|
|
(21), (22) Заявка: 2007106780/04, 31.08.2005
(24) Дата начала отсчета срока действия патента:
31.08.2005
(30) Конвенционный приоритет:
02.09.2004 US 60/606,742 17.09.2004 US 60/610,765
(43) Дата публикации заявки: 10.10.2008
(46) Опубликовано: 20.04.2009
(56) Список документов, цитированных в отчете о поиске:
US 6734191 В2, 11.05.2004. SU 1738088 A3, 30.05.1992.
(85) Дата перевода заявки PCT на национальную фазу:
02.04.2007
(86) Заявка PCT:
US 2005/031099 20050831
(87) Публикация PCT:
WO 2006/026703 20060309
Адрес для переписки:
191036, Санкт-Петербург, а/я 24, “НЕВИНПАТ”, пат.пов. А.В.Поликарпову
|
(72) Автор(ы):
ГУДМУНДССОН Кристьян (US), БОГГС Шэрон Дейвис (US)
(73) Патентообладатель(и):
СмитКлайн Бичем Корпорейшн (US)
|
(54) ПРОИЗВОДНЫЕ ТЕТРАГИДРОХИНОЛИНА, ДЕМОНСТРИРУЮЩИЕ ЗАЩИТНОЕ ОТ ВИЧ-ИНФЕКЦИИ ДЕЙСТВИЕ
(57) Реферат:
Изобретение относится к производным тетрагидрохинолина, представленным общей формулой (I-G), где t равен 0, 1 или 2; каждый R независимо

представляет собой Н, алкил, алкенил, алкинил или циклоалкил; n равен 0; R2 выбран из группы, состоящей из Н, алкила, галогеноалкила, циклоалкила, алкенила, алкинила, -RaAy, -RaOR5 или группы -Raциклоалкил, и где R2 не замещен амином или алкиламином; каждый R4 независимо представляет собой галоген; m равен 0, 1 или 2; каждый R5 независимо представляет собой Н, алкил, алкенил, алкинил, циклоалкил; р равен 0 или 1; Y представляет собой -NR10-, -O-, -S-; Х представляет собой -N(R10)2, -RaN(R10)2, -AyN(R10)2, -RaAyN(R10)2, -AyRaN(R10)2, -RaAyRaN(R10)2, -Het, -RaHet, -HetN(R10)2, -RaHetN(R10)2, -HetRaN(R10)2, -RaHetRaN(Rl0)2, -HetRaAy или -HetRaHet; каждый Ra независимо представляет собой алкилен, возможно замещенный одним или более чем одним алкилом или гидроксилом, циклоалкилен, возможно замещенный одним или более чем одним алкилом или гидроксилом; каждый R10 независимо представляет собой Н, алкил, циклоалкил, алкенил, алкинил, циклоалкенил или -Ra-циклоалкил; каждый Ау независимо представляет собой возможно замещенную фенильную или нафтильную группу; каждый Het независимо представляет собой возможно замещенную 3-12-членную моно- или полициклическую гетероциклильную группу, содержащую в качестве гетероатомов N, или 5-7-членную возможно замещенную гетероарильную группу, содержащую в качестве гетероатома N; или его фармацевтически приемлемые соли или сложные эфиры. А также, описываются способы получения соединений формулы (I-G). Технический результат: получены новые соединения, которые демонстрируют защитное от ВИЧ-инфекции действие на клетки-мишени посредством специфического связывания с хемокиновым рецептором и которые воздействуют на связывание природного лиганда или хемокина с рецептором клетки-мишени, таким как CXCR4 и/или CCR5. 17 н. и 37 з.п. ф-лы, 2 табл.
Текст описания приведен в факсимильном виде.                                                                                                                                                           
Формула изобретения
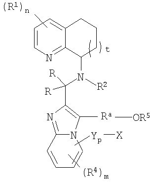
1. Соединение формулы (I-G):
 где t равен 0, 1 или 2; каждый R независимо представляет собой Н, алкил, алкенил, алкинил или циклоалкил; n равен 0; R2 выбран из группы, состоящей из Н, алкила, галогеноалкила, циклоалкила, алкенила, алкинила, -RaАу, -RaOR5 или группы -Raциклоалкил, и где R2 не замещен амином или алкиламином; каждый R4 независимо представляет собой галоген; m равен 0, 1 или 2; каждый R5 независимо представляет собой Н, алкил, алкенил, алкинил, циклоалкил; р равен 0 или 1; Y представляет собой -NR10-, -O-, -S-; Х представляет собой -N(R10)2, -RaN(R10)2, -AyN(R10)2, -RaAyN(R10)2, -AyRaN(R10)2, -RaAyRaN(R10)2, -Het, -RaHet, -HetN(R10)2, -RaHetN(R10)2, -HetRaN(R10)2, -RaHetRaN(Rl0)2, -HetRaAy или -HetRaHet; каждый Ra независимо представляет собой алкилен, возможно замещенный одним или более чем одним алкилом или гидроксилом, циклоалкилен, возможно замещенный одним или более чем одним алкилом или гидроксилом; каждый R10 независимо представляет собой Н, алкил, циклоалкил, алкенил, алкинил, циклоалкенил или -Ra-циклоалкил; каждый Ау независимо представляет собой возможно замещенную фенильную или нафтильную группу; каждый Het независимо представляет собой возможно замещенную 3-12-членную моно- или полициклическую гетероциклильную группу, содержащую в качестве гетероатомов N, или 5-7-членную возможно замещенную гетероарильную группу, содержащую в качестве гетероатома N; или его фармацевтически приемлемые соли или сложные эфиры.
2. Соединение по п.1, где -Het возможно замещен по меньшей мере одним алкилом, алкокси, гидроксилом, галогеном, циклоалкилом, циклоалкокси, амино или алкиламино.
3. Соединение по п.1, где -Ау возможно замещен по меньшей мере одним алкилом, алкокси, гидроксилом, галогеном, галогеноалкилом, циклоалкилом, циклоалкокси, амино или алкиламино.
4. Соединение по п.1, где t равен 1.
5. Соединение по п.1, где t равен 2.
6. Соединение по п.1, где R представляет собой Н, алкил или циклоалкил.
7. Соединение по п.1, где R представляет собой Н или алкил.
8. Соединение по п.1, где R представляет собой Н.
9. Соединение по п.1, где R2 представляет собой Н, алкил, галогеноалкил, RaOR5 или Raциклоалкил.
10. Соединение по п.1, где R2 представляет собой Н, алкил или Raциклоалкил.
11. Соединение по п.7, где R2 представляет собой алкил.
12. Соединение по п.1, где R2 представляет собой RаAy или Raциклоалкил.
13. Соединение по п.1, где Ra представляет собой алкилен, возможно замещенный C1-С6алкилом, и R5 представляет собой H, алкил или циклоалкил.
14. Соединение по п.1, где Ra представляет собой метилен (-СН2-), возможно замещенный C1-С6алкилом, и R5 представляет собой Н, алкил или циклоалкил.
15. Соединение по п.1, где Ra представляет собой метилен (-СН2-), и R5 представляет собой Н.
16. Соединение по п.1, где m равен 0.
17. Соединение по п.1, где m равен 1 или 2.
18. Соединение по п.1, где m равен 1.
19. Соединение по п.1, где р равен 0, и Х представляет собой -RaN(R10)2, -AyRaN(R10)2, -RaAyRaN(R10)2, -Het, -RaHet, -HetN(R10)2, -RaHetN(R10)2 или -HetRaN(R10)2.
20. Соединение по п.19, где Х представляет собой -RaN(R10)2, -Het, -RaHet, -HetN(R10)2, -RaHetN(R10)2 или -HetRaN(R10)2.
21. Соединение по п.20, где Х представляет собой -RaN(R10)2, -Het, -RaHet или -HetN(R10)2.
22. Соединение по п.1, где р равен 1; Y представляет собой -N(R10)-, -O-, -S-; и Х представляет собой -RaN(R10)2, -AyRaN(R10)2, RaAyRaN(R10)2, -Het, -RaHet, -HetN(R10)2, -RaHetN(R10)2 или -HetRaN(R10)2.
23. Соединение по п.22, где Y представляет собой -N(R10)- или -O-; и Х представляет собой -RaN(R10)2, -Het, -RaHet или -HetN(R10)2.
24. Соединение по п.1, где t равен 1 или 2; R представляет собой Н или алкил; R2 представляет собой Н, алкил, Raциклоалкил или циклоалкил; n равен 0; m равен 0, и где -RaOR5 Ra представляет собой алкилен, возможно замещенный C1-С6алкилом, и R5 представляет собой Н, алкил или циклоалкил.
25. Соединение по п.24, где р равен 0, и Х представляет собой -Het или -HetN(R10)2, R10 представляет собой Н или алкил, и -Het является незамещенным или замещен C1-С6алкилом или С3-С8циклоалкилом.
26. Соединение по п.24, где -RaOR5 представляет собой -СН2ОН.
27. Соединение по п.24, где р равен 1; Y представляет собой -N(R10)- или -O-; Х представляет собой -Het или -HetN(R10)2, R10 представляет собой Н или алкил, и -Het является незамещенным или замещен C1-С6алкилом или С3-8циклоалкилом.
28. Соединение по п.27, где Y представляет собой -N(R10)- или -O-, и Х представляет собой -Het.
29. Соединение по п.1, где р равен 0; Х представляет собой -HetN(R10)2, и R10 представляет собой Н или алкил.
30. Соединение по п.1, где р равен 1; и Y представляет собой -N(R10)- или -O-; Х представляет собой -Het или -HetN(R10)2, и Het является незамещенным или замещен С1-С6алкилом или С3-С8циклоалкилом.
31. Соединение по п.1, где заместитель -Yp-X расположен на изображенном имидазопиридиновом кольце как в формуле (I-G’):

32. Соединение по п.1, где -Het представляет собой пиперидин, пиперазин, азетидин, пирролидин, имидазол или пиридин.
33. Соединение по п.31, где р равен 0, и Х представляет собой -Het.
34. Соединение по п.1, где р равен 0, и Х представляет собой -Het.
35. Соединение по п.33, где -Het является незамещенным или замещен одним или более чем одним C1-С6алкилом или С3-С8циклоалкилом.
36. Соединение, выбранное из группы, состоящей из: (5-(4-Метил-1-пиперазинил)-2-{[метил(5,6,7,8-тетрагидро-8-хинолинил)амино]метил}имидазо[1,2-а]пиридин-3-ил)метанола; [2-({{(1S)-1-[4-(Метилокси)фенил]этил}[(8S)-5,6,7,8-тетрагидро-8-хинолинил]амино}метил)-5-(4-метил-1-пиперазинил)имидазо[1,2-а]пиридин-3-ил]метанола; [5-(4-Метил-1-пиперазинил)-2-({метил[(8S)-5,6,7,8-тетрагидро-8-хинолинил]амино}метил)имидазо[1,2-а]пиридин-3-ил]метанола; [5-[[2-(Диметиламино)этил](метил)амино]-2-({метил[(8S)-5,6,7,8-тетрагидро-8-хинолинил]амино}метил)имидазо[1,2-а]пиридин-3-ил]метанола; (5-(4-Метил-1-пиперазинил)-2-{[метил(6,7,8,9-тетрагидро-5H-циклогепта[b]пиридин-9-ил)амино]метил}имидазо[1,2-а]пиридин-3-ил)метанола; [2-({Этил[(8S)-5,6,7,8-тетрагидро-8-хинолинил]амино}метил)-5-(4-метил-1-пиперазинил)имидазо[1,2-а]пиридин-3-ил]метанола; [2-({(1-Метилэтил)[(8S)-5,6,7,8-тетрагидро-8-хинолинил]амино}метил)-5-(4-метил-1-пиперазинил)имидазо[1,2-а]пиридин-3-ил]метанола; [5-(4-Метил-1-пиперазинил)-2-({пропил[(8S)-5,6,7,8-тетрагидро-8-хинолинил]амино}метил)имидазо[1,2-а]пиридин-3-ил]метанола; [2-({(Циклопропилметил)[(8S)-5,6,7,8-тетрагидро-8-хинолинил]амино}метил)-5-(4-метил-1-пиперазинил)имидазо[1,2-а]пиридин-3-ил]метанола; [5-(4-Метил-1-пиперазинил)-2-({(фенилметил)[(8S)-5,6,7,8-тетрагидро-8-хинолинил]амино}метил)имидазо[1,2-а]пиридин-3-ил]метанола; {5-(4-Метил-1-пиперазинил)-2-[((8S)-5,6,7,8-тетрагидро-8-хинолинил{[4-(трифторметил)фенил]метил}амино)метил]имидазо[1,2-а]пиридин-3-ил}метанола; [5-(Гексагидропирроло[1,2-а]пиразин-2(1H)-ил)-2-({метил[(8S)-5,6,7,8-тетрагидро-8-хинолинил]амино}метил)имидазо[1,2-а]пиридин-3-ил]метанола; [5-[(3R)-3-(Диметиламино)-1-пирролидинил]-2-({метил[(8S)-5,6,7,8-тетрагидро-8-хинолинил]амино}метил)имидазо[1,2-а]пиридин-3-ил]метанола; [5-(Гексагидро-1H-1,4-диазепин-1-ил)-2-({метил[(8S)-5,6,7,8-тетрагидро-8-хинолинил]амино}метил)имидазо[1,2-а]пиридин-3-ил]метанола; [5-(4-Метилгексагидро-1H-1,4-диазепин-1-ил)-2-({метил[(8S)-5,6,7,8-тетрагидро-8-хинолинил]амино}метил)имидазо[1,2-а]пиридин-3-ил]метанола; [5-[Метил(1-метил-3-пирролидинил)амино]-2-({метил[(8S)-5,6,7,8-тетрагидро-8-хинолинил]амино}метил)имидазо[1,2-а]пиридин-3-ил]метанола; [5-(4-Этил-1-пиперазинил)-2-({метил[(8S)-5,6,7,8-тетрагидро-8-хинолинил]амино}метил)имидазо[1,2-а]пиридин-3-ил]метанола; [5-[4-(1-Метилэтил)-1-пиперазинил]-2-({метил[(8S)-5,6,7,8-тетрагидро-8-хинолинил]амино}метил)имидазо[1,2-а]пиридин-3-ил]метанола; [5-[(3S)-3-(Диметиламино)-1-пирролидинил]-2-({метил[(8S)-5,6,7,8-тетрагидро-8-хинолинил]амино}метил)имидазо[1,2-а]пиридин-3-ил]метанола; [5-[(3R)-3-Амино-1-пирролидинил]-2-({метил[(8S)-5,6,7,8-тетрагидро-8-хинолинил]амино}метил)имидазо[1,2-а]пиридин-3-ил]метанола; [5-[(3R)-3-(Метиламино)-1-пирролидинил]-2-({метил[(8S)-5,6,7,8-тетрагидро-8-хинолинил]амино}метил)имидазо[1,2-а]пиридин-3-ил]метанола; [5-[(3R)-3-(Диметиламино)-1-пирролидинил]-2-({пропил[(8S)-5,6,7,8-тетрагидро-8-хинолинил]амино}метил)имидазо[1,2-а]пиридин-3-ил]метанола; [5-[(3R)-3-(Диметиламино)-1-пирролидинил]-2-({(1-метилэтил)[(8S)-5,6,7,8-тетрагидро-8-хинолинил]амино}метил)имидазо[1,2-а]пиридин-3-ил]метанола; {2-({(Циклопропилметил)[(8S)-5,6,7,8-тетрагидро-8-хинолинил]амино}-метил)-5-[(3R)-3-(диметиламино)-1-пирролидинил]имидазо[1,2-а]пиридин-3-ил}метанола; 1-[5-(4-Метил-1-пиперазинил)-2-({метил[(8S)-5,6,7,8-тетрагидро-8-хинолинил]амино}метил)имидазо[1,2-а]пиридин-3-ил]этанола; 1-[5-(4-Метил-1-пиперазинил)-2-({метил[(8S)-5,6,7,8-тетрагидро-8-хинолинил]амино}метил)имидазо[1,2-а]пиридин-3-ил]-1-пропанола; (8S)-N-Метил-N-{[3-[(метилокси)метил]-5-(4-метил-1-пиперазинил)имидазо[1,2-а]пиридин-2-ил]метил}-5,6,7,8-тетрагидро-8-хинолинамина; (8S)-N-{[3-[(Этилокси)метил]-5-(4-метил-1-пиперазинил)имидазо[1,2-а]пиридин-2-ил]метил}-N-метил-5,6,7,8-тетрагидро-8-хинолинамина; [5-(4-Метил-1-пиперазинил)-2-(1-{метил[(8S)-5,6,7,8-тетрагидро-8-хинолинил]амино}этил)имидазо[1,2-а]пиридин-3-ил]метанола; 2,2,2-Трифтор-1-(5-(4-метил-1-пиперазинил)-2-{[метил(5,6,7,8-тетрагидро-8-хинолинил)амино]метил}имидазо[1,2-а]пиридин-3-ил)этанола; и их фармацевтически приемлемых солей и сложных эфиров.
37. Соединение, выбранное из группы, состоящей из: (5-(4-Метил-1-пиперазинил)-2-{[метил(5,6,7,8-тетрагидро-8-хинолинил)амино]метил}имидазо[1,2-а]пиридин-3-ил)метанола; [5-(4-Метил-1-пиперазинил)-2-({метил[(8S)-(5,6,7,8-тетрагидро-8-хинолинил]амино}метил)имидазо[1,2-а]пиридин-3-ил]метанола; [2-({Этил[(8S)-5,6,7,8-тетрагидро-8-хинолинил]амино}метил)-5-(4-метил-1-пиперазинил)имидазо[1,2-а]пиридин-3-ил]метанола; [2-({(1-Метилэтил)[(8S)-5,6,7,8-тетрагидро-8-хинолинил]амино}метил)-5-(4-метил-1-пиперазинил)имидазо[1,2-а]пиридин-3-ил]метанола; [5-(4-Метил-1-пиперазинил)-2-({пропил[(8S)-5,6,7,8-тетрагидро-8-хинолинил]амино}метил)имидазо[1,2-а]пиридин-3-ил]метанола; [2-({(Циклопропилметил)[(8S)-5,6,7,8-тетрагидро-8-хинолинил]амино}метил)-5-(4-метил-1-пиперазинил)имидазо[1,2-а]пиридин-3-ил]метанола; [5-(4-Этил-1-пиперазинил)-2-({метил[(8S)-5,6,7,8-тетрагидро-8-хинолинил]амино}метил)имидазо[1,2-а]пиридин-3-ил]метанола; [5-[4-(1-Метилэтил)-1-пиперазинил]-2-({метил[(8S)-5,6,7,8-тетрагидро-8-хинолинил]амино}метил)имидазо[1,2-а]пиридин-3-ил]метанола; и их фармацевтически приемлемых солей и сложных эфиров.
38. Соединение, выбранное из группы, состоящей из: [5-[(3R)-3-(Диметиламино)-1-пирролидинил]-2-({метил[(8S)-5,6,7,8-тетрагидро-8-хинолинил]амино}метил)имидазо[1,2-а]пиридин-3-ил]метанола; [5-[Метил(1-метил-3-пирролидинил)амино]-2-({метил[(8S)-5,6,7,8-тетрагидро-8-хинолинил]амино}метил)имидазо[1,2-а]пиридин-3-ил]метанола; [5-[(3S)-3-(Диметиламино)-1-пирролидинил]-2-({метил[(8S)-5,6,7,8-тетрагидро-8-хинолинил]амино}метил)имидазо[1,2-а]пиридин-3-ил]метанола; [5-[(3R)-3-Амино-1-пирролидинил]-2-({метил[(8S)-5,6,7,8-тетрагидро-8-хинолинил]амино}метил)имидазо[1,2-а]пиридин-3-ил]метанола; [5-[(3R)-3-(Метиламино)-1-пирролидинил]-2-({метил[(8S)-5,6,7,8-тетрагидро-8-хинолинил]амино}метил)имидазо[1,2-а]пиридин-3-ил]метанола; [5-[(3R)-3-(Диметиламино)-1-пирролидинил]-2-({этил[(8S)-5,6,7,8-тетрагидро-8-хинолинил]амино}метил)имидазо[1,2-а]пиридин-3-ил]метанола; [5-[(3R)-3-(Диметиламино)-1-пирролидинил]-2-({пропил[(8S)-5,6,7,8-тетрагидро-8-хинолинил]амино}метил)имидазо[1,2-а]пиридин-3-ил]метанола; [5-[(3R)-3-(Диметиламино)-1-пирролидинил]-2-({1-метилэтил)[(8S)-5,6,7,8-тетрагидро-8-хинолинил]амино}метил)имидазо[1,2-а]пиридин-3-ил]метанола; {2-({(Циклопропилметил)[(8S)-5,6,7,8-тетрагидро-8-хинолинил]амино}метил)-5-[(3R)-3-(диметиламино)-1-пирролидинил]имидазо-[1,2-а]пиридин-3-ил}метанола; [5-(4-Амино-1-пиперидинил)-2-({метил[(8S)-5,6,7,8-тетрагидро-8-хинолинил]амино}метил)имидазо[1,2-а]пиридин-3-ил]метанола; и их фармацевтически приемлемых солей или сложных эфиров.
39. Соединение по п.37, где указанное соединение представляет собой твердое вещество.
40. Соединение по любому из пп.1-38 для применения в лечении или профилактике заболеваний и состояний, вызванных несоответствующей активностью CXCR4.
41. Соединение по любому из пп.1-38, для применения в лечении или профилактике ВИЧ-инфекции.
42. Применение соединения по любому из пп.1-38 в изготовлении лекарственного средства для применения в лечении или профилактике состояния или заболевания, модулируемого хемокиновым рецептором.
43. Применение соединения по п.42, где хемокиновый рецептор представляет собой CXCR4.
44. Применение соединения по любому из пп.1-38 в изготовлении лекарственного средства для применения в лечении или профилактике ВИЧ-инфекции.
45. Способ лечения или профилактики ВИЧ-инфекции, включающий введение соединения по любому из пп.1-38.
46. Способ получения соединения формулы (I-G)
 где t равен 1; каждый R представляет собой Н; n равен 0; R2 выбран из группы, состоящей из Н, алкила, галогеноалкила, циклоалкила, алкенила, алкинила, -RaAy, -RaOR5 или группы -Raциклоалкил; каждый R4 независимо представляет собой галоген; m равен 0, 1 или 2; каждый R5 независимо представляет собой Н, алкил, алкенил, алкинил или циклоалкил; р равен 0 или 1; Y представляет собой -NR10-, -О- или -S-; Х представляет собой -N(R10)2, -RaN(R10)2, -AyN(R10)2, -RaAyN(R10)2, -AyRaN(R10)2, -RaAyRaN(R10)2, -Het, -RaHet, -HetN(R10)2, -RaHetN(R10)2, -HetRaN(R10)2, -RaHetRaN(Rl0)2, -HetRaAy или -HetRaHet; каждый Ra независимо представляет собой алкилен, возможно замещенный одним или более чем одним алкилом или гидроксилом, циклоалкилен, возможно замещенный одним или более чем одним алкилом или гидроксилом; каждый R10 независимо представляет собой Н, алкил, циклоалкил, алкенил, алкинил, циклоалкенил или -Raциклоалкил; каждый Ау независимо представляет собой возможно замещенную фенильную или нафтильную группу; и каждый Het независимо представляет собой возможно замещенную 3-12-членную моно- или полициклическую гетероциклильную группу, содержащую в качестве гетероатомов N, или 5-7-членную возможно замещенную гетероарильную группу, содержащую в качестве гетероатома N; включающий стадию взаимодействия соединения формулы (II)
 где n являются такими, как определено в отношении формулы (I-G), с соединением формулы (IV)
 где R2, Rа, R4, R5, Y, X, р и m являются такими, как определено в отношении формулы (I-G), в условиях восстановительного аминирования с образованием соединения формулы (I-G).
47. Способ получения соединения формулы (I-G)
 где t равен 1; каждый R представляет собой Н; n равен 0; R2 выбран из группы, состоящей из Н, алкила, галогеноалкила, циклоалкила, алкенила, алкинила, -RaAy, -RaOR5 или группы -Raциклоалкил; каждый R4 независимо представляет собой галоген; m равен 0, 1 или 2; каждый R5 независимо представляет собой Н, алкил, алкенил, алкинил или циклоалкил; р равен 0 или 1; Y представляет собой -NR10-, -О- или -S-; Х представляет собой -N(R10)2, -RaN(R10)2, -AyN(R10)2, -RaAyN(R10)2, -AyRaN(R10)2, -RaAyRaN(R10)2, -Het, -RaHet, -HetN(R10)2, -RaHetN(R10)2, -HetRaN(R10)2, -RaHetRaN(Rl0)2, -HetRaAy или -HetRaHet; каждый Ra независимо представляет собой алкилен, возможно замещенный одним или более чем одним алкилом или гидроксилом, циклоалкилен, возможно замещенный одним или более чем одним алкилом или гидроксилом; каждый R10 независимо представляет собой Н, алкил, циклоалкил, алкенил, алкинил, циклоалкенил или -Ra-циклоалкил; каждый Ау независимо представляет собой возможно замещенную фенильную или нафтильную группу; каждый Het независимо представляет собой возможно замещенную 3-12-членную моно- или полициклическую гетероциклильную группу, содержащую в качестве гетероатомов N, или 5-7-членную возможно замещенную гетероарильную группу, содержащую в качестве гетероатома N; включающий стадию взаимодействия соединения формулы (III)
 где R2 и n являются такими, как определено в отношении формулы (I-G), с соединением формулы (V)
 где Ra, R4, R5, Y, X, р и m являются такими, как определено в отношении формулы (I-G), в условиях восстановительного аминирования с образованием соединения формулы (I-G).
48. Способ получения соединения формулы (I-G)
 где t равен 1; каждый R представляет собой Н; n равен 0; R2 выбран из группы, состоящей из H, алкила, галогеноалкила, циклоалкила, алкенила, алкинила, -RaAy, -RaOR5 или группы -Ra-циклоалкил; каждый R4 независимо представляет собой галоген; m равен 0, 1 или 2; каждый R5 независимо представляет собой Н, алкил, алкенил, алкинил или циклоалкил; р равен 0 или 1; Y представляет собой -NR10-, -О- или -S-; Х представляет собой -N(R10)2, -RaN(R10)2, -AyN(R10)2, -RaAyN(R10)2, -AyRaN(R10)2, -RaAyRaN(R10)2, -Het, -RaHet, -HetN(R10)2, -RaHetN(R10)2, -HetRaN(R10)2, -RaHetRaN(Rl0)2, -HetRaAy или -HetRaHet; каждый Ra независимо представляет собой алкилен, возможно замещенный одним или более чем одним алкилом или гидроксилом, циклоалкилен, возможно замещенный одним или более чем одним алкилом или гидроксилом; каждый R10 независимо представляет собой Н, алкил, циклоалкил, алкенил, алкинил, циклоалкенил или -Ra-циклоалкил; каждый Ау независимо представляет собой возможно замещенную фенильную или нафтильную группу; каждый Het независимо представляет собой возможно замещенную 3-12-членную моно- или полициклическую гетероциклильную группу, содержащую в качестве гетероатомов N, или 5-7-членную возможно замещенную гетероарильную группу, содержащую в качестве гетероатома N; включающий стадию взаимодействия соединения формулы (III)
 где R2 и n являются такими, как определено в отношении формулы (I-G), с соединением формулы (VI)
 где Ra, R4, R5, Y, X, p и m являются такими, как определено в отношении формулы (I-G), и LV представляет собой уходящую группу, с образованием соединения формулы (I-G).
49. Способ получения соединения формулы (I-Е)
 n равен 0; R2 выбран из группы, состоящей из Н, алкила, галогеноалкила, циклоалкила, алкенила, алкинила, -RaAy, -RaOR5 или группы -Raциклоалкил; каждый R4 независимо представляет собой галоген; m равен 0, 1 или 2; каждый R5 независимо представляет собой H, алкил, алкенил, алкинил или циклоалкил; р равен 0 или 1; Y представляет собой -NR10-, -О- или -S-; Х представляет собой -N(R10)2, -RaN(R10)2, -AyN(R10)2, -RaAyN(R10)2, -AyRaN(R10)2, -RaAyRaN(R10)2, -Het, -RaHet, -HetN(R10)2, -RaHetN(R10)2, -HetRaN(R10)2, -RaHetRaN(Rl0)2, -HetRaAy или -HetRaHet; каждый Ra независимо представляет собой алкилен, возможно замещенный одним или более чем одним алкилом или гидроксилом, циклоалкилен, возможно замещенный одним или более чем одним алкилом или гидроксилом; каждый R10 независимо представляет собой Н, алкил, циклоалкил, алкенил, алкинил, циклоалкенил или -Ra-циклоалкил; каждый Ау независимо представляет собой возможно замещенную фенильную или нафтильную группу; каждый Het независимо представляет собой возможно замещенную 3-12-членную моно- или полициклическую гетероциклильную группу, содержащую в качестве гетероатомов N, или 5-7-членную возможно замещенную гетероарильную группу, содержащую в качестве гетероатома N; включающий стадию обработки соединения формулы (Х-В)
 где R2, R4, Y, X, n, p и m являются такими, как определено в отношении формулы (I-Е), формальдегидом в кислых условиях с образованием соединения формулы (I-Е).
50. Способ получения соединения формулы (I-G)
 где t равен 1; каждый R представляет собой Н; -RaOR5 представляет собой -СН2ОН; n равен 0; R2 выбран из группы, состоящей из Н, алкила, галогеноалкила, циклоалкила, алкенила, алкинила, -RaAy, -RaOR5 или группы -Raциклоалкил; каждый R4 независимо представляет собой галоген; m равен 0, 1 или 2; каждый R5 независимо представляет собой Н, алкил, алкенил, алкинил или циклоалкил; р равен 0 или 1; Y представляет собой -NR10-, -О- или -S-; Х представляет собой -N(R10)2, -RaN(R10)2, -AyN(R10)2, -RaAyN(R10)2, -AyRaN(R10)2, -RaAyRaN(R10)2, -Het, -RaHet, -HetN(R10)2, -RaHetN(R10)2, -HetRaN(R10)2, -RaHetRaN(Rl0)2, -HetRaAy или -HetRaHet; каждый Ra независимо представляет собой алкилен, возможно замещенный одним или более чем одним алкилом или гидроксилом, циклоалкилен, возможно замещенный одним или более чем одним алкилом или гидроксилом; каждый R10 независимо представляет собой Н, алкил, циклоалкил, алкенил, алкинил, циклоалкенил или -Ra-циклоалкил; каждый Ау независимо представляет собой возможно замещенную фенильную или нафтильную группу; каждый Het независимо представляет собой возможно замещенную 3-12-членную моно- или полициклическую гетероциклильную группу, содержащую в качестве гетероатомов N, или 5-7-членную возможно замещенную гетероарильную группу, содержащую в качестве гетероатома N; включающий стадию формилирования соединения формулы (Х-В)
 где R2, R4, Y, X, n, p и m являются такими, как определено в отношении формулы (I-G), с последующим восстановлением с образованием соединения формулы (I-G).
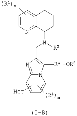
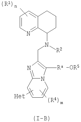
51. Способ получения соединения формулы (I-B)
 n равен 0; R2 выбран из группы, состоящей из Н, алкила, галогеноалкила, циклоалкила, алкенила, алкинила, -RaAy, -RaOR5 или группы -Raциклоалкил; каждый R4 независимо представляет собой галоген; m равен 0, 1 или 2; каждый R5 независимо представляет собой Н, алкил, алкенил, алкинил или циклоалкил; каждый Ra независимо представляет собой алкилен, возможно замещенный одним или более чем одним алкилом или гидроксилом, циклоалкилен, возможно замещенный одним или более чем одним алкилом или гидроксилом; каждый R10 независимо представляет собой Н, алкил, циклоалкил, алкенил, алкинил, циклоалкенил или -Ra-циклоалкил; каждый Ау независимо представляет собой возможно замещенную фенильную или нафтильную группу; каждый Het независимо представляет собой возможно замещенную 3-12-членную моно- или полициклическую гетероциклильную группу, содержащую в качестве гетероатомов N, или 5-7-членную возможно замещенную гетероарильную группу, содержащую в качестве гетероатома N; включающий стадию сочетания соединения формулы (X)
 где R2, Ra, R4, R5, n и m являются такими, как определено в отношении формулы (I-B), с соединением формулы (XI-B)
 где, Het является таким, как определено в отношении формулы (I-B), в присутствии катализатора с образованием соединения формулы (I-B).
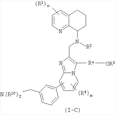
52. Способ получения соединения формулы (I-C)
 n равен 0; R2 выбран из группы, состоящей из Н, алкила, галогеноалкила, циклоалкила, алкенила, алкинила, -RaAy, -RaOR5 или группы -Raциклоалкил; каждый R4 независимо представляет собой галоген; m равен 0, 1 или 2; каждый R5 независимо представляет собой Н, алкил, алкенил, алкинил или циклоалкил; каждый Ra независимо представляет собой алкилен, возможно замещенный одним или более чем одним алкилом или гидроксилом, циклоалкилен, возможно замещенный одним или более чем одним алкилом или гидроксилом; каждый R10 независимо представляет собой Н, алкил, циклоалкил, алкенил, алкинил, циклоалкенил или -Ra-циклоалкил; каждый Ау независимо представляет собой возможно замещенную фенильную или нафтильную группу; каждый Het независимо представляет собой возможно замещенную 3-12-членную моно- или полициклическую гетероциклильную группу, содержащую в качестве гетероатомов N, или 5-7-членную возможно замещенную гетероарильную группу, содержащую в качестве гетероатома N; включающий стадии сочетания соединения формулы (X)
 где R2, Ra, R4, R5, n и m являются такими, как определено в отношении формулы (I-C), с соединением формулы (XIII)
 в присутствии катализатора с образованием соединения формулы (XII)
 где R2, Ra, R4, R5, n и m являются такими, как определено в отношении формулы (I-C), и с восстановлением соединения формулы (XII) после указанного сочетания с образованием соединения формулы (I-C).
53. Способ получения соединения формулы (I-F)
 где R2 выбран из группы, состоящей из Н, алкила, галогеноалкила, циклоалкила, алкенила, алкинила, -RaAy, -RaOR5; и Z представляет собой С1-С6алкил или С3-С8циклоалкил; включающий стадии обработки соединения формулы (XXXI-B)
 где R2 и Z являются такими, как определено в отношении формулы (I-F), формальдегидом в кислых условиях с образованием соединения формулы (I-F).
54. Способ получения соединения формулы (I-F)
 где R2 выбран из группы, состоящей из Н, алкила, галогеноалкила, циклоалкила, алкенила, алкинила, -RaAy, -RaOR5; и Z представляет собой C1-С6алкил или С3-С8циклоалкил; включающий стадии формилирования соединения формулы (XXXI-B)
 где R2 и Z являются такими, как определено в отношении формулы (I-F), с последующим восстановлением с образованием соединения формулы (I-F).
РИСУНКИ
|
|