|
|
(21), (22) Заявка: 2004127132/15, 07.02.2003
(24) Дата начала отсчета срока действия патента:
07.02.2003
(30) Конвенционный приоритет:
08.02.2002 GB 0203061.7
(43) Дата публикации заявки: 10.06.2005
(46) Опубликовано: 27.04.2009
(56) Список документов, цитированных в отчете о поиске:
US 6319917 А, 20.11.2001. US 5929067 А, 27.07.1999. RU 2161894 C1, 20.01.2001. Беликов В.Г. Фармацевтическая химия. – М.: Высшая школа, 1993, т.1, с.43-47.
(85) Дата перевода заявки PCT на национальную фазу:
08.09.2004
(86) Заявка PCT:
EP 03/01227 20030207
(87) Публикация PCT:
WO 03/066062 20030814
Адрес для переписки:
101000, Москва, пер. Малый Златоустинский, 10, кв.15, “ЕВРОМАРКПАТ”, пат.пов. Н.Н.Пивницкой
|
(72) Автор(ы):
ФОЗАРД Джон Р. (FR), ВЕБЕР Эккхард (CH), ПФАННКУХЕ Ханс-Юрген (DE)
(73) Патентообладатель(и):
НОВАРТИС АГ (CH)
|
(54) ПРИМЕНЕНИЕ ПРОИЗВОДНЫХ АЦИЛАМИНОАЛКЕНИЛЕНАМИДА ДЛЯ ЛЕЧЕНИЯ НАРУШЕНИЙ ФУНКЦИОНАЛЬНОЙ ПОДВИЖНОСТИ ВНУТРЕННИХ ОРГАНОВ
(57) Реферат:
Изобретение относится к области медицины и фармацевтики и касается применения соединения формулы II для получения лекарственного препарата для лечения синдрома раздраженной толстой кишки или функциональной диспепсии. Изобретение обеспечивает высокую эффективность лечения. 1 з.п. ф-лы.

Это изобретение относится к органическим соединениям и, в частности, к их применению в качестве лекарственных препаратов.
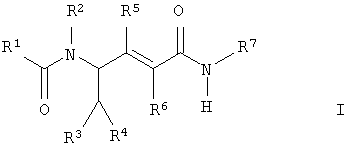
В одном замысле изобретение обеспечивает применение соединения формулы I

в виде свободного основания или в виде фармацевтически приемлемой соли для получения лекарственного препарата для лечения нарушений функциональной подвижности внутренних органов, в которой R1 означает фенил, который не замещен или замещен 1, 2 или 3 заместителями, выбранными из группы: галоген, С1-С7-алкил, трифторметил, гидрокси и С1-С7-алкокси,
R2 означает водород или С1-С7-алкил,
R3 означает водород, С1-С7-алкил или фенил, который не замещен или замещен 1, 2 или 3 заместителями, выбранными из группы: галоген, С1-С7-алкил, трифторметил, гидрокси и С1-С7-алкокси,
R4 означает фенил, который не замещен или замещен 1, 2 или 3 заместителями, выбранными из группы: галоген, С1-С7-алкил, трифторметил, гидрокси и С1-С7-алкокси; или представляет собой нафтил, 1H-индол-3-ил или 1-(C1-С7)алкил-индол-3-ил,
каждый R5 и R6, независимо друг от друга, представляет собой водород или C1-С7-алкил, причем, по меньшей мере, один из R5 и R6 является водородом, и
R7 означает С3-С8-циклоалкил, D-азациклогептан-2-он-3-ил или L-
азациклогептан-2-он-3-ил.
В другом замысле изобретение обеспечивает способ лечения нарушений функциональной подвижности внутренних органов у субъекта, в частности у человека-пациента, нуждающегося в таком лечении, которое заключается в том, что указанному субъекту вводят эффективное количество соединения формулы I, которое определено выше.
Согласно изобретению лечение нарушений функциональной подвижности внутренних органов может быть симптоматическим или профилактическим (предупреждающим).
Нарушения функциональной подвижности внутренних органов, которые могут быть вылечены согласно изобретению, включают те, которые связаны с гиперчувствительностью внутренних органов и/или измененной двигательной реакцией (в том числе выделение электролита/воды), например функциональные нарушения кишечника и функциональные желудочно-кишечные нарушения, такие как синдром раздраженной толстой кишки (IBS), запор, диарея, функциональная диспепсия, заболевание желудочно-пищеводного рефлюкса, функциональное вздутие живота и функциональная боль в желудке, другие состояния, связанные с гиперчувствительностью внутренних органов, такие как послеоперационные боли внутренних органов, спазмы гладких мышц внутренних органов и болезненная чувствительность мочевого пузыря и другие функциональные нарушения кишечника (необязательно связанные с гиперчувствительностью внутренних органов или патологической двигательной реакцией). Изобретение имеет особое значение для лечения синдрома раздраженной толстой кишки (IBS), особенно для IBS с преобладающей диареей, и функциональной диспепсии (FD).
Общие термины, используемые в тексте описания, предпочтительно имеют следующие значения:
С1-С7-алкил означает, например, метил, этил, н-пропил, изопропил, н-бутил, изобутил, втор-бутил, трет-бутил, н-пентил, неопентил, н-гексил или н-гептил, предпочтительно С1-С4алкил, особенно метил или этил, и более предпочтительно метил.
Галоген означает, например, фтор, хлор, бром или йод. Галоидфенил означает, например, (фтор-, хлор-, бром- или иод-)фенил, предпочтительно фторфенил или хлорфенил, особенно 4-фторфенил или 4-хлорфенил, и более предпочтительно 4-хлорфенил.
Дигалоидфенил означает, например, дихлорфенил, дифторфенил или хлорфторфенил, предпочтительно дихлорфенил или дифторфенил, особенно 3,4-дихлорфенил или 3,4-дифторфенил, и более предпочтительно 3,4-дихлорфенил. Тригалоидфенил означает, например, трифторфенил или трихлорфенил. 1-(С1-С7)алкилиндол-3-ил означает, например, 1-метилиндол-3-ил.
С3-С8-Циклоалкил и аналогично С5-С7-циклоалкил в каждом случае означают циклоалкильный радикал, содержащий указанное число атомов углерода в цикле. Поэтому С3-С8-циклоалкил означает, например, циклопропил, циклобутил, циклопентил, циклогексил, циклогептил или циклооктил, предпочтительно циклогексил.
D-Азациклогептан-2-он-3-ил соответствует следующей группе

которая происходит из D(+)-эпсилон-капролактама, (амино-)замещенного в положении 3 [ D-3-амино-эпсилон-капролактам =(R)-3-аминогексагидро-2-азепинон]. Аналогично L-азациклогептан-2-он-3-ил соответствует группе

которая происходит из L(-)-эпсилон-капролактама, (амино-)замещенного в положении 3 [ L-3-амино-эпсилон-капролактам =(S)-3-аминогексагидро-2-азепинон].
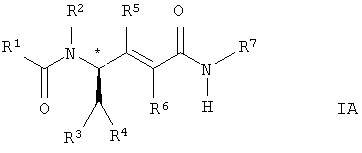
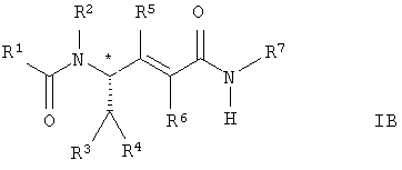
Соединения формулы I могут иметь формулу IA

в которой * обозначает R конфигурацию, или формулу IB

в которой обозначает S конфигурацию, причем значения радикалов R1, R2, R3, R4, R5, R6 и R7 определены выше.
Согласно изобретению соединения формулы IA обычно применяются предпочтительно.
Соединения формулы I, имеющие основную группу, могут, например, образовать кислотно-аддитивные соли с подходящими минеральными кислотами, такими как гидрогалоидные кислоты, серная кислота или фосфорная кислота, например гидрохлориды, гидробромиды, сульфаты, гидросульфаты или фосфаты. В случае, когда соединения формулы I содержат кислотную группу, также возможны соответствующие соли с основаниями, например, соответствующие соли щелочных металлов или щелочно-земельных металлов, например соли натрия, калия или магния, или соли с аммиаком или органическими аминами, например соли аммония.
Предпочтительно изобретение относится к применению соединений формулы I, в которой:
R1 означает фенил, 3,5-бис-трифторметилфенил или 3,4,5-триметоксифенил,
R2 представляет собой водород или С1-С7-алкил,
R3 означает водород или фенил,
R4 представляет собой фенил, галоидфенил, дигалоидфенил, тригалоидфенил, 2-нафтил, 1H-индол-3-ил или 1-(С1-С7)алкилиндол-3-ил,
каждый R5 и R6, независимо друг от друга, представляет собой водород или C1-С7-алкил, причем, по меньшей мере, один из R5 и R6 является водородом, и
R7 означает С5-С7циклоалкил, D-азациклогептан-2-он-3-ил или L-азациклогептан-2-он-3-ил.
Изобретение относится особенно к применению соединений формулы I, в которой:
R1 означает 3,5-бис-трифторметилфенил,
R2 представляет собой водород, метил или этил,
R3 означает водород или фенил,
R4 представляет собой фенил, 4-хлорфенил, 4-фторфенил, 3,4-дихлорфенил, 3,4-дифторфенил, 3-фтор-4-хлорфенил, 3,4,5-трифторфенил, 2-нафтил, 1Н-индол-3-ил или 1-метилиндол-3-ил,
каждый R5 и R6, независимо друг от друга, представляет собой водород или метил, причем, по меньшей мере, один из R и R является водородом, и
R7 означает циклогексил, D-азациклогептан-2-он-3-ил или L-азациклогептан-2-он-3-ил.
Более конкретно изобретение относится к применению соединений формулы I, в которой:
R1 представляет собой 3,5-бис-трифторметилфенил,
R2 означает водород или метил,
R3 представляет собой водород или фенил,
R4 означает фенил, 4-хлорфенил, 3,4-дихлорфенил, 2-нафтил, 1H-индол-3-ил или
1 – метилиндол-3-ил,
R5 и R6 являются водородом, и
R7 представляет собой циклогексил, D-азациклогептан-2-он-3-ил или L-азациклогептан-2-он-3-ил.
Особо следует упомянуть каждую из следующих подгрупп из группы соединений формулы I:
(1) соединения формулы I, в которой R представляет собой D-азациклогептан-2-он-3-ил; (2) соединения формулы I, в которой R5 и R6 представляют собой водород; (3) соединения формулы I, в которой R1 означает фенил, 3,5-бис-трифторметилфенил или 3,4,5-триметоксифенил; (4) соединения формулы I в свободном виде, иными словами, не в виде соли.
Конкретные примеры соединений формулы I включают:
N-[(R)-эпсилон-капролактам-3-ил]амид (4R)-[N’-метил-N’-(3,5-бис-трифторметилбензоил)амино]-5-(1-метилиндол-3-ил)пент-2-еновой кислоты,
N-[(S)-эпсилон-капролактам-3-ил]амид(4R)-[N’-метил-N’-(3,5-бис-трифторметилбензоил)амино]-5-(1-метилиндол-3-ил)пент-2-еновой кислоты,
N-циклогексиламид (4R)-[N’-метил-N’-(3,5-бис-трифторметилбензоил)амино]-5-(1-метилиндол-3-ил)пент-2-еновой кислоты,
N-циклогексиламид (4R)-[N’-метил-N’-(3,5-бис-трифторметилбензоил)амино]-5-(1-метилиндол-3-ил)-2-метилпент-2-еновой кислоты,
N-[(R)-эпсилон-капролактам-3-ил]амид (4R)-[N’-метил-N’-(3,5-бис-трифторметилбензоил)амино]-5-(1-метил-индол-3-ил)-2-метилпент-2-еновой кислоты,
N-[(S)-эпсилон-капролактам-3-ил]амид (4R)-[N’-метил-N’-(3,5-бис-трифторметилбензоил)амино]-5-(1-метилиндол-3-ил)-2-метилпент-2-еновой кислоты,
N-[(R)-эпсилон-капролактам-3-ил]амид (4R)-(N’-метил-N’-бензоиламино)-5-(1-метилиндол-3-ил)-2-метилпент-2-еновой кислоты,
N-[(R)-эпсилон-капролактам-3-ил]-амид (4R)-[N’-метил-N’-(3,5-бис-трифторметилбензоил)амино]-5-(нафт-2-ил)пент-2-еновой кислоты,
N-[(R)-эпсилон-капролактам-3-ил]амид (4R)-(N’-метил-N’-бензоил)амино-5-(нафт-2-ил)пент-2-еновой кислоты,
N[(R)-эпсилон-капролактам-3-ил]амид(4R)-[N’-метил-N-(3,5-бис-трифторметилбензоил)амино]-5-(нафт-2-ил)-2-метилпент-2-еновой кислоты,
N-[(R)-эпсилон-капролактам-3-ил]амид (4R)-[N’-метил-N’-(3,4,5-триметоксибензоил)амино]-5-(нафт-2-ил)-2-метилпент-2-еновой кислоты,
R-[(S)-эпсилон-капролактам-3-ил]амид (4R)-[N’-метил-N’-(3,5-бис-трифторметилбензоил)амино]-5-(нафт-2-ил)-2-метилпент-2-еновой кислоты,
N-циклогексиламид (4R)-[N’-метил-N’-(3,5-бис-трифторметилбензоил)амино]-5-(нафт-2-ил)-2-метилпент-2-еновой кислоты,
N-[(S)-эпсилон-капролактам-3-ил]амид(4R)-[N’-метил-N’-(3,5-бис-трифторметилбензоил)амино]-5-(1-метилиндол-3-ил)пент-2-еновой кислоты,
N-[(R)-эпсилон-капролактам-3-ил]амид (4R)-[N’-метил-N’-(3,5-бис-трифторметилбензоил)амино]-4-(4-хлорбензил)бут-2-еновой кислоты,
N-[(S)-эпсилон-капролактам-3-ил]амид (4R)-[N’-метил-N’-(3,5-бис-трифторметилбензоил)амино]-4-(4-хлорбензил)бут-2-еновой кислоты,
N-циклогексиламид (4R)-[N’-метил-N’-(3,5-бис-трифторметилбензоил)амино]-4-(4-хлорбензил)бут-2-еновой кислоты,
N-циклогексиламид (4R)-[N’-метил-N’-(3,5-бис-трифторметилбензоил)амино] -4-(3,4-дихлорбензил)бут-2-еновой кислоты,
N-циклогексиламид (4R)-[N-метил-N’-(3,5-бис-трифторметилбензоил)амино]-4-(3,4-дифторбензил)бут-2-еновой кислоты,
N-циклогексиламид (4R)-[N’-метил-N-(3,5-бис-трифторметилбензоил)амино]-5-(4-хлорфенил)-2-метилпент-2-еновой кислоты,
N-[(R)-эпсилон-капролактам-3-ил]амид (4R)-[N’-метил-N’-(3,5-бис-трифторметилбензоил)амино]-5-(4-хлорфенил)-2-метилпент-2-еновой кислоты,
[(S) – эпсилон-капролактам-3-ил] амид (4R)-[N’-метил-N’-(3,5 -бис-трифторметилбензоил)амино]-4-(4-хлорбензил)-2-метилбут-2-еновой кислоты,
N-[(S)-эпсилон-капролактам-3-ил]амид (4R)-[N’-этил-N’-(3,5-бис-трифторметилбензоил)амино]-5-(4-хлорфенил)пент-2-еновой кислоты,
N-циклогексиламид (4R)-[N’-метил-N’-(3,5-бистрифторметилбензоил)амино]-5-(4-хлорфенил)-3-метилпент-2-еновой кислоты,
[(R)-эпсилон-капролактам-3-ил]амид (4R)-[N’-метил-N’-(3,5-бис-трифторметилбензоил)амино]-4-(4-хлорбензил)-3-метилбут-2-еновой кислоты,
N-[(R)-эпсилон-капролактам-3-ил]амид (4R)-[N’-метил-N-(3,5-бис-трифторметилбензоил)амино]-4-(4-хлорбензил)бут-2-еновой кислоты,
N-[(R)-эпсилон-капролактам-3-ил]амид (4R)-4-[N’-метил-N’-(3,5-бис-трифторметилбензоил)амино]-4-(3,4-дихлорбензил)бут-2-еновой кислоты,
N-[(R)-эпсилон-капролактам-3-ил]амид (4R)- и (4S)-4-[N’-метил-N-(3,5-бис-трифторметилбензоил)амино]-4-(3-фтор-4-хлорбензил)бут-2-еновой кислоты,
N-[(R)-эпсилон-капролактам-3-ил]амид (4R)- и (4S)-4-[N’-метил-N’-(3,5-бис-трифторметилбензоил)амино]-4-(3,4-дифторбензил)бут-2-еновой кислоты,
N-[(R)-эпсилон-капролактам-3-ил]амид (4R)-и (4S)-4-[N-метил-N’-(3,5-бис-трифторметилбензоил)амино]-4-(3,4-дибромбензил)бут-2-еновой кислоты,
N-[(R)-эпсилон-капролактам-3-ил]амид (4R)- и (4S)-4-[N-метил-N’-(3,5-бис-трифторметилбензоил)амино]-4-(3,4,5-трифторбензил)бут-2-еновой кислоты,
N-[(R)-эпсилон-капролактам-3-ил]амид(4R)- и (4S)-4-[N’-метил-N’-(3,5-бис-трифторметилбензоил)амино]-4-(4-фторбензил)бут-2-еновой кислоты,
N-[(S)-эпсилон-капролактам-3-ил]амид (4R)- и (4S)-[N’-(3,5-бис-трифторметилбензоил)-N’-метиламино]-5,5-дифенилпент-2-еновой кислоты,
N-[(R)-эпсилон-капролактам-3-ил]амид (4S)-4-[N’-метил-N’-(3,5-бис-трифторметилбензоил)амино]-4-(3,4-дихлорбензил)бут-2-еновой кислоты,
N-[(S)-эпсилон-капролактам-3-ил]амид (4R)-4-[N’-метил-N’-(3,5-бис-трифторметилбензоил)амино]-4-(3,4-дихлорбензил)бут-2-еновой кислоты, и
N-[(S)-эпсилон-капролактам-3-ил]амид (4S)-4-[N’-метил-N’-(3,5-бис-трифторметилбензоил)амино]-4-(3,4-дихлорбензил)бут-2-еновой кислоты.
Наиболее конкретно изобретение относится к применению N-[(R)-эпсилон-капролактам-3-ил] амида (4R)-4-[N’-метил-N’-(3,5-бис-трифторметилбензоил)амино]-4-(3,4-дихлорбензил)-бут-2-еновой кислоты, т.е. соединения формулы

Соединения формулы I в свободном виде или в форме фармацевтически приемлемой соли могут быть получены, как описано в документах WO 98/07694 или WO 01/85696. Как указано в этих документах, соединения могут находиться в виде гидратов и/или могут включать другие растворители, например растворители, которые могут быть использованы для кристаллизации соединений в твердом состоянии.
В зависимости от характера переменных и соответствующего числа центров асимметрии и, кроме того, от исходных материалов и выбранной методики соединения формулы I могут быть получены в виде смеси стереоизомеров, например смеси диастереоизомеров или смеси энантиомеров, таких как рацематы, или также возможно в виде чистых стереоизомеров. Смеси диастереоизомеров, которые могут быть получены в соответствии с этим способом или некоторым другим способом, могут быть разделены обычным образом на смеси энантиомеров, например рацематов, или на индивидуальные диастереоизомеры, например, исходя из различий физико-химических свойств компонентов смеси, известным образом, путем дробной кристаллизации, дистилляции и/или хроматографии. Целесообразно выделяется более активный изомер.
Смеси энантиомеров, особенно рацематы, которые могут быть получены в соответствии с этим способом или некоторым другим способом, могут быть расщеплены на индивидуальные энантиомеры известными способами, например путем перекристаллизации из оптически активного растворителя, с помощью микроорганизмов, путем хроматографии и/или путем взаимодействия с оптически активным вспомогательным соединением, например основанием, кислотой или спиртом, с образованием смеси солей диастереоизомеров или функциональных производных, таких как сложные эфиры, их разделение и выделение целевых энантиомеров. Целесообразно выделяется более активный изомер.
При лечении нарушений согласно изобретению соединения формулы I в свободном виде или в форме фармацевтически приемлемой соли могут быть введены любым целесообразным путем, например орально, например, в форме таблетки, капсулы или в жидком виде, парентерально, например в форме инъекционного раствора или суспензии, или интраназально, например в форме аэрозоля или другой распыляемой рецептуры, с использованием соответствующего устройства для подачи внутрь носа, например, такого как известный из уровня техники назальный спрей.
Соединения формулы I в свободной или солевой форме могут вводиться в фармацевтической композиции вместе с фармацевтически приемлемым разбавителем или носителем. Эти композиции могут быть такими, которые описаны в документе WO 98/07694, например таблетки, капсулы, жидкости, растворы для инъекции, инфузионные растворы или ингаляционные суспензии, которые описаны в Примерах от А до Е документа WO 98/07694, или могут быть получены с использованием других компонентов рецептуры и методов, известных из уровня техники.
Доза соединения формулы I в свободной или солевой форме может зависеть от различных факторов, таких как активность и длительность действия активного компонента, серьезности излечиваемого состояния, способа применения, вида, пола, этнического происхождения, возраста и веса субъекта и/или его индивидуального состояния. В обычном случае, по-оценке, суточная доза для введения, например орального введения, теплокровному животному, в частности людям, весом приблизительно 75 кг, составляет приблизительно от 1 мг до 1000 мг, особенно приблизительно от 5 мг до 200 мг. Эта доза может быть введена, например, как единичная доза или в нескольких дробных дозах, например, от 5 до 100 мг.
Эффективность соединения формулы I при лечении описанных выше нарушений может быть продемонстрирована на in vivo модели гиперчувствительности внутренних органов, которая описана, например, в следующем ниже примере 1, в модели перистальтического рефлекса, которая описана, например, в следующем ниже примере 2, или модели эпителиальной секреции, которая описана, например, в следующем ниже примере 3.
Изобретение иллюстрируется ниже следующими примерами.
Пример 1
Для морских свинок, находящихся в сознании, применялись два экспериментальных образца стимулирования гиперчувствительности внутренних органов:
i) стресс стесненного состояния (сковывание действий животных в трубе) и
ii) раздражение ткани толстой кишки (прикапывание 1,5 мл 0,6% раствора уксусной кислоты в физиологическом растворе на 2 см проксимально анусу).
Растяжение толстой кишки осуществляли путем надувания баллона до избыточного давления (на стенке толстой кишки) 20 мм рт.ст. (26,7 мбар; 2,66 кПа) в течение 10 мин до и после возбуждения гиперчувствительности внутренних органов. В ходе процесса растяжения регистрируется двигательная реакция внутренних органов, т.е. количество и качество абдоминальных сокращений (прогибание тела и подъем тазовых структур), и измеряется слепым методом (Al-Chaer и др., Gastroenterology, 2000; т. 119, с. 1276-1285). Следуя протоколу проведения растяжения толстой кишки на базовом уровне, орально дозируют носитель или соединение формулы II (3 и 10 мг/кг) за один час до второго растяжения толстой кишки, которое выполнялось после возбуждения гиперчувствительности внутренних органов. Влияние носителя и соединения формулы II оценивали на 6-8 животных. Стресс стесненного состояния и местное раздражение ткани путем введения по каплям уксусной кислоты внутрь толстой кишки значительно преувеличивает двигательную реакцию внутренних органов на растяжение толстой кишки соответственно на 54,5% и 29,1% сверх базового уровня. Соединение формулы II возвращает преувеличенную поведенческую болевую реакцию на растяжение толстой кишки надувным баллоном при гиперчувствительности, вызванной как стрессом стесненного состояния, так и раздражением ткани. Обратимость болевой реакции является статистически значимой при обеих исследованных пероральных дозах – 3 и 10 мг/кг (р<0,05; тест ANOVA post-hoc Dunnett’s).
Пример 2
Преувеличенная перистальтика, передаваемая соединением Р, исследовалась в органной бане Mayflower, с использованием выделенных сегментов подвздошной кишки морской свинки (Holzer и др., J. Pharmacol. Exp. Ther. 1995; т. 274, с. 322-328). Полость сегментов подвздошной кишки подвергают перфузии раствором Krebs-Henseleit и непрерывно регистрируют внутриполостное давление. В ходе перфузии каждый сегмент подвздошной кишки постепенно заполняется и поэтому внутриполостное давление увеличивается до достижения порогового значения, при котором запускается перистальтика, т.е. аномально движущаяся волна перистальтических сокращений. Любая волна перистальтического сокращения приводит к пикообразному росту внутриполостного давления и вызывает частичный сброс жидкости из сегмента. Для количественной оценки эффектов соединения формулы II используется пороговое значение давления, при котором запускаются перистальтические сокращения. Кумулятивное применение соединения Р (от 1 нМ до 30 мкМ) вызывает преувеличенную перистальтическую реакцию путем снижения порогового значения, необходимого для запуска перистальтических сокращений. Эффекты соединения зависят от концентрации, причем величина pDs равна 7,20. Соединение формулы II (30 нМ и 100 нМ) конкурентно ингибирует преувеличенную перистальтику, вызываемую соединением Р, причем наблюдаемые величины рАз равны 7,35 и 7,23 соответственно.
Пример 3
Эпителиальную секрецию исследовали в субмукозных/мукозных препаратах толстой кишки морской свинки. Используя методику камеры Ussing (Frieling и др., Naunyn Schmiedebergs Arch. Pharmacol. 1999; т. 359, с. 71-79), регистрировали ток короткого замыкания, и эпителиальную секрецию (секреция электрогенного хлорида) стимулировали путем кумулятивной обработки соединением Р (от 0,1 нМ до 10 мкМ), которая запускает секрецию (увеличивает ток короткого замыкания), причем эффект зависит от концентрации (pD2=7,50). Соединение формулы II (30 нМ, 100 нМ, и 300 нМ) конкурентно ингибирует секрецию электрогенного хлорида, вызываемую соединением Р; при анализе данных в координатах графика Schild получена величина Ра2 равная 7,94.
Формула изобретения
1. Применение соединения формулы II
 в виде свободного основания или в виде фармацевтически приемлемой соли для получения лекарственного препарата для лечения синдрома раздраженной толстой кишки или функциональной диспепсии.
2. Применение по п.1 для лечения синдрома раздраженной толстой кишки.
MM4A – Досрочное прекращение действия патента СССР или патента Российской Федерации на изобретение из-за неуплаты в установленный срок пошлины за поддержание патента в силе
Дата прекращения действия патента: 08.02.2009
Извещение опубликовано: 20.03.2010 БИ: 08/2010
NF4A – Восстановление действия патента СССР или патента Российской Федерации на изобретение
Дата, с которой действие патента восстановлено: 20.03.2010
Извещение опубликовано: 20.03.2010 БИ: 08/2010
|
|