|
|
(21), (22) Заявка: 2006136736/15, 26.04.2005
(24) Дата начала отсчета срока действия патента:
26.04.2005
(30) Конвенционный приоритет:
27.04.2004 US 10/834,395
(43) Дата публикации заявки: 10.06.2008
(46) Опубликовано: 20.04.2009
(56) Список документов, цитированных в отчете о поиске:
US 5750509 А, 12.05.1998. SELTZER et al. Clinical Infectious Diseases 2003:37 1298-1303, Once-weekly dalbavancin. MALABARBA, DONADIO, Drugs of the Future 1999, 24(8): 839-846. RODVOLD et al. Antimicrobial agents and chemotherapy, 1988, vol.32, no.6, Vancomycin pharmacokinetics in patients with various degrees of renal function. EP 0240609 A2, 14.10.1987. WO 9303060 A1, 18.02.1993. WO 88027755 A1, 21.04.1988.
(85) Дата перевода заявки PCT на национальную фазу:
27.11.2006
(86) Заявка PCT:
US 2005/014355 20050426
(87) Публикация PCT:
WO 2006/078277 20060727
Адрес для переписки:
191036, Санкт-Петербург, а/я 24, “НЕВИНПАТ”, пат.пов. А.В.Поликарпову
|
(72) Автор(ы):
СТОГНЬЮ Мартин (US), КОЛОМБО Луиджи (IT), ЧАБАТТИ Ромео (IT)
(73) Патентообладатель(и):
Викурон Фармасьютикалз Инк. (US)
|
(54) КОМПОЗИЦИИ ДАЛБАВАНЦИНА ДЛЯ ЛЕЧЕНИЯ БАКТЕРИАЛЬНЫХ ИНФЕКЦИЙ
(57) Реферат:
Настоящее изобретение относится к области лекарственных средств, в частности к фармацевтической композиции, пригодной для лечения или предупреждения бактериальной инфекции, содержащей далбаванцин и стабилизатор, с рН от 3 до 5; при этом стабилизатор ингибирует разложение одного или более компонентов далбаванцина до менее активных или неактивных веществ. Кроме того, изобретение относится к способу сушки далбаванцина и соединениям формулы 1 и формулы 2. Технический результат – улучшение стабильности далбаванцина в композиции. 5 н. и 13 з.п. ф-лы, 54 ил., 44 табл.
 
Текст описания приведен в факсимильном виде.                                                                                                                                                                                                                                 
Формула изобретения
1. Фармацевтическая композиция, пригодная для лечения или предупреждения бактериальной инфекции, содержащая эффективное количество далбаванцина и стабилизатор, где эта композиция имеет рН от 3 до 5; и стабилизатор ингибирует разложение одного или более компонентов далбаванцина до менее активных или неактивных веществ.
2. Фармацевтическая композиция по п.1, где указанный стабилизатор содержит углевод или аминокислоту.
3. Фармацевтическая композиция по п.1 или 2, где стабилизатор представляет собой маннит, лактозу или их комбинацию.
4. Фармацевтическая композиция по п.3, где стабилизатор содержит маннит и лактозу.
5. Фармацевтическая композиция по п.4, которая имеет рН 4,5.
6. Фармацевтическая композиция по п.3, где стабилизатор содержит маннит и лактозу, и эта композиция имеет рН 3.
7. Фармацевтическая композиция по п.3, где стабилизатор содержит маннит, и соотношение маннит:далбаванцин составляет 1:2 по массе.
8. Фармацевтическая композиция по п.4, где соотношение маннит:лактоза:далбаванцин составляет 1:1:4 по массе.
9. Фармацевтическая композиция по п.1 в форме сухого порошка.
10. Фармацевтическая композиция по любому из пп.1-9, которая разлагается не более чем на 6% при 40°С после 3-6 месяцев.
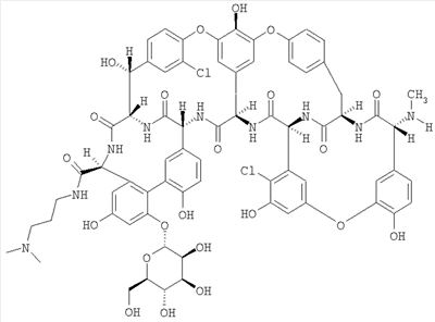
11. Фармацевтическая композиция по любому из пп.1-9, которая содержит не более чем 6% MAG при 40°С через 3-6 месяцев, где MAG имеет следующую структуру:

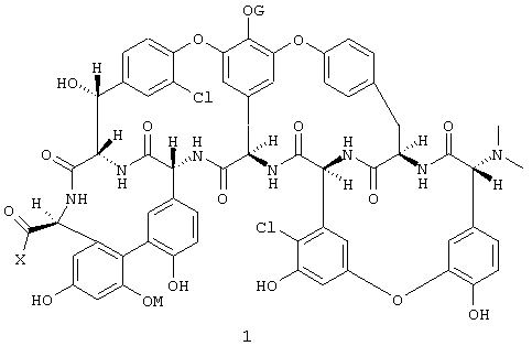
12. Химическое соединение формулы
 где R2 представляет собой С10-14ацил.
13. Соединение по п.12, где R выбран из группы, состоящей из 8-метилнонановой кислоты, н-декановой кислоты, 9-метил-декановой кислоты, н-ундекановой кислоты, 10-метил-ундекановой кислоты, «-додекановой кислоты, 11-метил-додекановой кислоты, н-тридекановой кислоты, 12-метил-тридекановой кислоты и н-тетрадекановой кислоты.
14. Соединение по п.12, где R2 представляет собой 10-метил-ундекановую кислоту.
15. Соединение формулы

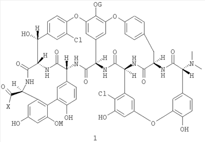
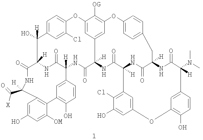
16. Соединение формулы 1 или его фармацевтически приемлемые соль или сольват
, где М представляет собой водород, -D-маннопиранозил или 6-О-ацетил- -D-маннопиранозил; G представляет собой водород, глюкуронамин или ацилглюкуронамин; и Х представляет собой аминоалкиламино.
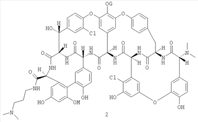
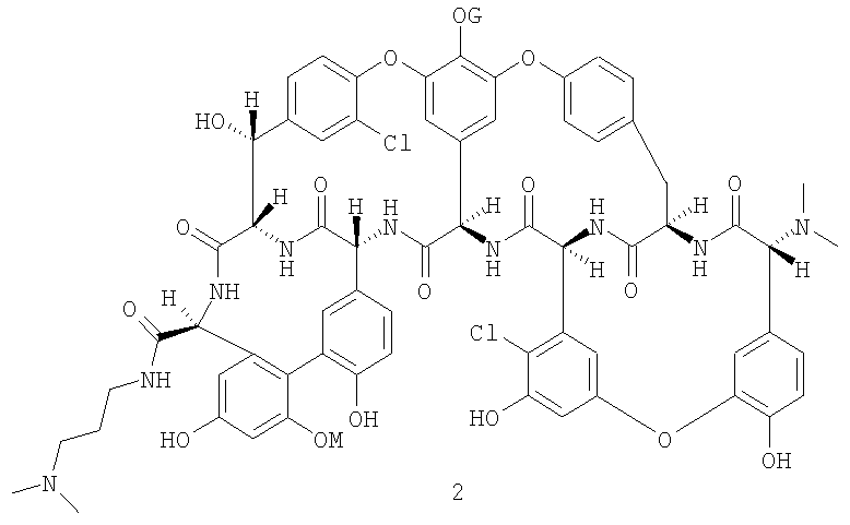
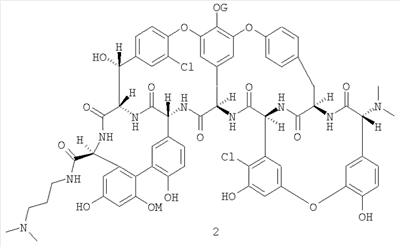
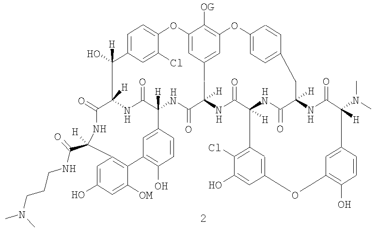
17. Соединение по п.16, имеющее формулу 2
.
18. Способ сушки далбаванцина, включающий стадии: обеспечения влажного далбаванцина, содержащего далбаванцин, воду и растворитель; сушки влажного далбаванцина при температуре приблизительно 30°С или ниже, при давлении вакуума приблизительно 50 мбар (5 кПа) или ниже до тех пор, пока уровень воды во влажном далбаванцине не достигнет менее приблизительно 20% (мас./мас.); добавления воды к далбаванцину; и сушки влажного далбаванцина по меньшей мере еще раз при температуре приблизительно 30°С или ниже, при давлении вакуума приблизительно 50 мбар (5 кПа) или ниже до тех пор, пока уровень растворителя в далбаванцине не достигнет менее приблизительно 3,0% (мас./мас.).
РИСУНКИ
|
|