|
|
(21), (22) Заявка: 2006114749/04, 27.09.2004
(24) Дата начала отсчета срока действия патента:
27.09.2004
(30) Конвенционный приоритет:
03.10.2003 EP 03078075.3
(43) Дата публикации заявки: 20.11.2007
(46) Опубликовано: 27.03.2009
(56) Список документов, цитированных в отчете о поиске:
ЕР 0891978 А, 20.01.1999. WO 97/29109 A, 14.08.1997. US 2003/139426 A1, 24.07.2003. WO 03/048132 A, 12.06.2003. RU 94038256 A1, 27.08.1996.
(85) Дата перевода заявки PCT на национальную фазу:
03.05.2006
(86) Заявка PCT:
EP 2004/010807 (27.09.2004)
(87) Публикация PCT:
WO 2005/040171 (06.05.2005)
Адрес для переписки:
101000, Москва, М.Златоустинский пер., 10, кв.15, “ЕВРОМАРКПАТ”, пат.пов. И.А.Веселицкой, рег. № 11
|
(72) Автор(ы):
ВИХМАНН Юрген (DE), ВОЛЬТЕРИНГ Томас Иоганнес (DE)
(73) Патентообладатель(и):
Ф.ХОФФМАНН-ЛЯ РОШ АГ (CH)
|
(54) ПРОИЗВОДНЫЕ ПИРАЗОЛО- И ИМИДАЗОПИРИМИДИНА
(57) Реферат:
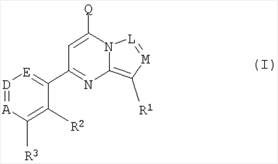
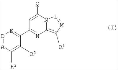
Изобретение относится к новым соединениям формулы I

где А означает =C(R4)-, D означает =C(R5)-, Е означает =C(R6)-, или один из A, D и Е означает =N-, L означает =N- или =С(Н)-, М означает =C(R7)-, когда L означает =N-, или М означает =N-, когда L означает =С(Н)-, Q означает CF3 или CHF2, R1 означает -CN, незамещенный пиридинил, пиридинил, замещенный (С1-С4)-алкилом или (С1-С4)алканолом, или означает соответствующую N-окись пиридина, R2 означает водород, R3 означает водород, R4 означает водород, галоген, незамещенный (С1-С4)алкил или (C1-С4)алкил, замещенный фтором, незамещенную (С1-С4)алкоксигруппу или (C1-С4)алкоксигруппу, замещенную фтором, незамещенный (С3-С6)циклоалкил или (С3-С6)-циклоалкил, замещенный фтором, R5 означает водород, галоген, незамещенный (C1-С4)алкил или (С1-С4)алкил, замещенный фтором, незамещенный (С3-С6)циклоалкил или (С3-С6)циклоалкил, замещенный фтором, R6 означает водород или галоген и R7 означает водород, незамещенный (С1-С4)алкил или (С1-С4)алкил, замещенный циангруппой, незамещенный (С3-С6)циклоалкил или (С3-С6)циклоалкил, замещенный циангруппой, при условии, что когда А означает =C(R4)-, D означает =С(Н)-, Е означает =С(Н)-, L означает =N-, R1 означает -CN, R2 означает водород, R3 означает водород, и (а) М означает =С(Н)-, R4 не является водородом, хлором или метоксигруппой; или (б) М означает =С(СН3)-, R4 не является водородом, и к его фармацевтически приемлемым кислотно-аддитивным солям. Изобретение также относится к фармацевтическим композициям.
Технический результат – получение новых биологически активных соединений, обладающих антагонистической активностью в отношении метаботроного глутаматного рецептора. 3 н.и 26 з.п. ф-лы.
Текст описания приведен в факсимильном виде.                                                                                                   
Формула изобретения
1. Соединение формулы I

где А означает =C(R4)-,
D означает =C(R5)-,
Е означает =C(R6)-,
или один из А, D и Е означает =N-,
L означает =N- или =С(Н)-,
М означает =C(R7)-, когда L означает =N-, или М означает =N-, когда
L означает =С(Н)-,
Q означает CF3 или CHF2,
R1 означает -CN, незамещенный пиридинил, пиридинил, замещенный (С1-С4)-алкилом или (С1-С4)алканолом, или означает соответствующую N-окись пиридина,
R2 означает водород,
R3 означает водород,
R4 означает водород, галоген, незамещенный (С1-С4)алкил или (С1-С4)алкил, замещенный фтором, незамещенную (С1-С4)алкоксигруппу или (С1-С4)алкоксигруппу, замещенную фтором, незамещенный (С3-С6)циклоалкил или (С3-С6)-циклоалкил, замещенный фтором,
R5 означает водород, галоген, незамещенный (С1-С4)алкил или (С1-С4)алкил, замещенный фтором, незамещенный (С3-С6)циклоалкил или (С3-С6)циклоалкил, замещенный фтором,
R6 означает водород или галоген, и
R7 означает водород, незамещенный (С1-С4)алкил или (С1-С4)алкил, замещенный циангруппой, незамещенный (С3-С6)циклоалкил или (С3-С6)циклоалкил, замещенный циангруппой,
при условии, что, когда А означает =C(R4)-, D означает =С(Н)-, E означает =С(Н)-, L означает =N-, R1 означает -CN, R2 означает водород, R3 означает водород, и (а) М означает =С(Н)-, R4 не является водородом, хлором или метоксигруппой; или (б) М означает =С(СН3)-, R4 не является водородом, и его фармацевтически приемлемые кислотно-аддитивные соли.
2. Соединение по п.1,
где А означает =C(R4)-,
D означает =C(R5)-,
Е означает =C(R6)-,
или один из А, D и Е означает =N-,
L означает =N- или =С(Н)-,
М означает =C(R7)-, когда L означает =N-, или М означает =N-, когда L означает =С(Н)-,
Q означает CF3,
R1 означает -CN, незамещенный пиридинил, пиридинил, замещенный (С1-С4)-алкилом, или соответствующую N-окись пиридина,
R2 означает водород,
R3 означает водород,
R4 означает водород, галоген, незамещенный (С1-С4)алкил или (С1-С4)алкил, замещенный фтором, незамещенную (С1-С4)алкоксигруппу или (С1-С4)алкоксигруппу, замещенную фтором, незамещенный (С3-С6)циклоалкил или (С3-С6)циклоалкил, замещенный фтором,
R5 означает водород, галоген, незамещенный (С1-С4)алкил или (C1-С4)алкил, замещенный фтором, незамещенный (С3-С6)циклоалкил или (С3-С6)циклоалкил, замещенный фтором,
R6 означает водород или галоген, и
R7 означает водород, незамещенный (С1-С4)алкил или (С1-С4)алкил, замещенный циангруппой, незамещенный (С3-С6)циклоалкил или (С3-С6)циклоалкил, замещенный циангруппой,
при условии, что когда А означает =C(R4)-, D означает =С(Н)-, Е означает =С(Н)-, L означает =N-, R1 означает -CN, R2 означает водород, R3 означает водород, и (а) М означает =С(Н)-, R4 не является водородом, хлором или метоксигруппой; или (б) М означает =С(СН3)-, R4 не является водородом, и его фармацевтически приемлемые аддитивные соли.
3. Соединение по п.1, где А означает =C(R4)-, где R4 означает водород, галоген, незамещенный (С1-С4)алкил или (С1-С4)алкил, замещенный фтором, незамещенную (С1-С4)алкоксигруппу или (С1-С4)алкоксигруппу, замещенную фтором, незамещенный (С3-С6)циклоалкил или (С3-С6)циклоалкил, замещенный фтором.
4. Соединение по п.1, где D означает =C(R5)-, где R5 означает водород, галоген, незамещенный (С1-С4)алкил или (С1-С4)алкил, замещенный фтором, незамещенный (С3-С6)циклоалкил или (С3-С6)циклоалкил, замещенный фтором.
5. Соединение по п.1, где Е означает =C(R6)-, где R6 означает водород или галоген.
6. Соединение по п.1, где L означает =N-.
7. Соединение по п.1, где L означает =С(Н)-.
8. Соединение по п.1, где М означает =C(R7)-, где R7 означает водород, незамещенный (С1-С4)алкил или (С1-С4)алкил, замещенный циангруппой, незамещенный (С3-С6)циклоалкил или (С3-С6)циклоалкил, замещенный циангруппой.
9. Соединение по п.8, где R7 означает водород.
10. Соединение по п.8, где R7 означает незамещенный (С1-С4)алкил или (С1-С4)циклоалкил, замещенный циангруппой.
11. Соединение по п.1, где R1 означает циангруппу.
12. Соединение по п.1, где R1 означает незамещенный пиридинил, пиридинил, замещенный (С1-С4)алкилом, или соответствующую N-окись пиридина.
13. Соединение по п.1, где
А означает =C(R4)-, где R4 означает водород, галоген, незамещенный (С1-С4)алкил или (С1-С4)алкил, замещенный фтором, незамещенную (С1-С4)алкоксигруппу или (С1-С4)алкоксигруппу, замещенную фтором, незамещенный (С3-С6)циклоалкил или (С3-С6)циклоалкил, замещенный фтором,
D означает =C(R5)-, где R5 означает водород, галоген, незамещенный (С1-С4)алкил или (С1-С4)алкил, замещенный фтором, незамещенный (С3-С6)циклоалкил или (С3-С6)циклоалкил, замещенный фтором,
Е означает =C(R6)-, где R6 означает водород или галоген,
L означает =N- или =С(Н)-,
М означает =C(R7)-, где R7 означает водород, незамещенный (С1-С4)алкил или (С1-С4)алкил, замещенный циангруппой, незамещенный (С3-С6)циклоалкил или (С3-С6)циклоалкил, замещенный циангруппой, когда L означает =N-; или М означает =N-, когда L означает =С(Н)-,
R1 означает циангруппу, незамещенный пиридинил, пиридинил, замещенный (С1-С4)-алкилом, или N-окись соответствующего пиридина,
R2 означает водород,
R3 означает водород,
при условии, что, когда А означает =C(R4)-, D означает =С(Н)-, Е означает =С(Н)-, L означает =N-, R1 означает циангруппу, R2 означает водород, R3 означает водород, и (а) М означает =С(Н)-, R4 не является водородом, хлором или метоксигруппой; или (б) М означает =С(СН3)-, R4 не является водородом.
14. Соединение по п.1, где
А означает =C(R4)-, где R4 означает водород, галоген, незамещенный (С1-С4)алкил или (С1-С4)алкил, замещенный фтором, незамещенную (С1-С4)алкоксигруппу или (С1-С4)алкоксигруппу, замещенную фтором, незамещенный (С3-С6)циклоалкил или (С3-С6)циклоалкил, замещенный фтором,
D означает =C(R5)-, где R5 означает водород, галоген, незамещенный (С1-С4)алкил или (С1-С4)алкил, замещенный фтором, незамещенный (С3-С6)циклоалкил или (С3-С6)циклоалкил, замещенный фтором,
Е означает =C(R6)-, где R6 означает водород или галоген,
L означает =N-,
М означает =C(R7)-, где R7 означает водород, незамещенный (С1-С4)алкил или (С1-С4)алкил, замещенный циангруппой, незамещенный (С3-С6)циклоалкил или (С3-С6)циклоалкил, замещенный циангруппой,
R1 означает циангруппу, незамещенный пиридинил, пиридинил, замещенный (С1-С4)-алкилом, или N-окись соответствующего пиридина,
R2 означает водород,
R3 означает водород,
при условии, что когда А означает =C(R4)-, D означает =С(Н)-, Е означает =С(Н)-, L означает =N-, R1 означает циангруппу, R2 означает водород, R3 означает водород, и (а) М означает =С(Н)-, R4 не является водородом, хлором или метоксигруппой; или (б) М означает =С(СН3)-, R4 не является водородом.
15. Соединение по п.1, где
А означает =C(R4)-, где R4 означает водород, галоген, незамещенный (С1-С4)алкил или (С1-С4)алкил, замещенный фтором, незамещенную (C1-С4)алкоксигруппу или (С1-С4)алкоксигруппу, замещенную фтором, незамещенный (С3-С6)циклоалкил или (С3-С6)циклоалкил, замещенный фтором,
D означает =C(R5)-, где R5 означает водород, галоген, незамещенный (С1-С4)алкил или (С1-С4)алкил, замещенный фтором, незамещенный (С3-С6)циклоалкил или (С3-С6)циклоалкил, замещенный фтором,
Е означает =C(R6)-, где R6 означает водород или галоген,
L означает =N-,
М означает =C(R7)-, где R7 означает водород, незамещенный (С1-С4)алкил или (С1-С4)алкил, замещенный циангруппой, незамещенный (С3-С6)циклоалкил или (С3-С6)циклоалкил, замещенный фтором,
R1 означает циангруппу,
R2 означает водород,
R3 означает водород,
при условии, что когда А означает =C(R4)-, D означает =С(Н)-, Е означает =С(Н)-, L означает =N-, R1 означает циангруппу, R2 означает водород, R3 означает водород, и (а) М означает =С(Н)-, R4 не является водородом, хлором или метоксигруппой; или (б) М означает =С(СН3)-, R4 не является водородом.
16. Соединение по п.1, где
А означает =C(R4)-, где R4 означает водород, галоген, незамещенный (C1-С4)алкил или (С1-С4)алкил, замещенный фтором, незамещенную (C1-С4)алкоксигруппу или (С1-С4)алкоксигруппу, замещенную фтором,
D означает =C(R5)-, где R5 означает водород, галоген, незамещенный (С1-С4)алкил или (С1-С4)алкил, замещенный фтором,
Е означает =C(R6)-, где R6 означает водород или галоген,
L означает =N-,
М означает =C(R7)-, где R7 означает водород, незамещенный (С1-С4)алкил или (С1-С4)алкил, замещенный циангруппой,
R1 означает циангруппу, и
R2 и R3 означают водород,
при условии, что, когда А означает =C(R4)-, D означает =С(Н)-, Е означает =С(Н)-, L означает =N-, R1 означает циангруппу, R2 означает водород, R3 означает водород, и М означает =С(Н)-, R4 не является водородом, хлором или метоксигруппой.
17. Соединение по п.1, где
А означает =C(R4)-, где R4 означает водород, галоген, незамещенный (C1-С4)алкил или (С1-С4)алкил, замещенный фтором, незамещенную (С1-С4)алкоксигруппу или (С1-С4)алкоксигруппу, замещенную фтором,
D означает =C(R5)-, где R5 означает водород, галоген, незамещенный (С1-С4)алкил или (С1-С4)алкил, замещенный фтором,
E означает =C(R6)-, где R6 означает водород или галоген,
L означает =N-,
М означает =C(R7)-, где R7 означает водород,
R1 означает циангруппу и
R2 и R3 означают водород,
при условии, что когда А означает =C(R4)-, D означает =С(Н)-, Е означает =С(Н)-, L означает =N-, R1 означает циангруппу, R2 означает водород, R3 означает водород, и М означает =С(Н)-, R4 не является водородом, хлором или метоксигруппой.
18. Соединение по п.1, где
А означает =C(R4)-, где R4 означает водород, галоген, незамещенный (С1-С4)алкил или (С1-С4)алкил, замещенный фтором, незамещенную (С1-С4)алкоксигруппу или (С1-С4)алкоксигруппу, замещенную фтором,
D означает =C(R5)-, где R5 означает водород, галоген, незамещенный (С1-С4)алкил или (С1-С4)алкил, замещенный фтором,
Е означает =C(R6)-, где R6 означает водород,
L означает =N-,
M означает =C(R7)-, где R7 означает водород,
R1 означает циангруппу и
R2 и R3 означают водород,
с условием, что, когда А означает =C(R4)-, D означает =С(Н)-, Е означает =С(Н)-, L означает =N-, R1 означает циангруппу, R2 означает водород, R3 означает водород, и М означает =С(Н)-, R4 не является водородом, хлором или метоксигруппой.
19. Соединение по п.1, где
А означает =C(R4)-, где R4 означает водород, хлор, фтор, метил или трифторметил, или 2-трифторэтоксигруппу,
D означает =C(R5)-, где R5 означает водород, хлор, метил или трифторметил,
Е означает =C(R6)-, где R6 означает водород,
L означает =N-,
М означает =C(R7)-, где R7 означает водород,
R1 означает циангруппу и
R2 и R3 означают водород,
с условием, что, когда А означает =C(R4)-, D означает =C(H)-, Е означает =С(Н)-, L означает =N-, R1 является циангруппой, R2 означает водород, R3 означает водород и М означает =С(Н)-, R4 не является водородом, хлором или метоксигруппой.
20. Соединение по п.1 где
А означает =C(R4)-, где R4 означает водород, галоген, незамещенный (C1-С4)алкил или (С1-С4)алкил, замещенный фтором, незамещенную (С1-С4)алкоксигруппу или (С1-С4)алкоксигруппу, замещенную фтором,
D означает =C(R5)-, где R5 означает водород, галоген, незамещенный (C1-С4)алкил или (С1-С4)алкил, замещенный фтором,
Е означает =C(R6)-, где R6 означает водород или галоген,
L означает =N-,
М означает =C(R7)-, где R7 означает незамещенный (С1-С4)алкил или (С1-С4)алкил, замещенный циангруппой,
R1 означает циангруппу и
R2 и R3 означают водород,
с условием, что, когда А означает =C(R4)-, D означает =С(Н)-, Е означает =С(Н)-, L означает =N-, R1 означает циангруппу, R2 означает водород, R3 означает водород, и М означает =C(СН3)-, R4 не является водородом.
21. Соединение по п.1, где
А означает =C(R4)-, где R4 означает водород, галоген, незамещенный (С1-С4)алкил или (С1-С4)алкил, замещенный фтором, незамещенную (С1-С4)алкоксигруппу или (С1-С4)алкоксигруппу, замещенную фтором,
D означает =C(R5)-, где R5 означает водород, галоген, незамещенный (С1-С4)алкил или (С1-С4)алкил, замещенный фтором,
Е означает =C(R6)-, где R6 означает водород или галоген,
L означает =N-,
М означает =C(R7)-, где R7 означает водород, незамещенный (С1-С4)алкил или (С1-С4)алкил, замещенный циангруппой,
R1 означает незамещенный пиридинил, пиридинил, замещенный (C1-C4)-
алкилом, или N-окись соответствующего пиридина,
R2 означает водород, и
R3 означает водород.
22. Соединение по п.1, где
А означает =C(R4)-, где R4 означает водород, галоген, незамещенный (С1-С4)алкил или (С1-С4)алкил, замещенный фтором, незамещенную (С1-С4)алкоксигруппу или (С1-С4)алкоксигруппу, замещенную фтором,
D означает =C(R5)-, где R5 означает водород, галоген, незамещенный (С1-С4)алкил или (С1-С4)алкил, замещенный фтором,
Е означает =C(R6)-, где R6 означает водород или галоген,
L означает =N-,
М означает =C(R7)-, где R7 означает водород,
R1 означает незамещенный пиридинил, пиридинил, замещенный (С1-С4)-алкилом или N-окись соответствующего пиридина,
R2 и R3 означают водород.
23. Соединение по п.1, где
А означает =C(R4)-, где R4 означает водород, галоген, (С1-С4)алкил, замещенный фтором, незамещенную (С1-С4)алкоксигруппу,
D означает =C(R5)-, где R5 означает водород, галоген, незамещенный (C1-С4)алкил или (С1-С4)алкил, замещенный фтором,
Е означает =C(R6)-, где R6 означает водород или галоген,
L означает =N-,
М означает =C(R7)-, где R7 означает водород,
R1 означает незамещенный пиридин-4-ил или пиридин-4-ил, замещенный (С1-С4)-алкилом,
R2 и R3 означают водород.
24. Соединение по п.1, где
А означает =C(R4)-, где R4 означает (С1-С4)алкил, замещенный фтором,
D означает =C(R5)-, где R5 означает водород, галоген, незамещенный (C1-С4)алкил или (С1-С4)алкил, замещенный фтором,
Е означает =C(R6)-, где R6 означает водород,
L означает =N-,
М означает =C(R7)-, где R7 означает водород,
R1 означает незамещенный пиридин-4-ил или пиридин-4-ил, замещенный (С1-С4)-алкилом,
R2 и R3 означают водород.
25. Соединение по п.1, где
А означает =C(R4)-, где R4 означает водород, галоген, незамещенный (С1-С4)алкил или (С1-С4)алкил, замещенный фтором, незамещенную (С1-С4)алкоксигруппу или (С1-С4)алкоксигруппу, замещенную фтором,
D означает =C(R5)-, где R5 означает водород, галоген, незамещенный (С1-С4)алкил или (С1-С4)алкил, замещенный фтором,
Е означает =C(R6)-, где R6 означает водород или галоген,
L означает =С(Н)-,
М означает =N-,
R1 означает циангруппу, незамещенный пиридинил, пиридинил, замещенный (С1-С4)-алкилом, или N-окись соответствующего пиридина,
R2 означает водород, и
R3 означает водород.
26. Соединение по п.1 для применения в качестве антагониста метаботропного глутаматного рецептора.
27. Фармацевтическая композиция, обладающая антагонистической активностью в отношении метаботропного глутаматного рецептора, включающая соединение по п.1 в качестве активного ингредиента вместе с фармацевтически приемлемым разбавителем или носителем.
28. Фармацевтическая композиция для лечения или предупреждения заболевания или состояния, при котором активация метаботропного глутаматного рецептора играет определенную роль или причастна к этому, включающая соединение по п.1 и фармацевтически приемлемый носитель.
29. Фармацевтическая композиция по п.28 для получения лекарственного средства, предназначенного для лечения или предупреждения заболеваний, выбранных из группы, включающей острые и/или хронические неврологические нарушения, включая психоз, шизофрению, болезнь Альцгеймера, расстройства познавательной способности и нарушения памяти, включающие слабое снижение познавательной способности, возрастное ухудшение памяти, сосудистое слабоумие, болезнь Паркинсона, ухудшение памяти, связанное с депрессией и тревогой, синдром Дауна, удар, травматическое повреждение мозга и нарушение, связанное с дефицитом внимания, ограниченную деятельность мозга, вызванную операциями по шунтированию или трансплантации, плохое снабжение мозга кровью, повреждения спинного мозга, повреждения головы, гипоксию, вызванную беременностью, остановку сердца и гипогликемию, острую и хроническую боль, хорею Гентингтона, амиотрофический латеральный склероз (ALS), слабоумие, вызванное синдромом приобретенного иммунного дефицита (СПИД), повреждения глаз, ретинопатию, паркинсонизм неясного происхождения или паркинсонизм, вызванный лекарственными средствами, мышечные спазмы, конвульсии, мигрень, недержание мочи, привыкание к никотину, психотические эпизоды, привыкание к опиатам, тревогу, рвоту, дискинезию и депрессию.
|
|