9-17: 2-Метил-4-[1-(4-трифторметилбензоил)пиперидин-3-ил]бензойная кислота
Пример 9-18: 2-Метил-4-{1-[(4-трифторметилфенил)ацетил]пиперидин-3-ил}бензойная кислота
Пример 9-19: 2-Метил-4-{1-[3-(4-трифторметилфенил)акрилоил]пиперидин-3-ил}бензойная кислота
Пример 9-20: 2-Метил-4-{1-[4-метил-2-(4-трифторметилфенил)тиазол-5-карбонил]пиперидин-3-ил}бензойная кислота
Пример 9-21: 4-Трифторметилбензиловый эфир 3-(4-карбокси-3-метилфенил)пиперидин-1-карбоновой кислоты
Пример 9-22: 4-[1-(4-Изопропилбензоил)пиперидин-3-ил]-2-метилбензойная кислота
Пример 9-23: 4-{1-[(4-Изопропилфенил)ацетил]пиперидин-3-ил}-2-метилбензойная кислота
Пример 9-24: 4-{1-[3-(4-Изопропилфенил)акрилоил]пиперидин-3-ил}-2-метилбензойная кислота
Пример 9-25: 4-Изопропилбензиловый эфир 3-(4-карбокси-3-метилфенил)пиперидин-1-карбоновой кислоты
Пример 9-26: 2-Метил-4-{1-[3-(4-трифторметилфенил)пропионил]пиперидин-3-ил}бензойная кислота
Пример 9-27: 4-{1-[3-(4-Изопропилфенил)пропионил]пиперидин-3-ил}-2-метилбензойная кислота
Пример 9-28: Изомер 2-Метокси-5-{1-[4-метил-2-(4-трифторметилфенил)тиазол-5-карбонил]пиперидин-3-ил}бензойной кислоты из L винной кислоты.
Пример 9-29: Изомер 2-Метокси-5-{1-[4-метил-2-(4-трифторметилфенил)тиазол-5-карбонил]пиперидин-3-ил}бензойной кислоты из D винной кислоты
Пример 9-30: 2-Фтор-5-{1-[4-метил-2-(4-трифторметилфенил)тиазол-5-карбонил]пиперидин-3-ил}бензойная кислота
Пример 9-31: 4-Трифторметилбензиловый эфир 3-(3-карбокси-4-фторфенил)пиперидин-1-карбоновой кислоты
Пример 10: {3-[4-Метил-3-(1H-тетразол-5-ил)фенил]пиперидин-1-ил}-[4-метил-2-(4-трифторметилфенил)тиазол-5-ил]метанон
Пример 11: (S)-2-Метил-2-(2-метил-5-{1-[4-метил-2-(4-трифторметилфенил)тиазол-5-ил]метанон
Пример 11-1: 4-Трифторметилбензиловый эфир (S)-3-[3-(1-карбокси-1-метилэтокси)-4-метилфенил]пиперидин-1-карбоновой кислоты
Пример 11-2: (R)-2-Метил-2-(2-метил-5-{1-[4-метил-2-(4-трифторметилфенил)тиазол-5-карбонил]пиперидин-3-ил}фенокси)пропионовая кислота.
Пример 11-3: 4-Трифторметилбензиловый эфир (R)-3-[3-(1-карбокси-1-метилэтокси)-4-метилфенил]пиперидин-1-карбоновой кислоты
Примеры 11-4, 11-5 и 11-6 были приготовлены с использованием методов, аналогичных методам, описанным в Примере 11 и 11-1.
Пример 11-4: 2-Метил-2-(2-метил-4-{1-[4-метил-2-(4-трифторметилфенил)тиазол-5-карбонил]пиперидин-3-ил}фенокси)пропионовая кислота
Пример 11-5: 4-Трифторметилбензиловый эфир 3-[4-(1-карбокси-1-метилэтокси)-3-метилфенил]пиперидин-1-карбоновой кислоты
Пример 11-6: 2-(4-Трифторметилфенил)этиловый эфир (S)-3-[3-(1-карбокси-1-метилэтокси)-4-метилфенил]пиперидин-1-карбоновой кислоты и 2-(4-Трифторметилфенил)этиловый эфир (R)-3-[3-(1-карбокси-1-метилэтокси)-4-метилфенил]пиперидин-1-карбоновой кислоты
Пример 12: (S)-(2-Метил-5-{1-[4-метил-2-(4-трифторметилфенил)тиазол-5-карбонил]пиперидин-3-ил}фенокси)уксусная кислота.
Пример 12-2: (R)-(2-Метил-5-{1-[4-метил-2-(4-трифторметилфенил)тиазол-5-карбонил]пиперидин-3-ил}фенокси)уксусная кислота
Пример 12-3: 4-Трифторметилбензиловый эфир (R)-3-(3-карбоксиметокси-4-метилфенил)пиперидин-1-карбоновой кислоты
Пример 12-4: (2-Метил-4-{1-[4-метил-2-(4-трифторметилфенил)тиазол-5-карбонил]пиперидин-3-ил}фенокси)уксусная кислота
Пример 12-5: 4-Трифторметилбензиловый эфир 3-(4-карбоксиметокси-3-метилфенил)пиперидин-1-карбоновой кислоты
Пример 13: C,C,C-Трифтор-N-(2-метил-5-{1-[4-метил-2-(4-трифторметилфенил)тиазол-5-карбонил]пиперидин-3-ил}фенил)метансульфонамид
Пример 13-1: 4-Трифторметилбензиловый эфир [3-(карбоксиметиламино)-4-метилфенил]пиперидин-1-карбоновой кислоты
Пример 13-2: (2-Метил-5-{1-[4-метил-2-(4-трифторметилфенил)тиазол-5-карбонил]пиперидин-3-ил}фениламино)уксусная кислота.
Формула изобретения
1. Применение 4-трифторметилбензилового эфира (S)-3-[3-(1-карбокси-1-метилэтокси)фенил]пиперидин-1-карбоновой кислоты в производстве лекарственного средства для паллиативной, профилактической или лекарственной терапии заболевания, связанного с отрицательным энергетическим балансом у жвачных животных, где данное заболевание выбрано из синдрома жировой инфильтрации печени, дистоции, иммунного нарушения, ослабленной иммунной функции, токсификации, первичных и вторичных кетозов, синдрома падающей коровы, расстройства пищеварения, утраты аппетита, задержки отделения плаценты, смещения сычуга, мастита, (эндо-)-метрита, бесплодия, низкой фертильности, хромоты, подострого ацидоза рубца и недостаточного поглощения питательных веществ, связанного со стрессом.
2. Применение по п.1, где лекарственное средство вводится в течение периода от 30 дней до отела до 70 дней после отела.
3. Применение по п.1, где лекарственное средство вводится до трех раз в течение первых семи дней после отела.
4. Применение по п.1, где лекарственное средство вводится однократно в течение первых 24 ч после отела.
5. Способ повышения качества молока жвачного животного и/или надоя молока, предусматривающий введение жвачному животному эффективного количества 4-трифторметилбензилового эфира (S)-3-[3-(1-карбокси-1-метилэтокси)фенил]пиперидин-1-карбоновой кислоты.
6. Способ по п.5, где жвачным животным является молочная корова.
РИСУНКИ
MM4A – Досрочное прекращение действия патента СССР или патента Российской Федерации на изобретение из-за неуплаты в установленный срок пошлины за поддержание патента в силе
Дата прекращения действия патента: 14.05.2009
Извещение опубликовано: 27.07.2010 БИ: 21/2010
|