|
|
(21), (22) Заявка: 2007121287/11, 06.06.2007
(24) Дата начала отсчета срока действия патента:
06.06.2007
(46) Опубликовано: 20.04.2009
(56) Список документов, цитированных в отчете о поиске:
RU 2153434 С2, 27.07.2000. RU 2295470 С1, 20.03.2007. DE 19623524 А1, 02.01.1998. JP 10341427 А, 22.12.1998.
Адрес для переписки:
600016, г.Владимир, ул. Б. Нижегородская, 79, ОАО “Завод Автоприбор”, НТЦ, Информационный отдел
|
(72) Автор(ы):
Круглов Виктор Матвеевич (RU), Орлов Василий Александрович (RU)
(73) Патентообладатель(и):
Открытое Акционерное Общество “Завод Автоприбор” (RU)
|
(54) СИСТЕМА ИДЕНТИФИКАЦИИ АВТОТРАНСПОРТА И ОПОВЕЩЕНИЯ ВОДИТЕЛЯ ДЛЯ ПРЕДОТВРАЩЕНИЯ АВАРИЙ НА ЖЕЛЕЗНОДОРОЖНОМ ПЕРЕЕЗДЕ
(57) Реферат:
Изобретение относится к средствам обеспечения безопасности на железнодорожном транспорте. Система работает в предписанном диапазоне частот и содержит размещенную в районе переезда аппаратуру обнаружения и контроля за движением автотранспортного средства. Эта аппаратура включает в себя стационарный модуль с передатчиком, излучающим радиосигнал на антенны приемников мобильных модулей, расположенных на автотранспортных средствах. Упомянутый передатчик расположен на светофоре. Система выполнена с возможностью излучения стационарным модулем сигнала о «запрещении проезда» на мобильные модули со сменой сигнала светофора на красный, сравнения данных, полученных со стационарного модуля, с данными, заложенными в памяти мобильного модуля, при появлении подъезжающего автотранспортного средства в зоне действия системы, включения звуковой и световой сигнализации в кабине автотранспортного средства и в случае продолжения движения – блокировки двигателя и останова автотранспортного средства. Система позволяет машинисту оперативно реагировать на сложившуюся опасную ситуацию, что обеспечивает повышение безопасности на железнодорожных путях в районе переездов. 1 ил.
Изобретение относится к средствам техники безопасности на железнодорожном транспорте, в частности к средствам обеспечения безопасности на железнодорожных путях в районе переездов.
Известно, что железнодорожный переезд является одним из наиболее опасных участков, а столкновение автотранспорта (АТС) с поездом является одним из наиболее серьезных видов дорожно-транспортных происшествий, сопровождающихся многочисленными жертвами. Между тем, ДТП на железнодорожных переездах происходят регулярно и чаще всего по вине водителей автотранспорта. По данным ИТАР-ТАСС на московской магистрали в 2003 году произошло 55 ДТП и все по вине водителя, в которых 13 человек погибли, а 31 пострадал. Столкновения вызваны недисциплинированностью водителей, которые пытались проехать перед приближающимся составом, игнорируя запрещающий сигнал светофора, или вызваны неисправностью автотранспорта.
Современные микропроцессорные системы позволяют не только обнаруживать АТС, но и идентифицировать их по регистрационным знакам. Это осуществляется за счет того, что происходит автоматическая регистрация в памяти изображения объектов, появившихся после опускания шлагбаумов в опасной зоне железнодорожного переезда. Зарегистрированные изображения могут потом быть проанализированы сотрудниками службы безопасности на предмет выявления нарушителей правил дорожного движения, а при наступлении ДТП – доказательством при судебном разбирательстве.
Недостатком существующих видеопроцессорных систем является невозможность предупредить участников движения о приближении друг к другу и принять действенные меры для предотвращения столкновения [1].
Указанный недостаток устраняется в патенте Японии [2], устройство по которому содержит 2 видеокамеры, установленные по обе стороны железнодорожного полотна. В районе расположения одной из видеокамер расположен громкоговоритель. Видеокамеры и громкоговоритель подключены к видеопроцессорному устройству, содержащему многоканальный детектор движения, выполненный с возможностью автоматического обнаружения движущихся объектов в зоне железнодорожного переезда. При обнаружении нарушителя решающее устройство, входящее в состав видеопроцессорного устройства, подает команду на включение блока формирования голосовых сообщений, выход которого подключен к громкоговорителю. Если нарушитель не среагировал на голосовое сообщение и продолжает находиться в опасной зоне железнодорожного переезда, то решающее устройство формирует решение об экстренной остановке поезда. По линии беспроводной связи эта команда передается на движущийся поезд и используется для экстренной остановки поезда – вручную или автоматически. Описанная система ориентирована на полную автоматизацию выявления нарушителей ДТП и реагирования на опасную ситуацию. Такая система облегчает работу машиниста, но появляется опасность ложного срабатывания и невыявления опасных ситуаций.
Из рассмотренных выше примеров вытекает задача такого решения проблемы, чтобы машинист мог оперативно реагировать на сложившуюся опасную ситуацию. Прототипом заявляемого изобретения является «Система для предотвращения аварий на железнодорожном пути», в состав которой входит видеопроцессорная подсистема обработки и регистрации изображений, блок тревожной сигнализации, установленная в поезде аппаратура (блокирования движения поезда, звуковой оповещатель), при этом экран видеомонитора, расположенный в кабине машиниста, находится в поле его зрения, а аппаратура блокирования движения поезда выполнена управляемой машинистом. Рассматриваемое решение позволяет более эффективно предотвращать ДТП на железнодорожном переезде, так как машинист имеет возможность своевременно и оперативно отреагировать на опасную ситуацию [3].
Поставленную задачу предотвращения аварий предлагается решить совершенно другим способом – остановкой автомобиля, а не локомотива.
Существуют системы, которые позволяют воздействовать на транспортное средство путем его остановки за счет блокировки двигателя.
Аналогичная система радиочастотной идентификации описана в патенте «Противоугонная система для транспортного средствам по патенту RU 2295465 [4].
Описанный аналог состоит из приемопередатчика-ридера, находящегося у пользователя, и приемопередатчика-тега, установленного в функциональных органах транспортного средства, при этом тег и ридер выполнены с возможностью ведения друг с другом динамического идентификационного диалога, заключающегося в передаче от ридера к тегу сигнальных посылок с числами, изменяющимися случайным образом от посылки к посылке, приеме тегом указанных посылок, нелинейном преобразовании случайных чисел в соответствии с заложенным в нем нелинейном алгоритмом и обратной передаче преобразованных случайных чисел ридеру, а также параллельном тождественном нелинейном преобразовании случайных чисел ридером, сравнении в нем результатов тождественного нелинейного преобразования с принятыми от тега нелинейно преобразованными случайными числами и отправке центральный блок управления противоугонной системы сообщения о произведенной идентификации.
Поставленную задачу предотвращения аварий на железнодорожном переезде предлагается решить совершенно другим способом – остановкой автомобиля, а не локомотива, что является более простым решением задачи, так как остановить автомобиль значительно легче, чем локомотив.
Предлагаемая система предотвращения аварий и оповещения водителя на железнодорожном переезде, состоит из стационарного модуля и мобильного модуля. Стационарный модуль состоит из приемопередатчика и антенны, установленных на светофоре, мобильный модуль состоит из приемопередатчика и антенны, расположенных на транспортном средстве. Мобильный модуль подключен к включенному в систему блоку звуковой и световой сигнализации, блоку управления двигателем автомобиля для блокировки движения. Предлагаемая система отличается от аналога тем, что стационарный модуль включается синхронно с красным сигналом светофора, а мобильный приемопередатчик принимает этот сигнал и включает блоки звуковой и световой сигнализации, и если водитель не предпринял меры для остановки автомобиля, осуществляет блокирование двигателя автомобиля. Таким образом, поставленная задача увеличения эффективности предотвращения аварий значительно увеличивается по сравнению с ранее предлагаемыми системами.
Предлагаемая система идентификации и оповещения водителя для предотвращения аварий на железнодорожном переезде, содержащая размещенную в районе переезда аппаратуру обнаружения и контроля за движением автотранспортного средства, содержащую приемопередатчик, излучающий радиосигнал на принимающую антенну другого приемопередатчика, расположенного на транспортном средстве, отличается тем, что один из приемопередатчиков расположен на светофоре (стационарный модуль), который включается синхронно с красным сигналом светофора, при этом питание передатчика осуществляется либо непосредственно от светофора, либо имеет собственное электропитание. Сигнал, передаваемый на автомобильные передатчики, расположенные в автомобиле, может быть как аналоговым, так и цифровым. Вероятность выхода предлагаемой системы из рабочего состояния очень мала, так как если светофор окажется в нерабочем состоянии, он будет отремонтирован в минимально короткий промежуток времени. Изобретение использует существующие блоки управления двигателем и значительно повышает эффективность предотвращения аварий на железнодорожном переезде.
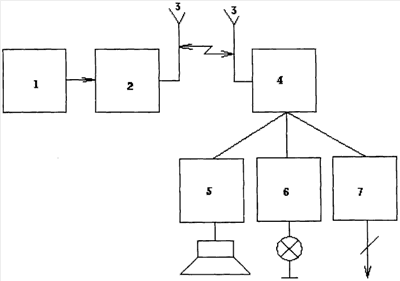
Система схематично изображена на чертеже и состоит из светофора 1, стационарного приемопередатчика 2, антенны 3, мобильного приемопередатчика 4, блока звуковой сигнализации 5, блока световой сигнализации 6, устройства блокирования двигателя автомобиля 7 (Фиг.1).
Предлагаемая система работает следующим образом. При включении красного сигнала светофора стационарный модуль начинает излучать сигнал о «запрещении проезда» на мобильные приемопередатчики – при появлении в зоне действия системы автомобиля, данные, полученные со стационарного модуля сравниваются с данными, заложенными в памяти мобильного приемопередатчика, и если они совпадают, происходит включение звуковой и световой сигнализации, и если автомобиль продолжает движение после включения сигнализации в течении 3 секунд, информация об этом по информационному каналу поступает на устройство блокировки двигателя автомобиля и он останавливается.
Дальнейшее движение возможно лишь при смене красного сигнала светофора на зеленый.
Технический результат заявляемого изобретения состоит в повышении эффективности предотвращения столкновения на железнодорожном переезде, которая выражается в том, что из двух несопоставимых по массе и скорости участников движения – поезда и автомобиля – система выдает команду на остановку автомобиля, обладающего кинетической энергией во много раз меньшей, чем поезд, и который гораздо легче остановить, чем поезд.
Также технический результат также выражается в том, что предлагаемая конструкция проще в изготовлении, так как не требует таких сложных систем, как видеопроцессорная система наблюдения и установления, описанных в прототипе, и кроме того, позволяет использовать в автомобильном модуле существующие блоки управления двигателем и элементы противоугонных устройств.
Источники информации
1. DE 19623524, B61L 29/00, G06K 9/22.
2. JP 10-341427, B61L 29/00, G08B 21/00, G08B 25/00.
3. RU 2295470, B61L 29/00, G08B 25/10.
4. RU 2295465, B60R 25/00.
Формула изобретения
Система оповещения водителя автотранспортного средства при опасности столкновения с локомотивом на железнодорожном переезде, работающая в предписанном диапазоне частот, содержащая размещенную в районе переезда аппаратуру обнаружения и контроля за движением автотранспортного средства, включающую в себя стационарный модуль с передатчиком, излучающим радиосигнал на антенны приемников мобильных модулей, расположенных на автотранспортных средствах, отличающаяся тем, что упомянутый передатчик расположен на светофоре, при этом система выполнена с возможностью излучения стационарным модулем сигнала о «запрещении проезда» на мобильные модули со сменой сигнала светофора на красный, сравнения данных, полученных со стационарного модуля, с данными, заложенными в памяти мобильного модуля, при появлении подъезжающего автотранспортного средства в зоне действия системы, включения звуковой и световой сигнализации в кабине автотранспортного средства, и в случае продолжения движения – блокировки двигателя и останова автотранспортного средства.
РИСУНКИ
|
|