|
|
(21), (22) Заявка: 2005125733/04, 08.01.2004
(24) Дата начала отсчета срока действия патента:
08.01.2004
(30) Конвенционный приоритет:
15.01.2003 EP 03405011.2
(43) Дата публикации заявки: 10.05.2006
(46) Опубликовано: 27.03.2009
(56) Список документов, цитированных в отчете о поиске:
WO 01/66627, A1, 13.09.2001. US 6251980, B1, 26.06.2001. RU 98101121, A, 10.01.2000.
(85) Дата перевода заявки PCT на национальную фазу:
15.08.2005
(86) Заявка PCT:
EP 2004/000068 (08.01.2004)
(87) Публикация PCT:
WO 2004/063268 (29.07.2004)
Адрес для переписки:
101000, Москва, М.Златоустинский пер., 10, кв.15, “ЕВРОМАРКПАТ”, пат.пов. И.А.Веселицкой, рег. № 11
|
(72) Автор(ы):
ВЕРМТЕР Хенрик (DE), ПФЭНДНЕР Рудольф (DE)
(73) Патентообладатель(и):
ЦИБА СПЕШИАЛТИ КЕМИКЭЛЗ ХОЛДИНГ ИНК. (CH)
|
(54) СТАБИЛИЗАЦИЯ ТЕРМОПЛАСТИЧНЫХ НАНОКОМПОЗИТОВ
(57) Реферат:
Изобретение относится к нанокомпозитному материалу, который может быть использован в различных отраслях техники, а также к применению смеси компонентов в качестве стабилизаторов для полиолефина и к способу стабилизации. Нанокомпозитный материал включает следующие компоненты: а) полиолефин, б) природный или искусственный филлосиликат или смесь их в виде наночастиц, модифицированный аммониевым или фосфониевым соединением, в) фенольный антиоксидант и/или органические фосфиты, или фосфониты, или бензофуран-2-оны, г) моно- или полифункциональное соединение, выбранное из класса, включающего эпоксиды, оксазолины или ангидриды. Ангидриды представляют собой следующие соединения формулы АН-1:

в которой R24 обозначает радикал формулы с АН-1а по AH-1j




в которой R25 обозначает -СН2-, -СН(СН3)-, -С(СН3)2-, С(CF3)2-, -S-, -O-, -(O)S(O)-, -NHCO-, -СО- или -Р(O)(С1-С20алкил)-, где ароматические кольца в формулах с АН-1а по АН-1е не замещены или замещены одной или несколькими C1-С6алкильными группами, C1-С6алкоксигруппами или атомами галогена. Смесь компонентов (б), (в) и (г) применяют в качестве стабилизаторов для полиолефина против окислительной, термической или вызванной действием света деструкции. Способ стабилизации полиолефина включает введение в массу или нанесение на материал, по меньшей мере, одного из компонентов (б), (в) и (г). Изобретение позволяет получить нанокомпозитный материал с улучшенной термостабильностью, не склонный к изменению цвета. 3 н. и 15 з.п. ф-лы, 3 табл.
Настоящее изобретение относится к нанокомпозитному материалу, включающему (а) синтетический полимер, преимущественно полиолефин, (б) природный или искусственный филлосиликат или смесь таких филлосиликатов в виде наночастиц, (в) фенольный антиоксидант и/или стабилизатор для переработки и (г) моно- или полифункциональное соединение, выбранное из класса, включающего эпоксиды, оксазолины, оксазолоны, оксазины, изоцианаты и/или ангидриды, и к применению компонентов (б), (в) и (г) в качестве стабилизаторов для синтетических полимеров против окислительной, термической или вызванной действием света деструкции.
Добавление наполнителей в органические материалы, преимущественно полимеры, известно и описано, например, в работе Hans Zweifel (редактор), Plastics Additives Handbook, издание 5-е, c.901-948, Hanser Publishers, Munich 2001. Применение наполнителей в полимерах характеризуется тем преимуществом, что существует возможность обеспечить улучшение, например, механических свойств, преимущественно плотности, твердости, жесткости (модуль) или уменьшенной усадки полимера.
Использование частиц наполнителя крайне малого размера (<200 нм), так называемых частиц наполнителей наноразмеров, позволяет улучить механические свойства, температуростойкость при деформации из-за теплового нагрева или антипиреновое свойство полимеров при намного более низкой концентрации, от 2 до 10 мас.%, в сравнении с количествами от 20 до 50 мас.% в случаях обычных частиц наполнителя микроразмеров. Полимеры, содержащие частицы наполнителей наноразмеров, сочетают подходящие механические свойства, подобные прочности, модулю и ударной прочности, и демонстрируют улучшенные поверхностные свойства, подобные глянцу, более низкому износу под действием инструмента при переработке и улучшенным условиям переработки для вторичного использования. Покрытия и пленки, включающие частицы наполнителей наноразмеров, демонстрируют улучшенную стабильность, огнестойкость, барьерные свойства в отношении газов и стойкость к царапанию.
Частицы наполнителей наноразмеров обладают исключительно большой площадью поверхности с высокой поверхностной энергией. По этой причине для того, чтобы избежать агрегации во время переработки или превращения наполненного полимера и добиться превосходного диспергирования частиц наполнителя наноразмеров в готовом изделии, дезактивация поверхностной энергии и придание совместимости частиц наполнителей наноразмеров с полимерной основой имеют еще более важное значение, чем в случае обычных частиц наполнителя микроразмеров.
В последнее время появилось большое количество литературы, посвященной органическо-неорганическим нанокомпозитам на основе глин или слоистых силикатов, таких как монтмориллонит и синтетические полимеры. Полиолефиновые нанокомпозиты получают из модифицированных органическими материалами глин. Используемые глины обычно модифицируют длинноцепочечными алкил- или диалкиламмониевыми ионами или аминами, или в немногих случаях другими ониевыми ионами, подобными, например, фосфонию. Содержащие аммониевые ионы/амины добавки обычно внедряют в структуру глины отдельной стадией растворной интеркаляции.
Когда эти обычные модифицированные органическими материалами глины используют для приготовления полиолефиновых нанокомпозитов, они проявляют ряд недостатков. При температурах, при которых проводят переработку полиолефинов, аммониевые соли оказываются термически нестойкими или в иных случаях в условиях переработки могут проявлять реакционную способность. Эти явления нестабильности обуславливают, в дополнение к образованию летучих побочных продуктов, плохую стабильность при переработке, ухудшенные механические свойства, изменение цвета, выделение запаха и пониженную долговременную стабильность.
С целью улучшить приготовление полиолефинового нанокомпозита переработкой в расплаве предложено применение дополнительного агента, повышающего совместимость, наиболее часто полипропилена с привитым малеиновым ангидридом, который в рабочих примерах содержится в качестве основного компонента конечного продукта.
M.Kawasumi и др. в Macromolecules 1997, 30, 6333-6338, или US 5973053 пишут, что когда глину, предварительно модифицированную октадециламмониевыми солями, совмещают с полипропиленом в присутствии полиолефиновых олигомеров, содержащих полярную функциональную группу, например полипропилена с привитым малеиновым ангидридом, получают полипропиленовый нанокомпозит.
Хотя агенты, улучшающие совместимость, могут повысить стабильность нанокомпозитов главным образом в том, что касается устранения агломерации наполнителя, другие недостатки нанокомпозитов не устраняются.
Было установлено, что улучшенные нанокомпозиты с улучшенной долговременной термостабильностью, с уменьшенным запахом и уменьшенным нежелательным изменением цвета, которое происходит в результате разложения модифицирующих веществ, могут быть приготовлены дополнительным применением смеси, включающей фенольный антиоксидант и/или стабилизатор для переработки и моно- или полифункциональное соединение, выбранное из класса, включающего эпоксиды, оксазолины, оксазолоны, оксазины, изоцианаты и/или ангидриды.
Следовательно, по настоящему изобретению предлагается нанокомпозитный материал, включающий
а) синтетический полимер,
б) природный или искусственный филлосиликат или смесь таких филлосиликатов в виде наночастиц,
в) фенольный антиоксидант и/или стабилизатор для переработки и
г) моно- или полифункциональное соединение, выбранное из класса, включающего эпоксиды, оксазолины, оксазолоны, оксазины, изоцианаты и/или ангидриды.
Смесь компонентов (в) и (г) приемлема для стабилизации синтетических полимеров, преимущественно термопластичных нанокомпозитов [компоненты (а) и (б)] против окислительной, термической или вызванной действием света деструкции.
Примеры таких материалов включают следующее.
1. Полимеры моноолефинов и диолефинов, в частности полиизобутилен, полибут-1-ен, поли-4-метилпент-1-ен, поливинилциклогексан, полиизопрен или полибутадиен, равно как и полимеры циклоолефинов, в частности циклопентена или норборнена, полиэтилен (который может быть, но необязательно, сшитым), в частности полиэтилен высокой плотности (ПЭВП), полиэтилен высокой плотности с высокой молекулярной массой (ПЭВП-ВММ), полиэтилен высокой плотности со сверхвысокой молекулярной массой (ПЭВП-СВММ), полиэтилен средней плотности (ПЭСП), полиэтилен низкой плотности (ПЭНП), линейный полиэтилен низкой плотности (ЛПЭНП), а также (ПЭОНП) и (ПЭСНП).
Полиолефины, т.е. полимеры моноолефинов, примеры которых приведены в предыдущем абзаце, предпочтительно полиэтилен и полипропилен, могут быть получены по разным, преимущественно по следующим методам.
а) Радикальная полимеризация (обычно под высоким давлением и при повышенной температуре).
б) Каталитическая полимеризация с использованием катализатора, который обычно включает один или больше одного атома металла группы IVb, Vb, VIb или VIII Периодической таблицы элементов. У этих металлов обычно имеется один или больше одного лиганда, как правило, оксиды, галогениды, алкоголяты, сложные эфиры, простые эфиры, амины, алкилы, алкенилы и/или арилы, которые могут быть либо -, либо -координированными. Эти металлсодержащие комплексы могут находиться в свободной форме или быть зафиксированными на носителях, как правило, на активированном хлориде магния, хлориде титана(III), оксиде алюминия или диоксиде кремния. Такие катализаторы могут быть растворимыми или нерастворимыми в полимеризационной среде. В процессе полимеризации эти катализаторы могут быть использованы самостоятельно или дополнительно могут быть использованы активаторы, как правило, металлалкилы, металлгидриды, металлалкилгалогениды, металлалкилоксиды или металлалкилоксаны, причем эти металлы являются элементами групп Ia, IIa и/или IIIa Периодической таблицы элементов. Активаторы могут быть модифицированными, целесообразно дополнительными сложноэфирными, простыми эфирными, аминовыми или силилэфирными группами. Эти каталитические системы обычно называют системами фирм Phillips, Standard Oil Indiana, катализаторами Циглера (-Натта), TNZ (фирма DuPont), металлоценами или катализаторами с единственным участком (КЕУ).
2. Смеси полимеров, упомянутых в разделе 1), в частности смеси полипропилена с полиизобутиленом, полипропилена с полиэтиленом (например, ПП/ПЭВП, ПП/ПЭНП) и смеси полиэтиленов различных типов (например, ПЭНП/ПЭВП).
3. Сополимеры моноолефинов и диолефинов между собой и с другими виниловыми мономерами, например этилен-пропиленовые сополимеры, линейный полиэтилен низкой плотности (ЛПЭНП) и его смеси с полиэтиленом низкой плотности (ПЭНП), пропилен/бут-1-еновые сополимеры, пропилен-изобутиленовые сополимеры, этилен/бут-1-еновые сополимеры, этилен-гексеновые сополимеры, этилен-метилпентеновые сополимеры, этилен-гептеновые сополимеры, этилен/октеновые сополимеры, этилен/винилциклогексановые сополимеры, этилен-циклоолефиновые сополимеры (например, этилен-норборнен подобно СОС), этилен/1-олефиновые сополимеры, где 1-олефин получают in situ; пропилен-бутадиеновые сополимеры, изобутилен-изопреновые сополимеры, этилен-винилциклогексеновые сополимеры, этилен-алкилакрилатные сополимеры, этилен-алкилметакрилатные сополимеры, этилен-винилацетатные сополимеры или сополимеры этилена/акриловой кислоты и ее солей (иономеры), а также тройные сополимеры этилена с пропиленом и диеном, таким как гексадиен, дициклопентадиен и этилиденнорборнен; равно как и смеси таких сополимеров между собой и с полимерами, упомянутыми в вышеприведенном разделе 1), в частности полипропилен-этилен-пропиленовые сополимеры, ПЭНП/этилен-винилацетатные (ЭВА) сополимеры, сополимеры ПЭНП/этилена-акриловой кислоты (ЭАК), ЛПЭНП/ЭВА, ЛПЭНП/ЭАК и чередующиеся или статистические сополимеры полиалкилена/монооксида углерода, а также их смеси с другими полимерами, в частности с полиамидами.
4. Углеводородные смолы (например, С5-С9продуктов), включая их гидрированные модификации (например, вещества для повышения клейкости) и смеси полиалкиленов с крахмалом.
Гомополимеры и сополимеры из разделов с 1) по 4) могут обладать любой стереоструктурой, включая синдиотактическую, изотактическую, полуизотактическую и атактическую, причем предпочтительны атактические полимеры. К ним также относятся стереоблочные полимеры.
5. Полистирол, поли(п-метилстирол) и поли( -метилстирол).
6. Ароматические гомополимеры и сополимеры, дериватизированные из винилароматических мономеров, включая стирол, -метилстирол, все изомеры винилтолуола, преимущественно п-винилтолуол, все изомеры этилстирола, пропилстирола, винилбифенила, винилнафталина, винилантрацена, а также их смеси. Гомополимеры и сополимеры могут обладать любой стереоструктурой, включая синдиотактическую, изотактическую, полуизотактическую и атактическую, причем предпочтительны атактические полимеры. К ним также относятся стереоблочные полимеры.
6а. Сополимеры, включающие звенья вышеупомянутых винилароматических мономеров и сомономеров, выбранных из этилена, пропилена, диенов, нитрилов, кислот, малеинового ангидрида, малеинимидов, винилацетата и винилхлорида, а также из акриловых производных и их смесей, например сополимеры стирола/бутадиена, стирола/акрилонитрила, стирола/этилена, стирола/алкилметакрилата, стирола/бутадиена/алкилакрилата, стирола/бутадиена/алкилметакрилата, стирола/малеинового ангидрида, стирола/акрилонитрила/метилакрилата; смеси сополимеров стирола с высокой ударной прочностью и других полимеров, например полиакрилата, диенового полимера или этилен-пропилен-диеновового тройного сополимера, и блок-сополимеры стирола, такие как сополимеры стирола/бутадиена/стирола, стирола/изопрена/стирола, стирола/этилена/бутилена/стирола и стирола/этилена/пропилена/стирола.
6б. Гидрированные ароматические полимеры, дериватизированные в результате гидрогенизации полимеров, упомянутых в разделе 6), в особенности включая полициклогексилэтилен (ПЦГЭ), полученный гидрогенизацией атактического полистирола, часто называемого поливинилциклогексаном (ПВЦГ).
6в. Гидрированные ароматические полимеры, дериватизированные в результате гидрогенизации полимеров, упомянутых в разделе 6а).
Гомополимеры и сополимеры могут обладать любой стереоструктурой, включая синдиотактическую, изотактическую, полуизотактическую и атактическую, где предпочтительны атактические полимеры. К ним также относятся стереоблочные полимеры.
7. Привитые сополимеры винилароматических мономеров, таких как стирол и -метилстирол, например стирола на полибутадиен, стирола на полибутадиен-стирольный или полибутадиен-акрилонитрильный сополимеры; стирола и акрилонитрила (или метакрилонитрила) на полибутадиен; стирола, акрилонитрила и метилметакрилата на полибутадиен; стирола и малеинового ангидрида на полибутадиен; стирола, акрилонитрила и малеинового ангидрида или малеинимида на полибутадиен; стирола и малеинимида на полибутадиен; стирола и алкилакрилатов или метакрилатов на полибутадиен; стирола и акрилонитрила на этилен-пропилен-диеновые тройные сополимеры; стирола и акрилонитрила на полиалкилакрилаты и полиалкилметакрилаты, стирола и акрилонитрила на акрилат-бутадиеновые сополимеры, а также их смеси с сополимерами, перечисленными в разделе 6), например сополимерные смеси, известные как АБС, МБС, АСА и АЭС полимеры.
8. Галоидсодержащие полимеры, такие как полихлоропрен, хлорированные каучуки, хлорированные и бромированные сополимеры изобутилена/изопрена (галобутилкаучук), хлорированный и сульфохлорированный полиэтилен, сополимеры этилена и хлорированного этилена, эпихлоргидриновые гомо- и сополимеры, преимущественно полимеры галоидсодержащих виниловых соединений, например поливинилхлорид, поливинилиденхлорид, поливинилфторид, поливинилиденфторид, а также их сополимеры, такие как винилхлорид-винилиденхлоридные, винилхлорид-винилацетатные и винилиденхлорид-винилацетатные сополимеры.
9. Полимеры, дериватизированные из , -ненасыщенных кислот и их производных, такие как полиакрилаты и полиметакрилаты; полиметилметакрилаты, полиакриламиды и полиакрилонитрилы, модифицированные бутилакрилатом для придания ударной прочности.
10. Сополимеры мономеров, упомянутых в разделе 9), между собой или другими ненасыщенными мономерами, например акрилонитрил-бутадиеновые сополимеры, акрилонитрил-алкилакрилатные сополимеры, акрилонитрил-алкоксиалкилакрилатные или акрилонитрил-винилгалогенидные сополимеры, или акрилонитрилалкилметакрилат-бутадиеновые тройные сополимеры.
11. Полимеры, дериватизированные из ненасыщенных спиртов и аминов или их ацильных производных или ацеталей, например из поливинилового спирта, поливинилацетата, поливинилстеарата, поливинилбензоата, поливинилмалеата, поливинилбутираля, полиаллилфталата или полиаллилмеламина, а также их сополимеры с олефинами, упомянутыми в приведенном выше разделе 1).
12. Гомополимеры и сополимеры циклических простых эфиров, таких как полиалкиленгликоли, полиэтиленоксид, полипропиленоксид и их сополимеры с бисглицидиловыми простыми эфирами.
13. Полиацетали, такие как полиоксиметилен и те полиоксиметилены, которые содержат этиленоксид в виде сомономерного звена; полиацетали, модифицированные термопластичными полиуретанами, акрилатами или МБС.
14. Полифениленоксиды и сульфиды, а также смеси полифениленоксидов со стирольными полимерами или полиамидами.
15. Полиуретаны, дериватизированные из простых полиэфиров с концевыми гидроксильными группами, сложных полиэфиров или полибутадиенов, с одной стороны, и алифатических или ароматических полиизоцианатов, с другой стороны, а также их предшественники.
16. Полиамиды и сополиамиды, дериватизированные из диаминов и дикарбоновых кислот и/или из аминокарбоновых кислот, или соответствующих лактамов, например полиамид 4, полиамид 6, полиамиды 6/6, 6/10, 6/9, 6/12, 4/6, 12/12, полиамид 11, полиамид 12, ароматические полиамиды, получаемые из м-ксилолдиамина и адипиновой кислоты; полиамиды, полученные из гексаметилендиамина и изофталевой или/и терефталевой кислоты и совместно или без эластомера в качестве модификатора, например поли-2,4,4-триметилгексаметилентерефталамид или поли-м-фениленизофталамид, а также блок-сополимеры вышеупомянутых полиамидов с полиолефинами, олефиновыми сополимерами, иономерами или химически связанными или привитыми эластомерами; или с простыми полиэфирами, например с полиэтиленгликолем, полипропиленгликолем или политетраметиленгликолем, а также полиамиды или сополиамиды, модифицированные тройным этилен-пропиленовым каучуком (ЭПДМ) или АБС; и полиамиды, дериватизированные реакцией поликонденсации в процессе реакционно-инжекционного формования (РИФ) (полиамидные системы РИФ).
17. Полимочевины, полиимиды, полиамидоимиды, простые полиэфиримиды, сложные полиэфиримиды, полигидантоины и полибензимидазолы.
18. Сложные полиэфиры, дериватизированные из дикарбоновых кислот и диолов и/или из гидроксикарбоновых кислот или соответствующих лактонов, например полиэтилентерефталат, полибутилентерефталат, поли-1,4-диметилолциклогексантерефталат, полиалкиленнафталат (ПАН) и полигидроксибензоаты, равно как и блок-сополимеры эфиров эфирокислот, дериватизированные из простых полиэфиров с концевыми гидроксильными группами, а также сложные полиэфиры, модифицированные поликарбонатами или МБС.
19. Поликарбонаты и сложные полиэфиркарбонаты.
20. Поликетоны.
21. Полисульфоны, простые полиэфирсульфоны и простые полиэфиркетоны.
22. Сшитые полимеры, дериватизированные из альдегидов, с одной стороны, и фенолов, мочевин и меламинов, с другой стороны, такие как фенолоформальдегидные смолы, карбамидоформальдегидные смолы и меламиноформальдегидные смолы.
23. Высыхающие и невысыхающие алкидные смолы.
24. Ненасыщенные сложнополиэфирные смолы, дериватизированные из сополиэфиров насыщенных и ненасыщенных дикарбоновых кислот с многоатомными спиртами и виниловыми соединениями в качестве сшивающих агентов, а также их галоидсодержащие модификации низкой воспламеняемости.
25. Сшиваемые акрилатные смолы, дериватизированные из замещенных акрилатов, например эпоксиакрилатов, уретанакрилатов или полиэфиракрилатов.
26. Алкидные смолы, сложнополиэфирные смолы и акрилатные смолы, сшитые меламиновыми смолами, карбамидными смолами, изоцианатами, изоциануратами, полиизоцианатами или эпоксидными смолами.
27. Сшитые эпоксидные смолы, дериватизированные из алифатических, циклоалифатических, гетероциклических или ароматических глицидиловых соединений, например продукты диглицидиловых простых эфиров бисфенола А и бисфенола F, которые сшиты обычными отвердителями, такими как ангидриды и амины, совместно или без ускорителей.
28. Смеси вышеупомянутых полимеров (механические смеси полимеров), например ПП/ЭПДМ, полиамид/ЭПДМ или АБС, ПВХ/ЭВА, ПВХ/АБС, ПВХ/МБС, ПК/АБС, ПБТР/АБС, ПК/АСА, ПК/ПБТ, ПВХ/ХПЭ, ПВХ/акрилаты, ПОМ/термопластичные ПУР, ПК/термопластичные ПУР, ПОМ/акрилат, ПОМ/МБС, ППО/УППС (ударопрочный полистирол), ППО/ПА (полиамид) 6,6 и сополимеры, ПА/ПЭВП, ПА/ПП, ПА/ППО, ПБТ/ПК/АБС или ПБТ/ПЭТФ (полиэтилентерефталат)/ПК.
Синтетические полимеры, которые должны быть защищены, в предпочтительном варианте представляют собой термопластичные полимеры, преимущественно полиолефины, полистиролы, полиамиды, сложные полиэфиры, полиакрилаты, наиболее предпочтительно полиолефины, в частности полиэтилен и полипропилен, или их сополимеры с моно- и диолефинами.
Предпочтительные природные или искусственные филлосиликаты в виде наночастиц представляют собой, например, слоистые силикатные глины в виде наночастиц. Особый интерес представляют нанокомпозитные материалы, включающие в качестве компонента (б) монтмориллонит, бентонит, бейделлит, слюду, гекторит, сапонит, нонтронит, соконит, вермикулит, ледикит, магадит, кенияит, стевенсит, волконскоит или их смесь в виде наночастиц.
В предпочтительном варианте компонент (б) модифицируют или интеркалируют модифицирующим веществом, таким как, например, аммониевое, аминовое или фосфониевое соединение.
Примеры модифицирующих веществ для наноглин представляют собой, например, следующие материалы.
1. Аминовые и аммониевые соединения, например дистеарилдиметиламмонийхлорид, стеарилбензилдиметиламмонийхлорид, стеариламин, стеарилдиэтоксиамин или аминододекановая кислота [технически доступна как Nanofil (RTM) фирмы Südchemie, Германия]; диметилдиаммоний таллового масла, триоктилметиламмоний, диполиоксиэтиленалкилметиламмоний или полиоксипропиленметилдиэтиламмоний [технически доступен как модифицированный продукт Somasif (RTM) фирмы CO-OP Chemical]; октадециламин, триэтоксисиланилпропиламин [технически доступен как Nanomer (RTM) фирмы Nanocor], полиоксиалкилированные аммониевые соединения, такие как, например, октадецилбис-(полиоксиэтилен[15]амин [Ethomeen (RTM) фирмы Eastman] или октадецилметилбис-(полиоксиэтилен[15]аммонийхлорид [Etoquad (RTM) фирмы Eastman], или просто соответствующие свободные амины.
2. Фосфониевые соединения, например тетрабутилфосфоний или октадецилтрифенилфосфоний [технически доступны на фирме Eastman].
3. Прочие, например триэтоксиоктилсилан [технически доступен как Nanomer (RTM) фирмы Nanocor], аммониевые, сульфониевые или пиридиевые соединения, которые описаны, например, в WO-A-01/04050 или WO-A-99/67790; блочные привитые сополимеры, такие как, например, ПЭО-блок-ПС или поли-4-винилпиридин-блок-ПС, или растворители для набухания, такие как, например, -бутиролактон, 2-пирролидон, диметилсульфоксид, диглим, тетрагидрофуран или фурфуриловый спирт.
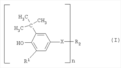
Нанокомпозитные материалы, которые представляют интерес, включают те, к которым относятся в качестве компонента (в) соединения формулы I

в которой R1 обозначает С1-С4алкил,
n обозначает 1, 2, 3 или 4,
X обозначает метилен или группу формулы
или 
Y обозначает водородный атом или -NH-; и
если n обозначает 1,
Х обозначает группу формулы 
где Y связан с R2, а R2, обозначает С1-С25алкил; и
если n обозначает 2,
Х обозначает группу формулы где Y связан с R2, а
R2 обозначает С2-С12алкилен, С4-С12алкилен, прерываемый атомом кислорода или серы; или, если Y обозначает -NH-, R2 дополнительно обозначает прямую связь; и если n обозначает 3,
Х обозначает метилен или группу формулы где этиленовая группа связана с R2, a
R2 обозначает группу формулы
а если n обозначает 4,
Х обозначает группу формулы где Y связан с R2, a R2 обозначает С4-С10алкантетраил.
Алкил, содержащий до 25 углеродных атомов, представляет собой разветвленный или неразветвленный радикал, например метил, этил, пропил, изопропил, н-бутил, втор-бутил, изобутил, трет-бутил, 2-этилбутил, н-пентил, изопентил, 1-метилпентил, 1,3-диметилбутил, н-гексил, 1-метилгексил, н-гептил, изогептил, 1,1,3,3-тетраметилбутил, 1-метилгептил, 3-метилгептил, н-октил, 2-этилгексил, 1,1,3-триметилгексил, 1,1,3,3-тетраметилпентил, нонил, децил, ундецил, 1-метилундецил, додецил, 1,1,3,3,5,5-гексаметилгексил, тридецил, тетрадецил, пентадецил, гексадецил, гептадецил, октадецил, эйкозил или докозил. В предпочтительном варианте R1 обозначает метил или трет-бутил. В особенно предпочтительном варианте R2 обозначает С1-С20алкил, преимущественно С1-С18алкил, например С4-С18алкил. По особенно предпочтительному определению R2 обозначает С8-С18алкил, преимущественно С14-С18алкил, например С18алкил.
С2-С12алкилен представляет собой разветвленный или неразветвленный радикал, например этилен, пропилен, тетраметилен, пентаметилен, гексаметилен, гептаметилен, октаметилен, декаметилен или додекаметилен. В предпочтительном варианте R2 обозначает, например, С2-С10алкилен, преимущественно С2-С8алкилен. По особенно предпочтительному определению R2 обозначает, например, С4-С8алкилен, преимущественно С4-С6алкилен, например гексаметилен.
С4-С12алкилен, прерываемый атомом кислорода или серы, может прерываться один или несколько раз и представляет собой, например, -СН2-О-СН2СН2-O-СН2-, -СН2-(O-СН2СН2-)2O-СН2-, -СН2-(O-СН2СН2-)3О-СН2-, -СН2-(O-СН2СН2-)4O-СН2-, -СН2СН2-O-СН2СН2-O-СН2СН2– или -CH2CH2-S-CH2CH2-.
В предпочтительном варианте R2 обозначает, например, С4-С10алкилен, прерываемый атомом кислорода или серы, преимущественно С4-С8алкилен, прерываемый атомом кислорода или серы, например С4-С6алкилен, прерываемый атомом кислорода или серы. По особенно предпочтительному определению R2 обозначает -СН2СН2-O-СН2СН2-O-СН2СН2– или -CH2CH2-S-СН2СН2-.
Алкантетраил, содержащий от 4 до 10 углеродных атомов, представляет собой, например, (пентаэритрил),

Предпочтителен пентаэритрил.
Компонент (в) может также включать смеси разных пространственно затрудненных фенолов формулы I.
Нанокомпозитные материалы, которые представляют интерес, включают те, к которым в качестве компонента (в) относится по меньшей мере одно соединение формулы I, в которой, если n обозначает 1, то R2 обозначает C1-С20алкил.
Предпочтение отдают нанокомпозитным материалам, включающим в качестве компонента (в) по меньшей мере одно соединение формулы I, в которой,
если n обозначает 2,
R2 обозначает С2-С8алкилен, С4-С8алкилен, прерываемый атомом кислорода или серы; или, если Y обозначает -NH-, R2 дополнительно обозначает прямую связь;
и если n обозначает 3,
Х обозначает метилен,
R2 обозначает 
и если n обозначает 4,
R2 обозначает С4-С8алкантетраил.
Аналогичным образом предпочтение отдают нанокомпозитным материалам, включающим в качестве компонента (в) по меньшей мере одно соединение формулы I, в которой
R1 обозначает метил или трет-бутил,
n обозначает 1, 2, 3 или 4,
X обозначает метилен или

Y обозначает водородный атом или -NH-;
и если n обозначает 1,
R2 обозначает С14-С18алкил;
и если n обозначает 2,
R2 обозначает С4-С6алкилен или обозначает С4-С6алкилен, прерываемый атомом кислорода;
и если n обозначает 3,
Х обозначает метилен,
R2 обозначает

и если n обозначает 4,
R2 обозначает С4-С6алкантетраил.
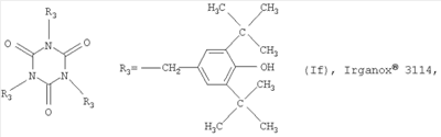
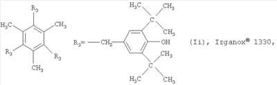
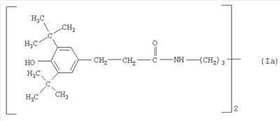
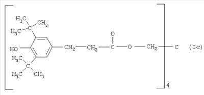
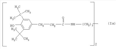
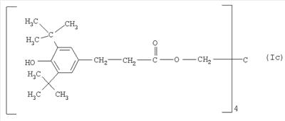
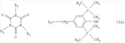
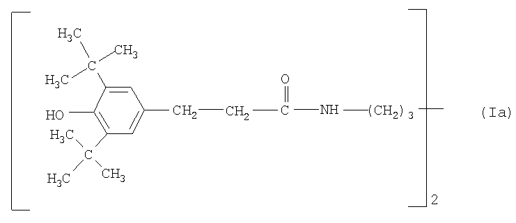
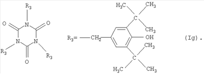
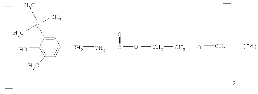
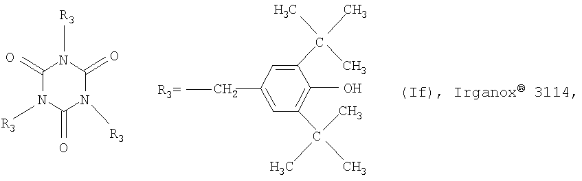
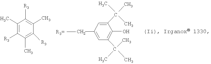
Также интерес представляют нанокомпозитные материалы, включающие в качестве компонента (в) по меньшей мере одно соединение формулы I, где это соединение формулы I является соединением формулы с Ia по Ii









являются защищенными товарными знаками фирмы Ciba Specialty Chemicals Inc.
Предпочтение отдают нанокомпозитным материалам, включающим в качестве компонента (в) по меньшей мере одно соединение формулы I, где это соединение формулы I является соединением формулы Ia, Ib, Ic или Id, в частности соединением формулы Ia, Ib или Ic.
Компонент (в) новых нанокомпозитных материалов и соединения формулы I известны и в некоторых случаях могут быть получены промышленным путем. Возможные способы получения соединений формулы I можно обнаружить, например, в US 3330859 и 3960928.
Интерес представляют нанокомпозитные материалы, включающие в качестве компонента (в) стабилизаторы для переработки, выбранные из группы, включающей органические фосфиты или фосфониты, или бензофуран-2-оны.
Особый интерес представляют нанокомпозитные материалы, включающие в качестве компонента (в) по меньшей мере одно соединение из группы бензофуран-2-она или группы органических фосфитов или фосфонитов формул с II по VIII



в которых индексы являются неотъемлемыми и
n’ обозначает 2, 3 или 4; р’ обозначает 1 или 2; q’ обозначает 2 или 3; r’ обозначает от 4 до 12; у’ обозначает 1, 2 или 3, a z’ обозначает от 1 до 6;
А’, если n’ обозначает 2, обозначает С2-С18алкилен, С2-С12алкилен, прерываемый атомом кислорода или серы или -NR’4-; радикал формулы
или фенилен;
А’, если n’ обозначает 3, обозначает радикал формулы 
А’, если n’ обозначает 4, обозначает ;
А” имеет такие значения, как А’, если n’ обозначает 2; В’ обозначает прямую связь, -СН2-, -CHR’4-, -CR’1R’4-, атом серы или С5-С7циклоалкилиден или обозначает циклогексилиден, замещенный 1-4 С1-С4алкильными радикалами в положениях 3, 4 и/или 5;
D’, если р’ обозначает 1, обозначает метил, а если р’ обозначает 2, обозначает -СН2OCH2-;
Е’, если у’ обозначает 1, обозначает С1-С18алкил, -OR’1 или атом галогена;
Е’, если у обозначает 2, обозначает -O-А”-O-,
Е’, если у обозначает 3, обозначает радикал формулы R’4С(СН2O-)3 или N(СН2СН2O-)3;
Q’ обозначает радикал по меньшей мере z’-валентного спирта или фенола, причем этот радикал присоединен посредством кислородного атома к атому фосфора;
R’1, R’2 и R’3 независимо друг от друга не замещены или обозначают атом галогена, C1-C18алкил, циклогексил -COOR4‘, -CN- или -OCNR4‘R4‘- замещенный С1-С18алкил; С2-С18алкил, прерываемый атомом кислорода или серы или -NR’4-; С7-С9фенилалкил, С5-С12циклоалкил, фенил или нафтил; нафтил или фенил, замещенный атомом галогена, 1-3 алкильными радикалами или алкоксирадикалами, содержащими в общей сложности от 1 до 18 углеродных атомов, или С7-С9фенилалкилом; или обозначают радикал формулы
в которой m’ обозначает целое число в интервале от 3 до 6;
R’4 обозначает водородный атом, С1-С18алкил, С5-С12циклоалкил или С7-С9фенилалкил,
R’5 и R’6 независимо друг от друга обозначают водородный атом, С1-С8алкил или С5-С6циклоалкил,
R’7 и R’8, если q’ обозначает 2, независимо друг от друга обозначают С1-С4алкил или совместно обозначают 2,3-дегидропентаметиленовый радикал и
R’7 и R’8, если q’ обозначает 3, обозначают метил;
R’14 обозначает водородный атом, С1-С9алкил или циклогексил, R’15 обозначает водородный атом или метил и, если содержатся два или большее число радикалов R’14 и R’15, эти радикалы являются одинаковыми или разными,
X’ и Y’ каждый обозначает прямую связь или атом кислорода,
Z’ обозначает прямую связь, метилен, -C(R’16)2– или атом серы, а R’16 обозначает C1-С8алкил.
Особый интерес представляют нанокомпозитные материалы, включающие в качестве компонента (в) бензофуран-2-он или фосфит, или фосфонит формулы II, III, IV или V, в которой
n’ обозначает число 2, а у’ обозначает число 1, 2 или 3;
А’ обозначает С2-С18алкилен, п-фенилен или п-бифенилен,
Е’, если у’ обозначает 1, обозначает С1-С18алкил, -OR’1 или атом фтора;
Е’, если у’ обозначает 2, обозначает п-бифенилен,
Е’, если у’ обозначает 3, обозначает N(СН2СН2O-)3,
R’1, R’2 и R’3 независимо друг от друга обозначают С1-С18алкил, С7-С9фенилалкил, циклогексил, фенил или фенил, замещенный 1-3 алкильными радикалами, содержащими в общей сложности от 1 до 18 углеродных атомов;
R’14 обозначает водородный атом или С1-С9алкил,
R’15 обозначает водородный атом или метил;
X’ обозначает прямую связь,
Y’ обозначает атом кислорода,
Z’ обозначает прямую связь или -CH(R’16)-, a
R’16 обозначает С1-С4алкил, бензофуран-2-он.
Также интерес представляют нанокомпозитные материалы, включающие в качестве компонента (в) бензофуран-2-он или фосфит, или фосфонит формулы II, III, IV или V, в которой
n’ обозначает число 2, а у’ обозначает число 1 или 3;
А’ обозначает п-бифенилен,
Е’, если у’ обозначает 1, обозначает С1-С18алкокси или атом фтора,
Е’, если у’ обозначает 3, обозначает N(СН2СН2O-)3,
R’1, R’2 и R’3 независимо друг от друга обозначают С1-С18алкил или обозначают фенил, замещенный 2 или 3 алкильными радикалами, содержащими в общей сложности от 2 до 12 углеродных атомов;
R’14 обозначает метил или трет-бутил;
R’15 обозначает водородный атом;
X’ обозначает прямую связь;
Y’ обозначает атом кислорода, а
Z’ обозначает прямую связь, метилен или -СН(СН3)-.
Особое предпочтение отдают нанокомпозитным материалам, включающим в качестве компонента (в) фосфит или фосфонит формулы II, III или V.
Особое предпочтение отдают нанокомпозитным материалам, включающим в качестве компонента (в) по меньшей мере одно соединение формулы VII

в которой R1 и R2 независимо друг от друга обозначают водородный атом, С1-С8алкил, циклогексил или фенил, а
R3 и R4 независимо друг от друга обозначают водородный атом или С1-С4алкил.
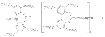
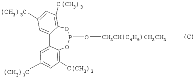
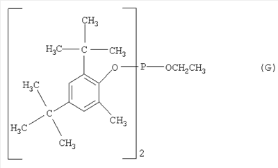
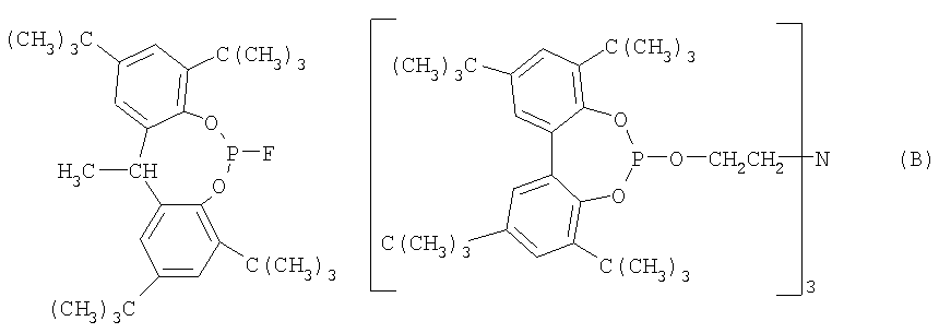
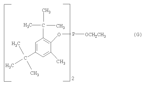
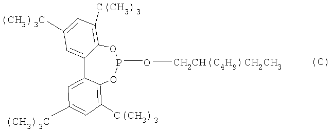
Примерами органических фосфитов и фосфонитов, которые особенно приемлемы в качестве компонента (в) в новых композициях, являются следующие соединения: трифенилфосфит, бифенилалкилфосфиты, фенилдиалкилфосфиты, трис-(нонилфенил)фосфит, трилаурилфосфит, триоктадецилфосфит, дистеарилпентаэритритдифосфит, трис-(2,4-ди-трет-бутилфенил)фосфит (Irgafos® 168, фирма Ciba Specialty Chemicals Inc.), диизодецилпентаэритритдифосфит, бис-(2,4-ди-трет-бутилфенил)пентаэритритдифосфит (формула D), бис-(2,6-ди-трет-бутил-4-метилфенил)пентаэритритдифосфит (формула Е), бисизодецилоксипентаэритритдифосфит, бис-(2,4-ди-трет-бутил-6-метилфенил)пентаэритритдифосфит, бис-(2,4,6-три-трет-бутилфенил)пентаэритритдифосфит, тристеарилсорбиттрифосфит, тетракис-(2,4-ди-трет-бутилфенил)-4,4′-бифенилендифосфонит (Irgafos® P-EPQ, фирма Ciba Specialty Chemicals Inc., формула Н), 6-изооктилокси-2,4,8,10-тетра-трет-бутил-12Н-дибензо[d,g]-1,3,2-диоксафосфоцин (формула С), 6-фтор-2,4,8,10-тетра-трет-бутил-12-метилдибензо[d,g]-1,3,2-диоксафосфоцин (формула А), бис-(2,4-ди-трет-бутил-6-метилфенил)метилфосфит, бис-(2,4-ди-трет-бутил-6-метилфенил)этилфосфит (формула G).
Особое предпочтение отдают применению следующих фосфитов и фосфонитов:
трис-(2,4-ди-трет-бутилфенил)фосфит (Irgafos® 168, фирма Ciba Specialty Chemicals Inc.), трис-(нонилфенил)фосфит,






Особенно большое предпочтение отдают трис-(2,4-ди-трет-бутилфенил)фосфиту [Irgafos® 168, фирма Ciba Specialty Chemicals Inc.], бис-(2,4-ди-трет-бутил-6-метилфенил)этилфосфиту [Irgafos® 38, фирма Ciba Specialty Chemicals Inc., формула (G)], бис-(2,4-ди-трет-бутилфенил)пентаэритритдифосфиту [Irgafos® 126, фирма Ciba Specialty Chemicals Inc., формула (D)] или тетракис-(2,4-ди-трет-бутилфенил)-4,4′-бифенилендифосфониту [Irgafos® P-EPQ, фирма Ciba Specialty Chemicals Inc., формула (Н)].
Вышеупомянутые органические фосфиты и фосфониты являются известными соединениями, многие из них технически доступны.
Предпочтительные стабилизаторы для переработки из класса бензофуран-2-онов представляют собой, например, те, которые описаны в US 4325863, US 4338244, US 5175312, US 5216052, US 5252643, DE-A-4316611, DE-A-4316622, DE-A-4316876, EP-A-0589839 и ЕР-А-0591102, или 3-[4-(2-ацетоксиэтокси)фенил]-5,7-ди-трет-бутилбензофуран-2-он, 5,7-ди-трет-бутил-3-[4-(2-стеароилоксиэтокси)фенил]бензофуран-2-он, 3,3′-бис-[5,7-ди-трет-бутил-3-(4-[2-гидроксиэтокси]фенил)бензофуран-2-он], 5,7-ди-трет-бутил-3-(4-этоксифенил)бензофуран-2-он, 3-(4-ацетокси-3,5-ди-метилфенил)-5,7-ди-трет-бутилбензофуран-2-он, 3-(3,5-диметил-4-пивалоилоксифенил)-5,7-ди-трет-бутилбензофуран-2-он, 3-(3,4-диметилфенил)-5,7-ди-трет-бутилбензофуран-2-он, 3-(2,3-диметилфенил)-5,7-ди-трет-бутилбензофуран-2-он.
Особый интерес представляют нанокомпозитные материалы, для которых компонент (в) выбирают из группы, включающей следующие продукты.
1. Токоферолы, например -токоферол, -токоферол, -токоферол, -токоферол и их смеси (витамин Е).
2. Эфиры -(3,5-ди-трет-бутил-4-гидроксифенил)пропионовой кислоты и одно- и многоатомных спиртов, например октадеканола, тиодиэтиленгликоля, пентаэритрита и трис-(гидроксиэтил)изоцианурата.
3. Бензилфосфонаты, например диметил-2,5-ди-трет-бутил-4-гидроксибензилфосфонат, диэтил-3,5-ди-трет-бутил-4-гидроксибензилфосфонат, диоктадецил-3,5-ди-трет-бутил-4-гидроксибензилфосфонат, диоктадецил-5-трет-бутил-4-гидрокси-3-метилбензилфосфонат, кальциевая соль моноэтилового эфира 3,5-ди-трет-бутил-4-гидроксибензилфосфоновой кислоты.
4. Эфиры -(5-трет-бутил-4-гидрокси-3-метилфенил)пропионовой кислоты и одно- и многоатомных спиртов, например диэтиленгликоля.
5. Амиды -(3,5-ди-трет-бутил-4-гидроксифенил)пропионовой кислоты. например N,N’-бис-(3,5-ди-трет-бутил-4-гидроксифенилпропионил)гексаметилендиамид.
6. Фосфиты и фосфониты, например трис-(2,4-ди-трет-бутилфенил)фосфит, тетракис-(2,4-ди-трет-бутилфенил)-4,4′-бифенилендифосфонит.
7. Бензофуран-2-оны, например 3-(3,4-диметилфенил)-5,7-ди-трет-бутилбензофуран-2-он, 3-(2,3-диметилфенил)-5,7-ди-трет-бутилбензофуран-2-он и их смеси.
Особенно большой интерес представляют нанокомпозитные материалы, в которых компонент (в) представляет собой трис-(2,4-ди-трет-бутилфенил)фосфит, бис-(2,4-ди-трет-бутил-6-метилфенил)этилфосфит, бис-(2,4-ди-трет-бутилфенил)пентаэритритдифосфит, тетракис-(2,4-ди-трет-бутилфенил)-4,4′-бифенилендифосфонит, 3-(3,4-диметилфенил)-5,7-ди-трет-бутилбензофуран-2-он, 3-(2,3-диметилфенил)-5,7-ди-трет-бутилбензофуран-2-он и/или соединение формулы Ia, Ib, Ic, Id или Ig.




.
Особый интерес представляет нанокомпозитный материал, в котором компонентом (г) является эпоксид.
Принимая во внимание цели настоящего изобретения, эпоксиды [компонент (г)] могут обладать алифатическим, ароматическим, циклоалифатическим, аралифатическим или гетероциклическим строением, они включают эпоксидные группы в виде боковых групп или эти группы образуют часть алициклической или гетероциклической кольцевой системы. Эпоксидные группы в предпочтительном варианте присоединены в виде глицидиловых групп к остальной части молекулы посредством простых эфирных или сложноэфирных связей или подразумеваемые соединения представляют собой N-глицидиловые производные гетероциклических аминов, амидов или имидов. Эпоксиды этих типов обычно известны и технически доступны.
В предпочтительном варианте компонент (г) представляет собой полифункциональный эпоксид, который включает эпоксидные радикалы, например радикалы формулы Е-1

которые присоединяются непосредственно к атомам углерода, кислорода, азота или серы, и когда R11 и R13 оба обозначают водородный атом, R12 обозначает водородный атом или метил, а n обозначает 0 или когда R11 и R13 совместно обозначают -СН2СН2– или -СН2СН2СН2-, тогда R12 обозначает водородный атом, а n обозначает 0 или 1.
Примеры эпоксидов включают следующие соединения.
1. Диглицидиловые и ди( -метилглицидиловые) сложные эфиры, которые могут быть получены реакцией соединения с двумя карбоксильными группами в молекуле и эпихлоргидрина и/или глицериндихлоргидрина, и/или -метилэпихлоргидрина. Реакцию соответствующим образом проводят в присутствии оснований.
В качестве соединений с двумя карбоксильными группами в молекуле можно использовать алифатические дикарбоновые кислоты. Примерами этих дикарбоновых кислот являются глутаровая кислота, адипиновая кислота, пимелиновая кислота, субериновая кислота, азелаиновая кислота, себациновая кислота, димеризованная или тримеризованная линолевая кислота.
Однако можно также использовать циклоалифатические дикарбоновые кислоты, такие как, например, тетрагидрофталевая кислота, 4-метилтетрагидрофталевая кислота, гексагидрофталевая кислота и 4-метилгексагидрофталевая кислота.
Более того, можно использовать ароматические дикарбоновые кислоты, например фталевую кислоту или изофталевую кислоту.
2. Диглицидиловые или ди( -метилглицидиловые) простые эфиры, которые могут быть получены реакцией соединения с двумя свободными спиртовыми гидроксильными группами и/или фенольными гидроксильными группами и приемлемым замещенным эпихлоргидрином в щелочных условиях или в присутствии кислотного катализатора с последующей щелочной обработкой.
Простые эфиры этого типа дериватизируют, например, из ациклических спиртов, таких как этиленгликоль, диэтиленгликоль и высшие поли(оксиэтилен)гликоли, пропан-1,2-диол и поли(оксипропилен)гликоли, пропан-1,3-диол, бутан-1,4-диол, поли(окситетраметилен)гликоли, пентан-1,5-диол, гексан-1,6-диол, сорбит, и из полиэпихлоргидринов.
Однако их также дериватизируют, например, из циклоалифатических спиртов, таких как 1,3- и 1,4-дигидроксициклогексаны, бис-(4-гидроксициклогексил)метан, 2,2-бис-(4-гидроксициклогексил)пропан и 1,1-бис-(гидроксиметил)циклогекс-3-ен, или они обладают ароматическим ядром, в частности N,N-бис-(2-гидроксиэтил)анилин или п,п’-бис-(2-гидроксиэтиламино)бифенилметан.
Эти эпоксиды могут также быть дериватизированы из одноядерных фенолов, в частности из резорцина, пирокатехина или гидрохинона, или они основаны на многоядерных фонолах, в частности на 4,4′-дигидроксибифениле, бис-(4-гидроксифенил)метане, 2,2-бис-(4-гидроксифенил)пропане, 2,2-бис-(4-гидроксифенил)гексафторпропане, 2,2-бис-(3,5-дибром-4-гидроксифенил)пропане, 4,4′-дигидроксибифенилсульфоне, 9,9′-бис-(4-гидроксифенил)флуорене, или на продуктах реакций конденсации фенолов с формальдегидом, получаемых в кислых условиях, таких как новолачные фенолоформальдегидные смолы.
3. Ди(N-глицидиловые) соединения могут быть получены, например, дегидрохлорированием продуктов взаимодействия эпихлоргидрина с аминами, содержащими два аминовых водородных атома. Примерами этих аминов являются анилин, толуидин, н-бутиламин, бис-(4-аминофенил)метан, м-ксилилендиамин и бис-(4-метиламинофенил)метан.
Однако к таким ди(N-глицидиловым) соединениям относятся также N,N’-диглицидиловые производные циклоалкиленмочевин, такие как этиленмочевина и 1,3-пропиленмочевина, и N,N’-диглицидиловые производные гидантоинов, таких как 5,5-диметилгидантоин.
4. Ди(S-глицидиловые) соединения, такие как ди-S-глицидиловые производные, дериватизированные из дитиолов, таких как, например, этан-1,2-дитиол или бис-(4-меркаптометилфениловый) простой эфир.
5. Эпоксиды с радикалом формулы II, в которой R11 и R13 совместно обозначают -СН2СН2-, а n обозначает 0, представляют собой, например, бис-(2,3-эпоксициклопентиловый) простой эфир, 2,3-эпоксициклопентилглицидиловый эфир и 1,2-бис-(2,3-эпоксициклопентилокси)этан; примером эпоксидов с радикалом формулы II, в которой R11 и R13 совместно обозначают -СН2СН2-, а n обозначает 1, является (3′,4′-эпокси-6′-метилциклогексил)метил-3,4-эпокси-6-метилциклогексанкарбоксилат.
Благодаря, например, способу их получения вышеупомянутые бифункциональные эпоксиды могут включать небольшие количества моно-или трифункциональных фракций.
Используют главным образом диглицидиловые соединения, обладающие ароматическими структурами.
При необходимости можно также использовать смесь эпоксидов разных структур.
Примерами приемлемых бифункциональных эпоксидов являются следующие продукты:
а) жидкие диглицидиловые простые эфиры бисфенола А, такие как Araldite® GY 240, Araldite® GY 250, Araldite® GY 260, Araldite® GY 266, Araldite® GY 2600 и Araldite® MY 790;
б) твердые диглицидиловые простые эфиры бисфенола А, такие как Araldite® GT 6071, Araldite® GT 7071, Araldite® GT 7072, Araldite® GT 6063, Araldite® GT 7203, Araldite® GT 6064, Araldite® GT 7304, Araldite® GT 7004, Araldite® GT 6084, Araldite® GT 1999, Araldite® GT 7077, Araldite® GT 6097, Araldite® GT 7097, Araldite® GT 7008, Araldite® GT 6099, Araldite® GT 6608, Araldite® GT 6609 и Araldite® GT 6610;
в) жидкие диглицидиловые простые эфиры бисфенола F, такие как Araldite® GY 281, Araldite® GY 282, Araldite® PY 302 и Araldite® PY 306;
г) жидкие глицидиловые простые эфиры спиртов, такие как Shell® Glycidylether 162, Araldite® DY 0390 и Araldite® DY 0391;
д) жидкие глицидиловые сложные эфиры карбоновых кислот, такие как терефталевый эфир Shell® Cardura E, тримеллитовый эфир, Araldite® PY 284 и смеси ароматических глицидиловых сложных эфиров, например Araldite® РТ 910;
е) жидкие циклоалифатические эпоксидные смолы, такие как Araldite® CY 179.
Примерами приемлемых три- и полифункциональных эпоксидов являются следующие продукты:
а) твердые полиглицидиловые простые эфиры тетрафенилэтана, такие как CG Epoxy Resin® 0163;
б) твердые и жидкие полиглицидиловые простые эфиры новолачной фенолоформальдегидной смолы, такие как EPN 1138, EPN 1139, GY 1180, PY 307;
в) твердые и жидкие полиглицидиловые простые эфиры новолачной о-крезолоформальдегидной смолы, такие как ECN 1235, ECN 1273, ECN 1280, ECN 1299;
г) твердые гетероциклические эпоксидные смолы (триглицидилизоцианурат), такие как Araldite® PT 810;
д) жидкие N,N,O-триглицидиловые простые эфиры п-аминофенола, такие как Araldite® MY 0510;
е) тетраглицидил-4,4′-метиленбензамин или N,N,N’,N’-тетраглицидилдиаминофенилметан, такой как Araldite® MY 720, Araldite® MY 721.
Особенно предпочтительные бифункциональные эпоксиды представляют собой жидкие или низкоплавкие диглицидиловые простые эфиры на основе бисфенолов, в частности такие как на основе 2,2-бис-(4-гидроксифенил)пропана (бисфенол А) или смесей бис-(орто-/пара-гидроксифенил)метанов (бисфенол F).
Особенно большое предпочтение отдают эпоксидам типа диглицидилового эфира бисфенола А, например следующим продуктам: Araldite® GT 6071, GT 7071, GT 7072, или эпоксидам типа бисфенола F, таким как Araldite® GY 281 или PY 306; диглицидил-1,2-циклогександикарбоксилат, например Araldite PY 284, и фенольной эпоксиноволачной смоле, например Araldite® PY EPN 1139.
Моно- или полифункциональные, в частности трифункциональные, соединения из класса оксазолинов [компонент (г)], принимая во внимание сущность настоящего изобретения, известны и описаны, например, в ЕР-А-0583807, и представляют собой, например, соединения формулы ОХ-1

в которой R8, R9, R10 и R11 независимо друг от друга обозначают атом водорода или галогена, С1-С20алкил, С4-С15циклоалкил, незамещенный или C1-С4алкилзамещенный фенил, С1-С20алкокси или С2-С20карбоксиалкил, если t обозначает 3,
R12 обозначает трехвалентный линейный, разветвленный или циклический алифатический радикал, содержащий от 1 до 18 углеродных атомов, который может прерываться атомом кислорода или серы, или R12 обозначает, кроме того, незамещенный или С1-С4алкилзамещенный бензолтриильный радикал, если t обозначает 2,
R12 обозначает двухвалентный линейный, разветвленный или циклический алифатический радикал, содержащий от 1 до 18 углеродных атомов, который может прерываться атомом кислорода или серы, или R12 обозначает, кроме того, незамещенный или С1-С4алкилзамещенный фениленовый радикал, если t обозначает 1,
R12 обозначает одновалентный линейный, разветвленный или циклический алифатический радикал, содержащий от 1 до 18 углеродных атомов, который может прерываться атомом кислорода или серы, или R12 обозначает, кроме того, незамещенный или С1-С4алкилзамещенный фенильный радикал.
Атомом галогена является, например, атом фтора, хлора, брома или иода, особенно предпочтителен атом хлора.
С1-С20алкил представляет собой разветвленный или неразветвленный радикал, например метил, этил, пропил, изопропил, н-бутил, втор-бутил, изобутил, трет-бутил, 2-этилбутил, н-пентил, изопентил, 1-метилпентил, 1,3-диметилпентил, н-гексил, 1-метилгексил, н-гептил, изогептил, 1,1,3,3-тетраметилбутил, 1-метилгептил, 3-метилгептил, н-октил, 2-этилгексил, 1,1,3-триметилгексил, 1,1,3,3-тетраметилпентил, нонил, децил, ундецил, 1-метилундецил, додецил, 1,1,3,3,5,5-гексаметилгексил, тридецил, тетрадецил, пентадецил, гексадецил, гептадецил, октадецил, эйкозил или докозил. Предпочтительным значением R8, R9, R10 и R11 является С1-С12алкил, в частности С1-С8алкил, например С1-С4алкил.
С4-С15циклоалкил, в частности С5-С12циклоалкил, представляет собой, например, циклобутил, циклопентил, циклогексил, циклогептил, циклооктил или циклододецил. Предпочтение отдают С5-С8циклоалкилу, в частности циклогексилу.
С1-С4алкилзамещенный фенил, который в предпочтительном варианте содержит от 1 до 3, в частности 1 или 2, алкильные группы, представляет собой, например, о-, м- или п-метилфенил, 2,3-диметилфенил, 2,4-диметилфенил, 2,5-диметилфенил, 2,6-диметилфенил, 3,4-диметилфенил, 3,5-диметилфенил, 2-метил-6-этилфенил, 4-трет-бутилфенил, 2-этилфенил или 2,6-диэтилфенил.
С1-С20алкокси представляет собой разветвленный или неразветвленный радикал, например метокси, этокси, пропокси, изопропокси, н-бутокси, изобутокси, пентокси, изопентокси, гексилокси, гептилокси, октилокси, децилокси, тетрадецилокси, гексадецилокси или октадецилокси. Предпочтительным значением R8, R9, R10 и R11 является С1-С12алкокси, в частности C1-C8алкокси, например С1-С4алкокси.
С2-С20карбоксиалкил представляет собой разветвленный или неразветвленный радикал, например карбоксиметил, карбоксиэтил, карбоксипропил, карбоксибутил, карбоксипентил, карбоксигексил, карбоксигептил, карбоксиоктил, карбоксинонил, карбоксидецил, карбоксиундецил, карбоксидодецил, 2-карбокси-1-пропил, 2-карбокси-1-бутил или 2-карбокси-1-пентил. Предпочтительным значением R8, R9, R10 и R11 является С2-С12карбоксиалкил, в частности С2-C8карбоксиалкил, например С2-С4карбоксиалкил.
Понятие “трехвалентный линейный, разветвленный или циклический алифатический радикал, содержащий от 1 до 18 углеродных атомов, который может прерываться атомом кислорода или серы,” означает, что три связи могут находиться у одних и тех же или разных атомов. К их примерам относятся метантриил, 1,1,1-этантриил, 1,1,1-пропантриил, 1,1,1-бутантриил, 1,1,1-пентантриил, 1,1,1-гексантриил, 1,1,1-гептантриил, 1,1,1-октантриил, 1,1,1-нонантриил, 1,1,1-декантриил, 1,1,1-ундекантриил, 1,1,1-додекантриил, 1,2,3-пропантриил, 1,2,3-бутантриил, 1,2,3-пентантриил, 1,2,3-гексантриил, 1,1,3-циклопентантриил, 1,3,5-циклогексантриил, 3-оксо-1,1,5-пентантриил и 3-тио-1,1,5-пентантриил.
Понятие “двухвалентный линейный, разветвленный или циклический алифатический радикал, содержащий от 1 до 18 углеродных атомов, который может прерываться атомом кислорода или серы,” означает, что две связи могут находиться у одних и тех же или разных атомов. К их примерам относятся метилен, этилен, пропилен, бутилены, пентилен, гексилен, гептилен, октилен, нонилен, децилен, ундецилен и додецилен.
Незамещенный или С1-С4алкилзамещенный бензолтриил, который в предпочтительном варианте содержит от 1 до 3, в частности 1 или 2, алкильные группы, представляет собой, например, 1,2,4-бензолтриил, 1,3,5-бензолтриил, 3-метил-1,2,4-бензолтриил или 2-метил-1,3,5-бензолтриил. Особое предпочтение отдают 1,2,4-бензолтриилу и 1,3,5-бензолтриилу.
Особый интерес представляют соединения формулы ОХ-1, в которой R8, R9, R10 и R11 независимо друг от друга обозначают водородный атом или C1-С4алкил, а R12 обозначает 1,2,4-бензолтриил или 1,3,5-бензолтриил.
Особый интерес представляют соединения формулы ОХ-1, например 2,2 ,2 -(1,3,5-бензолтриил)трис-2-оксазолин, 2,2 ,2 -(1,2,4-бензолтриил)трис-4,4-диметил-2-оксазолин, 2,2 ,2 -(1,3,5-бензолтриил)трис-4,4-диметил-2-оксазолин, 2,2 ,2 -(1,2,4-бензолтриил)трис-5-метил-2-оксазолин и 2,2 ,2 -(1,3,5-бензолтриил)трис-5-метил-2-оксазолин.
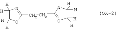
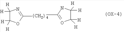
Предпочтительные с учетом сущности настоящего изобретения бифункциональные соединения из класса бисоксазолинов описаны T.Loontjens и др., Makromol. Chem., Macromol. Symp. 75, 211-216 (1993), и представляют собой, например, соединения формул ОХ-2, ОХ-3 и ОХ-4.



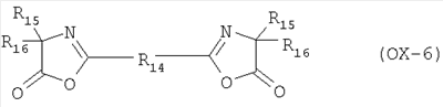
Моно- или полифункциональные, в частности бифункциональные, соединения, образующие класс оксазинов или оксазолонов [компонент (г)], принимая во внимание сущность настоящего изобретения, известны и описаны, например, H.Inata и др., в J.Applied Polymer Science Vol.32, 4581-4594 (1986), и представляют собой, например, соединения формулы ОХ-5 или ОХ-6


в которой R14 обозначает прямую связь или незамещенный или С1-С4алкилзамещенный фенилен или тиофен, а
R15 и R16 независимо друг от друга обозначают водородный атом или C1-С4алкил, или

Особое предпочтение отдают соединениям формул ОХ-5 и ОХ-6, в которых R14 обозначает прямую связь, в частности 2,2 -бис-(4Н-3,1-бензоксазин-4-ону), или ОХ-7.
Моно- или полифункциональные, в частности бифункциональные, соединения, образующие класс изоцианатов [компонент (г)], принимая во внимание сущность настоящего изобретения, известны и представляют собой, например, соединения формулы IC-1

в которой R23 обозначает С1-С20алкилен или полиметилен, арилен, аралкилен или циклоалкилен.
Предпочтительные диизоцианаты представляют собой тетраметилендиизоцианат, гексаметилендиизоцианат, додекаметилендиизоцианат, эйкозан-1,20-диизоцианат, 4-бутилгексаметилендиизоцианат, 2,2,4- и 2,4,4-триметилгексаметилендиизоцианаты, OCN(CH2)2O(CH2)2NCO, толуол-2,4-диизоцианат, п-фенилендиизоцианат, ксилилендиизоцианат, 3-изоцианатометил-3,5,5-триметилциклогексилизоцианат, нафталиндиизоцианаты, сульфонилдиизоцианаты, 3,3 -, 4,4 – и 3,4 -диизоцианатобифенилы, 2,2-бифенилпропан и бифениловый простой эфир, 3,3 -диметил-4,4 -диизоцианаты бифенилметана, 3,3 -диметокси-4,4 -диизоцианатобифенил и 4,4 -диизоцианатобифенилметан.
Эти диизоцианаты технически доступны или могут быть получены из технически доступных аминов.
Однако можно также использовать генераторы диизоцианатов, такие как полимерные уретаны, уретдионовые димеры и более высокомолекулярные олигомеры, циануратные полимеры, уретаны и полимерные уретаны циануратных полимеров, а также поддающиеся термической диссоциации аддукты шиффовых оснований.
Моно- или полифункциональные, в частности бифункциональные, соединения, образующие класс ангидридов [компонент (г)], принимая во внимание сущность настоящего изобретения, известны и представляют собой, например, соединения формулы АН-1

в которой R24 обозначает радикал формулы с АН-1а по AH-1j




в которой R25 обозначает -СН2-, -СН(СН3)-, -С(СН3)2-, С(CF3)2-, -S-, -О-, -(O)S(O)-, -NHCO-, -СО- или -Р(O)(С1-С20алкил)-, где ароматические кольца в формулах с АН-1а по АН-1е не замещены или замещены одной или несколькими C1-С6алкильными группами, C1-С6алкоксигруппами или атомами галогена.
Примером трифункционального ангидрида является меллитовый ангидрид.
Предпочтение отдают тетракарбоновым диангидридам, содержащим ароматические кольца. Эти тетракарбоновые ангидриды технически доступны. Можно также использовать смесь тетракарбоновых диангидридов, обладающих разными структурами.
В предпочтительном варианте природный или искусственный филлосиликат или смесь таких филлосиликатов в виде наночастиц [компонент (б)] содержится в нанокомпозитном материале в количестве от 0,01 до 30%, в частности 0,1 до 20%, например от 0,5 до 10%, в пересчете на массу синтетического полимера [компонента (а)].
Фенольный антиоксидант и/или стабилизатор для переработки [компонент (в)] в предпочтительном варианте добавляют в нанокомпозитный материал в количестве от 0,01 до 5%, в частности от 0,05 до 5%, например от 0,1 до 2%, в пересчете на массу синтетического полимера [компонента (а)].
Моно- или полифункциональное соединение, выбранное из класса, включающего эпоксиды, оксазолины, оксазолоны, оксазины, изоцианаты и/или ангидриды [компонент (г)], в предпочтительном варианте добавляют в нанокомпозитный материал в количестве от 0,01 до 5%, в частности 0,1 до 5%, например от 0,1 до 2%, в пересчете на массу синтетического полимера [компонента (а)].
В дополнение к компонентам (а), (б), (в) и (г) новые нанокомпозитные материалы могут включать дополнительные добавки, такие как, например, следующие продукты.
1. Антиоксиданты
1.1. Алкилированные монофенолы, например 2,6-ди-трет-бутил-4-метилфенол, 2-трет-бутил-4,6-диметилфенол, 2,6-ди-трет-бутил-4-этилфенол, 2,6-ди-трет-бутил-4-н-бутилфенол, 2,6-ди-трет-бутил-4-изобутилфенол, 2,6-дициклопентил-4-метилфенол, 2-( -метилциклогексил)-4,6-диметилфенол, 2,6-диоктадецил-4-метилфенол, 2,4,6-трициклогексилфенол, 2,6-ди-трет-бутил-4-метоксиметилфенол, нонилфенолы, которые являются линейными или разветвленными в боковой цепи, например 2,6-динонил-4-метилфенол, 2,4-диметил-6-(1 -метилундец-1 -ил)фенол, 2,4-диметил-6-(1 -метилгептадец-1 -ил)фенол, 2,4-диметил-6-(1 -метилтридец-1 -ил)фенол и их смеси.
1.2. Алкилтиометилфенолы, например 2,4-диоктилтиометил-6-трет-бутилфенол, 2,4-диоктилтиометил-6-метилфенол, 2,4-диоктилтиометил-6-этилфенол, 2,6-дидодецилтиометил-4-нонилфенол.
1.3. Гидрохиноны и алкилированные гидрохиноны, например 2,6-ди-трет-бутил-4-метоксифенол, 2,5-ди-трет-бутилгидрохинон, 2,5-ди-трет-амилгидрохинон, 2,6-дифенил-4-октадецилоксифенол, 2,6-ди-трет-бутилгидрохинон, 2,5-ди-трет-бутил-4-гидроксианизол, 3,5-ди-трет-бутил-4-гидроксианизол, 3,5-ди-трет-бутил-4-гидроксифенилстеарат, бис-(3,5-ди-трет-бутил-4-гидроксифенил)адипат.
1.4. Токоферолы, например -токоферол, -токоферол, -токоферол, -токоферол и их смеси (витамин Е).
1.5. Гидроксилированные тиодифениловые простые эфиры, например 2,2 -тиобис-(6-трет-бутил-4-метилфенол), 2,2 -тиобис-(4-октилфенол), 4,4 -тиобис-(6-трет-бутил-3-метилфенол), 4,4 -тиобис-(6-трет-бутил-2-метилфенол), 4,4 -тиобис-(3,6-ди-втор-амилфенол), 4,4 -бис-(2,6-диметил-4-гидроксифенил)дисульфид.
1.6. Алкилиденбисфенолы, например 2,2 -метиленбис-(6-трет-бутил-4-метилфенол), 2,2 -метиленбис-(6-трет-бутил-4-этилфенол), 2,2 -метиленбис-[4-метил-6-( -метилциклогексил)фенол], 2,2 -метиленбис-(4-метил-6-циклогексилфенол), 2,2 -метиленбис-(6-нонил-4-метилфенол), 2,2 -метиленбис-(4,6-ди-трет-бутилфенол), 2,2 -этилиденбис-(4,6-ди-трет-бутилфенол), 2,2 -этилиденбис-(6-трет-бутил-4-изобутилфенол), 2,2 -метиленбис-[6-( -метилбензил)-4-нонилфенол], 2,2 -метиленбис-[6-( , -диметилбензил)-4-нонилфенол], 4,4 -метиленбис-(2,6-ди-трет-бутилфенол), 4,4 -метиленбис-(6-трет-бутил-2-метилфенол), 1,1-бис-(5-трет-бутил-4-гидрокси-2-метилфенил)бутан, 2,6-бис-(3-трет-бутил-5-метил-2-гидроксибензил)-4-метилфенол, 1,1,3-трис-(5-трет-бутил-4-гидрокси-2-метилфенил)бутан, 1,1-бис-(5-трет-бутил-4-гидрокси-2-метилфенил)-3-н-додецилмеркаптобутан, этиленгликольбис-[3,3-бис-(3 -трет-бутил-4 -гидроксифенил)бутират], бис-(3-трет-бутил-4-гидрокси-5-метилфенил)дициклопентадиен, бис-[2-(3 -трет-бутил-2 -гидрокси-5 -метилбензил)-6-трет-бутил-4-метилфенил]терефталат, 1,1-бис-(3,5-диметил-2-гидроксифенил)бутан, 2,2-бис-(3,5-ди-трет-бутил-4-гидроксифенил)пропан, 2,2-бис-(5-трет-бутил-4-гидрокси-2-метилфенил)-4-н-додецилмеркаптобутан, 1,1,5,5-тетра(5-трет-бутил-4-гидрокси-2-метилфенил)пентан.
1.7. O-, N- и S-бензиловые соединения, например 3,5,3 ,5 -тетра-трет-бутил-4,4 -дигидроксидибензиловый простой эфир, октадецил-4-гидрокси-3,5-диметилбензилмеркаптоацетат, тридецил-4-гидрокси-3,5-ди-трет-бутилбензилмеркаптоацетат, трис-(3,5-ди-трет-бутил-4-гидроксибензил)амин, бис-(4-трет-бутил-3-гидрокси-2,6-диметилбензил)дитиотерефталат, бис-(3,5-ди-трет-бутил-4-гидроксибензил)сульфид, изооктил-3,5-ди-трет-бутил-4-гидроксибензилмеркаптоацетат.
1.8. Гидроксибензилированные малонаты, например диоктадецил-2,2-бис-(3,5-ди-трет-бутил-2-гидроксибензил)малонат, диоктадецил-2-(3-трет-бутил-4-гидрокси-5-метилбензил)малонат, дидодецилмеркаптоэтил-2,2-бис-(3,5-ди-трет-бутил-4-гидроксибензил)малонат, бис-[4-(1,1,3,3-тетраметилбутил)фенил]-2,2-бис-3,5-ди-трет-бутил-4-гидроксибензил)малонат.
1.9. Ароматические гидроксибензиловые соединения, например 1,3,5-трис-(3,5-ди-трет-бутил-4-гидроксибензил)-2,4,6-триметилбензол, 1,4-бис-(3,5-ди-трет-бутил-4-гидроксибензил)-2,3,5,6-тетраметилбензол, 2,4,6-трис-(3,5-ди-трет-бутил-4-гидроксибензил)фенол.
1.10. Триазиновые соединения, например 2,4-бис-октилмеркапто-6-(3,5-ди-трет-бутил-4-гидроксианилино)-1,3,5-триазин, 2-октилмеркапто-4,6-бис-(3,5-ди-трет-бутил-4-гидроксианилино)-1,3,5-триазин, 2-октилмеркапто-4,6-бис-(3,5-ди-трет-бутил-4-гидроксифенокси)-1,3,5-триазин, 2,4,6-трис-(3,5-ди-трет-бутил-4-гидроксифенокси)-1,2,3-триазин, 1,3,5-трис-(3,5-ди-трет-бутил-4-гидроксибензил)изоцианурат, 1,3,5-трис-(4-трет-бутил-3-гидрокси-2,6-диметилбензил)изоцианурат, 2,4,6-трис-(3,5-ди-трет-бутил-4-гидроксифенилэтил)-1,3,5-триазин, 1,3,5-трис-(3,5-ди-трет-бутил-4-гидроксифенилпропионил)гексагидро-1,3,5-триазин, 1,3,5-трис-(3,5-дициклогексил-4-гидроксибензил)изоцианурат.
1.11. Бензилфосфонаты, например диметил-2,5-ди-трет-бутил-4-гидроксибензилфосфонат, диэтил-3,5 -ди-трет-бутил-4-гидроксибензилфосфонат, диоктадецил-3,5-ди-трет-бутил-4-гидроксибензилфосфонат, диоктадецил-5-трет-бутил-4-гидрокси-З-метилбензилфосфонат, кальциевая соль моноэтилового эфира 3,5-ди-трет-бутил-4-гидроксибензилфосфоновой кислоты.
1.12. Ациламинофенолы, например анилид 4-гидроксилауриновой кислоты, анилид 4-гидроксистеариновой кислоты, октиловый эфир N-(3,5-ди-трет-бутил-4-гидроксифенил)карбаминовой кислоты.
1.13. Эфиры -(3,5-ди-трет-бутил-4-гидроксифенил)пропионовой кислоты и одно- и многоатомных спиртов, например метанола, этанола, н-октанола, изооктанола, октадеканола, 1,6-гександиола, 1,9-нонандиола, этиленгликоля, 1,2-пропандиола, неопентилгликоля, тиодиэтиленгликоля, диэтиленгликоля, триэтиленгликоля, пентаэритрита, трис-(гидроксиэтил)изоцианурата, N,N -бис-(гидроксиэтил)оксамида, 3-тиаундеканола, 3-тиапентадеканола, триметилгександиола, триметилолпропана, 4-гидроксиметил-1-фосфа-2,6,7-триоксабицикло[2.2.2]октана.
1.14. Эфиры -(5-трет-бутил-4-гидрокси-3-метилфенил)пропионовой кислоты и одно- и многоатомных спиртов, например метанола, этанола, н-октанола, изооктанола, октадеканола, 1,6-гександиола, 1,9-нонандиола, этиленгликоля, 1,2-пропандиола, неопентилгликоля, тиодиэтиленгликоля, диэтиленгликоля, триэтиленгликоля, пентаэритрита,трис-(гидроксиэтил)изоцианурата, N,N -бис-(гидроксиэтил)оксамида, 3-тиаундеканола, 3-тиапентадеканола, триметилгександиола, триметилолпропана, 4-гидроксиметил-1-фосфа-2,6,7-триоксабицикло[2.2.2]октана, 3,9-бис[2-{3-(3-трет-бутил-4-гидрокси-5-метилфенил)пропионилокси}-1,1-диметилэтил]-2,4,8,10-тетраоксаспиро[5.5]ундекана.
1.15. Эфиры -(3,5-дициклогексил-4-гидроксифенил)пропионовой кислоты и одно- и многоатомных спиртов, например метанола, этанола, октанола, октадеканола, 1,6-гександиола, 1,9-нонандиола, этиленгликоля, 1,2-пропандиола, неопентилгликоля, тиодиэтиленгликоля, диэтиленгликоля, триэтиленгликоля, пентаэритрита, трис-(2-гидроксиэтил)изоцианурата, N,N -бис-(гидроксиэтил)оксамида, 3-тиаундеканола, 3-тиапентадеканола, триметилгександиола, триметилолпропана, 4-гидроксиметил-1-фосфа-2,6,7-триоксабицикло[2.2.2]октана.
1.16. Эфиры 3,5-ди-трет-бутил-4-гидроксифенилуксусной кислоты и одно- и многоатомных спиртов, например метанола, этанола, октанола, октадеканола, 1,6-гександиола, 1,9-нонандиола, этиленгликоля, 1,2-пропандиола, неопентилгликоля, тиодиэтиленгликоля, диэтиленгликоля, триэтиленгликоля, пентаэритрита, трис-(гидроксиэтил)изоцианурата, N,N -бис-(гидроксиэтил)оксамида, 3-тиаундеканола, 3-тиапентадеканола, триметилгександиола, триметилолпропана, 4-гидроксиметил-1-фосфа-2,6,7-триоксабицикло[2.2.2]октана.
1.17. Амиды -(3,5-ди-трет-бутил-4-гидроксифенил)пропионовой кислоты, например N,N -бис-(3,5-ди-трет-бутил-4-гидроксифенилпропионил)гексаметилендиамид, N,N -бис-(3,5-ди-трет-бутил-4-гидроксифенилпропионил)триметилендиамид, N,N -бис-(3,5-ди-трет-бутил-4-гидроксифенилпропионил)гидразид, N,N -бис-[2-(3-[3,5-ди-трет-бутил-4-гидроксифенил]пропионилокси)этил]оксамид (продукт Naugard® XL-1 от фирмы Uniroyal).
1.18. Аскорбиновая кислота (витамин С).
1.19. Аминовые антиоксиданты, например N,N -диизопропил-п-фенилендиамин, N,N -ди-втор-бутил-п-фенилендиамин, N,N -бис-(1,4-диметилпентил)-п-фенилендиамин, N,N -бис-(1-этил-3-метилпентил)-п-фенилендиамин, N,N -бис-(1-метилгептил)-п-фенилендиамин, N,N -дициклогексил-п-фенилендиамин, N,N -дифенил-п-фенилендиамин, N,N -бис-(2-нафтил)-п-фенилендиамин, N-изопропил-N -фенил-п-фенилендиамин, N-(1,3-диметилбутил)-N -фенил-п-фенилендиамин, N-(1-метилгептил)-N -фенил-п-фенилендиамин, N-циклогексил-N -фенил-п-фенилендиамин, 4-(п-толуолсульфамоил)дифениламин, N,N -диметил-N,N -ди-втор-бутил-п-фенилендиамин, дифениламин, N-аллилдифениламин, 4-изопропоксидифениламин, N-фенил-1-нафтиламин, N-(4-трет-октилфенил)-1-нафтиламин, N-фенил-2-нафтиламин, октилированный дифениламин, например п,п -ди-трет-октилдифениламин, 4-н-бутиламинофенол, 4-бутириламинофенол, 4-нонаноиламинофенол, 4-додеканоиламинофенол, 4-октадеканоиламинофенол, бис-(4-метоксифенил)амин, 2,6-ди-трет-бутил-4-диметиламинометилфенол, 2,4 -диаминодифенилметан, 4,4 -диаминодифенилметан, N,N,N ,N -тетраметил-4,4 -диаминодифенилметан, 1,2-бис-[(2-метилфенил)амино]этан, 1,2-бис-(фениламино)пропан, (о-толил)дигуанид, бис-[4-(1 ,3 -диметилбутил)фенил]амин, трет-октилированный N-фенил-1-нафтиламин, смесь моно- и диалкилированных трет-бутил/трет-октилдифениламинов, смесь моно- и диалкилированных нонилдифениламинов, смесь моно- и диалкилированных додецилдифениламинов, смесь моно- и диалкилированных изопропил/изогексилдифениламинов, смесь моно- и диалкилированных трет-бутилдифениламинов, 2,3-дигидро-3,3-диметил-4Н-1,4-бензотиазин, фенотиазин, смесь моно- и диалкилированных трет-бутил/трет-октилфенотиазинов, смесь моно- и диалкилированных трет-октилфенотиазинов, N-аллилфенотиазин, N,N,N ,N -тетрафенил-1,4-диаминобут-2-ен.
2. Поглотители УФ-лучей и светостабилизаторы.
2.1. 2-(2 -Гидроксифенил)бензотриазолы, например 2-(2 -гидрокси-5 -метилфенил)бензотриазол, 2-(3 ,5 -ди-трет-бутил-2 -гидроксифенил)бензотриазол, 2-(5 -трет-бутил-2 -гидроксифенил)бензотриазол, 2-(2 -гидрокси-5 -(1,1,3,3-тетраметилбутил)фенил)бензотриазол, 2-(3 ,5 -ди-трет-бутил-2 -гидроксифенил)-5-хлорбензотриазол, 2-(3 -трет-бутил-2 -гидрокси-5 -метилфенил)-5-хлорбензотриазол, 2-(3 -втор-бутил-5 -трет-бутил-2 -гидроксифенил)бензотриазол, 2-(2 -гидрокси-4 -октилоксифенил)бензотриазол, 2-(3 ,5 -ди-трет-амил-2 -гидроксифенил)бензотриазол, 2-(3 ,5 -бис-( , -диметилбензил)-2 -гидроксифенил)бензотриазол, 2-(3 -трет-бутил-2 -гидрокси-5 -(2-октилоксикарбонилэтил)фенил)-5-хлорбензотриазол, 2-(3 -трет-бутил-5 -[2-(2-этилгексилокси)карбонилэтил]-2 -гидроксифенил)-5-хлорбензотриазол, 2-(3 -трет-бутил-2 -гидрокси-5 -(2-метоксикарбонилэтил)фенил)-5-хлорбензотриазол, 2-(3 -трет-бутил-2 -гидрокси-5 -(2-метоксикарбонилэтил)фенил)бензотриазол, 2-(3 -трет-бутил-2 -гидрокси-5 -(2-октилоксикарбонилэтил)фенил)бензотриазол, 2-(3 -трет-бутил-5 -[2-(2-этилгексилокси)карбонилэтил]-2 -гидроксифенил)бензотриазол, 2-(3 -додецил-2 -гидрокси-5 -метилфенил)бензотриазол, 2-(3 -трет-бутил-2 -гидрокси-5 -(2-изооктилоксикарбонилэтил)фенил)бензотриазол, 2,2 -метиленбис-[4-(1,1,3,3-тетраметилбутил)-6-бензотриазол-2-илфенол]; продукт переэтерификации 2-[3 -трет-бутил-5 -(2-метоксикарбонилэтил)-2 -гидроксифенил]-2Н-бензотриазола полиэтиленгликолем 300; [R-СН2СН2-СОО-СН2СН2-]2-, где R обозначает 3 -трет-бутил-4 -гидрокси-5 -2Н-бензотриазол-2-илфенил, 2-[2 -гидрокси-3 -( , -диметилбензил)-5 -(1,1,3,3-тетраметилбутил)фенил]бензотриазол; 2-[2 -гидрокси-3 -(1,1,3,3-тетраметилбутил)-5 -( , -диметилбензил)фенил]бензотриазол.
2.2. 2-Гидроксибензофеноны, например 4-гидрокси-, 4-метокси-, 4-октилокси-, 4-децилокси-, 4-додецилокси-, 4-бензилокси-, 4,2 ,4 -тригидрокси- и 2 -гидрокси-4,4 -диметоксипроизводные.
2.3. Эфиры замещенных и незамещенных бензойных кислот, например 4-трет-бутилфенилсалицилат, фенилсалицилат, октилфенилсалицилат, дибензоилрезорцин, бис-(4-трет-бутилбензоил)резорцин, бензоилрезорцин, 2,4-ди-трет-бутилфенил-3,5-ди-трет-бутил-4-гидроксибензоат, гексадецил-3,5-ди-трет-бутил-4-гидроксибензоат, октадецил-3,5-ди-трет-бутил-4-гидроксибензоат, 2-метил-4,6-ди-трет-бутилфенил-3,5-ди-трет-бутил-4-гидроксибензоат.
2.4. Акрилаты, например этил- -циано- , -дифенилакрилат, изооктил- -циано- , -дифенилакрилат, метил- -карбометоксициннамат, метил- -циано- -метил-п-метоксициннамат, бутил- -циано- -метил-п-метоксициннамат, метил- -карбометокси-п-метоксициннамат и N-( -карбометокси- -циановинил)-2-метилиндолин.
2.5. Соединения никеля, например никелевые комплексы 2,2 -тиобис-[4-(1,1,3,3-тетраметилбутил)фенола], такие как комплекс с соотношением 1:1 или 1:2 совместно или без дополнительных лигандов, таких как н-бутиламин, триэтаноламин и N-циклогексилдиэтаноламин, дибутилдитиокарбамат никеля, никелевые соли моноалкильных сложных эфиров, например метилового и этилового эфиров 4-гидрокси-3,5-ди-трет-бутилбензилфосфоновой кислоты, никелевые комплексы кетоксимов, например 2-гидрокси-4-метилфенилундецилкетоксим, никелевые комплексы 1-фенил-4-лауроил-5-гидроксипиразола вместе или без дополнительных лигандов.
2.6. Пространственно затрудненные амины, например бис-(2,2,6,6-тетраметил-4-пиперидил)себацат, бис-(2,2,6,6-тетраметил-4-пиперидил)сукцинат, бис-(1,2,2,6,6-пентаметил-4-пиперидил)себацат, бис-(1-октилокси-2,2,6,6-тетраметил-4-пиперидил)себацат, бис-(1,2,2,6,6-пентаметил-4-пиперидил)-н-бутил-3,5-ди-трет-бутил-4-гидроксибензилмалонат, продукт реакции конденсации 1-(2-гидроксиэтил)-2,2,6,6-тетраметил-4-гидроксипиперидина и янтарной кислоты, линейные или циклические продукты реакции конденсации N,N -бис-(2,2,6,6-тетраметил-4-пиперидил)гексаметилендиамина и 4-трет-октиламино-2,6-дихлор-1,3,5-триазина, трис-(2,2,6,6-тетраметил-4-пиперидил)нитрилтриацетат, тетракис-(2,2,6,6-тетраметил-4-пиперидил)-1,2,3,4-бутантетракарбоксилат, 1,1 -(1,2-этандиил)-бис-(3,3,5,5-тетраметилпиперазинон), 4-бензоил-2,2,6,6-тетраметилпиперидин, 4-стеарилокси-2,2,6,6-тетраметилпиперидин, бис-(1,2,2,6,6-пентаметилпиперидил)-2-н-бутил-2-(2-гидрокси-3,5-ди-трет-бутилбензил)малонат, 3-н-октил-7,7,9,9-тетраметил-1,3,8-триазаспиро[4.5]декан-2,4-дион, бис-(1-октилокси-2,2,6,6-тетраметилпиперидил)себацат, бис-(1-октилокси-2,2,6,6-тетраметилпиперидил)сукцинат, линейные или циклические продукты реакции конденсации N,N -бис-(2,2,6,6-тетраметил-4-пиперидил)гексаметилендиамина и 4-морфолино-2,6-дихлор-1,3,5-триазина, продукт реакции конденсации 2-хлор-4,6-бис-(4-н-бутиламино-2,2,6,6-тетраметилпиперидил)-1,3,5-триазина и 1,2-бис-(3-аминопропиламино)этана, продукт реакции конденсации 2-хлор-4,6-ди(4-н-бутиламино-1,2,2,6,6-пентаметилпиперидил)-1,3,5-триазина и 1,2-бис-(3-аминопропиламино)этана, 8-ацетил-3-додецил-7,7,9,9-тетраметил-1,3,8-триазаспиро[4.5]декан-2,4-дион, 3-додецил-1-(2,2,6,6-тетраметил-4-пиперидил)пирролидин-2,5-дион, 3-додецил-1-(1,2,2,6,6-пентаметил-4-пиперидил)пирролидин-2,5-дион, смесь 4-гексадецилокси- и 4-стеарилокси-2,2,6,6-тетраметилпиперидинов, продукт реакции конденсации N,N -бис-(2,2,6,6-тетраметил-4-пиперидил)гексаметилендиамина и 4-циклогексиламино-2,6-дихлор-1,3,5-триазина, продукт реакции конденсации 1,2-бис-(3-аминопропиламино)этана и 2,4,6-трихлор-1,3,5-триазина, равно как и 4-бутиламино-2,2,6,6-тетраметилпиперидин (CAS регистрационный № [136504-96-6]); продукт реакции конденсации 1,6-гександиамина и 2,4,6-трихлор-1,3,5-триазина, а также N,N-дибутиламина и 4-бутиламино-2,2,6,6-тетраметилпиперидина (CAS регистрационный № [192268-64-7]); N-(2,2,6,6-тетраметил-4-пиперидил)-н-додецилсукцинимид, N-(1,2,2,6,6-пентаметил-4-пиперидил)-н-додецилсукцинимид, 2-ундецил-7,7,9,9-тетраметил-1-окса-3,8-диаза-4-оксоспиро[4.5]декан, продукт взаимодействия 7,7,9,9-тетраметил-2-циклоундецил-1-окса-3,8-диаза-4-оксоспиро[4.5]декана и эпихлоргидрина, 1,1-бис-(1,2,2,6,6-пентаметил-4-пиперидилоксикарбонил)-2-(4-метоксифенил)этен, N,N -бис-формил-N,N -бис-(2,2,6,6-тетраметил-4-пиперидил)гексаметилендиамин, диэфир 4-метоксиметиленмалоновой кислоты и 1,2,2,6,6-пентаметил-4-гидроксипиперидина, поли[метилпропил-3-окси-4-(2,2,6,6-тетраметил-4-пиперидил)]силоксан, продукт взаимодействия сополимера ангидрида малеиновой кислоты/ -олефина с 2,2,6,6-тетраметил-4-аминопиперидином или 1,2,2,6,6-пентаметил-4-аминопиперидином.
2.7. Оксамиды, например 4,4 -диоктилоксиоксанилид, 2,2 -диэтоксиоксанилид, 2,2 -диоктилокси-5,5 -ди-трет-бутоксанилид, 2,2 -дидодецилокси-5,5 -ди-трет-бутоксанилид, 2-этокси-2 -этилоксанилид, N,N -бис-(3-диметиламинопропил)оксамид, 2-этокси-5-трет-бутил-2 -этоксанилид и его смесь с 2-этокси-2 -этил-5,4 -ди-трет-бутоксанилидом, смеси о- и п-метоксидизамещенных оксанилидов и смеси о- и п-этоксидизамещенных оксанилидов.
2.8. 2-(2-Гидроксифенил)-1,3,5-триазины, например 2,4,6-трис-(2-гидрокси-4-октилоксифенил)-1,3,5-триазин, 2-(2-гидрокси-4-октилоксифенил)-4,6-бис-(2,4-диметилфенил)-1,3,5-триазин, 2-(2,4-дигидроксифенил)-4,6-бис-(2,4-диметилфенил)-1,3,5-триазин, 2,4-бис-(2-гидрокси-4-пропилоксифенил)-6-(2,4-диметилфенил)-1,3,5-триазин, 2-(2-гидрокси-4-октилоксифенил)-4,6-бис-(4-метилфенил)-1,3,5-триазин, 2-(2-гидрокси-4-додецилоксифенил)-4,6-бис-(2,4-диметилфенил)-1,3,5-триазин, 2-(2-гидрокси-4-тридецилоксифенил)-4,6-бис-(2,4-диметилфенил)-1,3,5-триазин, 2-[2-гидрокси-4-(2-гидрокси-3-бутилоксипропокси)фенил]-4,6-бис-(2,4-диметил)-1,3,5-триазин, 2-[2-гидрокси-4-(2-гидрокси-3-октилоксипропилокси)фенил]-4,6-бис-(2,4-диметил)-1,3,5-триазин, 2-[4-(додецилокси/тридецилокси-2-гидроксипропокси)-2-гидроксифенил]-4,6-бис-(2,4-диметилфенил)-1,3,5-триазины, 2-[2-гидрокси-4-(2-гидрокси-3-додецилоксипропокси)фенил]-4,6-бис-(2,4-диметилфенил)-1,3,5-триазин, 2-(2-гидрокси-4-гексилокси)фенил-4,6-дифенил-1,3,5-триазин, 2-(2-гидрокси-4-метоксифенил)-4,6-дифенил-1,3,5-триазин, 2,4,6-трис-[2-гидрокси-4-(3-бутокси-2-гидроксипропокси)фенил]-1,3,5-триазин, 2-(2-гидроксифенил)-4-(4-метоксифенил)-6-фенил-1,3,5-триазин, 2-{2-гидрокси-4-[3-(2-этилгексил-1-окси)-2-гидроксипропилокси]фенил}-4,6-бис-(2,4-диметилфенил)-1,3,5-триазин.
3. Дезактиваторы металлов, например N,N -бифенилоксамид, N-салицилал-N -салицилоилгидразин, N,N -бис-(салицилоил)гидразин, N,N -бис-(3,5-ди-трет-бутил-4-гидроксифенилпропионил)гидразин, 3-салицилоиламино-1,2,4-триазол, бис-(бензилиден)оксалилдигидразид, оксанилид, изофталоилдигидразид, себацилбисфенилгидразид, N,N -диацетиладипоилдигидразид, N,N -бис-(салицилоил)оксалилдигидразид, N,N -бис-(салицилоил)тиопропионилдигидразид.
4. Гидроксиламины, например N,N-дибензилгидроксиламин, N,N-диэтилгидроксиламин, N,N-диоктилгидроксиламин, N,N-дилаурилгидроксиламин, N,N-дитетрадецилгидроксиламин, N,N-дигексадецилгидроксиламин, N,N-диоктадецилгидроксиламин, N-гексадецил-N-октадецилгидроксиламин, N-гептадецил-N-октадецилгидроксиламин, N,N-диалкилгидроксиламин, дериватизированный из аминов гидрированного таллового масла.
5. Нитроны, например N-бензил-альфа-фенилнитрон, N-этил-альфа-метилнитрон, N-октил-альфа-гептилнитрон, N-лаурил-альфа-ундецилнитрон, N-тетрадецил-альфа-тридецилнитрон, N-гексадецил-альфа-пентадецилнитрон, N-октадецил-альфа-гептадецилнитрон, N-гексадецил-альфа-гептадецилнитрон, N-октадецил-альфа-пентадецилнитрон, N-гептадецил-альфа-гептадецилнитрон, N-октадецил-альфа-гексадецилнитрон, нитрон, дериватизированный из N,N-диалкилгидроксиламина, дериватизированного из аминов гидрированного таллового масла.
6. Тиосинергисты, например дилаурилтиодипропионат или дистеарилтиодипропионат.
7. Соединения, которые деструктируют пероксид, например эфиры -тиодипропионовой кислоты, в частности лауриловый, стеариловый, миристиловый и тридециловый эфиры, меркаптобензимидазол или цинковая соль 2-меркаптобензимидазола, дибутилдитиокарбамат цинка, диоктадецилдисульфид, тетракис-( -додецилмеркапто)пропионат пентаэритрита.
8. Полиамидные стабилизаторы, например соли меди в сочетании с иодидами и/или соединениями фосфора и солями двухвалентного марганца.
9. Основные совместно используемые стабилизаторы, например меламин, поливинилпирролидон, дициандиамид, триаллилцианурат, мочевиновые производные, гидразиновые производные, амины, полиамиды, полиуретаны, соли щелочных металлов и соли щелочноземельных металлов высших жирных кислот, в частности стеарат кальция, стеарат цинка, бегенат магния, стеарат магния, рицинолеат натрия, пальмитат калия, пирокатехолат сурьмы и пирокатехолат цинка.
10. Зародышеобразователи, например неорганические соединения, такие как тальк, оксиды металлов, такие как диоксид титана и оксид магния, фосфаты, карбонаты и сульфаты, предпочтительно щелочноземельных металлов; органические соединения, такие как моно- и поликарбоновые кислоты и их соли, например 4-трет-бутилбензойная кислота, адипиновая кислота, дифенилуксусная кислота, сукцинат натрия и бензоат натрия; полимерные соединения, в частности ионогенные сополимеры (иономеры). Особенно предпочтительны1,3:2,4-бис(3 ,4 -диметилбензилиден)сорбит, 1,3:2,4-ди(пара-метилдибензилиден)сорбит и 1,3:2,4-ди(бензилиден)сорбит.
11. Наполнители и армирующие добавки, например карбонат кальция, силикаты, стекловолокно, стеклянный бисер, асбест, тальк, каолин, слюда, сульфат бария, оксиды и гидроксиды металлов, углеродная сажа, графит, древесная мука и мука или волокна других природных материалов, синтетические волокна.
12. Другие добавки, например пластификаторы, смазки, эмульгаторы, пигменты, модификаторы реологических свойств, катализаторы, регулирующие текучесть средства, оптические отбеливатели, антипирены, антистатики и газообразующие средства.
Совместно используемые стабилизаторы добавляют, например, в концентрациях от 0,01 до 10% относительно общей массы синтетического полимера, который должен быть стабилизирован.
Предпочтительные дополнительные добавки представляют собой модифицирующие вещества для нанокомпозитов, агенты, улучшающие совместимость, светостабилизаторы, диспергирующие или сольватирующие агенты, пигменты, красители, пластификаторы и/или добавки, повышающие ударную прочность.
В дополнение к нанонаполнителям в качестве армирующих добавок (позиция 11 в перечне) можно использовать другие наполнители, например тальк, карбонат кальция, слюду или каолин. Их добавляют в синтетические полимеры в концентрациях, составляющих, например, от 0,01 до 40% в пересчете на общую массу синтетических полимеров, которые должны быть стабилизированы.
Наполнители и армирующие добавки (позиция 11 в перечне), в частности гидроксиды металлов, преимущественно гидроксид алюминия или гидроксид магния, добавляют в синтетические полимеры в концентрациях, равных, например, от 0,01 до 60%, в пересчете на общую массу синтетических полимеров, которые должны быть стабилизированы.
Углеродную сажу в качестве наполнителя добавляют в синтетические полимеры в концентрациях, в целесообразном варианте составляющих от 0,01 до 5% в пересчете на общую массу синтетических полимеров, которые должны быть стабилизированы.
Стеклянные волокна в качестве армирующих добавок вводят в синтетические полимеры в концентрациях, в целесообразном варианте составляющих от 0,01 до 20% в пересчете на общую массу синтетических полимеров, которые должны быть стабилизированы.
Другие предпочтительные композиции включают также, в дополнение к компонентам (а), (б), (в) и (г), други добавки, преимущественно соли щелочноземельных металлов высших жирных кислот, например стеарат кальция.
Особенно предпочтительные другие добавки представляют собой модифицирующие агенты для нанокомпозитов, которые в общих чертах представлены в начале описания, агенты, улучшающие совместимость, и/или пассиваторы металлов.
Агенты, улучшающие совместимость, представляют собой посредники между гидрофобной и гидрофильной фазами. В предпочтительном варианте агенты, улучшающие совместимость, представляют собой полимерные диспергирующие или сольватирующие агенты, обладающие амфифильными свойствами.
В качестве агентов, улучшающих совместимость, интерес представляют блочные привитые сополимеры, подобные, например, полипропилену с привитым малеиновым ангидридом (ПП-п-МА), полипропилену с привитой и таконовой кислотой, полипропилену с привитой акриловой кислотой или полистиролу с привитым блоком полиэтиленоксида (ПС-блок-ПЭО). В предпочтительном варианте блочные привитые сополимеры обладают молекулярными массами Мn от 1000 до 100000, а в случае модифицированных малеиновым ангидридом полипропиленовых олигомеров (ПП-п-МА) содержание малеинового ангидрида составляет от 0,1 до 10% [например, продукт Epolene® Е43 с содержанием МА 2,9 мас.%, с Mn 8800 (фирма Eastman); продукт Hostaprime® HC5 с содержанием МА 4,2 мас.%, с Mn 4000]. Представляющим особый интерес агентом, улучшающим совместимость, является полипропилен с привитым малеиновым ангидридом (ПП-п-МА).
Полимерные диспергирующие или сольватирующие агенты, обладающие амфифильными свойствами, представляют собой полимерные диспергирующие или сольватирующие агенты, которые обладают полярными и неполярными группами в одной и той же молекуле, и они представляют собой, например, диспергирующие или сольватирующие агенты на основе полиэтиленгликолей (ПЭГ), полиакрилатов, полисилоксанов, поливинилацетата или на основе блок-сополимеров, включающих по меньшей мере один блок-сополимер на основе акрилата, акриловой кислоты или метакрилата.
Представляющие интерес полимерные диспергирующие или сольватирующие агенты, обладающие амфифильными свойствами, характеризуются полимерной молекулой, совмещающей наличие по меньшей мере двух разных полярностей. Возможны также олигомерные структуры. Они обычно представляют собой сополимеры, например статистические сополимеры или блок-сополимеры, которые могут быть получены известными реакциями полимеризации, например свободнорадикальной или анионной полимеризацией, реакциями поликонденсации, в частности реакцией функционализованных по концам олигомерных или гребневидных полимеров, причем эти полимеры могут быть получены, например, реакцией прививки. Блок-сополимеры представляют собой, например, диблочные сополимеры (типа А-В) или триблочные сополимеры (типа А-В-А или А-В-С) и так называемые конусообразные структуры.
Диблочные сополимеры (типа А-В) представляют собой, например, поли(стирол-блок-метилметакрилат), поли(стирол-блок/трет-бутилметакрилат), поли(стирол-блок-метилакрилат), поли(стирол-блок/н-бутилакрилат), поли(стирол-блок/трет-бутилакрилат), поли(стирол-блок-бутадиен), поли(стирол-блок-изопрен[1,4-присоединение]), конусообразный блок-сополимер поли(стирол-блок-бутадиен), конусообразный блок-сополимер поли(стирол-блок-этилен), поли(стирол-блок/2-винилпиридин), поли(стирол-блок/4-винилпиридин), поли(стирол/бис-трет-бутилстирол), поли(стирол-блок-диметилсилоксан), поли(бутадиен-блок-диметилсилоксан), поли(бутадиен[1,4-присоединение]-блок-метилметакрилат), поли(изопрен[1,4-присоединение]-блок-метилметакрилат), поли(бутадиен-блок/трет-бутилметакрилат), поли(бутадиен-блок/трет-бутилакрилат), поли(изопрен-блок/2-винилпиридин), поли(бутадиен-блок/4-винилпиридин), поли(стирол-блок-метилметакрилат), поли(метилметакрилат-блок/трет-бутилметакрилат), поли(метилметакрилат-блок/трет-бутилакрилат), поли(трет-бутилакрилат-блок-метилметакрилат), поли(н-бутилакрилат-блок-метилметакрилат), поли(2-винилпиридин-блок-метилметакрилат), поли(трет-бутилметакрилат-блок/трет-бутилакрилат), поли(трет-бутилметакрилат-блок/2-винилпиридин), поли(трет-бутилметакрилат-блок/4-винилпиридин), поли(трет-бутилакрилат-блок/2-винилпиридин), поли(2-винилпиридин-блок/4-винилпиридин), поли(этилен-блок-метилметакрилат), поли(этилен-блок/2-винилпиридин) и поли(этилен-блок/4-винилпиридин).
Триблочные сополимеры типа А-В-А представляют собой, например, поли(метилметакрилат-блок-стирол-блок-метилметакрилат), поли(трет-бутилметакрилат-блок-стирол-блок/трет-бутилметакрилат), поли(трет-бутилакрилат-блок-стирол-блок/трет-бутилакрилат), поли(2-винилпиридин-блок-стирол-блок/трет-бутилакрилат), поли(4-винилпиридин-блок-стирол-блок/4-винилпиридин), поли(бутадиен[1,2-присоединение]-блок-стирол-блок-бутадиен[1,2-присоединение]), поли(бутадиен[1,4-присоединение]-блок-стирол-блок-бутадиен[1,4-присоединение]), поли(стирол-блок-бутадиен[1,4- и 1,2-присоединения]-блок-стирол), поли(метилметакрилат-блок-бутадиен[1,4- или 1,2-присоединение]-блок-метилметакрилат), поли(трет-бутилметакрилат-блок-метилметакрилат-блок/трет-бутилметакрилат), поли(трет-бутилакрилат-блок-метилметакрилат-блок/трет-бутилакрилат), поли(метилметакрилат-блок/2-винилпиридин-блок-метилметакрилат), поли(4-винилпиридин-блок-метилметакрилат-блок/4-винилпиридин), поли(метилметакрилат-блок/трет-бутилакрилат-блок-метилметакрилат), поли(метилметакрилат-блок/н-бутилакрилат-блок-метилметакрилат), поли(трет-бутилметакрилат-блок/трет-бутилакрилат-блок/трет-бутилметакрилат), поли(2-винилпиридин-блок/трет-бутилакрилат-блок/2-винилпиридин), поли(4-винилпиридин-блок/трет-бутилакрилат-блок/4-винилпиридин), поли(стирол-блок/н-бутилакрилат-блок-стирол), поли(стирол-блок-этилакрилат-блок-стирол), поли(стирол-блок-этилен-блок-стирол), поли(стирол-блок-бутилен-блок-стирол), поли(этиленоксид-блок-стирол-блок-этиленоксид), поли(стирол-блок-этиленоксид-блок-стирол) и поли(стирол-блок-акриловая кислота-блок-стирол).
Триблочные сополимеры типа А-В-С представляют собой, например, поли(стирол-блок-бутадиен-блок/2-винилпиридин), поли(стирол-блок-бутадиен-блок/4-винилпиридин), поли(стирол-блок/трет-бутилметакрилат-блок/2-винилпиридин), поли(стирол-блок/трет-бутилметакрилат-блок/4-винилпиридин), поли(стирол-блок/2-винилпиридин-блок/4-винилпиридин), поли(бутадиен-блок-стирол-блок-метилметакрилат), поли(стирол-блок-бутадиен-блок-метилметакрилат), поли(стирол-блок/2-винилпиридин-блок-этилоксид), поли(стирол-блок/трет-бутилакрилат-блок-метилметакрилат), поли(стирол-блок-акриловая кислота-блок-метилметакрилат), поли(стирол-блок/ -метилстирол-блок-метилметакрилат) и поли(стирол-блок/ -метилстирол-блок/трет-бутилакрилат).
Представляющие особый интерес длинноцепочечные блок-сополимеры обладают цепью длиной больше 10 углеродных атомов, предпочтительно цепью C12-C18.
Особенно приемлемые диспергирующие или сольватирующие агенты, обладающие амфифильными свойствами, представляют собой, например, поли(бутадиен-метилметакрилат), поли(изопрен-метилметакрилат), поли(этилен-метилметакрилат), поли(стирол/4-винилпиридин), поли(стирол/2-винилпиридин), поли(стирол/н-бутилакрилат), поли(стирол/трет-бутилакрилат), поли(стирол-акрилат натрия), поли(стирол-акриловая кислота), поли(метилметакрилат-акрилат натрия), поли(метилметакрилат-метакрилат натрия), поли(этиленоксид/ -капролактон), поли(2-винилпиридин-этиленоксид), поли(бутадиен-этиленоксид), поли(бутадиен-акрилат натрия), поли(этилен-этиленоксид), поли(этилен-пропиленоксид), поли(стирол-этилакрилат-стирол), поли(этиленоксид-стирол-этиленоксид), поли(стирол-акриловая кислота-стирол), поли(стирол-бутадиен-метилметакрилат), поли(стирол-винилпиридин-этиленоксид), поли(стирол/4-винилбензойная кислота), поли(стирол-полиглицидилметакрилат), поли(этилен-глицидилметакрилат), поли(пропилен-акриловая кислота), поли(этилен-акриловая кислота), поли(пропилен-малеиновый ангидрид), поли(этилен-малеиновый ангидрид), поли(стирол-малеиновый ангидрид), блок-сополимеры полиметакриловой кислоты/полиалкиленоксида, например, в соответствии с ЕР-А-0859028, полисилоксан-полиоксиалкилен, сополимеры малеатов и стирола или стирольных производных, например в соответствии с ЕР-А-0791024, полистирол-полисилоксановые блок-сополимеры, полиакрилат-полисилоксановые блок-сополимеры и циклосилоксановые радиальные сополимеры, полученные, например, с использованием технологии ATRP в соответствии с ЕР-А-0870774, метилакрилат-стирольный сополимер, метилметакрилат-стирольный сополимер, полибутадиен-метилакрилаты, полученные инициированной нитроксилом свободнорадикальной полимеризацией в соответствии с ЕР-А-0135280.
Предпочтительными полиалкиленоксидами являются полиэтиленоксид, полипропиленоксид и полибутиленоксид.
Приемлемые блок-сополимеры представляют собой, например, полиакрилат-полистирол, полиметакрилат-полиэтиленоксид, полиакрилат-полиэтиленоксид, полиакрилат-полиэтилен, поливинилацетат-полиэтилен, полистирол-полибутадиен, полиакрилат-полибутадиен, полиакрилат-полиизопрен, полиизопрен-полиметилметакрилат, полиэтилен-полиметилметакрилат, полиэтилен-полиэтиленоксид и полиэтилен-полипропиленоксид.
Особенно приемлемые диспергирующие или сольватирующие агенты, обладающие амфифильными свойствами, представляют собой, например, поли(стирол/бис-акрилат натрия), поли(стирол/бис-акриловая кислота), поли(стирол/бис-метакрилат натрия), поли(стирол/бис-N-метил-4-винилпиридинийиодид), поли(изопрен/бис-N-метил-2-винилпиридинийиодид), поли(стирол/бис-этиленоксид), поли(метилметакрилат/бис-акрилат натрия), поли(метилметакрилат/бис-метакрилат натрия), поли(метилметакрилат/бис-этиленоксид), поли(трет-бутилметакрилат/бис-этиленоксид), поли(метилметакрилат/бис-N-метил-4-винилпиридинийиодид), поли(этиленоксид/бис-лактат), поли(2-винилпиридин/бис-этиленоксид), поли(бутадиен/бис-акрилат натрия), поли(бутадиен/бис-метакрилат натрия), поли(бутадиен/бис-N-метил-4-винилпиридинийиодид), поли(бутадиен/бис-этиленоксид), поли(этилен/бис-этиленоксид) и поли(этилен/бис-пропиленоксид).
Особенно предпочтительные полисилоксаны, содержащие длинноцепочечные боковые группы, описаны, помимо прочего, в US 5387467.
Другие также предпочтительные диспергирующие или сольватирующие агенты на основе полиакрилатов описаны, помимо прочего, в US 5133898.
Особенно предпочтительные диспергирующие или сольватирующие агенты на основе акрилатов представляют собой, например, продукты Tegomer® DA 100, Tegomer® DA 102 и Wax P 121® фирмы Th. Goldschmidt AG, Germany.
В качестве обычного сочетания стабилизаторов для переработки синтетических полимеров, например полиолефинов, с получением соответствующих формованных изделий рекомендуют сочетание фенольного антиоксиданта с вспомогательным антиоксидантом на основе органического фосфита или фосфонита.
Введение компонентов (б), (в) и (г) и при необходимости дополнительных добавок в синтетические полимеры можно осуществлять по известным методам, например перед или во время операции формования или также нанесением растворенных или диспергированных соединений на синтетический полимер с последующим, если приемлемо, медленным выпариванием растворителя. Компоненты (б), (в) и (г) могут быть также добавлены в синтетические полимеры, которые должны быть стабилизированы, в форме их содержащей маточной смеси или концентрата, например в концентрации от 2,5 до 25 мас.%.
Объектом настоящего изобретения является также нанокомпозитный материал в форме маточной смеси, включающей компонент (б) в количестве от 0,03 до 90% в пересчете на массу компонента (а), компонент (в) в количестве от 0,03 до 15% в пересчете на массу компонента (а) и компонент (г) в количестве от 0,03 до 15% в пересчете на массу компонента (а).
Компоненты (б), (в) и (г) и при необходимости дополнительные добавки могут быть также введены до или во время полимеризации, или перед сшивкой.
Компоненты (б), (в) и (г) совместно или без дополнительных добавок можно вводить в синтетический полимер, который должен быть стабилизирован, в чистом виде или инкапулированными в воски, масла или полимеры.
Компоненты (б), (в) и (г) совместно или без дополнительных добавок можно также напылять на синтетический полимер, который должен быть стабилизирован. Другие добавки (например, обычные указанные выше добавки) или их расплавы можно разбавлять таким образом, чтобы их тоже можно было напылять совместно с этими добавками на полимер, который должен быть стабилизирован. Особенно целесообразно введение напылением во время дезактивации катализаторов полимеризации, причем напыление можно осуществлять с использованием, например, водяного пара, применяемого для дезактивации.
В случае полимеризованных полиолефинов в форме сферических частиц может оказаться целесообразным, например, нанесение компонентов (б), (в) и (г) совместно или без других добавок напылением.
Нанокомпозитные материалы, стабилизированные этим путем, можно использовать в широком разнообразии форм, например в виде пенопластов, пленок, волокон, лент, формованных композиций, в виде профилей или в виде связующих веществ для нанесения покрытий на материалы, преимущественно покрытий из порошкового материала, клеев или шпатлевок.
Синтетические полимеры, стабилизированные этим путем, могут быть также использованы в широком разнообразии форм, преимущественно в виде толстостенных полиолефиновых формованных изделий, которые находятся в долговременном контакте с экстракционными средами, таких как, например, трубы для жидкостей или газов, пленки, волокна, геомембраны, ленты, профили или резервуары.
Предпочтительные толстостенные полиолефиновые формованные изделия обладают толщиной стенок от 1 до 50 мм, в частности от 1 до 30 мм, например от 2 до 10 мм.
Нанокомпозитные материалы в соответствии с изобретением можно с успехом применять для изготовления различных формованных изделий. Их примеры приведены ниже.
I-1) Плавающие устройства, средства морского назначения, понтоны, буи, пластмассовые пиломатериалы прямоугольного сечения для палуб, пирсов, лодок, каяков, весел и арматуры набережных.
I-2) Средства для автомобилей, в частности бамперы, приборные панели, аккумуляторы, задние и передние накладки, молдинги, детали под складным верхом, полка для шляп, настил для багажников, внутренние накладки, кожухи подушек безопасности, молдинги электронных приборов для фитингов (фонари), окна для приборных панелей, стекла фар, приборный щиток, внешние накладки, обивка, автомобильные фонари, фары, стояночные фонари, задние фонари, стоп-сигналы, внутренние и наружные отделочные элементы; панели дверей; топливный бак; переднее остекление; задние окна; опора сидений, внешние панели, изоляция проводов, экструдированные профилированные средства для уплотнений, облицовка, кожухи опор, детали шасси, системы выпуска выхлопных газов, топливный фильтр/наливная горловина, топливные насосы, топливный бак, кузовные бортовые молдинги, откидной верх, наружные зеркала, детали внешней отделки, застежки/фиксаторы, передний модуль, стекло, петли, запорные системы, багажные полки/багажники, устанавливаемые на крышу, прессованные/штампованные детали, уплотнения, средства защиты от боковых ударов, звукоизолирующие средства/звукоизолятор и сдвигающаяся крыша.
I-3) Средства, обеспечивающие движение транспорта по дорогам, в частности дорожные знаки и указатели, стойки для дорожных указателей, автомобильные вспомогательные средства, знаки аварийной остановки, аптечки, шлемы, шины.
I-4) Средства для самолетов, поездов, легковых автомобилей (автомашины, мотовелосипеды), включая постельное белье.
I-5) Средства для космического применения, в частности в ракетах и спутниках, например средства защиты при вхождении в атмосферу.
I-6) Средства для строительства и проектирования, горного применения, звукопоглощающие системы, дорожные островки безопасности и укрытия.
II-1) Электрическое оборудование, корпуса и изоляционные крышки общего назначения и электротехнических/электронных устройств (персональный компьютер, телефон, портативный телефон, принтер, телевизионные приемники, аудио- и видеоустройства), цветочные горшки, спутниковые телевизионные антенны и панельные устройства.
II-2) Покрытия для других материалов, таких как сталь и текстильные изделия.
II-3) Средства для электронной промышленности, в частности изоляция для электрических штекеров, преимущественно компьютерных штекеров, корпуса для электрических и электронных деталей, печатные платы и материалы для хранения электронной информации, такие как чипы, чековые карточки и кредитные карточки.
II-4) Электрическое оборудование, в частности стиральные машины, тумблеры, печи (микроволновые печи), посудомоечные машины, миксеры и утюги.
II-5) Кожухи для фонарей (например, уличных фонарей, отражателей).
II-6) Применение при изготовлении проводов и кабелей (полупроводник, изоляция и оболочка кабеля).
II-7) Тонкие пленки для конденсаторов, холодильных шкафов, нагревательных устройств, кондиционеров, обертывания электронных приборов, полупроводников, машин для обработки кофе и пылесосов.
III-1) Технические изделия, такие как шестерня (зубчатое колесо), скользящие фитинги, прокладки, червяки, болты, ручки и рукоятки.
III-2) Лопатки ротора, вентиляторы и лопасти ветроэнергетической установки, устройства для утилизации солнечной энергии, плавательные бассейны, навесы для плавательных бассейнов, облицовка бассейнов, облицовка водоемов, уборные, гардеробы, перегородки для водолазных работ, тонкие перегородки, складные перегородки, крыши, шиберы (например, шторные двери), фитинги, соединительные элементы для труб, втулки и конвейерные ленты.
III-3) Изделия санитарного назначения, в частности душевые секции, унитазы, крышки и раковины.
III-4) Изделия гигиенического назначения, в частности прокладки (при недержании у детей и взрослых), гигиенические изделия для женщин, шторы для душей, щетки, коврики, ванны, передвижные туалеты, зубные щетки и утки.
III-5) Трубы (из сшитого и обычного материала) для воды, сточных вод и химикатов, трубы для защиты проводов и кабелей, трубы для газа, масел и сточных вод, водоотводные, сливные трубы и дренажные системы.
III-6) Профили любой геометрической формы (оконные отливы) и облицовочные материалы.
III-7) Заменители стекла, в частности экструдированные пластины, остекление зданий (монолитное, двойное или многослойное), воздушных судов, школ, экструдированные листовые материалы, оконная пленка для остекления строительных объектов, поездов, других транспортных средств, изделия санитарного назначения и для оранжерей.
III-8) Плиты (стены, перегородки), нанесение покрытия экструзией (нанесение покрытия на фотобумагу, бумажный термосклеивающийся пакет в форме тетраэдра и трубку), силосохранилища, заменители древесины, пластиковый пиломатериал прямоугольного сечения, древесно-полимерный композиционный материал, стены, поверхностная отделка, мебель, декоративные тонкие пленки, напольные настилы (для внутреннего и наружного применения), покрытие полов, брезентовые панели и облицовочная плитка.
III-9) Впускные и выпускные патрубки.
III-10) Нанесение цементных, бетонных, композитных покрытий и покрытия, внешняя отделка и плакировка, поручни, перила, верхние слои рабочей кухни (столешницы), кровельные работы, кровельные листовые материалы, плитка и спецовки.
IV-1) Плиты (стены, перегородки), лотки, искусственное стекло, искусственное травяное покрытие, искусственное покрытие для стадионных площадок (атлетических), искусственный пол для стадионных площадок (атлетических)и ленты.
IV-2) Тканые текстильные материалы из непрерывного и штапельного волокна, волокна (ковры/гигиенические изделия/геотекстильные материалы/моноволокна; фильтры; носовые платки/занавеси (экраны)/средства медицинского назначения), объемные волокна (применение в таком виде, как свободная широкая одежда/предметы защитной одежды), сетки, веревки, канаты, тонкие веревки, корды, нити, ремни безопасности, предметы одежды, дневное белье, перчатки; обувь; резиновая обувь, нижнее белье, верхняя одежда, одежда для плавания, спортивная одежда, зонты (зонтик от солнца, светозащитная бленда), парашюты, парапланы, паруса, “аэростатный шелк”, средства для устройства лагеря, тенты, надувные матрацы, матрацы для загорания, объемистые мешки и пакеты.
IV-3) Изолирующие покрытия, изоляционный материал, покрытия и уплотнители для крыш, туннелей, складов, водохранилищ, склады, перегородочные изолирующие покрытия крыш, геомембран, плавательных бассейнов, шторы (экраны)/солнцезащитные экраны, навесы, тенты, обои, упаковка и обертка для пищевых продуктов (гибкая и твердая), упаковка медицинского назначения (гибкая и твердая), подушки безопасности/ремни безопасности, подлокотники и подголовники, коврики, центральная консоль, приборный щиток, кокпиты, дверь, передний консольный модуль, отделка двери, подголовники, внутреннее освещение, внутренние зеркала, полка для пакетов, крышка заднего багажника, сидения, рулевая колонка, рулевое колесо, текстильные изделия и отделка багажника.
V) Пленки (упаковка, склад, послойное формование, сельское хозяйство и садоводство, оранжерея, мульча, туннель, силос), обертывание брикетов, плавательные бассейны, мешки для мусора, обои, растягивающаяся пленка, рафия, опресняющая пленка, аккумуляторы и соединительные элементы.
VI-1) Упаковка и обертка для пищевых продуктов (гибкая и твердая), бутылки.
VI-2) Средства хранения, такие как ящики (решетчатые ящики), багаж, ящик с крышкой на петлях, камеры бытового назначения, стеллажи, полки, полозья, ящики для шурупов, винтов, тара и консервные банки.
VI-3) Картриджи, шприцы, средства медицинского назначения, контейнеры для любой транспортировки, корзины для отходов и бункеры для отходов, мешки для отходов, бункеры, бункеры для уловленной пыли, облицовка бункеров, бункеры на колесах, контейнеры вообще, емкости для воды/использованной воды/химического назначения/газов/масел/бензина/дизельного топлива; внутренняя отделка емкостей, ящики, решетчатые ящики, корпуса аккумуляторов, лотки, медицинские приспособления, такие как поршень, средства офтальмологического назначения, диагностические устройства и упаковка для фармацевтического пластыря.
VII-1) Покрытие, наносимое по методу экструзии (нанесение покрытия на фотобумагу, бумажный термосклеивающийся пакет в форме тетраэдра и трубку), изделия бытового назначения любого вида (например, электротехнические и электронные устройства, колба термоса/одежная вешалка), соединительные системы, такие как штекеры, фиксаторы для проводов и кабелей, застежки-молнии, замыкатели, замки и затворы-защелки.
VII-2) Опорные приспособления, изделия для досуга, такие как спортивные и тренировочные приспособления, гимнастические маты, лыжная обувь, ролики, коньки, спортивные сандали, обработка поверхностей для атлетических занятий (например, грунтовые покрытия для тенниса); винтовые крышки, крышки и пробки для бутылок и консервные банки.
VII-3) Мебель вообще, изделия из вспененного материала (подкладки, поглотители ударов), пенопласты, губки, посудные полотенца, маты, садовые стулья, сиденья на стадионах, столы, кушетки, игрушки, игрушечные строительные комплекты (доски/фигуры/шары), домики для игр, детские горки и игрушечные транспортные средства.
VII-4) Оптические и магнитные материалы для хранения информации.
VII-5) Кухонные принадлежности (для еды, питья, готовки, хранения).
VII-6) Боксы для CD, аудио- и видиокассет; электронные изделия DVD, офисные принадлежности любого вида (шариковые авторучки, штемпели и штемпельные подушечки, “мышь”, полки, направляющие приспособления для стекол), бутылки любого объема и содержимого (напитки, моющие средства, косметика, включающая отдушки) и липкие ленты.
VII-7) Обувь (ботинки/подошвы ботинок), стельки, гетры, клеи, клеи для сборки, ящики для пищевых продуктов (фруктов, овощей, мяса, рыбы), синтетическая бумага, бутылочные этикетки, диваны, искусственные суставы (для людей), печатные формы (флексографические), печатные платы и экранные технологии.
VII-8) Устройства из наполненных полимеров (тальк, мел, каолин, волластонит, пигменты, углеродная сажа, TiO2, слюда, нанокомпозиты, доломит, силикаты, стекло, асбест).
Таким образом, другим объектом настоящего изобретения является обладающее определенной формой изделие, в частности пленка, труба, профильное изделие, бутылка, емкость или контейнер, включающий волокна нанокомпозитный материал, как он представлен выше.
Еще одним объектом настоящего изобретения является формованное изделие, включающее нанокомпозитный материал, как он представлен выше. Формование осуществляют, в частности, литьем под давлением, раздувкой, прессованием, центробежным формованием, формованием полых изделий заливкой и медленным вращением формы или экструзией.
Объектом настоящего изобретения является также способ стабилизации синтетического полимера против окислительной, термической или вызванной действием света деструкции, который включает введение в массу или нанесение на упомянутый материал по меньшей мере одного каждого из компонентов (б), (в) и (г) совместно или без дополнительных добавок.
Следовательно, предпочтительный вариант выполнения настоящего изобретения заключается в применении смеси компонентов (б), (в) и (г) совместно или без дополнительных добавок в качестве стабилизаторов для синтетических полимеров против окислительной, термической или вызванной действием света деструкции.
Предпочтительными компонентами (б), (в) и (г) в способе стабилизации синтетического полимера и для их применения в качестве стабилизаторов для синтетических полимеров против окислительной, термической или вызванной действием света деструкции являются такие же, как те, которые представлены для нанокомпозитного материала.
Далее изобретение иллюстрируют следующие примеры. Части или проценты имеют отношение к массе.
Пример 1. Стабилизация полипропилена.
1,5 кг порошкообразного полипропилена (Profax® РН 350, фирма Basell Polyolefines, Germany) смешивают до гомогенности в высокоскоростном смесителе с 5% продукта Nanofil® N15 (модифицированная дистеарилдиметиламмонийхлоридом нанодисперсная слоистая силикатная глина, фирма Süd-Chemie AG, Германия), 15% продукта Polybond® 3200 (полипропилен с привитым малеиновым ангидридом, фирма Crompton Europe Ltd., Великобритания), 0,1% стеарата кальция и с добавками, перечисленными в таблице 1. Далее эту смесь экструдируют в двухшнековом экструдере фирмы Berstorff при температуре самое большее 200°С. После пропускания экструдата через водяную баню для охлаждения его гранулируют. Затем из этих гранул с помощью машины для литья под давлением (Arburg 320 S) при температуре самое большее 235°С формуют испытательные панели 80×90 мм и 2 мм толщины. Старение испытательных панелей в сушильном шкафу осуществляют с помощью конвекционной сушилки Memmert при 135°С в течение 5 дней. Показатель желтизны (ПЖ) [ПЖ после 5 дней минус ПЖ в начале испытания] этих испытательных панелей определяют в соответствии с ASTM D 1925-70. Низкие значения ПЖ указывают на слабое изменение цвета, высокие значения ПЖ указывают на сильное изменение цвета образцов. Чем меньше изменение цвета, тем более эффективен стабилизатор или смесь стабилизаторов. Результаты сведены в таблицу 1.
Другую группу испытательных панелей подвергают искусственному старению при 135°С в печи с вентилируемой атмосферой до тех пор, пока они не становятся хрупкими. Результаты сведены в таблицу 1. Чем дольше этот эксперимент, тем лучше стабилизация.
| Таблица 1 |
| Примеры |
Добавки |
Показатель желтизны  |
Старение в печи, дней до возникновения хрупкости |
| Пример 1aа) |
– |
23,7 |
14 |
| Пример 1бб) |
0,50% Irgafos 168 (RTM)в) |
21,0 |
16 |
| Пример 1ва) |
0,50% Irganox 1010 (RTM)г) |
35,4 |
33 |
| Пример 1га) |
0,25% Irgafos 168 (RTM)в) |
34,9 |
26 |
| 0,25% Irganox 1010 (RTM)г) |
| Пример 1дб) |
0,25% Irgafos 168 (RTM)в) |
17,1 |
19 |
| 0,25% Araldite GT 7072 (RTM)д) |
| Пример 1eб) |
0,25% Irganox 1010 (RTM)г) |
30,1 |
30 |
| 0,25% Araldite GT 7072 (RTM)д) |
| Пример 1жб) |
0,125% Irgafos 168 (RTM)в) |
26,5 |
23 |
| 0,125% Irganox 1010 (РТМ)г) |
| 0,25% Araldite GT 7072 (RTM)д) |
| Пример 1зб) |
0,25% Irgafos 168 (RTM)в) |
28,8 |
33 |
| 0,25% Irganox 1010 (RTM)г) |
| 0,25% Araldite GT 7072 (RTM)д) |
| Пример 1иб) |
0,50% Irgafos 168 (RTM)в) |
15,1 |
30 |
| 0,50% Araldite GT 7072 (RTM)д) |
| Пример 1кб) |
0,50% Irgafos 168 (RTM)в) |
21,6 |
>37 |
| 0,50% Araldite GT 7072 (RTM)д) |
| Примеры |
Добавки |
Показатель желтизны  |
Старение в печи, дней до возникновения хрупкости |
Пример 1лб) |
0,25% Irgafos 168 (RTM)в) |
15,8 |
>37 |
| 0,25% Irganox 1010 (RTM)г) |
| 0,25% Araldite GT 7072 (RTM)д) |
| Пример 1мб) |
0,125% Irgafos 168 (RTM)в) |
14,4 |
>37 |
| 0,125% Irganox 1010 (RTM)г) |
| 0,75% Araldite GT 7072 (RTM)д) |
| а) Сравнительный пример. |
| б) Пример в соответствии с изобретением. |
| в) Irgafos 168 (RTM) (фирма Ciba Specialty Chemicals Inc.) представляет собой трис-(2,4-ди-трет-бутилфенил)фосфит. |
| г) Irganox 1010 (RTM) (фирма Ciba Specialty Chemicals Inc.) представляет собой соединение формулы АО-1 |
 |
д) Araldite® GT 7072 (RTM) (фирма Vantico, Швейцария) представляет собой твердый диглицидиловый эфир бисфенола А.
Пример 2. Определения ВИО полипропиленовых нанокомпозитов.
43,45 г продукта Moplen HF 500 N (фирма Basell Polyolefins, Германия), 15% продукта Polybond® 3000 (полипропилен с привитым малеиновым ангидридом фирмы Crompton Europe Ltd., Великобритания), 5% органически модифицированной глины (Somasif® MTE (фирма UNICOOP JAPAN LTD. Дюссельдорф, Германия, соответственно продукт Cloisite 20A фирмы Southern Clay Products, Inc.) и соответствующее количество добавок, перечисленных в таблице 2, перемешивают в небольшом сосуде. Смеси перемешивают в течение 10 мин при 200°С в смесителе Брабендера (пластометр Брабендера PL 2000-3), предварительно прессуют гидравлическим прессом фирмы Fontijne и наконец при 200°С выпрессовывают плитки 60×60×1 мм. Примерно 25 мг материала этих плиток анализируют на ВИО (время инициирования окисления в соответствии с ASTM D 3895-80 при 190°С) с помощью прибора DSC Perkin Elmer 7/3,5 Pyris. Установленные значения ВИО представлены в таблице 2. Более высокое значение ВИО указывает на улучшенную стабилизацию образца.
| Таблица 2 |
| Примеры |
Добавки |
ВИО |
| Пример 2аа) |
0,1% Irganox B225 (RTM)д) |
1,8 |
| Пример 2бб) |
0,1% Irganox B225 (RTM)д) |
2,3 |
| Пример 2вв) |
0,50% Irganox 3114 (RTM)е) |
7,9 |
| 0,50% Araldite GT 7072 (RTM)ж) |
| Пример 2гв) |
0,25% Irganox HP 136 (RTM)з) |
28,9 |
| 0,25% Irganox 1010 (RTM)и) |
| 0,50% Araldite GT 7072 (RTM)ж) |
| Пример 2дг) |
0,50% Irganox B225 (RTM)д) |
81,6 |
| 0,50% Araldite GT 7072 (RTM)ж) |
| Пример 2ег) |
0,50% Irganox B225 (RTM)д) |
92,1 |
| 0,50% Araldite MY 790 (RTM)к) |
| Пример 2жг) |
0,50% Irganox B225 (RTM)д) |
71,8 |
| 0,50% Araldite MT 0163 (RTM)л) |
| Пример 2зг) |
0,50% Irganox B225 (RTM)д) |
46,6 |
| 0,50% диангидрида бензофенонтетракарбоновой кислоты (RTM)м) |
| Пример 2кг) |
0,50% Irganox B225 (RTM)д) |
57,4 |
| 0,50% Uvitex OB (RTM)н) |
| а) Сравнительный пример, включающий продукт Somasif MTE (RTM). |
| б) Сравнительный пример, включающий продукт Cloisite 20 A (RTM). |
| в) Пример в соответствии с изобретением (включающий продукт Somasif МТБ (RTM) (модифицированная триоктилметиламмонием синтетическая слюда)). |
| г) Пример в соответствии с изобретением (включающий продукт Cloisite 20А (RTM) (природный монтмориллонит, модифицированный четвертичной аммониевой солью)). |
| д) Irganox B225 (RTM) (фирма Ciba Specialty Chemicals Inc.) представляет собой смесь продуктов Irganox 1010 и Irgafbs 168 в соотношении 1:1 (ср. с примером 1 г). |
| е) Irganox 3114 (RTM) (фирма Ciba Specialty Chemicals Inc.) представляет собой 1,3,5-трис-(3,5-ди-трет-бутил-4-гидроксибензил)-сим-триазин-2,4,6-(1h,3h,5h)трион. |
| ж) AralditeR GT 7072 (RTM) (фирма Vantico, Швейцария) представляет собой твердый диглицидиловый эфир бисфенола А. |
| з) Irganox HP 136 (RTM) (фирма Ciba Specialty Chemicals Inc.) представляет собой акцептор радикалов на лактоновой основе. |
| и) Irganox 1010 (RTM) (фирма Ciba Specialty Chemicals Inc.) представляет собой соединение формулы АО-1 |
 |
| к) AralditeR MY 790 (RTM) (фирма Vantico, Швейцария) представляет собой эпоксид на основе бисфенола А. |
| л) AralditeR MT 0163 (RTM) (фирма Vantico, Швейцария) представляет собой эпоксид на основе 1,1,2,2-этантетра-п-фенола. |
| м) диангидрид бензофенонтетракарбоновой кислоты (фирма Merck KgaA, Дармштадт, Германия). |
| н) Uvitex OB (фирма Ciba Specialty Chemicals Inc.) (RTM) представляет собой 2,5-бис-(5-трет-бутилбензоксазол-2-ил)тиофен формулы ОХ-7. |
 |
Пример 3. Определения ВИО полиэтиленовых нанокомпозитов.
52,20 г продукта Hostalen GM 8255 (фирма Hoechst AG, Франкфурт, Германия), 5% органически модифицированной глины (Cloisite 20A (RTM) (природный монтмориллонит, модифицированный четвертичной аммониевой солью, фирмы Southern Clay Products, Inc.) и соответствующее количество добавок, перечисленных в таблице 3, предварительно смешивают в небольшом сосуде. Смеси перемешивают в течение 10 мин при 200°С в смесителе Брабендера (пластометр Брабендера PL 2000-3), предварительно прессуют гидравлическим прессом фирмы Fontijne и наконец при 200°С выпрессовывают плитки 60×60×1 мм. Примерно 25 мг материала этих плиток анализируют на ВИО (время инициирования окисления в соответствии с ASTM D 3895-80 при 190°С) с помощью прибора DSC Perkin Elmer 7/3,5 Pyris. Установленные значения ВИО представлены в таблице 3. Более высокое значение ВИО связано с улучшенной стабилизацией образца.
| Таблица 3 |
| Примеры |
Добавки |
ВИО |
| Пример 3аа) |
0,1000% Irganox B225 (RTM)в) |
40,3 |
| Пример 3бб) |
0,3500% Araldite GT 7072 (RTM)г) |
64,5 |
| 0,0375% Irganox 1010 (RTM)д) |
| 0,0375% Irgafos 168 (RTM)е) |
| 0,0150% стеарата кальция |
| 0,0600% оксида кальция |
| Пример 3вб) |
0,5000% Irganox B225 (RTM)в) |
57,9 |
| 0,5000% Araldite GT 7072 (RTM)г) |
| а) Сравнительный пример. |
| б) Пример в соответствии с изобретением. |
| в) Irganox B225 (RTM) (фирма Ciba Specialty Chemicals Inc.) представляет собой смесь продуктов Irganox 1010 и Irgafos 168 в соотношении 1:1 (ср. с примером 1 г). |
| г) AralditeR GT 7072 (RTM) (фирма Vantico, Швейцария) представляет собой твердый диглицидиловый эфир бисфенола А. |
| д) Irganox 1010 (RTM) (фирма Ciba Specialty Chemicals Inc.) представляет собой соединение формулы АО-1. |
 |
| e) Irgafos 168 (RTM) (фирма Ciba Specialty Chemicals Inc.) представляет собой трис-(2,4-ди-трет-бутилфенил)фосфит. |
Формула изобретения
1. Нанокомпозитный материал, включающий
а) полиолефин,
б) природный или искусственный филлосиликат или смесь таких филлосиликатов в виде наночастиц, модифицированный аммониевым или фосфониевым соединением,
в) фенольный антиоксидант, и/или органические фосфиты, или фосфониты, или бензофуран-2-оны, и
г) моно- или полифункциональное соединение, выбранное из класса, включающего эпоксиды, оксазолины или ангидриды, представляющие собой соединения формулы АН-1

в которой R24 обозначает радикал формулы с АН-1а по AH-1j




в которой R25 обозначает -CH2-, -СН(СН3)-, -С(СН3)2-, С(CF3)2-, -S-, -O-, -(O)S(O)-, -NHCO-, -СО- или -Р(O)(С1-С20алкил)-, где ароматические кольца в формулах с АН-1а по АН-1е не замещены или замещены одной или несколькими C1-С6алкильными группами, C1-С6алкоксигруппами или атомами галогена.
2. Нанокомпозитный материал по п.1, отличающийся тем, что компонент (б) представляет собой слоистую силикатную глину в виде наночастиц.
3. Нанокомпозитный материал по п.1, отличающийся тем, что компонент (б) представляет собой монтмориллонит, бентонит, бейделлит, слюду, гекторит, сапонит, нонтронит, соконит, вермикулит, ледикит, магадит, кенияит, стевенсит, волконскоит или их смесь в виде наночастиц.
4. Нанокомпозитный материал по п.1, отличающийся тем, что фенольный антиоксидант в качестве компонента (в) представляет собой соединение формулы I

в которой R1 обозначает С1-С4алкил,
n обозначает 1, 2, 3 или 4,
X обозначает метилен или
или 
Y обозначает водородный атом или -NH-; и,
если n обозначает 1,
Х обозначает где Y связан с R2, a
R2 обозначает С1-С25алкил; и,
если n обозначает 2,
Х обозначает где Y связан с R2, a
R2 обозначает С2-С12алкилен, С4-С12алкилен, прерываемый атомом кислорода или серы; или, если Y обозначает -NH-, R2 дополнительно обозначает прямую связь; и,
если n обозначает 3,
Х обозначает метилен или где этиленовая группа связана с R2, а R2 обозначает или , а если n обозначает 4,
X обозначает где Y связан с R2, а
R2 обозначает С4-С10алкантетраил.
5. Нанокомпозитный материал по п.1, отличающийся тем, что компонент (в) представляет собой соединение формулы II, III, IV или V



в которой n’ обозначает число 2, а у’ обозначает число 1, 2 или 3;
А’ обозначает С2-С18алкилен, п-фенилен или п-бифенилен,
Е’, если у’ обозначает 1, обозначает С1-С18алкил, -OR’1 или атом фтора;
Е’, если у’ обозначает 2, обозначает п-бифенилен, Е’, если у’ обозначает 3, обозначает N(CH2CH2O-)3,
R’1, R’2 и R’3 независимо друг от друга обозначают С1-С18алкил, С7-С9фенилалкил, циклогексил, фенил или фенил, замещенный 1-3 алкильными радикалами, содержащими в общей сложности от 1 до 18 углеродных атомов;
R’14 обозначает водородный атом или С1-С9алкил,
R’15 обозначает водородный атом или метил;
X’ обозначает прямую связь,
Y’ обозначает атом кислорода,
Z’ обозначает прямую связь или -CH(R’16)-, a
R’16 обозначает С1-С4алкил или бензофуран-2-он.
6. Нанокомпозитный материал по п.1, отличающийся тем, что компонент (в) представляет собой трис-(2,4-дитрет-бутилфенил)фосфит, бис-(2,4-дитрет-бутил-6-метилфенил)этилфосфит, бис-(2,4-дитрет-бутилфенил)пентаэритритдифосфит, тетракис-(2,4-дитрет-бутилфенил)-4,4′-бифенилендифосфонит, 3-(3,4-диметилфенил)-5,7-дитрет-бутилбензофуран-2-он, 3-(2,3-диметилфенил)-5,7-дитрет-бутилбензофуран-2-он и/или соединение формулы Ia, Ib, Ic, Id или Ig





7. Нанокомпозитный материал по п.1, отличающийся тем, что компонент (г) представляет собой эпоксид.
8. Нанокомпозитный материал по п.1, отличающийся тем, что компонент (г) представляет собой полифункциональный эпоксид, который включает эпоксидные радикалы формулы Е-1

которые присоединяются непосредственно к атомам углерода, кислорода, азота или серы, и когда R11 и R13 оба обозначают водородный атом, R12 обозначает водородный атом или метил, а n обозначает 0; или когда R11 и R13 совместно обозначают -CH2CH2– или -CH2CH2CH2-, тогда R12 обозначает водородный атом, а n обозначает 0 или 1.
9. Нанокомпозитный материал по п.1, отличающийся тем, что компонент (г) представляет собой диглицидиловый эфир бисфенола А, диглицидиловый эфир бисфенола F, диглицидил-1,2-циклогександикарбоксилат или фенольную эпоксиноволачную смолу.
10. Нанокомпозитный материал по п.1, отличающийся тем, что компонент (б) содержится в количестве от 0,01 до 30% в пересчете на массу компонента (а).
11. Нанокомпозитный материал по п.1, отличающийся тем, что компонент (в) содержится в количестве от 0,01 до 5% в пересчете на массу компонента (а).
12. Нанокомпозитный материал по п.1, отличающийся тем, что компонент (г) содержится в количестве от 0,01 до 5% в пересчете на массу компонента (а).
13. Нанокомпозитный материал по п.1, отличающийся тем, что, кроме того, помимо компонентов (а), (б), (в) и (г) включает дополнительные добавки.
14. Нанокомпозитный материал по п.13, отличающийся тем, что в качестве дополнительных добавок – модифицирующие вещества для нанокомпозитов, агенты, улучшающие совместимость, светостабилизаторы, диспергирующие или сольватирующие агенты, пигменты, красители, пластификаторы и/или добавки, повышающие ударную прочность.
15. Нанокомпозитный материал по п.13, отличающийся тем, что в качестве дополнительных добавок – модифицирующие агенты для нанокомпозитов, агенты, улучшающие совместимость, и/или пассиваторы металлов.
16. Нанокомпозитный материал по п.1, отличающийся тем, что маточная смесь включает компонент (б) в количестве от 0,03 до 90% в пересчете на массу компонента (а), компонент (в) в количестве от 0,03 до 15% в пересчете на массу компонента (а) и компонент (г) в количестве от 0,03 до 15% в пересчете на массу компонента (а).
17. Способ стабилизации полиолефина против окислительной, термической или вызванной действием света деструкции, который включает введение в массу или нанесение на упомянутый материал по меньшей мере одного каждого из компонентов (б), (в) и (г) по п.1.
18. Применение смеси компонентов (б), (в) и (г) по п.1 в качестве стабилизаторов для полиолефина против окислительной, термической или вызванной действием света деструкции.
|
|