|
|
(21), (22) Заявка: 2005118987/15, 05.11.2003
(24) Дата начала отсчета срока действия патента:
05.11.2003
(30) Конвенционный приоритет:
16.11.2002 DE 10253447.0
(43) Дата публикации заявки: 20.01.2006
(46) Опубликовано: 27.03.2009
(56) Список документов, цитированных в отчете о поиске:
JP 04-057865 A, 25.02.1992. JP 2000-160090 A, 13.06.2000. ВОЮЦКИЙ С.С. Курс коллоидной химии. – М.: Химия, 1964, с.325. US 5538548 А, 23.07.1996. SU 1029603 A1, 15.06.1994. GB 1177578 A, 14.01.1970. US 3687887 A, 29.08.1972. US 5035970 A, 30.07.1991. US 5164282 A, 17.11.1992. US 5609671 A, 11.03.1997. WO 96/18688 A1, 20.06.1996. ЕР 0297839 А2, 04.01.1989.
(85) Дата перевода заявки PCT на национальную фазу:
16.06.2005
(86) Заявка PCT:
EP 03/12345 (05.11.2003)
(87) Публикация PCT:
WO 2004/046256 (03.06.2004)
Адрес для переписки:
101000, Москва, М. Златоустинский пер., 10, кв.15, “ЕВРОМАРКПАТ”, пат.пов. Н.В.Кузенковой
|
(72) Автор(ы):
ЦОХ Хайнц (DE), КАЛЬБИТЦ Вернер (DE), ЛЮДТКЕ Штефан (DE), ЛЮТГЕ Томас (DE), МАКИНТОШ Ральф (DE), ТАУБЕР Герд (DE)
(73) Патентообладатель(и):
ДЕГУССА АГ (DE)
|
(54) ВОДНАЯ КОЛЛОИДНАЯ СУСПЕНЗИЯ ГАЗОВОЙ САЖИ
(57) Реферат:
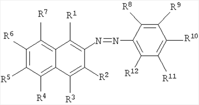
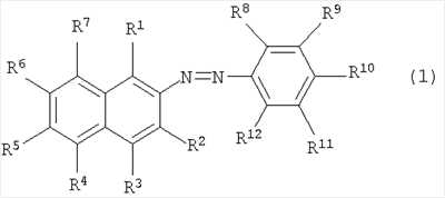
Изобретение может быть использовано при получении красок, покрытий для поверхностей, чернил для струйной печати. Водная коллоидная суспензия газовой сажи, содержащая: газовую сажу, воду и азосоединение общей формулы 1

где R1-R12 могут быть одинаковыми или разными и обозначают акцепторные заместители или фрагменты алифатических, ароматических шестичленных систем, обладающих акцепторными, донорными, гидрофильными или гидрофобными группами. Газовая сажа обладает содержанием летучих веществ (950°С) менее 21 мас.%, удельной поверхностью по БЭТ 80-350 м2/г, показателем ДБФ 40-200 мл/100 г и размером первичных частиц 8-40 нм. Водная коллоидная суспензия может дополнительно содержать биоциды, смачивающие вещества и добавки – спирт, гликоль, гетероциклическое соединение или глицерин. Водную коллоидную суспензию газовой сажи получают диспергированием газовой сажи и азосоединения общей формулы 1 в воде. Изобретение позволяет увеличить оптическую плотность на материалах-носителях, например бумаге, обеспечивает низкое значение дзета-потенциала и высокое поверхностное натяжение. 5 н. и 12 з.п. ф-лы, 4 табл., 1 ил.
Настоящее изобретение относится к водной коллоидной суспензии газовой сажи, к способу ее изготовления и к ее применению.
Известно применение водных коллоидных суспензий сажи при изготовлении покрытий поверхностей, цветных типографских красок, а также непосредственно в качестве чернил, например, в струйных принтерах (US-A 5085698, US-A 5320668).
Также известно изготовление суспензий сажи с применением красителей, которые одновременно действуют как смачивающие вещества, без прибавления дополнительных смачивающих веществ (US 9911935).
Кроме того, также известно изготовление суспензий сажи с применением растворимых в воде смачивающих веществ, например акриловых смол (US-A 560971) и этоксилатов (DE 19824947 А1).
Известные суспензии сажи, стабилизированные смачивающими веществами, обладают тем недостатком, что при применении неионогенных поверхностно-активных веществ дзета-потенциал является слишком большим и поверхностное натяжение слишком низким, а при применении анионогенных поверхностно-активных веществ бумага смачивается слишком сильно вследствие значительных взаимодействий с покрытием бумаги, которое также является анионогенным, что приводит к низким оптическим плотностям.
Недостатками известных суспензий сажи, стабилизированных красителями, является их недостаточная стабильность при хранении и при замерзании. Когда дисперсии обладают относительно продолжительным сроком годности или хранятся при температурах выше 50°С или ниже 0°С, это приводит к существенному и необратимому повышению вязкости, к повторной агломерации частиц суспендированного пигмента или к полной флокуляции суспензии. Кроме того, при применении печной сажи наблюдается относительно низкая оптическая плотность, что также является существенным недостатком с точки зрения применения.
Задачей настоящего изобретения является разработка водной суспензии газовой сажи, которая обладает высокими оптическими плотностями на материалах-носителях, таких как, например, бумага, низким дзета-потенциалом и высоким поверхностным натяжением.
Настоящее изобретение относится к водной коллоидной суспензии газовой сажи, которая отличается тем, что содержит газовую сажу, азосоединение общей формулы 1

в которой R1-R12 могут быть одинаковыми или разными и обозначают водород, гидрофильные или гидрофобные группы, акцепторные или донорные заместители или фрагменты алифатических, ароматических или гетероароматических, ациклических, циклических или полициклических систем, обладающих акцепторными, донорными, гидрофильными или гидрофобными группами, и воду.
Понятие “коллоидная” означает равномерное распределение частиц диаметром от 10 нм до 10 мкм в диспергирующем веществе.
Для применения в чернилах в зависимости от способа печати для достижения необходимых характеристик, например контрастности печатного изображения, предпочтительной может оказаться низкая вязкость. Низкий дзета-потенциал, определяющий степень заряда частиц в суспензии сажи, является свидетельством хорошей стабильности суспензии. Высокое поверхностное натяжение оказывает положительное влияние, например, на образование капелек при струйной печати. Высокая степень дисперсности имеет первостепенное значение для достижения хорошей стабильности при хранении, для обеспечения хороших цветовых характеристик при использовании и в особенности для предотвращения закупорки сопел при струйной печати.
Газовая сажа может обладать содержанием летучих веществ (950°С), составляющим <21 мас.%, предпочтительно <6 мас.%. Газовая сажа может обладать площадью поверхности БЭТ (определенной по изотерме адсорбции Брунауэра-Эмметта-Теллера), равной от 80 до 350 м2/г. Газовая сажа может обладать размером первичных частиц, равным от 8 до 40 нм, предпочтительно – от 13 до 30 нм, особенно предпочтительно – от 13 до 20 нм. Газовая сажа может обладать показателем адсорбции дибутилфталата (ДБФ), равным от 40 до 200 мл/100 г.
Газовая сажа также может являться смесью различных типов газовой сажи.
В качестве газовой сажи могут применяться, например, цветная сажа FW 200, цветная сажа FW 2, цветная сажа FW 2 V, цветная сажа FW 1, цветная сажа FW 18, цветная сажа S 170, цветная сажа S 160, специальные черные сажи Spezialschwarz 6, Spezialschwarz 5, Spezialschwarz 4, Spezialschwarz 4A, сажи NIPex 150, NIPex 160 IQ, NIPex 170 IQ, NIPex 180 IQ, Printex U, Printex V, Printex 140 U или Printex 140 V, выпускаемые фирмой Degussa AG.
Содержание газовой сажи в водной коллоидной суспензии сажи, предлагаемой в настоящем изобретении, может составлять менее 30 мас.%, предпочтительно – менее 20 мас.%.
Азосоединение общей формулы 1 может содержать в своем составе общую формулу 1 один или большее количество раз. Заместители R1-R12 могут быть незамещенными или замещенными, алифатическими или ароматическими заместителями, такими как фенил, нафтил, или гетероароматическими заместителями, такими как, например, пирролил, пиридинил, фурил и пурил, акцепторными заместителями, такими как -COOR13, -CO-R13, -CN, -SO2R13 и SO2OR13, где R13=Н, катион щелочного металла, аммоний, алкил, арил или содержащий функциональную группу алкил или арил, такой как, например, -карбоксиалкил, HSO3СхНу-, H2N-CxHy, H2N-SO2-CxHy– (x=1-20; у=1-45), донорные заместители, такие как алкильные, арильные группы, OR14, N(R14)2, SR14 или P(R14)2, где R14=Н, алкил, арил или содержащий функциональную группу алкил или арил, олигомеры или полимеры вида -(O-R14)y-OR15, где R15=Н, алкил или арил.
В качестве азосоединения общей формулы 1 могут применяться, например,
, ,
,
,
,
, ,
, ,
или

В качестве азосоединения общей формулы 1 может применяться, например, кислотный черный 1 (C.I. 20470)

протравной зеленый 17 (C.I. 17225) или

протравной синий 13 (C.I. 16680).

Содержание азосоединения общей формулы 1 в водной коллоидной суспензии сажи, предлагаемой в настоящем изобретении, может составлять менее 5 мас.%, предпочтительно – менее 3 мас.%.
Азосоединение общей формулы 1 может содержать менее 30 мас.%, предпочтительно – менее 20 мас.% примесей.
Азосоединение общей формулы 1 может содержать менее 10 мас.%, предпочтительно – менее 5 мас.% соли.
Азосоединения кислотный черный 1, протравной зеленый 17 и протравной синий 13 могут содержать менее 30 мас.% примесей и менее 10 мас.% соли.
Водная коллоидная суспензия газовой сажи, предлагаемая в настоящем изобретении, может содержать биоциды, смачивающие вещества и/или добавки.
Водная коллоидная суспензия газовой сажи, предлагаемая в настоящем изобретении, может содержать биоцид. Биоцид можно прибавлять в количествах от 0,01 до 1,0 мас.%. Их можно применять в виде биоцидных производных изотиазолинона, веществ, с помощью которых отщепляют формальдегид, или в виде комбинированных продуктов обоих этих классов веществ. Например, в качестве биоцида можно применять парметол (продукт фирмы Schülke & Mayr), эботек (продукт фирмы Bode Chemie), актицид (продукт фирмы Thor Chemie) или проксел (продукт фирмы Zeneca).
Также можно применять смачивающие вещества в количествах от 0 до 1 мас.%, предпочтительно – от 0,4 до 0,6 мас.% в пересчете на полное количество суспензии. В качестве смачивающих веществ могут применяться такие классы соединений, как этоксилаты жирных спиртов, полиакриловая кислота и/или ее производные, сополимеры, содержащие акриловую кислоту, производные акриловый кислоты, стиролы, производные стирола и/или простые полиэфиры, лигносульфонаты, алкилбензолсульфонаты, производные нафталинсульфоновой кислоты, сополимеры, содержащие ангидрид малеиновой кислоты и/или производные малеиновой кислоты, или комбинации указанных смачивающих веществ. Сополимеры могут представлять собой статистические или чередующиеся блок-сополимеры или привитые сополимеры. В качестве способствующей диспергированию добавки можно применять, например, Joncryl 678, Joncryl 680, Joncryl 682 или Joncryl 690 (продукты фирмы Johnson Polymer B.V.).
В предпочтительном варианте выполнения в качестве способствующих диспергированию добавок можно применять сополимеры стирола с акриловой кислотой, которые полностью нейтрализованы аммиаком или гидроксидом щелочного металла, предпочтительно – с помощью NaOH.
Для получения суспензии газовой сажи, предлагаемой в настоящем изобретении, также пригодны другие типы смачивающих веществ.
В водную коллоидную суспензию газовой сажи, предлагаемую в настоящем изобретении, можно прибавлять добавки, такие как спирты, например 1,5-пентандиол, гликоли, такие как дипропиленгликоль, гетероциклические соединения, такие как 2-пирролидон, и глицерин.
Содержание добавок в водной коллоидной суспензии газовой сажи, предлагаемой в настоящем изобретении, может составлять менее 25 мас.%, предпочтительно – менее 15 мас.%.
Еще одним объектом настоящего изобретения является способ получения водной коллоидной суспензии газовой сажи, предлагаемой в настоящем изобретении, который отличается тем, что газовую сажу и азосоединение общей формулы 1 диспергируют в воде.
Диспергирование можно проводить с помощью шаровых мельниц, ультразвуковых установок, гомогенизаторов высокого давления, флюидизаторов типа Microfluidizer, аппаратов типа Ultra-Turrax или аналогичного оборудования. После диспергирования водную коллоидную суспензию газовой сажи можно очистить путем центрифугирования и/или фильтрации.
Еще одним объектом настоящего изобретения является применение водной коллоидной суспензии газовой сажи, предлагаемой в настоящем изобретении, в красках, чернилах для струйной печати, покрытиях для поверхностей и цветных типографских красках.
Еще одним объектом настоящего изобретения являются чернила, которые отличаются тем, что они содержат водную коллоидную суспензию газовой сажи, предлагаемую в настоящем изобретении.
Преимущества водных коллоидных суспензий газовой сажи, предлагаемых в настоящем изобретении, заключаются в том, что эти суспензии обеспечивают высокую оптическую плотность печатного изображения, обладают низким дзета-потенциалом, высоким поверхностным натяжением, хорошей стабильностью при хранении и высокой степенью дисперсности.
Примеры:
Получение суспензий сажи:
1. Подготовка к получению суспензий:
Все компоненты кроме сажи помещают в контейнер и при перемешивании гомогенизируют.
В раствор при медленном перемешивании (вручную или с помощью медленного перемешивающего устройства) постепенно прибавляют сажу.
2. Диспергирование
Приготовленную в разделе 1 суспензию диспергируют с помощью ультразвукового устройства. Очень крупные частицы можно отделять от полученной таким путем суспензии в центрифуге.
Состав и свойства сравнительных суспензий и водной коллоидной суспензии газовой сажи 1, предлагаемой в настоящем изобретении, представлены в таблице 1.
| Таблица 1: |
| |
|
Сравнительная суспензия 1 |
Сравнительная суспензия 2 |
Сравнительная суспензия 3 |
Водная коллоидная суспензия газовой сажи, по настоящему изобретению 1 |
| |
|
| NIPex 160 IQ |
% |
– |
– |
– |
15 |
| NIPex 90 |
% |
15 |
15 |
15 |
– |
| Кислотный черный 1 |
% |
1,2 |
2 |
3 |
1,2 |
| Актицидные MBS |
% |
0,3 |
0,3 |
0,3 |
0,3 |
| Деионизированная вода |
% |
83,5 |
82,7 |
81,7 |
83,5 |
| |
|
|
|
|
|
| Консистенция суспензии |
|
твердая |
твердая |
жидкая |
жидкая |
| Степень диспергирования, определение с помощью оптической микроскопии |
|
не прим. |
не прим. |
плохая |
очень хорошая |
| Стабильность при хранении при 50°С в течение 28 дней |
|
не прим. |
не прим. |
осадок |
очень хорошая |
| Оптическая плотность, обеспечиваемая чернилами при использовании для струйной печати: мазки с толщиной красочного слоя 6 мкм на бумаге Data Copy |
|
не прим. |
не прим. |
не прим. |
1,5 |
| “не прим.” = “не применимы” |
NIPex 90 представляет собой высокоструктурированную печную сажу фирмы Degussa AG с размером первичных частиц, равным 14 нм.
NIPex 160 IQ представляет собой газовую сажу фирмы Degussa AG с размером первичных частиц 20 нм.
Актицидные MBS представляют собой биоцид фирмы Thor Chemie.
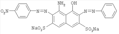
В качестве кислотного черного 1 используют нафтол синий черный, обладающий формулой

фирмы Aldrich Chemical Company, кислотный черный 1 обладает содержанием соли, равным 1,5 мас.%.
Определение содержания соли
Содержание соли в азосоединении представляет собой суммарное количество сульфата натрия, измеренное по концентрации сульфата и пересчитанное на сульфат натрия, и хлорида натрия, измеренное по концентрации хлорида и пересчитанное на хлорид натрия.
Определение концентрации сульфата
Основа методики определения
В качестве разделительной колонки используют ионообменник с низкой пропускной способностью. Элюирование ионов осуществляют с помощью электролитов. Для обнаружения используют детектор проводимости.
Химикаты
Вода высокой чистоты (проводимость <0,1 мкСм/см)
Исходный раствор сульфата w(SO4)=1000 мг/л
Элюент Na2CO3/NaHCO3 (2,2/2,8 ммоль/л)
Аппаратура
Аппарат Tumbler
Ионный хроматограф с детектором проводимости
Ионообменник с низкой пропускной способностью
Принцип исследования
Образцы элюируют водой высокой чистоты в течение 1 ч при комнатной температуре в аппарате Tumbler и методом ионной хроматографии определяют содержание сульфата в элюате.
Проведение исследования
Примерно 200 мг образца отвешивают в закрывающуюся пробирку и в аппарате Tumbler элюируют водой высокой чистоты в течение 1 ч при комнатной температуре. Мерную колбу следует подбирать таким образом, чтобы раствор образца содержал от 0,5 до 40 мг/л SO4 2-.
Исследуемый раствор с помощью шприца с фильтровальной насадкой с размером пор 0,2 мкм впрыскивают в ионный хроматограф. Концентрацию сульфата рассчитывают по измеренной площади пика.
Расчет

где = концентрация исследуемого раствора в мг/л,
V = объем исследуемого раствора в л,
m = отвешенное количество в мг,
100 = коэффициент пересчета в %.

где Mol(SO4 2-) = масса формулы SO4 2-,
Mol(Na2SO4) = молекулярная масса Na2SO4.
Определение концентрации хлорида
Основа методики определения
Для определения содержания хлорида образец суспендируют в воде высокой чистоты.
Концентрацию хлорида определяют по аргентометрической методике.
Химикаты
Вода высокой чистоты (проводимость <0,1 мкСм/см).
Исходный раствор хлорида, с(Cl–)=0,1000±0,0005 моль/л.
Раствор нитрата серебра, c(AgNO3)=0,1 моль/л или 0,01 моль/л.
Азотная кислота w(HNO3)=30%.
Аппаратура
Титропроцессор 670 (Metrohm).
Электрод с серебряным стержнем.
Электрод сравнения (Hg/HgSO4).
Принцип исследования
После приготовления суспензии суспензию подкисляют и титруют нитратом серебра.
Проведение исследования
В стеклянный стакан с точностью до 1 мг отвешивают примерно от 1 до 3 г образца.
После добавления приблизительно 80 мл воды высокой чистоты смесь перемешивают, прилипшее к стенке стакана над уровнем жидкости вещество смывают небольшим количеством воды.
Через 5 мин образец подкисляют азотной кислотой, электроды и кончик бюретки погружают в суспензию и проводят потенциометрическое титрование.
Расчет
Концентрацию хлорида w рассчитывают следующим образом:

где VAg = объем использованного при титровании раствора нитрата серебра в л,
с = молярность раствора нитрата серебра [моль/л],
М = атомная масса хлора, m = масса образца в г,
t = титр раствора нитрата серебра.

где Mol(NaCl) = молекулярная масса NaCl.
Предлагаемая в настоящем изобретении водная коллоидная суспензия газовой сажи 1 обладает низкой вязкостью и обеспечивает высокую оптическую плотность, хорошую стабильность при хранении и высокую степень дисперсности. С использованием трех сравнительных суспензий, полученных из печной сажи, сыпучую суспензию можно получить только из сравнительной суспензии 3 и только путем существенного увеличения количества кислотный черный 1.
На чертеже приведены полученные с помощью оптического микроскопа изображения сравнительной суспензии 3 и предлагаемой в настоящем изобретении водной коллоидной суспензии газовой сажи 1. Сравнительная суспензия 3 обладает большим содержанием крупнозернистых частиц или частично флокулирована и поэтому не соответствует требованиям, предъявляемым к чернилам для струйной печати. С другой стороны, в суспензии газовой сажи 1, предлагаемой в настоящем изобретении, не обнаруживается существенного количества крупнозернистых частиц.
В таблице 2 представлены данные для сравнительных суспензий, к которым прибавлено анионогенное смачивающее вещество (4) и неионогенное смачивающее вещество (5) в сопоставлении данными для с водной коллоидной суспензией газовой сажи 1, предлагаемой в настоящем изобретении.
| Таблица 2: |
| |
|
Сравнительная суспензия 4 |
Сравнительная суспензия 5 |
Водная коллоидная суспензия газовой сажи, по предлагаемому изобретению 1 |
| NIPex 160 IQ |
% |
15 |
15 |
15 |
| Disponil FES 32 IS |
% |
6 |
– |
– |
| Hydropalat 3065 |
% |
– |
5 |
– |
| Кислотный черный 1 |
% |
– |
– |
1,2 |
| АМР 90 |
% |
0,2 |
0,2 |
– |
| Актицидные MBS |
% |
0,3 |
0,3 |
0,3 |
| Деионизированная вода |
% |
78,5 |
79,5 |
83,5 |
| |
|
|
|
|
| Дзета-потенциал |
мВ |
-15 |
-4 |
-35 |
| Поверхностное натяжение |
мН/м |
38 |
44 |
71 |
| Оптическая плотность (мазки с толщиной красочного слоя 6 мкм на бумаге Data Copy) |
|
1,21 |
0,9 |
1,5 |
Disponil FES 32 IS представляет собой анионогенное смачивающее вещество (сульфат полигликолевого эфира жирного спирта, продукт фирмы Cognis).
Hydropalat 3065 представляет собой неионогенное смачивающее вещество (смесь этоксилированных линейных жирных спиртов, продукт фирмы Cognis).
АМР 90 представляет собой 2-амино-2-метил-1-пропанол (продукт фирмы Angus Chemie).
По сравнению с водной коллоидной суспензией газовой сажи 1, предлагаемой в настоящем изобретении, сравнительные суспензии 4 и 5, стабилизированные смачивающим веществом, обладают слишком большим дзета-потенциалом и низким поверхностным натяжением при использовании неионогенных смачивающих веществ (5), а при использовании анионогенных смачивающих веществ (4) наблюдается чрезмерное смачивание бумаги и, следовательно, слишком низкая оптическая плотность вследствие сильного взаимодействия с покрытиями бумаги, которые также являются анионогенными (таблица 2).
В таблице 3 представлены составы и характеристики двух водных коллоидных суспензий газовой сажи 2 и 3, предлагаемых в настоящем изобретении.
| Таблица 3: |
| |
|
Водная коллоидная суспензия газовой сажи 2, предлагаемая в настоящем изобретении |
Водная коллоидная суспензия газовой сажи 3, предлагаемая в настоящем изобретении |
| NIPex 160 IQ |
% |
15 |
15 |
| Кислотный черный 1 |
% |
1,5 |
1,5 |
| IDIS @ solv.pd |
% |
12 |
– |
| Актицидные MBS |
% |
0,3 |
0,3 |
| дистиллированная вода |
% |
71,2 |
83,2 |
| |
|
|
|
| Оптическая микроскопия |
|
1 |
1 |
| Стойкость к замерзанию |
|
да |
нет |
| рН |
|
7,7 |
7,5 |
| Средний размер частиц |
нм |
<100 |
<100 |
| Вязкость при комнатной температуре |
мПа.с |
4,6 |
3,7 |
| Поверхностное натяжение |
мН/м |
68 |
74 |
| Дзета-потенциал |
мВ |
-35 |
не определялся |
| Стабильность при хранении 50°С/7 дней |
мПа.с |
16* |
<10* |
| Стабильность при хранении 50°С/14 дней |
мПа.с |
28* |
13* |
| Стабильность при хранении 50°С/28 дней |
мПа.с |
40* |
22* |
* = отсутствие осадка, отсутствие повторной агломерации. IDIS @ solv.pd=1,3-пропандиол фирмы Degussa AG. |
Исследование степени дисперсности с помощью оптической микроскопии
Степень дисперсности образцов суспензии сажи оценивают при увеличении 400х. При таком увеличении с использованием шкалы микроскопа можно легко обнаружить крупнозернистые частицы размером >1 мкм.
Определение вязкости
Реологические характеристики определяют ротационным методом с регулируемой скоростью сдвига (РСС) с помощью реометра типа Physica Rheometer UDS 200. Значение вязкости считывают при скорости сдвига, равной 1000 с-1.
Определение среднего размера частиц
Распределение частиц по размерам определяют с помощью фотонного корреляционного спектрометра (ФКС) типа Horiba LB-500 и считывают выводимое на дисплей “среднее значение”, которое соответствует среднему размеру частиц. Измерение проводят для образца неразбавленной суспензии.
Определение поверхностного натяжения
Динамическое поверхностное натяжение определяют с помощью пузырькового тензиометра ВР2 фирмы Krüss. Конечное значение считывают при 3000 мс.
Исследование стабильности при хранении при температуре 50°С в течение 28 дней
Образцы хранят в сушильной камере при 50°С в течение 28 дней. Исследуют вязкость и склонность к образованию осадка.
Образцы каждой суспензии по 300 мл хранят в закрытых стеклянных бутылках в сушильной камере при 50°С в течение 28 дней. Образование донного осадка проверяют шпателем, а вязкость определяют с помощью вискозиметра Брукфилда типа DV II plus. Кроме того, для некоторых образцов образование остатка исследуют при их хранении при комнатной температуре.
Исследование стойкости к замерзанию
Образцы замораживают при температуре -25°С и после оттаивания с помощью оптического микроскопа проверяют степень дисперсности.
Образец оценивают, как стойкий к замерзанию, если замороженный образец после оттаивания сохраняет жидкотекучую консистенцию, не образует осадка и в нем с помощью оптического микроскопа не обнаруживается повторная агломерация.
Определение значения рН
Значение рН определяют для неразбавленной суспензии с использованием рН-метра типа CG 837 фирмы Schott. С этой целью стеклянный электрод погружают в раствор и по истечении 5 мин считывают выдаваемые с поправкой на температуру значения рН.
Определение дзета-потенциала
Дзета-потенциал определяют с помощью измерительного прибора MBS8000 фирмы Matec. Измерения проводят для неразбавленных образцов. Дзета-потенциал определяют на основании амплитуды электрокинетических звуковых колебаний (АЭЗ).
Исследование с помощью оптического микроскопа
Степень дисперсности образцов суспензии оценивают при увеличении 400х. При таком увеличении с использованием шкалы микроскопа можно легко обнаружить крупнозернистые частицы размером >1 мкм.
Шкала оценок
Оценка 1: очень хорошая, отсутствуют крупнозернистые частицы размером >1 мкм.
Оценка 2: удовлетворительная; наблюдается очень малое количество крупнозернистых частиц размером >1 мкм.
Оценка 3: неудовлетворительная; наблюдается значительное количество крупнозернистых частиц размером >1 мкм.
Водные коллоидные суспензии газовой сажи 2 и 3, предлагаемые в настоящем изобретении, удовлетворяют всем требованиям, предъявляемым к оптимальной суспензии.
Чернила, обладающие содержанием сажи, равным 4,5%, получают из суспензий сажи, предлагаемых в настоящем изобретении, с использованием 2-пирролидона, 1,2-гександиола, 1,3-пропандиола, этоксилированного глицерина, диметиламиноэтанола и деионизированной воды. С этой целью в сосуд помещают предварительно образованную смесь добавок к чернилам и при перемешивании в него осторожно прибавляют суспензию сажи. Готовые чернила фильтруют через фильтр с размером пор 500 нм. После этого с помощью устройства для нанесения покрытия типа К Control Coater на офисную бумагу (тип Kompass Copy Office) наносят мазки с толщиной красочного слоя 6 мкм и через 24 ч с помощью денситометра определяют оптическую плотность.
Испытания печати проводят с помощью офисного принтера Canon BJC-S750 и офисного принтера HP 970 Cxi. С этой целью чернила сначала деаэрируют в вакууме и затем заполняют ими очищенный оригинальный картридж данного принтера.
Проводят следующие испытания печати:
а. Одностороннюю печать на бумаге для копировальных аппаратов и на различных имеющихся в продаже типах бумаги для струйных принтеров с целью определения оптической плотности и визуальной оценки качества печати.
б. Опыты по возобновляемости печати после 1-, 3- и 7-дневного перерыва для оценки способности к возобновлению печати и засыхания чернил.
В таблице 4 представлены результаты опытов по печати.
Чернила, предлагаемые в настоящем изобретении, отличаются очень хорошими печатно-техническими свойствами, высокой оптической плотностью и очень хорошей стабильностью при хранении.
| Таблица 4: |
| Номер композиции чернил |
1 |
2 |
| Концентрация сажи [%] |
4,5 |
4,5 |
| Состав чернил [%] |
|
|
| Водная коллоидная суспензия газовой сажи 2, предлагаемая в настоящем изобретении |
30,0 |
– |
| Водная коллоидная суспензия газовой сажи 3, предлагаемая в настоящем изобретении |
– |
30,0 |
| 2-Пирролидон |
12,0 |
12,0 |
| Liponic EG-07 (этоксилированный глицерин) |
3,0 |
1,5 |
| IDIS@solv.pd (1,3-пропандиол) |
– |
1,5 |
| IDIS@solv.hd (1,2-гександиол) |
1,5 |
1,5 |
| Деионизированная вода |
остальное |
остальное |
| Диметиламиноэтанол |
0,02 |
0,02 |
| Оптическая микроскопия |
1 |
1 |
| рН |
8,9 |
8,9 |
| Вязкость [мПа.с] |
2,5 |
2,2 |
| Поверхностное натяжение [мН/м] |
51 |
47 |
| ИСПЫТАНИЯ ПЕЧАТИ |
| Использованный офисный принтер |
HP Deskjet 970 Cxi |
Canon BJC S750 |
| Оптическая плотность (ОП) на бумаге Kompass Copy Office |
1,59 |
1,50 |
| ОП для бумаги для струйных принтеров HP 51634 Z |
1,60 |
1,57 |
| ОП на бумаге для струйных принтеров CANON HR-101 |
1,68 |
1,65 |
| ОП на бумаге для струйных принтеров EPSON 720 dpi |
1,68 |
1,64 |
| Общее визуальное впечатление от распечатанного изображения |
1-2 |
1 |
| Закупорка сопел |
отсутствует |
отсутствует |
| Подсыхание у печатающей головки |
отсутствует |
отсутствует |
| ИСПЫТАНИЕ ПО ВОЗОБНОВЛЯЕМОСТИ |
| Возобновляемость печатания после 60-минутного перерыва |
+ |
+ |
| Возобновляемость печатания после 1-дневного перерыва |
+ |
+ |
| Возобновляемость печатания после 3-дневного перерыва |
+ |
+ |
| Возобновляемость печатания после 7-дневного перерыва |
+ |
+ |
| Примечание: |
*1 = очень хорошее; 2 = удовлетворительное; 3 = неудовлетворительное, + = без затруднений; – = возникают затруднения с возобновлением печати. |
Формула изобретения
1. Водная коллоидная суспензия газовой сажи, отличающаяся тем, что она содержит газовую сажу, азосоединение общей формулы 1

где R1-R12 могут быть одинаковыми или разными и обозначают акцепторные заместители или фрагменты алифатических, ароматических шестичленных систем, обладающих акцепторными, донорными, гидрофильными или гидрофобными группами, и воду.
2. Водная коллоидная суспензия газовой сажи по п.1, отличающаяся тем, что газовая сажа обладает содержанием летучих веществ (950°С), составляющим <21 мас.%, площадью поверхности БЭТ, равной от 80 до 350 м2/г, размером первичных частиц, равным от 8 до 40 нм, и показателем ДБФ, равным от 40 до 200 мл/100 г.
3. Водная коллоидная суспензия газовой сажи по п.1, отличающаяся тем, что содержание газовой сажи составляет <30 мас.%.
4. Водная коллоидная суспензия газовой сажи по п.1, отличающаяся тем, что содержание азосоединения общей формулы 1 составляет <5 мас.%.
5. Водная коллоидная суспензия газовой сажи по п.1, отличающаяся тем, что азосоединение общей формулы 1 содержит менее 30 мас.% примесей.
6. Водная коллоидная суспензия газовой сажи по п.1, отличающаяся тем, что азосоединение общей формулы 1 содержит менее 10 мас.% соли.
7. Водная коллоидная суспензия газовой сажи по п.1, отличающаяся тем, что азосоединение представляет собой кислотный черный 1, протравной зеленый 17 или протравной синий 13.
8. Водная коллоидная суспензия газовой сажи по п.7, отличающаяся тем, что азосоединение кислотный черный 1, протравной зеленый 17 или протравной синий 13 содержит менее 30 мас.% примесей и менее 10 мас.% соли.
9. Водная коллоидная суспензия газовой сажи по п.1, отличающаяся тем, что она содержит биоциды, смачивающие вещества и/или добавки, где добавки представляют собой спирт, гликоль, гетероциклическое соединение или глицерин.
10. Водная коллоидная суспензия газовой сажи по п.9, отличающаяся тем, что смачивающее вещество представляет собой этоксилат жирного спирта, полиакриловую кислоту и/или ее производные, сополимер, содержащий акриловую кислоту, производные акриловый кислоты, стиролы, производные стирола и/или простые полиэфиры, лигносульфонат, алкилбензолсульфонат, производное нафталинсульфоновой кислоты, сополимер, содержащий ангидрид малеиновой кислоты и/или производные малеиновой кислоты, или комбинации указанных смачивающих веществ.
11. Водная коллоидная суспензия газовой сажи по п.9, отличающаяся тем, что содержание смачивающего вещества составляет от 0 до 1 мас.%.
12. Водная коллоидная суспензия газовой сажи по п.9, отличающаяся тем, что содержание добавки составляет <25 мас.%.
13. Способ получения водной коллоидной суспензии газовой сажи по п.1, отличающийся тем, что газовую сажу и растворимое азосоединение общей формулы 1 диспергируют в воде.
14. Способ получения водной коллоидной суспензии газовой сажи по п.13, отличающийся тем, что диспергирование проводят с помощью шаровых мельниц, ультразвуковых установок, гомогенизаторов высокого давления, флюидизаторов типа Microfluidizer, аппаратов типа Ultra-Turrax или аналогичного оборудования.
15. Водная коллоидная суспензия газовой сажи, отличающаяся тем, что она содержит газовую сажу, азосоединение формул
, ,
,
,
,
, ,
, ,





где R13=Н, катион щелочного металла, аммоний, алкил, арил или содержащий функциональную группу алкил или арил, HSO3CxHy-, H2N-CхHy-, H2N-SO2-CxHy– (х=1-20; у=1-45), R14=Н, алкил, арил или содержащий функциональную группу алкил или арил, и воду.
16. Применение водной коллоидной суспензии газовой сажи по п.1 или 15 в красках, чернилах для струйной печати, покрытиях для поверхностей и цветных типографских красках.
17. Чернила, отличающиеся тем, что они содержат водную коллоидную суспензию газовой сажи по п.1 или 15.
РИСУНКИ
|
|