|
|
(21), (22) Заявка: 2007133057/09, 03.09.2007
(24) Дата начала отсчета срока действия патента:
03.09.2007
(46) Опубликовано: 27.03.2009
(56) Список документов, цитированных в отчете о поиске:
SU 1385243 А1, 30.03.1988. SU 767939 А1, 30.09.1980. SU 171027 А1, 01.01.1965. SU 718884 А1, 29.02.1980.
Адрес для переписки:
603035, г.Нижний Новгород, ул. Чаадаева, 1, ОАО “Нижегородский авиастроительный завод “Сокол”
|
(72) Автор(ы):
Зельманов Самуил Соломонович (RU)
(73) Патентообладатель(и):
Открытое акционерное общество “Нижегородский авиастроительный завод “Сокол” (RU)
|
(54) ЭНЕРГЕТИЧЕСКИЙ АМПЛИТУДНЫЙ ДЕТЕКТОР С МНОГОКРАТНОЙ ОБРАТНОЙ СВЯЗЬЮ
(57) Реферат:
Изобретение относится к области радиотехники и измерительной техники. Технический результат заключается в повышении качества сигнала на выходе детектора, а также в обеспечении лучших условий фильтрации колебаний напряжения «остатка» за счет значительного увеличения частоты этих колебаний. Отличительной особенностью такого детектора является его способность детектировать АМ-сигналы при весьма близких значениях их несущих и модулирующих частот. Действие детектора основано на слежении за полной мгновенной энергией колебаний АМ-сигнала в контуре. При этом в отличие от энергетического детектора с однократной обратной связью компенсация возникающих при детектировании искажений производится за счет многократной обратной связи, в цепи которой включены энергетические детекторы с разомкнутыми обратными связями. В этом случае частота колебаний «остатка» на выходе детектора увеличивается многократно. 5 ил.
Область техники, к которой относится изобретение.
Изобретение относится к радиотехнике и измерительной технике.
Уровень техники.
Амплитудные детекторы подобного назначения известны.
1. Энергетический амплитудный детектор. Авторское свидетельство на изобретение №171027 от 19.12.63 г. Авторы: С.С.Зельманов и Д.В.Агеев.
Этот аналог изобретения основан на использовании закона изменения полной энергии колебаний в контуре, находящемся под воздействием АМ-сигнала, для определения закона изменения огибающей этого сигнала. Он отличается от известных тем, что для исключения влияния соотношения несущей и модулирующей частот детектируемого сигнала параллельно конденсатору контура и сопротивлению, включенному последовательно в цепь контура, присоединены входы четырехполюсников с квадратичными характеристиками, а выходы четырехполюсников подключены к сумматору, выход которого является выходом схемы детектора. Блок-схема описываемого детектора изображена на Фиг.1.
Напряжения, снимаемые с резистора R и конденсатора С, подаются на входы квадраторов 1 и 2 соответственно. Напряжения, снимаемые с выходов квадраторов, пропорциональные величинам электрической и магнитной энергии контура, подаются на вход сумматора 3.
Выражение для полной энергии колебаний в контуре имеет вид:

где uC(t) – напряжение на конденсаторе,
i(t) – ток в контуре.
Это выражение для энергии может быть преобразовано к виду:

где 
Если на входе контура действует АМ-сигнал, то с выхода контура, с емкости, снимается сигнал вида:
uC(t)=U(t)Sin( 0t+ 0)
Примем для упрощения преобразований сопротивление контура равным 1 Ом. Тогда напряжение, снимаемое с резистора контура, будет иметь вид: . Выражение для энергии контура может быть представлено так:

где 
Из этого выражения следует, что при относительно малой величине производной огибающей АМ-сигнала можно пренебречь вторым и третьим слагаемыми в выражении (2). Тогда напряжение на выходе сумматора 3 энергетического детектора может быть достаточно точно представлено выражением (3):

Такой детектор мы будем называть квадратичным энергетическим детектором. Операция энергетического детектирования является по существу безинерционной дифференциальной операцией.
Недостатком этого устройства является наличие на выходе детектора «остатка», обусловленного вторым и третьим слагаемыми выражения (2). Наличие этого «остатка» приводит к искажениям, которые возрастают при сближении частот модулирующего и несущего сигналов. При этом не достигается высокая точность детектирования.
Более совершенным устройством, в котором частично устраняется этот недостаток, является следующий аналог, представляющий собой прототип.
2. Энергетический амплитудный детектор. Авторское свидетельство на изобретение №1385243 от 27.03.86 г. Автор С.С.Зельманов.
Приведем теоретические предпосылки, которые послужили основой для создания функциональной схемы этого детектора.
Обратимся к выражению для АМ-сигнала, которое содержит по существу два неизвестных: U(t) и 0.

где (t)= 0t+ 0
Необходимо определить вид такого уравнения, которое связывало бы функции U(t) и u(t), но было бы инвариантным по отношению к начальной фазе 0, т.е. начальная фаза 0 не должна входить в это уравнение в явном виде. Однако это уравнение должно удовлетворяться только при подстановке в него модулирующей функции U(t), соответствующей переданному сообщению. Выразим полную фазу АМ-колебания:

Продифференцируем обе части полученного выражения и учтем, что

Тогда получим:

После проведения преобразований выражение (6) примет вид:

Нелинейное уравнение (7) содержит неизвестную модулирующую функцию U(t) и ее производную . В качестве известных функций в это уравнение входит АМ-сигнал u(t)=u, его производная и частота 0.
Представим полученное уравнение в следующей форме:

Это нелинейное уравнение должно удовлетворяться только при подстановке в него модулирующей функции u(t) и ее производной. Этому уравнению соответствует функциональная блок-схема устройства под названием «Энергетический амплитудный детектор», которая представлена на Фиг.2.
Это устройство содержит источник входного сигнала 1, катушку индуктивности 2, конденсатор 3, резистор 4, квадраторы 5 и 6, сумматор 7, перемножители 8-10, инвертор 11, блок 12 извлечения квадратного корня, дифференциатор 13, блок 14 деления, дополнительный квадратор 15.
Основой функциональной схемы, ее «ядром», является квадратичный энергетический детектор, т.е. рассмотренный первый аналог детектора, представленный элементами и блоками: 1, 2, 3, 4, 5, 6, 7. Ему соответствует операция, представленная двумя первыми членами под корнем выражения (8). Она выражает закон изменения энергии колебательного контура, находящегося под воздействием АМ-сигнала. Этот закон, представленный выражением (1) и раскрытый в выражении (2), наряду с U(t)2 содержит нежелательный «остаток» в виде второго и третьего членов.
Техническая задача детектирования, т.е. задача определения огибающей АМ-сигнала, реализуется устройством, представленным на Фиг.2, состоит в повышении точности процесса безинерционного детектирования АМ-сигнала, реализуемого устройством-аналогом, функциональная блок-схема которого представлена на Фиг.1. Предполагается, что эта техническая задача может быть реализована за счет компенсации упомянутого «остатка» с помощью третьего и четвертого членов под корнем выражения (8). Для компенсации этого «остатка» необходимо в соответствии с выражением (8), чтобы с блока 12 в цепь обратной связи на входы блоков 13 и 14 подавалось напряжение огибающей U(t). Это требование идеальной модели устройства.
Реальный энергетический амплитудный детектор работает следующим образом.
На вход первого квадратора 5 поступает сигнал, пропорциональный мгновенному значению напряжения на конденсаторе.

На вход второго квадратора 6 поступает сигнал, пропорциональный мгновенному значению тока в колебательном контуре.

Напряжения на выходах первого и второго квадраторов, подаваемые на первый и второй входы сумматора 7, пропорциональны соответственно электрической и магнитной энергиям колебательного контура. В сумматоре 7 образуется напряжение, пропорциональное полной энергии колебательного контура:

При этом второй, третий и четвертый члены выражения (11) являются «остатком», который служит причиной искажений выходного сигнала детектора. С выхода сумматора 7 сигнал подается на блок 12 извлечения квадратного корня. Одновременно сигналы с конденсатора 3 и резистора 4 подаются через первый перемножитель 8 и инвертор 11 на первый вход второго перемножителя 9, на второй вход которого поступает сигнал с выхода блока деления 14. На один вход блока деления 14 сигнал поступает с выхода дифференциатора 13, а на другой – с выхода блока извлечения квадратного корня 12. При этом в соответствии с уравнением (8) необходимо, чтобы с первого момента работы детектора, представленного на Фиг.2, на входы блоков 13 и 14 с выхода блока 12 подавалось бы напряжение огибающей АМ-сигнала U(t) без какого-либо «остатка». Тогда в сумматоре 7 будет иметь место полная компенсация «остатка». Это происходит так. Сформированное во втором перемножителе 9 напряжение подается на первый дополнительный вход сумматора 7 и имеет следующий вид:

На второй дополнительный вход сумматора 7 подается напряжение, сформированное в третьем перемножителе 10 и имеющее следующий вид:

Дополнительные входы сумматора 7 являются компенсационными, так как напряжения (12) и (13), подаваемые на эти входы, предназначены для компенсации «остатка», представленного вторым, третьим и четвертым членами выражения (11). Тогда в сумматоре (7) будет иметь место полная компенсация «остатка».
Однако при действии АМ-сигнала на входе схемы реального энергетического детектора с обратной связью в первые моменты времени на его выходе будет формироваться напряжение огибающей U(t) с некоторым «остатком». Это напряжение поступает в цепь обратной связи, т.е. на входы блоков 13 и 14. Поэтому цепь обратной связи вырабатывает напряжение, которое обеспечивает лишь частичную компенсацию «остатка» в сумматоре 7. Это подтверждают и результаты моделирования детектора с помощью Math Cad, представленные на Фиг.3.
На Фиг.3a) представлена осциллограмма АМ-сигнала на входе детектора. Под ней располагаются соответственно: 3b) – напряжение на выходе энергетического детектора без обратной связи, 3с) – «остаток» при этом виде детектирования, 3d) – напряжение на выходе энергетического детектора с обратной связью, 3е) – «остаток» при этом виде детектирования. Исследование характера напряжения «остатка» в установившемся режиме для этих случаев показывает, что его величина уменьшается в 2 раза, но «остаток» полностью не компенсируется. Частота колебаний «остатка» увеличивается в 2 раза.
Из результата этого эксперимента следует:
1. Энергетический детектор-прототип с обратной связью обладает определенным преимуществом по сравнению с энергетическим детектором-аналогом без обратной связи, т.е. обратная связь в схеме детектора-прототипа способствует уменьшению «остатка» в выходном напряжении детектора.
2. Улучшение качества напряжения огибающей АМ-сигнала, подаваемого на входы блоков 13 и 14, повышает качество выходного напряжения детектора, т.е. уменьшает величину «остатка».
3. С введением обратной связи частота колебаний «остатка» увеличивается в 2 раза, что облегчает задачу его фильтрации при необходимости.
Однако данное устройство-прототип обладает следующим недостатком. Он заключается в том, что схемное решение детектора-прототипа позволяет лишь частично, т.е. не до конца устранить «остаток» в выходном сигнале детектора, получающийся в результате процесса детектирования входного АМ-сигнала.
Раскрытие изобретения
Технической задачей или целью настоящего предлагаемого изобретения является повышение качества сигнала на выходе детектора за счет уменьшения «остатка» путем его дополнительной компенсации по отношению к результату, обеспеченному устройством-прототипом, а также обеспечение лучших условий фильтрации колебаний напряжения «остатка» за счет значительного увеличения частоты этих колебаний.
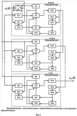
Техническая задача может быть решена с достижением предлагаемого технического результата за счет создания схемы энергетического амплитудного детектора с многократной обратной связью (Фиг.4). При этом в схему энергетического амплитудного детектора-прототипа, который содержит последовательно соединенные источник входного сигнала 1, катушку индуктивности 2, конденсатор 3, резистор 4, а также первый блок детектора, в который входят квадраторы 5.1 и 6.1, сумматор 7.1, перемножители 8.1, 9.1, 10.1, инвертор 11.1, блок извлечения квадратного корня 12.1, дифференциатор 13.1, блок деления 14.1, дополнительный квадратор 15.1, вводятся дополнительно второй, третий, …, n-ый блоки детекторов, каждый из которых содержит функциональные преобразователи с номерами от 5.к по 15.к включительно, где к=2, 3, …, n, аналогичные таким же преобразователям, которые содержатся в первом блоке детектора, но с тем отличием, что выходы блоков извлечения квадратного корня 12.2, 12.3, …, 12.n второго блока детектора отключены от входов блоков дифференцирования и деления 13.2 и 14.2; 13.3 и 14.3; …, 13.n и 14.n соответственно, а выход блока 12.1 первого блока детектора подключен к соединенным входам блоков 13.2 и 14.2 второго блока детектора, выход блока 12.2 второго блока детектора подключен к соединенным входам блоков 13.3 и 14.3 третьего блока детектора, а выход блока 12(n-1) (n-1)-го блока детектора подключен к соединенным входам блоков 13.n и 14.n n-го блока детектора. Резистор 4 соединен с входами блоков 6.1 и 8.1 первого блока детектора, 6.2 и 8.2 второго блока детектора, …, 6.n и 8.n n-го блока детектора, а конденсатор 3 соединен с входами блоков 8.1 первого блока детектора, 8.2 второго блока детектора … 8.n n-го блока детектора.
Энергетический детектор с многократной обратной связью работает следующим образом. На входе колебательного контура действует АМ-сигнал, вызывающий соответствующее изменение энергии колебаний в контуре. Напряжение детектируемого АМ-сигнала снимается с конденсатора контура и подается на все первые входы всех первых квадраторов: 5.1, 5.2, … 5.n. Напряжение детектируемого АМ-сигнала снимается также с резистора контура и подается на первые входы всех вторых квадраторов: 6.1, 6.2, …, 6.n, соединенных между собой и с первыми входами перемножителей: 8.1, 8.2, …, 8.n. При подаче АМ-сигнала на квадраторы 5.1 и 6.1 первого блока детектора на выходе сумматора 7.1 в соответствии с выражением (2) появляется напряжение огибающей U(t) и «остаток». Это напряжение поступает после блока извлечения квадратного корня в цепь обратной связи на входы блоков 13.1 и 14.1 первого блока детектора. После всех преобразований в блоках: 6.1, 8.1, 9.1, 10.1, 11.1, 15.1 сигнал поступает в сумматор 7.1 первого блока детектора и через блок 12.1 первого блока детектора с частично скомпенсированным «остатком» на входы блоков 13.2, 14.2 второго блока детектора. Во втором блоке детектора все процессы повторяются аналогично тому, как это имело место в первом блоке детектора. При этом достигается дополнительная компенсация «остатка» в выходном напряжении второго блока детектора по сравнению с напряжением на выходе первого блока детектора. Напряжение с выхода блока 12.2 второго блока детектора поступает в цепь обратной связи следующего блока детектора и т.д. до n-го блока детектора, с выходного блока 12.n которого снимается выходное напряжение энергетического амплитудного детектора с многократной обратной связью.
Действие многократной обратной связи заключается в том, что эффект частичного уменьшения «остатка», который обеспечивает первый детектор с обратной связью, удается реализовать многократно в одном устройстве за счет специально «перекрещенной» обратной связи с одного детектора на другой. При этом частота колебаний «остатка» увеличивается в 2n+1 раз, где n – кратность обратной связи. Эта особенность весьма существенна для случая детектирования АМ-сигнала с весьма близкими по величине модулирующей и несущей частотами. Традиционные методы детектирования в этом случае весьма плохо работают или не работают вообще, т.к. фильтрация несущей становится невозможной в виду значительной близости несущей и модулирующей частот. При использовании энергетического детектора с многократной обратной связью происходит разнесение величин этих частот, что облегчает задачу отфильтровывания несущего колебания. Качество безинерционного детектирования с помощью энергетического амплитудного детектора с многократной обратной связью при этом весьма мало зависит от соотношения между значениями несущей и модулирующей частот и может быть сделано как угодно высоким при увеличении кратности детектирования.
На Фиг.5 в качестве примера приведены результаты моделирования работы энергетического детектора с двукратной обратной связью для случая, когда отношение . Для сравнения здесь же представлены напряжения на выходе детектора без обратной связи и на выходе детектора с однократной обратной связью.
Напряжения на Фиг.5 располагаются в следующем порядке:
фиг.5а – напряжение АМ-сигнала на входе детектора при ,
фиг.5b – напряжение на выходе детектора без обратной связи,
фиг.5с – напряжение на выходе детектора с однократной обратной связью,
фиг.5d – напряжение на выходе детектора с двукратной обратной связью.
Формула изобретения
Энергетический амплитудный детектор с многократной обратной связью, содержащий последовательно соединенные источник входного сигнала, катушку индуктивности, конденсатор и резистор, а также первый блок детектора, в который входят первый и второй квадраторы, сумматор, первый, второй и третий перемножители, инвертор, блок извлечения квадратного корня, дифференциатор, блок деления и дополнительный квадратор, при этом второй вывод резистора соединен со вторым выводом источника входного сигнала, а первый вход первого квадратора подключен к точке соединения катушки индуктивности и конденсатора, первый вход второго квадратора подключен к точке соединения резистора и источника входного сигнала, второй вывод конденсатора подключен к общей шине, выходы первого и второго квадраторов соединены соответственно с первым и вторым входами сумматора, а первый и второй входы первого перемножителя соединены соответственно с первыми входами первого и второго квадраторов, выход первого перемножителя через инвертор подключен к первому входу второго перемножителя, выход которого соединен с первым дополнительным входом сумматора, выход сумматора через последовательно соединенные блок извлечения квадратного корня и дифференциатор подключен к первому входу блока деления, второй вход которого соединен с выходом блока извлечения квадратного корня, являющегося выходом первого блока детектора, выход блока деления соединен со вторым входом второго перемножителя и с первым входом дополнительного квадратора, выход которого подсоединен к первому входу третьего перемножителя, второй вход которого соединен с выходом первого квадратора, а выход третьего перемножителя – со вторым дополнительным входом сумматора, отличающийся тем, что в него введены второй, третий,.. n-ый блоки детекторов, в каждый из которых входит первый и второй квадраторы, сумматор, первый, второй и третий перемножители, инвертор, блок извлечения квадратного корня, дифференциатор, блок деления и дополнительный квадратор, при этом первые входы первых квадраторов всех введенных блоков детекторов подключены к точке соединения катушки индуктивности и конденсатора, первые входы вторых квадраторов всех введенных блоков детекторов подключены к точке соединения резистора и источника входного сигнала, в каждом из введенных блоков детекторов выходы первого и второго квадраторов соединены соответственно с первым и вторым входами сумматора, а первый и второй входы первого перемножителя соединены соответственно с первыми входами первого и второго квадраторов, выход первого перемножителя через инвертор подключен к первому входу второго перемножителя, выход которого соединен с первым дополнительным входом сумматора, выход которого соединен с блоком извлечения квадратного корня, выход которого в каждом введенном блоке детектора является выходом этого блока и каждый этот выход отключен от соединенных в каждом блоке детектора входов дифференциатора и блока деления, первый вход которого соединен с выходом дифференциатора, а выход блока деления соединен со вторым входом второго перемножителя и с первым входом дополнительного квадратора, выход которого подсоединен к первому входу третьего перемножителя, второй вход которого соединен с выходом первого квадратора, а выход третьего перемножителя – со вторым дополнительным входом сумматора, выход каждого блока детектора, начиная с первого, подключен к входу блока дифференциатора, расположенного в блоке детектора, следующем за данным блоком детектора, а выход n-го блока детектора является выходом энергетического амплитудного детектора с обратной связью.
РИСУНКИ
|
|