|
(21), (22) Заявка: 2007104104/04, 01.07.2005
(24) Дата начала отсчета срока действия патента:
01.07.2005
(30) Конвенционный приоритет:
02.07.2004 US 60584968
(43) Дата публикации заявки: 10.08.2008
(46) Опубликовано: 20.04.2009
(56) Список документов, цитированных в отчете о поиске:
US 6737417 В2, 18.05.2004. US 6548667 В2, 15.04.2003.
(85) Дата перевода заявки PCT на национальную фазу:
02.02.2007
(86) Заявка PCT:
US 2005/023363 20050701
(87) Публикация PCT:
WO 2006/014324 20060209
Адрес для переписки:
119034, Москва, Пречистенский пер., д.14, стр. 1, 4 этаж, “Гоулингз Интернэшнл ИНК.”, В.Н.Дементьеву
|
(72) Автор(ы):
МЭТХАР Арвинд (US), КУМАР К. Селва (IN)
(73) Патентообладатель(и):
БРИСТОЛ-МАЕРС СКВИББ КОМПАНИ (US)
|
(54) СПОСОБ ПОЛУЧЕНИЯ АМИНОКИСЛОТ, ПРИМЕНЯЕМЫХ В СИНТЕЗЕ МОДУЛЯТОРОВ ПЕПТИДНЫХ РЕЦЕПТОРОВ
(57) Реферат:
Настоящее изобретение описывает способы получения новых интермедиатов, пригодных для синтеза аминокислот, применяемых для получения модуляторов пептидных рецепторов, например агонистов или частичных агонистов таких пептидных рецепторов. Такие модуляторы пептидных рецепторов включают, например, модуляторы рецепторов глюкагоноподобного пептида, применимые для облегчения диабетического состояния. 3 н.п. ф-лы.
ОБЛАСТЬ, К КОТОРОЙ ОТНОСИТСЯ ИЗОБРЕТЕНИЕ
Настоящее изобретение относится к способу, пригодному для получения интермедиатов в синтезе аминокислот, применимых для приготовления модуляторов пептидных рецепторов, например агонистов или частичных агонистов таких пептидных рецепторов. Такие модуляторы пептидных рецепторов включают, например, модуляторы рецепторов гдюкагоноподобного пептида – 1, применимые для облегчения диабетического состояния.
ПРЕДПОСЫЛКИ СОЗДАНИЯ ИЗОБРЕТЕНИЯ
Целесообразно создать модуляторы пептидного рецептора, которые можно было бы применять для воздействия на нативную активность такого рецептора и, таким образом, для воздействия на биологические пути, в которых участвует такой рецептор.
Например, GLP-1 представляет собой важный кишечный гормон с функцией регуляции метаболизма глюкозы и желудочно-кишечной секреции и метаболизма. Найдено, что он является очень мощным и эффективным стимулятором высвобождения инсулина. Следовательно, целесообразно получить модуляторы пептидных рецепторов, например рецептора GLP-1, который влияет на нативную активность рецептора, вызывая заданный биологический отклик.
Таким образом, настоящее изобретение заключается в новом способе получения интермедиатов синтеза аминокислоты, которую можно применять для приготовления модуляторов пептидных рецепторов, например модуляторов рецептора GLP-1, включая агонисты или частичные агонисты.
СУЩНОСТЬ ИЗОБРЕТЕНИЯ
В одном аспекте настоящее изобретение относится к способу получения соединения Формулы I:

причем этот способ включает стадии:
метилирование 3-этилфенола с образованием 3-этиланизола;
бромирование 3-этиланизола в пара-положение к метоксигруппе с образованием 4-бром-3-этиланизола; превращение 4-бром-3-этиланизола, причем это превращение включает (а) реакцию 4-бром-3-этиланизола с н-бутиллитием с образованием литиевой соли соответствующего аниона 4-бром-3-этиланизола; (б) реакцию литиевой соли аниона 4-бром-3-этиланизола с триэтилборатом; и (в) гашение (нейтрализацию) водным раствором кислоты.
В другом аспекте настоящее изобретение относится к способу получения соединения Формулы (I):

который включает стадии:
метилирование 3-этилфенола с образованием 3-этиланизола путем взаимодействия смеси 3-этилфенола и карбоната калия с метилиодидом;
бромирование указанного 3-этиланизола в пара-положение к метоксигруппе при взаимодействии с N-бромсукцинимидом с образованием 4-бром-3-этиланизола;
превращение указанного 4-бром-3-этиланизола, которое включает (а) реакцию 4-бром-3-этиланизола с н-бутиллитием с образованием литиевой соли соответствующего аниона 4-бром-3-этиланизола; (б) реакцию литиевой соли аниона 4-бром-3-этиланизола с три-н-бутилборатом; и (в) нейтрализацию 1.5 N водным раствором соляной кислоты в соответствии со схемой 1:
Схема 1

В другом аспекте настоящее изобретение относится к способу получения соединения Формулы II:

причем этот способ включает стадии:
метилирование 3-этилфенола с образованием 3-этиланизола;
бромирование 3-этиланизола в пара-положение к метоксигруппе с образованием 4-бром-3-этиланизола;
превращение 4-бром-3-этиланизола, это превращение включает (а) реакцию 4-бром-3-этиланизола с н-бутиллитием с образованием литиевой соли соответствующего аниона 4-бром-3-этиланизола; (б) реакцию литиевой соли аниона 4-бром-3-этиланизола с три-н-бутилборатом; и (в) гашение (нейтрализацию) водным раствором кислоты;
реакция полученной 2-этил-4-метоксифенилбороновой кислоты с ангидридом трифторметансульфоновой кислоты и соответствующим образом защищенной аминокислоты – тирозина – в присутствии палладиевого катализатора (реакция Сузуки); и
снятие защитной группы с карбоксильной группы полученной бифениламинокислоты с образованием аминозащищенной аминокислоты, пригодной для введения в модулятор пептидного рецептора;
снятие защиты с аминогруппы в обычных условиях.
Соединение Формулы II можно также получить по схеме 2, представленной ниже:

Схема 2

ПОДРОБНОЕ ОПИСАНИЕ ИЗОБРЕТЕНИЯ
Настоящее изобретение относится к способам получения интермедиатов синтеза аминокислоты, которую можно применять для приготовления модуляторов пептидных рецепторов, например модуляторов рецептора GLP-1, включая агонисты или частичные агонисты.
Такие модуляторы пептидных рецепторов можно применять для воздействия на нативную активность такого рецептора и тем самым влиять на биологические пути, в которых участвует такой рецептор. Например, GLP-1 является важным кишечным гормоном с функцией регуляции метаболизма глюкозы и желудочно-кишечной секреции и метаболизма, и найдено, что он является очень мощным и эффективным стимулятором высвобождения инсулина.
Способы по настоящему изобретению применимы для получения соединения Формулы I:

которое применимо для синтеза аминокислот Формулы II:

Соединения Формулы II пригодны для получения модуляторов пептидных рецепторов.
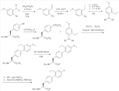
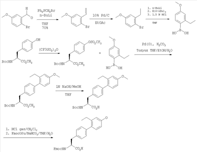
Пример 1
Синтез (2-этил-4-метокси)фенилбороновой кислоты
(2-этил-4-метокси)фенилбороновую кислоту (Формула I) получают как показано на Схеме 1: (1) метилирование 3-этилфенола с образованием 3-этиланизола; (2) бромирование 3-этиланизола в пара-положение к метоксигруппе с образованием 4-бром-3-этиланизола; (3) превращение 4-бром-3-этиланизола, причем это превращение включает (а) реакцию 4-бром-3-этиланизола с н-бутиллитием с образованием литиевой соли соответствующего аниона 4-бром-3-этиланизола; (б) реакцию литиевой соли аниона 4-бром-3-этиланизола с триэтилборатом; и (в) гашение (нейтрализацию) водным раствором кислоты.
В частности, к смеси 3-этилфенола (50 г, 0.4 моль, чистота 98%, Fluka) и K2СО3 (283 г, 2.05 моль) прибавляют метилиодид (290 г, 2.05 моль). Реакционную смесь переносят в автоклав и кипятят при 70°С в течение ночи. Реакционную смесь фильтруют через слой целлита. Целит промывают ацетоном и объединенные фильтрат и промывные жидкости упаривают. Продукт растворяют в DCM (хлористом метилене), фильтруют и упаривают досуха. Выход 50 г, 90% (жидкость коричневого цвета).
3-Этиланизол (50 г, 0.3676 моля) и N-бромсукцинимид (72 г, 0.4 моль) в ацетонитриле (1 л) перемешивают 8 часов в темноте при RT (комнатной температуре). Реакционную смесь упаривают при температуре ниже 40°С и полученный остаток снова растворяют в CCl4 и фильтруют. Фильтрат упаривают и продукт очищают фракционной перегонкой. Выход: 35 г, 43% (жидкость бледно-желтого цвета).
Раствор 4-бром-3-этиланизола (94 г, 0.437 моль) в ТГФ (900 мл) охлаждают до -78°С. При этой же температуре по каплям прибавляют н-бутиллитий (249 мл, 0.55 моль). Продолжают перемешивание при -78°С еще в течение 1 часа. При -78°С медленно, в течение 1 часа, прибавляют три-н-бутилборат (177 мл, 0.655 моль). Охлаждающую баню убирают, реакционную смесь оставляют нагреваться до 0°С и при этой температуре добавляют (нейтрализуют) 1.5 N соляную кислоту. Органический слой отделяют. Водный слой экстрагируют этилацетатом и объединенные органические вытяжки промывают рассолом и упаривают. Полученный остаток перемешивают в петролейном эфире в течение 30 минут. Образующийся осадок отфильтровывают и сушат в вакууме. Выход 65 г, 82% (твердое вещество белого цвета).
Схема 1

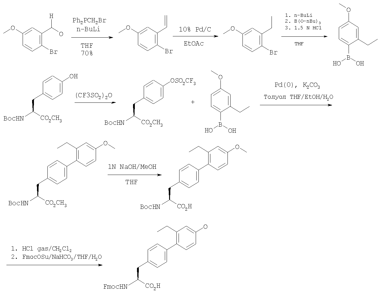
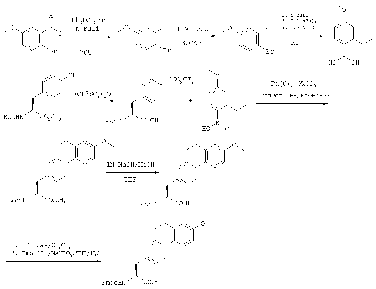
Пример 2
Синтез аминокислоты
Полученную (2-этил-4-метокси)фенилбороновую кислоту используют для получения аминокислоты Формулы II по схеме 2:

Схема 2

Пример 3
Синтез модуляторов пептидного рецептора
Модуляторы пептидного рецептора, которые можно получать таким образом с применением соединения Формулы II (Пример 2), включают модулятор GLP-1 рецептора Формулы III:

где
Xaa1 обозначает Н;
Хаа2 обозначает Aib;
Хаа3 обозначает Е;
Хаа4 обозначает G;
Хаа5 обозначает N;
Хаа6 обозначает L- -Me-Ph (2-фтор);
Хаа7 обозначает Т;
Хаа8 обозначает S;
Хаа9 обозначает D;
Хаа10 обозначает соединение Формулы II; и
Xaa11 обозначает 4-(2′-метилфенил)-3-пиридилаланин-NH2.
Вышеприведенные сокращенные обозначения аминокислот представляют собой сокращения, общепринятые в уровне техники.
Модуляторы пептидных рецепторов, полученные из интермедиата, синтезированного способом по настоящему изобретению, можно получать любым подходящим способом, известным специалисту в области химии пептидов. Например, пептиды можно синтезировать постадийно на нерастворимом полимерном носителе (также называемом полимер или смола), начиная с С-конца пептида. Синтез начинают, добавляя С-концевую аминокислоту пептида к полимеру (к смоле) с образованием амидной или сложноэфирной связи. Это способствует последующему высвобождению полученного в результате пептида в виде С-концевого амида или карбоновой кислоты соответственно. Или же, в тех случаях, когда имеется С-концевой аминоспирт. С-концевой остаток можно присоединять к полимеру 2-метокси- 4-алкоксибензилового спирта (SASRIN , Bachem Bioscience, Inc., King of Prussia, PA) no данному описанию, и по завершении сборки пептидной последовательности полученный пептидный спирт высвобождается под действием LiBH4 в ТГФ (см. выше J.M.Stewart and Young, p.92). Также можно применять пептидные синтезаторы, например усовершенствованный пептидный синтезатор Advanced Chemtech Multiple Peptide Synthesizer (MPS96) или пептидный синтезатор фирмы Applied Biosystems Inc. (ABI 433A).
В данном описании могут применяться следующие сокращения:
| Ph = фенил |
DCM = хлористый метилен |
| Bn = бензил |
н-BuLi = н-бутиллитий |
| i-Bu – изобутил |
Pd/C = палладий на угле |
| i-Pr = изопропил |
TEA = триэтиламин |
| Me = метил |
мин = минута (минуты) |
| Et = этил |
час = час(ы) |
| Pr = н-пропил |
л = литр |
| Bu = бутил |
мл = миллилитр |
| TMS (ТМС) = триметилсилил |
мкл = микролитр |
| EtsO = диэтиловый эфир |
г = грамм(ы) |
| НОАс или АсОН = уксусная кислота |
мг = миллиграмм(ы) |
| MeCN = ацетонитрил |
моль = моль (моли) |
| ДМФА = N,N-диметилформамид |
моль = миллимоль (миллимоли) |
| EtOAc = этилацетат |
мэкв = миллиэквивалент |
| THF = тетрагидрофуран |
rt (RT) = комнатная температура |
| TFA (ТФК) – трифторуксусная кислота |
нас. = насыщенный |
| NMP = N-метилпирролидон |
волн. = водный |
| LiBH4 = борогидрид лития |
т.пл. = температура плавления |
| DIEA = диизопропилэтиламин |
Bip = бифенилаланин |
| FMOC = флуоренилметоксикарбонил |
 |
Вос или ВОС = трет-бутоксикарбонил
NBS = N-бромсукцинимид
ТСХ (TLC) = тонкослойная хроматография
HPLC (ВЭЖХ) = высокоэффективная жидкостная хроматография
LC/MS = высокоэффективная жидкостная хроматография/масс-спектрометрия
MS или Mass Spec = масс-спектрометрия
ЯМР (NMR) = ядерный магнитный резонанс
Специалист в области химии пептидов понимает, что аминокислотные остатки встречаются как в виде D, так и в виде L изомеров и что настоящее изобретение включает применение любого из них либо смеси изомеров аминокислотных остатков, введенных в синтез пептидов по данному изобретению.
Объем настоящего изобретения не ограничивается конкретными описанными вариантами изобретения, которые предполагаются единственно в качестве иллюстрации отдельных аспектов изобретения. Функционально эквивалентные способы и компоненты, помимо показанных и представленных в данном описании, будут очевидны для специалистов в данной области техники из представленного выше описания. Предполагается, что такие модификации входят в объем формулы изобретения.
Формула изобретения
1. Способ получения соединения формулы I
 который включает стадии: метилирование 3-этилфенола с образованием 3-этиланизола; бромирование указанного 3-этиланизола в пара-положение к метоксигруппе с образованием 4-бром-3-этиланизола; превращение указанного 4-бром-3-этиланизола, которое включает (а) реакцию 4-бром-3-этиланизола с н-бутиллитием с образованием литиевой соли соответствующего аниона 4-бром-3-этиланизола; (б) реакцию литиевой соли аниона 4-бром-3-этиланизола с триэтилборатом; и (в) нейтрализацию водным раствором кислоты.
2. Способ получения соединения формулы I
 который включает стадии: метилирование 3-этилфенола с образованием 3-этиланизола путем взаимодействия смеси 3-этилфенола и карбоната калия с метилиодидом; бромирование указанного 3-этиланизола в пара-положение к метоксигруппе при взаимодействии с N-бромсукцинимидом с образованием 4-бром-3-этиланизола; превращение указанного 4-бром-3-этиланизола, которое включает (а) реакцию 4-бром-3-этиланизола с н-бутиллитием с образованием литиевой соли соответствующего аниона 4-бром-3-этиланизола; (б) реакцию литиевой соли аниона 4-бром-3-этиланизола с три-н-бутилборатом; и (в) нейтрализацию 1,5 N водным раствором соляной кислоты, в соответствии со схемой 1:

3. Способ получения соединения формулы II
 который включает стадии: метилирование 3-этилфенола с образованием 3-этиланизола; бромирование указанного 3-этиланизола в пара-положение к метоксигруппе с образованием 4-бром-3-этиланизола; превращение указанного 4-бром-3-этиланизола, которое включает (а) реакцию 4-бром-3-этиланизола с н-бутиллитием с образованием литиевой соли соответствующего аниона 4-бром-3-этиланизола; (б) реакцию литиевой соли аниона 4-бром-3-этиланизола с три-н-бутилборатом; и (в) нейтрализацию водным раствором кислоты; реакция полученной 2-этил-4-метоксифенилбороновой кислоты с ангидридом трифторметансульфоновой кислоты и соответствующим образом защищенной аминокислоты – тирозина в присутствии палладиевого катализатора (реакция Сузуки); и снятие защитной группы с карбоксильной группы полученной бифениламинокислоты с образованием защищенной по аминогруппе аминокислоты, пригодной для введения в модулятор пептидного рецептора; снятие защиты с аминогруппы.
|