|
|
(21), (22) Заявка: 2008101642/04, 23.01.2008
(24) Дата начала отсчета срока действия патента:
23.01.2008
(46) Опубликовано: 20.04.2009
(56) Список документов, цитированных в отчете о поиске:
РОЗЕН A.M. и др. Радиохимия, 1975, т.17, 2, с.237-243. РОЗЕН A.M. и др. Радиохимия, 1975, т.17, 5, с.709-719. РОЗЕН A.M. и др. Радиохимия, 1975, 5, с.772-777.
Адрес для переписки:
142432, Московская обл., Ногинский р-н, г. Черноголовка, Школьный б-р, 14, кв.133, В.Е. Баулину
|
(72) Автор(ы):
Баулин Дмитрий Владимирович (RU), Баулин Владимир Евгеньевич (RU), Цивадзе Георгий Асланович (RU), Сафиулина Алфия Минеровна (RU)
(73) Патентообладатель(и):
ООО “ПРАЙМ-ИНВЕСТ” (RU)
|
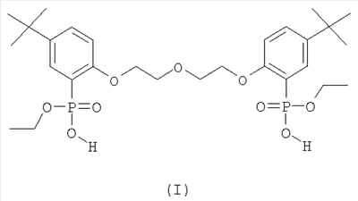
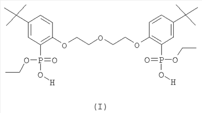
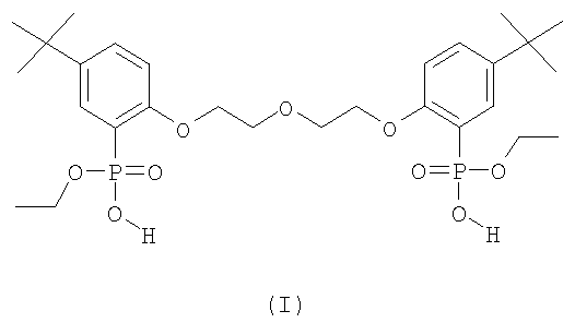
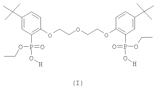
(54) 1,5-БИС[2-(ОКСИЭТОКСИФОСФИНИЛ)-4-(ТРЕТ-БУТИЛ)ФЕНОКСИ]-3-ОКСАПЕНТАН В КАЧЕСТВЕ ЛИГАНДА ДЛЯ ИЗБИРАТЕЛЬНОГО ИЗВЛЕЧЕНИЯ ТОРИЯ (IV) В РЯДУ УРАНА (VI) И ЛАНТАНА (III) ИЗ АЗОТНОКИСЛЫХ СРЕД
(57) Реферат:
Настоящее изобретение относится к фосфорорганическому соединению формулы (I), которое может быть использовано для избирательного извлечения тория (IV) из растворов, содержащих смеси соединений тория (IV), урана (VI) и лантана (III).

Технический результат – разработка нового высокоэффективного средства для селективного извлечения тория из смесей с соединениями урана и лантана. 2 табл.
Изобретение относится к химии фосфорорганических соединений с Р-С-связью, а именно к новому полиэфирному соединению формулы (I), которое может быть использовано в качестве лиганда для избирательного связывания тория (IV) в ряду урана (VI) и лантана (III).
Целью изобретения является повышение избирательности фосфорорганических лигандов к связыванию тория (IV) в ряду урана (VI) и лантана (III), что достигается использованием соединения формулы (I):

Наиболее близким аналогом к предлагаемому техническому решению является диокись тетрафенилметилендифосфина (II):

Экстракционная способность этого соединения по отношению к лантаноидам и актиноидам подробно изучена в следующих работах:
2, стр.237-243.
5, стр.709-719.
5, стр.772-777.
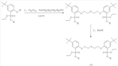
Соединение формулы (I) 1,5-Бис[2-(оксиэтоксифосфинил)-4-(третбутил)-фенокси]-3-оксапентан синтезируют в две стадии исходя из 2-диэтоксифосфинил-4-третбутилфенола. Взаимодействие которого с дитозилатом диэтиленгликоля в присутствии безводного карбоната цезия в кипящем диоксане дает промежуточное соединение -1,5-Бис[2-(диэтоксифосфинил)-4-третбутил-фенокси]-3-оксапентан. Последующий щелочной гидролиз, которого приводит к целевому соединению (I) (схема 1):

Схема 1
Следующие примеры иллюстрируют изобретения:
1,5-Бис[2-(диэтоксифосфинил)-4-(третбутил)-фенокси1-3-оксапентан. К раствору 2.58 г (0.01 моль) 2-диэтоксифосфинил-4-третбутилфенола в 35 мл сухого диоксана добавили 3.26 г (0.01 моль) мелкорастертого безводного карбоната цезия, смесь перемешивали 15 мин и затем добавили 2.07 г (0.005 моль) дитозилата диэтиленгликоля, нагрели до кипения и перемешивали 8 час и упарили в вакууме. К остатку добавили 50 мл воды и смесь экстрагировали хлороформом (3×30 мл). Экстракт промыли водой (3×25 мл), высушили сульфатом натрия и упарили в вакууме. Остаток хроматографировали на колонке с силикагелем марки L (100-160µ), элюент – хлороформ и хлороформ – изопропиловый спирт (20:1). Выход целевого соединения составил 2.21 г (69%), вязкое масло. Найдено, %: С 59.72, Н 8.09, Р 9.28. С32Н52O9Р2. Вычислено, %: С 59.80, Н 8.16, Р 9.64. Спектр ПМР, , м.д. (CDCl3): 1.18 т (12Н, 3Jн-н=7.0 Гц СН3СН2O), 1.28 с (18Н, СН3-Ar) 4.16 м, (8Н, ОСН2СН3), 3.86 м (4Н, OCH2CH2), 3.97 м (4Н, ОСН2СН2), 6.75 – 7.24 м (6Н, Ar-Н.). Спектр ЯМР 31Р, , м.д.(CDCl3): 26.65.
1,5-Бис[2-(оксиэтоксифосфинил)-4-(третбутил)-фенокси1-3-оксапентан (I). К раствору 2.10 г (0.0032 моль) 1,5-Бис[2-(диэтоксифосфинил)-4-(третбутил)-фенокси]-3-оксапентана, в 25 мл этанола добавили 5 мл 20% раствора NaOH. Реакционную смесь кипятили при перемешивании 8 час, разбавили 100 мл воды, подкислили концентрированной HCl до рН 1 и смесь экстрагировали хлороформом (3×30 мл). Экстракт промыли разбавленной (1:1) HCl, водой (3×30 мл), высушили Na2SO4 и удалили растворитель в вакууме. К остатку добавили 20 мл метилэтилкетона и отфильтровали осадок. Выход (I) 1.43 г (75%), т.пл. = 166-168°С. Найдено, %: С 57.08, Н 7.48, Р 10.28. C28H44O9P2. Вычислено, %: С 57.33, Н 7.56, P 10.50. Спектр ПМР, , м.д. (CDCl3): 1.27 т (6Н, 3Jн-н – 7.0 Гц СН3СН2O), 1.32 с (18Н, СН3-Ar) 4.06 м, (4Н, OCH2СН3), 3.80 м (4Н, ОСН2СН2), 3.99 м (4Н, ОСН2СН2), 6.75-7.24 м (6Н,Ar-Н). Спектр ЯМР 31Р, , м.д. (CDCl3): 23.05.
Методика испытаний экстракционной способности заявляемого соединения (I) и его аналога (II). В пробирку с притертой пробкой вводили 1,5 мл HNO3 (концентрации 0,06 моль/л, 0,59 моль/л, 0,92 моль/л, 2,81 моль/л, 5,40 моль/л), 0,5 мл раствора гексагидроуранилнитрата UO2(NO3)2·6Н2O, гексагидрата нитрата лантана La(NO3)3·6Н2O, пентагидрата нитрата тория Th(NO4)4·5H2O с концентрацией 0,01 моль/л, 2 мл органической фазы (0,01 моль/л раствор органического реагента готовили по точной навеске в дихлорэтане). Контакт фаз осуществляли перемешиванием в течение 20 мин. Расслаивание фаз осуществляли центрифугированием. Разделяли фазы и отбирали аликвоту для спектрофотометрического анализа с арсеназо III. Спектрофотометрическое определение металлов в обеих фазах осуществляли с применением спектрофотометра Cary50Scan (Varian). Анализ проводили в кварцевых кюветах (l=1 см) при длине волны 652 нм с относительным квадратичным отклонением 0,0015 процентом ошибки 4,5%.
Данные по извлечению тория (IV) в ряду урана (VI) и лантана (III) из азотнокислых сред соединениями (I) и (II) представлены в таблицах 1 и 2.
| Таблица 1. |
| Коэффициенты распределения тория (IV), урана (VI) и лантана (III) при экстракции 0,01 моль/л раствором соединения (II) в дихлорэтане в зависимости от концентрации азотной кислоты |
| [HNO3], моль/л |
DU |
DTh |
dLa |
| 0,06 |
1.06 |
– |
– |
| 0,59 |
5.10 |
– |
– |
| 0,92 |
– |
– |
– |
| 2,81 |
51.90 |
0.06 |
57.00 |
| 5,40 |
51.90 |
– |
– |
| Таблица 2. |
| Коэффициенты распределения тория (IV), урана (VI) и лантана (III) при экстракции 0,01 моль/л раствором соединения (I) в дихлорэтане в зависимости от концентрации азотной кислоты |
| [HNO3], моль/л |
DU |
DTh, |
DLa |
| 0,06 |
1.42 |
65 |
0.01 |
| 0,59 |
1.43 |
65 |
0.01 |
| 0,92 |
1.44 |
65 |
0.01 |
| 2,81 |
1.44 |
65 |
0.01 |
| 5,40 |
1.44 |
65 |
0.01 |
Таким образом, по способности избирательно извлекать торий (IV) в ряду урана (VI) и лантана (III) соединение (I) является эффективным селективным лигандом, превосходя при этом известные лиганды аналогичного типа. Величины DTh, DU и DLa не изменяются в широком интервале концентраций HNO3 от 0.06 моль/л до 5.4 моль/л и составляют 65; 1,44; 0,01 соответственно. При этом факторы разделения в одну стадию экстракции в указанном диапазоне концентраций HNO3 составляют Th(IV)/U(VI)=45, Th(IV)/La(III)=6500. Это позволяет извлекать и концентрировать Th(IV) из растворов различного состава.
Формула изобретения
1,5-Бис[2-(оксиэтоксифосфинил)-4-(трет-бутил)фенокси]-3-оксапентан (I)
 в качестве лиганда для избирательного извлечения тория (IV) в ряду урана (VI) и лантана (III) из азотнокислых сред.
|
|