Патент на изобретение №2352587
|
|||||||||||||||||||||||||||||||||||||||||||||||||||||||||||||||||||||||||||||||||||||||||||||||||||||||||||||||||||||||||||
(54) СПОСОБ ПОЛУЧЕНИЯ ПОЛИМЕТИЛМЕТАКРИЛАТА
(57) Реферат:
Изобретение относится к способам получения полиметилметакрилата. Техническая задача – разработка способа получения полиметилметакрилата с использованием технически доступных инициаторов. Предложен способ получения полиметилметакрилата путем полимеризации метилметакрилата в присутствии геминальных бисгидропероксидов при повышенной температуре. По сравнению с прототипом предложенный способ требует меньше времени и меньшее количество инициатора. 1 табл.
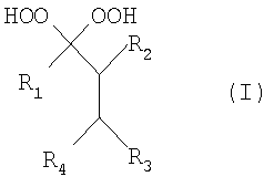
Настоящее изобретение относится к области химии высокомолекулярных соединений, конкретно к способу получения полиметилметакрилата с использованием геминальных бисгидропероксидов. Полиметилметакрилат, получаемый радиальной полимеризацией в массе, – бесцветный прозрачный полимер с высокой проницаемостью для видимого и УФ-света, хорошими электроизоляционными свойствами и высокой стойкостью к действию атмосферных факторов. Полиметилметакрилат нашел широкое применение в автомобильной промышленности, приборостроении и для изготовления товаров народного потребления. Известен способ получения полиметилметакрилата полимеризацией метилметакрилата под действием диалкилпероксидов в качестве инициаторов радикальной полимеризации в присутствии растворителя и при температуре процесса 90-200°С. Способ отличается от предлагаемого использованием растворителя, достаточно высокой температурой проведения процесса, а также использованием других по строению пероксидов [US 2003/0225229 от 4.12.2003]. Известен также и принят нами за прототип способ получения полиметилметакрилата путем полимеризации метилметакрилата под действием стиролсодержащего пероксида в качестве инициатора радикальной полимеризации в количестве 10% весовых от метилметакрилата. Процесс ведут при температуре 50-100°С в инертной атмосфере в закрытой емкости в течение 16 часов [патент GB 1262890 по заявке Способ отличается от предлагаемого применением большего количества (10% весовых от метилметакрилата) иных по строению класса пероксидов, которые в свою очередь достаточно трудоемкие по методу синтеза (получаются в несколько стадий из других предварительно приготовленных пероксидов), т.е. технологически малодоступны. Кроме того, процесс достаточно продолжительный – 16 часов. Задачей настоящего изобретения является создание способа получения полиметилметакрилата, позволяющего упростить процесс полимеризации за счет использования технологически доступных инициаторов и сокращения времени реакции. Поставленная задача достигается способом получения полиметилметакрилата путем полимеризации метилметакрилата в присутствии пероксидного инициатора при повышенной температуре, отличительной особенностью которого является использование в качестве пероксидного инициатора геминальных бисгидропероксидов общей формулы (I):
Процесс ведут при температуре 60-96°С в отсутствии растворителя; время реакции 5-8 часов. Применение геминальных бисгидропероксидов как инициаторов полимеризации метилметакрилата позволяет упростить процесс за счет использования технологически доступных инициаторов, которые получают из промышленно производимого сырья, такого как кетоны и водные растворы пероксида водорода; сократить время реакции (5-8 часов) и использовать инициаторы в достаточно малых количествах (0.05-0.5%) ввиду их активности. Кроме того, процесс не требует использования растворителя и высоких температур, при этом сохраняется достаточно высокий выход полиметилметакрилата 57-93%. Отличительной особенностью способа является то, что эти пероксиды не использовались для получения полиметилметакрилата. Высокий выход полиметилметакрилата оказался неожиданным, поскольку ранее на основании общепринятых представлений об инициировании пероксидами (соединениями с фрагментом О-О) радикальной полимеризации авторами была предпринята попытка полимеризации указанными геминальными бисгидропероксидами родственного по структуре (содержащего электроноакцепторный заместитель при двойной связи) акрилонитрила, в результате, в аналогичных условиях, выход полиакрилонитрила составил 31% (см. сравнительный пример). При распаде геминальных бисгидпропероксидов образуется ряд активных радикальных частиц, которые инициируют полимеризацию. Механизм зарождения и развития цепи с использованием 1,1-бисгидропероксициклогексана выглядит следующим образом: Вследствие того, что при распаде геминальных бисгидропероксидов образуются радикальные частицы иного строения, чем при распаде других типов пероксидов, используемых для полимеризации непредельных соединений, полимеризация этих непредельных соединений с применением геминальных бисгидропероксидов может не протекать. Факт образования из геминальных бисгидропероксидов радикальных частиц иного строения делает неочевидным получение полимеров с их использованием. Ранее геминальные бисгидропероксиды, за исключением низших гомологов, например производных ацетона и метилэтилкетона, которые по склонности к радикальному распаду значительно отличаются от более высокомолекулярных структур, были труднодоступны или недоступны; их использование в качестве инициаторов полимеризации представлялось экономически нецелесообразным и не исследовалось. Недавно авторами предложены удобные низкозатратные и технологичные методы получения геминальных бисгидропероксидов: – А.О.Terent’ev, A.V.Kutkin, М.М.Platonov, Y.N.Ogibin, G.I.Nikishin. A new method for synthesis of bishydroperoxides based on a reaction of ketals with hydrogen peroxide catalyzed by boron trifluoride complexes. Tetrahedron Letters, 2003, 44, 7359-7363; – A.O.Terent’ev, M.M.Platonov, Yu.N.Ogibin, G.I.Nikishin. Convenient synthesis of geminal bishydroperoxides by the reaction of ketones with hydrogen peroxide. Synthetic Communications, 2007,37(8), 1281-1287; – A.O.Терентьев, M.M.Платонов, Г.И.Никишин, M.M.Корольков, A.B.Куткин, А.Ю.Уткин. Способ получения геминальных дигидропероксидов. Заявка на получение патента РФ, Эти методы в сочетании с исследованиями по использованию средне- и высокомолекулярных геминальных бисгидропероксидов для инициирования полимеризации могут стать основой для создания нового класса промышленно производимых пероксидных инициаторов. Изобретение иллюстрируется следующими примерами. Пример 1. В ампулу объемом 5 мл загружают метилметакрилат (0.445 г), содержащий 0.1% мас. 1,1-бисгидропероксициклопентана. Ампулу охлаждают жидким азотом и в течение ~10 мин при ~1 мм рт.ст. удаляют растворенные в метилметакрилате газы (в первую очередь кислород). Ампулу размораживают. Данный процесс “замораживание-размораживание” повторяют до прекращения вспенивания раствора при размораживании. Реакционную массу нагревают 8 ч при температуре 60°С. Затем ампулу охлаждают, вскрывают и растворяют твердый полиметилметакрилат в 10 мл хлороформа. Полимер высаживают добавлением раствора в хлороформе в 50 мл метанола. Полиметилметакрилат отфильтровывают и сушат в вакуум-сушильном шкафу при 70°С до постоянного веса. Выход 0.438 г. Полимеризацию метилметакрилата, инициируемую другими соединениями, проводят по аналогичной методике (таблица 1). Для сравнения, по похожей методике проведена полимеризация метилметакрилата с использованием промышленно производимого бис-(азоизобутиронитрила) опыты 10 и 11 (таблица 1). Показано, что выходы полимеров в опытах 1-9 и 10,11 сопоставимы. Пример 2 (сравнительный). В ампулу объемом 5 мл загружают акрилонитрил (0.980 г), содержащий 0,05% мас. 2,2-бисгидроперокси-4-метилпентана. Ампулу охлаждают жидким азотом и в течение ~10 мин при ~1 мм рт.ст. удаляют растворенные в акрилонитриле газы (в первую очередь кислород). Ампулу размораживают. Данный процесс “замораживание-размораживание” повторяют до прекращения вспенивания раствора при размораживании. Реакционную массу нагревают 6 ч при температуре 60°С. Затем ампулу охлаждают, вскрывают и растворяют твердый полиакрилонитрил в 10 мл диметилформамида. Полимер высаживают добавлением раствора в диметилформамиде в 40 мл метанола. Затем полиакрилонитрил отфильтровывают и сушат в вакуум-сушильном шкафу при ~ 70°С до постоянного веса. Выход 0.302 г.
Формула изобретения
Способ получения полиметилметакрилата путем полимеризации метилметакрилата в присутствии пероксидного инициатора при повышенной температуре, отличающийся тем, что в качестве пероксидного инициатора используют геминальные бисгидропероксиды общей формулы
|
|||||||||||||||||||||||||||||||||||||||||||||||||||||||||||||||||||||||||||||||||||||||||||||||||||||||||||||||||||||||||||

35879/69].


ln, дл/г (ХЛФ)
составляет ~460000 и 1250000 соответственно. 