|
|
(21), (22) Заявка: 2005134686/04, 01.04.2004
(24) Дата начала отсчета срока действия патента:
01.04.2004
(30) Конвенционный приоритет:
10.04.2003 US 60/461,694
(43) Дата публикации заявки: 27.07.2006
(46) Опубликовано: 27.03.2009
(56) Список документов, цитированных в отчете о поиске:
US 6150373 A1, 21.11.2000. WO 99/61444 A1, 02.12.1999. WO 01/029041 A, 26.04.2001. WO 01/29042 A1, 26.04.2001.
(85) Дата перевода заявки PCT на национальную фазу:
10.11.2005
(86) Заявка PCT:
EP 2004/003447 (01.04.2004)
(87) Публикация PCT:
WO 2004/089955 (21.10.2004)
Адрес для переписки:
101000, Москва, М.Златоустинский пер., 10, кв.15, “ЕВРОМАРКПАТ”, пат.пов. И.А.Веселицкой, рег. № 11
|
(72) Автор(ы):
ЧЭНЬ И (US), ДЕРМАТАКИС Апостолос (US), ЛЮ Цзиньюнь (US), ЛУК Киньчунь (US), МИШУ Кристоф (US), РОССМАН Памела Лорин (US)
(73) Патентообладатель(и):
Ф.ХОФФМАНН-ЛЯ РОШ АГ (CH)
|
(54) ПИРИМИДИНОВЫЕ СОЕДИНЕНИЯ, ОБЛАДАЮЩИЕ СВОЙСТВАМИ СЕЛЕКТИВНОГО ИНГИБИРОВАНИЯ АКТИВНОСТИ КДР И ФРФР
(57) Реферат:
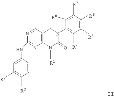
Изобретение относится к новым пиримидиновым соединениям формулы (I), которые обладают свойствами селективного ингибитора киназы КДР и ФРФР. Эти соединения и их фармацевтически приемлемые соли являются антипролиферативными агентами, которые могут быть использованы при лечении и профилактике твердых опухолей, в частности опухолей груди, прямой кишки, легкого и простаты. В формуле (I)

или их фармацевтически приемлемые соли, в которой R1 выбирают из ряда, содержащего: -Н, -(СН2)n -5-6-членный гетероцикл, содержащий 1-2 гетероатома, выбранных из азота, кислорода серы или ее диоксида, (С1-С6)алкил, (С3-С6)циклоалкил, где n означает 0, а каждая из групп гетероцикл, алкил, циклоалкил, независимо друг от друга необязательно замещена до трех групп, выбранных из: -OR9, -COR10, -CO2R10, -CONR10R11 и -CN; R2 означает -Н или -ОСН3; R3 означает -Н, -F или -ОСН3; R4, R5 и R7 означают -H, R6 означает (С1-С6)алкил или OR12; R8 означает -Н или -F; R9 означает -Н и (С1-С6)алкил, (C1-С6)алкокси; R10 и R11 независимо друг от друга выбирают из -Н и (С1-С6)алкила, (C1-C6)алкокси, и R12 означает -Н и (С1-С6)алкил. 3 н. и 14 з.п. ф-лы.
Текст описания приведен в факсимильном виде.                                                                                                                      
Формула изобретения
1. Соединения формулы (I)

или их фармацевтически приемлемые соли,
в которой R1 выбирают из ряда, содержащего:
-Н,
-(СН2)n -5-6-членный гетероцикл, содержащий 1-2 гетероатома, выбранные из азота, кислорода, серы или ее диоксида,
(С1-С6)алкил,
(С3-С6)циклоалкил,
где n означает 0, а каждая из групп гетероцикл, алкил, циклоалкил, независимо друг от
друга необязательно замещена до трех групп, выбранных из:
-OR9, -COR10, -CO2R10, -CONR10R11 и -CN;
R2 означает -Н или -ОСН3;
R3 означает -H, -F или -ОСН3;
R4, R5 и R7 означают -H,
R6 означает (С1-С6)алкил или OR12;
R8 означает -H или -F;
R9 означает -H и (С1-С6)алкил, (С1-С6)алкокси;
R10 и R11 независимо друг от друга выбирают из -H и (С1-С6)алкила, (С1-С6)алкокси, и
R12 означает -H и (С1-С6)алкил.
2. Соединения формулы I по п.1, в которых R1 выбирают из циклоалкила; циклоалкила, замещенного -ОН; 5-6-членного гетероцикла, содержащего 1-2-гетероатома,выбранные из азота, кислорода, серы или ее диоксида; (С1-С6)алкила и (С1-С6)алкила, замещенного -ОН.
3. Соединения формулы I по п.1, в которых R2 и R3 оба означают -H.
4. Соединения формулы I по п.1, в которых R6 означает -ОСН3.
5. Соединения формулы I по п.1, в которых R9 означает -H.
6. Соединения формулы I по п.1, в которых R10 означает -H.
7. Соединения формулы I по п.1, в которых R11 означает -H.
8. Соединения формулы I по п.1, в которых R12 означает -H.
9. Соединения формулы I по п.1, выбранные из группы, включающей:
1-циклогексил-3-(4-метоксифенил)-7-фениламино-3,4-дигидро-1Н-пиримидо[4,5-d]пиримидин-2-он,
3-(4-метоксифенил)-7-фениламино-1-пиперидин-4-ил-3,4-дигидро-1Н-пиримидо[4,5-d]пиримидин-2-он,
1-(транс-4-гидроксициклогексил)-3-(4-метоксифенил)-7-фениламино-3,4-дигидро-1Н-пиримидо[4,5-d]пиримидин-2-он,
3-(4-метоксифенил)-7-фениламино-1-пиперидин-3-ил-3,4-дигидро-1Н-пиримидо[4,5-d]пиримидин-2-он,
1-циклопентил-3-(4-метоксифенил)-7-фениламино-3,4-дигидро-1Н-пиримидо[4,5-d]пиримидин-2-он,
1-(1,1-диоксотетрагидротиофен-3-ил)-3-(4-метоксифенил)-7-фениламино-3,4-дигидро-1Н-пиримидо[4,5-d]пиримидин-2-он,
3-[3-(4-метоксифенил)-2-оксо-7-фениламино-3,4-дигидро-2Н-пиримидо[4,5-d]пиримидин-1-ил]пиперидин-1-карбальдегид,
3-(4-метоксифенил)-7-фениламино-1-(тетрагидропиран-4-ил)-3,4-дигидро-1Н-пиримидо[4,5-d]пиримидин-2-он,
(±)-1-(транс-3-гидроксициклопентил)-3-(4-метоксифенил)-7-фениламино-3,4-дигидро-1Н-пиримидо[4,5-d]пиримидин-2-он,
(±)-цис-1-(3-гидроксициклопентил)-3-(4-метоксифенил)-7-фениламино-3,4-дигидро-1Н-пиримидо[4,5-d]пиримидин-2-он.
10. Соединения формулы I по п.1, выбранные из группы, включающей:
(R)-3-(4-метоксифенил)-7-фениламино-1-(тетрагидрофуран-3-ил)-3,4-дигидро-1Н-пиримидо[4,5-d]пиримидин-2-он,
(R)-3-(4-метоксифенил)-7-фениламино-1-пирролидин-3-ил-3,4-дигидро-1Н-пиримидо[4,5-d]пиримидин-2-он,
(±)-7-(4-фторфениламино)-1-(транс-3-гидроксициклопентил)-3-(4-метоксифенил)-3,4-дигидро-1Н-пиримидо[4,5-d]пиримидин-2-он,
(±)-3-(2-фтор-4-метоксифенил)-1-(транс-3-гидроксициклопентил)-7-фениламино-3,4-дигидро-1H-пиримидо[4,5-d]пиримидин-2-он,
(S)-(+)-1-(2-гидрокси-1-метилэтил)-3-(4-метоксифенил)-7-фениламино-3,4-дигидро-1Н-пиримидо[4,5-d]пиримидин-2-он,
(S)-(+)-7-(4-фторфениламино)-1-(2-гидрокси-1-метилэтил)-3-(4-метоксифенил)-3,4-дигидро-1H-пиримидо[4,5-d]пиримидин-2-он,
3-(2-фтор-4-метоксифенил)-1-(транс-4-гидроксициклогексил)-7-(4-метоксифениламино)-3,4-дигидро-1H-пиримидо[4,5-d]пиримидин-2-он,
3-(2-фтор-4-метоксифенил)-1-(транс-4-гидроксициклогексил)-7-(3,4-диметоксифениламино)-3,4-дигидро-1H-пиримидо[4,5-d]пиримидин-2-он,
3-(4-метоксифенил)-1-(транс-4-гидроксициклогексил)-7-(3,4-диметоксифениламино)-3,4-дигидро-1Н-пиримидо[4,5-d]пиримидин-2-он,
3-(4-метоксифенил)-1-(транс-4-гидроксициклогексил)-7-(4-метоксифениламино)-3,4-дигидро-1Н-пиримидо [4,5-d]пиримидин-2-он,
(S)-(+)-3-(2-фтор-4-метоксифенил)-7-(4-фторфениламино)-1-(2-гидрокси-1-метилэтил)-3,4-дигидро-1H-пиримидо[4,5-d]пиримидин-2-он.
11. Соединения формулы I по п.1, выбранные из группы, включающей:
(S)-(+)-3-(2-фтор-4-метоксифенил)-1-(2-гидрокси-1-метилэтил)-7-(4-метоксифениламино)-3,4-дигидро-1Н-пиримидо[4,5-d]пиримидин-2-он,
(R)-(-)-1-(2-гидрокси-1-метилэтил)-3-(4-метоксифенил)-7-фениламино-3,4-дигидро-1Н-пиримидо[4,5-d]пиримидин-2-он,
3-(4-метоксифенил)-1-метил-7-фениламино-3,4-дигидро-1Н-пиримидо[4,5-d]пиримидин-2-он,
1-(2-метоксиэтоксиметил)-3-(4-метоксифенил)-7-фениламино-3,4-дигидро-1Н-пиримидо[4,5-d]пиримидин-2-он,
3-[-3-(4-метоксифенил)-2-оксо-7-фениламино-3,4-дигидро-1Н-пиримидо[4,5-d]пиримидин-1-ил]пропионитрил,
(+)-(1R,3R)-1-(3-гидроксициклопентил)-3-(4-метоксифенил)-7-фениламино-3,4-дигидро-1Н-пиримидо[4,5-d]пиримидин-2-он,
(R)-1-(2-гидроксипропил)-3-(4-метоксифенил)-7-фениламино-3,4-дигидро-1Н-пиримидо[4,5-d]пиримидин-2-он,
(-)-(1S,3S)-1-(3-гидроксициклопентил)-3-(4-метоксифенил)-7-фениламино-3,4-дигидро-1H-пиримидо[4,5-d]пиримидин-2-он,
3-[3-(4-метоксифенил)-2-оксо-7-фениламино-3,4-дигидро-1Н-пиримидо[4,5-d]пиримидин-1-ил]пропионамид,
(S)-(+)-1-(2-гидроксипропил)-3-(4-метоксифенил)-7-фениламино-3,4-дигидро-1Н-пиримидо[4,5-d]пиримидин-2-он.
12. Соединения формулы I по п.1, выбранные из группы, включающей:
1-(цис-3,5-дигидроксициклогексил)-3-(2-фтор-4-метоксифенил)-7-(4-метоксифениламино)-3,4-дигидро-1Н-пиримидо[4,5-d]пиримидин-2-он,
1-(цис-3,5-дигидроксициклогексил)-3-(4-метоксифенил)-7-(4-метоксифениламино)-3,4-дигидро-1Н-пиримидо[4,5-d]пиримидин-2-он,
1-(цис-3,5-дигидроксициклогексил)-3-(4-метоксифенил)-7-(4-фтор-3-метоксифениламино)-3,4-дигидро-1Н-пиримидо[4,5-d]пиримидин-2-он,
1-(цис-3,5-дигидроксициклогексил)-3-(4-метоксифенил)-7-фениламино-3,4-дигидро-1Н-пиримидо[4,5-d]пиримидин-2-он (Пример 35b),
1-(цис-3,5-дигидроксициклогексил)-3-(2-фтор-4-метоксифенил)-7-фениламино-3,4-дигидро-1H-пиримидо[4,5-d]пиримидин-2-он,
1-(цис-3,5-дигидроксициклогексил)-3-(2-фтор-4-метоксифенил)-7-(4-фтор-3-метоксифениламино)-3,4-дигидро-1H-пиримидо[4,5-d]пиримидин-2-он,
(R)-3-(4-этилфенил)-7-(4-фторфениламино)-1-(2-гидрокси-1-метилэтил)-3,4-дигидро-1H-пиримидо[4,5-d]пиримидин-2-он,
(±)-3-(4-этилфенил)-7-(4-фторфениламино)-1-(транс-3-гидроксициклопентил)-3,4-дигидро-1Н-пиримидо [4,5-d] пиримидин-2-он, и
1-циклопропилметил-3-(4-метоксифенил)-7-фениламино-3,4-дигидро-1Н-пиримидо[4,5-d]пиримидин-2-он.
13. Соединения формулы I по п.1, имеющие формулу

в которой R1 выбирают из ряда, содержащего:
-Н,
(С1-С6)алкил, замещенный -ОН, COR10, -CN или -CONH2,
-(СН2)n-5-6-членный гетероцикл,содержащий 1-2 гетероатома, выбранные из азота, кислорода, серы или ее диоксида,
-(СН2)n-5-6-членный гетероцикл, содержащий 1-2 гетероатома, выбранные из азота, кислорода, серы или ее диоксида, замещенный -COR10 или -CO2R10,
(С5-С6)циклоалкил,
(С5-С6)циклоалкил, замещенный -ОН;
R2 означает Н или -ОСН3;
R3 означает Н, F или -ОСН3;
R4, R5 и R7 означают Н,
R6 означает -ОСН3 или (С1-С6)алкил;
R8 означает Н или F;
R10 означает (С1-С6)алкил, замещенный (С1-С6)алкокси;
n означает 0 или 1.
14. Фармацевтическая композиция,обладающая свойствами селективного ингибирования активности КДР и ФРФР, включающая терапевтически эффективное количество соединения формулы I по одному из пп.1-13 и фармацевтически приемлемый носитель или наполнитель.
15. Фармацевтическая композиция по п.14, предназначенная для приготовления лекарственного средства, которое является пригодным для введения больному раком.
16. Соединения формулы I по одному из пп.1-13, обладающие свойствами селективного ингибирования активности КДР и ФРФР.
17. Промежуточное соединение, выбранное из группы, включающей:
трет-бутиловый эфир 4-[3-(4-метоксифенил)-2-оксо-7-фениламино-3,4-дигидро-2Н-пиримидо[4,5-d]пиримидин-1-ил]пиперидин-1-карбоновой кислоты,
1-[транс-4-(трет-бутилдиметилсиланилокси)циклогексил]-3-(4-метоксифенил)-7-фениламино-3,4-дигидро-1H-пиримидо[4,5-d]пиримидин-2-он,
трет-бутиловый эфир 3-[3-(4-метоксифенил)-2-оксо-7-фениламино-3,4-дигидро-2Н-пиримидо[4,5-d]пиримидин-1-ил]пиперидин-1-карбоновой кислоты,
(±)-3-[цис-(трет-бутилдиметилсиланилокси)циклопентил]-3-(4-метоксифенил)-7-фениламино-3,4-дигидро-1Н-пиримидо[4,5-d]пиримидин-2-он,
этиловый эфир (R)-2-метилсульфанил-4-(тетрагидрофуран-3-иламино)пиримидин-5-карбоновой кислоты,
(±)-4-[транс-3-(трет-бутилдиметилсиланилокси)циклопентиламино]-2-метилсульфанилпиримидин-5-карбальдегид,
(±)-1-[транс-3-(трет-бутилдиметилсиланилокси)циклопентил]-3-(4-метоксифенил)-7-метилсульфанил-3,4-дигидро-1Н-пиримидо[4,5-d]пиримидин-2-он,
(±)-3-[транс-(трет-бутилдиметилсиланилокси)циклопентил]-{5-[(2-фтор-4-метоксифениламино)метил]-2-метилсульфанилпиримидин-4-ил}амин,
(±)-1-[транс-3-(трет-бутилдиметилсиланилокси)циклопентил]-3-(4-метоксифенил)-7-метилсульфанил-3,4-дигидро-1Н-пиримидо[4,5-d]пиримидин-2-он,
(S)-1-[2-(трет-бутилдифенилсиланилокси)-1-метилэтил]-7-хлор-3-(4-метоксифенил)-3,4-дигидро-1Н-пиримидо[4,5-d]пиримидин-2-он,
1-[транс-4-(трет-бутилдиметилсиланилокси)циклогексил)]-7-хлор-3-(2-фтор-4-метоксифенил)-3,4-дигидро-1Н-пиримидо[4,5-d]пиримидин-2-он,
1-[транс-4-(трет-бутилдиметилсиланилокси)циклогексил]-7-хлор-3-(4-метокифенил)-3,4-дигидро-1Н-пиримидо[4,5-d]пиримидин-2-он,
1-[транс-4-(трет-бутилдиметилсиланилокси)циклогексил]-3-(4-метоксифенил)-7-(3,4-диметоксифениламино)-3,4-дигидро-1Н-пиримидо[4,5-d]пиримидин-2-он,
1-[транс-4-(трет-бутилдиметилсиланилокси)циклогексил]-3-(4-метоксифенил)-7-(4-метоксифениламино)-3,4-дигидро-1Н-пиримидо[4,5-d]пиримидин-2-он,
(S)-1-[2-(трет-бутилдифенилсиланилокси)-1-метилэтил]-7-хлор-3-(2-фтор-4-метоксифенил)-3,4-дигидро-1Н-пиримидо[4,5-d]пиримидин-2-он,
(R)-1-[2-(трет-бутилдифенилсиланилокси)-1-метилэтил]-7-хлор-3-(4-метоксифенил)-3,4-дигидро-1Н-пиримидо[4,5-d]пиримидин-2-он,
3-(4-метоксифенил)-7-фениламино-3,4-дигидро-1Н-пиримидо[4,5-d]пиримидин-2-он,
этиловый эфир (+)-(1R,3R)-4-[3-(трет-бутилдиметилсиланилокси)циклопентиламино]-2-метилсульфанилпиримидин-5-карбоновой кислоты,
(-)-(1R,3R)-1-[3-(трет-бутилдиметилсиланилокси)циклопентил]-3-(4-метоксифенил)-7-фениламино-3,4-дигидро-1Н-пиримидо[4,5-d]пиримидин-2-он,
(R)-1-[2-(трет-бутилдифенилсиланилокси)пропил]-7-хлор-3-(4-метоксифенил)-3,4-дигидро-1Н-пиримидо[4,5-d]пиримидин-2-он,
этиловый эфир (-)-(1S,3S)-4-[3-(трет-бутилдиметилсиланилокси)циклопентиламино]-2-метилсульфанилпиримидин-5-карбоновой кислоты,
(-)-(1S,3S)-4-[3-(трет-бутилдиметилсиланилокси)циклопентиламино]-2-метилсульфанилпиримидин-5-карбальдегид,
(-)-(1S,3S)-1-[3-(трет-бутилдиметилсиланилокси)циклопентил]-3-(4-метоксифенил)-7-метилсульфанил-3,4-дигидро-1Н-пиримидо[4,5-d]пиримидин-2-он,
(-)-(1S,3S)-1-[3-(трет-бутилдиметилсиланилокси)циклопентил]-3-(4-метоксифенил)-7-фениламино-3,4-дигидро-1Н-пиримидо[4,5-d]пиримидин-2-он,
(S)-1-[2-(трет-бутилдифенилсиланилокси)пропил]-7-хлор-3-(4-метоксифенил)-3,4-дигидро-1Н-пиримидо[4,5-d]пиримидин-2-он,
1-[цис-3,5-бис(трет-бутилдифенилсиланилокси)циклогексил]-7-хлор-3-(2-фтор-4-метоксифенил)-3,4-дигидро-1Н-пиримидо[4,5-d]пиримидин-2-он,
1-[цис-3,5-бис(трет-бутилдифенилсиланилокси)циклогексил]-3-(2-фтор-4-метоксифенил)-7-(4-метоксифениламино)-3,4-дигидро-1Н-пиримидо[4,5-d]пиримидин-2-он,
1-[цис-3,5-бис(трет-бутилдифенилсиланилокси)циклогексил]-7-хлор-3-(4-метоксифенил)-3,4-дигидро-1Н-пиримидо[4,5-d]пиримидин-2-он,
1-[цис-3,5-бис(трет-бутилдифенилсиланилокси)циклогексил]-3-(4-метоксифенил)-7-(4-метоксифениламино)-3,4-дигидро-1Н-пиримидо[4,5-d]пиримидин-2-он,
1-[цис-3,5-бис(трет-бутилдифенилсиланилокси)циклогексил]-3-(4-метоксифенил)-7-(4-фтор-3-метоксифениламино)-3,4-дигидро-1Н-пиримидо[4,5-d]пиримидин-2-он,
1-[цис-3,5-бис(трет-бутилдифенилсиланилокси)циклогексил]-3-(4-метоксифенил)-7-фениламино-3,4-дигидро-1Н-пиримидо[4,5-d]пиримидин-2-он,
1-[цис-3,5-бис(трет-бутилдифенилсиланилокси)циклогексил]-3-(2-фтор-4-метоксифенил)-7-фениламино-3,4-дигидро-1Н-пиримидо[4,5-d]пиримидин-2-он,
1-[цис-3,5-бис(трет-бутилдифенилсиланилокси)циклогексил]-3-(2-фтор-4-метоксифенил)-7-(4-фтор-3-метоксифениламино)-3,4-дигидро-1Н-пиримидо[4,5-d]пиримидин-2-он,
(2,4-дихлорпиримидин-5-илметил)-(4-этилфенил)амин (Пример 38с),
(R)-3-[2-(трет-бутилдиметилсиланилокси)-1-метилэтил]-1-(2,4-дихлорпиримидин-5-илметил)-1-(4-этилфенил)мочевина,
(R)-1-[2-(трет-бутилдиметилсиланилокси)-1-метилэтил]-7-хлор-3-(4-этилфенил)-3,4-дигидро-1Н-пиримидо[4,5-d]пиримидин-2-он,
(R)-1-[2-(трет-бутилдиметилсиланилокси)-1-метилэтил]-3-(4-этилфенил)-7-(4-фторфениламино)-3,4-дигидро-1Н-пиримидо[4,5-d]пиримидин-2-он,
(±)-[транс-3-(трет-бутилдиметилсиланилокси)циклопентил]-{2-хлор-5-[(4-этилфениламино)метил]пиримидин-4-ил}амин,
(±)-1-[транс-3-(трет-бутилдиметилсиланилокси)циклопентил]-7-хлор-3-(4-этилфенил)-3,4-дигидро-1Н-пиримидо[4,5-d]пиримидин-2-он, и
(±)-1-[транс-3-(трет-бутилдиметилсиланилокси)циклопентил]-3-(4-этилфенил)-7-(4-фторфениламино)-3,4-дигидро-1Н-пиримидо[4,5-d]пиримидин-2-он.
|
|