Патент на изобретение №2352549
|
||||||||||||||||||||||||||||||||||||||||||||||||||||||||||||||
(54) ИНТЕГРИРОВАННЫЕ ХИМИЧЕСКИЕ СПОСОБЫ ПРОМЫШЛЕННОГО ПРИМЕНЕНИЯ РАСТИТЕЛЬНЫХ МАСЕЛ ИЗ СЕМЯН
(57) Реферат:
Изобретение относится к сырьевой композиции, к способу олефинового метатезиса, к способу получения сложного полиэфирполиэпоксида и к способу получения
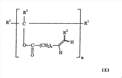
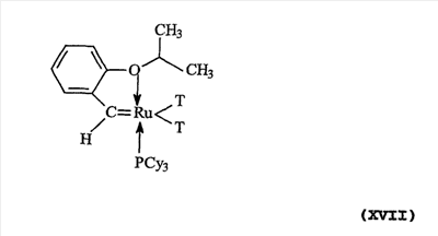
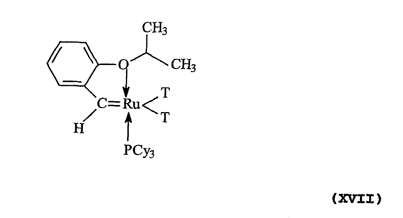
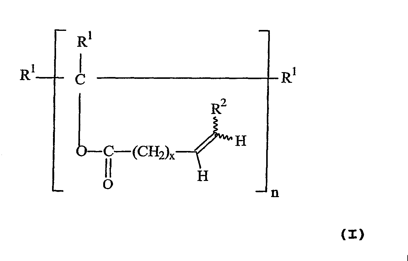
Предпосылки изобретения В одном аспекте настоящее изобретение относится к сырьевой композиции для олефинового метатезиса и к способу осуществления метатезиса. В частности настоящее изобретение относится к сырьевой композиции на основе ненасыщенных жирных кислот или сложных эфиров жирных кислот и ее метатезису с низшим олефином, главным образом этиленом, в присутствии катализатора метатезиса для получения олефина с укороченной цепью и ненасыщенной кислоты или сложного эфира с укороченной цепью, предпочтительно При другом аспекте настоящее изобретение относится к интегрированному способу, включающему сначала метатезис сырьевой композиции на основе ненасыщенных жирных кислот или сложных эфиров жирных кислот с олефином, предпочтительно этиленом, с образованием ненасыщенной кислоты или сложного эфира с укороченной цепью, и затем превращение ненасыщенной кислоты или сложного эфира с укороченной цепью в При еще одном аспекте настоящее изобретение относится к интегрированному способу, включающему сначала метатезис сырьевой композиции на основе ненасыщенных жирных кислот или сложных эфиров жирных кислот с олефином, предпочтительно этиленом, с образованием ненасыщенной кислоты или сложного эфира с укороченной цепью, и затем превращение ненасыщенной кислоты или сложного эфира с укороченной цепью в эпоксикислоту или сложный эпоксиэфир. При еще одном из аспектов настоящее изобретение относится к композициям на основе сложных полиэфирполиолов, сложных полиэфирполиаминов и сложных полиэфирполиэпоксидов. С помощью известных в органической химии способов олефиновые (ненасыщенные) функциональные группы можно превратить в спиртовые, аминные или эпоксидные функциональные группы. Кроме того, одноосновные кислоты и сложные моноэфиры можно превратить в сложные полиэфиры путем соответственно этерификации или переэтерификации с полиолом. В соответствии с этим существует потенциальная возможность превращения ненасыщенных одноосновных кислот и сложных моноэфиров в промышленно применяемые сложные полиэфирполиолы, сложные полиэфирполиамины или сложные полиэфирполиэпоксиды, предпочтительно сложные В последнее время при поиске возобновляемых источников химических соединений для промышленности ненефтяного происхождения внимание было обращено на различные растительные масла из семян, в частности на растительные масла из семян с высоким содержанием сложных эфиров ненасыщенных жирных кислот, таких как глицериды олеиновой кислоты. Например, подсолнечное масло, масло канола и некоторые соевые масла содержат сложные эфиры олеиновой кислоты в концентрациях более 70 мас.%. Известна, например, переэтерификация сложных эфиров жирных кислот, содержащихся в растительных маслах из семян, с низшим спиртом, например C1-8-спиртом, таким как метанол, с образованием сложных эфиров ненасыщенных жирных кислот и низшего спирта. Последние можно подвергнуть метатезису с этиленом в присутствии катализатора метатезиса с образованием В WO 96/04289 описан способ метатезиса, при котором для получения 1-децена и метил-9-деценоата метилолеат и этилен контактируют в присутствии катализатора метатезиса, содержащего карбоновое соединение рутения или осмия, такое как (дихлор-3,3-дифенилвинилкарбен)рутений(II). В патенте сообщается о числе оборотов катализатора (в дальнейшем «число оборотов»), равном 143 в тех случаях, когда способ осуществляется при комнатной температуре и давлении этилена 100 фунтов/кв.дюйм (689 кПа). В контексте настоящего изобретения термин «число оборотов» будет определяться как число молей ненасыщенной кислоты или сложного эфира, которое подвергается метатезису, например, число молей полученного в результате метатезиса метилолеата на моль катализатора. В публикации D. Mandelli et al. Journal of American Oil Chemical Society, 73, Для коммерческого осуществления указанных способов метатезиса невыгодно, когда вышеупомянутые числа оборотов слишком низкие. В публикации M.D. Refvik et al., Journal of American Oil Chemical Society, 76, В публикации C.Demes, Chemosphere, 43 (2001), 39 описан метатезис метилолеата с этиленом в присутствии рутениевого катализатора метатезиса. Сообщается, что при 50°C и давлении 145 фунтов/кв.дюйм способ характеризуется суммарными числами оборотов катализатора, находящимися в интервале между 2320 и 2960. Реализация интегрированных химических способов получения из возобновляемого сырья на основе растительных масел из семян может значительно зависеть от производительности на стадии метатезиса, где исходное сырье ненасыщенной жирной кислоты или сложного эфира ненасыщенной жирной кислоты, получаемое из растительных масел из семян, подвергается метатезису с низшим олефином, таким как этилен. Производительность можно определить, например, по активности катализатора (например, по превращению ненасыщенной жирной кислоты или сложного эфира) и по числу оборотов. Способы метатезиса известного уровня техники характеризуются неприемлемой производительностью, что невыгодно. Несмотря на то что ненасыщенные жирные кислоты и сложные эфиры, получаемые из растительных масел из семян, можно превратить в олефины с укороченной цепью и ненасыщенные кислоты или сложные эфиры с укороченной цепью с более высокой производительностью по сравнению со способами известного уровня техники, интеграция способа метатезиса с другими последующими промышленно применяемыми непрерывными способами производства может быть трудной для достижения с коммерческой точки зрения. Учитывая вышесказанное, существует потребность в разработке улучшенного способа, при котором для получения олефина с укороченной цепью и ненасыщенной кислоты или сложного эфира с укороченной цепью с приемлемой производительностью сырьевая композиция на основе ненасыщенных жирных кислот или сложных эфиров жирных кислот, получаемая из растительного масла из семян, подвергается метатезису с низшим олефином, таким как этилен. Для реализации такого способа необходим катализатор с более высокой активностью и числом оборотов по сравнению с катализаторами известного уровня техники. Кроме того, такие улучшенные результаты в любом улучшенном способе должны достигаться при приемлемых условиях способа (в частности, при умеренных температуре и давлении и минимальном количестве разбавителя или растворителя) и с приемлемой селективностью по требуемым продуктам метатезиса. Способ метатезиса с вышеупомянутыми характеристиками можно выгодно применять для превращения ненасыщенных жирных кислот и сложных эфиров жирных кислот, получаемых из возобновляемых растительных масел из семян, в олефины с укороченной цепью и ненасыщенные кислоты и сложные эфиры с укороченной цепью, предпочтительно Краткое описание изобретения В первом аспекте настоящее изобретение относится к новому способу олефинового метатезиса для превращения двух исходных (участвующих в реакции) олефинов, один из которых получают из растительного масла из семян, в два целевых (получаемых в результате) олефина, которые отличаются от участвующих в реакции олефинов. Новый способ метатезиса включает контактирование сырьевой композиции на основе жирной кислоты или сложного эфира жирной кислоты, в зависимости от обстоятельств содержащей одну или более ненасыщенных жирных кислот или сложных эфиров ненасыщенных жирных кислот, с низшим олефином в присутствии катализатора метатезиса в условиях способа метатезиса, достаточных для получения соответственно олефина с укороченной цепью и ненасыщенной кислоты или сложного эфира с укороченной цепью. В важном аспекте настоящего изобретения сырьевая композиция на основе жирных кислот или сложных эфиров жирных кислот характеризуется тем, что по существу не содержит отравляющей примеси(ей), способной ингибировать катализатор метатезиса, как описано в дальнейшем. Установлено, что такие отравляющие примеси присущи сырым сырьевым материалам, применяемым для указанного метатезиса, и образуются в результате обычного воздействия атмосферных условий. В контексте настоящего изобретения под термином “укороченная цепь” подразумевается, что длина цепи получаемого в результате олефина короче, чем длина цепи исходного олефина, из которого получаемый олефин производится. При родственном аспекте настоящее изобретение относится к новой композиции на основе жирных кислот или сложных эфиров жирных кислот, получаемой из растительного масла из семян и содержащей одну или более ненасыщенных жирных кислот или сложных эфиров ненасыщенных жирных кислот, характеризующейся тем, что содержит менее 3,0 миллиэквивалентов примеси(ей), отравляющей катализатор метатезиса, на килограмм композиции на основе жирных кислот или сложных эфиров жирных кислот. Преимущественно в способе метатезиса согласно настоящему изобретению применяется сырьевая композиция на основе жирных кислот или сложных эфиров жирных кислот, получаемая из растительного масла из семян, преимущественно сырьевая композиция на основе жирных кислот или сложных эфиров жирных кислот, получаемая из растительного масла из семян, и в очищенной форме, чтобы обеспечить повышенную работоспособность катализатора метатезиса. Преимущественно способ метатезиса согласно настоящему изобретению характеризуется улучшенной производительностью по сравнению со способами метатезиса известного уровня техники. Выгодно, что в предпочтительном воплощении способа метатезиса согласно настоящему изобретению по сравнению со способами известного уровня техники достигаются более высокая степень превращения олефинов и более высокие числа оборота. Более того, такие улучшения достигаются в условиях осуществления способа при умеренных температуре и давлении и с минимальным количеством разбавителя или растворителя, если таковой имеется. Вышеупомянутые улучшенные характеристики делают способ метатезиса согласно настоящему изобретению в высшей степени желательным для превращения ненасыщенных жирных кислот и сложных эфиров ненасыщенных жирных кислот, получаемых из растительных масел из семян, в продукты с более высокими показателями, включая олефины с укороченной цепью и ненасыщенные кислоты и сложные эфиры с укороченной цепью. Вышеупомянутый новый способ метатезиса согласно настоящему изобретению дает возможность полезного применения растительных масел из семян в качестве возобновляемого источника промышленных химических продуктов не нефтяного происхождения путем интегрирования способа метатезиса с последующими непрерывными химическими способами. Например, новый способ метатезиса согласно настоящему изобретению находит применение при получении олефинов с укороченной цепью, предпочтительно Во втором аспекте настоящее изобретение относится к новому способу получения сложного полиэфирполиэпоксида. В указанном втором аспекте способ включает: (1) контактирование сырьевой композиции на основе жирных кислот или сложных эфиров жирных кислот, содержащей одну или более ненасыщенных жирных кислот или сложных эфиров ненасыщенных жирных кислот, с низшим олефином в присутствии катализатора метатезиса олефинов в условиях способа метатезиса, достаточных для получения ненасыщенной кислоты или сложного эфира с укороченной цепью; сырьевая композиция на основе жирных кислот или сложных эфиров жирных кислот характеризуется тем, что она по существу не содержит отравляющей примеси(ей), способной ингибировать катализатор метатезиса; (2) (пере)этерификацию ненасыщенной кислоты или сложного эфира с укороченной цепью с полиолом в условиях (пере)этерификации, достаточных для получения ненасыщенного сложного полиэфира; и (3) эпоксидирование ненасыщенного сложного полиэфира эпоксидирующим агентом, необязательно в присутствии катализатора эпоксидирования, в условиях эпоксидирования, достаточных для получения сложного полиэфирполиэпоксида. В связи с описанным выше способом метатезиса-(пере)этерификации настоящее изобретение также относится к новой композиции сложного полиэфирполиолефина, представленного ниже формулой(I): где каждый R1 независимо выбран из атома водорода и Cl-8-алкильных радикалов; R2 выбран из атома водорода, метильного, этильного и винильного радикалов; x равно целому числу от приблизительно 3 до приблизительно 7; и n равно целому числу от 2 до приблизительно 15. В связи с описанным выше способом метатезиса-(пере)этерификации-эпоксидирования настоящее изобретение также относится к новой композиции сложного полиэфирполиэпоксида, представленного ниже формулой (II) где каждый R1 независимо выбран из атома водорода и C1-8-алкильных радикалов; R2 выбран из атома водорода, метильного, этильного и винильного радикалов; x равно целому числу от приблизительно 3 до приблизительно 7; и n равно целому числу от 2 до приблизительно 15. В третьем аспекте настоящее изобретение относится к способу получения В связи с описанным выше способом метатезиса-гидроформилирования-(пере)этерификации согласно изобретению настоящее изобретение относится к новой композиции сложного где каждый R1 независимо выбран из атома водорода и C1-8-алкильных радикалов; R2 выбран из атома водорода, метильного, этильного и винильного радикалов; x равно целому числу от приблизительно 3 до приблизительно 7; и n равно целому числу от 2 до приблизительно 15. В четвертом аспекте настоящее изобретение относится к способу получения В связи с описанным выше способом метатезиса-гидроформилирования-восстановительного аминирования-(пере)этерификации согласно изобретению настоящее изобретение также относится к новой композиции сложного где каждый R1 независимо выбран из атома водорода и Cl-8-алкильных радикалов; R2 выбран из атома водорода, метильного, этильного и винильного радикалов; x равно целому числу от 3 до приблизительно 7; и n равно целому числу от 2 до приблизительно 15. Подробное описание изобретения Как описано выше, новые интегрированные способы относятся к получению новых сложных полиэфирполиэпоксидов, сложных В первом аспекте предлагается новый способ метатезиса олефинов для превращения двух исходных олефинов, один из которых получают из растительного масла из семян, в два получаемых в результате олефина, предпочтительно В предпочтительном воплощении настоящего изобретения сырьевая композиция на основе жирных кислот содержит более чем приблизительно 70 мас.% олеиновой кислоты. В другом предпочтительном воплощении сырьевая композиция на основе сложных эфиров жирных кислот содержит более приблизительно 70 мас.% метилолеата. В еще одном предпочтительном воплощении настоящего изобретения олефин с укороченной цепью представляет собой В родственном аспекте настоящее изобретение относится к новой сырьевой композиции на основе жирных кислот или сложных эфиров жирных кислот, содержащей одну или более ненасыщенных жирных кислот или сложных эфиров жирных кислот (в зависимости от обстоятельств), дополнительно характеризующейся тем, что она содержит менее 3,0 мэкв. примеси(ей), отравляющей катализатор метатезиса, на кг композиции на основе жирных кислот или сложных эфиров жирных кислот. Предпочтительно сырьевая композиция на основе жирных кислот или сложных эфиров жирных кислот содержит менее приблизительно 2,5, более предпочтительно менее приблизительно 2,0, еще более предпочтительно менее приблизительно 1,5 и наиболее предпочтительно менее приблизительно 1,0 мэкв. примеси(ей), отравляющей катализатор метатезиса/кг сырья. Во втором аспекте настоящее изобретение относится к новому способу получения сложного полиэфирполиэпоксида, предпочтительно сложного В связи с описанным выше способом метатезиса-(пере)этерификации настоящее изобретение относится к новой композиции сложного полиэфирполиолефина, представленного ниже формулой (I) где каждый Rl независимо выбран из атома водорода и Cl-8– алкильных радикалов, предпочтительно атома водорода; R2 выбран из атома водорода, метильного, этильного и винильного радикалов, предпочтительно атома водорода; x равно целому числу от приблизительно 3 до приблизительно 7, предпочтительно приблизительно 7; и n равно целому числу от 2 до приблизительно 15, предпочтительно приблизительно 3. В связи с описанным выше способом метатезиса-(пере)этерификации-эпоксидирования настоящее изобретение также относится к новой композиции сложного полиэфирполиэпоксида, представленного ниже формулой (II): где каждый R1 независимо выбран из атома водорода и C1-8– алкильных радикалов, предпочтительно атома водорода; R2 выбран из атома водорода, метильного, этильного и винильного радикалов, предпочтительно атома водорода; x равно целому числу от приблизительно 3 до приблизительно 7, предпочтительно приблизительно 7; и n равно целому числу от 2 до приблизительно 15, предпочтительно приблизительно 3. Более предпочтительно каждый Rl и R2 представляет собой атом водорода; x равно 7; n равно 3; и сложный полиэфирполиэпоксид представляет собой триглицерид 9,10-эпоксидекановой кислоты. В третьем аспекте настоящее изобретение относится к способу получения Сложный где каждый Rl независимо выбран из атома водорода и Cl-8– алкильных радикалов, предпочтительно атома водорода; R2 выбран из атома водорода, метильного, этильного и винильного радикалов, предпочтительно атома водорода; x равно целому числу от приблизительно 3 до приблизительно 7, предпочтительно приблизительно 7; и n равно целому числу от 2 до приблизительно 15, предпочтительно приблизительно 3. Таким образом, в наиболее предпочтительном воплощении каждый Rl и R2 представляет собой атом водорода; x равно 7; n равно 3; и сложный полиэфирполиол представляет собой сложный триглицеридный эфир 11-гидроксиундекановой кислоты. В четвертом аспекте предлагается способ получения В связи с описанным выше способом метатезиса-гидроформилирования-аминирования-(пере)этерификации согласно изобретению настоящее изобретение также относится к новой композиции сложного где каждый R1 независимо выбран из атома водорода и Cl-8-алкильных радикалов, предпочтительно атома водорода; R2 независимо выбран из атома водорода, метильного, этильного и винильного радикалов, предпочтительно атома водорода; x равно целому числу от приблизительно 3 до приблизительно 7, предпочтительно приблизительно 7; и n равно целому числу от 2 до приблизительно 15, предпочтительно приблизительно 3. Таким образом, в наиболее предпочтительном воплощении сложный полиэфирполиамин представляет собой сложный В наиболее предпочтительном воплощении настоящее изобретение относится к новому способу олефинового метатезиса, включающему контактирование этилена с сырьевой композицией на основе сложного эфира жирной кислоты, которую получают из растительного масла из семян и которая содержит более приблизительно 80 мас.% метилолеата; сырьевая композиция на основе сложного эфира жирной кислоты содержит менее приблизительно 100 мэкв. органических гидроперекисей на кг сырья, в присутствии катализатора метатезиса в условиях способа метатезиса, достаточных для получения 1-децена и метил-9-деценоата. В другом наиболее предпочтительном воплощении настоящее изобретение относится к новому способу получения сложного В третьем наиболее предпочтительном аспекте настоящее изобретение относится к способу получения сложного В четвертом наиболее предпочтительном аспекте настоящее изобретение относится к способу получения сложного Сырьевые композиции на основе жирных кислот и сложных эфиров жирных кислот, подходящие для применения в способе согласно настоящему изобретению, содержат значительную концентрацию ненасыщенной жирной кислоты (кислот), сложного эфира (эфиров) ненасыщенной жирной кислоты или их смесей. Применяемая в настоящем способе сырьевая композиция обычно будет содержать более приблизительно 60 мас.% ненасыщенной жирной кислоты (кислот) и/или сложного эфира (эфиров) ненасыщенной жирной кислоты, более предпочтительно более приблизительно 70 мас.%, и еще более предпочтительно более приблизительно 80 мас.% ненасыщенной жирной кислоты (кислот) и/или сложного эфира (эфиров) ненасыщенной жирной кислоты. Сырьевые композиции, отвечающие таким критериям, можно получить из масляничных культур и растительных масел, включая касторовое, оливковое, арахисовое, рапсовое, кукурузное, кунжутное, хлопковое, соевое, подсолнечное, канола, сафлоровое, льняное и тому подобные масла. Предпочтительно сырьевую композицию получают из подсолнечника, канолы и определенных генетически модифицированных масел, включая генетически модифицированные соевые масла. Обычно сырьевую композицию на основе сложного эфира жирной кислоты, применяемую в настоящем изобретении, можно получить переэтерификацией растительного масла из семян с низшим алканолом. В данном контексте низшим алканолом обычно считается Cl-10-алканол, предпочтительно C1-8-алканол, более предпочтительно C1-4-алканол, такой как метанол, этанол, изопропанол или бутанол, и наиболее предпочтительно метанол. Растительные масла из семян содержат смеси глицеридов как насыщенных, так и ненасыщенных жирных кислот. При переэтерификации растительного масла из семян с низшим алканолом получают соответствующую смесь сложных эфиров насыщенных и ненасыщенных жирных кислот низшего алканола. Из-за того что смеси глицеридов может быть трудно обрабатывать и разделять, переэтерификацией растительного масла из семян с низшим алканолом получают смесь сложных эфиров жирных кислот, более подходящую для химических превращений и разделения. Любые условия переэтерификации являются подходящими, при условии что достигается получение сложноэфирных продуктов низшего алканола. Переэтерификация (например, метанолиз, этанолиз) растительных масел из семян в данной области техники описана в достаточной мере; например, см. WO2001/012581, DE 19908978, BR953081, включенные в описание путем ссылки. В общем способе переэтерификации низший спирт, предпочтительно C1-10-алканол, такой как метанол или этанол, взаимодействует с щелочным металлом, предпочтительно натрием, при температуре между приблизительно 30°C и приблизительно 100°C с образованием соответствующего алкоголята металла. После этого добавляют растительное масло из семян и полученную реакционную смесь нагревают далее при температуре между приблизительно 30°C и приблизительно 100°C до тех пор, пока не осуществится переэтерификация. Сырую переэтерифицированную композицию можно выделить известными в данной области способами, включая, например, способы разделения фаз, экстракции и дистилляции. Сырой продукт можно обесцветить на угле и отделить от других или нежелательных побочных продуктов колоночной хроматографией, например, на силикагеле. Варианты описанной выше общей методики хорошо известны в данной области. Если вместо сырья на основе сложных эфиров жирных кислот желательно применять сырье на основе жирных кислот, то для получения соответствующей смеси жирных кислот выбранное растительное масло из семян можно подвергнуть гидролизу. Способы гидролиза растительных масел из семян до входящих в их состав жирных кислот также хорошо известны в данной области. Для способа метатезиса любая сырьевая композиция на основе жирных кислот или сложных эфиров жирных кислот может быть соответственно использована при условии, что содержащиеся в ней ненасыщенные жирные кислоты или сложные эфиры ненасыщенных жирных кислот могут подвергаться метатезису с образованием олефинов с укороченной цепью и ненасыщенных кислот или сложных эфиров с укороченной цепью. Как известно в данной области, сложный эфир ненасыщенной жирной кислоты представляет собой продукт сложноэфирной конденсации ненасыщенной жирной кислоты и спирта. Ненасыщенная жирная кислота содержит длинную цепь из атомов углерода, содержащую, по меньшей мере, одну двойную углерод-углеродную связь и концевую группу карбоновой кислоты. Типично ненасыщенная жирная кислота будет содержать более приблизительно 6 атомов углерода, предпочтительно более приблизительно 10 атомов углерода, и более предпочтительно более приблизительно 12 атомов углерода. Типично ненасыщенная жирная кислота будет содержать менее приблизительно 50 атомов углерода, предпочтительно менее приблизительно 36 атомов углерода и более предпочтительно менее приблизительно 26 атомов углерода. По меньшей мере, одна двойная углерод-углеродная связь присутствует в углеродной цепи, такая двойная связь, как правило, расположена приблизительно в середине цепи, однако необязательно в таком положении. Ненасыщенные жирные кислоты, содержащие две или более двойные углерод-углеродные связи, также могут соответствующим образом применяться в способе согласно настоящему изобретению. Поскольку метатезис может проходить по любой из двойных углерод-углеродных связей, из жирной кислоты с более чем одной двойной связью можно получить различные продукты метатезиса, которые затем могут потребовать больших усилий по разделению. Соответственно более предпочтительны ненасыщенные жирные кислоты с одной двойной углерод-углеродной связью. Ненасыщенная жирная кислота может иметь прямую или разветвленную цепь и быть замещена одним или более заместителями по цепи жирной кислоты, при условии что один или более заместителей по отношению к способу метатезиса являются по существу инертными. Неограничивающие примеры подходящих заместителей включают алкильные группы, предпочтительно C1-10-алкильные группы, включая, например, метил, этил, пропил, бутил и т.п.; циклоалкильные группы, предпочтительно C4-8-циклоалкильные группы, включая, например, циклопентил и циклогексил; моноциклические ароматические группы, предпочтительно C6-ароматические группы, такие как фенил; арилалкильные группы, предпочтительно C7-16-арилалкильные группы, включая, например, бензил; и алкиларильные группы, предпочтительно C7-16-алкиларильные группы, включая, например, толил, этилфенил, ксилил и т.п.; а также гидроксильную, простую эфирную, кетонную, альдегидную и галогенидную, предпочтительно хлор и бром, функциональные группы. Неограничивающие примеры ненасыщенных жирных кислот, которые могут быть соответственно использованы в сырье на основе жирных кислот или жирнокислотной части сырья на основе сложных эфиров, включают 3-гексеновую (гидросорбиновую), транс-2-гептеновую, 2-октеновую, 2-ноненовую, цис- и транс-4-деценовую, 9-деценовую (капролеиновую), 10-ундеценовую (ундециленовую), транс-3-додеценовую (линдеровую(linderic)), тридеценовую, цис-9-тетрадеценовую (миристолеиновую), пентадеценовую, цис-9-гексадеценовую (цис-9-пальмитолеиновую), транс-9-гексадеценовую (транс-9-пальмитолеиновую), 9-гептадеценовую, цис-6-октадеценовую (петроселиновую), транс-6-октадеценовую (петроселаидиновую), цис-9-октадеценовую (олеиновую), транс-9-октадеценовую (элаидиновую), цис-11-октадеценовую, транс-11-октадеценовую (вакценовую), цис-5-эйкозеновую, цис-9-эйкозеновую (годолеиновую), цис-11-докозеновую (цетолеиновую), цис-13-докозеновую (эруковую), транс-13-докозеновую (брассидиновую), цис-15-тетракозеновую (селахолеиновую), цис-17-гексакозеновую (ксименовую) и цис-21-триаконтеновую (lumequeic) кислоты, а также 2,4-гексадиеновую (сорбиновую), цис-9-цис-12-октадекадиеновую (линолевую), цис-9-цис-12-цис-15-октадекатриеновую (линоленовую), элеостеариновую, 12-гидрокси-цис-9-октадеценовую (рицинолеиновую), цис-5-докозеновую, цис-5,13-докозадиеновую и тому подобные кислоты. Наиболее предпочтительной ненасыщенной жирной кислотой является олеиновая кислота, содержащая цепь из восемнадцати атомов углерода с одной двойной связью у атома углерода в положении 9. Спиртовая часть сложных эфиров жирных кислот, присутствующих в сырьевой композиции, может представлять собой любой одноатомный, двухатомный или многоатомный спирт, способный к конденсации с ненасыщенной жирной кислотой с образованием сложного эфира. В растительных маслах из семян спиртовая часть представляет собой глицерин, трехатомный спирт. Путем переэтерификации глицериды можно превратить в сложные эфиры жирных кислот и низших алканолов, которые более легко разделяются или подходят для последующей химической переработки. Типично спирт содержит, по меньшей мере, один атом углерода. Типично спирт содержит менее приблизительно 15 атомов углерода, предпочтительно менее приблизительно 12 атомов углерода, более предпочтительно менее приблизительно 10 атомов углерода и еще более предпочтительно менее приблизительно 8 атомов углерода. Атомы углерода в спиртовой части могут находиться в виде прямой или разветвленной структуры и могут быть замещены различными заместителями, такими как заместители, ранее описанные в связи с жирнокислотной частью, включая вышеупомянутые алкильные, циклоалкильные, ароматические моноциклические, арилалкильные, алкиларильные, гидроксильные, галогенные, эфирные (простые), сложноэфирные, альдегидные и кетонные заместители. Спирт предпочтительно представляет собой Cl-8-алканол с прямой или разветвленной цепью. Наиболее предпочтительно спирт представляет собой Cl-4-алканол, подходящие примеры которого включают метанол, этанол, пропанолы и бутанолы. Наиболее предпочтительно сырьевая композиция на основе сложных эфиров жирных кислот содержит смесь сложных метиловых эфиров ненасыщенных жирных кислот, преимущественно олеиновой кислоты. Согласно условиям настоящего изобретения сырьевая композиция на основе жирных кислот или сложных эфиров жирных кислот, обычно получаемая путем гидролиза или переэтерификации растительного масла из семян, находится в очищенной форме, по существу не содержащей одной или более отравляющих примесей, которые ингибируют работу катализатора метатезиса. Ингибирование отравляющей примесью выражается в уменьшенной активности катализатора, включая уменьшение числа оборотов и уменьшение срока службы катализатора, по сравнению с катализатором, эксплуатируемым в среде, по существу не содержащей отравляющей примеси. Обычно отравляющие примеси включают органические гидроперекиси и продукты разложения перекисей, такие как вода, спирты (например, аллиловые спирты), кетоны и альдегиды (например, диенали). Присутствующие в сырье соединения, но необязательно производные гидроперекисей, также могут действовать как отравляющие примеси, включая воду, спирты (например, аллиловые спирты), кетоны и альдегиды (например, диенали). Считается, что органические гидроперекиси более распространены и наносят больший ущерб. Известно, что обычно органические гидроперекиси могут появляться в результате свободно радикального окисления на воздухе двойных связей, присутствующих в ненасыщенной жирной кислоте. С помощью очистки сырья для удаления отравляющих примесей, предпочтительно органических гидроперекисных отравляющих примесей, можно достичь значительного повышения активности катализатора метатезиса, которую определяют по числу оборотов. Можно приобретать либо немодифицированные, либо модифицированные с помощью гидролиза или переэтерификации растительные масла из семян приемлемой чистоты или альтернативно можно очищать до более высокого уровня чистоты по описанной далее методике. Чистота коммерческого сырья на основе жирных кислот или сложных эфиров жирных кислот обычно изменяется от образца к образцу; следовательно, с целью достижения устойчиво низких уровней примесей, отравляющих катализатор, такое сырье предпочтительно подвергать очистке. Если образец следует подвергать очистке, то предпочтительна очистка непосредственно перед применением в способе метатезиса; однако может быть приемлемо хранение очищенного сырья в инертной атмосфере, такой как атмосфера азота, в течение периода времени. Сам по себе способ очистки легко осуществить при контактировании сырьевой композиции на основе жирных кислот или сложных эфиров жирных кислот с адсорбентом, предназначенным для удаления отравляющей катализатор примеси(ей) до указанных здесь низких концентраций. Типичные адсорбенты включают оксиды алюминия, двуокиси кремния, активированные угли, глины, магнезии, алюмосиликаты, молекулярные сита, титаносиликаты и их смеси. Более предпочтительные адсорбенты включают оксиды алюминия, глины и алюмосиликаты; еще более предпочтительными являются глины и активированные оксиды алюминия. Наиболее предпочтительным адсорбентом является активированный оксид алюминия. Более конкретно способ очистки включает контактирование сырьевой композиции на основе жирных кислот или сложных эфиров жирных кислот с адсорбентом в условиях, достаточных для получения очищенной сырьевой композиции с общей концентрацией отравляющей катализатор примеси(ей), предпочтительно органических гидроперекисей, менее приблизительно 100 миллиэквивалентов на килограмм (мэкв./кг) сырья. Предпочтительно общая концентрация отравляющей катализатор примеси(ей), предпочтительно органических гидроперекисей, составляет менее приблизительно 25, более предпочтительно составляет менее приблизительно 15, еще более предпочтительно менее приблизительно 10 и наиболее предпочтительно менее 3,0 мэкв. отравляющей примеси(ей)/кг сырья. В пределах наиболее предпочтительного диапазона, составляющего менее 3,0 мэкв./кг, предпочтительно применять сырьевую композицию на основе жирных кислот или сложных эфиров жирных кислот, содержащую менее приблизительно 2,5, еще более предпочтительно менее приблизительно 2,0, еще более предпочтительно содержащую менее приблизительно 1,5, и наиболее предпочтительно менее приблизительно 1,0 мэкв. отравляющей примеси(ей)/кг сырья. Способы анализа гидроперекисей хорошо известны в данной области, например описаны в публикации R.M. Johnson и I.W. Siddiqi, The Determination of Organic Peroxides, Pergamon Press, New York, NY, 1970, и в публикации American Oil Chemical Society Official Methods Cd 8-53 и Cd 8b-90; относящиеся к данному вопросу разделы вышеупомянутых публикаций включены здесь путем ссылки. В общем случае различные катализаторы метатезиса проявляют различную степень чувствительности к примесям, отравляющим метатезис. Для способа метатезиса, подходящего для практического внедрения, в настоящее время известно, что максимальная концентрация отравляющей примеси(ей) в сырье для метатезиса преимущественно составляет менее приблизительно 100 мэкв./кг. Адсорбент можно суспендировать с сырой сырьевой композицией или предпочтительно разместить в колонке с фиксированным слоем, через которую пропускают сырую сырьевую композицию. Обычно количество применяемого адсорбента составляет более приблизительно 1 мас.% и менее приблизительно 100 мас.% относительно массы сырьевой композиции. Можно применять любую температуру, при которой сырьевая композиция химически и термически стабильна и обладает подходящей вязкостью для протекания через адсорбент. Температура обычно составляет более приблизительно 10°C и предпочтительно равна или выше приблизительно, чем температура окружающей среды, принимаемая за 21°C. Обычно температура составляет ниже приблизительно 100°C, предпочтительно ниже приблизительно 50°C. Внешнее давление, прилагаемое к колонке с адсорбентом, обычно находится в диапазоне от атмосферного давления до приблизительно 100 фунтов/кв.дюйм (690 кПа). Чтобы достичь при этом высокой степени очистки, можно обеспечить многократные проходы сырья через колонку с адсорбентом или многократные контакты с адсорбентом. Обычно очистку проводят, как правило, в атмосфере инертного газа, который по существу не содержит кислорода. Подходящим образом можно применять азот, гелий, аргон, неон и другие подобные инертные газы и их смеси. Под термином «по существу не содержит кислорода» будет подразумеваться концентрация кислорода менее приблизительно 1% и предпочтительно менее приблизительно 0,1%, в расчете на общий объем присутствующей газовой фазы. Приведенное выше описание включает стадию очистки с разделением, проводимой перед стадией метатезиса, то есть до того, как сырье на основе жирных кислот или сложных эфиров жирных кислот вступит в контакт с катализатором метатезиса; однако специалист в данной области определит и другие технологии осуществления стадии очистки. Например, можно предусмотреть, чтобы стадия очистки осуществлялась in situ в блоке реактора для метатезиса во время осуществления самого способа метатезиса. Кроме того, следует отметить, что примеси, отравляющие катализатор метатезиса, обычно могут отравлять также катализаторы гидроформилирования и катализаторы эпоксидирования. Соответственно вытекающий после метатезиса поток должен загрязняться отравляющими примесями, или сырье должно повторно загрязняться отравляющими примесями, например, при контакте со следовыми количествами или при случайных просачиваниях воздуха во время хранения или прокачки по трубопроводу, поэтому в случае необходимости стадию очистки можно повторять перед дальнейшей каталитической обработкой, например перед метатезисом, гидроформилированием и эпоксидированием. Как кратко отмечено выше, анализ отравляющих примесей в сырьевой композиции как до, так и после очистки можно проводить с помощью любого подходящего аналитического метода. Например, определение концентрации гидроперекисей можно проводить с помощью стандартных иодид-тиосульфатных методов титрования, известных специалисту в данной области. После завершения очистки сырьевая композиция обычно непосредственно подвергается метатезису или хранится в защитном слое инертного газа для того, чтобы избежать повторного окисления ненасыщенных жирных кислот или сложных эфиров жирных кислот кислородом. Кроме того, для способа метатезиса помимо сырьевой композиции на основе жирных кислот или сложных эфиров жирных кислот согласно настоящему изобретению также требуется низший олефин. Под термином «низший олефин» в этом случае подразумевается C2-5-олефин, включающий, например, этилен, пропилен, 1-бутен, 2-бутен, бутадиен, пентены и их смеси. Низший олефин и сырьевую композицию можно подавать в способе метатезиса в любых рабочих количествах. Конкретно применяемые количества могут изменяться в зависимости от концентрации ненасыщенных жирных кислот или сложных эфиров в сырье и конструкции конкретного реактора. Обычно желательно поддерживать количество низшего олефина, достаточное для того, чтобы свести к минимуму самометатезис ненасыщенных жирных кислот или сложных эфиров, т.е. метатезис между двумя молекулами ненасыщенных жирных кислот или сложных эфиров. Аналогично желательно свести к минимуму самометатезис низшего олефина. (В предпочтительном воплощении, когда низший олефин представляет собой этилен, самометатезис не является проблематичным, так как при этом просто опять образуется этилен.) Специалисту в данной области должно быть известно, как без проведения излишних экспериментов выбрать относительные количества низшего олефина и сырья, чтобы свести к минимуму реакции самометатезиса. Приводимые далее молярные соотношения установлены в качестве ориентировочных, однако настоящее изобретение не следует ограничивать описанными здесь соотношениями. Обычно молярное отношение низшего олефина к общему количеству ненасыщенных жирных кислот или сложных эфиров жирных кислот в сырье составляет более приблизительно 0,1/1,0, предпочтительно более приблизительно 0,9/1,0. Обычно молярное отношение низшего олефина к общему количеству ненасыщенных жирных кислот или сложных эфиров жирных кислот в сырье составляет менее приблизительно 5/1 и предпочтительно менее приблизительно 3/1. В предпочтительном случае, когда низший олефин представляет собой этилен, верхний предел молярного отношения этилена к общему количеству ненасыщенных жирных кислот или сложных эфиров жирных кислот может находиться в диапазоне вплоть до приблизительно 20/1,0. Когда применяют этилен, молярное отношение предпочтительно составляет менее приблизительно 20/1,0, и более предпочтительно менее приблизительно 15/1,0. Обычно сырье на основе жирных кислот или сложных эфиров жирных кислот применяется для способа метатезиса в виде чистой (неразбавленной) жидкой фазы, т.е. без разбавителя или растворителя. Применение растворителя может повысить требования к рециклу и затраты. Если требуется, хотя необязательно, можно применять растворитель. Неограничивающие примеры подходящих растворителей включают ароматические углеводороды, такие как бензол, толуол, ксилолы и т.п.; хлорированные ароматические углеводороды, предпочтительно хлорированные бензолы, такие как хлорбензол и дихлорбензол; алканы, такие как пентан, гексан, циклогексан и т.п.; и хлорированные алканы, такие как метилендихлорид и хлороформ. Если применяется растворитель, то может использоваться любое его количество, при условии что способ метатезиса происходит, как описано. Обычно концентрация сырья на основе жирных кислот или сложных эфиров жирных кислот в растворителе составляет более приблизительно 0,05 M, предпочтительно более приблизительно 0,5 M, обычно приблизительно меньше чем концентрация при насыщении, и предпочтительно менее приблизительно 5,0 M. Обычно низший олефин для проведения реакции подается в виде по существу чистого газа или, необязательно, разбавленного газообразным разбавителем. В качестве газообразного разбавителя можно применять любой по существу инертный газ, подходящие примеры которого включают без ограничения гелий, неон, аргон, азот и их смеси. Если применяют газообразный разбавитель, то концентрация низшего олефина в разбавителе может соответственно находиться в диапазоне от более приблизительно 5 мольных процентов, предпочтительно более приблизительно 10 мольных процентов, до типично менее приблизительно 90 мольных процентов низшего олефина в расчете на общее количество молей низшего олефина и газообразного разбавителя. Целесообразно из способа метатезиса исключить кислород, чтобы избежать нежелательных взаимодействий кислорода с катализатором метатезиса и с ненасыщенными жирными кислотами и/или сложными эфирами. В качестве дополнительной альтернативы в способ метатезиса можно добавлять стабилизирующий лиганд. Стабилизирующий лиганд может представлять собой любую молекулу или ион, промотирующий стабильность катализатора в способе метатезиса, что определяется, например, повышенной активностью и увеличенным сроком службы катализатора. Неограничивающие примеры стабилизирующих лигандов включают три(алкил)фосфины, такие как трициклогексилфосфин, трициклопентилфосфин и трибутилфосфин; три(арил)фосфины, такие как три(фенил)фосфин и три(метилфенил)фосфин; алкилдиарилфосфины, такие как циклогексилдифенилфосфин; диалкиларилфосфины, такие как дициклогексилфенилфосфин; а также простые эфиры, такие как анизол; оксиды фосфина, такие как оксид трифенилфосфина; и фосфиниты, фосфониты, фосфорамидиты, пиридины и их комбинации. Стабилизирующий лиганд предпочтительно выбирают из вышеупомянутых фосфинов и более предпочтительно из три(циклогексил)фосфина и три(фенил)фосфина. Количество стабилизирующего лиганда может изменяться в зависимости от применяемого специфического катализатора и компонентов специфического лиганда. Обычно молярное соотношение стабилизирующего лиганда и катализатора составляет более приблизительно 0,05/1 и предпочтительно составляет более приблизительно 0,5/1. Обычно молярное соотношение стабилизирующего лиганда и катализатора составляет менее приблизительно 4,0/1 и предпочтительно менее приблизительно 1,5/1. Катализатором метатезиса может быть любой катализатор, который способен способствовать реакции взаимодействия ненасыщенных жирных кислот или сложных эфиров ненасыщенных жирных кислот с низшим олефином. В данной области известно большое количество катализаторов метатезиса, представительные примеры описаны в WO 93/20111, US 5312940, WO 96/04289; и J. Kingsbury и др., Journal of American Chemical Society, 121 (1999), 791-799; а также в находящейся одновременно на рассмотрении международной заявке на патент дихлор-3,3-дифенилвинилкарбен-бис(трициклогексилфосфин)рутений(II), дихлорид бис(трициклогексилфосфин)бензилиденрутения, дибромид бис(трициклогексилфосфин)бензилиденрутения, дихлорид трициклогексилфосфин-[1,3-бис-(2,4,6-триметилфенил)-4,5-дигидроимидазол-2-илиден][бензилиден]рутения, дибромид трициклогексилфосфин-[1,3-бис-(2,4,6-триметилфенил)-4,5-дигидроимидазол-2-илиден][бензилиден]рутения и дииодид трициклогексилфосфин-[1,3-бис-(2,4,6-триметилфенил)-4,5-дигидроимидазол-2-илиден][бензилиден]рутения. Наиболее предпочтительно рутениевый катализатор метатезиса выбирают из группы, включающей дихлор-3,3-дифенилвинилкарбен-бис(трициклогексилфосфин)рутений(II), дихлорид бис(трициклогексилфосфин)бензилиденрутения и хелатные комплексы рутения, представленные следующей формулой (V): В формуле (V) M представляет собой Ru; каждый L независимо выбран из нейтральных и анионных лигандов в любой комбинации, при которой поддерживается равновесие между химической связью и зарядом M; a равно целому числу, предпочтительно от 1 до приблизительно 4, представляющему собой общее число лигандов L; R где каждый из R в любой из приведенных выше формул независимо выбран из группы, состоящей из атома водорода, алкильного, предпочтительно Cl-l5-алкильного; циклоалкильного, предпочтительно С3-8-циклоалкильного; арильного, предпочтительно C6-l5-арильного, и замещенного арильного, предпочтительно замещенного C6-15-арильного радикалов. В любом из приведенных вариантов формулы V можно применять комбинации любых вышеупомянутых лигандов L. Более предпочтительно R где каждый R можно, как отмечено выше, выбрать из атома водорода, алкильного, предпочтительно C1-15-алкильного; циклоалкильного, предпочтительно C3-8-циклоалкильного; и арильного, предпочтительно C6-15-арильного радикалов; и где каждый n равен целому числу от 1 до приблизительно 4. В наиболее предпочтительном воплощении формула V представляет собой формулу XVII: где каждый T независимо выбран из Cl и Br, а PCy3 представляет собой трициклогексилфосфин. Несмотря на то что катализатор метатезиса представляет собой предпочтительно гомогенный катализатор, т.е. растворенный в жидкой реакционной смеси, катализатор может быть связан с или нанесен на любой из традиционных носителей катализатора, известных специалисту в данной области, таких как диоксид кремния, оксид алюминия, диоксид кремния – оксид алюминия, алюмосиликаты, диоксид титана, титаносиликаты, уголь, сетчатый сшитый полистирол и т.п. Когда применяется носитель для катализатора, катализатор можно нагружать на носитель катализатора в любом количестве, при условии что способ метатезиса протекает с образованием требуемых продуктов метатезиса. Обычно катализатор нагружают на носитель в количестве более приблизительно 0,01 % мас. каталитического металла, и предпочтительно более чем приблизительно 0,05 % мас. каталитического металла в расчете на общую массу катализатора и носителя. Обычно катализатор нагружают на носитель в количестве менее приблизительно 20 % мас. каталитического металла, и предпочтительно менее приблизительно 10 % мас. каталитического металла в расчете на общую массу катализатора и носителя. Обычно реакторы и условия способа метатезиса традиционны, хотя следует помнить, что высокой производительности указанного способа можно достичь при относительно умеренных условиях метатезиса. Соответственно могут применяться реакторы периодического действия, проточные реакторы с мешалкой, проточные реакторы непрерывного действия с неподвижным слоем катализатора, суспензионные реакторы, реакторы с псевдоожиженным слоем катализатора, реакторы непрерывного действия с поршневым потоком и дистилляционные каталитические реакторы. Обычно температура способа составляет выше приблизительно 0°C, предпочтительно выше приблизительно 15°C и более предпочтительно выше приблизительно 25°C. Обычно температура способа составляет ниже приблизительно 80°C, предпочтительно ниже приблизительно 50°C и более предпочтительно ниже приблизительно 35°C. Давление низшего олефина обычно составляет выше приблизительно 5 фунтов/кв.дюйм (34,5 кПа), предпочтительно выше приблизительно 10 фунтов/кв.дюйм (68,9 кПа) и более предпочтительно выше приблизительно 45 фунтов/кв.дюйм (310 кПа). Обычно давление низшего олефина составляет менее приблизительно 500 фунтов/кв.дюйм (3450 кПа), предпочтительно менее приблизительно 250 фунтов/кв.дюйм (1723 кПа), и более предпочтительно менее приблизительно 100 фунтов/кв.дюйм (690 кПа). Если способ осуществляется в реакторе периодического действия, отношение количества молей сырья на основе ненасыщенных жирных кислот или сложных эфиров жирных кислот к количеству молей катализатора метатезиса обычно будет составлять более приблизительно 10:1, предпочтительно более приблизительно 50:1 и более предпочтительно более приблизительно 100:1. При таких условиях способа молярное соотношение сырья на основе ненасыщенных жирных кислот или сложных эфиров жирных кислот и катализатора метатезиса обычно будет составлять менее приблизительно 10000000:1, предпочтительно менее приблизительно 1000000:1 и более предпочтительно менее приблизительно 500000:1. Время контактирования в реакторе периодического действия обычно составляет более приблизительно 5 минут и предпочтительно более приблизительно 10 минут. Обычно время контактирования в реакторе периодического действия составляет менее приблизительно 25 часов, предпочтительно менее приблизительно 15 часов и более предпочтительно менее приблизительно 10 часов. Если способ осуществляется в реакторе непрерывного действия, среднечасовая скорость подачи сырья, выраженная в единицах: граммов сырья для метатезиса на грамм катализатора в час (час-1), определяет относительные количества ненасыщенной жирной кислоты (кислот) и/или сложного эфира (эфиров) жирной кислоты (кислот) к количеству применяемого катализатора, а также времени пребывания сырья в реакторе. Соответственно среднечасовая скорость подачи сырья обычно составляет более приблизительно 0,04 г сырья на г катализатора в час (час-l), и предпочтительно более приблизительно 0,1 час-1. Среднечасовая скорость подачи сырья обычно составляет менее приблизительно 100 час-l и предпочтительно менее приблизительно 20 час-l. Скорость потока низшего олефина обычно регулируют так, чтобы получить требуемое отношение низшего олефина к ненасыщенной жирной кислоте (кислотам) и/или сложному эфиру (эфирам) ненасыщенной жирной кислоты. Когда способ метатезиса согласно настоящему изобретению проводят так, как описано выше, сырьевую композицию на основе ненасыщенных жирных кислот или сложных эфиров жирных кислот и низший олефин, предпочтительно этилен, подвергают совместному метатезису с образованием, по меньшей мере, двух олефиновых продуктов, которые отличаются от исходных (участвующих в реакции) олефинов, в частности, с образованием олефина с укороченной цепью и ненасыщенной кислоты или сложного эфира с укороченной цепью. Под термином «укороченная цепь» подразумевается более короткая длина цепи, чем длина цепи участвующей в реакции жирной кислоты или сложного эфира жирной кислоты. Предпочтительно два олефиновых продукта содержат Ненасыщенный сложный эфир с укороченной цепью, полученный согласно способу метатезиса, предпочтительно представлен следующей формулой: CHR2=CH-(CH2)x-C(О)OR3, где R2 выбран из атома водорода и моновалентных C1-5-углеводородных радикалов, таких как метильный, этильный и винильный радикалы, предпочтительно атома водорода; R3 представляет собой моновалентный C1-8-алкильный радикал, и x равно целому числу от 3 до приблизительно 7. Предпочтительные воплощения включают В способе метатезиса согласно настоящему изобретению степень превращения ненасыщенной жирной кислоты или сложного эфира жирной кислоты может значительно различаться в зависимости от конкретной сырьевой композиции, катализатора и применяемых условий способа. В контексте настоящего изобретения под «степенью превращения» подразумевается мол.% ненасыщенной жирной кислоты (кислот) или сложного эфира (эфиров) ненасыщенной жирной кислоты, который прореагировал до образования продуктов. Обычно степень превращения ненасыщенной жирной кислоты (кислот) или сложного эфира (эфиров) составляет более приблизительно 10 мол.%, предпочтительно более приблизительно 20 мол.% и более предпочтительно более приблизительно 40 мол.%. Для способа метатезиса согласно настоящему изобретению также характерно повышенное число оборотов катализатора, которое представляет собой количество превращенных молей ненасыщенной жирной кислоты (кислот) или сложного эфира (эфиров) ненасыщенной жирной кислоты на моль катализатора. Обычно достигается число оборотов более приблизительно 900. Предпочтительно достигается число оборотов более приблизительно 1500, более предпочтительно более приблизительно 2000 и наиболее предпочтительно более приблизительно 3500. В одном последующем применении ненасыщенная кислота или сложный эфир с укороченной цепью, предпочтительно низшие сложные алкиловые эфиры 9-деценовой кислоты можно (пере)этерифицировать с полиолом в условиях (пере)этерификации, достаточных для получения сложного полиэфирполиолефина формулы (I), описанной выше. Специалисту в данной области очевидно, что ненасыщенную кислоту с укороченной цепью этерифицируют, в то время как ненасыщенный сложный эфир с укороченной цепью переэтерифицируют. Полиол, применяемый для (пере)этерификации, может представлять собой любой многоатомный спирт, допускающий такой способ, и предпочтительно представляет собой многоатомный C2-15-спирт. Глицерин представляет собой предпочтительный полиол. Условия переэтерификации аналогичны условиям переэтерификации, описанным выше, за исключением того, что следует предпринять усилия по удалению низшего алканола, предпочтительно метанола, из реакционной смеси. Более конкретно ненасыщенный сложный эфир обычно контактирует с полиолом при повышенной температуре в присутствии катализатора, такого как оксид н-бутилоловогидроксида, с одновременной дистилляцией реакционной смеси или в условиях пониженного давления для удаления летучего низшего алканола, который возвращается обратно. Типично на эквивалентной основе применяют минимум приблизительно 1 эквивалент сложного эфира на 1 эквивалент OH-групп в полиоле. Предпочтительно сложный эфир по отношению к ОН-группам применяют в избытке. Как максимум, предпочтительно применяют приблизительно 2,5 эквивалентов сложного эфира на 1 эквивалент OH. Наиболее предпочтительный диапазон составляет от приблизительно 1,1 до приблизительно 1,5 эквивалентов сложного эфира на эквивалент OH. Температура переэтерификации обычно составляет выше приблизительно 100°C, однако ниже приблизительно 250°C. Дальнейшее описание и репрезентативные способы переэтерификации см. JP-A2-01093558 и A.Gros и др., Journal of American Oil Chemical Society, 26 (1949), 704-709, включенных здесь путем ссылки. Аналогичные способы известны в данной области для этерификации кислот полиолами. Полученный при (пере)этерификации сложный полиэфирполиолефин (I) можно эпоксидировать эпоксидирующим агентом, таким как пероксикарбоновая кислота, без катализатора в условиях эпоксидирования, достаточных для получения сложного полиэфирполиэпоксида. Альтернативно эпоксидирование можно осуществить с применением перекиси водорода или органической гидроперекиси в присутствии катализатора эпоксидирования. Предпочтительные эпоксидирующие агенты включают перекись водорода, надуксусную кислоту, надмуравьиную кислоту, надбензойную кислоту, м-хлорнадбензойную кислоту, трифторнадбензойную кислоту, гидроперекись трет-бутила, гидроперекись изопентила, гидроперекись циклогексила, гидроперекись этилбензола и гидроперекись кумола. Для осуществления эпоксидирования известны различные металлоорганические катализаторы, включающие, например, титаносиликаты, такие как Ti-Beta, Ti-MCM-41 и Ti-ZSM-5; алкоголяты титана, такие как Ti-изопропилат; вольфраматы, такие как H2WO4; оксид алюминия с нанесенным оксидом молибдена (MoO3); и метилтриоксорений. Стандартные условия эпоксидирования включают температуру выше приблизительно температуры окружающей среды и предпочтительно выше приблизительно 30°C; однако ниже приблизительно 130°C, и предпочтительно ниже приблизительно 100°C. Давление обычно равно давлению окружающей среды, однако если необходимо или требуется, можно применять более высокое или более низкое давление. Описание условий эпоксидирования, включая температуру, давление, относительные количества участвующих в реакциях веществ, конструкции реактора и количество применяемого катализатора, в общем случае можно найти в следующих публикациях, включенных здесь путем ссылки: WO00/18751, ES 2126485, WO01/000605, DE 2009047; Recent Developments in Synthesis of Fatty Acid Derivatives, G.Knothe и J.T.P Derksen, Eds., American Oil Chemical Society: Champaign, IL, 1999, стр.157-195; и Handbook of Epoxy Resins, H.Lee и K.Neville, McGraw-Hill, NY, 1982, глава 3, стр.5-12. Получаемый при способе эпоксидирования продукт предпочтительно содержит сложный полиэфирполиэпоксид, представленный выше формулой (II). Более предпочтительно сложный полиэфирполиэпоксид представляет собой сложный Альтернативно ненасыщенную кислоту или сложный эфир с укороченной цепью, полученные согласно способу метатезиса, можно подвергнуть гидроформилированию с восстановлением для получения Применяемые в способе гидроформилирования согласно настоящему изобретению катализаторы включают любой катализатор на основе комплекса переходного металла и фосфорорганического лиганда, проявляющий активность в способе гидроформилирования. Подходящие металлы, входящие в состав комплексов металла и фосфорорганического лиганда, включают металлы 8, 9 и 10 групп, выбранные из родия (Rh), кобальта (Co), иридия (Ir), рутения (Ru), железа (Fe), никеля (Ni), палладия (Pd), платины (Pt), осмия (Os) и их смесей; предпочтительно родий, кобальт, иридий и рутений; более предпочтительно родий, кобальт и рутений; и наиболее предпочтительным является рутений. Другие подходящие металлы включают металлы 11-й группы, выбранные из меди (Cu), серебра (Ag), золота (Au) и их смесей, а также металлы 6-й группы, выбранные из хрома (Cr), молибдена (Mo), вольфрама (W) и их смесей. Также подходят металлы 8, 9, 10 групп. Подходящие фосфорорганические лиганды, которые образуют свободные лиганды и входят в состав катализатора на основе комплекса переходный металл-лиганд, включают, без ограничения, органофосфины, например триорганофосфины; и органофосфиты, например моно-, ди- и триорганофосфиты и бисфосфиты. Другие подходящие фосфорорганические лиганды включают, например, органофосфониты, органофосфиниты, фосфорорганические амиды, а также смеси любых упомянутых выше лигандов. В данной области известен широкий спектр фосфорных лигандов, таких как, например, проиллюстрированные в US-B1-6307108, включенной здесь путем ссылки. Условия реакции в способе гидроформилирования, охватываемые настоящим изобретением, включают любые общепринятые условия способа гидроформилирования. Например, общее давление газов водорода, монооксида углерода и исходного олефина может находиться в диапазоне от приблизительно 1 фунта/кв.дюйм (6,9 кПа) или выше до ниже приблизительно 10000 фунтов/кв.дюйм (68950 кПа). Предпочтительно общее давление газов составляет ниже приблизительно 2000 фунтов/кв.дюйм (13800 кПа) и более предпочтительно ниже приблизительно 1000 фунтов/кв.дюйм (6850 кПа). Более конкретно парциальное давление монооксида углерода при осуществлении способа гидроформилирования согласно настоящему изобретению предпочтительно составляет выше приблизительно 1 фунта/кв.дюйм (6,9 кПа), и предпочтительно выше приблизительно 3 фунтов/кв.дюйм (20,7 кПа). Парциальное давление монооксида углерода обычно составляет ниже приблизительно 1000 фунтов/кв.дюйм (6895 кПа) и предпочтительно ниже приблизительно 800 фунтов/кв.дюйм (5516 кПа). Парциальное давление водорода обычно составляет выше приблизительно 5 фунтов/кв.дюйм (34,5 кПа), предпочтительно выше приблизительно 10 фунтов/кв.дюйм (68,9 кПа). Парциальное давление водорода обычно составляет ниже приблизительно 500 фунтов/кв.дюйм (3448 кПа) и предпочтительно ниже приблизительно 300 фунтов/кв.дюйм (2069 кПа). В общем случае молярное соотношение H2:CO газообразного водорода и газообразного монооксида углерода находится в диапазоне от приблизительно 1:10 до приблизительно 10:1. Способ гидроформилирования обычно проводят при температуре реакции выше приблизительно -25°C и предпочтительно выше приблизительно 50°C. Способ гидроформилирования обычно проводят при температуре реакции ниже приблизительно 150°C и предпочтительно ниже приблизительно 120°C. Точное время реакции будет зависеть от конкретных соединений, участвующих в реакции, и выбранного катализатора; хотя в общем случае время реакции обычно находится в пределах диапазона от приблизительно 30 минут до приблизительно 200 часов. Способ гидроформилирования можно проводить в присутствии растворителя, подходящие примеры которого включают, без ограничения, алканы, циклоалканы, альдегиды, кетоны, простые эфиры, сложные эфиры, ароматические соединения и т.п. Как отмечено выше, Полученные на стадии гидрирования Полученные по способу гидроформилирования С другой стороны, ненасыщенную кислоту или сложный эфир с укороченной цепью можно подвегнуть гидроформилированию в присутствии катализатора гидроформилирования в условиях гидроформилирования, достаточных для получения соответствующей Более конкретно реакцию восстановительного аминирования можно проводить при температуре выше приблизительно 0°C и ниже приблизительно 400°C в течение периода времени от более приблизительно 1 минуты до менее приблизительно 10 часов. Можно применять широкий диапазон давлений. Обычно давление составляет выше приблизительно 10 фунтов/кв.дюйм (68,9 кПа) и предпочтительно выше приблизительно 100 фунтов/кв.дюйм (689,5 кПа), однако ниже приблизительно 4500 фунтов/кв.дюйм (31028 кПа) и предпочтительно ниже приблизительно 2000 фунтов/кв.дюйм (13790 кПа). Реакцию восстановительного аминирования предпочтительно осуществляют в жидкой или паровой фазе или в их смесях. В качестве аминирующего средства предпочтительно применяют аммиак, который обычно поставляется для осуществления способа в общепринятых количествах, предпочтительно в избыточных количествах относительно Стадию восстановительного аминирования обычно осуществляют в присутствии катализатора восстановительного аминирования. Подходящие катализаторы для указанной стадии включают, например, никель Ренея, кобальт Ренея, никель на диоксиде кремния/оксиде алюминия, палладий на угле, платину на угле, родий на оксиде алюминия и т.п., а также их смеси. Количество применяемого катализатора будет зависеть от конкретных соединений, участвующих в реакции, и применяемых условий восстановительного аминирования. Количество должно быть достаточным для получения требуемой селективности по продукту и степени превращения формилсодержащей кислоты или сложного формилового эфира. Обычно количество катализатора составляет более приблизительно 5 % мас., предпочтительно более приблизительно 10 % мас., и предпочтительно менее приблизительно 20 % мас., в расчете на массу формилсодержащей кислоты или сложного формилового эфира. Полученные на стадии восстановительного аминирования Примеры для иллюстрации сложных
Следующие примеры являются иллюстрацией способа согласно настоящему изобретению, но не должны рассматриваться как ограничивающие объем изобретения каким-либо образом. В свете описанного здесь специалист в данной области определит модификации реагентов, катализатора и условия осуществления способа, которые находятся в пределах объема настоящего изобретения. Общая методика анализа перекисей Сложный эфир жирной кислоты, получаемый из растительного масла из семян, в частности метилолеат, анализировали на содержание перекисей следующим образом. В колбе Эрленмейера (100 мл) с боковым ответвлением объединяли при перемешивании ледяную уксусную кислоту (40 мл) и деионизированную воду (10 мл), применяя магнитную мешалку. В раствор через боковое ответвление посредством шприца продували азот и продолжали перемешивание в течение пяти минут. К продутому азотом раствору добавляли иодид калия (5 г). Смесь при перемешивании повторно продували азотом в течение дополнительных 5 минут до образования гомогенного раствора. К полученному раствору добавляли образец метилолеата 20 г и примерно на 5 минут помещали раствор на масляную баню при 110°C до тех пор, пока не начиналось образование флегмы. Затем колбу удаляли с масляной бани и возвращали на магнитную мешалку, где добавляли деионизированную воду (40 мл). Затем полученный желто-оранжевый раствор титровали 0,01 н тиосульфатом натрия (вод.), до обесцвечивания в конечной точке, по которой определяли концентрацию перекиси, согласно следующему расчету: [ROOH]=[(X)/(г метилолеата)]×(N)×1000 где [ROOH] представляет собой концентрацию перекиси в единицах миллиэквивалентов перекиси на килограмм сложного эфира жирной кислоты (мэкв./кг); X равен объему раствора тиосульфата натрия для титрования в миллилитрах; и N соответствует нормальности раствора тиосульфата натрия для титрования, в единицах мэкв. тиосульфата на мл раствора для титрования. Пример 1 В примере 1 иллюстрируется очистка композиции на основе сложных эфиров жирных кислот для удаления перекисей и последующий метатезис очищенной композиции на основе жирной кислоты с этиленом с получением Активированный оксид алюминия (160 мл, Brockmann I, basic, 150 меш.) загружают в делительную воронку из плавленного стекла (350 мл, среднего калибра). Воронку присоединяют к колбе Эрленмейера для фильтрования в вакууме. Метилолеат (Witco Kemester 205 VEG, 200 мл), содержащий 305 мэкв. перекиси на кг олеата, выливают на оксид алюминия и дают возможность метилолеату пройти через оксид алюминия в течение следующих десяти минут, применяя вакуум для ускорения процесса. Как определили упомянутым выше способом иодид-тиосульфатного титрования, концентрация перекиси после обработки составляет 0,7 мэкв./кг. В чистый 2-литровый реактор Парра из нержавеющей стали, оборудованный брусковой мешалкой (Mono Mold, лопасти с отверстиями 3″×3/4″) добавляют очищенный метилолеат (1400 г, 4,44 моль, 91%-ной чистоты) с концентрацией перекиси 0,7 мэкв./кг. Реактор герметически закрывают и откачивают в течение приблизительно 20 мин при давлении 30 дюймов Hg (рт.столба). Откаченный реактор соединяют с отсеком и присоединяют к реактору газоподводящую систему. Систему трижды продувают азотом и стравливают (300 фунтов/кв.дюйм) (2069 кПа), затем продувают этиленом. В реакторе создают давление этилена (60 фунтов/кв.дюйм) (414 кПа) и перемешивают в течение приблизительно 10 минут, после чего перемешивание останавливают и давление в реакторе стравливают до давления окружающей среды. Отверстие клапана шприца сразу открывают и с помощью газонепроницаемого шприца с катализатором Граббса (Grubbs), дихлоридом бис(трициклогексилфосфин)бензилиденрутения (24,6 мл 0,04 M катализатора Граббса, растворенного в толуоле) подают катализатор в реактор. Отверстие закрывают и открывают клапан для этилена. Рабочее давление составляет 60 фунтов/кв.дюйм (414 кПа). Магнитную мешалку большой мощности устанавливают на полную скорость для работы в течение 3 час проведения реакции при температуре окружающей среды. Результаты представлены далее в таблице 1.
Из таблицы видно, что в образце метилолеата, содержащем 0,70 мэкв. перекиси/кг, при продолжительности реакции 274 минуты достигается степень превращения метилолеата 48 мол.% при числе оборотов 2160. Пример 2 Повторяют эксперимент по примеру 1 за исключением того, что метилолеат (Witco) обрабатывают на оксиде алюминия и установленное содержание перекиси составляет только 0,3 мэкв. перекисей/кг. Результаты метатезиса представлены в таблице 1, из которой видно, что число оборотов 2565 и степень превращения метилолеата 57 мол.% достигаются при продолжительности реакции 249 мин. Если пример 2 сравнить с примером 1, обнаруживается, что уменьшение концентрации перекиси от примера 1 к примеру 2 приводит к значительному увеличению числа оборотов и степени превращения при меньшей продолжительности реакции. Пример 3 Повторяют эксперимент по примеру 1 за исключением того, что полученный метилолеат (Witco) содержит только 3,1 мэкв. перекисей/кг и такой метилолеат применяется непосредственно для способа метатезиса без обработки на оксиде алюминия. Результаты метатезиса приведены в таблице 1, из которой видно, что число оборотов 990 и степень превращения метилолеата 22 мол.% достигаются при продолжительности реакции 249 мин. Если пример 3 сравнить с примерами 1 и 2, обнаруживается, что при снижении концентрации перекиси число оборотов и степень превращения метилолеата повышаются при сравнимой или меньшей продолжительности реакции. Эксперимент 1 для сравнения Повторяют эксперимент по примеру 2 за исключением того, что получен метилолеат (Witco) с концентрацией перекиси 305 мэкв./кг и такой метилолеат применяется непосредственно для способа метатезиса без обработки на оксиде алюминия. Результаты приведены в таблице 1. Никакого превращения метилолеата не наблюдалось вплоть до продолжительности реакции 960 минут. Соответственно число оборотов равнялось 0. Если эксперимент 1 для сравнения сравнить с примерами 1, 2 и 3, можно заключить, что если концентрация перекисей в метилолеате снижается, то число оборотов катализатора и степень превращения олеата повышается при уменьшенной продолжительности реакции. Пример 4 В примере 4 иллюстрируется крупномасштабный способ очистки композиции на основе сложного эфира жирной кислоты и ее последующий метатезис с этиленом до Монтируют емкость реактора, включающую реактор Пфаулдера (Pfaulder) из нержавеющей стали 316 (50 галлонов), оснащенный двумя перегородками и механизмом для перемешивания с помощью верхнего привода с двойным 12″ диаметром, импеллером из нержавеющей стали с четырьмя наклонными лопастями, работающим изолированно (~20″) со скоростью 337 об/мин. Исходный метилолеат (метилолеат марки Witco) очищают пропусканием его через колонку из нержавеющей стали [диаметром 14 дюймов (35,6 см)×8 футов в длину (2,5 м)], содержащую оксид алюминия (оксид алюминия марки UOP A2, 12×32 меш.). Концентрация перекиси в очищенном исходном продукте составляет 0,2 мэкв./кг. Очищенный исходный продукт подают в емкость реактора. Заполненный реактор (300 фунтов, 136,1 кг, 1,1 фунт-моль метилолеата) при перемешивании (60-100 об/мин) барботируют газообразным азотом при атмосферном давлении в течение ночи с помощью барботажной линии 1/4 дюймов и вентиляционной линии. Вентиль закрывают и вакуумируют (2,5 фунта/кв.дюйм) (17,2 кПа) в течение 2 часов, по-прежнему продолжая барботирование. Барботирование азотом прекращают и вакуумируют реактор до 1,5 фунтов/кв.дюйм (10,3 кПа) в течение 5 мин. Откачивание прекращают; реактор заполняют этиленом и позволяют достичь насыщения этиленом при давлении 75 фунтов/кв.дюйм (517 кПа) при полном перемешивании. Во время реакции метатезиса этилен подают по потребности для поддержания реакционного давления этилена 74-75 фунтов/кв.дюйм (510-517 кПа). Три емкости для ввода катализатора, каждая из которых содержит катализатор Граббса (Grubbs) [дихлорид бис(трициклогексилфосфин)бензилиденрутения(IV)] в безводном толуоле (Aldrich, 1 литр, 300 ч./млн. массы воды), готовят в сухом боксе и одну из них сразу присоединяют к отверстию реактора для подачи катализатора. В закрепленной емкости для подачи катализатора создают избыточное давление азота (80 фунтов/кв.дюйм) (552 кПа) и открывают впускной клапан, чтобы дать возможность раствору катализатора попасть в реактор. Впускной клапан закрывают. Пустой баллон удаляют и вместо него присоединяют следующий заполненный баллон. Указанную процедуру повторяют с каждым из трех баллонов для подачи. Между добавлениями катализатора проходит приблизительно 35 минут реакционного времени. Молярное соотношение метилолеат:общее количество катализатора составляет 4500:1. Реакционную смесь после первой подачи катализатора перемешивают в течение 4 часов при 25-26°С, поддерживая температуру путем охлаждения водяной рубашкой. В конце 4 часов взаимодействия полученную смесь перекачивают из реактора при атмосферном давлении в емкость в инертной атмосфере азота. Газохроматографический анализ пробы, взятой из полученной смеси, показал степень превращения метилолеата 39,5 мол.% с 95%-й селективностью по каждому из соединений: 1-децена и метил-9-деценоата. Установленное число оборотов катализатора составляло 1689. Пример 5 В примере 5 иллюстрируется очистка композиции на основе сложных эфиров жирных кислот и ее последующий метатезис с этиленом. Метатезис метилолеата проводят в соответствии с методикой по примеру 1 при следующих отличиях: (a) исходный метилолеат содержит 99 % мас. сложных эфиров олеиновой кислоты (Aldrich), вместо 85 % мас. сложных эфиров олеиновой кислоты; (b) концентрация перекиси в очищенном исходном продукте составляет 0,40 мэкв./кг; (c) молярное отношение метилолеата к катализатору составляет 18000:1. При условиях осуществления способа, сходных с примером 1, наблюдаемое число оборотов катализатора составляет 8100. Эксперимент 2 для сравнения Метатезис метилолеата (Aldrich) проводят в соответствии с методикой по примеру 5 при следующих отличиях: (a) концентрация перекиси составляет 26,3 мэкв./кг; (b) молярное отношение метилолеата к катализатору составляет 4500:1. При условиях осуществления способа, аналогичных примеру 5, никакой активности катализатора не наблюдается. При сравнении примера 5 с «экспериментом 2 для сравнения» установлено, что уменьшение концентрации перекиси в исходном метилолеате от 26,3 мэкв./кг до 0,4 мэкв./кг дает активный катализатор с более высоким числом оборотов (8100) при более высоком молярном соотношении олеат:катализатор (18001). В отличие от этого в «способе для сравнения», где применяется более высокая концентрация перекиси, не обнаружили активности, даже несмотря на присутствие более значительного количества катализатора (отношение олеата к катализатору 4500:1). Указанный «эксперимент для сравнения» также иллюстрирует чувствительность катализатора метатезиса, представляющего собой дихлорид бис(трициклогексилфосфин)бензилиденрутения, до 26 мэкв.перекисей/кг. Этот пример можно сравнить с примером 9, приведенным далее, в котором применяется другой катализатор метатезиса: дихлорид {трициклогексилфосфин-[1,3-бис-(2,4,6-триметилфенил)-4,5-дигидроимидазол-2-илиден][бензилиден]рутения}, который проявляет активность при приблизительно 100 мэкв.перекисей/кг сырья. Пример 6 В примере 6 иллюстрируется гидроформилирование/восстановление Реакцию гидроформилирования проводят в реакторе Парра (емкостью 300 мл), оборудованном механической мешалкой, трубопроводом для подвода газа, нагревательной рубашкой, датчиком давления и термопарой. В реактор загружают метил-9-деценоат (100 г, 0,54 моль), ацетилацетонат(дикарбонил)-родий(II), [Rh(CO)2 ац.ац.] (32 мг, 0,12 ммоль) и 2,7-ди-трет-бутил-9,9-диметил-4,5-бис(дифенилфосфино)ксантен (342 мг, 0,49 ммоль) в атмосфере азота и затем герметично закрывают реактор. Реактор соединяют с линией доставки синтез-газа (CO/H2, 1:1). Систему дважды промывают синтез-газом и затем создают избыточное давление 450 фунтов/кв.дюйм (3103 кПа). Реактор нагревают до 85°C в течение 16 часов, поддерживая при этом давление синтез-газа 450 фунтов/кв.дюйм (3103 кПа). Спустя 16 часов температуру повышают до 100°C и продолжают нагревание в течение дополнительных 4 часов. Реактор охлаждают до температуры окружающей среды и непрореагировавший газ стравливают. После промывания реактора азотом для удаления оставшихся следов синтез-газа в реактор вводят диоксан (50 мл) и 1 г 5% Pt/SiO2. Систему дважды промывают водородом и создают избыточное давление водорода 500 фунтов/кв.дюйм (3448 кПа). Затем смесь нагревают до 150°C в течение 20 часов, поддерживая давление водорода 500 фунтов/кв.дюйм (3448 кПа). После охлаждения содержимое фильтруют для удаления твердого катализатора и с помощью роторного испарителя удаляют растворитель. Полученную жидкую фазу подвергают дистилляции при пониженном давлении. Отбирают кипящую при 140-150°C (при давлении 1,5 мм) фракцию и растворяют в 1200 мл гексана. Затем раствору дают возможность кристаллизоваться в морозильном аппарате в течение 18 часов. Путем фильтрации на холоде отбирают кристаллы белого цвета и промывают один раз холодным гексаном. При сушке при пониженном давлении получают метил 11-гидроксиундеканоат в виде белого твердого вещества (77 г; общий выход 65%). Превращение метил-11-гидроксиундеканоата путем переэтерификации с полиолом, таким как глицерин, в соответствующий сложный полиэфирполиол, такой как триглицерид 11-гидроксиундекановой кислоты, можно осуществить с помощью способов переэтерификации, известных в данной области. Пример 7 В примере 7 иллюстрируется получение сложного триглицеридного эфира 9,10-эпоксидекановой кислоты. В четырехгорлую 500-мл круглодонную колбу добавляют глицерин (73,65 г, 2,4 экв.), метил-9-деценоат (540,1 г, 2,93 экв.) и метилат натрия (25% в метаноле, 3,89 г, 0,0182 экв.). Колба оснащена закрепленным сбоку конденсатором с колбой для сбора образцов, за которым следует охлаждаемая ловушка и сушильная колонка. Смесь нагревают до 200°C при перемешивании и продувке азотом. Дистиллят метанола отбирают. После общей продолжительности нагревания в течение приблизительно 22 часов реакция завершается, что определяют газохроматографическим методом. Реакционную смесь охлаждают до комнатной температуры. Основной катализатор нейтрализуют добавлением ледяной уксусной кислоты (0,84 г; 0,014 экв.). Затем смесь фильтруют и промывают водой до тех пор, пока рН водного слоя не станет равным приблизительно 7-8. Избыток метил-9-деценоата удаляют вакуумной дистилляцией. Конечные условия дистилляции соответствуют 200°C и 1 мм рт.ст. Конечный продукт, триглицерид 9-деценовой кислоты, имеет иодное число 127 (теоретическое=139). (Иодное число характеризует степень ненасыщенности, присутствующей в образце). Полученный выше триглицерид 9-деценовой кислоты (100 г, 0,493) помещают в трехгорлую круглодонную колбу, оборудованную брусковой магнитной мешалкой, делительной воронкой, термопарой и вакуумным обратным холодильником, охлаждаемым с помощью циркулирующего при 0°С гликоля. В делительную воронку добавляют надуксусную кислоту (23% в этилацетате; 200 г, 0,591 экв.). Реакционную колбу нагревают до 50°C, затем начинают добавление надуксусной кислоты. Когда добавлено достаточное количество раствора надуксусной кислоты, конденсатор слегка вакуумируют через верхний конец, чтобы поддерживать кипение с обратным холодильником при 55°C. Добавление надуксусной кислоты завершают в течение 40 минут. Смесь дополнительно нагревают при 55°C в течение 4 часов, затем охлаждают до комнатной температуры. Продукт выделяют путем удаления большей части летучих компонентов на роторном испарителе при пониженном давлении (приблизительно 25°C при легком барботировании азотом). Условия заключительной отгонки легких фракций соответствуют 80°C и приблизительно 0,1 мм рт.ст. приблизительно в течение 20 минут. Конечный продукт, идентифицируемый как триглицерид 9,10-эпоксидекановой кислоты, имеет эпоксидный эквивалентный вес приблизительно 227 г/экв. (теоретический: 199 г/экв.). Пример 8 В примере 8 иллюстрируется метатезис очищенного сырья метилолеата с этиленом в зависимости от молярного соотношения метилолеата и катализатора (MO/Cat). Метатезис проводили в соответствии с методиками по примеру 1 при следующих отличиях: (1) исходный метилолеат содержал 99 % мас. сложных эфиров олеиновой кислоты (Aldrich) вместо 85 % мас. сложных эфиров олеиновой кислоты; (b) концентрация перекисей в очищенном сырье составляла менее 0,2 мэкв./кг (предел определения); (c) молярное соотношение метилолеата и катализатора варьировалось от 4633:1 до 103000:1. Способ осуществляли в условиях, аналогичных условиям примера 1 с результатами, представленными в таблице 2.
Из таблицы 2 видно, что число оборотов катализатора повышается с увеличением молярного отношения метилолеата к катализатору. Пример 9 В примере 9 иллюстрируется влияние концентрации гидроперекиси на катализатор метатезиса, состоящий из дихлорида трициклогексилфосфин-[1,3-бис-(2,4,6-триметилфенил)-4,5-дигидроимидазол-2-илиден][бензилиден]рутения. Метатезис метилолеата проводили в соответствии с методиками примера 1 при следующих отличиях: (a) исходный метилолеат содержал 99 % мас. сложных эфиров олеиновой кислоты (Aldrich) вместо 85 % мас. сложных эфиров олеиновой кислоты; (b) концентрация перекиси в очищенном сырье составляла менее 0,2 мэкв./кг (предел определения); (c) молярное отношение метилолеата к катализатору (MO/Cat) поддерживалось равным 4500:1; (d) к метилолеату в контролируемых концентрациях добавляли гидроперекись кумола и оценивали ее воздействие на число оборотов катализатора. Метатезис проводили в условиях, аналогичных примеру 1, с результатами, приведенными в таблице 3.
Таким образом, катализатор, состоящий из дихлорида трициклогексилфосфин-[1,3-бис-(2,4,6-триметилфенил)-4,5-дигидроимидазол-2-илиден][бензилиден]рутения, проявляет активность (CTN) при концентрации перекиси 104 мэкв./кг; однако активность катализатора значительно повышается при снижении концентрации перекиси. Следующий эксперимент проводили в соответствии с настоящим изобретением с получение сложного Пример 10. Метатезис метилолеата с образованием метил-9-деценоата Активированный оксид алюминия (160 мл, Brockmann I, basic, 150 меш.) загружали в делительную воронку из плавленного стекла (350 мл, среднего калибра). Воронку присоединяли к колбе Эрленмейера для фильтрования в вакууме. Метилолеат (Witco Kemester 205 VEG, 200 мл), содержащий 305 мэкв. перекиси на кг олеата, выливали на оксид алюминия и давали возможность метилолеату пройти через оксид алюминия в течение следующих десяти минут, применяя вакуум для ускорения процесса. Концентрация перекиси после обработки составляла 0,7 мэкв./кг, как определили стандартным способом иодид-тиосульфатного титрования. В чистый 2-литровый реактор Парра из нержавеющей стали, оборудованный брусковой мешалкой (Mono Mold, лопасти с отверстиями 3 Химическая формула: СН3О-С(O)-(СН2)7-СН2=СН2 GC-масс спектроскопия МВт 184,27 (теор. 185,3) 1Н ЯМР (d6 бензол) 13С ЯМР (d6 бензол) ИК-спектр (неразбавл.) 2930, 2860, 1740, 1640, 1440, 1170, 992, и 910 см-1 Пример 11. Гидроформилирование метил-9-деценоата с последующим восстановлением с образованием метил-11-гидроксиундеканоата Реакцию гидроформилирования проводили в реакторе Парра (емкостью 300 мл), оборудованном механической мешалкой, трубопроводом для подвода газа, нагревательной рубашкой, датчиком давления и термопарой. В реактор загружали метил-9-деценоат (100 г, 0,54 моль), ацетилацетонат(дикарбонил)-родий (II), [Rh(CO)2 ац.ац.] (32 мг, 0,12 ммоль) и 2,7-ди-трет-бутил-9,9-диметил-4,5-бис(дифенилфосфино)ксантен (342 мг, 0,49 ммоль) в атмосфере азота и затем герметично закрывали реактор. Реактор соединяли с линией доставки синтез-газа (СО/Н2, 1:1). Систему дважды промывали синтез-газом и затем создавали избыточное давление 450 фунтов/кв.дюйм (3103 кПа). Реактор нагревали до 85°С в течение 16 часов, поддерживая при этом давление синтез-газа 3103 кПа (450 фунтов/кв.дюйм). Спустя 16 часов температуру повышали до 100°С и продолжали нагревание в течение дополнительных 4 часов. Реактор охлаждали до температуры окружающей среды и непрореагировавший газ стравливают. После промывания реактора азотом для удаления оставшихся следов синтез-газа в реактор вводили диоксан (50 мл) и 1 г 5% Pt/SiO2. Систему дважды промывали водородом и создавали избыточное давление водорода 3448 кПа (500 фунтов/кв.дюйм). Затем смесь нагревали до 150°С в течение 20 часов, поддерживая давление водорода 3448 кПа (500 фунтов/кв.дюйм). После охлаждения содержимое фильтровали для удаления твердого катализатора и с помощью роторного испарителя удаляли растворитель. Полученную жидкую фазу подвергали дистилляции при пониженном давлении. Отбирали кипящую при 140-150°С (при давлении 1,5 мм) фракцию и растворяли в 1200 мл гексана. Затем раствору дали возможность кристаллизоваться в морозильном аппарате в течение 18 часов. Путем фильтрации на холоде отбирали кристаллы белого цвета и промывали один раз холодным гексаном. При сушке при пониженном давлении получали Химическая формула: СН3О-С(O)-(СН2)9-СН2OH Т.пл. 27°С ИК-спектр (неразбавл.) 3589, 3000, 2854, 1747, 1441, 1048 см-1 1H ЯМР (CDCl3) 13С ЯМР (CDCl3) Пример 12. Гидрирование, метил-11-гидроксиундеканоата с образованием 1.11-дигидроксиундекана В реактор Парра загружали метил-11-гидроксиундеканоат (75 г), диоксан в качестве растворителя (75 мл) и катализатор хромит меди (8 г). Реактор закрывали и давление доводили до 1200 фунтов/кв.дюйм (8,273 кПа) при помощи водорода и нагревали при 210°С в течение 48 часов. Затем реакционную смесь охлаждали и фильтровали для удаления хромата медию. Диоксан удаляли с помощью роторного испарителя. Анализ полученного продукта при помощи газофазной хроматографией указал на превращение метил-11-гидроксиундеканоат около 93,6%. Смесь продуктов промывали гексаном для удаления неизмененного метил-11-гидроксиундеканоата и остаток растворяли в горячем толуоле. При охлаждении получали кристаллы Химическая формула: НОСН2СН2-(СН2)9-CH2ОН Т.пл. 63°С 1Н ЯМР (CDCl3) 13С ЯМР (CDCl3) MC m/e 206,1 (M+NH4)+
Формула изобретения
1. Сырьевая композиция на основе жирных кислот или сложных эфиров жирных кислот, полученная гидролизом растительного масла из семян или переэтерификацией растительного масла из семян с C1-8алканолом, содержащая более 70 мас.% ненасыщенной жирной олеиновой кислоты или сложного эфира ненасыщенной жирной олеиновой кислоты, и примеси(ей), отравляющей катализатор метатезиса, характеризующаяся тем, что после очистки адсорбентом содержит менее 1,5 миллиэквивалентов примеси(ей), отравляющей катализатор метатезиса, на килограмм композиции, причем примесь содержит одну или более органических гидроперекисей. 2. Композиция на основе сложного эфира жирной кислоты по п.1, отличающаяся тем, что ее получают переэтерификацией растительного масла из семян с C1-8-алканолом с образованием смеси сложных эфиров ненасыщенных жирных кислот C1-8-алканола и затем контактированием смеси сложных эфиров ненасыщенных жирных кислот С1-8-алканола с адсорбентом в условиях адсорбции, достаточных для удаления органических гидроперекисей до концентрации менее 1,5 мэкв./кг. 3. Композиция на основе жирных кислот по п.1, отличающаяся тем, что ее получают гидролизом растительного масла из семян с получением смеси одной или более ненасыщенных жирных кислот и затем контактированием смеси одной или более ненасыщенных жирных кислот с адсорбентом для удаления органических гидроперекисей до концентрации менее 1,5 мэкв./кг. 4. Композиция на основе жирных кислот или сложных эфиров жирных кислот по п.2 или 3, отличающаяся тем, что адсорбент выбран из группы, состоящей из оксидов алюминия, диоксидов кремния, активированных углей, глин, оксидов магния, алюмосиликатов, молекулярных сит, титаносиликатов и их смесей. 5. Способ олефинового метатезиса, включающий контактирование сырьевой композиции, получаемой из растительного масла из семян и содержащей одну или более ненасыщенных жирных кислот или сложных эфиров ненасыщенных жирных кислот, с низшим олефином в присутствии катализатора на основе фосфорорганического комплекса переходного металла с получением олефина с укороченной цепью и ненасыщенной кислоты или ненасыщенного сложного эфира с укороченной цепью, где сырьевая композиция характеризуется тем, что содержит менее 25 мэкв. примеси(ей), отравляющей катализатор метатезиса, на килограмм сырьевой композиции, способной ингибировать катализатор метатезиса. 6. Способ по п.5, отличающийся тем, что сырьевая композиция содержит менее 15 мэкв. примеси, отравляющей катализатор метатезиса, на кг сырьевой композиции, где примесь, отравляющая катализатор метатезиса, представляет собой органическую гидроперекись. 7. Способ по п.6, отличающийся тем, что сырьевая композиция содержит менее 3,0 мэкв. примеси, отравляющей катализатор метатезиса, на кг сырьевой композиции, где примесь, отравляющая катализатор метатезиса, представляет собой органическую гидроперекись. 8. Способ по п.7, отличающийся тем, что сырьевая композиция содержит менее 1,0 мэкв. примеси, отравляющей катализатор метатезиса, на кг сырьевой композиции, где примесь, отравляющая катализатор метатезиса, представляет собой органическую гидроперекись. 9. Способ по п.5, отличающийся тем, что сырьевая композиция содержит более 70 мас.% ненасыщенной жирной кислоты (кислот) или сложного эфира (эфиров) ненасыщенной жирной кислоты. 10. Способ по п.9, отличающийся тем, что сырьевая композиция содержит более 70 мас.% олеиновой кислоты или сложного эфира (эфиров) олеиновой кислоты. 11. Способ по п.5, отличающийся тем, что сырьевую композицию получают переэтерификацией растительного масла из семян с C1-8-алканолом с получением смеси сложных эфиров жирных кислот C1-8-алканола, и необязательно очисткой смеси сложных эфиров жирных кислот C1-8-алканола путем контактирования смеси с адсорбентом для удаления примеси, отравляющей катализатор метатезиса, до концентрации менее 25 мэкв./кг, где примесь, отравляющая катализатор метатезиса, представляет собой органическую гидроперекись. 12. Способ по п.5, отличающийся тем, что сырьевую композицию получают гидролизом растительного масла из семян с водой с получением смеси жирных кислот, и необязательно контактированием смеси жирных кислот с адсорбентом для удаления примеси, отравляющей катализатор метатезиса, до концентрации менее 25 мэкв./кг, где примесь, отравляющая катализатор метатезиса, представляет собой органическую гидроперекись. 13. Способ по п.5, отличающийся тем, что катализатор на основе фосфорорганического комплекса переходного металла представляет собой комплексный катализатор, содержащий рутений (Ru) или осмий (Os), образующий комплекс с фосфорорганическим лигандом. 14. Способ по п.13, отличающийся тем, что катализатор выбран из группы, состоящей из 15. Способ по п.5, отличающийся тем, что низший олефин выбран из С2-5-олефинов. 16. Способ по п.5, отличающийся тем, что олефин с укороченной цепью представляет собой 17. Способ по п.16, отличающийся тем, что 18. Способ получения сложного полиэфирполиэпоксида, включающий (1) контактирование сырьевой композиции, получаемой из растительного масла из семян, содержащей одну или более ненасыщенных жирных кислот или сложных эфиров жирных кислот, с низшим олефином в присутствии катализатора метатезиса олефинов с получением ненасыщенной кислоты с укороченной цепью или ненасыщенного сложного эфира с укороченной цепью или олефина с укороченной цепью, где сырьевая композиция характеризуется тем, что содержит менее 25 мэкв. примеси(ей), отравляющей катализатор метатезиса, на килограмм композиции; (2) (пере)этерификацию ненасыщенной кислоты или сложного эфира с укороченной цепью с полиолом с получением сложного полиэфирполиолефина; и (3) эпоксидирование сложного полиэфирполиолефина эпоксидирующим агентом, необязательно в присутствии катализатора эпоксидирования с получением сложного полиэфирполиэпоксида. 19. Способ по п.18, отличающийся тем, что сырьевую композицию на основе сложных эфиров жирных кислот получают переэтерификацией растительного масла из семян с С1-8-алканолом с образованием смеси сложных эфиров жирных кислот C1-8-алканола и необязательно контактированием смеси сложных эфиров жирных кислот с адсорбентом для удаления примеси, отравляющей катализатор метатезиса, до концентрации менее 25 мэкв./кг, где примесь, отравляющая катализатор метатезиса, представляет собой органическую гидроперекись. 20. Способ по п.18, отличающийся тем, что сырьевую композицию на основе жирных кислот получают гидролизом растительного масла из семян с водой с получением смеси жирных кислот и необязательно контактированием смеси жирных кислот с адсорбентом для удаления примеси, отравляющей катализатор метатезиса, до концентрации менее 25 мэкв./кг, где примесь, отравляющая катализатор метатезиса, представляет собой органическую гидроперекись. 21. Способ по п.18, отличающийся тем, что низший олефин представляет собой этилен. 22. Способ по п.18, отличающийся тем, что олефин с укороченной цепью представляет собой 23. Способ получения 24. Способ по п.23, отличающийся тем, что сырьевую композицию на основе сложных эфиров жирных кислот получают переэтерификацией растительного масла из семян с С1-8-алканолом с образованием смеси сложных эфиров жирных кислот C1-8-алканола, и необязательно контактированием смеси сложных эфиров жирных кислот с адсорбентом для удаления примеси, отравляющей катализатор метатезиса, до концентрации менее 25 мэкв./кг, где примесь, отравляющая катализатор метатезиса, представляет собой органическую гидроперекись. 25. Способ по п.23, отличающийся тем, что низший олефин представляет собой этилен.
|
||||||||||||||||||||||||||||||||||||||||||||||||||||||||||||||

517
,
-оксикислоты, сложного 




выбран из атома водорода, алкильного радикала с прямой или разветвленной цепью, циклоалкильного, арильного и замещенного арильного радикалов; Y представляет собой электронодонорную группу элемента 15 или 16 групп Периодической системы (согласно Номенклатуре неорганической химии IUPAC: Recommendations 1990, G.J. Leigh, Editor, Blackwell Scientific Publications, 1990); более предпочтительно Y представляет собой O, S, N или P; каждый R” независимо выбран из атома водорода, алкильных, циклоалкильных, арильных и замещенных арильных радикалов, соответствующих валентности Y, предпочтительно так, чтобы Y являлся формально нейтральным; b равно целому числу, предпочтительно от 0 до приблизительно 2, представляющему собой общее число R”-радикалов; и Z представляет собой органический дирадикал, который связан как с Y, так и с карбеновым атомом углерода (C) с образованием бидентатного лиганда, который при соединении с атомом M образует цикл, содержащий от приблизительно 4 до приблизительно 8 атомов. Более предпочтительно каждый L в формуле V независимо выбран из группы, состоящей из галогенидов, наиболее предпочтительно фторида, хлорида, бромида и иодида; цианида, тиоцианата, фосфинов формулы PR3, аминов формулы NR3, воды и простых эфиров формулы OR2, простых тиоэфиров формулы SR2 и лигандов, имеющих формулы VI и VII, представленные ниже:


×3/4
) добавляли очищенный метилолеат (1400 г, 4,44 моль, 91%-ной чистоты) с концентрацией перекиси 0,7 мэкв./кг. Реактор герметически закрывали и откачивали в течение приблизительно 20 мин при давлении 101,6 кПа (30 дюймов Нд (рт. столба)). Откаченный реактор соединяли с отсеком и присоединяли к реактору газоподводящую систему. Систему трижды продували азотом и стравливали (2069 кПа/300 фунтов/кв.дюйм), затем продували этиленом. В реакторе создали давление этилена (414 кПа/60 фунтов/кв.дюйм) и перемешивали в течение приблизительно 10 минут, после чего перемешивание останавливали и давление в реакторе стравливали до давления окружающей среды. Отверстие клапана шприца сразу открывали и с помощью газонепроницаемого шприца с катализатором Граббса (Grubbs), дихлоридом бис(трициклогексилфосфин)бензилиденрутения (24,6 мл 0,04 М катализатора Граббса, растворенного в толуоле) подали катализатор в реактор. Молярное отношение метилолеата к катализатору составляло 4500/1. Отверстие закрывали и открывали клапан для этилена. Рабочее давление составляло 414 кПа (60 фунтов/кв.дюйм). Магнитную мешалку большой мощности устанавливали на полную скорость для работы в течение 274 мин проведения реакции при температуре 22°С. Один продукт метатезиса идентифицировали как 1-децен посредством газовой хроматографии при сравнении с аутентичным коммерческим образцом и через ЯМР спектроскопию при сравнении с опубликованным спектром. Другой продукт метатезиса идентифицировали как ненасыщенный сложный эфир метил-9-деценоат с укороченной цепью.
5 0,85-2,1 (множественный мультиплет, 14 Н, СН2), 3,29 (s, 3H СН3), 4,99 (m, 2Н), 5,79 (m, 1Н)