|
|
(21), (22) Заявка: 2007128181/04, 23.07.2007
(24) Дата начала отсчета срока действия патента:
23.07.2007
(46) Опубликовано: 27.03.2009
(56) Список документов, цитированных в отчете о поиске:
LIU Yan-Mei et al. Chinese Journal of Organic Chemistry. 2006 26 (09), 1286-1290. Martina Lahmann, Joachim Thiem. 299 (1997) 23-31. Rainer K. Uhrig et al. Carbohydrate Research 325 (2000) 72-80. JP 2144151, 01.06.1990. JP 3048692, 01.03.1991. RU 2002124135 A, 10.01.2004. JP 2004-175785, 24.06.2004.
Адрес для переписки:
450075, Республика Башкортостан, г.Уфа, пр-кт Октября, 141, ИНК РАН, патентная группа
|
(72) Автор(ы):
Одиноков Виктор Николаевич (RU), Спивак Анна Юльевна (RU), Кнышенко Оксана Валерьевна (RU), Иванова Ольга Владимировна (RU), Маллябаева Марина Ивановна (RU), Понеделькина Ирина Юрьевна (RU)
(73) Патентообладатель(и):
Институт нефтехимии и катализа РАН (RU)
|
(54) СПОСОБ ПОЛУЧЕНИЯ 6-O-[ -D-(2,3,4,6-ТЕТРА-O-АЦЕТИЛ)ГЛИКОПИРАНОЗИЛ]-d,l- -ТОКОФЕРОЛОВ
(57) Реферат:
Изобретение относится к способу получения 6-O-[ -D-(2,3,4,6-тетра-O-ацетил)глюкопиранозил]-d,l- -токоферола (1) или 6-O-[ -D-(2,3,4,6-тетра-O-ацетил)галактопиранозил]-d,l- -токоферола (2), который заключается во взаимодействии -токоферола с – или -аномерами соответствующих пентаацетатов D-глюко- или D-галактопираноз в присутствии каталитической системы: BF3·OEt2 – ионная жидкость [bmim]PF6 при мольном соотношении -токоферол: пентаацетат сахара: BF3·OEt2: [bmim]PF6= 1:1:2.5:0.3-5, в хлористом метилене в течение 3 ч при комнатной температуре. Данные соединения являются предшественниками соответствующих деацетилированных гликозидов, для которых отмечено противоаллергическое и противовоспалительное действие.

Предлагаемое изобретение относится к области синтеза водорастворимых аналогов d,l- -токоферола (витамина Е), конкретно к синтезу 6-O-[ -D-(2,3,4,6-тетра-O-ацетил)глюкопиранозил]-d,l- -токоферола (1) и 6-O-[ -D-(2,3,4,6-тетра-O-ацетил)галактопиранозил]-d,l- -токоферола (2), являющихся предшественниками соответственных деацетилированных гликозидов (3) и (4), получаемых из (1) и (2) [М.Lahmann, J.Thiem. Carbohydr. Research 1997, 23-31; Т.Satoh, H.Miyataka, К.Yamoamoto, T.Hirano. Chem. Pharm. Bull., 2001, 49, №8, 948-953].


-Токоферол входит в состав витаминов группы Е и является основным липофильным антиоксидантом биологических мембран млекопитающих. Его недостаток в организме вызывает бесплодие, дистрофию мышц и дегенерацию нервных клеток. Обнаружено положительное влияние -токоферола в предотвращении и лечении сердечно-сосудистых, онкологических, нейродегенеративных заболеваний, болезней печени и возрастных патологических нарушений, связанных с окислительным стрессом. Однако низкая стабильность, плохая абсорбция и высокая накапливаемость -токоферола в жировых тканях снижают его терапевтический эффект и препятствуют биосовместимости с некоторыми препаратами при создании пищевых, фармацевтических и косметических композиций. В последнее время проявляется интерес к гидрофильным аналогам -токоферола, полученным химической модификацией по фенольной гидроксильной группе, среди которых уже найдены соединения, проявляющие биологическую активность иную, чем свободный -токоферол. Например, витаминная активность -токоферилацетата в 1.47 раз превышает активность -токоферола [В.М.Березовский. Химия витаминов. М.: Пищевая промышленность, 1973, с.286]. Наличие сукцинатной группы в 
В связи с этим введение углеводного фрагмента в молекулу -токоферола с целью получения его более полярных и растворимых в воде производных представляет практически значимый интерес.
На сегодняшний день известно небольшое число работ по синтезу и биологическим испытаниям гликозидных конъюгатов -токоферола. Установлена высокая растворимость  -токоферола чрезвычайно устойчива к ферментативному гидролизу, в связи с чем -токоферилгликозиды нельзя рассматривать как предшественников 
Основная проблема, которая возникает при гликозилировании -токоферола (5), обусловлена его высокой лабильностью, приводящей к открытоцепным димерным спиропроизводным и другим побочным продуктам. По этой причине успешно используемая для синтеза других О-гликозидов реакция Кенигса-Кнорра в случае -токоферола оказалась непригодной. Сообщалось о получении моно- и дисахаридов -токоферола с выходом, не превышающим 13%, в реакциях с перацетилированными сахарами, катализируемых n-толуолсульфокислотой [Suntar, Inc (1985) Jpn., Kokai Tokyo Koho Jp 60 56, 994 [85 56, 994]; Chem. Abst. 104 (1986) 34290a].
С низким выходом (20%) были получены тетраацетаты- -глюкопиранозида (1), – -галактопиранозида (2) и – -маннопиранозида-
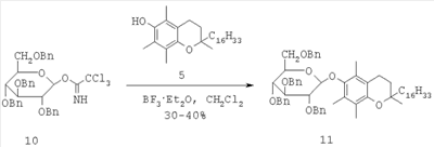
Схема 1

Реагенты и условия: a. TsOH/С6Н5NO2, 20 мм рт.ст.
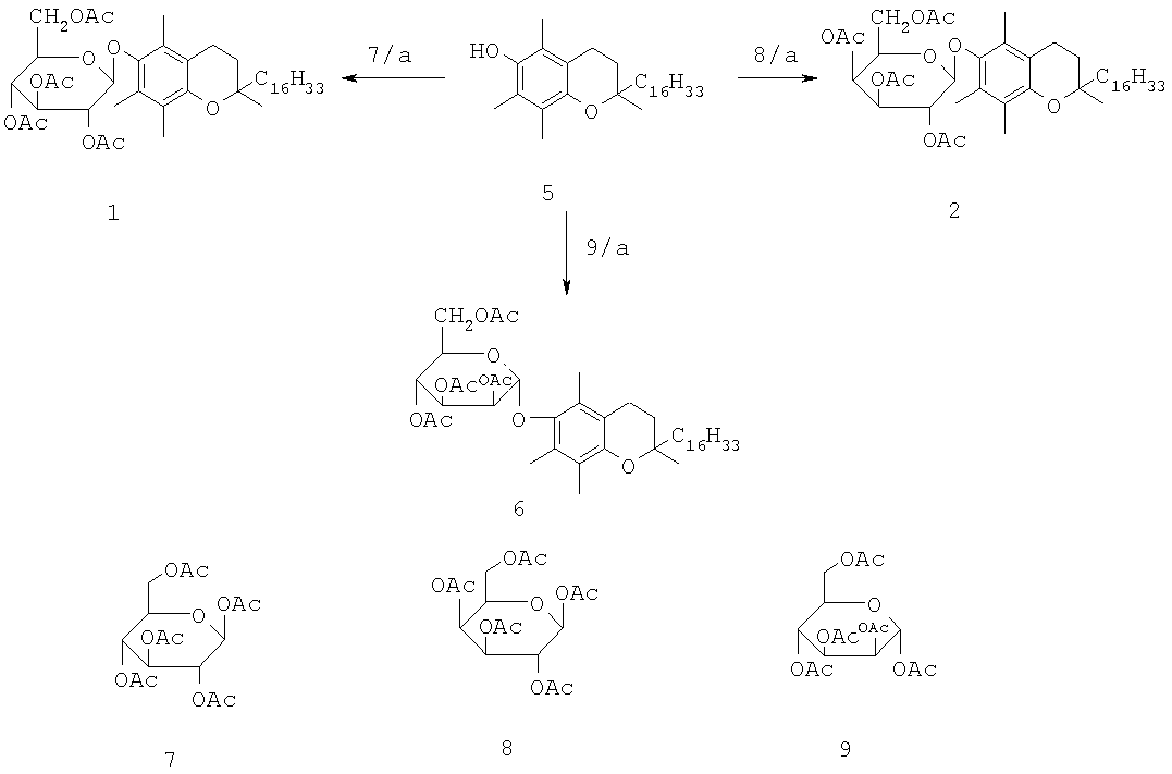
Среди исследованных в реакции гликозилирования -токоферола кислотных катализаторов наиболее эффективным оказался эфират трехфтористого бора. С его использованием взаимодействием трихлорацетоимидата (10) с соединением 5 был получен бензилированный -гликозид 
Схема 2

Реакция гликозилирования – -токоферола перацетилированными моно- и олигосахарами (12)-(16) в присутствии BF3·OEt2 приводила исключительно к -аномерам гликозидов -токоферола (17)-(21). В случае эквимольного соотношения -токоферола и гликозильных доноров выход продуктов реакции составил 44%, при шестикратном избытке 
Схема 3

n=0 (12,17); n=1 (13,18); n=2 (14,19); n=3 (15,20); n=5 (16,21).
Причем в то время, как ацетаты -аномеров (12)-(16) легко вступали в реакцию гликозилирования, -аномеры вообще не реагировали в этих условиях, что является серьезным недостатком. Такая разница в реакционной способности – и -аномеров ацетилированных сахаров в реакциях гликозирования фенолов, катализируемых BF3·OEt2, наблюдалось также при использовании других гликозильных акцепторов [M.L.Wolfrom, A.Thompson, Methods Carbohydr. Chem. 1962, 2, 211-215; V.Vill, T.Böcker, J.Thiem, F.Fischer. Lig. Crust., 1989, 6, 349-356].
Цель предлагаемого способа состоит в том, чтобы получить ацетилированные гликозиды -токоферола как из -, так и из -аномеров пентаацетатов сахаров. Поставленная цель достигается путем промотирования реакции смесью, состоящей из эфирата трехфтористого бора и ионной жидкости [bmim]PF6 (1-бутил-3-метилиимидазолий гексафторфосфата). Ранее промотирующее влияние ионных жидкостей в реакциях гликозилирования d,l- -токоферола не исследовалось.
Предлагаемый новый способ получения перацетилированных гликозидных производных d,l- -токоферола заключается в проведении реакции гликозилирования с помощью – или -аномеров пентаацетатов сахаров в присутствии каталитической системы, полученной комбинацией ионной жидкости [bmim]PF6 с эфиратом трехфтористого бора. Реакцию проводят в хлористом метилене, в токе аргона, при перемешивании в темноте в течение 3 ч при комнатной температуре; мольное соотношение -токоферола, пентаацетатов сахаров, BF3·OEt2 [bmim]PF6 – 1:1:2.5:(0.3-5), преимущественно 1:1:2.5:0.5. Избыток BF3·OEt2 разлагают добавлением 10% раствора NaHCO3. Продукт реакции выделяют колоночной хроматографией на силикагеле.
Реакция гликозилирования -токоферола как в случае -, так и -аномеров перацетилированных сахаров протекает с высокой стереоселективностью и приводит исключительно к -гликозидам -токоферола. Выход продуктов реакции после хроматографической очистки составляет 28-93% (28-48% из -аномеров и 80-93% из -аномеров). В присутствии только ионной жидкости, в отсутствие BF3·OEt2 -токоферол в реакцию не вступает. Применение [bmim]PF6 в качестве растворителя (вместо хлористого метилена) приводит к образованию гликозидов -токоферола с низким выходом (14%).
Исследованные в реакции пентаацетаты сахаров (7, 22, 23) и синтезированные d,l- -токоферилтетраацетилгликозиды (1, 2) приведены на схеме 4.
Схема 4

Реагенты и условия: а. 7/[bmim]PF6-BF3·OEt2, СН2Cl2; б. 22/[bmim]PF6-BF3-OEt2, CH2Cl2; в. 23/[bmim]PF6-BF3·OEt2, CH2Cl2.
Преимущества предлагаемого способа:
1. Под действием новой каталитической системы [bmim]PF6-BF3·OEt2, в отличие от известных способов гликозилирования -токоферола, в реакцию удается вовлечь -аномеры пентаацетатов сахаров и получить перацетилированные -гликозиды -токоферола с хорошим выходом.
2. При использовании в качестве гликозил-доноров -аномеров пентаацетатов сахаров существенно увеличиваются выходы целевых продуктов по сравнению с известными способами.
Изобретение поясняется следующими примерами:
Получение 6-O-[ -D-(2,3,4,6-тетра-O-ацетил)глюкопиранозил]-d,l- -токоферола(1).
Пример 1: К перемешиваемому раствору 0.23 г (0.54 ммоля) -токоферола 5, 0.19 г (1.35 ммоля) BF3·OEt2 и 0.077 г (0.27 ммоля) [bmim]PF6 (получен по методу [J.G.Huddleston, H.D.Willauer, R.P.Swatloski, A.E.Visser, R.D.Rogers, Chem. Commun., 1998, 1765]) в 5 мл СН2Cl2 прибавили в темноте (Ar, 25°С), 0.21 г (0.54 ммоля) -аномера 7 в 2 мл СН2Cl2. Реакционную смесь перемешивали 3 ч, после чего прилили насыщенный раствор NaHCO3 (до нейтральной реакции), добавили 20 мл СН2Cl2, органический слой промыли насыщенным раствором NaCl (10 мл × 3), сушили над MgSO4, упарили и остаток хроматографировали на колонке с SiO2 (8 г). Смесью (10:1) н-гексан – EtOAc элюировали 0.05 г исходного -токоферола (Rf 0.6), затем смесью (10:3) н-гексан – EtOAc – 0.3 8 г (93%) -глюкозид 1 (Rf 0.5), [ ]18 D – 8.5 (c 1.83, СН2Cl2 /см-1: 1730 (C=O), 1210, 1080 и 1060 (С-O). УФ-спектр (СН2Cl2), max/нм ( ): 287(1772). Спектр ЯМР 1Н ( , м.д., J/Гц): 0.85-0.89 (м, 12Н, МеС (4 ), МеС (8 ), 2МеС (12′)); 0.95-1.87 (м, 23Н, Н (1 )-Н (12 ), Н (3)); 1.98-2.16 (м, 24Н, Ме-Ar, МеС (2), МеСО); 2.55-2.59 (т, 2Н, Н (4), J=6.45); 3.53-3.57 (м, 1Н, Н (5 )); 4.05 (дд, 1Н, Н(6b ), J=12.4, J=1.9); 4.22 (дд, 1Н, Н (6а ), J=12.4, J=4.5); 4.73 (д, Н (1 ), J=7.7); 5.15-5.37 (м, 3Н, Н (2 ), Н (3″), Н (4″)). Спектр ЯМР 13С ( , м.д.): 11.73, 12.56, 13.26 (Me-Ar); 19.58 и 19.66 (МеС (4 ) и Ме (С (8 )); 20.51 (С (4)); 20.53 (МеСО); 22.55 и 22.64 (2МеС (12 )); 23.65, 23.79 (МеС (2)); 24.34, 24.71 (С (2 ), С (6 ), С (10 )); 27.87 (С (12 )); 29.61 (С (3)); 32.58, 32.66 (С (4 ) и С (8 )); 37.17, 37.28, 37.46 (С (3 ), С (5 ), С (7 ), С (9 )); 39.25 (С (11 )); 39.99 (С (1 )); 61.63 (С (6 )); 68.45 (С (4 )); 71.31 (С (5 )); 71.77 (С (2 )); 72.96 (С (3 )); 74.60 (С (2)); 101.91 (С (1 )); 117.35 (С (4а)); 122.75, 128.10, 128.24, 126.71, 126.84 (С (5), С (7), С(8)); 145.11 (С (6)); 148.49 (С (8а)); 169.16, 169.31, 170.30, 170.46 (МеСО).
Пример 2. Из 0.23 г (0.54 ммоля) соединения 5, 0.21 г (0.54 ммоля) -аномера 7, 0.19 г (1.35 ммоля) BF3·OEt2 0.77 г (2.7 ммоля) [bmim]PF6 и 7 мл СН2Cl2 получили, как описано в примере 1, 0.33 г (80%) -глюкозида 1, идентичного (спектры ИК-, УФ-, ЯМР 1Н и 13С) полученному в предыдущем опыте.
Пример 3. Из 0.39 г (0.9 ммоля) соединения 5, 0.35 г (0.9 ммоля) -аномера 22, 0.32 г (2.25 ммоля) BF3·OEt2, 0.13 г (0.45 ммоля) [bmim]PF6 и 14 мл СН2Cl2 получили, как описано в примере 1, 0.30 г (44%) -глюкозида 1, идентичного (спектры ИК-, УФ-, ЯМР 1Н и 13С) полученному в примере 1.
Пример 4. Из 0.13 г (0.3 ммоля) соединения 5, 0.12 г (0.3 ммоля) -аномера 22, 0.11 г (0.75 ммоля) BF3·OEt2, 0.43 г (1.5 ммоля) [bmim]PF6 и 5 мл СН2Cl2 получили, как описано в примере 1, 0.09 г (39%) -глюкозида 1, идентичного (спектры ИК-, УФ-, ЯМР 1Н и 13С) полученному в примере 1.
Пример 5. Из 0.13 г (0.3 ммоля) соединения 5, 0.12 г (0.3 ммоля) -аномера 22, 0.11 г (0.75 ммоля) BF3·OEt2, 0.03 г (0.09 ммоля) [bmim]PF6 и 5 мл СН2Cl2 получили, как описано в примере 1, 0.095 г (41%) -глюкозида 1, идентичного (спектры ИК-, УФ-, ЯМР 1Н и 13С) полученному в примере 1.
Пример 6 (сопоставимый). Из 0.33 г (0.77 ммоля) соединения 5, 0.3 г (0.77 ммоля) -аномера 22, 0.27 г (1.9 ммоля) BF3·OEt2 и 1.0 мл [bmim]PF6, получили как описано в примере 1, 0.08 г (14%) -глюкозида 1, идентичного (спектры ИК-, УФ-, ЯМР 1Н и 13С) полученному в примере 1.
Получение 6-O-[ -D-(2,3,4,6-тетра-O-ацетил)галактопиранозил]-d,l- -токоферола (2).
Пример 1. Из 0.43 г (1 ммоля) соединения 5, 0.39 г (1 ммоля) -аномера 23, 1.42 г (5 ммоля) [bmim]PF6, 0.35 г (2.5 ммоля) BF3·OEt2, и 15 мл СН2Cl2 получили, как описано в примере 1 синтеза соединения 1, 0.21 г (28%) -галактозида 2, [ ]20 D+5.7 (с 0.58, CHCl3). Найдено(%): С, 67.72; Н, 9.12. С43Н68O11. Вычислено(%): С, 67.87; Н, 9.01. ИК-спектр, /см-1: 1760 (С=O), 1210, 1080 и 1060 (С-0). УФ-спектр (EtOH), max/нм ( ): 288 (1786). Спектр ЯМР 1Н ( , м.д., J/Гц): 0.84-0.88 (м, 12Н, МеС (4 ), МеС (8 ), 2МеС (12 )); 1.09-9 1.87 (м, 23Н, Н (1 )-Н (12 ), Н (3)); 1.95-2.22 (м, 24Н, Me-Ar, MeC (2), MeCO); 2.55-2.58 (т, 2Н, Н(4), J=6.4); 3.74-3.79 (т, 1Н, Н (5 ), J=6.9); 4.03-4.19 (м, 2Н, Н (6 )); 4.72 (д, 1Н, Н (1 ), J=7.4); 5.06-5.12 (дд, 1Н, Н (3 ), J=10.5, J=3.5), 5.38-5.55 (м, 2Н, Н (2 ), Н (4 )). Спектр ЯМР 13С ( , м.д.): 11.77, 12.69, 13.40 (Me-Ar); 19.63 и 19.69 (МеС (4 ) и Ме (С8 )); 20.98 (С (4)); 20.48, 20.55, 20.67 (MeCO); 22.58 и 22.67 (2МеС (12 )); 23.68, 23.84 (МеС (2)); 24.38, 24.75 (С (2 ), С (6 ), С (10 )); 27.93 (С (12 )); 29.63 (С (3)); 32.64, 32.72 (С (4 ) и С (8 )); 37.23, 37.33, 37.52 (С (3 ), С (5 ), С (7 ), С (9 )); 39.31 (C (11 )); 40.08 (C (1 )); 60.68, (C (6 )); 66.94 (C (4 )); 69.40 (C (5 )); 70.36 (C (2 )); 71.04 (C (3 )); 74.84 (C (2)); 102.56 (C (1 )); 117.41 (C (4a)); 122.84, 126.71, 126.86 128.19, 128.35 (C (5), C (7), C (8)); 145.28 (C (6)); 148.52 (C (8a)); 169.26, 169.98, 170.15, 170.24 (MeCO).
Пример 2. Из 0.43 г (1 ммоля) соединения 5, 0.39 г (1 ммоля) -аномера 23, 0.14 г (0.5 ммоля) [bmim]PF6, 0.35 г (2.5 ммоля) BF3·OEt2 и 15 мл СН2Cl2 получили, как описано в примере 1 синтеза соединения 1, 0.37 г (48%) -галактозида 2, идентичного (спектры ИК-, УФ-, ЯМР 1Н и 13С) полученному в предыдущем примере.
Формула изобретения
Способ получения 6-O-[ -D-(2,3,4,6-тетра-O-ацетил)гликопиранозил]-d,l- -токоферолов формулы (1) или (2)

реакцией гликозилирования -токоферола, отличающийся тем, что -токоферол взаимодействует с – или -аномерами пентаацетатов D-глюко-(7, 22) или D-галактопираноз (23)

в присутствии каталитической системы: BF3·OEt2 – ионная жидкость [bmim]PF6 при мольном соотношении -токоферол:пентаацетат сахара:BF3·OEt2:[bmim]PF6=1:1:2,5:0,3-5, в хлористом метилене в течение 3 ч при комнатной температуре.
|
|