|
|
(21), (22) Заявка: 2006101718/04, 14.06.2004
(24) Дата начала отсчета срока действия патента:
14.06.2004
(30) Конвенционный приоритет:
24.06.2003 EP 03405457.7
(43) Дата публикации заявки: 10.09.2006
(46) Опубликовано: 27.03.2009
(56) Список документов, цитированных в отчете о поиске:
ЕР 0311723 А1, 19.04.1989. US 6579927 B1, 17.06.2003. WO 00/34393 A1, 15.06.2000. SU 1317003 A1, 15.06.1987. RU 2069218 C1, 20.11.1996.
(85) Дата перевода заявки PCT на национальную фазу:
24.01.2006
(86) Заявка PCT:
EP 2004/051098 (14.06.2004)
(87) Публикация PCT:
WO 2004/113436 (29.12.2004)
Адрес для переписки:
101000, Москва, М.Златоустинский пер., 10, кв.15, “ЕВРОМАРКПАТ”, пат.пов. И.А.Веселицкой, рег. № 11
|
(72) Автор(ы):
МОАД Грейм (AU), САЙМОН Джорж Филип (AU), ДИН Кэтрин Мари (AU), ЛИ Гуосинь (AU), МАЯДАННЕ Рошан Тиррел Антон (AU), РИЦАРДО Эцио (AU), ЭВАНС Ричард Александер (AU), ВЕРМТЕР Хендрик (DE), ПФЭНДНЕР Рудольф (DE)
(73) Патентообладатель(и):
ПОЛИМЕРС ОСТРЕЙЛИА ПТИ. ЛИМИТЕД (AU)
|
(54) АКРИЛОВЫЕ ДИСПЕРГИРУЮЩИЕ АГЕНТЫ В НАНОКОМПОЗИТАХ
(57) Реферат:
Настоящее изобретение относится к нанокомпозитному полимерному материалу. Описан полимерный нанокомпозитный материал, включающий а) синтетический полимер, b) природный или синтетический филлосиликатный наполнитель или смесь таких филлосиликатных наполнителей и с) в качестве диспергирующего агента акриловый полимер, содержащий алкилакрилат или метакрилат, включающий по меньшей мере 8 метиленовых групп в боковой цепи. Также описан способ получения указанного выше полимерного нанокомпозитного материала, который включает перемешивание в расплаве смеси из компонентов а), b) и с), также описано применение полимера как он определен под индексом с) для включения и отслаивания наполнителя и диспергирования наполнителя в матрице из синтетического полимера с образованием нанокомпозитного материала. Описано изделие, включающее указанный выше материал. Технический результат – получение полимерных материалов, обладающих улучшенной долговременной термической стабильностью при уменьшенном запахе и сниженном нежелательном обесцвечивании. 4 н. и 14 з.п.ф-лы, 20 табл.
Настоящее изобретение относится к композиции, предпочтительно к нанокомпозиционному материалу, включающему (а) синтетический полимер, предпочтительно полиолефин, (b) наполнитель, предпочтительно природный или синтетический филлосиликат или смесь таких филлосиликатов, предпочтительно в виде наночастиц, и (с) в качестве диспергирующего агента – полимер на основе длинноцепочечного алкил(мет)акрилата, предпочтительно статистический, блочный или гребенчатый сополимер, содержащий по меньшей мере один гидрофильный и по меньшей мере один гидрофобный сегмент, который основан на длинноцепочечном алкилакрилате. Настоящее изобретение также относится к способу получения синтетического полимерного нанокомпозиционного материала, который включает смешивание в расплаве смеси а) синтетического полимера, b) наполнителя и с) в качестве диспергирующего агента – полимера на основе длинноцепочечного алкил(мет)акрилата, и к применению последнего для включения и отслаивания наполнителя и диспергирования наполнителя в матрице из синтетического полимера с образованием нанокомпозиционного материала.
Прибавление наполнителей к органическим материалам, предпочтительно полимерам, известно и описано, например, в публикации Hans Zweifel (editor), Plastics Additives Handbook, 5th Edition, pages 901-948, Hanser Publishers, Munich, 2001. Применение наполнителей в полимерах обладает тем преимуществом, что можно улучшить, например, механические характеристики, в особенности плотность, твердость, жесткость (модуль) или уменьшить усадку полимера.
При использовании чрезвычайно мелких частиц наполнителя (<200 нм), так называемых нанонаполнителей, механические характеристики, термическую стойкость и огнезащитную способность полимеров можно улучшить при использовании намного меньших концентраций, обычно составляющих от 2 до 10 мас.%, по сравнению с составляющими от 20 до 50 мас.% при использовании обычных микрочастиц наполнителей. Полимеры, содержащие нанонаполнители, обладают благоприятными механическими характеристиками, такими как прочность, модуль и ударопрочность, и одновременно характеризуются улучшенными характеристиками поверхности, такими как блеск, меньшим износом инструмента при обработке и лучшими характеристиками утилизации. Покрытия и пленки, содержащие нанонаполнители, обнаруживают улучшенную стабильность, огнезащитную способность, пониженную газопроницаемость и повышенную стойкость к царапанию.
Нанонаполнители обладают чрезвычайно большой площадью поверхности с высокой поверхностной энергией. Поэтому снижение поверхностной энергии и обеспечение совместимости нанонаполнителей с полимерной подложкой, предназначенное для устранения агрегации при обработке или переработке полимера с наполнителем и для обеспечения превосходного диспергирования нанонаполнителя в готовом изделии, является даже более важным, чем при использовании обычных микронаполнителей.
Имеется обширная литература, посвященная органическим-неорганическим нанокомпозитам на основе глин или слоистых силикатов, таких как монтмориллонит, и синтетических полимеров. Из модицифрованных органическими веществами глин получены полиолефиновые нанокомпозиты. Применяющиеся глины обычно модифицируют алкил- или диалкиламмониевыми ионами или аминами или, в некоторых случаях, другими ониевыми ионами, такими как, например, фосфониевые. Добавки аммониевого иона/амина обычно включают в структуру глины с помощью отдельной стадии включения из раствора.
При использовании для получения полиолефиновых нанокомпозитов эти обычные модифицированные органическими веществами глины обладают целым рядом недостатков. Соли аммония термически нестабильны при температурах, применяющихся при обработке полиолефина, или могут вступать в реакции в условиях, при которых выполняется обработка. В дополнение к образованию летучих побочных продуктов эта нестабильность приводит к плохой стабильности при обработке, плохим механическим характеристикам, обесцвечиванию, образованию запаха и сниженной долговременной стабильности.
Для улучшения образования полиолефинового нанокомпозита при формовании из расплава предложено использовать дополнительное вещество, обеспечивающее совместимость, чаще всего – полипропилен с привитым малеиновым ангидридом, который в рабочих примерах содержится в качестве основного компонента конечного продукта.
В публикации М.Kawasumi et al., Macromolecules 1997, 30, 6333-6338, и в US 5973053 показано, что полипропиленовый нанокомпозит получается, когда глину, предварительно модифицированную октадециламмониевыми солями, смешивают с полипропиленом в присутствии полиолефиновых олигомеров, содержащих полярные функциональные группы, например с полипропиленом с привитым малеиновым ангидридом.
Хотя вещества, обеспечивающие совместимость, могут улучшить стабильность нанокомпозитов в основном вследствие исключения агломерации наполнителя, другие недостатки нанокомпозитов не устраняются.
Согласно изобретению в настоящее время обнаружено, что улучшенные синтетические полимерные материалы, обладающие улучшенной долговременной термической стабильностью при уменьшенном запахе и сниженном нежелательном обесцвечивании, которые проявляются вследствие разложения модифицирующих агентов, можно получить в случае применения полимера, по меньшей мере один сегмент которого основан на длинноцепочечном алкил(мет)акрилате.
Поэтому настоящее изобретение относится к композиции, включающей
a) синтетический полимер,
b) наполнитель и
c) в качестве диспергирующего агента – полимер на основе длинноцепочечного алкил(мет)акрилата.
Предпочтительно, если компонент (с) представляет собой статистический, блочный или гребенчатый сополимер, содержащий по меньшей мере один сегмент, который основан на длинноцепочечном алкил(мет)акрилате.
Также представляет интерес композиция, в которой компонент (с) представляет собой статистический, блочный или гребенчатый сополимер, содержащий по меньшей мере один гидрофильный и по меньшей мере один гидрофобный сегмент, который основан на длинноцепочечном алкил(мет)акрилате.
Особый интерес представляет композиция, в которой компонент (с) представляет собой статистический, блочный или гребенчатый сополимер, содержащий по меньшей мере 10-100% (мол.%) сегментов, основанных на длинноцепочечном алкил(мет)акрилате.
Предпочтительно, если компонент (b) представляет собой наполнитель в виде наночастиц (нанонаполнйтель или наполнитель из наночастиц).
Особый интерес представляет композиция, в которой компонент (b) представляет собой наполнитель в виде наночастиц, которые не модифицированы органическим веществом.
Компонент (с) пригоден для включения и отслаивания наполнителя и диспергирования наполнителя в матрице из синтетического полимера, предпочтительно термопластичного полимера, с образованием нанокомпозиционного материала.
Примерами таких синтетических полимеров являются следующие.
1. Полимеры моноолефинов и диолефинов, например полипропилен, полиизобутилен, полибут-1-ен, поли-4-метилпент-1-ен, поливинилциклогексан, полиизопрен или полибутадиен, а также полимеры циклоолефинов, например циклопентена или норборнена, полиэтилен (который необязательно может быть сшитым), например полиэтилен высокой плотности (ПЭВП), полиэтилен высокой плотности и высокой молекулярной массы (ПЭВП-ВММ), полиэтилен высокой плотности и сверхвысокой молекулярной массы (ПЭВП-СВММ), полиэтилен средней плотности (ПЭСП), полиэтилен низкой плотности (ПЭНП), линейный полиэтилен низкой плотности (ЛПЭНП), (ПЭОНП – полиэтилен очень низкой плотности) и (ПЭСНП – полиэтилен сверхнизкой плотности).
Полиолефины, т.е. полимеры моноолефинов, примеры которых приведены в предыдущем абзаце, предпочтительно полиэтилен и полипропилен, можно получать по разным и предпочтительно по следующим методикам.
a) Радикальная полимеризация (обычно при повышенном давлении и повышенной температуре).
b) Каталитическая полимеризация с использованием катализатора, который обычно содержит один или больше, чем один металл группы IVb, Vb, VIb или VIII периодической системы элементов. Эти металлы обычно содержат один или больше чем один лиганд, обычно оксидные, галогенидные, алкоголятные, сложноэфирные, простые эфирные, аминные, алкильные, алкенильные и/или арильные, которые могут быть – или -координированными. Эти комплексы металлов могут находиться в свободной форме или быть закрепленными на подложках, обычно на активированном хлориде магния, хлориде титана(III), оксиде алюминия или диоксиде кремния. Эти катализаторы могут быть или не быть растворимыми в полимеризационной среде. Эти катализаторы можно использовать при полимеризации в чистом виде или можно использовать дополнительные активаторы, обычно алкилпроизводные металлов, гидриды металлов, алкилгалогениды металлов, алкилоксиды металлов или алкоксаны металлов, указанные металлы являются элементами групп Ia, IIa и/или IIIa периодической системы. Активаторы с успехом могут быть модифицированы дополнительными сложноэфирными, простыми эфирными, аминными или простыми силилэфирными группами. Эти каталитические системы обычно обладают названиями Phillips, Standard Oil Indiana, Циглера (Натта), TNZ (DuPont), металлоценовые или одноцентровые катализаторы (ОЦК).
2. Смеси полимеров, указанных в разделе 1), например смеси полипропилена с полиизобутиленом, полипропилена с полиэтиленом (например, ПП/ПЭВП, ПП/ПЭНП) и смеси различных типов полиэтилена (например, ПЭНП/ПЭВП).
3. Сополимеры моноолефинов и диолефинов друг с другом и с другими виниловыми мономерами, например сополимеры этилен/пропилен, линейный полиэтилен низкой плотности (ЛПЭНП) и его смеси с полиэтиленом низкой плотности (ПЭНП), сополимеры пропилен/бут-1-ен, сополимеры пропилен/изобутилен, сополимеры этилен/бут-1-ен, сополимеры этилен/гексен, сополимеры этилен/метилпентен, сополимеры этилен/гептен, сополимеры этилен/октен, сополимеры этилен/винилциклогексан, сополимеры этилен/циклоолефин (например, этилен/норборнен типа сополимера циклического олефина), сополимеры этилен/1-олефины, в которых 1-олефин образуется in situ; сополимеры пропилен/бутадиен, сополимеры изобутилен/изопрен, сополимеры этилен/винилциклогексен, сополимеры этилен/алкилакрилат, сополимеры этилен/алкилметакрилат, сополимеры этилен/винилацетат или сополимеры этилен/акриловая кислота и их соли (иономеры), а также тройные сополимеры этилена с пропиленом и диеном, таким как гексадиен, дициклопентадиен или этилиден-норборненом, и смеси таких сополимеров друг с другом и полимерами, указанными выше в разделе 1), например сополимеры полипропилен/этилен-пропилен, сополимеры ПЭНП/этилен-винилацетат (ЭВА), сополимеры ПЭНП/этилен-акриловая кислота (ЭАК), ЛПЭНП/ЭВА, ЛПЭНП/ЭАК и чередующиеся или статистические сополимеры алкилен/монооксид углерода и их смеси с другими полимерами, например полиамидами.
4. Углеводородные смолы (например, C5-C9), включая их гидрированные модификации (например, реагенты, придающие липкость) и смеси полиалкиленов и крахмала.
Гомополимеры и сополимеры, указанные в разделах 1)-4), могут обладать любой стереоструктурой, включая синдиотактическую, изотактическую, гетеротактическую или атактическую; предпочтительными являются атактические полимеры. Также включены стереоблочные полимеры.
5. Полистирол, поли(п-метилстирол), поли( -метилстирол).
6. Ароматические гомополимеры и сополимеры, полученные из винилароматических мономеров, включая стирол, -метилстирол, все изомеры винилтолуола, предпочтительно п-винилтолуол, все изомеры этилстирола, пропилстирола, винилбифенила, винилнафталина и винилантрацена и их смеси. Гомополимеры и сополимеры могут обладать любой стереоструктурой, включая синдиотактическую, изотактическую, полуизотактическую или атактическую; предпочтительными являются атактические полимеры. Также включены стереоблочные полимеры.
6а. Сополимеры, включающие указанные выше винилароматические мономеры и сомономеры, выбранные из группы, включающей этилен, пропилен, диены, нитрилы, кислоты, малеиновые ангидриды, малеимиды, винилацетат и винилхлорид, или акриловые производные и их смеси, например стирол/бутадиен, стирол/акрилонитрил, стирол/этилен (сополимеры), стирол/алкилметакрилат, стирол/бутадиен/алкилакрилат, стирол/бутадиен/алкилметакрилат, стирол/малеиновый ангидрид, стирол/акрилонитрил/метилакрилат; смеси с высокоударопрочными сополимерами стирола и другим полимером, например полиакрилатом, диеновым полимером или тройным сополимером этилен/пропилен/диен; блок-сополимеры стирола, такие как стирол/бутадиен/стирол, стирол/изопрен/стирол, стирол/этилен/бутилен/стирол и стирол/этилен/пропилен/стирол.
6b. Гидрированные ароматические полимеры, полученные гидрированием полимеров, указанных в разделе 6), предпочтительно включая полициклогексилэтилен (ПЦГЭ), полученный гидрированием атактического полистирола, который часто называют поливинилциклогексаном (ПВЦГ).
6с. Гидрированные ароматические полимеры, полученные гидрированием полимеров, указанных в разделе 6а).
Гомополимеры и сополимеры могут обладать любой стереоструктурой, включая синдиотактическую, изотактическую, полуизотактическую или атактическую; предпочтительными являются атактические полимеры. Также включены стереоблочные полимеры.
7. Привитые сополимеры винилароматических мономеров, таких как стирол или -метилстирол, например стирола на полибутадиене, стирола на сополимерах полибутадиен-стирол или полибутадиен-акрилонитрил; стирола и акрилонитрила (или метакрилонитрила) на полибутадиене; стирола, акрилонитрила и метилметакрилата на полибутадиене; стирола и малеинового ангидрида на полибутадиене; стирола, акрилонитрила и малеинового ангидрида или малеимида на полибутадиене; стирола и малеимида на полибутадиене; стирола и алкилакрилатов или метакрилатов на полибутадиене; стирола и акрилонитрила на тройных сополимерах этилен/пропилен/диен; стирола и акрилонитрила на полиалкилакрилатах или полиалкилметакрилатах, стирола и акрилонитрила на сополимерах акрилат/бутадиен, а также их смеси с сополимерами, перечисленными в разделе 6), например смеси сополимеров, известные под названиями полимеры АБС (акрилонитрил/бутадиен/стирол), МБС (метилметакрилат/бутадиен/стирол), АСА (сополимер акрилонитрил/этилен/пропилен/стирол) и АЭС (сополимер акрилонитрил/стирол/акрилаты).
8. Галогенсодержащие полимеры, такие как полихлоропрен, хлорированные каучуки, хлорированный и бромированный сополимер изобутилен-изопрен (галогенбутильный каучук), хлорированный и сульфохлорированный полиэтилен, сополимеры этилена и хлорированного этилена, гомо- и сополимеры эпихлоргидрина, предпочтительно полимеры галогенсодержащих винильных соединений, например поливинилхлорид, поливинилиденхлорид, поливинилфторид, поливинилиденфторид, а также их сополимеры, такие как сополимеры винилхлорид/винилиденхлорид, винилхлорид/винилацетат и винилиденхлорид/винилацетат.
9. Полимеры, полученные из , -ненасыщенных кислот, и их производные, такие как полиакрилаты и полиметакрилаты; полиметилметакрилаты, полиакриламиды и полиакрилонитрилы, модифицированные бутилакрилатом для придания ударопрочности.
10. Сополимеры мономеров, указанных в разделе 9), друг с другом или с другими ненасыщенными мономерами, например сополимеры акрилонитрил/бутадиен, сополимеры акрилонитрил/алкилакрилат, сополимеры акрилонитрил/алкоксиалкилакрилат и акрилонитрил/винилгалогенид и тройные сополимеры акрилонитрил/алкилметакрилат/бутадиен.
11. Полимеры, полученные из ненасыщенных спиртов и аминов и их ацилпроизводных и ацеталей, например поливиниловый спирт, поливинилацетат, поливинилстеарат, поливинилбензоат, поливинилмалеат, поливинилбутираль, полиаллилфталат и полиаллилмеламин, а также их сополимеры с олефинами, указанными выше в разделе 1).
12. Гомополимеры и сополимеры циклических простых эфиров, такие как полиалкиленгликоли, полиэтиленоксид, полипропиленоксид и их сополимеры с бисглицидильными простыми эфирами.
13. Полиацетали, такие как полиоксиметилен, и такие полиоксиметилены, которые в качестве сомономера содержат этиленоксид; полиацетали, модифицированные термопластичными полиуретанами, акрилатами или МБС.
14. Полифениленоксиды и -сульфиды и смеси полифениленоксидов со стирольными полимерами или полиамидами.
15. Полиуретаны, полученные из обладающих гидроксильными концевыми группами простых полиэфиров, сложных полиэфиров или полибутадиенов с одной стороны и алифатических или ароматических полиизоцианатов с другой стороны, а также их предшественники.
16. Полиамиды и сополимеры полиамидов, полученных из диаминов и дикарбоновых кислот и/или из аминокарбоновых кислот или соответствующих лактамов, например полиамид 4, полиамид 6, полиамид 6/6, 6/10, 6/9, 6/12, 4/6, 12/12, полиамид 11, полиамид 12, ароматические полиамиды, полученные из м-ксилолдиамина и адипиновой кислоты, полиамиды, полученные из гексаметилендиамина и изофталевой и/или терефталевой кислоты с прибавлением или без прибавления эластомера в качестве модификатора, например, поли-2,4,4-триметилгексаметилентерефталамид и поли-м-фениленизофталамид, а также блок-сополимеры указанных выше полиамидов с полиолефинами, олефиновыми сополимерами, иономерами или химически связанными или привитыми эластомерами; или с простыми полиэфирами, например с полиэтиленгликолем, полипропиленгликолем или политетраметиленгликолем, а также полиамиды и сополимеры полиамидов, модифицированные с помощью ЭПДМ (этилен/пропилен/диеновый мономер) или АБС; и полиамиды, конденсированные во время обработки (полиамидные системы типа ИФР (полученные инжекционным формованием реакционноспособных жидких композиций)).
17. Полимочевины, полиимиды, полиамиды-имиды, простые полиэфиримиды, сложные полиэфиримиды, полигидантоины и полибензимидазолы.
18. Сложные полиэфиры, полученные из дикарбоновых кислот и диолов и/или из гидроксикарбоновых кислот или соответствующих лактонов, например полиэтилентерефталат, полибутилентерефталат, поли-1,4-диметилолциклогексантерефталат, полиалкиленнафталат (ПАН) и полигидроксибензоаты, а также блок-сополимеры простых и сложных эфиров, полученные из простых полиэфиров, обладающих гидроксильными концевыми группами, а также сложные полиэфиры, модифицированные поликарбонатами или МБС.
19. Поликарбонаты и сложные полиэфиркарбонаты.
20. Поликетоны.
21. Полисульфоны, простые полиэфирсульфоны и простые полиэфиркетоны.
22. Сшитые полимеры, полученные из альдегидов, с одной стороны, и фенолов, мочевин и меламинов, с другой стороны, такие как феноло/формальдегидные смолы, мочевино/формальдегидные смолы и меламино/формальдегидные смолы.
23. Высыхающие и невысыхающие алкидные смолы.
24. Ненасыщенные сложные полиэфирные смолы, полученные из сополимеров сложных эфиров насыщенных и ненасыщенных дикарбоновых кислот с многоатомными спиртами и виниловыми соединениями в качестве сшивающих реагентов, а также обладающие плохой воспламеняемостью их галогенсодержащие модификации.
25. Сшивающиеся акриловые смолы, полученные из замещенных акрилатов, например эпоксиакрилатов, уретанакрилатов и сложных полиэфиракрилатов.
26. Алкидные смолы, сложные полиэфирные смолы и акрилатные смолы, сшитые меламиновыми смолами, мочевиновыми смолами, полиизоцианатами или эпоксидными смолами.
27. Сшитые эпоксидные смолы, полученные из алифатических, циклоалифатических, гетероциклических или ароматических глицидильных соединений, например, продуктов диглицидильных простых эфиров бисфенола А и бисфенола F, которые сшиты с помощью обычных отвердителей, таких как амгидриды или амины, с применением или без применения ускорителей.
28. Смеси указанных выше полимеров (полимерные многокомпонентные смеси), например ПП/ЭПДМ, полиамид/ЭПДМ или АБС, ПВХ (поливинилхлорид)/ЭВА, ПВХ/АБС, ПВХ/МБС, ПК (поликарбонат)УАБС, ПБТФ (полибутилентерефталат)/АБС, ПК/АСА, ПК/ПБТ (поли-1-бутен), ПВХ/ХПЭ (хлорированный полиэтилен), ПВХ/акрилаты, ПОМ (полиоксиметилен)/термопластичный ПУР (полиуретан), ПК/термопластичный ПУР, ПОМ/акрилат, ПОМ/МБС, ПФО (полифениленоксид)/УППС (ударопрочный полистирол), ПФО/[ПА (полиамид) 6.6] и сополимеры, ПА/ПЭВП, ПА/ПП, ПА/ПФО, ПБТ/ПК/АБС и ПБТ/ПЭТ/ПК.
Подлежащие защите синтетические полимеры предпочтительно представляют собой термопластичные полимеры, предпочтительно полиолефины, полистиролы, полиамиды, сложные полиэфиры, полиакрилаты, наиболее предпочтительно полиолефины, еще более предпочтительно полиэтилен и полипропилен или их сополимеры с моно- и диолефинами.
Предпочтительными наполнителями являются, например, природные и синтетические филлосиликаты или смесь таких филлосиликатов. Представляющими особый интерес наполнителями являются, например, слоистые силикатные глины. Чрезвычайный интерес представляют композиции, включающие в качестве компонента (b) монтмориллонит, бентонит, бейделит, слюду, гекторит, сапонит, нонтронит, сауконит, вермикулит, ледикит, магадит, кениаит, стивенсит, волконскоит, гидротальцит, иллит, каолинит, волластонит, аттапульгит, тальк или диоксид кремния или их смеси.
Компонент (b) может быть немодифицированным или модифицированным с помощью модифицирующего агента, такого как, например, аммониевое соединение, амин, фосфониевое, сульфониевое или силановое соединение.
Примерами модифицирующих агентов для наноглин являются следующие.
1. Амины и аммониевые соединения, например дистеарилдиметиламмонийхлорид, стеарилбензилдиметиламмонийхлорид, стеариламин, стеарилдиэтоксиамин и аминододекановая кислота [имеющаяся в продаже под названием Nanofil (RTM), выпускающаяся фирмой Südchemie, Germany]; диметилдиталлоуаммониевые, триоктилметиламмониевые, диполиоксиэтиленалкилметиламмониевые и полиоксипропиленметилдиэтиламмониевые соединения [имеющиеся в продаже под названием модифицированный Somasif (RTM), выпускающиеся фирмой COOP Chemical]; октадециламин, триэтоксисиланилпропиламин [имеющийся в продаже под названием Nanomer (RTM), выпускающийся фирмой Nanocor], полиалкоксилированные аммониевые соединения, такие как, например, октадецилбис(полиоксиэтилен[15]амин [Ethomeen (RTM), выпускающийся фирмой Eastman] и октадецилметилбис(полиоксиэтилен[15]аммонийхлорид [Etoquad (RTM), выпускающийся фирмой Eastman] и соответствующие свободные амины.
2. Фосфониевые соединения, например, тетрабутилфосфониевые и октадецилтрифенилфосфониевые соединения [выпускающийся фирмой Eastman].
3. Другие, например, триэтоксиоктилсилан [имеющийся в продаже под названием Nanomer (RTM), выпускающийся фирмой Nanocor], аммониевые, сульфониевые и пиридиниевые соединения, раскрытые, например, в WO-A-01/04050 или WO-A-99/67790; блок- и привитые сополимеры, такие как, например, PEO-b-PS и поли-4-винилпиридин-b-PS, и растворители для набухания, такие как, например, -бутиролактон, 2-пирролидон, диметилсульфоксид, диметиловый эфир диэтиленгликоля, тетрагидрофуран и фурфуриловый спирт.
Представляющие интерес композиции включают содержащие в качестве компонента (с) акриловый сополимер. Особый интерес представляют композиции, в которых компонент (с) содержит акрилат или метакрилат, содержащий в боковой цепи не менее 8 метиленовых групп. Также представляют интерес композиции, в которых компонент (с) содержит С12-С32алкил(мет)акрилат, например стеарил- или октадецилакрилат (ODA) или -метакрилат (ODMA).
Алкил, содержащий от 8 до 32 атомов углерода, представляет собой разветвленный или неразветвленный радикал, например октил, децил, 1-метилундецил, додецил, тридецил, тетрадецил, пентадецил, гексадецил, гептадецил или октадецил.
Согласно изобретению мы неожиданно обнаружили, что эффективными являются и гомополимеры на основе длинноцепочечных (мет)акрилатов и их сополимеры с короткоцепочечными (мет)акрилатами.
Примером предпочтительного гомополимера является поли(октадецилакрилат). Примером предпочтительного сополимера является сополимер октадецилметакрилата с метилакрилатом.
Особый интерес представляют композиции, включающие в качестве компонента (с) сополимер октадецилакрилата с малеиновым ангидридом, сополимер октадецилакрилата с акрилатом метилового эфира полиэтиленгликоля, сополимер октадецилакрилата с акрилатом этилового эфира диэтиленгликоля, сополимер октадецилакрилата с N-винилпирролидоном, сополимер октадецилметакрилата с N-винилпирролидоном, сополимер октадецилметакрилата с малеиновым ангидридом, сополимер октадецилакрилата с глицидилакрилатом, сополимер октадецилакрилата с 2-диметиламиноэтилакрилатом, сополимер октадецилакрилата с акрилатом метилового эфира полиэтиленгликоля, сополимер октадецилакрилата с акрилатом этилового эфира диэтиленгликоля, сополимер октадецилакрилата с метакрилоилоксиэтилфосфатом, сополимер лаурилакрилата с малеиновым ангидридом, сополимер октадецилакрилата с глицидилметакрилатом и сополимер октадецилакрилата с метакриловой кислотой.
Статистический, блочный или гребенчатый сополимер, содержащий по меньшей мере один сегмент, который основан на длинноцепочечном алкил(мет)акрилате, можно получить по различным методикам.
Эти методики включают обычную свободнорадикальную полимеризацию и регулируемую или живую свободнорадикальную полимеризацию. Такая регулируемая свободнорадикальная полимеризация (РСРП) может предпочтительно проводится по четырем подходящим схемам:
а1) полимеризация в присутствии алкоксиаминовых инициирующих/регулирующих соединений;
а2) полимеризация в присутствии стабильного нитроксильного свободного радикала и радикального инициатора (источника свободных радикалов);
а3) полимеризация по схеме радикальной полимеризации с переносом атомов (РППА) или
а4) полимеризация ОПФП, представляющая собой методику синтеза полимеров путем радикальной полимеризации с использованием реагентов – передатчиков цепи, которые реагируют по механизму обратимого присоединения-фрагментации с передачей цепи.
Например, в US 4581429 и ЕР-А-0621878 раскрыто получение блок-сополимеров по методике а1).
Например, в WO-A-94/11412 раскрыто получение блок-сополимеров по методике а2).
Например, WO-A-01/51534 раскрыто получение гребенчатых сополимеров по методике РППА а3). Kamigaito and Sawamoto в Chemical Reviews 2001, 101, 3689-3745, также описали получение блочных и других сополимеров по методике РППА а3).
Например, WO-A-98/01478, WO-A-99/05099 и WO-A-99/31144 раскрыто получение блок-сополимеров по методике а4).
Указанные выше патенты включены в настоящее изобретение в качестве ссылки.
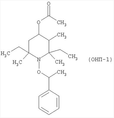
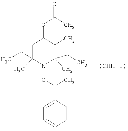
Пример применения Conv (обычная радикальная полимеризация) описан в примере 1, пример применения ОНП [опосредуемая нитроксидом полимеризация, методика а2) для получения полимеров, пригодных для применения в настоящем изобретении] описан в примере 3, примеры применения ОПФП (полимеризация с обратимым присоединением-фрагментацией с передачей цепи, методика а4) приведены в примерах 2 (статистический сополимер) и 4 (блок-сополимер)], пример применения Macroinit (обычная полимеризация с макроинициатором) описан в примере 5.
Синтез сополимеров можно проводить в эмульсии, растворе или суспензии в периодическом, полунепрерывном, непрерывном режиме или в режиме эксплуатации по мере загрузки. В случае живой или регулируемой радикальной полимеризации блочные и мультиблочные и градиентные сополимеры можно получить путем изменения скорости прибавления мономера(мономеров) и/или путем изменения последовательности прибавления мономера(мономеров) в реакционную среду. Градиентные сополимеры также можно получить по одностадийной методике путем использования различий в собственной реакционной способности мономеров. Для получения градиентных блок-сополимеров часто желательно выбирать сомономеры, обладающие разной реакционной способностью. Например, малеиновый ангидрид со стиролом или (мет)акрилатами.
Предпочтительно, если совместимый с глиной сегмент основан на одном или большем количестве мономеров, которые содержат полярные группы, такие как, например, простая эфирная [-O-], амидная тиоамидная нитрильная, гидроксильная, аминная, пиридиновая, аммониевая и фосфониевая, расположенные достаточно близко друг к другу. Он также может быть основан на реакционноспособных мономерах, содержащих такие реакционноспособные группы, как ангидридная, эпоксидная или силановая.
Предпочтительными реакционноспособными мономерами являются, например, РЕО (полиэтиленоксил) акрилат, 1-винил-2-пирролидон, N,N-диметилакриламид, акрилонитрил, малеиновый ангидрид, гидроксиэтилакрилат, гидроксипропилакрилат, трет-бутил- -гидроксиметакрилат, N,N’-диметиламиноэтилакрилат, 4-винилбензилдигидроксиэтиламин, 4-винилпиридин и 4-винилбензилтрибутилфосфонийхлорид.
Также можно использовать сополимеры указанных выше мономеров с другими мономерами.
Полярные (гидрофильные) или “глинофильные” сегменты также можно образовать из полярных продуктов конденсации или других полимеров, таких как, например, поли(этиленоксид). Эти сегменты можно включить путем использования инициатора в методиках Conv, РППА, ОНП или ОПФП при получении конденсированных полимеров. Примером такого подхода является методика Macroinit.
Неожиданно оказалось, что на сополимеры мало влияет, включены ли полярные сегменты в качестве одиночных звеньев (в статистическом сополимере) или в виде последовательности (в блок-сополимерах). Полимеры, полученные регулируемой радикальной полимеризацией, представляются немного более эффективными, чем полимеры, полученные обычной полимеризацией. Это может быть обусловлено большей структурной регулярностью (однородностью состава и более узкой полидисперсностью) этих сополимеров.
Предпочтение отдается композициям, включающим в качестве компонента (с) полимеры, полученные с помощью регулируемой или живой свободнорадикальной полимеризации. Полимеры, полученные с помощью регулируемой или живой свободнорадикальной полимеризации, являются более однородными по составу. Можно сделать так, чтобы в результате полимеризации все цепи содержали полярные (гидрофильные), “глинофильные” или реакционноспособные функциональные группы. Полимеры, полученные с помощью регулируемой или живой свободнорадикальной полимеризации являются более однородными по молекулярно-массовому распределению.
Сополимеры, содержащие длинноцепочечные акрилаты, также можно синтезировать путем этерификации или трансэтерификации других акриловых сополимеров с длинноцепочечным спиртом, например додециловый спиртом или октадециловым спиртом, например, как это раскрыто в ЕР-А-0386507.
Статистический, блочный или гребенчатый сополимер, содержащий по меньшей мере один сегмент, который основан на длинноцепочечном алкилакрилате, также можно описать, как полимерные диспергирующие или сольватирующие агенты, обладающие амфифильными свойствами. Они содержат полярные и неполярные группы в одной молекуле и они представляют собой, например, диспергирующие или сольватирующие агенты, основанные на полиэтиленгликолях (PEG), полиакрилатах, полисилоксанах, поливинилацетате или на блок-сополимерах, содержащих по меньшей мере один блок-сополимер, основанный на акрилате, акриловой кислоте или метакрилате.
Наиболее предпочтительными сополимерами для компонента (с) являются статистические или градиентные сополимеры ODA с малеиновым ангидридом, диметиламиноэтилакрилатом или РЕО акрилатом.
Предпочтительно, если компонент (b) содержится в композиции в количестве, составляющем от 0,1 до 40%, более предпочтительно от 0,5 до 20%, например от 1 до 10%, в пересчете на массу синтетического полимера [компонента (а)].
Предпочтительно, если компонент (с) содержится в композиции в количестве, составляющем от 0,1 до 20%, более предпочтительно от 0,2 до 15%, например от 0,2 до 10%, в пересчете на массу синтетического полимера [компонента (а)].
Полимерные нанокомпозиты, предпочтительно полиолефиновые нанокомпозиты, полученные с использованием предпочтительных добавок в предпочтительных количествах, обладают улучшенным модулем упругости при растяжении, сохраненным или улучшенным пределом прочности на разрыв и одновременно обладают значительно улучшенным разрывным удлинением по сравнению с системами, содержащими только нанонаполнитель. Например, полипропиленовые нанокомпозиты, предлагаемые в настоящем изобретении, обладают большей пластичностью, чем традиционные полипропиленовые нанокомпозиты, полученные с использованием модифицированной органическими соединениями глины или полипропилена с привитым малеиновым ангидридом в качестве добавки.
В дополнение к компонентам (а), (b) и (с) новые композиции могут включать дополнительные добавки, такие как, например, приведенные ниже.
1. Антиоксиданты
1.1. Алкилированные монофенолы, например 2,6-ди-трет-бутил-4-метилфенол, 2-трет-бутил-4,6-диметилфенол, 2,6-ди-трет-бутил-4-этилфенол, 2,6-ди-трет-бутил-4-н-бутилфенол, 2,6-ди-трет-бутил-4-изобутилфенол, 2,6-дициклопентил-4-метилфенол, 2-( -метилциклогексил)-4,6-диметилфенол, 2,6-диоктадецил-4-метилфенол, 2,4,6-трициклогексилфенол, 2,6-ди-трет-бутил-4-метоксиметилфенол, линейные нонилфенолы и нонилфенолы с разветвленными боковыми цепями, например 2,6-динонил-4-метилфенол, 2,4-диметил-6-(1′-метилундец-1′-ил)фенол, 2,4-диметил-6-(1′-метилгептадец-1′-ил)фенол, 2,4-диметил-6-(1′-метилтридец-1′-ил)фенол и их смеси.
1.2. Алкилтиометилфенолы, например 2,4-диоктилтиометил-6-трет-бутилфенол, 2,4-диоктилтиометил-6-метилфенол, 2,4-диоктилтиометил-6-этилфенол, 2,6-дидодецилтиометил-4-нонилфенол.
1.3. Гидрохиноны и алкилированные гидрохиноны, например 2,6-ди-трет-бутил-4-метоксифенол, 2,5-ди-трет-бутилгидрохинон, 2,5-ди-трет-амилгидрохинон, 2,6-дифенил-4-октадецилоксифенол, 2,6-ди-трет-бутилгидрохинон, 2,5-ди-трет-бутил-4-гидроксианизол, 3,5-ди-трет-бутил-4-гидроксианизол, 3,5-ди-трет-бутил-4-гидроксифенилстеарат, бис(3,3-ди-трет-бутил-4-гидроксифенил)адипат.
1.4. Токоферолы, например -токоферол, -токоферол, -токоферол, -токоферол и их смеси (витамин Е).
1.5. Гидроксилированные тиодифениловые простые эфиры, например 2,2′-тиобис(6-трет-бутил-4-метилфенол), 2,2′-тиобис(4-октилфенол), 4,4′-тиобис(6-трет-бутил-3-метилфенол), 4,4′-тиобис(6-трет-бутил-2-метилфенол), 4,4′-тиобис(3,6-ди-втор-амилфенол), 4,4′-бис(2,6-диметил-4-гидроксифенил)дисульфид.
1.6. Алкилиденбисфенолы, например 2,2′-метиленбис(6-трет-бутил-4-метилфенол), 2,2′-метиленбис(6-трет-бутил-4-этилфенол), 2,2′-метиленбис[4-метил-6-( -метилциклогексил)фенол], 2,2′-метиленбис(4-метил-6-циклогексилфенол), 2,2′-метиленбис(6-нонил-4-метилфенол), 2,2′-метиленбис(4,6-ди-трет-бутилфенол), 2,2′-этилиденбис(4,6-ди-трет-бутилфенол), 2,2′-этилиденбис(6-трет-бутил-4-изобутилфенол), 2,2′-метиленбис[6-( -метилбензил)-4-нонилфенол], 2,2′-метиленбис[6-( , -диметилбензил)-4-нонилфенол], 4,4′-метиленбис(2,6-ди-трет-бутилфенол), 4,4′-метиленбис(6-трет-бутил-2-метилфенол), 1,1-бис(5-трет-бутил-4-гидрокси-2-метилфенил)бутан, 2,6-бис(3-трет-бутил-5-метил-2-гидроксибензил)-4-метилфенол, 1,1,3-трис(5-трет-бутил-4-гидрокси-2-метилфенил)бутан, 1,1-бис(5-трет-бутил-4-гидрокси-2-метилфенил)-3-н-додецилмеркаптобутан, этиленгликольбис[3,3-бис(3′-трет-бутил-4′-гидроксифенил)бутират], бис(3-трет-бутил-4-гидрокси-5-метилфенил)дициклопентадиен, бис[2-(3′-трет-бутил-2′-гидрокси-5′-метилбензил)-6-трет-бутил-4-метилфенил]терефталат, 1,1-бис-(3,5-диметил-2-гидроксифенил)бутан, 2,2-бис(3,5-ди-трет-бутил-4-гидроксифенил)пропан, 2,2-бис-(5-трет-бутил-4-гидрокси-2-метилфенил)-4-н-додецилмеркаптобутан, 1,1,5,5-тетра(5-трет-бутил-4-гидрокси-2-метилфенил)пентан.
1.7. O-, N- и S-Бензильные соединения, например 3,5,3′,5′-тетра-трет-бутил-4,4′-дигидроксидибензиловый эфир, октадецил-4-гидрокси-3,5-диметилбензилмеркаптоацетат, тридецил-4-гидрокси-3,5-ди-трет-бутилбензилмеркаптоацетат, трис(3,5-ди-трет-бутил-4-гидроксибензил)амин, бис(4-трет-бутил-3-гидрокси-2,6-диметилбензил)дитиотерефталат, бис(3,5-ди-трет-бутил-4-гидроксибензил)сульфид, изооктил-3,5-ди-трет-бутил-4-гидроксибензилмеркаптоацетат.
1.8. Гидроксибензилированные малонаты, например диоктадецил-2,2-бис(3,5-ди-трет-бутил-2-гидроксибензил)малонат, диоктадецил-2-(3-трет-бутил-4-гидрокси-5-метилбензил)малонат, дидодецилмеркаптоэтил-2,2-бис(3,5-ди-трет-бутил-4-гидроксибензил)малонат, ди[4-(1,1,3,3-тетраметилбутил)фенил]-2,2-бис(3,5-ди-трет-бутил-4-гидроксибензил)малонат.
1.9. Ароматические гидроксибензильные соединения, например 1,3,5-трис(3,5-ди-трет-бутил-4-гидроксибензил)-2,4,6-триметилбензол, 1,4-бис(3,5-ди-трет-бутил-4-гидроксибензил)-2,3,5,6-тетраметилбензол, 2,4,6-трис(3,5-ди-трет-бутил-4-гидроксибензил)фенол.
1.10. Триазиновые соединения, например 2,4-бисоктилмеркапто-6-(3,5-ди-трет-бутил-4-гидроксианилино)-1,3,5-триазин, 2-октилмеркапто-4,6-бис(3,5-ди-трет-бутил-4-гидроксианилино)-1,3,5-триазин, 2-октилмеркапто-4,6-бис(3,5-ди-трет-бутил-4-гидроксифенокси)-1,3,5-триазин, 2,4,6-трис(3,5-ди-трет-бутил-4-гидроксифенокси)-1,2,3-триазин, 1,3,5-трис(3,5-ди-трет-бутил-4-гидроксибензил)изоцианурат, 1,3,5-трис(4-трет-бутил-3-гидрокси-2,6-диметилбензил)изоцианурат, 2,4,6-трис(3,5-ди-трет-бутил-4-гидроксифенилэтил)-1,3,5-триазин, 1,3,5-трис(3,5-ди-трет-бутил-4-гидроксифенилпропионил)гексагидро-1,3,5-триазин, 1,3,5-трис(3,5-дициклогексил-4-гидроксибензил)изоцианурат.
1.11. Бензилфосфонаты, например диметил-2,5-ди-трет-бутил-4-гидроксибензилфосфонат, диэтил-3,5-ди-трет-бутил-4-гидроксибензилфосфонат, диоктадецил-3,5-ди-трет-бутил-4-гидроксибензилфосфонат, диоктадецил-5-трет-бутил-4-гидрокси-3-метилбензилфосфонат, кальциевая соль моноэтилового эфира 3,5-ди-трет-бутил-4-гидроксибензилфосфоновой кислоты.
1.12. Ациламинофенолы, например анилид 4-гидроксилауриновой кислоты, анилид 4-гидроксистеариновой кислоты, октиловый эфир N-(3,5-ди-трет-бутил-4-гидроксифенил)карбаминовой кислоты.
1.13. Сложные эфиры -(3,5-ди-трет-бутил-4-гидроксифенил)пропионовой кислоты с моно- и многоатомными спиртами, например с метанолом, этанолом, н-октанолом, изооктанолом, октадеканолом, 1,6-гександиолом, 1,9-нонандиолом, этиленгликолем, 1,2-пропандиолом, неопентилгликолем, тиодиэтиленгликолем, диэтиленгликолем, триэтиленгликолем, пентаэритритом, трис(гидроксиэтил)изоциануратом, диамидом N,N’-бис(гидроксиэтил)щавелевой кислоты, 3-тиаундеканолом, 3-тиапентадеканолом, триметилгександиолом, триметилолпропаном, 4-гидроксиметил-1-фосфа-2,6,7-триоксабицикло[2.2.2]октаном.
1.14. Сложные эфиры -(5-трет-бутил-4-гидрокси-3-метилфенил)пропионовой кислоты с моно- и многоатомными спиртами, например с метанолом, этанолом, н-октанолом, изооктанолом, октадеканолом, 1,6-гександиолом, 1,9-нонандиолом, этиленгликолем, 1,2-пропандиолом, неопентилгликолем, тиодиэтиленгликолем, диэтиленгликолем, триэтиленгликолем, пентаэритритом, трис(гидроксиэтил)изоциануратом, диамидом N,N’-бис(гидроксиэтил)щавелевой кислоты, 3-тиаундеканолом, 3-тиапентадеканолом, триметилгександиолом, триметилолпропаном, 4-гидроксиметил-1-фосфа-2,6,7-триоксабицикло[2.2.2]октаном, 3,9-бис[2-{3-(3-трет-бутил-4-гидрокси-5-метилфенил)пропионилокси}-1,1-диметилэтил]-2,4,8,10-тетраоксоспиро[5.5]ундеканом.
1.15. Сложные эфиры -(3,5-дипиклогексил-4-гидроксифенил)пропионовой кислоты с моно- и многоатомными спиртами, например с метанолом, этанолом, октанолом, октадеканолом, 1,6-гександиолом, 1,9-нонандиолом, этиленгликолем, 1,2-пропандиолом, неопентилгликолем, тиодиэтиленгликолем, диэтиленгликолем, триэтиленгликолем, пентаэритритом, трис(гидроксиэтил)изоциануратом, диамидом N,N’-бис(гидроксиэтил)щавелевой кислоты, 3-тиаундеканолом, 3-тиапентадеканолом, триметилгександиолом, триметилолпропаном, 4-гидроксиметил-1-фосфа-2,6,7-триоксабицикло[2.2.2]октаном.
1.16. Сложные эфиры 3,5-ди-трет-бутил-4-гидроксифенилуксусной кислоты с моно- и многоатомными спиртами, например с метанолом, этанолом, октанолом, октадеканолом, 1,6-гександиолом, 1,9-нонандиолом, этиленгликолем, неопентилгликолем, тиодиэтиленгликолем, диэтиленгликолем, триэтиленгликолем, пентаэритритом, трис(гидроксиэтил)изоциануратом, диамидом N,N’-бис(гидроксиэтил)щавелевой кислоты, 3-тиаундеканолом, 3-тиапентадеканолом, триметилгександиолом, триметилолпропаном, 4-гидроксиметил-1-фосфа-2,6,7-триоксабицикло[2.2.2]октаном.
1.17. Амиды -(3,5-ди-трет-бутил-4-гидроксифенил)пропионовой кислоты, например N,N’-бис(3,5-ди-трет-бутил-4-гидроксифенилпропионил)гексаметилендиамид, N,N’-бис(3,5-ди-трет-бутил-4-гидроксифенилпропионил)триметилендиамид, N,N’-бис(3,5-ди-трет-бутил-4-гидроксифенилпропионил)гидразид, N,N’-бис[2-(3-[3,5-ди-трет-бутил-4-гидроксифенил]пропионилокси)этил]оксамид (Naugard® XL-1, продукт фирмы Uniroyal).
1.18. Аскорбиновая кислота (витамин С)
1.19. Аминные антиоксиданты, например N,N’-диизопропил-п-фенилендиамин, N,N’-ди-втор-бутил-п-фенилендиамин, N,N’-бис(1,4-диметилпентил)-п-фенилендиамин, N,N’-бис(1-этил-3-метилпентил)-п-фенилендиамин, N,N’-бис(1-метилгептил)-п-фенилендиамин, N,N’-дициклогексил-п-фенилендиамин, N,N’-дифенил-п-фенилендиамин, N,N’-ди(2-нафтил)-п-фенилендиамин, N-изопропил-N’-фенил-п-фенилендиамин, N-(1,3-диметилбутил)-N’-фенил-п-фенилендиамин, N-(1-метилгептил)-N’-фенил-п-фенилендиамин, N-циклогексил-N’-фенил-п-фенилендиамин, 4-(п-толуолсульфамоил)дифениламин, N,N’-диметил-N,N’-ди-втор-бутил-п-фенилендиамин, дифениламин, N-аллилдифениламин, 4-изопропоксидифениламин, N-фенил-1-нафтиламин, N-(4-трет-октилфенил)-1-нафтиламин, N-фенил-2-нафтиламин, октилированный дифениламин, например п,п’-ди-трет-октилдифениламин, 4-н-бутиламинофенол, 4-бутириламинофенол, 4-нонаноиламинофенол, 4-додеканоиламинофенол, 4-октадеканоиламинофенол, ди(4-метоксифенил)амин, 2,6-ди-трет-бутил-4-диметиламинометилфенол, 2,4′-диаминодифенилметан, 4,4′-диаминодифенилметан, N,N,N’,N’-тетраметил-4,4′-диаминодифенилметан, 1,2-ди[(2-метилфенил)амино]этан, 1,2-ди(фениламино)пропан, (о-толил)бигуанид, ди[4-(1′,3′-диметилбутил)фенил]амин, трет-октилированный N-фенил-1-нафтиламин, смесь моно- и диалкилированных трет-бутил/трет-октилдифениламинов, смесь моно- и диалкилированных нонилдифениламинов, смесь моно- и диалкилированных додецилдифениламинов, смесь моно- и диалкилированных изопропил/изогексилдифениламинов, смесь моно- и диалкилированных трет-бутилдифениламинов, 2,3-дигидро-3,3-диметил-4Н-1,4-бензотиазин, фенотиазин, смесь моно- и диалкилированных трет-бутил/трет-октилфенотиазинов, смесь моно- и диалкилированных трет-октилфенотиазинов, N-аллилфенотиазин и N,N,N’,N’-тетрафенил-1,4-диаминобут-2-ен.
2. Поглотители УФ-излучения и светостабилизаторы
2.1. 2-(2′-Гидроксифенил)бензотриазолы, например 2-(2′-гидрокси-5′-метилфенил)-бензотриазол, 2-(3′,5′-ди-трет-бутил-2′-гидроксифенил)-бензотриазол, 2-(5′-трет-бутил-2′-гидроксифенил)-бензотриазол, 2-(2′-гидрокси-5′-(1,1,3,3-тетраметилбутил)-фенил)-бензотриазол, 2-(3′,5′-ди-трет-бутил-2′-гидроксифенил)-5-хлорбензотриазол, 2-(3′-трет-бутил-2′-гидрокси-5′-метилфенил)-5-хлорбензотриазол, 2-(3′-втор-бутил-5′-трет-бутил-2′-гидроксифенил)-бензотриазол, 2-(2′-гидрокси-4′-октилоксифенил)-бензотриазол, 2-(3′,5′-ди-трет-амил-2′-гидроксифенил)-бензотриазол, 2-(3′,5′-бис( , -диметилбензил)-2′-гидроксифенил)-бензотриазол, 2-(3′-трет-бутил-2′-гидрокси-5′-(2-октилоксикарбонилэтил)фенил)-5-хлорбензотриазол, 2-(3′-трет-бутил-5′-[2-(2-этилгексилокси)карбонилэтил]-2′-гидроксифенил)-5-хлорбензотриазол, 2-(3′-трет-бутил-2′-гидрокси-5′-(2-метоксикарбонилэтил)фенил)-5-хлорбензотриазол, 2-(3′-трет-бутил-2′-гидрокси-5′-(2-метоксикарбонилэтил)фенил)-бензотриазол, 2-(3′-трет-бутил-2′-гидрокси-5′-(2-октилоксикарбонилэтил)фенил)-бензотриазол, 2-(3′-трет-бутил-5′-[2-(2-этилгексилокси)карбонилэтил]-2′-гидроксифенил)-бензотриазол, 2-(3′-додецил-2′-гидрокси-5′-метилфенил)-бензотриазол, 2-(3′-трет-бутил-2′-гидрокси-5′-(2-изооктилоксикарбонилэтил)-фенилбензотриазол, 2,2′-метиленбис[4-(1,1,3,3-тетраметилбутил)-6-бензотриазол-2-илфенол]; продукт трансэтерификации 2-[3′-трет-бутил-5′-(2-метоксикарбонилэтил)-2′-гидроксифенил]-бензотриазола полиэтиленгликолем 300; в котором R=3′-трет-бутил-4′-гидрокси-5′-2Н-бензотриазол-2-илфенил; 2-[2′-гидрокси-3′-( , ,-диметилбензил)-5′-(1,1,3,3-тетраметилбутил)-фенил]-бензотриазол; 2-[2′-гидрокси-3′-(1,1,3,3-тетраметилбутил)-5′-( , -диметилбензил)-фенил]-бензотриазол.
2.2. 2-Гидроксибензофеноны, например 4-гидрокси-, 4-метокси-, 4-октилокси-, 4-децилокси-, 4-додецилокси-, 4-бензилокси-, 4,2′,4′-тригидрокси- и 2′-гидрокси-4,4′-диметоксипроизводные.
2.3. Сложные эфиры замещенных и незамещенных бензойных кислот, например 4-трет-бутилфенилсалицилат, фенилсалицилат, октилфенилсалицилат, дибензоилрезорцин, бис(4-трет-бутилбензоил)резорцин, бензоилрезорцин, 2,4-ди-трет-бутилфениловый эфир 3,5-ди-трет-бутил-4-гидроксибензойной кислоты, гексадециловый эфир 3,5-ди-трет-бутил-4-гидроксибензойной кислоты, октадециловый эфир 3,5-ди-трет-бутил-4-гидроксибензойной кислоты, 2-метил-4,6-ди-трет-бутилфениловый эфир 3,5-ди-трет-бутил-4-гидроксибензойной кислоты.
2.4. Акрилаты, например этиловый эфир и изооктиловый эфир -циано- , -дифенилакриловой кислоты, метиловый эфир -метоксикарбонилкоричной кислоты, метиловый эфир и бутиловый эфир -циано- -метил-п-метоксикоричной кислоты, метиловый эфир -метоксикарбонил-п-метоксикоричной кислоты, N-( -метоксикарбонил- -цианвинил)-2-метилиндолин.
2.5. Соединения никеля, например никелевые комплексы 2,2′-тиобис[4-(1,1,3,3-тетраметилбутил)фенола], такие как комплексы состава 1:1 и 1:2, необязательно с дополнительными лигандами, такими как н-бутиламин, триэтаноламин или N-циклогексилдиэтаноламин, дибутилдитиокарбамат никеля, никелевые соли моноалкиловых сложных эфиров 4-гидрокси-3,5-ди-трет-бутилбензилфосфоновой кислоты, таких как метиловый или этиловый эфир, никелевые комплексы кетоксимов, такие как 2-гидрокси-4-метилфенилундецилкетоксим, никелевые комплексы 1-фенил-4-лауроил-5-гидроксипиразола, необязательно с дополнительными лигандами.
2.6. Стерически затрудненные амины, например бис(2,2,6,6-тетраметил-4-пиперидил)себацат, бис(2,2,6,6-тетраметил-4-пиперидил)сукцинат, бис(1,2,2,6,6-пентаметил-4-пиперидил)себацат, бис(1-октилокси-2,2,6,6-тетраметил-4-пиперидил)себацат, бис(1,2,2,6,6-пентаметилпиперидиловый) эфир н-бутил-3,5-ди-трет-бутил-4-гидроксибензилмалоновой кислоты, продукт конденсации 1-(2-гидроксиэтил)-2,2,6,6-тетраметил-4-гидроксипиперидина и янтарной кислоты, линейные или циклические продукты конденсации N,N’-бис(2,2,6,6-тетраметил-4-пиперидил)гексаметилендиамина и 4-трет-октиламино-2,6-дихлор-1,3,5-триазина, трис(2,2,6,6-тетраметил-4-пиперидил)нитрилотриацетат, тетракис(2,2,6,6-тетраметил-4-пиперидил)-1,2,3,4-бутантетракарбоксилат, 1,1′-(1,2-этандиил)-бис(3,3,5,5-тетраметилпиперазинон), 4-бензоил-2,2,6,6-тетраметилпиперидин, 4-стеарилокси-2,2,6,6-тетраметилпиперидин, бис(1,2,2,6,6-пентаметилпиперидил)-2-н-бутил-2-(2-гидрокси-3,5-ди-трет-бутилбензил)малонат, 3-н-октил-7,7,9,9-тетраметил-1,3,8-триазаспиро[4,5]декан-2,4-дион, бис(1-октилокси-2,2,6,6-тетраметилпиперидил)себацат, бис(1-октилокси-2,2,6,6-тетраметилпиперидил)сукцинат, линейные или циклические продукты конденсации N,N’-бис(2,2,6,6-тетраметил-4-пиперидил)гексаметилендиамина и 4-морфолино-2,6-дихлор-1,3,5-триазина, продукт конденсации 2-хлор-4,6-бис(4-н-бутиламино-2,2,6,6-тетраметилпиперидил)-1,3,5-триазина и 1,2-бис(3-аминопропиламино)этана, продукт конденсации 2-хлор-4,6-ди-(4-н-бутиламино-1,2,2,6,6-пентаметилпиперидил)-1,3,5-триазина и 1,2-бис(3-аминопропиламино)этана, 8-ацетил-3-додецил-7,7,9,9-тетраметил-1,3,8-триазаспиро[4,5]декан-2,4-дион, 3-додецил-1-(2,2,6,6-тетраметил-4-пиперидил)пирролидин-2,5-дион, 3-додецил-1-(1,2,2,6,6-пентаметил-4-пиперидил)пирролидин-2,5-дион, смесь 4-гексадецилокси- и 4-стеарилокси-2,2,6,6-тетраметилпиперидинов, продукт конденсации N,N’-бис(2,2,6,6-тетраметил-4-пиперидил)гексаметилендиамина и 4-циклогексиламино-2,6-дихлор-1,3,5-триазина, продукт конденсации 1,2-бис(3-аминопропиламино)этана и 2,4,6-трихлор-1,3,5-триазина и 4-бутиламино-2,2,6,6-тетраметилпиперидин (регистрационный номер CAS No. [136504-96-6]); продукт конденсации 1,6-гександиамина и 2,4,6-трихлор-1,3,5-триазина, а также N,N-дибутиламина и 4-бутиламино-2,2,6,6-тетраметилпиперидина (регистрационный номер CAS No. [192268-64-7]); N-(2,2,6,6-тетраметил-4-пиперидил)-н-додецилсукцинимид, N-(1,2,2,6,6-пентаметил-4-пиперидил)-н-додецилсукцинимид, 2-ундецил-7,7,9,9-тетраметил-1-окса-3,8-диаза-4-оксоспиро[4,5]декан, продукт реакции 7,7,9,9-тетраметил-2-циклоундецил-1-окса-3,8-диаза-4-оксоспиро[4,5]декана и эпихлоргидрина, 1,1-бис(1,2,2,6,6-пентаметил-4-пиперидилоксикарбонил)-2-(4-метоксифенил)этен, N,N’-бис-формил-N,N’-бис(2,2,6,6-тетраметил-4-пиперидил)гексаметилендиамин, сложный диэфир 4-метоксиметиленмалоновой кислоты с 1,2,2,6,6-пентаметил-4-гидроксипиперидином, поли[метилпропил-3-окси-4-(2,2,6,6-тетраметил-4-пиперидил)]силоксан, сополимер продукта реакции сополимера малеинового ангидрида и -олефина с 2,2,6,6-тетраметил-4-аминопиперидином или 1,2,2,6,6-пентаметил-4-аминопиперидином.
2.7. Диамиды щавелевой кислоты, например 4,4′-диоктилоксиоксанилид, 2,2′-диэтоксиоксанилид, 2,2′-диоктилокси-5,5′-ди-трет-бутоксанилид, 2,2′-дидодецилокси-5,5′-ди-трет-бутоксанилид, 2-этокси-2′-этилоксанилид, N,N’-бис(3-диметиламинопропил)оксамид, 2-этокси-5-трет-бутил-2′-этилоксанилид и их смеси с 2-этокси-2′-этил-5,4′-ди-трет-бутоксанилидом, смеси о- и п-метоксидизамещенных оксанилидов и смеси о- и п-этоксидизамещенных оксанилидов.
2.8. 2-(2-Гидроксифенил)-1,3,5-триазины, например 2,4,6-трис(2-гидрокси-4-октилоксифенил)-1,3,5-триазин, 2-(2-гидрокси-4-октилоксифенил)-4,6-бис(2,4-диметилфенил)-1,3,5-триазин, 2-(2,4-дигидроксифенил)-4,6-бис(2,4-диметилфенил)-1,3,5-триазин, 2,4-бис(2-гидрокси-4-пропилоксифенил)-6-(2,4-диметилфенил)-1,3,5-триазин, 2-(2-гидрокси-4-октилоксифенил)-4,6-бис(4-метилфенил)-1,3,5-триазин, 2-(2-гидрокси-4-додецилоксифенил)-4,6-бис(2,4-диметилфенил)-1,3,5-триазин, 2-(2-гидрокси-4-тридецилоксифенил)-4,6-бис(2,4-диметилфенил)-1,3,5-триазин, 2-[2-гидрокси-4-(2-гидрокси-3-бутилоксипропилокси)фенил]-4,6-бис(2,4-диметилфенил)-1,3,5-триазин, 2-[2-гидрокси-4-(2-гидрокси-3-октилоксипропилокси)фенил]-4,6-бис(2,4-диметилфенил)-1,3,5-триазин, 2-[4-(додецилокси/тридецилокси-2-гидроксипропокси)-2-гидроксифенил]-4,6-бис(2,4-диметилфенил)-1,3,5-триазин, 2-[2-гидрокси-4-(2-гидрокси-3-додецилоксипропокси)фенил]-4,6-бис(2,4-диметилфенил)-1,3,5-триазин, 2-(2-гидрокси-4-гексилокси)фенил-4,6-дифенил-1,3,5-триазин, 2-(2-гидрокси-4-метоксифенил)-4,6-дифенил-1,3,5-триазин, 2,4,6-трис[2-гидрокси-4-(3-бутокси-2-гидроксипропокси)фенил]-1,3,5-триазин, 2-(2-гидроксифенил)-4-(4-метоксифенил)-6-фенил-1,3,5-триазин, 2-{2-гидрокси-4-[3-(2-этилгексил-1-окси)-2-гидроксипропилокси]фенил}-4,6-бис(2,4-диметилфенил)-1,3,5-триазин.
3. Дезактиваторы металлов, например диамид N,N’-дифенилщавелевой кислоты, N-салицилаль-N’-салицилоилгидразин, N,N’-бис(салицилоил)гидразин, N,N’-бис(3,5-ди-трет-бутил-4-гидроксифенилпропионил)гидразин, 3-салицилоиламино-1,2,4-триазол, дигидразид бис(бензилиден)щавелевой кислоты, оксанилид, дигидразид изофталевой кислоты, бисфенилгидразид себациновой кислоты, дигидразид N,N’-диацетиладипиновой кислоты, дигидразид N,N’-бис-салицилоилщавелевой кислоты, дигидразид N,N’-бис(салицилоил)тиопропионовой кислоты.
4. Фосфиты и фосфониты, например трифенилфосфит, дифенилалкилфосфиты, фенилдиалкилфосфиты, трис(нонилфенил)фосфит, трилаурилфосфит, триоктадецилфосфит, дистеарилпентаэритритдифосфит, трис(2,4-ди-трет-бутилфенил)фосфит, диизодецилпентаэритритдифосфит, бис(2,4-ди-трет-бутилфенил)пентаэритритдифосфит, бис(2,4-дикумилфенил)пентаэритритдифосфит, бис(2,6-ди-трет-бутил-4-метилфенил)пентаэритритдифосфит, бисизодецилоксипентаэритритдифосфит, бис(2,4-ди-трет-бутил-6-метилфенил)пентаэритритдифосфит, бис(2,4,6-трис(трет-бутилфенил)пентаэритритдифосфит, тристеарилсорбиттрифосфит, тетракис(2,4-ди-трет-бутилфенил)-4,4′-бифенилендифосфонит, 6-изооктилокси-2,4,8,10-тетра-трет-бутил-12Н-дибенз[d,g]1,3,2-диоксафосфоцин, бис(2,4-ди-трет-бутил-6-метилфенил)метилфосфит, бис(2,4-ди-трет-бутил-6-метилфенил)этилфосфит, 6-фтор-2,4,8,10-тетра-трет-бутил-12-метилдибенз[d,g]1,3,2-диоксафосфоцин, 2,2′,2”-нитрило[триэтилтрис(3,3′,5,5′-тетра-трет-бутил-1,1′-бифенил-2,2′-диил)фосфит], 2-этилгексил(3,3′,5,5′-тетра-трет-бутил-1,1′-бифенил-2,2′-диил)фосфит, 5-бутил-5-этил-2-(2,4,6-три-трет-бутилфенокси)-1,3,2-диоксафосфиран.
5. Гидроксиламины, например N,N-дибензилгидроксиламин, N,N-диэтилгидроксиламин, N,N-диоктилгидроксиламин, N,N-дилаурилгидроксиламин, N,N-дитетрадецилгидроксиламин, N,N-дигексадецилгидроксиламин, N,N-диоктадецилгидроксиламин, N-гексадецил-N-октадецилгидроксиламин, N-гептадецил-N-октадецилгидроксиламин, N,N-диалкилгидроксиламин, полученный из аминов жирных кислот гидрированного сала.
6. Нитроны, например N-бензил-альфа-фенилнитрон, N-этил-альфа-метилнитрон, N-октил-альфа-гептилнитрон, N-лаурил-альфа-ундецилнитрон, N-тетрадецил-альфа-тридецилнитрон, N-гексадецил-альфа-пентадецилнитрон, N-октадецил-альфа-гептадецилнитрон, N-гексадецил-альфа-гептадецилнитрон, N-октадецил-альфа-пентадецилнитрон, N-гептадецил-альфа-гептадецилнитрон, N-октадецил-альфа-гексадецилнитрон, нитроны, полученные из N,N-диалкилгидроксиламинов, полученного из аминов жирных кислот гидрированного сала.
7. Тиосинергетики, например дилауриловый эфир тиодипропионовой кислоты и дистеариловый эфир тиодипропионовой кислоты.
8. Соединения, разлагающие пероксиды, например сложные эфиры -тиодипропионовой кислоты, например лауриловый, стеариловый, миристиловый или тридециловый эфир, меркаптобензимидазол, цинковая соль 2-меркаптобензимидазола, дибутилдитиокарбамат цинка, диоктадецилдисульфид, пентаэритриттетракис( -додецилмеркапто)пропионат.
9. Стабилизаторы полиамидов, например соли меди в комбинации с йодидами и/или соединениями фосфора и соли двухвалентного марганца.
10. Основные вспомогательные стабилизаторы, например меламин, поливинилпирролидон, дициандиамид, триаллилцианурат, производные мочевины, производные гидразина, амины, полиамиды, полиуретаны, соли щелочных металлов и соли щелочоземельных металлов высших жирных кислот, например стеарат кальция, стеарат цинка, бегенат магния, стеарат магния, рицинолеат натрия, пальмитат калия, пирокатехинат сурьмы и пирокатехинат цинка.
11. Зародышеобразующие агенты, например неорганические вещества, например тальк, оксиды металлов, такие как диоксид титана и оксид магния, фосфаты, карбонаты и сульфаты предпочтительно щелочоземельных металлов; органические соединения, такие как одно- и двухосновные карбоновые кислоты и их соли, например 4-трет-бутилбензойная кислота, адипиновая кислота, дифенилуксусная кислота, сукцинат натрия и бензоат натрия; полимерные соединения, например ионогенные сополимеры (иономеры). Особое предпочтение отдается 1,3:2,4-бис(3′,4′-диметилбензилиден)сорбиту, 1,3:2,4-ди(параметилдибензилиден)сорбиту и 1,3:2,4-ди(бензилиден)сорбиту.
12. Дополнительные наполнители и упрочняющие агенты, например карбонат кальция, силикаты, стекловолокна, стеклянные шарики, тальк, каолин, слюда, сульфат бария, оксиды и гидроксиды металлов, сажа, графит, древесная мука и мука и волокна из других натуральных продуктов, синтетические волокна.
13. Другие добавки, например пластификаторы, смазывающие вещества, эмульгаторы, пигменты, добавки, влияющие на реологические характеристики, катализаторы, вещества, улучшающие текучесть, оптические отбеливатели, огнезащитные вещества, антистатические вещества, раздувающие вещества.
14. Бензофураноны и индолиноны, например, описанные в US 4325863; US 4338244; US 5175312; US 5216052; U.S. 5252643; DE-A-4316611; DE-A-4316622; DE-A-4316876; EP-A-0589839 и ЕР-А-0591102, или 3-[4-(2-ацетоксиэтокси)фенил]-5,7-ди-трет-бутилбензофуран-2-он, 5,7-ди-трет-бутил-3-[4-(2-стеароилоксиэтокси)фенил]бензофуран-2-он, 3,3′-бис[5,7-ди-трет-бутил-3-(4-[2-гидроксиэтокси]фенил)бензофуран-2-он], 5,7-ди-трет-бутил-3-(4-этоксифенил)бензофуран-2-он, 3-(4-ацетокси-3,5-диметилфенил)-5,7-ди-трет-бутилбензофуран-2-он, 3-(3,5-диметил-4-пивалоилоксифенил)-5,7-ди-трет-бутилбензофуран-2-он, 3-(3,4-диметилфенил)-5,7-ди-трет-бутилбензофуран-2-он, 3-(2,3-диметилфенил)-5,7-ди-трет-бутилбензофуран-2-он и 3-(2-ацетил-5-изооктилфенил)-3-изооктилбензофуран-2-он.
Вспомогательные стабилизаторы прибавляют, например, в концентрациях, составляющих от 0,01 до 10% в пересчете на полную массу подлежащего стабилизации синтетического полимера.
Предпочтительными другими добавками являются фенольные антиоксиданты, светостабилизаторы, стабилизаторы обработки, растворители, пигменты, красители, пластификаторы, вещества, обеспечивающие совместимость, агенты, повышающие ударопрочность, тиксотропные агенты и/или дезактиваторы металла.
В дополнение к нанонаполнителям другие наполнители можно использовать в качестве упрочняющих агентов (раздел 12 в перечне), например тальк, карбонат кальция, гидротальцит, слюду, каолин, гидроксиды металлов, предпочтительно гидроксид алюминия или гидроксид магния. Их прибавляют к синтетическим полимерам в концентрациях, составляющих, например, от 0,01 до 40% в пересчете на полную массу подлежащих стабилизации синтетических полимеров.
Сажу в качестве наполнителя прибавляют к синтетическим полимерам в концентрациях, предпочтительно составляющих от 0,01 до 5% в пересчете на полную массу подлежащих стабилизации синтетических полимеров.
Стекловолокна в качестве упрочняющих агентов прибавляют к синтетическим полимерам в концентрациях, предпочтительно составляющих от 0,01 до 20% в пересчете на полную массу подлежащих стабилизации синтетических полимеров.
Другие предпочтительные композиции в дополнение к компонентам (а), (b) и (с) включают и другие добавки, предпочтительно соли щелочноземельных металлов высших жирных кислот, например стеарат кальция.
В качестве обычного комбинированного стабилизатора для обработки синтетических полимеров, например полиолефинов, для получения соответствующих литых изделий рекомендуется комбинация фенольного антиоксиданта со вторичным антиоксидантом на основе органического фосфита или фосфонита.
Включение в синтетические полимеры компонентов (b) и (с) и, при желании, дополнительных добавок поводят по известным методикам, например, до или во время отливки или даже путем нанесения растворенных или диспергированных соединений на синтетический полимер, если это целесообразно, то с последующим медленным выпариванием растворителя.
Настоящее изобретение также относится к нанокомпозиционному материалу в виде маточной смеси или концентрата, включающего компонент (а) в количестве, составляющем от 5 до 90%, компонент (b) в количестве, составляющем от 5 до 80%, и компонент (с) в количестве, составляющем от 1 до 50 мас.%.
Компоненты (b) и (с) и, при желании, дополнительные добавки также можно прибавить до или во время полимеризации или до сшивки.
Компоненты (b) и (с), с включением или без включения дополнительных добавок, можно включать в чистом виде или капсулированные в восках, маслах или полимеры, капсулированные в синтетическом полимере.
Компоненты (b) и (с), с включением или без включения дополнительных добавок, также можно распылять на синтетический полимер. Другие добавки (например, указанные выше обычные добавки) или их расплавы можно разбавить, так чтобы их также можно было распылить на полимер совместно с этими добавками. Прибавление путем распыления или во время дезактивации катализаторов полимеризации является особенно эффективным, распыление можно выполнить с использованием, например, пара, применяющегося для дезактивации.
В случае сферически полимеризованных полимеров можно, например, с успехом наносить компоненты (b) и (с), с другими добавками или без них, путем распыления.
Полученные таким образом синтетические полимеры можно применять в самых различных формах, например в виде пеноматериалов, пленок, волокон, лент, композиций для литья, в виде профилей или в виде связующих для материалов покрытий, предпочтительно порошковых покрытий, клеев, шпаклевок или предпочтительно в виде толстослойных полиолефиновых литых материалов, которые длительное время находятся в контакте с экстрагирующими средами, таких как, например, трубы для жидкостей или газов, пленки, волокна, геомембраны, ленты, профили или резервуары.
Предпочтительные толстослойные полиолефиновые литые материалы обладают толщиной слоя, составляющей от 1 до 50 мм, более предпочтительно от 1 до 30 мм, например от 2 до 10 мм.
Композиции, предлагаемые в настоящем изобретении, с успехом можно применять для изготовления различных формованных изделий. Примерами являются следующие.
I-1) Плавающие средства, детали морских сооружений, понтонов, буев, облицовочные пластмассы для палуб, дамб, лодок, каяков, весел и материалы для укрепления пляжей.
I-2) Детали автомобилей, в частности бамперы, крылья, аккумуляторы, передняя и задняя обшивка, формованные изделия, расположенные под капотом, полка для головных уборов, облицовка багажника, внутренняя облицовка, крышки для надувающихся подушек безопасности, формованные изделия для электронных приборов (ламп), стекла приборных щитков, стекла для фар, приборные щитки, наружная отделка, обивка, автомобильные фонари, фары, стояночные фонари, задние фонари, стоп-сигналы, внутренняя и наружная отделка; дверные панели; бензобаки; передние окна; задние окна; подкладка сидений, наружные панели, изоляция проводов, экструдированные профили для герметизации наружных покрытий, покрытия опор, деталей шасси, выхлопных систем, топливный фильтр/наполнитель, топливные насосы, топливный бак, отделка бортов, откидной верх, наружные зеркала, наружная отделка, застежки/крепеж, модуль передней части, стекла, петли, системы запирания, багажник/багажник на крыше, прессованные/штампованные детали, манжеты, средства защиты от бокового удара, глушители шума/звукоизоляторы и прозрачный люк в крыше автомобиля.
I-3) Оборудование для дорожного движения, в частности указательные знаки, устройства для разметки дорог, автомобильные принадлежности, треугольные знаки аварийной остановки, корпуса аптечек, шлемы, шины.
I-4) Детали самолетов, железнодорожного оборудования, транспортных средств (легковых автомобилей, мотоциклов), включая мебель.
I-5) Детали для использования в космических устройствах, в частности ракетах и спутниках, например защитные экраны для входа в плотные слои атмосферы.
I-6) Детали для использования в архитектуре и дизайне, горнодобывающей промышленности, акустических шумозащитных системах, уличных островках безопасности и укрытиях для пассажиров на стоянках.
II-1) Устройства, корпуса и крышки общего назначения и для электрических/электронных устройств (персональных компьютеров, телефонов, мобильных телефонов, принтеров, телевизоров, аудио и видеосистем), горшки для цветов, тарелок для спутникового телевидения и панели.
II-2) Чехлы для других материалов, таких как сталь и текстиль.
II-3) Детали для электронной промышленности, в частности изоляция для разъемов, в частности для компьютерных разъемов, корпуса для электрических и электронных устройств, печатные платы и материалы для устройств хранения данных в электронном виде, таких как чипы, контрольные карты и кредитные карты.
II-4) Электрооборудование и, в частности, стиральные машины, сушильные машины, печи (микроволновые печи), посудомоечные машины, миксеры и утюги.
II-5) Плафоны для осветительных приборов (например, уличных фонарей, абажуры для ламп).
II-6) Материалы для проводов и кабелей (полупроводников, изоляции и оболочек кабелей).
II-7) Материалы для конденсаторов, холодильников, нагревательных устройств, кондиционеров, корпуса электронных устройств, полупроводниковых устройств, кофеварок и пылесосов.
III-1) Технические изделия, такие как зубчатые колеса (шестерни), салазки, прокладочные кольца, винты, болты, ручки и кнопки.
III-2) Лопатки роторов, вентиляторов и ветряных двигателей, детали солнечных батарей, плавательных бассейнов, покрытий для плавательных бассейнов, облицовки плавательных бассейнов, облицовки водоемов, туалетов, платяных шкафов, перегородки, жалюзи, раздвижные стенки, крыши, шторы (например, роликовые шторы), фитинги, соединительные устройства для труб, рукава и конвейерные ленты.
III-3) Сантехнические изделия, в частности душевые кабины, сиденья унитазов, крышки и сточные трубы.
III-4) Гигиенические изделия, в частности подгузники (для детей, взрослых, страдающих недержанием), гигиенические изделия для женщин, занавески для душа, кисти, маты, тубы, передвижные туалеты, зубные щетки и подкладные судна.
III-5) Трубы (из сшитых или несшитых полимеров) для воды, сточных вод и химикатов, трубки для защиты проводов и кабелей, трубы для газа, нефти и канализации, желоба, сливные трубы и дренажные системы.
III-6) Профили любой формы (оконные панели) и отделочные панели.
III-7) Заменители стекла, в частности экструдированные пластины, отделка для зданий (монолитная, двойная или многослойная), для самолетов, школ, экструдированные листовые материалы, оконные листовые материалы для отделки зданий, поездов, сантехнических изделий и теплиц.
III-8) Пластины (стеновые, разделочные доски), экструзионные покрытия (для фотобумаги типа “тетрапак” и покрытия для труб), для бункеров, заменители дерева, пластмассовые отделочные материалы, покрытия для полов (для наружного и внутреннего применения), полы, съемные настилы и плитки.
III-9) Впускные и выпускные коллекторы.
III-10) Материалы для цемента, бетона, композитов и покрытий, отделочных покрытий и кровли, поручней, перил, столешниц кухонной мебели, покрытий крыш, листовых кровельных материалов, плитки и непромокаемые материалы.
IV-1) Пластины (стеновые и разделочные доски), лотки, искусственные газоны, искусственный торф, синтетические покрытия для стадионов (спортивных сооружений) и ленты.
IV-2) Тканые материалы из непрерывных и штапельных волокон, волокнистые материалы (ковры/гигиенические изделия/геотекстильные материалы/элементарные нити; фильтры; полотенца/занавески (солнцезащитные)/медицинские изделия), объемные волокна (применение в одежде/защитной одежде), сети, канаты, кабели, веревки, корд, нити, ремни безопасности, одежда, нижнее белье, перчатки; обувь; резиновая обувь, швейные изделия, белье, одежда для плавания, спортивная одежда, зонтики (обычные и солнцезащитные), парашюты, парапланы, паруса, воздушные шары, туристические принадлежности, тенты, надувные матрацы, пляжные лежаки, большие и обычные мешки.
IV-3) Мембраны, изоляция, покрытия и герметики для крыш, туннелей, дамб, прудов, насыпей, стен, крыш, геомембран, плавательных бассейнов, занавесок (солнцезащитных панелей/солнцезащитных экранов, навесов, тентов, обоев, упаковки и обертки пищевых продуктов (эластичные и твердые), упаковка медицинских изделий (эластичная и твердая), подушки безопасности/ремни безопасности, подлокотники и подголовники, ковры, пульты управления, щитки, кабины, двери, пульт управления над ветровым стеклом, наличники дверей, потолки салонов автомобилей, внутренние осветительные приборы, внутренние зеркала, багажные полки, крышки задних багажников, сиденья, рулевые колонки, рулевые колеса, текстильные материалы и внутренняя отделка багажников.
V) Пленки (упаковочные, влагозащитные, для слоистых материалов, сельского хозяйства и садоводства, парников, мульчирования, туннелей, силоса), упаковки, плавательных бассейнов, мешки для мусора, обои, термоусадочные пленки, пленки для мебели, опреснения воды, аккумуляторов и соединительных устройств.
VI-1) Упаковка и обертка пищевых продуктов (эластичная и твердая), бутылки.
VI-2) Изделия для хранения, такие как коробки (ящики), багажники, сундуки, домашние коробки, поддоны, полки, направляющие, банки с завинчивающимися крышками, пакеты и банки.
VI-3) Катушки, шприцы, медицинские изделия, транспортировочные контейнеры, коробки и контейнеры для мусора, мешки для мусора, ведра, пылесборники, покрытия для емкостей, тележки на колесах, контейнеры, баки для воды/сточной воды/химикатов/ газа/нефти/бензина/дизельного топлива; облицовка емкостей, коробки, ящики, корпуса аккумуляторов, лотки, медицинские устройства, такие как клапаны, офтальмологические изделия, диагностические устройства и блистерная фармацевтическая упаковка.
VII-1) Экструзионные покрытия (для фотобумаги типа “тетрапак”, покрытия труб), для бытовых изделий любого типа (например, электроприборов, термосов, вешалок для одежды), крепеж, такой как пробки, зажимы для проводов и кабелей, застежки-молнии, крышки, замки и защелки.
VII-2) Держатели, изделия для досуга, такие как спортивные изделия и изделия для фитнеса, спортивные маты, лыжные ботинки, роликовые коньки, лыжи, обувь, покрытия для спортивных сооружений (например, теннисных кортов); винтовые крышки, крышки и пробки для бутылок и банок.
VII-3) Мебель в целом, изделия из пеноматериалов (отделочные, амортизаторы), пеноматериалы, губки, кухонные полотенца, маты, садовые кресла, сиденья стадионов, столы, кресла, игрушки, конструкторы (панели/геометрические фигуры/шары), игрушечные домики, лотки и игрушечные автомобили.
VII-4) Материалы для оптических и магнитных устройств хранения данных.
VII-5) Кухонные изделия (для еды, питья, приготовления пищи, хранения).
VII-6) Коробки для компакт-дисков, магнитофонных и видеокассет; электронных устройств DVD, офисные изделия любых типов (шариковые ручки, печати и штемпельные подушечки, мыши, полки, направляющие), бутылки любого объема и назначения (для напитков, моющих средств, косметики, включая духи) и липкие ленты.
VII-7) Обувь (ботинки/подошвы ботинок), стельки, накладки, клеи, строительные клеи, коробки для пищевых продуктов (фруктов, овощей, мяса, рыбы), синтетическая бумага, этикетки для бутылок, кушетки, искусственные суставы (для людей), пластины для печати (флексографической), печатные платы и детали дисплеев.
VII-8) Устройства из полимеров с наполнителями (тальком, мелом, белой глиной (каолином), волластонитом, пигментами, сажей, TiO2, слюдой, нанокомпозитами, доломитом, силикатами, стеклом, асбестом).
Таким образом, другой вариант осуществления настоящего изобретения относится к формованному изделию, в частности к пленке, трубе, профилю, бутылке, резервуару или контейнеру, волокну, содержащему описанную выше композицию.
Другой вариант осуществления настоящего изобретения относится к литому изделию, содержащему описанную выше композицию. Отливку предпочтительно проводить путем инжектирования, раздува, прессования, центробежного формования или формования полых изделий заливкой и медленным вращением формы или экструзии.
Настоящее изобретение также относится к способу получения синтетического полимерного нанокомпозиционного материала, который включает смешивание в расплаве смеси а) синтетического полимера, b) наполнителя и с) в качестве диспергирующего агента – полимера на основе длинноцепочечного алкил(мет)акрилата.
Смешивание в расплаве можно проводить в любой нагреваемой емкости, снабженной мешалкой, например, в закрытом аппарате, таком как месильная машина, смеситель или сосуд с перемешивающим устройством. Прибавление предпочтительно проводить в экструдере или в месильной машине. Несущественно, проводится ли обработка в инертной атмосфере или в присутствии кислорода.
Прибавление компонентов (а), (b) и (с) можно проводить в любых обычных смесителях, в которых полимер плавится и смешивается с добавками. Подходящие машины известны специалистам в данной области техники. Преимущественно они представляют собой смесители, месильные машины и экструдеры.
Способ предпочтительно осуществлять в экструдере путем внесения добавки во время обработки. Особенно предпочтительными обрабатывающими машинами являются одношнековые экструдеры, двушнековые экструдеры с вращением в противоположных и в одном направлении, экструдеры с планетарной передачей, кольцевые экструдеры или машины для совместного замешивания. Также можно использовать обрабатывающие машины, в которых имеется по меньшей мере одно отделение для удаления газа, которое может быть подключено к вакуумной установке. Подходящие экструдеры и месильные машины описаны, например, в публикации Handbuch der Kunststoffextrusion, Vol.1, Grundlagen, Editors F.Hensen, W.Knappe, H.Potente, 1989, pp. 3-7, ISBN: 3-446-14339-4; and Vol.2 Extrusionsanlagen 1986, ISBN 3-446-14329-7. Например, длина шнека составляет 1-60 диаметров шнека, предпочтительно 35-48 диаметров шнека. Скорость вращения шнека предпочтительно составляет от 10 до 600 оборотов в минуту (об/мин), например 25-300 об/мин. Максимальная производительность зависит от диаметра шнека, скорости вращения и движущей силы. Способ, предлагаемый в настоящем изобретении, также можно осуществлять при производительности, меньшей максимальной, путем изменения указанных параметров или использования весов, подающих дозированные количества. Если прибавляют несколько компонентов, то их можно предварительно перемешать или прибавить по отдельности.
Также представляет интерес способ получения синтетического полимерного нанокомпозиционного материала, при котором перемешивание в расплаве компонентов (синтетического полимера, наполнителя и диспергирующего агента, полученного регулируемой свободнорадикальной полимеризацией) проводят при температуре от 120 до 290°С, предпочтительно от 140 до 250°С, например от 170 до 230°С.
Настоящее изобретение также относится к синтетическим полимерным нанокомпозитам, полученным указанным выше способом.
Предпочтительные компоненты (b) и (с) и необязательно другие добавки в способе получения синтетического полимерного нанокомпозиционного материала являются такими же, что и описанные для композиции.
Предпочтительный вариант осуществления настоящего изобретения также относится к применению полимера на основе длинноцепочечного алкил(мет)акрилата для включения и отслаивания наполнителя и диспергирования наполнителя в матрице из синтетического полимера с образованием нанокомпозиционного материала.
Предпочтительные для такого применения диспергирующий агент, наполнитель и синтетический полимер и необязательно другие добавки являются такими же, что и описанные для композиции.
Приведенные ниже примеры иллюстрируют настоящее изобретение. Выраженные в частях и процентах содержания являются массовыми.
Гель-проникающую хроматографию (ГПХ) выполняют на жидкостном хроматографе Waters Associates, снабженном дифференциальным рефрактометром и набором из четырех колонок размером 600 мм×7,56 мм, включающим три PLgel 5 мкм смешанные колонки С и одну PLgel 3 мкм смешанную колонку Е (Polymer Laboratories). В качестве элюента используют тетрагидрофуран (скорость потока 1,0 мл/мин) при 22±2°С. Колонки калибруют с помощью стандартов полистирола, обладающих узкой полидисперсностью (Polymer Laboratories) и в ГПХ молекулярные массы выдаются в виде полистирольных эквивалентов.
Пример 1. Получение статистических акриловых сополимеров с помощью обычной радикальной полимеризации (Conv).
a) Получение сополимера октадецилакрилата с диметиламиноэтилакрилатом (PODA-co-DMAEA).
Раствор 300 г (924,4 ммоль) октадецилакрилата, 33,3 г (232,8 ммоль) 2-(N,N-диметиламино)этилакрилата и 10,95 г (66,7 ммоль) AIBN (азаизобутиронитрил) в 400 мл сухого толуола дегазируют путем продувки аргоном в течение 3 ч. Полимеризацию проводят при 60°С при перемешивании в атмосфере аргона в течение 67,5 ч. Реакционную смесь осаждают, при энергичном перемешивании внося ее в ацетон (2,5 л). Полимер собирают фильтрованием и сушат в вакууме в течение двух дней (светло-желтое твердое вещество; 1H ЯМР: конверсия 100%; ГПХ: Мn 22990, Мw/Мn 3,7).
b) Получение сополимера октадецилакрилата с малеиновым ангидридом (PODA-co-MAH).
Раствор (А) стеарилакрилата (ODA, 300,0 г, 0,924 моль), малеинового ангидрида (МАН, 45 г, 0,46 моль) и AIBN (2,7 г, 16,5 ммоль) в 930 мл сухого ТГФ (тетрагидрофуран) и раствор (В) стеарилакрилата (150 г, 0,46 моль) и AIBN (1,35 г, 8,26 ммоль) в 320 мл сухого ТГФ дегазируют путем продувки аргоном с одновременным использованием вакуума. Раствор А нагревают и перемешивают при 70°С в атмосфере аргона в течение 2 ч, затем раствор В с помощью канюли переносят в раствор А. После прибавления смесь нагревают и перемешивают при такой же температуре всего в течение 24 ч. Раствор полимера осаждают в ацетоне (6 л) и полученный полимер собирают фильтрованием и сушат в вакуумном сушильном шкафу в течение двух дней (белое твердое вещество; 1Н ЯМР: конверсия 96,3% для ODA и 100% для МАН; ГПХ: Мn 4200, Mw/Мn 1,49).
c) Получение сополимера октадецилакрилата с N-винилпирролидоном (PODA-co-NVP).
Раствор (А) стеарилакрилата (ODA, 50,0 г, 0,154 моль), N-винилпирролидона (NVP, 4,28 г, 0,0385 моль) и AIBN (1,78 г, 10,8 ммоль) в сухом толуоле (400 мл) и раствор (В) стеарилакрилата (450 г, 1,387 моль), N-винилпирролидона (38,5 г, 0,347 моль) и AIBN (16,04 г, 97,69 ммоль) в сухом толуоле (600 мл) дегазируют путем продувки аргоном с одновременным использованием вакуума. Раствор А сначала нагревают и перемешивают при 100°С в атмосфере аргона в течение 40 мин, затем аликвоты (171, 233, 317 мл и остаток раствора) прибавляют с помощью шприца с 40-минутными интервалами. После прибавления смесь нагревают и перемешивают при такой же температуре в течение еще 40 мин. Полное время полимеризации равно 4,5 ч. Раствор полимера осаждают в ацетоне (6 л) и полученный полимер собирают фильтрованием и сушат в вакуумном сушильном шкафу в течение трех дней (белое твердое вещество; 1Н ЯМР: конверсия 99% для ODA и 100% для NVP; ГПХ: Мn 9300, Mw/Mn 1,47).
d) Получение сополимера октадецилметакрилата с N-винилпирролидоном (PODMA-co-NVP).
Раствор 404 г (1190 ммоль) октадецилметакрилата, 33,2 г (298 ммоль) N-винилпирролидона, 7,9 г (87,4 ммоль) 1-бутантриола и 1,44 г (8,74 ммоль) AIBN (азаизобутиронитрил) в 1000 мл сухого толуола дегазируют путем продувки аргоном в течение 3 ч. Полимеризацию проводят при 60°С при перемешивании в атмосфере аргона в течение 63,0 ч. Полученный раствор осаждают, при энергичном перемешивании внося ее в ацетон (5,0 л). Полимер собирают фильтрованием и сушат в вакууме в течение двух дней (белое твердое вещество, 1H ЯМР: конверсия 100% для ODMA и 48% для NVP; ГПХ: Мn 6000, Mw/Мn 1,48).
е) Получение сополимера октадецилакрилата с N-винилпирролидоном (PODA-co-NVP).
Раствор (А) октадецилакрилата (ODA, 500 г, 1,54 моль), N-винилпирролидона (NVP, 42,8 г, 0,385 моль) и AIBN (0,87 г, 5,3 ммоль) в 1000 мл сухого толуола (раствор А) и раствор (В) AIBN (17 г, 103,3 ммоль) в 260 мл сухого толуола дегазируют путем продувки аргоном с одновременным использованием вакуума. Раствор А сначала нагревают и перемешивают при 110°С в атмосфере аргона в течение 20 мин, затем раствор В прибавляют с помощью шприца аликвотами по 20 мл с 5-минутными интервалами. После завершения прибавления смесь нагревают и перемешивают при такой же температуре в течение еще 14 ч. Полное время полимеризации равно 15,5 ч. Раствор полимера осаждают в ацетоне (6 л) и полученный полимер отфильтровывают и сушат в вакуумном сушильном шкафу в течение трех дней (белое твердое вещество; 1Н ЯМР: конверсия 100% и для ODA, и NVP; ГПХ: Мn 24900, Mw/Mn 5,07).
Таблица 1 Полимеры, полученные с помощью обычной радикальной полимеризации |
| Полимер1) |
Получено с помощью 2) |
DP (1)3) |
DP(2)3) |
Мn 4) |
Mw/Mn 5) |
| PODA-co-MAH |
Conv |
4,0 |
1,0 |
7030(4100) |
– |
| PODA-co-PEGMEA |
Conv |
14,7 |
4,9 |
7400(6100) |
1,2 |
| PODA-co-DMAEA |
Conv |
4,0 |
1,0 |
(23000) |
3,7 |
| PODA-co-BA-co-DMAEA |
Conv |
2,0/6,0 |
2,0 |
(8800) |
10,8 |
| PODA-co-BA-со-МАН |
Conv |
2,0/6,0 |
2,0 |
(4550) |
3,1 |
| PODA-co-DEGEEA |
Conv |
4,0 |
1,0 |
Нерастворим |
Нерастворим |
| PODA-co-PEGMEA |
Conv |
4,0 |
1,0 |
(4300) |
1,7 |
| PODA-co-MAH |
Conv |
3,0 |
1,0 |
(5200) |
2,32 |
| PODA-co-MAH |
Conv |
5,0 |
1,0 |
(6100) |
2,70 |
| PODA-co-MAH |
Conv1 |
3,0 |
1,0 |
(4200) |
1,49 |
| PODA-co-NVP |
Conv5 |
4,0 |
1,0 |
Данных нет |
Данных нет |
| PODA-co-NVP |
Conv4 |
4,0 |
1,0 |
(24900) |
5,07 |
| PODMA-co-NVP |
Conv3 |
4,0 |
1,0 |
(6000) |
1,48 |
| PODA-co-NVP |
Conv3 |
4,0 |
1,0 |
(49800) |
3,84 |
| PODMA-co-MAH |
Conv3 |
3,0 |
1,0 |
(5100) |
1,55 |
| PODA-co-NVP |
Conv2 |
4,0 |
1,0 |
(9300) |
1,47 |
| PODA-co-GA |
Conv |
4,0 |
1,0 |
(48300) |
5,08 |
| PODMA-co-NVP |
Conv3 |
4,0 |
1,0 |
(18700) |
1,73 |
| 1) Аббревиатуры: |
| PODA-co-MAH обозначает сополимер октадецилакрилата с малеиновым ангидридом, |
| PODA-co-PEGMEA обозначает сополимер октадецилакрилата с акрилатом метилового эфира полиэтиленгликоля, |
| PODA-co-DMAEA обозначает сополимер октадецилакрилата с 2-диметиламиноэтилакрилатом, |
| PODA-co-BA-co-DMAEA обозначает сополимер октадецилакрилата с бутилакрилатом и 2-диметиламиноэтилакрилатом, |
| PODA-co-BA-co-MAH обозначает сополимер октадецилакрилата с бутилакрилатом и малеиновым ангидридом, |
| PODA-co-DEGEEA обозначает сополимер октадецилакрилата с акрилатом этилового эфира диэтиленгликоля, |
| PODA-co-NVP обозначает сополимер октадецилакрилата с N-винилпирролидоном, |
| PODMA-co-NVP обозначает сополимер октадецилметакрилата с N-винилпирролидоном, |
| PODMA-co-MAH обозначает сополимер октадецилметакрилата с малеиновым ангидридом, |
| PODA-co-GA обозначает сополимер октадецилакрилата с глицидилакрилатом. |
| 2) Методика синтеза: |
| Conv-обычная радикальная полимеризация с использованием инициатора AIBN, описанная, например, в примере 1а. |
| Conv1-обычная радикальная полимеризация с использованием инициатора AIBN и прибавлением мономеров порциями, описанная, например, в примере Ib. |
| Conv2-обычная радикальная полимеризация с использованием инициатора AIBN и прибавлением мономеров порциями, описанная, например, в примере 1с. |
| Conv3-обычная радикальная полимеризация с использованием инициатора AIBN и бутантриола в качестве реагента-передатчика цепи, описанная, например, в примере 1d. |
| Conv4-обычная радикальная полимеризация с использованием инициатора AIBN, описанная, например, в примере 1е. |
| Conv5-обычная радикальная полимеризация с использованием инициатора AIBN, описанная, например, в примере 1а, но при температуре реакции, равной 70°С. |
| 3) DPI и DP2 обозначают общий состав и среднее отношение количеств сомономеров в полимерной цепи. |
| 4) Молекулярные массы получены интегрированием спектров 1Н ЯМР, в скобках приведены значения, полученные с помощью ГПХ. |
| 5) Показатели полидисперсности получены с помощью ГПХ. |
Пример 2. Получение статистических акриловых сополимеров с помощью ОПФП полимеризации.
Получение сополимера октадецилакрилата с диметиламиноэтилакрилатом-PODA-co-DMAEA.
Раствор 200 г (616 ммоль) октадецилакрилата, 22,1 г (154 ммоль) 2-(N,N-диметиламино)этилакрилата, 12,0 г (44,4 ммоль) бутил-1-фенилэтилтритиокарбоната и 729 мг (4,44 ммоль) AIBN в 300 мл сухого толуола дегазируют путем продувки аргоном в течение 3 ч. Полимеризацию проводят при 60°С при перемешивании в атмосфере аргона в течение 24 ч. Реакционную смесь осаждают, при энергичном перемешивании внося ее в ацетон (2,5 л). Полимер собирают фильтрованием и сушат в вакууме в течение двух дней (желтое твердое вещество; 1Н ЯМР: конверсия 95,1%; ГПХ: Мn 5590, Мn/Мn 1,1).
Таблица 2 Сополимеры, полученные с помощью ОПФП полимеризации |
| Полимер1) |
Получено с помощью 2) |
DP(1)3) |
DP(2)3) |
Мn 4) |
Mw/Mn 5) |
| PODA-co-DMAEA |
ОПФП |
30,0 |
7,0 |
11000(13700) |
1,2 |
| PODA-co-PEGMEA |
ОПФП |
26,1 |
6,6 |
11500(8800) |
1,2 |
| PODA-co-NVP |
ОПФП |
53,1 |
14,2 |
19250(16200) |
1,23 |
| PODA-co-DMAEA |
ОПФП |
12,3 |
3,1 |
4700(5600) |
1,08 |
| PODA-co-MAH |
ОПФП3 |
4,4 |
13,6 |
15000(6300) |
1,29 |
| PODA-co-MMA-со-МАН |
ОПФП3 |
11,0/2,0 |
2,0 |
4300(5300) |
1,13 |
| PODA-co-DEGEEA |
ОПФП3 |
12,5 |
1,4 |
4700(5900) |
1,06 |
| PODA-co-DMAEA |
ОПФП3 |
12,5 |
1,4 |
4600(5800) |
1,07 |
| PODA-co-DMAEA |
ОПФП3 |
96,7 |
10,8 |
33500(34900) |
1,14 |
| PODA-co-MAH |
ОПФП3 |
38,5 |
9,0 |
13800(10400) |
1,28 |
| PODA-co-MAH |
ОПФП3 |
50 |
7,0 |
17300(7200) |
1,27 |
| PODA-co-MAH |
ОПФП3 |
45,5 |
2,3 |
15400(8000) |
1,32 |
| PODA-co-MEP |
ОПФП3 |
43,6 |
1,53 |
14900(8400) |
1,41 |
| PLA-co-MAH |
ОПФП3 |
69,0 |
21,0 |
18900(4000) |
1,62 |
| PODA-co-GMA |
ОПФП3 |
54,8 |
15,1 |
20300(15600) |
1,29 |
| PODA-co-MAA |
ОПФП3 |
10,0 |
1,0 |
(14500) |
1,21 |
| PODA-co-MAA |
ОПФП3 |
5,0 |
1,0 |
(13900) |
1,21 |
| PODA-co-MA-co-МАА |
ОПФП3 |
9,0/1,0 |
1,0 |
(14900) |
1,21 |
| PODA-co-MAH-со-АА |
ОПФП3- |
9,0 |
1,0/1,0 |
(12800) |
1,18 |
| 1) Аббревиатуры: |
| PODA-co-DMAEA обозначает сополимер октадецилакрилата с 2-диметиламиноэтилакрилатом, |
| PODA-co-PEGMEA обозначает сополимер октадецилакрилата с акрилатом метилового эфира полиэтиленгликоля, |
| PODA-co-NVP обозначает сополимер октадецилакрилата с N-винилпирролидоном, |
| PODA-co-MAH обозначает сополимер октадецилакрилата с малеиновым ангидридом, |
| PODA-co-MMA-co-MAH обозначает сополимер октадецилакрилата с метилметакрилатом и малеиновым ангидридом, |
| PODA-co-DEGEEA обозначает сополимер октадецилакрилата с акрилатом этилового эфира диэтиленгликоля, |
| PODA-co-MEP обозначает сополимер октадецилакрилата с метакрилоилоксиэтилфосфатом, |
| PLA-co-MAH обозначает сополимер лаурилакрилата с малеиновым ангидридом, PODA-co-GMA обозначает сополимер октадецилакрилата с глицидилметакрилатом, |
| PODA-co-MAA обозначает сополимер октадецилакрилата с метакриловой кислотой, |
| PODA-co-PMA-co-MAA обозначает сополимер октадецилакрилата с метакрилатом и метакриловой кислотой, |
| PODA-co-MAH-co-AA обозначает сополимер октадецилакрилата с малеиновым ангидридом и акриловой кислотой. |
| 2) Методика синтеза: |
| ОПФП-полимеризация с обратимым присоединением-фрагментацией с передачей цепи, описанная, например, в примере 2 (статистический сополимер) или 4 (блок-сополимер). |
| ОПФП3-полимеризация с обратимым присоединением-фрагментацией с передачей цепи, описанная, например, в примере 4, но с использованием S-додецил-5-(1-фенилэтил)тритиокарбоната в качестве агента ОПФП. |
| 3) DP1 и DP2 обозначают общий состав и среднее отношение количеств сомономеров в полимерной цепи. |
| 4) Молекулярные массы получены интегрированием спектров 1Н ЯМР, в скобках приведены значения, полученные с помощью ГПХ. |
| 5) Показатели полидисперсности получены с помощью ГПХ. |
Пример 3. Получение акриловых блок-сополимеров с помощью полимеризации, опосредуемой нитроксидом (ОНП).
Получение соединения формулы ОНП-1

раскрыто в примере 1 в GB-A-2361235.
a) Получение поли(октадецилакрилата) (PODA).
Смесь 103,1 г (317,7 ммоль) октадецилакрилата и 5,55 г (15,4 ммоль) соединения формулы ОНП-1 [получение раскрыто в примере 1 в GB-A-2361235] дегазируют с помощью трех циклов замораживания-откачки-оттаивания. Смесь нагревают на масляной бане при перемешивании при 120°С в атмосфере аргона в течение 48 ч. Полимер разбавляют с помощью 60 мл толуола и осаждают в этаноле (800 мл при 35°С), отфильтровывают, промывают этанолом и сушат при комнатной температуре в вакуумном сушильном шкафу в течение 48 ч (белое твердое вещество; 1Н ЯМР: конверсия 74,6%, Мn 4800; ГПХ: Мn 6310, Mw/Mn 1,2).
b) Получение блок-сополимера октадецилакрилата с 2-(N,N-диметиламино)этилакрилатом (PODA-b-PDMAEA).
Раствор 15 г (3,14 ммоль) поли(октадецилакрилата) [полученного в соответствии с примером 3а] и 7 г (48,8 ммоль) 2-(N,N-диметиламино)этилакрилата в сухом толуоле (25 мл) в шарообразной ампуле дегазируют по методике замораживания-оттаивания. Запаянную ампулу выдерживают на масляной бане при 120°С в течение 42,5 ч. Полимер осаждают в метаноле (400 мл) при энергичном перемешивании. Твердое вещество отфильтровывают, промывают метанолом и сушат при 35°С в вакуумном сушильном шкафу в течение ночи (белое твердое вещество; 1Н ЯМР: конверсия 41,2%, Мn 5700; ГПХ: Мn 7200, Мw/Мn 1,2).
Таблица 3 PODA и блок-сополимеры, полученные с помощью полимеризации, опосредуемой нитроксидом |
| Полимер1) |
Получено с помощью 2) |
DP(1)3) |
DP(2)4) |
Мn 5) |
Mw/Mn 6) |
| PODA |
ОНП |
12,3 |
|
4400(4800) |
1,3 |
| PODA-b-PVP |
ОНП |
15,6 |
6,2 |
6100 |
– |
| PODA-b-PEGMEA |
ОНП |
15,6 |
5,6 |
7960 |
– |
| PODA-b-HEA |
ОНП |
19,5 |
8,3 |
7700 |
1,3 |
| PODA-b-DMAEA |
ОНП |
13,6 |
6,4 |
5700(7200) |
1,2 |
| PODA-b-HEA |
ОНП |
19,5 |
8,3 |
7700 |
1,3 |
| PODA-b-AN |
ОНП |
17,1 |
21,0 |
7700 |
– |
| PODA-b-VP |
ОНП |
15,6 |
6,2 |
6100 |
– |
| PODA-b-DMA |
ОНП |
20,0 |
7,7 |
7600 |
– |
| 1) Аббревиатуры: |
| PODA обозначает поли(октадецилакрилат), |
| PODA-b-VP обозначает блок-сополимер октадецилакрилата с N-винилпиридином, |
| PODA-b-PEGMEA обозначает блок-сополимер октадецилакрилата с акрилатом метилового эфира полиэтиленгликоля, |
| PODA-b-HEA обозначает блок-сополимер октадецилакрилата с 2-гидроксиэтилакрилатом, |
| PODA-b-DMAEA обозначает блок-сополимер октадецилакрилата с 2-диметиламиноэтилакрилатом, |
| PODA-b-AN обозначает блок-сополимер октадецилакрилата с акрилонитрилом, |
| PODA-b-DMA обозначает блок-сополимер октадецилакрилата с N,N-диметилакриламидом. |
| 2) Методика синтеза: |
| ОНП обозначает полимеризацию, опосредуемую нитроксидом, описанную, например, в примере 3. |
| 3) Степень полимеризации первого блока. |
| 4) Степень полимеризации второго блока. |
| 5) Молекулярные массы получены интегрированием спектров 1Н ЯМР, в скобках приведены значения, полученные с помощью ГПХ. |
| 6) Показатели полидисперсности получены с помощью ГПХ. |
Пример 4. Получение акриловых блок-сополимеров с помощью ОПФП.
а) Получение поли(октадецилакрилата) (PODA).
Раствор 200 г (616 ммоль) октадецилакрилата, 12,0 г (44,4 ммоль) S-бутил-S’-фенилэтилтритиокарбоната и 729 мг (4,44 ммоль) AIBN в 250 мл сухого толуола дегазируют путем продувки аргоном в течение 3 ч. Полимеризацию проводят при 60°С в течение 20 ч при перемешивании в атмосфере аргона (1Н ЯМР: конверсия 94,4%; ГПХ: Mn 5170, Mw/Mn 1,1).
b) Получение блок-сополимера октадецилакрилата с диметиламиноэтилакрилатом (PODA-b-DMAEA).
Раствор 22,1 г (154 ммоль) 2-(N,N-диметиламино)этилакрилата и 364 мг (2,22 ммоль) AIBN в 50 мл сухого толуола дегазируют путем продувки аргоном в течение 3 ч. Этот раствор с помощью шприца прибавляют к указанному выше раствору [пример 4а]. Смесь перемешивают при 60°С в атмосфере аргона в течение 22 ч. Реакционную смесь осаждают, при энергичном перемешивании внося ее в ацетон (2,5 л). Полимер собирают фильтрованием и сушат в вакууме в течение двух дней (желтое твердое вещество; 1Н ЯМР: общая конверсия 97,5%; ГПХ: Mn 5400, Mw/Mn 1,1).
Таблица 4 PODA и блок-сополимеры, полученные с помощью ОПФП полимеризации |
| Полимер1) |
Получено с помощью 2) |
DP(1)3) |
DP(2)3) |
Мn 5) |
Mw/Mn 6) |
| PODA |
ОПФП |
14,8 |
– |
5200 |
– |
| PODA-b-NVP |
ОПФП2 |
21,6 |
2,9 |
7700 |
– |
| PODA-b-DMAEA 5000 |
ОПФП |
14,8 |
3,7 |
5600(5400) |
1,09 |
| PODA-b-DMAEA 15000 |
ОПФП |
41,7 |
8,5 |
14800(15600) |
1,21 |
| PODA-b-(PMMA-co-MAH)7) |
ОПФП3 |
6,0/1,0 |
1,0 |
(5800) |
1,14 |
| PODA-b-DMAEA7) |
ОПФП3 |
10,0 |
1,0 |
4200(5900) |
1,08 |
| PODA-b-(PMA-co-MAA)7) |
ОПФП3 |
9,0 |
1,0/1,0 |
(13500) |
1,21 |
| PODA-b-(PMAH-co-AA)7) |
ОПФП3 |
9,0 |
1,0/1,0 |
(12500) |
1,28 |
| 1) Аббревиатуры: |
| PODA-b-NVP обозначает блок-сополимер октадецилакрилата с N-винилпирролидоном, |
| PODA-b-DMAEA обозначает блок-сополимер октадецилакрилата с 2-диметиламиноэтилакрилатом, |
| PODA-b-(PMMA-co-MAH) обозначает блок-сополимер октадецилакрилата с сополимером метилметакрилата с малеиновым ангидридом, |
| PODA-b-(PMA-co-MAA) обозначает блок-сополимер октадецилакрилата с сополимером метилакрилата с метакриловой кислотой, |
| PODA-b-(PMAH-co-AA) обозначает блок-сополимер октадецилакрилата с сополимером малеинового ангидрида с акриловой кислотой. |
| 2) Методика синтеза: |
| ОПФП-полимеризация с обратимым присоединением-фрагментацией с передачей цепи, описанная, например, в примере 2 (статистический сополимер) или 4 (блок-сополимер). |
| ОПФП2-полимеризация с обратимым присоединением-фрагментацией с передачей цепи, описанная, например, в примере 4, но с использованием O-пентафторфенил-S-бензилксантата в качестве агента ОПФП. |
| ОПФП3-полимеризация с обратимым присоединением-фрагментацией с передачей цепи, описанная, например, в примере 4, но с использованием S-додецил-S-(1-фенилэтил)тритиокарбоната в качестве агента ОПФП. |
| 3) Степень полимеризации первого блока. |
| 4) Степень полимеризации второго блока. |
| 5) Молекулярные массы получены интегрированием спектров 1Н ЯМР, в скобках приведены значения, полученные с помощью ГПХ. |
| 6) Показатели полидисперсности получены с помощью ГПХ. |
| 7) В случае статистического или градиентного блок-сополимера эти два числа показывают полные степени полимеризации и обозначают среднее отношение количеств сомономеров в полимерной цепи. |
Пример 5. Получение акриловых блок-сополимеров с использованием макроинициатора.
а) Получение блок-сополимера метилового эфира этиленгликоля с октадецилакрилатом.
Раствор 6,29 г (3,78 ммоль) азо-макроинициатора [полученного по методике Rentsch and Schultz, Makromol. Chem. 1977, 178, 2535, с монометиловым эфиром полиэтиленгликоля, ММ равна 750] и 21,14 г (65,1 ммоль) октадецилакрилата в 15 мл сухого толуола в ампуле дегазируют с помощью трех циклов замораживания-откачки-оттаивания. Запаянную ампулу выдерживают на масляной бане при 120°С в течение 2 ч. Раствор полимера осаждают в 300 мл метанола. Твердое вещество собирают фильтрованием, дважды промывают метанолом (20 мл) и сушат в вакуумном сушильном шкафу в течение двух дней. Выход полимера равен 22,4 г (76%). ГПХ Mn 8900; Mw/Mn 5,9.
Таблица 5 Блок-сополимеры, полученные с использованием макроинициатора |
| Полимер1) |
Получено с помощью 2) |
DP(1)3) |
DP(2)4) |
Мn 5) |
Mw/Mn 6) |
| PODA-b-PEO750 |
Macroinit |
16,0 |
26,4 |
9400(8900) |
5,9 |
| PODA-b-РЕО1000 |
Macroinit |
22,0 |
38,2 |
13500(6500) |
1,9 |
| 1) Аббревиатуры: |
| PODA-b-PEO750 обозначает блок-сополимер октадецилакрилата с этиленгликолем (ПЭГ, ММ (молекулярная масса) равна 750), |
| PODA-b-РЕО1000 обозначает блок-сополимер октадецилакрилата с этиленгликолем (ПЭГ, ММ равна 1000). |
| 2) Методика синтеза: |
| Macroinit обозначает обычную полимеризацию с использованием макроинициатора, описанную, например, в примере 5. |
| 3) Степень полимеризации первого блока. |
| 4) Степень полимеризации второго блока. |
| 5) Молекулярные массы получены интегрированием спектров 1Н ЯМР, в скобках приведены значения, полученные с помощью ГПХ. |
| 6) Показатели полидисперсности получены с помощью ГПХ. |
Пример 6. Получение блок-сополимера октадецилакрилата с 4-винилбензилтриэтиламмонийхлоридом (PODA-b-VBTEAC).
Раствор 2,0 г (3,28 ммоль VBC) P(ODA-bl-VBC) и 1,77 г (17,4 ммоль) триэтиламина в 10 мл толуола перемешивают при 90°С в течение 48 ч. Растворитель и непрореагировавший триэтиламин удаляют в вакууме. По данным ЯМР степень кватернизации равна 71,86%. 1H ЯМР (CDCl3): 4,0 (ОСН2 фрагмента ODA), 3,4 (NCH2 фрагмента 4-винилбензилтриэтиламмонийхлорида).
| Таблица 6 |
| Сополимеры, полученные с помощью ОПФП и ОНП полимеризации и кватернизованные |
| Полимер1) |
Получено с помощью 2) |
DP(1)3) |
DP(2)4) |
Мn 5) |
Mw/Mn 6) |
| PODA-b-VBTEAC |
ОНП Q |
19,5 |
10,5 |
10000 |
– |
| PODA-b-VBTBPC |
ОНП Q |
19,5 |
14,6 |
– |
– |
| PODA-b-VBDHEA |
ОНП Q |
19,5 |
8,4 |
9800 |
– |
| PODA-co-AETMAI7) |
ОПФП3 Q |
15,5 |
3,8 |
6000(6300) |
1,06 |
| PODA-co-AEBDMAB7) |
ОПФП3 Q |
13,4 |
3,4 |
5200(6300) |
1,09 |
| PODA-co-AEDMAC7) |
ОПФП3 Q |
14,5 |
3,6 |
5600(6500) |
1,13 |
| PODA-b-AEBDMAB |
ОПФП3 Q |
12,9 |
3,2 |
5200(5100) |
1,06 |
| PODA-b-AETMAI |
ОПФП3 Q |
14,7 |
2,2 |
5800(5100) |
1,06 |
| PODA-co-AEBDMAB7) |
ОПФП3 Q |
12,5 |
1,4 |
(5700) |
1,06 |
| PODA-b-AEBDMAB |
ОПФП3 Q |
11,4 |
1,3 |
4500(5700) |
1,07 |
| PODA-co-AEBDMAB7) |
ОПФП3 Q |
98,5 |
10,9 |
35500(8700) |
1,37 |
| 1) Аббревиатуры: |
| PODA-b-VBTEAC обозначает блок-сополимер октадецилакрилата с 4-винилбензилтриэтиламмонийхлоридом, |
| PODA-b-VBTBPC обозначает блок-сополимер октадецилакрилата с 4-винилбензилтрибутилфосфонийхлоридом, |
| PODA-b-VBDHEA обозначает блок-сополимер октадецилакрилата с 4-винилбензилди(гидроксиэтил)аммонийхлоридом, |
| PODA-co-AETMAI обозначает сополимер октадецилакрилата с акрилоилоксиэтилтриметиламмониййодидом, |
| PODA-co-AEBDMAB обозначает сополимер октадецилакрилата с акрилоилоксиэтилбутилдиметиламмонийбромидом, |
| PODA-co-AEDMAC обозначает сополимер октадецилакрилата с акрилоилоксиэтилдиметиламмонийхлоридом, |
| PODA-b-AEBDMAB обозначает блок-сополимер октадецилакрилата с акрилоилоксиэтилбутилдиметиламмонийбромидом, |
| PODA-b-AETMAl обозначает блок-сополимер октадецилакрилата с акрилоилоксиэтилтриметиламмониййодидом. |
| 2) Методика синтеза: |
| Сополимеры получают по одной из следующих методик: |
| ОНП обозначает полимеризацию, опосредуемую нитроксидом, описанную, например, в примере 3. |
| ОПФП3 обозначает полимеризацию с обратимым присоединением-фрагментацией с передачей цепи, описанную, например, в примере 4, но с использованием S-додецил-S-(1-фенилэтил)тритиокарбоната в качестве агента ОПФП с последующей кватернизацией, описанной, например, в примере 6. |
| 3) Степень полимеризации первого блока. |
| 4) Степень полимеризации второго блока. |
| 5) Молекулярные массы получены интегрированием спектров 1Н ЯМР, в скобках приведены значения, полученные с помощью ГПХ. |
| 6) Показатели полидисперсности получены с помощью ГПХ. |
| 7) В случае статистических или градиентных сополимеров DP1 и DP2 обозначают общий состав и среднее отношение количеств сомономеров в полимерной цепи. |
Пример 7. Получение полипропиленовых нанокомпозитов в смесителе периодического действия на основе немодифицированного натриевого производного монтмориллонита.
50 г полипропилена [Basell KY 6100 (RTM)] в пластмассовой чашке смешивают с 0,25% Irganox 1010 (RTM) (пентаэритриттетракис[3-(3,5-ди-трет-бутил-4-гидроксифенил)пропионат]) и 0,25% Irgafos 168 (RTM) (трис(2,4-ди-трет-бутилфенил)фосфит), 5% монтмориллонитовой глины [Cloisite (Na+) (RTM), полученной от фирмы Southern Clay Industries] и 2,5% диспергирующего агента, указанного в таблице 7, и затем прибавляют в смеситель периодического действия, работающий при 25 об/мин и 180°С, затем смесь обрабатывают при 50 об/мин в течение 10 мин. С помощью формовочной машины CS-183 ММХ Minimax проводят маломасштабное инжекционное формование. Камеру смешивания подогревают до 230°С и в течение 1 ч до инжекционного формования материал нагревают в сушильном шкафу при 120°С. Примерно 5 г материала помещают в камеру смешивания и нагревают в течение 4-5 мин. Перед проведением формования из формовочной машины CS-183 MMX Minimax выпускают небольшое количество материала. Из каждых 5 г материала получают 6 образцов для испытания на разрыв размерами 18 мм×5 мм×0,85 мм.
Испытание на разрыв проводят в соответствии со стандартом ASTM D 638 с помощью прибора для испытания на разрыв небольшого количества материала Rheometrics [Minimat 2000 (RTM)], снабженного динамометрическим датчиком на 1000 Н (40 мм/мин). Результаты приведены в таблице 7.
| Таблица 7 |
| Пример |
Диспергирующий агент |
d-001 (А)c) |
Нормированный модуль упругостиd) |
Разрывное удлинение (%)e) |
| 7aa) |
Отсутствует |
10 |
1,12 |
0,97 |
| 7bb) |
PODA (3а) |
12 |
1,20 |
1,12 |
| 7cb) |
PODA-b-VP (3b) |
12 |
1,24 |
1,15 |
| 7db) |
PODA-b-PEGMEA (3с) |
17 |
1,18 |
1,22 |
| 7eb) |
PODA-b-HEA (3d) |
12 |
1,23 |
0,82 |
| а) Сравнительный пример. |
| b) Пример, соответствующий настоящему изобретению (номер приведен в скобках). |
| с) Межплоскостные расстояния определяют с помощью дифракции рентгеновских лучей. |
| d) Нормированный модуль упругости относительно полипропилена, обработанного при сходных условиях (=1,0). |
| е) Нормированное разрывное удлинение относительно полипропилена, обработанного при сходных условиях (=1,0). |
Спектры дифракции рентгеновских лучей (ДРЛ) показывают, что все акриловые сополимеры, указанные в таблице 7, при проведении экспериментов по прямому смешиванию расплава в смесителе периодического действия включают использованную глину. Об этом свидетельствует увеличение межплоскостного расстояния от 10Å (сравнительный пример 7а) до 17Å (пример 7d, соответствующий настоящему изобретению). Модуль упругости образцов увеличивается на 18-24% по сравнению с полипропиленом без диспергирующего агента. Неожиданным является то, что разрывное удлинение также увеличивается на 12-30% (за исключением PODA-b-PHEA).
Пример 8. Получение полипропиленовых нанокомпозитов в смесителе периодического действия на основе немодифицированного натриевого производного монтмориллонита.
Полипропиленовые нанокомпозиты получают по аналогии с примером 7 с полипропиленом Basell HP400N (RTM) вместо Basell KY 6100 (RTM). Результаты приведены в таблице 8.
| Таблица 8 |
| Пример |
Диспергирующий агент |
Нормированный модуль упругости |
| 8aa) |
Отсутствует |
1,20 |
| 8bb) |
PODA-b-DMAEA (3е) |
1,39 |
| 8cb) |
PODA-co-EGMEA (1b) |
1,36 |
| 8db) |
PODA-co-MAH (1a) |
1,32 |
| 8eb) |
PODA-co-DMAEA (1с) |
1,22 |
| 8fb) |
PODA-co-DMAEA (2а) |
1,33 |
| 8gb) |
PODA-co-BA-co-DMAEA (1d) |
1,27 |
| 8hb) |
PODA-co-BA-co-MAH (1e) |
1,26 |
| 8ib) |
PODA-co-DEGEEA (1f) |
1,37 |
| 8jb) |
PODA-co-EGMEA (1g) |
1,33 |
| 8kb) |
PODA-co-EGMEA (2b) |
1,47 |
| а) Сравнительный пример. |
| b) Пример, соответствующий настоящему изобретению (номер приведен в скобках). |
| d) Нормированный модуль упругости относительно конкурентного полипропиленового нанокомпозита (8а), обработанного при сходных условиях (=1.0). |
Модуль упругости образцов увеличивается на 26-47% по сравнению с полипропиленом без диспергирующего агента.
Пример 9. Получение полипропиленовых нанокомпозитов в смесителе периодического действия на основе модифицированного амином монтмориллонита.
Полипропиленовые нанокомпозиты получают по аналогии с примером 7 с использованием модифицированного амином монтмориллонита Nanofil 15 (RTM), полученного от фирмы Sued Chemie, вместо монтмориллонитовой глины [Cloisite (Na+) (RTM), полученной от фирмы Southern Clay Industries]. Результаты приведены в таблице 9.
| Таблица 9 |
| Пример |
Диспергирующий агент |
d-001 в Åc) |
| 9aa) |
Отсутствует |
28,5 |
| 9bb) |
PODA-b-AN (3g) |
35,3 |
| 9cb) |
PODA-b-NVP (4b) |
33,3 |
| 9db) |
PODA-b-HEA (3f) |
35,3 |
| 9eb) |
PODA-b-VP (3h) |
38,4 |
| 9fb) |
PODA-b-PEGMEA (3i) |
37,6 |
| 9gb) |
PODA-b-PEO750 (5a) |
34,6 |
| 9hb) |
PODA-b-PEO1000 (5b) |
34,6 |
| 9ib) |
PODA-b-VBTEAC (6a) |
42,0 |
| 9jb) |
PODA-b-VBTBPC (6b) |
32,0 |
| 9kb) |
PODA-b-VBDHEA (6c) |
35,0 |
| Подстрочные примечания а), b), с) см. в конце таблицы 7 |
Спектры дифракции рентгеновских лучей (ДРЛ) показывают, что все акриловые полимеры, указанные в таблице 4, при проведении экспериментов по прямому смешиванию расплава в смесителе периодического действия включают использованную глину. Об этом свидетельствует межплоскостное расстояние, равное 32-42Å.
Пример 10. Получение полипропиленовых нанокомпозитов в смесителе периодического действия на основе немодифицированного натриевого производного монтмориллонита.
Полипропиленовые нанокомпозиты получают по аналогии с примером 7 с полипропиленом Basell HP400N (RTM) вместо Basell KY 6100 (RTM). Однако маломасштабное инжекционное формование проводят с помощью формовочной машины CS-183 MMX Minimax. Камеру смешивания подогревают до 250°С и в течение 1 ч до инжекционного формования материал нагревают в сушильном шкафу при 120°С. Примерно 5 г материала помещают в камеру смешивания и нагревают в течение 4-5 мин. Перед проведением формования из формовочной машины CS-183 MMX Minimax выпускают небольшое количество материала. Из каждых 5 г материала получают 6 образцов для испытания на разрыв с размерами центрального сечения 35 мм × 5 мм × 1 мм (полная длина равна 58 мм).
Испытание на разрыв проводят с помощью прибора для испытания на разрыв Instron, снабженного динамометрическим датчиком на 5000 Н (1 мм/мин) и тензометром на 25 мм. Результаты приведены в таблице 10.
| Таблица 10 |
| Пример |
Диспергирующий агент |
Нормированный модуль упругости d) |
| 10aa) |
Отсутствует |
1,20 |
| 10bb) |
PODA-co-DEGEEA (1f) |
1,44 |
| 10cb) |
PODA-co-BA-co-DMAEA (1d) |
1,34 |
| 10db) |
PODA-co-BA-co-MAH (1e) |
1,32 |
| 10eb) |
PODA-co-PEGMEA (1g) |
1,40 |
| 10fb) |
PODA-co-PEGMEA (2b) |
1,55 |
| 10gb) |
PODA-co-DMAEA (1c) |
1,28 |
| 10hb) |
PODA-co-DMAEA (2d) |
1,40 |
| Подстрочные примечания а), b) и d) см. в конце таблицы 8. |
Модуль упругости образцов увеличивается на 28-55% по сравнению с полипропиленом без диспергирующего агента.
Пример 11. Получение полипропиленовых нанокомпозитов в двушнековом экструдере.
Обработку проводят с помощью двушнекового экструдера Japan Steel Works диаметром 30 мм с отношением ДЛ/ДА (длина/диаметр), равным 42 (JSW ТЕХ 30), который включает 10 бочкообразных секций с регулированием температуры, каждая из которых обладает значением ДЛ/ДА, равным 3,5, три зоны отбора образцов без нагрева, обладающих значением ДЛ/ДА 1,167, и охлаждаемый загрузочный блок, обладающий значением ДЛ/ДА, равным 3,5. Структура шнека включает комбинацию перемешивающих, замешивающих и подающих элементов, которые известны специалистам в данной области техники. Материалы загружаются в экструдер с помощью гравиметрического загрузочного устройства JSW TTF20 (загрузочное устройство 1) и гравиметрического загрузочного устройства K-Tron KQX (загрузочное устройство 2). Аппарат JSW ТЕХ 30 работает в режиме вращения в одну сторону (зацепление с самоочисткой) с производительностью, равной 10 кг/ч, и скоростью вращения шнека, равной 200 об/мин. Из последней бочкообразной секции проводят вакуумную откачку. Экструдат охлаждают в заполненной водой ванне и гранулируют.
На первой стадии готовят маточную смесь, содержащую 10 мас.% глины. Загрузочное устройство 1 содержит сухую смесь полипропилена [Basell HP400N (RTM)] и стабилизатора, который включает 0,1 мас.% Irganox 1010 (RTM) (пентаэритриттетракис[3-(3,5-ди-трет-бутил-4-гидроксифенил)пропионат]) и 0,1 мас.% Irgafos 168 (RTM) (трис(2,4-ди-трет-бутилфенил)фосфит). Загрузочное устройство 2 содержит смесь глины [Cloisite (Na+) (RTM), полученной от фирмы Southern Clay Industries] и неионогенное поверхностно-активное вещество в соотношении, указанном в таблице 11. Все бочкообразные секции нагревают до 170°С.
На второй стадии в маточной смеси устанавливают необходимое содержание глины (см. таблицу 4) путем смешивания маточной смеси (загрузочное устройство 2) с дополнительным количеством полипропилена и стабилизатора (загрузочное устройство 1). Первую бочкообразную секцию нагревают до 160°С, остальные бочкообразные секции нагревают до 200°С.
Инжекционное формование экструдированных образцов проводят с помощью машины для инжекционного формования Cincinnati Milacron VS55 диаметром 28 мм, включающей 4 секции с регулированием температуры, обладающих значением ДЛ/ДА, равным 23/1, нагретых до 215-230°С, с температурой формуемого материала, равной 40°С. Машина работает с усилием зажима, равным 50 т, и максимальным давлением инжектирования, равным 2005 бар.
Испытание на разрыв для определения модуля упругости при растяжении и прочности на разрыв проводят в соответствии со стандартом ISO 521 с помощью прибора для испытания материалов на разрыв Instron 5500R, снабженного динамометрическим датчиком на 5 кН и тензометром на 50 мм. Скорость деформации равна 1 мм/мин. Характеристиками являются характеристики растяжения, нормированные на значения для полипропилена = 1,0. Разрывное удлинение измеряют при скорости деформации, равной 50 мм/мин.
| Таблица 11 |
| Пример |
Добавка (2,5 мас.%) |
Модуль упругости при растяженииd) |
Разрывное удлинениеe) |
Прочность на разрывf) |
| 11aa) |
Без добавки |
1,17 |
1,0 |
1,06 |
| 11bb) |
PODA-co-DEGEEA (1f) |
1,22 |
3,1 |
1,11 |
| 11cb) |
PODA-co-PEGMEA (2b) |
1,26 |
1,3 |
1,11 |
| 11bb) |
PODA-co-DMAEA (2d) |
1,20 |
4,2 |
1,07 |
| 11eb) |
PODA-co-DMAEA(1c) |
1,22 |
3,4 |
1,07 |
| а) Сравнительный пример. |
| b) Пример, соответствующий настоящему изобретению (номер приведен в скобках). |
| d) Нормированный модуль упругости относительно конкурентного полипропиленового нанокомпозита (11а), обработанного при сходных условиях (=1,0). |
| е) Нормированное разрывное удлинение относительно полипропилена, обработанного при сходных условиях (=1,0). |
| f) Нормированная прочность на разрыв относительно полипропилена, обработанного при сходных условиях (=1,0). |
Пример 12. Полипропиленовые нанокомпозиты в двушнековом экструдере.
Образцы готовят при условиях, аналогичных описанным в примере 11, с добавкой, примешанной к глине (соотношение 1:5) при 80°С. Маточную смесь, содержащую 10% глины, готовят на стадии 1.
| Таблица 12 |
| Пример |
Добавка (мас.%) |
Модуль упругости при растяженииd) |
Разрывное удлинениеe) |
Прочность на разрывf) |
Ударопрочностьg) |
| 12aa) |
Без добавки |
1,26 |
1,0 |
1,05 |
1,1 |
| 12bb) |
1 мас.% PODA-co-МАН 3:1 (1h) |
1,18 |
3,6 |
1,03 |
1,3 |
| 12cb) |
1 мас.% PODA-co-MAH 5:1 (1i) |
1,22 |
1,6 |
1,04 |
1,4 |
| 12db) |
1 мас.% PODA-co-МАН (2j) |
1,27 |
2,8 |
1,00 |
1,1 |
| 12eb) |
1 мас.% PODA-co-NVP (2с) |
1,25 |
3,0 |
1,02 |
1,1 |
| 12fb) |
1 мас.% PODA-co-PEGMEA (2b) |
1,24 |
0,8 |
0,98 |
1,0 |
| 12gb) |
2,5 мас.% PODA-co-MAH (2j) |
1,18 |
3,5 |
0,99 |
1,1 |
| а) Сравнительный пример. |
| b) Пример, соответствующий настоящему изобретению (номер приведен в скобках). |
| d) Нормированный модуль упругости относительно конкурентного полипропиленового нанокомпозита (12а), обработанного при сходных условиях (=1,0). |
| е) Нормированное разрывное удлинение относительно полипропилена, обработанного при сходных условиях (=1,0). |
| f) Нормированная прочность на разрыв относительно полипропилена, обработанного при сходных условиях (=1,0). |
| g) Нормированная ударная прочность образца под нагрузкой относительно полипропилена, обработанного при сходных условиях (=1,0). |
Для образцов с добавками обнаруживаются увеличения модуля упругости при растяжении и ударопрочности по сравнению с ПП (полипропилен) и значительное увеличение разрывного удлинения по сравнению с композитом, содержащим только глину.
Пример 13. Полипропиленовые нанокомпозиты в двушнековом экструдере.
Образцы готовят при условиях, аналогичных описанным в примере 11, с добавкой, примешанной к глине (соотношение 1:5) при 80°С. Маточную смесь, содержащую 10% глины, готовят на стадии 1 с использованием двух разных глин: Cloisite (Na+) (RTM), полученной от фирмы Southern Clay Industries, и Somasif ME100 (RTM), полученной от фирмы Co-op Chemical Company Japan.
| Таблица 13 |
| Пример |
5% глины |
Добавка (1 мас.%) |
Модуль упругости при растяженииd) |
Разрывное удлинениее) |
Прочность на разрывf) |
| 13aa) |
Cloisite Na+ |
Без добавки |
1,17 |
1,0 |
1,05 |
| 13bb) |
Cloisite Na+ |
PODA-co-MMA-co-MAH (2f) |
1,12 |
6,5 |
1,00 |
| 13cb) |
Somasif ME 100 |
Без добавки |
1,16 |
1,6 |
1,04 |
| 13db) |
Somasif ME 100 |
PODA-co-MMA-co-MAH (2f) |
1,12 |
3,9 |
1,01 |
| а) Сравнительный пример. |
| b) Пример, соответствующий настоящему изобретению (номер приведен в скобках). |
| d) Нормированный модуль упругости относительно конкурентного полипропиленового нанокомпозита (13а), обработанного при сходных условиях (=1,0). |
| е) Нормированное разрывное удлинение относительно полипропилена, обработанного при сходных условиях (=1,0). |
| f) Нормированная прочность на разрыв относительно полипропилена, обработанного при сходных условиях (=1,0). |
Для образцов с добавками обнаруживаются увеличения прочности и модуля упругости при растяжении по сравнению с ПП и заметное увеличение разрывного удлинения по сравнению с композитами, содержащими только глину.
Пример 14. Полипропиленовые нанокомпозиты в двушнековом экструдере.
Образцы готовят при условиях, аналогичных описанным в примере 11, с добавкой, примешанной к глине (соотношение 1:5) при температуре окружающей среды. Маточную смесь, содержащую 10% глины, готовят на стадии 1.
| Таблица 14 |
| Пример |
5% глины |
Добавка (1 мас.%) |
Модуль упругости при растяженииd) |
Разрывное удлинениее) |
Прочность на разрыв f) |
| 14aa) |
Без глины |
Без добавки |
1,0 |
– |
1,0 |
| 14bb) |
Cloisite Na+ |
Без добавки |
1,14 |
1,0 |
1,01 |
| 14cb) |
Cloisite Na+ |
PODA (4a) |
1,14 |
2,8 |
0,98 |
| 14db) |
Cloisite Na+ |
PODA-co-PDMAEA (2d) |
1,13 |
5,7 |
0,98 |
| 14eb) |
Cloisite Na+ |
PODA-b-PDMAEA 5000 (4e) |
1,13 |
3,2 |
0,96 |
| 14fb) |
Cloisite Na+ |
PODA-co-PDMAEA 15000(4d) |
1,13 |
3,6 |
0,96 |
| а) Сравнительный пример. |
| b) Пример, соответствующий настоящему изобретению (номер приведен в скобках). |
| d) Нормированный модуль упругости относительно конкурентного полипропиленового нанокомпозита (14b), обработанного при сходных условиях (=1,0). |
| е) Нормированное разрывное удлинение относительно полипропилена, обработанного при сходных условиях (=1,0). |
| f) Нормированная прочность на разрыв относительно полипропилена, обработанного при сходных условиях (=1,0). |
Для образцов с добавками обнаруживаются увеличения прочности и модуля упругости при растяжении по сравнению с ПП и заметное увеличение разрывного удлинения по сравнению с композитами, содержащими только глину. Для самого PODA характеристики растяжения существенно улучшаются.
Пример 15. Полипропиленовые нанокомпозиты в двушнековом экструдере.
Образцы готовят при условиях, аналогичных описанным в примере 11, с добавкой, примешанной к глине (соотношение 1:5) при температуре окружающей среды. Маточную смесь, содержащую 10% глины, готовят на стадии 1.
| Таблица 15 |
| Пример |
Глина |
Добавка |
Модуль упругости при растяженииd) |
Разрывное удлинениеe) |
Прочность на разрывf) |
| 15аa) |
Без глины |
Без добавки |
1,0 |
– |
1,0 |
| 15bb) |
5% Cloisite Na+ |
Без добавки |
1,24 |
1,0 |
1,07 |
| 15cb) |
1% Cloisite Na+ |
0,2 мас.% PODA-co-МАН (2d) |
1,11 |
13,9 |
1,04 |
| 15db) |
3% Cloisite Na+ |
0,6% PODA-со-МАН (2d) |
1,24 |
7,1 |
1,06 |
| 15eb) |
5% Cloisite Na+ |
1% PODA-co-MAH (2d) |
1,25 |
5,2 |
1,06 |
| 15fb) |
5% Cloisite Na+ |
1,25% PODA-co-MAH (2d) |
1,24 |
3,7 |
1,04 |
| 15gb) |
5% Cloisite Na+ |
0,5% PODA-co-MAH (2d) |
1,23 |
5,6 |
1,05 |
| 15hb) |
1% Cloisite Na+ |
0,2% PODA-co-MAH (1h) |
1,11 |
15,1 |
1,02 |
| 15ib) |
3% Cloisite Na+ |
0,6% PODA-co-MAH (1h) |
1,16 |
11,7 |
1,03 |
| 15jb) |
5% Cloisite Na+ |
1% PODA-co-MAH (1h) |
1,20 |
4,0 |
1,03 |
| 15kb) |
5% Cloisite Na+ |
1,25% PODA-co-MAH(1h) |
1,18 |
5,7 |
1,02 |
| 15lb) |
5% Cloisite Na+ |
0,5% PODA-co-MAH (1h) |
1,23 |
5,6 |
1,05 |
| 15mb) |
1% Cloisite Na+ |
0,2 мас.% PODA-co-NVP (2c) |
1,11 |
17,7 |
1,02 |
| 15nb) |
3% Cloisite Na+ |
0,6% PODA-co-NVP (2c) |
1,16 |
8,4 |
1,01 |
| 15ob) |
5% Cloisite Na+ |
1% PODA-co-NVP (2c) |
1,22 |
5,6 |
1,03 |
| 15pb) |
5% Cloisite Na+ |
1,25% PODA-co-NVP (2c) |
1,17 |
6,9 |
0,99 |
| 15qb) |
5% Cloisite Na+ |
0,5% PODA-co-NVP (2c) |
1,15 |
7,2 |
1,01 |
| а) Сравнительный пример. |
| b) Пример, соответствующий настоящему изобретению (номер приведен в скобках). |
| d) Нормированный модуль упругости относительно конкурентного полипропиленового нанокомпозита (15b), обработанного при сходных условиях (=1,0). |
| е) Нормированное разрывное удлинение относительно полипропилена, обработанного при сходных условиях (=1,0). |
| f) Нормированная прочность на разрыв относительно полипропилена, обработанного при сходных условиях (=1,0). |
Для образцов с добавками обнаруживаются увеличения прочности и модуля упругости при растяжении по сравнению с ПП и заметное увеличение разрывного удлинения по сравнению с композитами, содержащими только глину. Значительное улучшение по сравнению с ПП обнаруживается при очень низких содержаниях добавок, прибавляемых к глине.
Пример 16. Полипропиленовые нанокомпозиты в двушнековом экструдере.
Образцы готовят при условиях, аналогичных описанным в примере 11, с добавкой, примешанной к глине (соотношение 1:5) при температуре окружающей среды. Маточную смесь, содержащую 10% глины, готовят на стадии 1.
| Таблица 16 |
| Пример |
Глина |
Добавка (мас.%) |
Модуль упругости при растяженииd) |
Разрывное удлинениее) |
Прочность на разрывf) |
| 16ab) |
Без глины |
Без добавки |
1,0 |
– |
1,0 |
| 16bb) |
5% Cloisite Na+ |
Без добавки |
1,22 |
1,0 |
1,04 |
| 16cb) |
5% Cloisite Na+ |
1% Tegomer DA100Nh) |
1,23 |
2,6 |
1,04 |
| 16db) |
5% Cloisite Na+ |
1%PODA-co-NVP (1k) |
1,20 |
2,4 |
1,02 |
| 16eb) |
5% Cloisite Na+ |
1% PODA-co-NVP (1l) |
1,24 |
3,6 |
1,02 |
| 16fb) |
5% Cloisite Na+ |
1% PODA-co-NVP (1n) |
1,24 |
3,2 |
1,02 |
| 16gb) |
3% Cloisite Na+ |
0,6% PODA-co-NVP (1n) |
1,13 |
4,4 |
1,00 |
| 16hb) |
1% Cloisite Na+ |
0,2% PODA-co-NVP (1n) |
1,06 |
12,6 |
0,99 |
| 16ib) |
5% Cloisite Na+ |
0,5% PODA-co-NVP (1n) |
1,18 |
4,0 |
1,00 |
| 16jb) |
5% Cloisite Na+ |
1,25% PODA-co-NVP (11) |
1,17 |
1,1 |
0,98 |
| 16kb) |
5% Cloisite Na+ |
1% PODMA-co-NVP (1m) |
1,20 |
3,2 |
1,02 |
| 16lb) |
5% Cloisite Na+ |
1% PODMA-co-MAH (1o) |
1,22 |
5,3 |
1,02 |
| 16mb) |
5% Somasif ME 100 |
1% PODA-co-MAH (1i) |
1,24 |
6,7 |
1,02 |
| а) Сравнительный пример. |
| b) Пример, соответствующий настоящему изобретению (номер приведен в скобках). |
| d) Нормированный модуль упругости относительно конкурентного полипропиленового нанокомпозита (14b), обработанного при сходных условиях (=1,0). |
| е) Нормированное разрывное удлинение относительно полипропилена, обработанного при сходных условиях (=1,0). |
| f) Нормированная прочность на разрыв относительно полипропилена, обработанного при сходных условиях (=1,0). |
| h) Продукт RTM, выпускающийся фирмой Goldschmidt. |
Для образцов с добавками обнаруживаются увеличения прочности и модуля упругости при растяжении по сравнению с ПП и заметное увеличение разрывного удлинения по сравнению с композитами, содержащими только глину. Значительное улучшение по сравнению с ПП обнаруживается при очень низких содержаниях добавок, прибавляемых к глине.
Пример 17. Полипропиленовые нанокомпозиты в двушнековом экструдере.
Образцы готовят при условиях, аналогичных описанным в примере 11, с добавкой, примешанной к глине (соотношение 1:5) при температуре окружающей среды. Маточную смесь, содержащую 10% глины, готовят на стадии 1.
| Таблица 17 |
| Пример |
Глина (5 мас.%) |
Добавка (1 мас.%) |
Модуль упругости при растяженииd) |
Разрывное удлинениеe) |
Прочность на разрывf) |
| 17aa) |
Без глины |
Без добавки |
1,0 |
– |
1,0 |
| 17bb) |
CloisiteNa+ |
Без добавки |
1,18 |
1,0 |
1,02 |
| 17cb) |
CloisiteNa+ |
PODA-co-GA (1q) |
1,12 |
3,2 |
0,99 |
| 17db) |
Cloisite Na+ |
PODA-co-МЕР (2m) |
1,14 |
4,4 |
1,01 |
| 17eb) |
Cloisite Na+ |
PLA-co-МАН (2n) |
1,15 |
3,7 |
1,00 |
| 17fb) |
Cloisite Na+ |
PODA-co-GMA(2n) |
1,15 |
3,7 |
1,01 |
| а) Сравнительный пример. |
| b) Пример, соответствующий настоящему изобретению (номер приведен в скобках). |
| d) Нормированный модуль упругости относительно конкурентного полипропиленового нанокомпозита (17b), обработанного при сходных условиях (=1,0). |
| е) Нормированное разрывное удлинение относительно полипропилена, обработанного при сходных условиях (=1,0). |
| f) Нормированная прочность на разрыв относительно полипропилена, обработанного при сходных условиях (=1,0). |
Пример 18. Полипропиленовые нанокомпозиты в двушнековом экструдере.
Образцы готовят при условиях, аналогичных описанным в примере 11, с добавкой, примешанной к глине (соотношение 1:5) при температуре окружающей среды. Маточную смесь, содержащую 10% глины, готовят на стадии 1.
| Таблица 18 |
| Пример |
Глина (5 мас.%) |
Добавка (мас.%) |
Модуль упругости при растяженииd) |
Разрывное удлинениеe) |
Прочность на разрывf) |
| 18aa) |
Без глиныd |
Без добавки |
1,0 |
– |
1,0 |
| 18bb) |
Cloisite Na+d |
Без добавки |
1,18 |
1,0 |
1,02 |
| 18cb) |
Cloisite Na+e |
1%PODA-со-НАН (2е) 7,5% Polybond 3200 |
1,28 |
2,1 |
1,09 |
| 18db) |
Cloisite 20Ad |
Без добавки |
1,20 |
1,2 |
1,04 |
| 18eb) |
Cloisite 20Ad |
7,5% Polybond 3200 |
1,41 |
0,6 |
1,14 |
| а) Сравнительный пример. |
| b) Пример, соответствующий настоящему изобретению (номер приведен в скобках). |
| d) Нормированный модуль упругости относительно конкурентного полипропиленового нанокомпозита (18b), обработанного при сходных условиях (=1,0). |
| е) Нормированное разрывное удлинение относительно полипропилена, обработанного при сходных условиях (=1,0). |
| f) Нормированная прочность на разрыв относительно полипропилена, обработанного при сходных условиях (=1,0). |
Для полученных в примерах материалов, предлагаемых в настоящем изобретении, обнаруживается значительное увеличение разрывного удлинения.
Пример 19. Термическая стабильность полипропиленовых нанокомпозитов на воздухе и атмосфере азота.
Приведенные ниже данные показывают, что образцы, приготовленные с сополимерными добавками, предлагаемыми в настоящем изобретении, обладают гораздо большей термической стабильностью на воздухе, чем полипропилен и полипропилен с добавлением немодифицированной глины, и температура максимальной массопотери выше примерно на 30°С.
Образцы (10 мг, порошка, полученного криогенным измельчением) на воздухе или в атмосфере азота нагревают до температуры от 50 до 500°С со скоростью 10°С/мин на термовесах Mettler T6A/SDTA851, снабженных робототехническим пробоотборником Т50 801. Начальную и конечную температуру рассчитывают методом касательных. Результаты приведены в таблице 19.
Таблица 19 Данные, полученные с помощью термогравиметрического анализа на воздухе для нанокомпозитов, содержащих 5 мас.% Cloisite Na+ |
| Пример |
Материал |
Tonset, °C |
Tend, °C |
Tmax, °C |
Остаточная масса, % |
| 19aa) |
Полипропилен |
280 |
390 |
380 |
0,6 |
| 19bb) |
Без сополимера |
269 |
388 |
381 |
6,1 |
| 19cb) |
1% PODA-co-MAH 1j) |
287 |
422 |
416 |
6,2 |
| 19db) |
1% PODA-co-NVP 1k) |
285 |
419 |
413 |
5,6 |
| а) Сравнительный пример. |
| b) Пример, соответствующий настоящему изобретению. |
Пример 20. Изучение реологических характеристик с помощью осцилляторной методики в конфигурации параллельных пластин.
Вязкость образцов близка к вязкости полипропилена (см. таблицу 20). Обычные модифицированные органическими соединениями глины и полученные с их использованием нанокомпозиты обладают значительно большей вязкостью, чем полипропилен. Композиты, содержащие только глину, обладают пониженной вязкостью (см. сравнительный пример в таблице 20). Нанокомпозиты, предлагаемые в настоящем изобретении, легче обрабатываются, чем обычные нанокомпозиты на основе модифицированных органическими соединениями глин.
Поведение в расплаве смесей и чистых компонентов в диапазоне низких скоростей сдвига исследовано с использованием динамического реометра ARES (Advanced Rheometric Expansion Systems). Измерения проводили в конфигурации с параллельными пластинами с зазором между ними, равным от 1,5 до 2,0 мм. Образцы представляли собой диски диаметром 25 мм, вырезанные из листов толщиной примерно 2 мм, изготовленных компрессионным формованием. Эксперименты с частотной разверткой проводили для всех материалов в диапазоне частот от 0,1 до 100 рад/с со сбором данных в пяти точках в каждой декаде. При экспериментах температуру устанавливали равной 200°С, что соответствовало температуре получения композита. Результаты приведены в таблице 20.
| Таблица 20 |
| Пример |
Cloisite Na+ |
Сополимер |
Комплексная вязкость, Па.с, при 200°С при частоте [рад/с] |
| 0,1 |
1,0 |
10 |
100 |
| 20aa) |
Отсутствует |
Отсутствует |
3160 |
2340 |
1171 |
395 |
| 20bb) |
5% |
Отсутствует |
2986 |
1944 |
939 |
312 |
| 20cb) |
5% |
PODA-co-MAH (1h) |
3181 |
2317 |
1175 |
403 |
| 20db) |
5% |
PODA-co-MAH (1i) |
3276 |
2353 |
1181 |
403 |
| 20eb) |
5% |
PODA-co-MAH (2j) |
3191 |
2285 |
1145 |
390 |
| а) Сравнительный пример. |
| b) Пример, соответствующий настоящему изобретению. |
Формула изобретения
1. Полимерный нанокомпозитный материал, включающий
a) синтетический полимер,
b) природный или синтетический филлосиликатный наполнитель или смесь таких филлосиликатных наполнителей, и
c) в качестве диспергирующего агента акриловый полимер, содержащий алкилакрилат или метакрилат, включающий по меньшей мере 8 метиленовых групп в боковой цепи.
2. Материал по п.1, в котором компонент (с) представляет собой статистический, блочный или гребенчатый сополимер, содержащий по меньшей мере один гидрофильный и по меньшей мере один гидрофобный сегмент, который основан на длинноцепочечном алкилакрилате, определенном в п.1.
3. Материал по п.1, в котором компонент (а) представляет собой полиолефин.
4. Материал по п.1, в котором компонент (b) представляет собой наполнитель в виде наночастиц.
5. Материал по п.1, в котором компонент (b) представляет собой наполнитель в виде наночастиц, который не модифицирован органическим соединением.
6. Материал по п.1, в котором компонент (b) представляет собой слоистую силикатную глину.
7. Материал по п.1, в котором компонент (b) представляет собой монтмориллонит, бентонит, бейделит, слюду, гекторит, сапонит, нонтронит, сауконит, вермикулит, ледикит, магадит, кениаит, стивенсит, волконскоит, гидротальцит, иллит, каолинит, волластонит, аттапульгит, тальк, или диоксид кремния, или их смесь.
8. Материал по п.1, в котором длинноцепочечный алкилакрилатный или метакрилатный сегмент в компоненте (с) включает С12-С32алкилакрилат или метакрилат.
9. Материал по п.1, в котором компонент (с) представляет собой сополимер октадецилакрилата с малеиновым ангидридом, сополимер октадецилакрилата с акрилатом метилового эфира полиэтиленгликоля, сополимер октадецилакрилата с акрилатом этилового эфира диэтиленгликоля, сополимер октадецилакрилата с N-винилпирролидоном, сополимер октадецилметакрилата с N-винилпирролидоном, сополимер октадецилметакрилата с малеиновым ангидридом, сополимер октадецилакрилата с глицидилакрилатом, сополимер октадецилакрилата с 2-диметиламиноэтилакрилатом, сополимер октадецилакрилата с акрилатом метилового эфира полиэтиленгликоля, сополимер октадецилакрилата с акрилатом этилового эфира диэтиленгликоля, сополимер октадецилакрилата с метакрилоилоксиэтилфосфатом, сополимер лаурилакрилата с малеиновым ангидридом, сополимер октадецилакрилата с глицидилметакрилатом или сополимер октадецилакрилата с метакриловой кислотой.
10. Материал по п.1, в котором компонент (b) содержится в количестве, составляющем от 0,1 до 40% в пересчете на массу компонента (а).
11. Материал по п.1, в котором компонент (с) содержится в количестве, составляющем от 0,1 до 20% в пересчете на массу компонента (а).
12. Материал по п.1, кроме компонентов (а), (b) и (с) дополнительно включающий другие добавки.
13. Материал по п.12, включающий в качестве дополнительных добавок фенольные антиоксиданты, светостабилизаторы, стабилизаторы обработки, растворители, пигменты, красители, пластификаторы, вещества, обеспечивающие совместимость, агенты, повышающие ударопрочность, тиксотропные агенты и/или дезактиваторы металла.
14. Материал по п.1 в виде маточной смеси или концентрата, включающий компонент (а) в количестве, составляющем от 5 до 90%, компонент (b) в количестве, составляющем от 5 до 80%, и компонент (с) в количестве, составляющем от 1 до 50 мас.%.
15. Способ получения полимерного нанокомпозитного материала по п.1, который включает перемешивание в расплаве смеси из компонентов а), b) и с), определенных в п.1.
16. Способ по п.15, в котором перемешивание расплава проводится при температуре от 120 до 290°С.
17. Применение полимера как он определен под индексом с) по п.1 для включения и отслаивания наполнителя и диспергирования наполнителя в матрице из синтетического полимера с образованием нанокомпозитного материала.
18. Изделие, включающее полимерный нанокомпозитный материал по п.1.
|
|