|
|
(21), (22) Заявка: 2005139157/28, 28.04.2004
(24) Дата начала отсчета срока действия патента:
28.04.2004
(30) Конвенционный приоритет:
16.05.2003 FR 0305902
(43) Дата публикации заявки: 27.06.2007
(46) Опубликовано: 27.03.2009
(56) Список документов, цитированных в отчете о поиске:
ДОЦЕНКО А.В. и др. Использование цепи обратной связи для улучшения характеристик твердотельного кольцевого лазера. Квантовая электроника, 1984, т.11, №1, с.176-178. КОРНИЕНКО Л.С. и др. Твердотельный кольцевой лазер с обратной дифракционной акустооптической связью мод. Квантовая электроника, 1981, т.8, №12, с.2552-2556. ГОНЧАРОВА И.Ф. и др.
(85) Дата перевода заявки PCT на национальную фазу:
16.12.2005
(86) Заявка PCT:
EP 2004/050629 (28.04.2004)
(87) Публикация PCT:
WO 2004/102120 (25.11.2004)
Адрес для переписки:
101000, Москва, пер. М.Златоустинский, 10, кв.15, бюро “ЕВРОМАРКПАТ”, И.А.Веселицкой
|
(72) Автор(ы):
ФЁНЬЕ Жилль (FR), РОЛЛИ Дидье (FR), ПОШОЛЛЬ Жан-Поль (FR)
(73) Патентообладатель(и):
ТАЛЕС (FR)
|
(54) ТВЕРДОТЕЛЬНЫЙ ЛАЗЕРНЫЙ ГИРОСКОП, СТАБИЛИЗИРОВАННЫЙ ПОСРЕДСТВОМ АКУСТООПТИЧЕСКИХ УСТРОЙСТВ (ВАРИАНТЫ)
(57) Реферат:
Изобретение относится к твердотельным лазерным гироскопам. Гироскоп содержит кольцевой оптический резонатор, включающий, по меньшей мере, три зеркала, твердотельную активную среду и систему обратной связи, которая содержит, по меньшей мере, два акустооптических модулятора, и который может быть выполнен монолитным. Изобретение позволяет уменьшить нестабильность оптического резонатора за счет регулируемых оптических потерь, зависящих от направления распространения, которые вносят в резонатор (1) при помощи акустооптических устройств. 2 н. и 8 з.п. ф-лы, 12 ил.
(56) (продолжение):
CLASS=”b560m”
Изобретение относится к гироскопам на твердотельных лазерах для измерения скоростей вращения (угловых скоростей) объектов. Оборудование данного типа применимо, в частности, в области аэронавигации.
Лазерные гироскопы были разработаны около 30 лет назад и широко применяются в наше время. Принцип их работы основан на эффекте Саньяка, вызывающем возникновение разности частот  между двумя модами оптического излучения, распространяющимися в противоположных направлениях, называемыми встречными или противоположно распространяющимися модами, двунаправленного кольцевого лазерного резонатора при его вращении. Как правило, разность частот  равна:
 =4A / L,
где L и А – соответственно длина и площадь резонатора, – длина волны лазерного излучения без учета эффекта Саньяка, a – скорость вращения устройства.
Используя значение  , измеренное путем спектрального анализа биения двух излучаемых лучей, с очень высокой точностью получают значение .
Также было показано, что лазерный гироскоп работает точно только при скоростях вращения, превышающих определенный уровень, необходимый для уменьшения влияния связи встречных мод. Диапазон скоростей вращения, находящийся ниже этого уровня, обычно называют зоной нечувствительности.
Условием для наблюдения биений, а значит – и для работы лазерного гироскопа, является стабильность и относительное равенство интенсивностей излучения, испускаемого в обоих направлениях. Выполнение данного условия априори не является простой задачей из-за явления межмодовой конкуренции, означающего, что одна из двух встречных мод монопольно использует имеющееся усиление в ущерб другой моде.
В стандартных лазерных гироскопах данную проблему решают за счет применения газообразной активной среды, обычно гелий-неоновой смеси, работающей при комнатной температуре. Линия усиления такой газовой смеси проявляет доплеровское уширение, обусловленное тепловым возбуждением атомов. Таким образом, только атомы, скорость движения которых вызывает доплеровское смещение частоты перехода, способны создавать усиление моды с заданной частотой, что вводит атом в резонанс с соответствующей модой. Если лазерное излучение генерировать в стороне от центра линии усиления (за счет пьезоэлектрической коррекции оптической длины пути), это гарантирует, что атомы, находящиеся в резонансе с лазерным резонатором, имеют ненулевую скорость. Следовательно, атомы, способные обеспечить усиление волны, распространяющейся в одном из двух направлений, имеют скорость, направление которой противоположно скорости движения атомов, способных обеспечить усиление волны, распространяющейся в противоположном направлении. Поэтому система ведет себя так, как если бы в ней существовали две независимые активные среды, по одной для каждого направления. Поскольку межмодовая конкуренция при этом исчезает, достигается стабильное и уравновешенное двунаправленное излучение (на практике с целью решения других проблем используют смесь, состоящую из двух различных изотопов неона).
Вместе с тем, газообразная природа такой активной среды является источником технических сложностей при производстве лазерных гироскопов (в особенности, ввиду требования к высокой степени чистоты газа) и преждевременного износа в процессе эксплуатации (утечка газа, износ электродов, высокое напряжение, применяемое для создания инверсии населенностей и т.д.).
В настоящее время имеется возможность производства твердотельного лазерного гироскопа, работающего в видимом или ближнем инфракрасном диапазоне, с использованием вместо гелий-неоновой газовой смеси, например, активной среды на основе кристаллов алюмоиттриевого граната (АИГ), легированного неодимом; в этом случае оптическая накачка осуществляется диодными лазерами, работающими в ближнем инфракрасном диапазоне. Также существует возможность использовать в качестве активной среды полупроводниковый материал, кристаллическую матрицу или стекло, легированное ионами редкоземельных металлов (эрбия, иттрия и т.д.). Таким способом фактически решаются все проблемы, связанные с газообразным состоянием активной среды. Однако такая конструкция сложна в построении из-за однородного характера уширения линии усиления твердотельных сред, что вызывает чрезвычайно сильную межмодовую конкуренцию, а также из-за существования множества различных рабочих режимов, среди которых одним из особо нестабильных является режим двунаправленной генерации с уравновешиванием интенсивностей, который называют “режимом биений” (N.V.Kravtsov, E.G.Lariontsev, “Self-modulation oscillations and relaxations processes in solid state ring lasers”. Quantum Electronics, том 24, №10, стр.841-956, 1994, см. также Н.В.Кравцов, Е.Г.Ларионцев, “Автомодуляционные колебания и релаксационные процессы в твердотельных кольцевых лазерах”, Квантовая электроника, том 24, №10, стр.903-918, 1994. Это серьезное физическое препятствие до настоящего времени в значительной мере сдерживало разработку твердотельных лазерных гироскопов.
Одно из технических решений, применяемых для устранения данного недостатка, заключается в ослаблении эффектов конкуренции между встречными модами в твердотельном кольцевом лазере за счет внесения в лазерный резонатор оптических потерь, зависящих от направления распространения оптической моды и ее интенсивности. В основу положен принцип модуляции таких потерь при помощи устройства обратной связи в соответствии с разностью интенсивностей двух излучаемых мод в пользу более слабой моды и в ущерб другой из двух мод таким образом, чтобы приводить интенсивность обеих встречных мод к общему значению.
В 1984 году было предложено устройство обратной связи, в котором потери создавали при помощи оптического блока, в основном состоящего из элемента с непостоянным эффектом Фарадея и поляризующего элемента (A.V.Dotsenko, E.G.Lariontsev, “Use of a feedback circuit for the improvement of the characteristics of a solid-state ring laser”. Soviet Journal of Quantum Electronics, том 14, №1, стр.117-118, 1984 и A.V.Dotsenko, L.S.Komienko, N.V.Kravtsov, E.G.Lariontsev, O.E.Nanii, A.N.Shelaev, “Use of a feedback loop for the stabilization of a beat regime in a solid-state ring laser”. Soviet Journal of Quantum Electronics, том 16, №1, стр.58-63, 1986).
Принцип работы этого устройства обратной связи иллюстрируется на фиг.1. Он заключается в том, что в кольцевой резонатор 1, состоящий из трех зеркал 11, 12 и 13 и активной среды 19, вводят оптический блок, который помещают на пути распространения встречных мод 5 и 6, при этом названный блок состоит из поляризующего элемента 71 и оптического стержня 72, обладающего эффектом Фарадея, на который навита индукционная катушка 73. На выходе резонатора оптические моды 5 и 6 поступают в измерительный фотодиод 3. Одну часть лучей 5 и 6 отводят при помощи двух полуотражающих пластин 43 и направляют на два фотодетектора 42. Выходные сигналы названных фотодетекторов характеризуют интенсивность излучения двух встречных мод 5 и 6. Названные сигналы передают в электронный модуль 4 обратной связи, который вырабатывает электрический ток, пропорциональный разности интенсивностей излучения двух оптических мод. Этот электрический ток определяет величину потерь, понесенных каждой из встречных мод 5 и 6. Если один из лучей имеет более высокую интенсивность излучения, чем другой, его интенсивность будет ослаблена в большей степени, чтобы на выходе лучи имели одинаковый уровень интенсивности. Таким образом достигается стабилизация режима двунаправленной генерации по интенсивности.
Твердотельный лазерный гироскоп может работать по этому принципу только в том случае, если параметры устройства обратной связи согласованы с динамическими характеристиками системы. Чтобы устройство обратной связи могло обеспечивать верные результаты, должны быть выполнены три условия:
– дополнительные потери, вносимые в резонатор устройством обратной связи, по величине должны быть того же порядка, что и собственные потери в резонаторе (внутрирезонаторные потери);
– для удовлетворительной работы устройства обратной связи скорость реакции устройства обратной связи должна быть выше скорости изменения интенсивностей излучаемых мод;
– наконец, сила обратной связи такого устройства должна быть достаточной для того, чтобы возникающий в резонаторе эффект компенсировал изменения интенсивностей.
Для определения комплексных амплитуд Е1,2 полей встречных оптических мод используются уравнения Максвелла-Блоха, а также плотность N инверсии населенностей. Их получают при помощи модели промежуточного типа (N.V.Kravtsov, E.G.Lariontsev, “Self-modulation oscillations and relaxations processes in solid state ring lasers”, Quantum Electronics, том 24, №10, стр.841-956, 1994).
Эти уравнения имеют следующий вид:
Уравнение 1: dE1,2/dt=-( /2Q1,2)E1,2+i(m1,2/2)Е2,1±i( /2)E1,2+
( /2T)(E1,2 lNdx+E2,1 lNe±2ikxdx)
Уравнение 2: dN/dt=W-(N/T1)-(a/T1)N|Е1e-ikx+Е2eikx|2
где:
индексы 1 и 2 обозначают две встречные оптические моды;
– частота излучения лазера без учета эффекта Саньяка;
Q1,2 – коэффициенты добротности резонатора в двух направлениях распространения;
m1,2 – коэффициенты обратного рассеяния резонатора в двух направлениях распространения;
– эффективное сечение лазерного излучения;
l – длина проходимой излучением усиливающей среды;
Т=L/c – время распространения каждой моды резонатора;
k=2 / – норма волнового вектора;
W – скорость накачки;
T1 – время жизни возбужденного уровня и
а – параметр насыщения, равен 
Правая часть уравнения 1 состоит из четырех членов. Первый член уравнения соответствует изменению поля вследствие потерь в резонаторе, второй член соответствует изменению поля в результате обратного рассеяния одной моды в направлении другой моды в присутствии рассеивающих элементов внутри резонатора, третий член соответствует изменению поля под влиянием эффекта Саньяка и четвертый член соответствует изменению поля из-за присутствия активной среды. Четвертый член уравнения состоит их двух компонентов, первый из которых соответствует вынужденному излучению, а второй соответствует обратному рассеянию одной моды в направлении другой моды в присутствии решетки инверсии населенностей в активной среде.
Правая часть уравнения 2 состоит из трех членов, первый из которых соответствует изменению плотности инверсии населенностей вследствие оптической накачки, второй член соответствует изменению плотности инверсии населенностей в результате индуцированного излучения, и третий член соответствует изменению плотности инверсии населенностей вследствие самопроизвольного излучения.
Следовательно, средние потери PC, относящиеся к самому резонатору, после полного оборота оптической моды составляют:
PC= T/2Q1,2 согласно первому члену правой части уравнения 1.
Потери РF, вносимые устройствами обратной связи, должны быть того же порядка величины, что и эти средние потери PC. Обычно такие потери составляют порядка 1 процента.
Скорость реакции устройства обратной связи можно охарактеризовать шириной полосы пропускания этого устройства. С использованием уравнений 1 и 2 было продемонстрировано (A.V.Dotsenko, E.G.Lariontsev, “Use of a feedback circuit for the improvement of the characteristics of a solid-state ring laser”. Soviet Journal of Quantum Electronics, том 14, №1, стр.117-118, 1984 и A.V.Dotsenko, L.S.Komienko, N.V.Kravtsov, E.G.Lariontsev, O.E.Nanii, A.N.Shelaev, “Use of a feedback loop for the stabilization of a beat regime in a solid-state ring laser”. Soviet Journal of Quantum Electronics, том 16, №1, стр.58-63, 1986), что достаточное условие для установления устойчивого режима двунаправленной генерации свыше скорости вращения можно записать в следующем виде:
>> /[Q1,2( T1)2],
где =(W-Wпорог)/W, а соответствует относительной скорости накачки свыше пороговой величины Wпорог.
Для примера, при относительной скорости накачки , равной 10%, оптической частоте , равной 18×1014, коэффициенте добротности Q1,2, равном 107, разности частот  , составляющей 15 кГц, и времени жизни возбужденного состояния T1, составляющем 0,2 мс, ширина полосы пропускания должна превышать 40 кГц.
Для точной работы контура обратной связи необходимо также удовлетворить следующему отношению:
( T1)2>>1.
Обычно силу обратной связи q устройства обратной связи определяют следующим образом:
q=[(Q1-Q2)/(Q1+Q2)]/[(I2-I1)/(I2+I1)],
где I1 и I2 – интенсивности излучения двух встречных мод.
Для применения данного типа было показано, что для точной работы устройства обратной связи параметр q должен превышать 1/( T1)2.
Задачей настоящего изобретения является создание стабилизирующего устройства для твердотельного лазерного гироскопа, которое содержит систему обратной связи, вносящую оптические потери, зависящие от направления распространения излучения, с использованием явления дифракции световой волны на акустической волне. Это решение отличается рядом существенных преимуществ по сравнению с известными устройствами. Его отличает простота реализации, поскольку в резонатор необходимо ввести компонент лишь одного типа, а конкретные конструктивные схемы позволяют регулировать затухание каждой из встречных мод практически независимо от другой моды.
В соответствии с вышеизложенным в изобретении предлагается лазерный гироскоп, имеющий по меньшей мере кольцевой оптический резонатор, содержащий по меньшей мере три зеркала, твердотельную активную среду и систему обратной связи, причем резонатор и активная среда обеспечивают существование внутри оптического резонатора двух встречных оптических мод, распространяющихся в противоположных друг другу направлениях, а система обратной связи поддерживает интенсивности двух встречных мод практически одинаковыми. Отличительной особенностью является то, что система обратной связи содержит
по меньшей мере первый и второй акустооптические модуляторы, расположенные внутри резонатора и включающие по меньшей мере одну среду оптического взаимодействия, расположенную на пути распространения встречных оптических мод, и пьезоэлектрический преобразователь, возбуждающий в среде оптического взаимодействия периодическую акустическую волну,
первое электронное средство для возбуждения первой акустической волны и управления первым акустооптическим модулятором и второе электронное средство для возбуждения второй акустической волны и управления вторым акустооптическим модулятором.
В частных вариантах осуществления первое электронное средство и второе электронное средство подают акустическую мощность разных уровней. Акустическая волна, возбуждаемая в первом акустооптическом модуляторе, имеет первую частоту, а акустическая волна, возбуждаемая во втором акустооптическом модуляторе, имеет вторую частоту, отличающуюся от первой частоты.
Первый акустооптический модулятор и второй акустооптический модулятор могут быть установлены антипараллельно по обе стороны встречных оптических мод.
В изобретении также предлагается лазерный гироскоп, имеющий по меньшей мере кольцевой оптический резонатор, содержащий по меньшей мере три зеркала, твердотельную активную среду и систему обратной связи, причем резонатор и активная среда обеспечивают существование внутри оптического резонатора двух встречных оптических мод, распространяющихся в противоположных друг другу направлениях, а система обратной связи поддерживает интенсивности двух встречных мод практически одинаковыми. Отличительной особенностью является то, что система обратной связи содержит по меньшей мере один акустооптический модулятор, расположенный внутри резонатора и включающий по меньшей мере одну среду оптического взаимодействия, расположенную на пути распространения встречных оптических мод, и пьезоэлектрический преобразователь, возбуждающий в среде оптического взаимодействия периодическую акустическую волну, причем активная среда и среда оптического взаимодействия представляют собой одну и ту же среду, резонатор является монолитным и встречные моды распространяются внутри резонатора только в твердом материале, а пьезоэлектрический преобразователь установлен на одной из поверхностей монолитного резонатора.
В частных вариантах осуществления указанная поверхность также используется в качестве отклоняющего зеркала для встречных оптических мод. Монолитный резонатор включает средства ослабления акустических волн, обеспечивающие только однократное взаимодействие этих волн со встречными оптическими модами. Указанные средства ослабления акустических волн представляют собой по меньшей мере одно отверстие в резонаторе, расположенное в направлении распространения излучаемых акустических волн.
Предлагаемый лазерный гироскоп может быть выполнен трехосным и чувствительным к скоростям поворота относительно трех взаимно перпендикулярных осей.
Для лучшего понимания изобретения и других его преимуществ изобретение рассмотрено ниже на примере варианта, не ограничивающего возможностей осуществления изобретения, со ссылкой на приложенные чертежи, на которых показано:
на фиг.1 показан принцип работы известного из уровня техники устройства обратной связи,
на фиг.2 – общий принцип дифракции с использованием акустооптического модулятора,
на фиг.3а и 3б – построение волновых векторов волн, дифрагированных акустооптическим модулятором в прямом и обратном направлениях распространения,
на фиг.4а и 4б – эффективности дифракции в зависимости от угла падения и от частоты,
на фиг.5 – сравнение дифракционных потерь двух встречных оптических мод,
на фиг.6 – общая схема предлагаемого в изобретении лазерного гироскопа,
на фиг.7а и 7б – первый и второй альтернативные варианты осуществления предлагаемого в изобретении устройства с двумя акустооптическими модуляторами,
на фиг.8 – монолитный лазерный резонатор с предлагаемым в изобретении устройством,
на фиг.9 – альтернативный вариант осуществления предыдущего устройства.
Как показано на фиг.2, акустооптический модулятор 2 содержит главным образом пьезоэлектрический блок 22, расположенный напротив прозрачной для светового излучения среды 21 взаимодействия. Пьезоэлектрический блок возбуждает ультразвуковые волны, которые изменяют механические и оптические свойства среды взаимодействия. Точнее, в среде происходит периодическая модуляция оптического показателя, в результате чего эта среда ведет себя как оптическая дифракционная решетка. Когда световой луч F проходит через акустооптический модулятор 2, часть его энергии теряется в результате дифракции. Энергия дифрагированного луча D является максимальной при определенном направлении падающего луча относительно акустической волны, которое называют брэгговским углом падения. Взаимодействие между этими двумя волнами моделируется упругим взаимодействием двух фотонов. Эта взаимодействие подчиняется законам сохранения энергии и сохранения импульса.
Обычные отношения для получения характеристик дифрагированного луча, как правило, формулируют, пренебрегая в уравнении сохранения импульса сдвигом частоты дифрагированной волны относительно падающей волны. При этом невозможно показать потери, зависящие от направления распространения оптических мод, поскольку задача становится симметричной.
Если принять во внимание такой сдвиг (R.Roy, P.A.Schuiz и A.Walther, Opt. Lett. 12, 672 (1987) и J.Neev, F.V.Kowalski, Opt. Lett. 16, 378 (1991)), видно, что условие Брэгга для двух встречных мод различно. Иными словами, для двух встречных мод дифракционные потери различаются. Это различие потерь невелико, но достаточно, чтобы создать систему обратной связи для управления встречными оптическими модами.
Световую волну обычно характеризует ее волновой вектор k, угловая частота и длина волны .
Пусть падающая волна распространяется в заданном направлении, условно принятом за положительное, имеет волновой вектор и длину волны O, указанная волна имеет угол падения , соответствующий падению под углом Брэгга на среду взаимодействия с оптическим показателем n, в которой распространяется акустическая волна с волновым вектором , скоростью распространения Vs, длиной волны S и угловой частотой S. Как показано на фиг.3а, в среде взаимодействия в направлении возникает дифрагированная волна с волновым вектором .
Таким образом, можно записать следующие уравнения:
и при , и kSVS= S,
где с – скорость света, , и ks – нормы соответствующих волновых векторов.
Спроецировав уравнение на ось Ох, перпендикулярную направлению , получим следующее уравнение:

Поскольку дифрагированная волна в результате взаимодействия с акустической волной сдвигается по частоте, отличается от и, следовательно, угол падения отличается от угла дифракции , как показано на фиг.3, где это различие для наглядности показано значительно преувеличенным.
Спроецировав уравнение на ось Oy, параллельную , получим следующее уравнение:

Возведением в квадрат уравнений 1 и 2 получим:


после чего сложение этих двух уравнений дает:



Для падающей волны, которая распространяется в противоположном направлении, условно принятом за отрицательное (фиг.3б), и имеет волновой вектор и длину O, последовательно получаем следующие уравнения:
и при , и kSVS= S


Пользуясь тем же способом, что и выше, последовательно получаем:


,
что дает эквивалентное уравнение для встречной волны:

Эти два уравнения также можно записать в упрощенном виде:

Таким образом, разность брэгговских углов падения составит:

Поскольку частоты дифрагированных волн отличаются от частот падающих волн, те два направления, в которых дифракция максимальна, не совпадают. Следовательно, имеет место невзаимный эффект, позволяющий создавать дифференциальные потери.
При наличии эффекта Саньяка две встречные волны имеют сходные частоты, что позволяет записать:
,
в результате чего предыдущее уравнение можно преобразовать:

Данное уравнение можно выразить по-разному в зависимости от того, является ли модулятор изотропным.
Если модулятор является изотропным и имеет показатель n, то:
– рассматриваемые углы малы;
– принцип сохранения энергии дает:
при и kSVS= S, т.е. 
при и kSVS= S, т.е. 
– частоты являются сходными, их можно принять за равные в тех членах, где отсутствует их разность. Таким образом:

Следовательно, уравнение 4 можно переписать в следующий вид:


Таким образом, разность между направлениями, в которых дифракция максимальна в направлении распространения, зависит от отношения скорости акустической волны к скорости света в модуляторе. Следовательно:



и так далее.
Итак, обычный брэгговский угол падения соответствует углу падения посередине между и .
В случае анизотропного модулятора уравнения 1, 2 и 4 остаются в силе. Однако углы необязательно будут малы, а уравнения сохранения энергии будут различаться.
Например, для одноосного кристалла с оптическим показателем преломления обыкновенной волны nо и оптическим показателем преломления необыкновенной волны ne, в случае, когда акустическая волна и две падающие волны поляризованы вдоль оси с показателем преломления необыкновенной волны nе, а дифрагированные волны линейно поляризованы вдоль оси с показателем преломления обыкновенной волны nо, получаем следующее уравнение сохранения энергии:
при , и kSVS= S
Это дает:


при , и kSVS= S
Отсюда получим:


Поэтому уравнение 4 можно переписать в виде:

Таким образом, поведение модулятора соответствует поведению двулучепреломляющего одноосного материала, для углов падения которого дифракция имеет максимальное значение, отличающееся и зависящее от показателей преломления обыкновенной и необыкновенной волны. Как и в случае с изотропным материалом, это различие порождает неодинаковые потери в направлениях распространения волн.
Приведенные выше уравнения относятся к дифракции первого порядка, когда в упругом фотон-фононном рассеянии участвует только один акустический фонон. Однако можно также создать аналогичные уравнения для упругого рассеяния, в котором участвуют несколько фононов.
В конкретном случае коллинеарного взаимодействия в анизотропной или двулучепреломляющей среде, т.е. в среде, в которой все различные волновые векторы имеют одно направление, можно рассчитать изменения частоты встречных волн.
Например, в случае анизотропного модулятора при наличии одной акустической волны и двух падающих волн, поляризованных вдоль оси с показателем преломления необыкновенной волны nе, который принят за меньший показатель, чем показатель преломления обыкновенной волны nо, и дифрагированных волн, линейно поляризованных вдоль оси с показателем преломления обыкновенной волны nо, получаем следующее уравнение сохранения энергии и сохранения импульса:
при и 
при этом векторы указаны в системе, проиллюстрированной на фиг.3а и 3б. В результате для волны, распространяющейся в положительном направлении, получаем:
т.е. 

В случае распространения волны в обратном направлении получаем:
при и 
и, следовательно:
т.е. 

Поскольку частоты в двух направлениях отличаются, в данном случае опять же существует невзаимный эффект.
Потери и вносимые акустической волной с интенсивностью IA, которая на протяжении длины l взаимодействует с оптической волной, распространяющейся в модуляторе в прямом (положительном) направлении и в противоположном (обратном) направлении, могут быть выражены в виде следующей зависимости от угла падения:

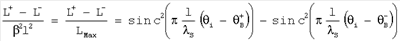
где sinc(A) – это затухающий синус функции А, а , где М является показателем качества. Следовательно: (где р означает коэффициент фотоупругости, а означает плотность материала оптического взаимодействия), при условии, что и что акустическая мощность остается небольшой, что и происходит при заданном применении.
На фиг.4а показан общий вид потерь L± как функция угла падения ±. Потери достигают максимума при брэгговском угле падения . Полную ширину на полувысоте максимума  1/2, выводим из уравнения:
 1/2=0.89 S/l.
L– имеет такую же форму, как и L+, но смещена по углу падения.
Этот эффект положен в основу принципа работы предлагаемого в изобретении устройства. Таким образом, при заданном угле падения происходят различные потери в направлении поворота оптических мод. При изменении угла падения потери изменяются по-разному, что позволяет приводить интенсивность мод к общему значению. В направлениях распространения могут создаваться разные потери, возрастающие по мере смещения кривых.
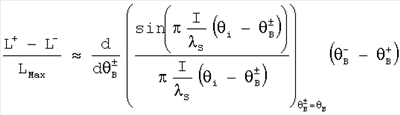
Приведенную разность потерь L=L+-L– описывают следующим уравнением:

Поскольку углы и близки к B, в результате разложения, ограниченного первым порядком, получаем:

т.е. 
Поскольку:
то:

Данная разность максимальна при i– B=±0.415 S/l и поэтому:

(W.A.Clarkson, А.В.Neilson и D.C.Hanna, “Explanation of the mechanism for acousto-optically induced unidirectional operation of a ring laser”, Opt. Lett, 17, 601 (1992); W.A.Clarkson, A.B.Neilson и D.C.Hanna, “Unidirectional operation of a ring laser via the acoustooptic effect”, IEEE J.Q.E 32, 311 (1996)).
Полная ширина на полувысоте максимума потерь L± равна:
 1/2=0.89 S/l=0.89VS/lfS.
Чувствительность системы повышается с увеличением отношения разности  B углов падения и к  1/2. Таким образом:

Оптимизированный модулятор работает на максимально возможной частоте и имеет максимально возможную длину взаимодействия. Материалы с высокими оптическими показателями, которые увеличивают это отношение, следует рассматривать в каждом конкретном случае, поскольку они обычно обладают значительными рассеивающими свойствами.
Длиной S акустической волны также можно варьировать, изменяя частоту модуляции f, выдаваемую пьезоэлектрическим блоком. Изменение частоты, которую подают на пьезоэлектрический блок модулятора, приводит к изменению угла, при котором дифракция максимальна, на величину, пропорциональную этой разности частот. Следовательно, эффект изменения частоты, подаваемой на модулятор, аналогичен эффекту его поворота, в результате чего изменяется эффективность дифракции. В данном случае при заданном угле падения потери меняются в зависимости от данной модулирующей частоты, как это показано на фиг.4б. Следовательно:
и 
где fB ± соответствует частоте, которая обеспечивает максимальные потери. На данной частоте угол падения волны на модулятор является брэгговским углом падения.
Изменения ( fS)B и ( fS)1/2, которые соответствуют угловым диапазонам  B и соответственно, связывают между собой выражением:

Как показано выше, если поместить акустооптическое устройство на пути распространения двух встречных мод, дифракционные потери будут переменными в зависимости от направления распространения. Существуют два способа использования предлагаемого в изобретении устройства для того, чтобы создать систему обратной связи для внесения в каждый из двух оптических лучей разных потерь. Один из них заключается в изменении угла падения, а другой в изменении частоты акустооптического устройства. Для изменения угла падения необходимы механические устройства, согласуемые по вращению. Для изменения же частоты используют чисто электронные средства. Таким образом, посредством схемы управления, чувствительной к разности интенсивностей I+ и I– двух встречных мод, регулируют частоту, подаваемую на модулятор, давая преимущество более слабой волне и тем самым обеспечивая стабильное двунаправленное излучение.
На фиг.5 показан случай осуществления изобретения, являющийся особенно целесообразным. В данном случае ширина дифракционной картины аналогична разности между и . Рабочая точка, соответствующая подаваемой частоте, равной fB, находится в идеальном положении, поскольку:
– потери сведены к минимуму, и
– тангенс угла наклона в данной точке является максимальным, что оптимизирует чувствительность и линеаризует систему.
Как показано на фиг.5, любое изменение частоты значительно повышает потери в одной моде и уменьшают в другой, распространяющейся в противоположном направлении.
Если смещение кривых не столь велико, механизм обратной связи является более сложным для реализации, поскольку для того, чтобы обеспечить достаточную разность между потерями, необходимо выйти за экстремум одной из двух кривых. При выходе за экстремум система становится нелинейной.
Следует отметить, что мощность сигнала, подаваемого на модулятор, является низкой и значительно уступает мощности, необходимой для возбуждения лазера (лазерного затвора) или блокирования синфазных оптических мод. Преимущество данного устройства также заключается в его способности легко регулировать абсолютное значение потерь путем изменения мощности акустической волны. Предпочтительно, чтобы две встречные волны проходили максимально близко к тому краю модулятора, с которого возбуждается акустическая волна, для уменьшения запаздывания из-за распространения акустической волны до оптических мод.
При осуществлении изобретения возможны различные варианты.
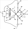
В первом варианте на основе обратной связи по частоте лазерный гироскоп состоит из отдельных компонентов, показанных на фиг.6. Таким образом, резонатор состоит из набора зеркал 11, 12, 13 и 14, образующих кольцо. Как показано на фиг.6, зеркала расположены по четырем углам четырехугольника. Очевидно, что эта компоновка конструкции приведена в качестве примера и может применяться любая другая конструкция, известная специалистам в данной области техники. Резонатор включает активную среду 19, которая может представлять собой кристалл алюмоиттриевого граната (АИГ), легированного неодимом, или любую другую среду, генерирующую в оптическом диапазоне. Также предусмотрен модулятор 2, управляемый устройством 4 обратной связи и соединенный с датчиками 42. Модулятор 2 включает среду 21 оптического взаимодействия и пьезоэлектрический преобразователь 22. Акустические волны, возбуждаемые преобразователем, могут представлять собой поперечные или продольные волны. В резонаторе распространяются две встречные оптические моды 5 и 6. При вращении лазера между ними возникает частотный сдвиг, обусловленный эффектом Саньяка. Часть этих двух мод проходит через зеркало 13 и воссоединяется на фотодатчике 3 при помощи полуотражающих пластин 43. Сигнал на выходе данного фотодатчика служит показателем скорости вращения устройства. Полуотражающие пластины 43 пропускают часть мод 5 и 6 на датчики 42, связанные с устройством 4 обратной связи. Разность между двумя интенсивностями на выходе двух датчиков служит для управления контуром обратной связи. В акустооптический модулятор подается сигнал, частота которого регулируется таким образом, чтобы снижать дифракционные потери в моде меньшей интенсивности и повышать их в моде большей интенсивности.
В другом варианте осуществления изобретения в резонатор помещено предпочтительно несколько модуляторов, чтобы регулировать интенсивность двух волн, как это показано на фиг.7а и 7б.
Такая компоновка предпочтительна, если устройство работает на высокой частоте. Это объясняется тем, что с увеличением частоты потери возрастают. Выше определенного значения длина l взаимодействия между оптическими волнами и акустической волной уменьшается, поскольку для того, чтобы пьезоэлектрические блоки возбуждали акустическую волну на нужной частоте, их размеры должны все уменьшаться. Также увеличивается расхождение акустических волн, тем самым, способствуя уменьшению длины взаимодействия. Следовательно, увеличением числа модуляторов достигается увеличение длины взаимодействия (фиг.7б).
В другом предпочтительном варианте осуществления изобретения два пьезоэлектрических блока размещены по обе стороны модулятора, как это показано на фиг.7а. Блоки могут быть смещены относительно друг друга таким образом, чтобы препятствовать интерференции акустических волн. Преимущество данной геометрии заключается в том, что каждая акустическая волна преимущественно взаимодействует со своей волной. В идеальном случае, когда модуляторы возбуждают два параллельных акустических столба, интенсивность регулируют посредством мощности каждой акустической волны. Если акустические столбы не параллельны из-за дефекта при изготовлении среды взаимодействия или из-за того, как установлены блоки, в каждый модулятор подают сигнал на своей частоте, чтобы уравнять разностные потери (в абсолютной величине) при одинаковых или близких акустических мощностях. Частоты для использования выбирают таким образом, чтобы вызывать оптимальные потери, то есть, скажем, первый блок создает большие потери у одной волны и небольшие потери у другой волны, распространяющейся во встречном направлении, а второй блок действует противоположным образом. Следовательно, потери у каждой волны регулируют отдельно, тогда как в устройстве только с одним акустооптическим модулятором необходимо одновременно воздействовать на оптические волны.
В проиллюстрированном на фиг.8 втором варианте осуществления изобретения резонатор, выполненный из отдельных компонентов, заменен монолитным резонатором, изготовленным, например, из куска кристалла алюмоиттриевого граната (АИГ). Одна грань 13 кристалла служит выходным зеркалом, а остальные грани 11, 12, 14 способны идеально отражать, при этом одна из них может быть обработана таким образом, чтобы способствовать линейной поляризации света. Акустическая волна может возбуждаться непосредственно, например, при помощи расположенного с одной стороны резонатора пьезоэлектрического блока 22 или любого иного средства, известного специалистам в данной области техники.
Вместе с тем, в подобном варианте осуществления изобретения необходимо исключить ситуацию, когда при одном обходе резонатора волна взаимодействует с акустическим столбом дважды, поскольку в этом случае разность потерь сошла бы на нет. В данном случае легко увидеть, что две волны, каждая из которых попадает в акустический столб дважды, один раз в одном направлении и второй раз в другом направлении, претерпевают одинаковые потери, и невзаимный эффект исчезает. Поэтому акустическую волну ослабляют, или задерживают, например, при помощи отверстия или нескольких отверстий 23 в резонаторе (фиг.8) или при помощи любого другого приспособления, поглощающего акустическую волну.
Пьезоэлектрический блок также может быть размещен на одной из граней резонатора, как это показано на фиг.9.
Одно из преимуществ данной конфигурации заключается в возможности создания так называемого трехосного лазерного гироскопа, чувствительного к скоростям вращения относительно трех взаимно перпендикулярных осей, например, за счет применения полиэдральной геометрии, разработанной для гелий-неоновых лазерных гироскопов.
Формула изобретения
1. Лазерный гироскоп, имеющий по меньшей мере кольцевой оптический резонатор (1), содержащий по меньшей мере три зеркала (11, 12, 13), твердотельную активную среду (19) и систему (4, 42, 43) обратной связи, причем резонатор (1) и активная среда (19) обеспечивают существование внутри оптического резонатора двух встречных оптических мод (5, 6), распространяющихся в противоположных друг другу направлениях, а система обратной связи поддерживает интенсивности двух встречных мод практически одинаковыми, отличающийся тем, что система обратной связи содержит по меньшей мере первый и второй акустооптические модуляторы (2), расположенные внутри резонатора и включающие по меньшей мере одну среду (21) оптического взаимодействия, расположенную на пути распространения встречных оптических мод, и пьезоэлектрический преобразователь (22), возбуждающий в среде оптического взаимодействия периодическую акустическую волну, первое электронное средство для возбуждения первой акустической волны и управления первым акустооптическим модулятором и второе электронное средство для возбуждения второй акустической волны и управления вторым акустооптическим модулятором.
2. Лазерный гироскоп по п.1, отличающийся тем, что первое электронное средство и второе электронное средство подают акустическую мощность разных уровней.
3. Лазерный гироскоп по п.2, отличающийся тем, что акустическая волна, возбуждаемая в первом акустооптическом модуляторе, имеет первую частоту, а акустическая волна, возбуждаемая во втором акустооптическом модуляторе, имеет вторую частоту, отличающуюся от первой частоты.
4. Лазерный гироскоп по п.1, отличающийся тем, что первый акустооптический модулятор и второй акустооптический модулятор установлены антипараллельно по обе стороны встречных оптических мод.
5. Лазерный гироскоп по любому из предыдущих пунктов, отличающийся тем, что он выполнен трехосным и чувствителен к скоростям поворота относительно трех взаимно перпендикулярных осей.
6. Лазерный гироскоп, имеющий по меньшей мере кольцевой оптический резонатор (1), содержащий по меньшей мере три зеркала (11, 12, 13), твердотельную активную среду (19) и систему (4, 42, 43) обратной связи, причем резонатор (1) и активная среда (19) обеспечивают существование внутри оптического резонатора двух встречных оптических мод (5, 6), распространяющихся в противоположных друг другу направлениях, а система обратной связи поддерживает интенсивности двух встречных мод практически одинаковыми, отличающийся тем, что система обратной связи содержит по меньшей мере один акустооптический модулятор (2), расположенный внутри резонатора и включающий по меньшей мере одну среду (21) оптического взаимодействия, расположенную на пути распространения встречных оптических мод, и пьезоэлектрический преобразователь (22), возбуждающий в среде оптического взаимодействия периодическую акустическую волну, причем активная среда (19) и среда (21) оптического взаимодействия представляют собой одну и ту же среду, резонатор является монолитным и встречные моды распространяются внутри резонатора только в твердом материале, а пьезоэлектрический преобразователь установлен на одной из поверхностей монолитного резонатора.
7. Лазерный гироскоп по п.6, отличающийся тем, что указанная поверхность также используется в качестве отклоняющего зеркала для встречных оптических мод.
8. Лазерный гироскоп по п.6, отличающийся тем, что монолитный резонатор включает средства ослабления акустических волн, обеспечивающие только однократное взаимодействие этих волн со встречными оптическими модами.
9. Лазерный гироскоп по п.8, отличающийся тем, что указанные средства ослабления акустических волн представляют собой по меньшей мере одно отверстие в резонаторе, расположенное в направлении распространения излучаемых акустических волн.
10. Лазерный гироскоп по любому из предыдущих пунктов, отличающийся тем, что он выполнен трехосным и чувствителен к скоростям поворота относительно трех взаимно перпендикулярных осей.
РИСУНКИ
|
|