|
|
(21), (22) Заявка: 2007115293/09, 23.04.2007
(24) Дата начала отсчета срока действия патента:
23.04.2007
(30) Конвенционный приоритет:
25.10.2006 KR 10-2006-0104232 22.12.2006 KR 10-2006-0132799
(43) Дата публикации заявки: 27.10.2008
(46) Опубликовано: 20.04.2009
(56) Список документов, цитированных в отчете о поиске:
US 6763110 А, 13.07.2004. RU 34053 U1, 20.11.2003. RU 53090 U1, 27.04.2006. US 2004170272 A1, 02.09.2004. JP 2006-148545 A1, 08.06.2006. JP 11-017600 A1, 22.01.1999. RU 2273966 C2, 10.04.2006. SU 530480 A1, 03.03.1977.
Адрес для переписки:
129090, Москва, ул. Б.Спасская, 25, стр.3, ООО “Юридическая фирма Городисский и Партнеры”, пат.пов. Ю.Д.Кузнецову, рег. 595
|
(72) Автор(ы):
КАНГ Дзеонг-Хоон (KR), КИМ Дзин-Хо (KR), ЛИ Сунг-Тае (KR)
(73) Патентообладатель(и):
ЭлДжи ЭЛЕКТРОНИКС ИНК. (KR)
|
(54) УСТРОЙСТВО МОБИЛЬНОЙ СВЯЗИ (ВАРИАНТЫ)
(57) Реферат:
Устройство относится к области радиотехники, и может быть использовано при изготовлении устройств мобильной связи. Техническим результатом является улучшение характеристики низкочастотного звука. Устройство мобильной связи включает в себя корпус терминала, расположенный в нем модуль динамика и, по меньшей мере, один звуковод. Модуль динамика включает в себя корпус динамика, образующий внутри камеру, и динамик, имеющий переднюю поверхность и заднюю поверхность. Динамик расположен в корпусе так, что его передняя поверхность динамика раскрывается из корпуса динамика, а задняя его поверхность находится в камере, что позволяет звуку, сформированному с задней поверхности, резонировать в камере. По меньшей мере, один звуковод соединен с камерой и имеет оконечную часть, раскрытую внутрь корпуса терминала. Взаимные помехи между звуком, сформированным с передней стороны излучающей звук части, и звуком, излучаемым с ее задней стороны, могут быть уменьшены, чтобы таким образом улучшить характеристику среднечастотного и низкочастотного звука. 3 н. и 15 з.п. ф-лы, 10 ил., 1 табл.
Изобретение относится в целом к устройству мобильной связи, способному улучшить характеристику низкочастотного звука, а более конкретно, к устройству мобильной связи, имеющему модуль динамика.
Уровень техники
Устройство мобильной связи, включающее в себя мобильный телефон или PDA, является одним из многих мобильных электронных устройств, дающих возможность пользователю беспроводным образом передавать, принимать, читать или обрабатывать информацию во время передвижения.
Побуждаемые современным прогрессом информационных технологий, технологий связи и технологий памяти, устройства мобильной связи могут непосредственно создавать, передавать или принимать мультимедийные данные в дополнение к своим неотъемлемым функциям телефонного вызова. Например, устройства мобильной связи могут воспроизводить файлы мультимедиа, такие как музыку, кинофильмы или игры, и даже имеют функцию приема цифрового мультимедиа вещания (DMB) с использованием спутниковых или наземных телевизионных каналов. Для тех устройств мобильной связи, которые оборудованы цифровой камерой, устройства могут также захватывать изображения или видео, передавать изображения или видео или иначе позволять пользователям пользоваться изображениями или видео, полученными с использованием цифровых камер.
Чтобы помочь пользователям наслаждаться познанием мультимедиа через устройства мобильной связи, динамики, установленные в устройствах мобильной связи, развиваются по направлению предоставления высокой эксплуатационной характеристики звука. Между тем, устройства мобильной связи становятся легче и тоньше для удобства пользователя при постоянном ношении, что может вызвать проблемы, так как в устройства мобильной связи встраиваются более сложные динамики. Следовательно, существует необходимость предоставить блок динамика, который не занимает ненужное чрезмерное пространство в устройстве мобильной связи, но, тем не менее, предоставляет более качественные характеристики звука.
Блок динамика устройства мобильной связи связанного уровня техники теперь будет описан со ссылкой на фиг.1. Фиг.1 является видом в разрезе, показывающим часть динамика устройства мобильной связи связанного уровня техники. Как показано на фиг.1, устройство 11 мобильной связи включает в себя первый и второй корпуса 12 и 13, поддерживающие внутренние компоненты и формирующие его внешнюю форму, и блок 16 динамика фиксируется на внутренней стороне второго корпуса 13.
Сквозные отверстия 15 сформированы во втором корпусе 13 для того, чтобы дать возможность звуку (A), излучаемому с передней поверхности блока 16 динамика, проходить через них, и, соответственно, звуковые волны выпускаются наружу после прохождения через сквозные отверстия 15.
Стенки 14 сформированы на внутренней поверхности второго корпуса 13 для того, чтобы зафиксировать блок 16 динамика, а блок 16 динамика плотно присоединяется к стенкам 14, так что звук, излучаемый с его передней стороны, не может просачиваться во внутреннюю полость устройства мобильной связи.
Прокладки 17 установлены на внутренней стороне стенок 14 для того, чтобы гарантировать то, что блок 16 динамика плотно присоединен. С такой структурой блок 16 динамика формирует звуки A и B согласно сигналам, переданным от платы 18, предусмотренной в корпусах 12 и 13. Однако одной из проблем с вышеописанной конфигурацией является то, что звук (A), излучаемый с передней стороны блока 16 динамика, смешивается со звуком (B), сформированным с задней поверхности блока 16 динамика и имеющим противоположную фазу, таким образом ухудшая характеристики блока 16 динамика. Другими словами, в случае диапазона низких частот, поскольку он имеет сильную дифракцию, звук (A), сформированный с передней стороны, и звук (B), сформированный с задней стороны, имеющий противоположную фазу по отношению к фазе звука (A), смешиваются и нейтрализуют друг друга.
Сущность изобретения
Поэтому, для того, чтобы разрешить вышеописанные вопросы, были задуманы различные признаки, описанные в данном документе. Одним аспектом примерных вариантов осуществления является модуль динамика, имеющий хорошую характеристику низкочастотного звука, и устройство мобильной связи, содержащее его.
Другим аспектом настоящего изобретения является уменьшение влияния блока динамика на устройство мобильной связи в аспекте того, что динамик не может быть помехой в создании компактного устройства мобильной связи.
Согласно принципам настоящего изобретения предоставляется устройство мобильной связи. Устройство мобильной связи содержит корпус терминала и модуль динамика, расположенный в корпусе терминала. Модуль динамика включает в себя корпус динамика, расположенный в корпусе терминала, корпус динамика определяет камеру в нем, и динамик, имеющий переднюю поверхность и заднюю поверхность, динамик расположен в корпусе динамика, так что передняя поверхность динамика раскрыта из корпуса динамика, а задняя его поверхность находится в камере, что позволяет звуку, сформированному на задней поверхности, резонировать в камере.
В другом аспекте корпус динамика может включать в себя переднюю поверхность, имеющую крепежное отверстие, расположенное в ней, причем крепежное отверстие имеет размер, соответствующий передней поверхности динамика, и передняя поверхность динамика раскрыта через крепежное отверстие.
В другом аспекте корпус динамика может иметь ширину, соответствующую внутренности корпуса терминала.
Еще в одном аспекте корпус терминала может включать в себя переднюю панель, раскрывающую переднюю поверхность динамика, заднюю панель, соединенную с передней панелью соединяющими выступами, а корпус динамика включает в себя, по меньшей мере, одно сквозное отверстие, позволяющее соединяющим выступам проходить через него.
Еще в одном аспекте корпус динамика включает в себя переднюю крышку, на которой расположен динамик, и заднюю крышку, соединенную с передней крышкой, для формирования камеры.
Еще в одном аспекте модуль динамика включает в себя, по меньшей мере, один звуковод, соединенный с камерой.
Согласно принципам настоящего изобретения предоставляется устройство мобильной связи. Устройство мобильной связи содержит корпус терминала и модуль динамика, расположенный в корпусе терминала. Модуль динамика включает в себя корпус динамика, расположенный в корпусе терминала, причем корпус динамика формирует камеру для резонирования, динамик, имеющий переднюю поверхность и заднюю поверхность, причем динамик расположен в корпусе динамика, так что передняя поверхность раскрыта, а его задняя поверхность находится в камере, что позволяет звуку, сформированному с задней поверхности, резонировать, и звуковод, соединенный с корпусом динамика и направляющий звук в камеру.
В другом аспекте звуковод может иметь длину, достаточную для инвертирования фазы звука, сформированного с задней поверхности динамика.
В другом аспекте звуковод является гибким.
Еще в одном аспекте корпус динамика включает в себя отверстие, и звуковод вставлен в отверстие так, что соединяется с камерой.
Еще в одном аспекте звуковод может включать в себя часть управления длиной, которая управляет длиной звуковода. Часть управления длиной включает в себя множество растягиваемых складок.
В другом аспекте электрический провод, соединенный с динамиком, протянут через внутренность звуковода.
В дополнительном аспекте модуль динамика может включать в себя, по меньшей мере, второй звуковод, соединенный с корпусом динамика и направляющий звук в камеру. Корпус терминала может включать в себя первое отверстие динамика, которое излучает звук, сформированный с передней поверхности динамика, и второе отверстие динамика, которое размещено с промежутком от первого отверстия динамика и соединено с одним из звуководов для излучения звука.
Еще в одном аспекте корпус терминала включает в себя переднюю панель, раскрывающую переднюю поверхность динамика, заднюю панель, соединенную с передней панелью соединяющими выступами, а корпус динамика включает в себя, по меньшей мере, одно сквозное отверстие, позволяющее соединяющим выступам проходить через него.
Согласно принципам настоящего изобретения предложено устройство мобильной связи. Устройство мобильной связи содержит корпус терминала, модуль дисплея, расположенный в корпусе терминала, и модуль динамика, расположенный рядом с модулем дисплея. Модуль динамика включает в себя корпус динамика, расположенный в корпусе терминала, причем корпус динамика формирует камеру, и динамик, имеющий переднюю поверхность и заднюю поверхность, причем динамик расположен в корпусе динамика так, что передняя поверхность динамика раскрыта из корпуса динамика, а его задняя поверхность находится в камере, что позволяет звуку с его задней поверхности резонировать.
В другом аспекте звуковод соединен с камерой корпуса динамика и направляет звук, сформированный с задней поверхности динамика. Звуковод располагается между корпусом динамика и модулем дисплея. Корпус динамика имеет конфигурацию, которая соответствует конфигурации верхней крайней части корпуса терминала.
Дальнейшая цель применимости настоящего изобретения станет более очевидной из детального описания, данного ниже. Однако должно быть понятно, что детальное описание и отдельные примеры, при указании предпочтительных вариантов осуществления изобретения, даны только в качестве иллюстрации, так как различные изменения и модификации в пределах сущности и объема изобретения станут очевидными специалистам в данной области техники из детального описания.
Краткое описание чертежей
Сопутствующие чертежи, которые включены для того, чтобы предоставить дополнительное понимание изобретения и объединены, и составляют часть этого описания, иллюстрируют варианты осуществления изобретения и вместе с описанием служат для разъяснения принципов изобретения. На чертежах:
Фиг.1 является видом в разрезе, показывающим часть динамика устройства мобильной связи согласно связанному уровню техники.
Фиг.2 является видом в перспективе устройства мобильной связи согласно первому примерному варианту осуществления настоящего изобретения.
Фиг.3 – вид в разрезе, взятый по линии III-III на фиг.2.
Фиг.4 является покомпонентным видом в перспективе устройства мобильной связи на фиг.2.
Фиг.5 является покомпонентным видом в перспективе устройства мобильной связи согласно второму примерному варианту осуществления настоящего изобретения.
Фиг.6 является видом в вертикальном разрезе устройства мобильной связи согласно третьему примерному варианту осуществления настоящего изобретения.
Фиг.7 является видом в вертикальном разрезе устройства мобильной связи согласно четвертому примерному варианту осуществления настоящего изобретения.
Фиг.8 является видом в вертикальном разрезе устройства мобильной связи согласно пятому примерному варианту осуществления настоящего изобретения;
Фиг.9 является видом в вертикальным разрезе устройства мобильной связи согласно шестому примерному варианту осуществления настоящего изобретения.
Фиг.10 является видом в разрезе устройства мобильной связи, взятым по линии X-X на фиг.9.
Подробное описание изобретения
Устройство мобильной связи согласно примерным вариантам осуществления настоящего изобретения будет теперь описано в деталях со ссылками на сопровождающие чертежи.
Фиг.2 является видом в перспективе устройства мобильной связи согласно первому примерному варианту осуществления настоящего изобретения, фиг.3 является видом в разрезе, взятым по линии III-III на фиг.2, а фиг.4 является покомпонентным видом в перспективе устройства мобильной связи на фиг.2.
Со ссылкой на фиг.2, устройство 100 мобильной связи включает в себя корпус 110 терминала, формирующий внешнюю форму устройства 100 мобильной связи. Корпус 110 терминала включает в себя переднюю панель 110A и заднюю панель 110B, собранные вместе.
Клавиатура 114, включающая в себя множество кнопок ввода, устанавливается так, чтобы быть раскрытой с передней поверхности передней панели 110A, и окно 115 предусмотрено на верхней стороне клавиатуры 114, чтобы позволить пользователю смотреть на экранное изображение, выведенное из модуля 113 дисплея. Микрофон 116 для голосового ввода или другого звука предусмотрен на нижнем конце передней панели 110A, и батарея 117, которая подает энергию устройству 110 мобильной связи, предусмотрена на задней поверхности задней панели 110B.
Модуль 120 динамика предусмотрен в верхней крайней части передней панели 110A. Как показано, модуль 120 динамика может также иметь функцию приемника или может быть осуществлен как отдельный от приемника компонент. Кроме того, в то время как модуль динамика показан в верхней крайней части передней панели 110A рядом с модулем 113 дисплея, модуль динамика может располагаться в других местах в корпусе 110 терминала.
В то время как устройство 100 мобильной связи было показано как устройство мобильной связи типа бруска, понятно, что другие типы устройств мобильной связи могут включать в себя модуль 120 динамика, такие как, например, сдвижного типа, складного типа и их комбинации.
Со ссылкой на фиг.3 и 4, отверстие динамика или крепежное отверстие 111 формируется на передней поверхности передней панели 110A, и модуль 120 динамика плотно присоединяется на внутреннюю сторону отверстия 111 динамика.
Модуль 120 динамика включает в себя корпус 122 динамика, зафиксированный в передней панели 110A и имеющий камеру (C) в нем. Модуль динамика также включает в себя динамик 121, установленный в корпусе динамика так, что передняя сторона динамика раскрыта, а задняя сторона динамика находится внутри камеры (C), так что звук (B), сформированный с задней стороны, может резонировать в камере (C).
Корпус 122 динамика включает в себя крепежное отверстие 124, сформированное на его передней поверхности и имеющее размер, соответствующий передней стороне динамика 121, и динамик 121 располагается в корпусе 122 динамика так, что его передняя сторона раскрывается через крепежное отверстие 124.
Корпус 122 динамика включает в себя переднюю крышку 122A, которая держит динамик 121, и заднюю крышку 122B, соединенную с передней крышкой 122A, для формирования камеры (C). Передняя и задняя крышки 122A и 122B могут быть сделаны из полимерного материала так, чтобы легко формироваться, и могут быть зафиксированы клеем или взаимно сплавлены для объединения в герметически закрытую внутреннюю камеру (C).
Динамик 121 может включать в себя преобразователь (например, комбинацию магнита и катушки) и пластину вибрации, которая формирует вибрацию посредством электричества или может работать пьезоэлектрическим способом (не показано).
Прокладки 128 предусмотрены по краю передней поверхности динамика 121 так, что когда корпус 122 динамика устанавливается в отверстие 111 динамика передней панели 110A, звуки в корпусе 110 терминала не могут непосредственно проникать в корпус 110 терминала. Прокладки 128 могут быть сделаны из эластичного материала, такого как двусторонняя липкая лента.
Соответственно, звук (A), сформированный с передней стороны динамика 121, излучается через отверстие 111 динамика, в то время как звук (B), сформированный с задней поверхности динамика 121, резонирует в камере (C) так, чтобы предоставить низкочастотный звук снаружи устройства 100 мобильной связи.
Со ссылкой на фиг.3 и 4, корпус 122 имеет ширину, соответствующую ширине внутренности корпуса 110 терминала, и, таким образом, громкость внутри камеры (C) увеличивается, чтобы способствовать получению низкочастотного звука за счет отражения.
Соединяющие выступы 119 закрепляются винтами на внутренней поверхности передней и задней панелей 110A и 110B, и сквозные отверстия 123 формируются в обеих краевых частях корпуса 122 динамика, чтобы дать возможность соединяющим выступам 119 проходить через них. Соответственно, корпус 122 динамика может привести к улучшению характеристики динамика 121 без причинения большого изменения в конструкции внутренней структуры корпуса 110 терминала. Другими словами, корпус 122 динамика может быть приспособлен к внутренностям устройств мобильной связи, имеющих многие различные конфигурации, тем не менее, при обеспечении достаточной по размеру камеры (C).
Корпус 122 динамика может быть сформирован в форме, согласующейся с верхней крайней частью корпуса 110 терминала. Конкретно, плотно присоединяя корпус 122 динамика к внутренней поверхности корпуса 110 терминала при увеличении размера камеры (C) для эффекта резонанса, неиспользуемое пространство может быть минимизировано в устройстве 100 мобильной связи.
Камера (C) может иметь размер, который может добавлять изменения давления на задней поверхности динамика 121, когда динамик 121 работает. Как показано на фиг.3, толщина (D) камеры (C) может быть меньше, чем ширина (W), а ширина (W) по существу соответствует горизонтальной ширине устройства 100 мобильной связи, чтобы таким образом увеличивать объем камеры (C). Это размещение может усиливать характеристики низкочастотного звука за счет увеличенного объема при реализации тонкого устройства 100 мобильной связи без затрагивания пространства, используемого другими компонентами.
Фиг.5 является покомпонентным видом в перспективе устройства мобильной связи согласно второму примерному варианту осуществления настоящего изобретения. Со ссылкой на фиг.5, модуль 200 динамика включает в себя звуководы 230 и 240, каждый звуковод 230 и 240 имеет определенную длину и соединяется с камерой (C) корпуса 222 динамика. Звуководы 230 и 240 направляют звук, сформированный с задней поверхности динамика 221, как показано на фиг.5, звук резонирует в камере (C), отводится внутрь устройства 200 мобильной связи через звуководы 230 и 240 и затем передается наружу через переднюю панель 210A или заднюю панель 210B. С этой структурой низкочастотный звук может выводиться более полно.
Здесь могут быть многочисленные блоки звуководов 230 и 240, и они могут быть расположены так, чтобы быть отделенными друг от друга.
Как показано на фиг.5, электрические провода 250, соединенные с динамиком 221, могут быть проведены, чтобы проходить или протягиваться через внутренность звуковода 230. Соответственно, другое пространство для соединения динамика 221 не нужно, таким образом, облегчая обработку и сборку модуля 200 динамика.
На фиг.5 звуководы 230 и 240 расположены между корпусом 222 динамика и модулем 213 дисплея. Конкретно, звуководы 230 и 240 сформированы с такой длиной, чтобы располагаться в пространстве между корпусом 222 динамика, который может быть относительно ограниченным, чтобы увеличить область модуля 213 дисплея настолько, насколько возможно, и модулем 213 дисплея.
Другие компоненты и элементы являются такими же, что и в первом примерном варианте осуществления настоящего изобретения. Эквивалентным (соответствующим) компонентам или элементам даны те же или похожие номера ссылок, и их детальное описание будет опущено. То же самое существует для примерных вариантов с третьего по шестой осуществления настоящего изобретения.
Фиг.6 является видом в вертикальном разрезе устройства мобильной связи согласно третьему примерному варианту осуществления настоящего изобретения. Как показано на фиг.6, корпус 322 динамика соединяется с звуководом 330, протягивающимся с определенной длиной (L) из камеры (C) вовнутрь устройства 300 мобильной связи. Звуковод 330 имеет открытую крайнюю часть, чтобы дать возможность второму звуку (B), сформированному с задней стороны динамика 321, проходить внутри устройства 300 мобильной связи и выводиться.
Звуковод 330 может быть собран, будучи вставленным вокруг отверстия 325 камеры (C). Звуковод 330 может быть расположен в крайних частях модуля 313 дисплея и корпуса 310 терминала так, чтобы не затрагивать внутренние компоненты устройства 300 мобильной связи, такие как модуль 313 дисплея.
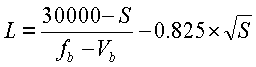
Так как звук (B), сформированный с задней стороны динамика 321, имеет противоположную фазу по отношению к фазе звука (A) (ссылка на фиг.3), сформированного с передней стороны динамика 321, длина (L) звуковода 330 может быть получена с помощью следующего уравнения (1) для того, чтобы предохранить звуки от столкновения (интерференции) друг с другом, чтобы нейтрализовать друг друга. Длина (L) может быть настроена с помощью разных показателей:
 |
(1) |
где S является сегментом отверстия (см2) звуковода 330 и равняется от 0,2 до 0,5 действительного радиуса вибрации динамика 321, fb является частотой настройки (Гц); Vb является объемом (1) герметически закрытого пространства камеры (C), и единица длины (L) – см.
Согласно уравнению (1), так как звук, который должен быть настроен, настраивается на низкочастотный звук, fb становится меньше, в то время как L становится длиннее. Конкретно, для того, чтобы улучшить низкочастотный звук, должна быть обеспечена достаточная длина от задней поверхности динамика 321.
Соответственно, большое количество звука высокочастотного диапазона, излученного после формирования с задней поверхности динамика, затухает, в то время как звук низкочастотного диапазона с сильной дифракцией излучается в фазоинвертированном состоянии вдоль звуковода 330, предоставляющего воздушный тракт, и, таким образом, величина затухания низкочастотного звука может быть уменьшена в целом, а качество низкочастотного звука модуля 320 динамика может быть улучшено.
Таблица 1 показывает данные, полученные при измерении эффектов улучшения качества звука низкочастотного диапазона согласно конструкции настоящего изобретения. В соответствующем экспериментировании камера (С) имеет объем 0,4 см3, и звуковод 330 имеет длину около 1 см, а секция отверстия – около 0,6 см2.
| Таблица 1 |
| Частота настройки (Гц) |
300 |
500 |
700 |
| Звуковое давление без звуковода (дБ) |
34,7 |
47,2 |
54,8 |
| Звуковое давление с звуководом (дБ) |
38,8 |
53,0 |
59,7 |
Согласно Таблице 1, сравнивая устройство мобильной связи с звуководом 330 с устройством мобильной связи без звуковода 330, уровни звукового давления при 300 Гц, 500 Гц и 700 Гц были выше примерно на 4,1 дБ, 5,8 дБ и 4,9 дБ, соответственно. Это означает, что низкочастотный звук улучшается посредством предоставления звуковода 330.
Фиг.7 является видом в вертикальном разрезе устройства мобильной связи согласно четвертому примерному варианту осуществления настоящего изобретения.
Со ссылкой на фиг.7, корпус 422 динамика включает в себя первое и второе отверстия 425 и 426, связанные с камерой (C) и расположенные отдельно друг от друга. Первый и второй звуководы 430 и 440 соединены с первым и вторым отверстиями 425 и 426, соответственно. Вторые звуки B и B’ излучаются через первый и второй звуководы 430 и 440. В этом случае первый и второй звуководы 430 и 440 имеют секции отверстий (S), которые могут быть изменяемыми для того, чтобы дать возможность настраивать частоту.
Звуковод 430 сформирован так, чтобы быть гибким, так что он может располагаться так, чтобы быть изогнутым или согнутым вдоль остающегося пространства в устройстве 400 мобильной связи. Конкретно, как показано на фиг.7, первый звуковод 430 может включать в себя изогнутую часть 432, сформированную для того, чтобы сделать обход, чтобы уклониться от компонента 433 устройства 400 мобильной связи. Таким образом, несмотря на то, что требуется иметь звуковод определенной длины, ограничения в конструкции и расположении компонентов в устройстве 400 мобильной связи могут быть уменьшены, чтобы разнообразить конструкции и позволить большую гибкость.
Фиг.8 является видом в вертикальном разрезе устройства мобильной связи согласно пятому примерному варианту осуществления настоящего изобретения. Как показано на фиг.8, звуковод 530 включает в себя часть 532 управления длиной, которая может управлять его длиной (L). Так как длина звуковода 530 может непосредственно управляться, может быть выполнена точная настройка.
Часть 532 управления длиной сейчас будет описана в деталях. Часть 532 управления длиной включает в себя часть 533 складок в определенной части звуковода 530, часть 533 складок имеет множество складок, которые являются гибко растяжимыми. Таким образом, без изменений в секционной области звуковода 530 часть 533 складок может сгибаться или разгибаться для того, чтобы управлять общей длиной (L) звуковода 530.
Фиг.9 является видом в вертикальном разрезе устройства мобильной связи согласно шестому примерному варианту осуществления настоящего изобретения, а фиг.10 является видом в вертикальном разрезе устройства мобильной связи на фиг.9, взятым по линии X-X.
Со ссылкой на фиг.9, на передней поверхности передней панели 610A сформированы первое отверстие 611 динамика и второе отверстие 612 динамика, разнесенное с промежутком от первого отверстия 611 динамика.
Со ссылкой на фиг.10, первый корпус 622 динамика с динамиком 623, установленным в нем, предусмотрен на внутренней стороне первого отверстия 611 динамика, а полость второго корпуса 650 динамика предусмотрена на внутренней стороне второго отверстия 612 динамика.
Первый корпус 622 соединяется с первым и вторым звуководами 630 и 640. Первый звуковод 630 формирует открытый канал с определенной длиной во внутреннем пространстве передней панели 610A и задней панели 610B, составляющих главную камеру, а второй звуковод 640 составляет вспомогательную камеру, соединенную со вторым корпусом 650, чтобы непосредственно излучать второй звук B’ наружу, таким образом осуществляя более направленные эффекты усиления низкочастотного звука.
Как также описано далее, модуль динамика согласно настоящему изобретению сконструирован, чтобы уменьшить взаимную интерференцию (помехи) между звуком, сформированным с передней стороны динамика, и звуком, излученным с его задней стороны, таким образом улучшая характеристики среднечастотного и низкочастотного звука. Кроме того, так как корпус динамика имеет звуководы, характеристика низкочастотного звука может быть улучшена. Кроме того, так как корпусы динамика могут быть сформированы в различных формах, их характеристики крепления и использование пространства в устройстве мобильной связи могут быть улучшены, чтобы сделать устройство мобильной связи тоньше.
Так как настоящее изобретение может быть осуществлено в нескольких формах без отступления от сущности или существенных характеристик изобретения, необходимо также понимать, что вышеописанные варианты осуществления не ограничиваются любыми деталями предшествующего описания, если не указано иное, а скорее должны быть широко реализованы в рамках их сущности и объема, которые определены в прилагаемой формуле изобретения, и поэтому все изменения и модификации, которые попадают в границы и ограничения формулы изобретения, или эквиваленты таким границам и ограничениям, поэтому подразумеваются охваченными прилагаемой формулой изобретения.
Формула изобретения
1. Устройство мобильной связи, содержащее корпус терминала и модуль динамика, расположенный в корпусе терминала, модуль динамика включает в себя корпус динамика, расположенный в корпусе терминала, корпус динамика задает камеру в нем и динамик, имеющий переднюю поверхность и заднюю поверхность, располагающиеся в корпусе динамика так, что передняя поверхность динамика раскрывается из корпуса, а его задняя поверхность помещается в камеру, чтобы позволить звуку, сформированному с задней поверхности, резонировать в камере, и, по меньшей мере, один звуковод, соединенный с камерой, причем звуковод имеет оконечную часть, раскрытую внутри корпуса терминала.
2. Устройство по п.1, в котором корпус динамика включает в себя переднюю поверхность, имеющую крепежное отверстие, расположенное в ней, причем крепежное отверстие имеет размер, соответствующий передней поверхности динамика, и передняя поверхность динамика раскрыта через крепежное отверстие.
3. Устройство по п.2, в котором корпус имеет ширину, соответствующую внутренности корпуса терминала.
4. Устройство по п.3, в котором корпус терминала включает в себя переднюю панель, раскрывающую переднюю поверхность динамика, заднюю панель, соединенную с передней панелью соединяющими выступами, а корпус динамика включает в себя, по меньшей мере, одно сквозное отверстие, позволяющее соединяющим выступам проходить через него.
5. Устройство по п.1, в котором корпус динамика включает в себя переднюю крышку, на которой расположен динамик, и заднюю крышку, соединенную с передней крышкой для формирования камеры.
6. Устройство мобильной связи, содержащее корпус терминала и модуль динамика, расположенный в корпусе терминала, модуль динамика включает в себя корпус динамика, расположенный в корпусе терминала, корпус динамика формирует камеру для резонирования, динамик, имеющий переднюю поверхность и заднюю поверхность, располагающиеся в корпусе динамика так, что передняя поверхность раскрывается, а его задняя поверхность помещается в камеру, чтобы позволить звуку, сформированному с задней поверхности, резонировать, и звуковод, соединенный с корпусом динамика и направляющий звук в камеру, причем звуковод имеет оконечную часть, раскрытую внутри корпуса терминала.
7. Устройство по п.6, в котором звуковод имеет длину, достаточную, чтобы позволить фазе звука, сформированного с задней поверхности динамика, инвертироваться.
8. Устройство по п.6, в котором звуковод является гибким.
9. Устройство по п.6, в котором корпус динамика включает в себя отверстие и звуковод вставляется в отверстие так, чтобы соединяться с камерой.
10. Устройство по п.6, в котором звуковод включает в себя часть управления длиной, которая управляет длиной звуковода.
11. Устройство по п.10, в котором часть управления длиной включает в себя множество растягиваемых складок.
12. Устройство по п.6, в котором электрический провод, соединенный с динамиком, протянут через внутренность звуковода.
13. Устройство по п.6, в котором модуль динамика включает в себя, по меньшей мере, второй звуковод, соединенный с корпусом динамика и направляющий звук в камеру.
14. Устройство по п.13, в котором корпус терминала включает в себя первое отверстие динамика, которое излучает звук, сформированный с передней поверхности динамика, и второе отверстие динамика, которое размещается с промежутком от первого отверстия динамика и соединяется с одним из звуководов для того, чтобы излучать звук.
15. Устройство по п.6, в котором корпус терминала включает в себя переднюю панель, раскрывающую переднюю поверхность динамика, заднюю панель, соединенную с передней панелью соединяющими выступами, а корпус динамика включает в себя, по меньшей мере, одно сквозное отверстие, позволяющее соединяющим выступам проходить через него.
16. Устройство мобильной связи, содержащее корпус терминала, модуль дисплея, расположенный в корпусе терминала, и модуль динамика, расположенный рядом с модулем дисплея, в котором модуль динамика включает в себя корпус динамика, расположенный в корпусе терминала, корпус динамика формирует камеру, и динамик, имеющий переднюю поверхность и заднюю поверхность, динамик располагается в корпусе динамика так, что передняя поверхность динамика раскрывается из корпуса динамика, а его задняя поверхность находится в камере, чтобы позволить звуку с его задней поверхности резонировать, по меньшей мере, один звуковод, соединенный с камерой, причем звуковод имеет оконечную часть, раскрытую внутри корпуса терминала.
17. Устройство по п.16, в котором звуковод находится между корпусом динамика и модулем дисплея.
18. Устройство по п.16, в котором корпус динамика имеет конфигурацию, которая соответствует конфигурации верхней крайней части корпуса терминала.
РИСУНКИ
|
|