|
|
(21), (22) Заявка: 2007108842/15, 09.03.2007
(24) Дата начала отсчета срока действия патента:
09.03.2007
(43) Дата публикации заявки: 20.09.2008
(46) Опубликовано: 20.04.2009
(56) Список документов, цитированных в отчете о поиске:
САМОЙЛОВИЧ В.Г. Применение озона для подготовки воды в плавательных бассейнах и новые способы синтеза озона в газовых разрядах. Химия воды плавательного бассейна при использовании озона и хлора. – М.: Информационный центр «ОЗОН», 1999, вып.11, с.33. RU 2257355 С1, 27.07.2005. RU 2142430 C1, 10.12.1999. ЕР 0237793 A1, 23.09.1987. CN 1880230 A, 20.12.2006. DE 102004038931 A, 23.02.2006. JP 2002086168 A, 26.03.2002.
Адрес для переписки:
622031, Свердловская обл., г. Нижний Тагил, ул. Красногвардейская, 59, Нижнетагильский технологический институт УГТУ-УПИ, директору В.Ф. Пегашкину
|
(72) Автор(ы):
Аристова Наталья Алексеевна (RU), Воронец Юрий Викторович (RU), Пискарев Игорь Михайлович (RU), Ушканов Вячеслав Александрович (RU)
(73) Патентообладатель(и):
Государственное образовательное учреждение высшего профессионального образования “Уральский государственный технический университет-УПИ” (RU)
|
(54) СПОСОБ ОЧИСТКИ ВОДЫ ПЛАВАТЕЛЬНЫХ БАССЕЙНОВ
(57) Реферат:
Изобретение относится к области очистки и обеззараживания воды плавательных бассейнов и может быть использовано в очистных сооружениях как индивидуальных, так и общественных бассейнов. Для осуществления способа поток очищаемой воды после песчаного фильтра разветвляют на две части: одну часть потока выливают обратно в бассейн через его дно, а другую часть подвергают обработке озоно-гидроксильной смесью, пропускают через угольный фильтр и сливают в точку забора воды из бассейна. Поток воды в генератор озоно-гидроксильной смеси должен быть не менее 1 л/мин, а производительность генератора по озону должна составлять не менее 0,5 мг О3 на литр воды, откачиваемой из бассейна на очистку. Хлор добавляют в виде ионов ClO– и Cl– только на начальном этапе работы бассейна в количестве не менее 1 мг хлора на литр воды во всем бассейне, а коррекцию рН осуществляют соляной кислотой. Способ обеспечивает повышение степени очистки и создание пролонгированного антимикробного эффекта при отсутствии запаха хлора в бассейне. 2 ил., 1 табл.
Область техники
Изобретение относится к области очистки и обеззараживания воды плавательных бассейнов.
Уровень техники
Известен способ очистки и обеззараживания воды плавательных бассейнов, рекомендованный санитарными нормами, включающий откачивание воды с поверхности бассейна, фильтрование на песчаном и угольном фильтрах, хлорирование и корректировку рН [1].
Недостатком этого способа является малая степень очистки воды, т.к. хлор имеет сравнительно небольшой окислительно-восстановительный потенциал (ОВП=+0,89 В), в воду приходится вводить много хлора, и при контакте хлорированной воды с телом пловца из воды выделяется газообразный хлор, что делает купание неприятным, и даже опасным занятием.
Наиболее близким техническим решением к предлагаемому изобретению является способ очистки и обеззараживания воды плавательных бассейнов, включающий фильтрование на песчаном фильтре, озонирование, фильтрование на угольном фильтре, хлорирование и корректировку рН [2]. Озон является более сильным окислителем, чем хлор, его ОВП=+2,07 В. Расход хлора при озонировании сильно уменьшается, так как хлор расходуется только на создание среды, в которой не могут размножаться бактерии (концентрация активного хлора 0,2-0,5 мг/л).
Недостатком этого способа является малая эффективность очистки, так как на песчаном фильтре задерживаются только механические примеси, а озон является селективным окислителем и разрушает не все соединения. К недостатку относится также необходимость постоянно вводить активный хлор, так как озон в воде быстро распадается и не обеспечивает пролонгированный антимикробный эффект.
Сущность изобретения.
Сущность предлагаемого способа очистки и обеззараживания воды плавательных бассейнов заключается в том, что с целью повышения эффективности очистки воды, создания пролонгированного антимикробного эффекта и отсутствия запаха хлора в бассейне поток воды после фильтрования разветвляют на две части, одну часть потока выливают обратно в бассейн, в его нижнюю часть (желательно, через дно), а другую часть подвергают обработке озоно-гидроксильной смесью, после чего пропускают через угольный фильтр и сливают обратно в точку забора воды из бассейна. Поток воды через генератор озоно-гидроксильной смеси должен быть не менее 1 л/мин, производительность генератора озоно-гидроксильной смеси по озону должна составлять не менее 1 мг О3 на литр воды, откачиваемой из бассейна на очистку, причем ионы хлора добавляют в виде ионов ClO– и Cl– только на начальном этапе работы бассейна в количестве 1 мг хлора на литр воды во всем бассейне, а коррекцию рН осуществляют соляной кислотой.
Перечень чертежей.
Фиг.1. Схема циркуляции воды при обработке озоно-гидроксильной смесью. 1 – бассейн; 2 – насос; 3 – песчаный фильтр; 4 – генератор озоно-гидроксильной смеси; 5 – угольный фильтр; 6 – точка слива обработанной воды.
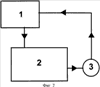
Фиг.2. Эскиз лабораторной установки для измерения регенерации активного хлора. 1 – генератор озоно-гидроксильной смеси; 2 – емкость с раствором NaCl; 3 – водяной насос.
Сведения, подтверждающие возможность осуществления изобретения.
Предлагаемый способ очистки воды плавательных бассейнов осуществляют следующим образом (см. фиг.1). Основной контур очистки воды состоит из насоса (2) и механического (песчаного) фильтра (3). Согласно санитарным нормам, поток воды в этом контуре должен быть не менее 1/8 объема бассейна в час. Часть воды из основного контура ответвляется в контур генератора озоно-гидроксильной смеси (4) [3]. Давление воды на отрезке от фильтра (3) до бассейна (1) при длине трубы 5-10 метров может составлять не менее 0,5 атм. Этого давления достаточно для нормальной работы эжектора генератора. Поток воды в контуре генератора должен быть не менее 1 л/мин (желательно иметь 5-10% от основного потока), и его абсолютная величина не имеет принципиального значения.
Поток проходит через генератор (4) и подвергается обработке озоном и гидроксильными радикалами [3]. Внутри полости генератора создается концентрация озона в воде 1-3 мг/л, время удержания воды в полости генератора не менее 2 минут. Вода, насыщенная озоном, уносится из генератора и после угольного фильтра (5) смешивается с основным потоком в точке (6). Точка (6) находится вблизи узла забора воды из бассейна. В угольном фильтре поглощаются свободные радикалы.
Для дезинфекции воды основной активной частицей будет озон (так же, как и при озонировании), а разложение примесей в воде будет осуществляться радикалами ОН . Окислительно-восстановительный потенциал радикалов ОН намного выше, чем озона, и составляет ОВП=+2,8 В. Радикалы ОН в отличие от озона являются универсальным окислителем, они взаимодействуют со многими веществами примерно в миллион раз быстрее, чем озон. Конечным продуктом взаимодействия радикалов с органическими веществами является углекислый газ и вода. Выход озона на единицу затрачиваемой энергии в генераторе озоно-гидроксильной смеси примерно тот же, что и в современных озонаторах, однако кроме озона здесь образуются радикалы ОН , которые при тех же энергетических затратах намного повышают эффективность очистки воды. Озонированная вода, смешиваясь с основным потоком, осуществляет ее дезинфекцию. Пролонгированное дезинфицирующее действие может осуществляться двумя способами.
1. В обработанной озоно-гидроксильной смесью воде создается остаточная концентрация активного кислорода на уровне 0,05-0,1 мг/л, которая может сохраняться больше суток. Основной составляющей активной формы кислорода является перекись водорода.
2. Поддержание концентрации активного хлора. Идея метода заключается в том, что ионы хлора, находящиеся в воде (например, в составе поваренной соли), окисляются гидроксильными радикалами. При этом следует подчеркнуть, что озоном ионы хлора с заметной скоростью не окисляются.
2NaCl+2OH Cl2+2NaOH
Часть образующегося газообразного хлора выделяется из воды, а часть гидролизуется.
Cl2+Н2O HClO+HCl
Соляная кислота нейтрализуется щелочью – продуктом первой реакции окисления хлора:
NaOH+HCl NaCl+H2O
В этом процессе молярная концентрация ионов гипохлорита может достигать 1/6 от молярной концентрации озона (пропорционально соотношению выходов озона и гидроксильных радикалов при вспышечном коронном электрическом разряде), т.е. примерно 10-4 моль/л [3]. Нарабатываемые таким образом ионы гипохлорита вместе с активными формами кислорода обеспечивают подавление размножения бактерий в объеме бассейна. Хлор в газообразном виде может улетучиваться из раствора, поэтому для компенсации потери хлора коррекцию рН (в случае, если рН превысит норму, рН 9) следует осуществлять соляной кислотой.
Измерение выхода ионов гипохлорита осуществлялось на лабораторной установке, представленной на фиг.2. В емкость 2 объемом 20 л помещался раствор NaCl концентрацией ионов хлора 1 мг/л. Мощность генератора озоно-гидроксильной смеси 1 составляла 40 Вт. Производительность водяного насоса 1 л/мин. Концентрация активного хлора измерялась иодометрически. Через 1 час обработки концентрация активного хлора в воде составила 0,5 мг/л, что достаточно для обеспечения пролонгированного антимикробного эффекта. Выход составил ~20 ионов гипохлорита на один прошедший в разрядной цепи электрон.
Применение генератора озоно-гидроксильной смеси для очистки воды плавательного бассейна позволяет получить следующие преимущества.
– Улучшение качества воды за счет более полного окисления примесей (по сравнению как с хлорированием, так и с озонированием).
– Отсутствие раздражающего запаха хлора (хотя хлор в виде NaCl на начальной стадии все равно нужно добавлять, однако его расход очень маленький).
Промышленная применимость.
Испытания метода осуществлялось в бассейне объемом 40 м3, находящемся в частном коттедже. Схема реализации способа в точности соответствовала фиг.1. Мощность генератора озоно-гидроксильной смеси составляла 80 Вт, производительность по озону 2 г/ч. Поток воды через генератор 1,0 л/мин, поток воды в основном контуре порядка 4 м3/ч. Тем самым на 1 л воды в контуре очистки вырабатывалось 0,5 г озона. Такая концентрация озона определяется санитарными нормами. К настоящему времени очистка осуществляется уже 2 месяца. Вода в бассейне чистая, прозрачная. Кишечная палочка в воде не обнаружена. Результаты анализа воды из бассейна представлены в таблице.
 |
| Анализ воды из бассейна, в котором в течение двух месяцев очистка и обеззараживание воды осуществлялась согласно заявляемому методу без добавления хлора или иных реагентов. |
 п/п |
Характеристика |
Значение |
Норматив |
| 1 |
Цветность, градусы |
3 |
20 |
| 2 |
рН |
8,2 |
6,5-9 |
| 3 |
ОВП (окислительно-восстановительный потенциал) |
+80 мВ |
– |
| 4 |
Перманганатная окисляемость |
2,0 мг О/л |
5 мг О/л |
| 5 |
Коли-индекс, кол./л |
1 |
3 |
| 6 |
Остаточный озон |
0,05 мг/л |
не более 0,1 мг/л |
| 7 |
Формальдегид |
менее 0,01 мг/л |
не более 0,05 мг/л |
| 8 |
Хлориды |
80 мг/л |
не более 700 мг/л |
Источники информации
1. Гигиенические требования к устройству, эксплуатации и качеству воды в плавательных бассейнах. СанПиН 2.1.2.568-96.
2. Германский стандарт DIN Standart PROCESS (DSP) 19,643. Или В.Г.Самойлович “Химия воды плавательного бассейна при использовании озона и хлора” Информационный центр “ОЗОН” Выпуск 11. Применение озона для подготовки воды в плавательных бассейнах и новые способы синтеза озона в газовых разрядах. Москва. 1999. С.33.
3. Н.А.Аристова, Н.А.Беркутов, С.А.Корчаков, И.М.Пискарев. Способ очистки воды и устройство для его осуществления. Патент РФ 2251533. Опубликовано 10.05.2005. Бюл. 13.
Формула изобретения
Способ очистки воды плавательных бассейнов, включающий откачивание воды с поверхности бассейна, коагуляцию, фильтрование на песчаном фильтре, хлорирование и коррекцию рН, отличающийся тем, что после фильтрования поток воды разветвляют на две части: часть потока выливают обратно в бассейн через его дно, а другую часть подвергают обработке озоно-гидроксильной смесью, пропускают через угольный фильтр и сливают в точку забора воды из бассейна, причем поток воды в генератор озоно-гидроксильной смеси должен быть не менее 1 л/мин, а производительность генератора по озону должна составлять не менее 0,5 мг О3 на литр воды, откачиваемой из бассейна на очистку, причем хлор добавляют в виде ионов ClO– или Cl– на начальном этапе работы бассейна в количестве не менее 1 мг хлора на литр, а коррекцию рН осуществляют соляной кислотой.
РИСУНКИ
|
|