|
|
(21), (22) Заявка: 2006106231/04, 15.07.2004
(24) Дата начала отсчета срока действия патента:
15.07.2004
(30) Конвенционный приоритет:
28.07.2003 DE 10334309.1
(43) Дата публикации заявки: 27.06.2006
(46) Опубликовано: 27.03.2009
(56) Список документов, цитированных в отчете о поиске:
RU 98100257 А, 10.01.2000. US 2002/055523 A1, 09.05.2002. WO 92/05164 A, 02.04.1992. US 3539584 A, 10.11.1970. WO 00/76501, 21.12.2000.
(85) Дата перевода заявки PCT на национальную фазу:
28.02.2006
(86) Заявка PCT:
EP 2004/007847 (15.07.2004)
(87) Публикация PCT:
WO 2005/012295 (10.02.2005)
Адрес для переписки:
129090, Москва, ул. Б.Спасская, 25, стр.3, ООО “Юридическая фирма Городисский и Партнеры”, пат.пов. Е.Е.Назиной
|
(72) Автор(ы):
ПЕТРИ Штефан (DE), БАРИНГХАУС Карл-Хайнц (DE), ТЕННАГЕЛЬС Норберт (DE), МЮЛЛЕР Гюнтер (DE)
(73) Патентообладатель(и):
САНОФИ-АВЕНТИС ДОЙЧЛАНД ГМБХ (DE)
|
(54) ЗАМЕЩЕННЫЕ ПРОИЗВОДНЫЕ ДИОКСИДА ТИАЗОЛБЕНЗОИЗОТИАЗОЛА, СПОСОБ ИХ ПОЛУЧЕНИЯ И ИХ ПРИМЕНЕНИЕ
(57) Реферат:
Изобретение относится к соединениям формулы (I) в качестве ингибиторов фосфотирозинфосфотазы 1В и их фармацевтически приемлемьм солям, а также к их применению, фармацевтической композиции на их основе и способу ее получения. Соединения могут найти применения для лечения заболеваний, опосредованных активностью фосфотирозинфосфотазы 1 В, таких как диабета типа II, нарушений липидного и углеводного обмена, инсулинорезистентности, понижения сахара крови. В общей формуле (I)

R1 обозначает фенил, нафтил, тионафтил, пиридил, причем фенил, нафтил, тионафтил и пиридил могут быть одно- или многократно замещены F, Cl, Br, (CH2)0-2ОН, (С1-С6)-алкилом, (С2-С6)-алкенилом, (С2-С6)-алкинилом, CF3, OCF3, N(R9)(R10), пиперидиноном, пиперазином, пиперазиноном, N-(С1-С6-алкилен)-пиперазином, N-(С1-С6-алкилен)-пиперазиноном, морфолином, тиоморфолином, NO2, CN, O-(С1-С6)-алкилом, S(O)0-2-(С1-С6)-алкилом, SO2-N(R9)(R10), CO-(C1-С6)-алкилом, -СООН, (С1-С6)-алкилен-СООН, СОО(С1-С6)-алкилом, (С1-С6)-алкилен-СОО(С1-С6)-алкилом, (С3-С10)-циклоалкилом, фенилом, причем эти пиперидинон, пиперазин, пиперазинон, N-(С1-С6-алкилен)-пиперазин, N(С1-С6-алкилен)-пиперазинон, морфолин, тиоморфолин и фенильные кольца могут быть одно- или многократно замещены F, Cl, Br, (СН2)0-2OH, СООН, CN, NO2, O-(C1-С6)-алкилом, -NH-O-(С1-С6)-алкилом, -(CO)-NH-O-(C1-C6)-алкилен-N(R9)(R10), -(СО)-(С1-С6)-алкилом, -(С1-С6)-алкилом, CF3, OCF3, N(R9)(R10); R2 обозначают Н, (С1-С6)-алкил, СООН, (C1-С6)-алкилен-СООН, СОО(С1-С6)-алкил, (С1-С6)-алкилен-СОО(С1-С6)-алкил; R3 обозначает Н, (C1-С6)-алкил, (С1-С6)-алкиленфенил, -С(O)-фенил, (С1-С6)-алкиленгетероцикл, где гетероцикл представляет собой 5-6-членное гетероциклическое кольцо, содержащее 1-2 гетероатома, выбранных из азота и кислорода, СО-(С1-С6)алкил; R4, R5 обозначают Н; R6 обозначает Н, R9 обозначает Н, (С1-С4)-алкил; R10 обозначает Н, (С1-С4)-алкил. 4 н. и 5 з.п. ф-лы, 2 табл.
Данное изобретение относится к замещенным производным диоксида тиазолбензотиазола, а также их физиологически переносимым солям и физиологически функциональным производным.
В уровне техники уже описаны структурно подобные производные диоксида бензоизотиазола, а также их применение для лечения диабета (WO 02/11722).
Задачей данного изобретения является получение соединений, с помощью которых можно предотвращать и лечить сахарный диабет. Для этого соединения должны проявлять терапевтически пригодное действие, понижающее уровень сахара в крови. В частности, эти соединения должны обнаруживать, в сравнении с соединениями из WO 02/11722, улучшенное действие или улучшенный ADME-профиль (абсорбции, распределения, метаболизма и экскреции).
Таким образом, данное изобретение относится к соединениям формулы I,

где R1, R2 обозначают независимо Н, арил, СООН, (С1-С6)-алкилен-СООН, -СОО(С1-С6)-алкил, (С1-С6)-алкилен-СОО(С1-С6)-алкил, (С1-С6)-алкил, (С2-С6)-алкенил, (С1-С6)-алкиленарил, гетероцикл, (С1-С6)-алкиленгетероцикл, CF3, OCF3, CN, (CH2)1-6-OH, O-(С1-С6)-алкил, СО-(С1-С6)-алкил, -С(О)О-алкил, СООН, CON(R9)(R10), причем остатки арила, так же, как и гетероциклические остатки, могут быть одно- или многократно замещены F, Cl, Br, (CH2)0-2OH, (С1-С6)-алкилом, (С2-С6)-алкенилом, (С2-С6)-алкинилом, CF3, OCF3, N(R9)(R10), пиперидиноном, пиперазином, пиперазиноном, N-(С1-С6-алкилен)-пиперазином, N-(С1-С6-алкилен)-пиперазиноном, морфолином, тиоморфолином, NO2, CN, О-(С1-С6)-алкилом, S(О)0-2-(С1-С6)-алкилом, SO2-N(R9)(R10), CO-(С1-С6)-алкилом, -СООН, (С1-С6)-алкилен-СООН, СОО(С1-С6)-алкилом, (С1-С6)-алкилен-СОО(С1-С6)-алкилом, (С3-С10)-циклоалкилом, фенилом, причем эти пиперидинон, пиперазин, пиперазинон, N-(С1-С6-алкилен)-пиперазин, N-(С1-С6-алкилен)-пиперазинон, морфолин, тиоморфолин и фенильные кольца могут быть одно- или многократно замещены F, Cl, Br, (CH2)0-2ОН, СООН, CN, NO2, -О-(С1-С6)-алкилом, -NH-O-(С1-С6)-алкилом, -(CO)-NH-O-(С1-С6)-алкилен-N(R9)(R10), -(СО)-(С1-С6)-алкилом, -(С1-С6)-алкилом, CF3, OCF3, N(R9)(R10);
R3 обозначает Н, (С1-С6)-алкил, (С1-С6)-алкиленарил, -С(О)-арил, (С1-С6)-алкиленгетероцикл, СО-(С1-С6)алкил, причем арильные и гетероциклические остатки могут быть замещены один раз или несколько раз F, Cl, Br, (С1-С6)-алкилом, COOH, СОО(С1-6)-алкилом, CF3 или OCF3;
R4, R5 обозначают независимо друг от друга H, F, Cl, Br, (С1-С6)алкил, CF3, OCF3, NO2, N(R9)(R10), CN, О-(С1-С6)-алкил, СО-(С1-С6)-алкил, СООН, (С1-С6)-алкилен-СООН, CON(R9)(R10), (С1-С6)-алкилен-CON(R9)(R10), СОО(С1-С6)-алкил, (С1-С6)-алкилен-СОО(С1-С6)-алкил, S(О)0-2-(С1-С6)-алкил, S(O)2-N(R9)(R10), СН2ОН, СН2ОСН3;
R6, R7 обозначают независимо друг от друга H, F, Cl, Br, (С1-С6)-алкил, циклопропил, тетрафторциклопропил, дифторциклопропил; или
R6 и R7 образуют вместе группу =СН2;
R8 обозначает Н, СН3, CF3, СН2ОН;
R9 обозначает Н, (С1-С4)-алкил;
R10 обозначает Н, (С1-С4)-алкил; или
R9 и R10 образуют вместе с атомом N, к которому они присоединены, 3-9-членную циклическую систему;
а также их физиологически переносимые соли.
Предпочтительными являются соединения формулы I, в которой один или несколько остатков имеют следующее значение:
R1 обозначает арил, (С1-С6)-алкил, (С2-С6)-алкенил, (С1-С6)-алкиленарил, гетероцикл, (С1-С6)-алкиленгетероцикл, CF3, OCF3, CN, (CH2)1-6OH, О-(С1-С6)-алкил, СО-(С1-С6)-алкил, С(О)О-алкил, СООН, CON(R9)(R10), причем арильные остатки, а также гетероциклические остатки могут быть одно- или многократно замещены F, Cl, Br, (CH2)0-2OH, (С1-С6)-алкилом, (С2-С6)-алкенилом, (С2-С6)-алкинилом, CF3, OCF3, N(R9)(R10), пиперидиноном, пиперазином, пиперазиноном, N-(С1-С6-алкилен)-пиперазином, N-(С1-С6-алкилен)-пиперазиноном, морфолином, тиоморфолином, NO2, CN, О-(С1-С6)-алкилом, S(О)0-2-(С1-С6)-алкилом, SO2-N(R9)(R10), CO-(С1-С6)-алкилом, -СООН, (С1-С6)-алкилен-СООН, -СОО(С1-С6)-алкилом, (С0-С6)-алкилен-СОО(С1-С6)-алкилом, С3-С10-циклоалкилом, фенилом, причем эти пиперидинон, пиперазин, пиперазинон, N-(С1-С6-алкилен)-пиперазин, N-(С1-С6-алкилен)-пиперазинон, морфолин, тиоморфолин и фенильные кольца могут быть одно- или многократно замещены F, Cl, Br, (CH2)0-2ОН, СООН, CN, NO2, -О-(С1-С6)-алкилом, -NH-O-(С1-С6)-алкилом, -(CO)-NH-O-(С1-С6)-алкилен-N(R9)(R10), -(СО)-(С1-С6)-алкилом, -(С1-С6)-алкилом, CF3, OCF3, N(R9)(R10);
R2 обозначает Н, арил, СООН, (С1-С6)-алкилен-СООН, -СОО(С1-С6)-алкил, (С1-С6)-алкилен-СОО(С1-С6)-алкил; (С1-С6)-алкил, (С2-С6)-алкенил, (С1-С6)-алкиленарил, гетероцикл, (С1-С6)-алкиленгетероцикл, CF3, OCF3, CN, -(СН2)1-6-ОН, О-(С1-С6)-алкил, СО-(С1-С6)-алкил, С(О)О-алкил, СООН, CON(R9)(R10), причем арильные остатки, а также гетероциклические остатки могут быть одно- или многократно замещены F, Cl, Br, (CH2)0-2ОН, (С1-С6)-алкилом, (С2-С6)-алкенилом, (С2-С6)-алкинилом, CF3 OCF3, N(R9)(R10), пиперидиноном, пиперазином, пиперазиноном, N-(С1-С6-алкилен)-пиперазином, N-(С1-С6-алкилен)-пиперазиноном, морфолином, тиоморфолином, NO2, CN, О-(С1-С6)-алкилом, S(О)0-2-(С1-С6)-алкилом, SO2-N(R9)(R10), CO-(С1-С6)-алкилом, -СООН, (С1-С6)-алкилен-СООН, -СОО(С1-С6)-алкилом, (С1-С6)-алкилен-СОО(С1-С6)-алкилом, С3-С10-циклоалкилом, фенилом;
R3 обозначает Н, (С1-С6)-алкил, (С1-С6)-алкиленарил, -С(О)-арил, (С1-С6)-алкиленгетероцикл, СО-(С1-С6)алкил;
R4, R5 обозначают независимо друг от друга H, F, Cl, Br, (С1-С6)алкил, CF3, OCF3, NO2, N(R9)(R10), CN, О-(С1-С6)-алкил, СО-(С1-С6)-алкил, СООН, (С1-С6)-алкилен-СООН, -CON(R9)(R10), (С1-С6)-алкилен-CON(R9)(R10), СОО(С1-С6)-алкил, (С1-С6)-алкилен-СОО(С1-С6)-алкил, S(О)0-2-(С1-С6)-алкил, S(O)2-N(R9)(R10), СН2ОН, СН2ОСН3;
R6, R7 обозначают независимо друг от друга H, F, Cl, Br, (С1-С6)-алкил, циклопропил, тетрафторциклопропил, дифторциклопропил; или
R6 и R7 вместе обозначают группу =СН2;
R8 обозначает Н, СН3, CF3, СН2ОН;
R9 обозначает Н, (С1-С4)-алкил;
R10 обозначает Н, (С1-С4)-алкил; или
R9 и R10 образуют вместе с атомом N, к которому они присоединены, 3-9-членную циклическую систему;
а также их физиологически переносимые соли.
Особенно предпочтительными являются соединения формулы I, где один или несколько остатков имеют следующее значение:
R1 обозначает фенил, нафтил, тионафтил, пиридил, причем фенил, нафтил, тионафтил и пиридил могут быть одно- или многократно замещены F, Cl, Br, (CH2)0-2OH, (С1-С6)-алкилом, (С2-С6)-алкенилом, (С2-С6)-алкинилом, CF3, OCF3, N(R9)(R10), пиперидиноном, пиперазином, пиперазиноном, N-(С1-С6-алкилен)-пиперазином, N-(С1-С6-алкилен)-пиперазиноном, морфолином, тиоморфолином, NO2, CN, О-(С1-С6)-алкилом, S(О)0-2-(С1-С6)-алкилом, SO2-N(R9)(R10), CO-(С1-С6)-алкилом, СООН, (С1-С6)-алкилен-СООН, СОО(С1-С6)-алкилом, (С1-С6)-алкилен-СОО(С1-С6)-алкилом, С3-С10-циклоалкилом, фенилом, причем эти пиперидинон, пиперазин, пиперазинон, N-(С1-С6-алкилен)-пиперазин, N-(С1-С6-алкилен)-пиперазинон, морфолин, тиоморфолин и фенильные кольца могут быть одно- или многократно замещены F, Cl, Br, (CH2)0-2ОН, СООН, CN, NO2, -О-(С1-С6)-алкилом, -NH-O-(С1-С6)-алкилом, -(CO)-NH-O-(С1-С6)-алкилен-N(R9)(R10), -(СО)-(С1-С6)-алкилом, -(С1-С6)-алкилом, CF3, OCF3, N(R9)(R10);
R2 обозначает Н, (С1-С6)-алкил, СООН, (С1-С6)-алкилен-СООН, -СОО(С1-С6)-алкил, (С1-С6)-алкилен-СОО(С1-С6)-алкил;
R3 обозначает Н, (С1-С6)-алкил, (С1-С6)-алкиленарил, -С(О)-арил, (С1-С6)-алкиленгетероцикл, СО-(С1-С6)-алкил;
R4, R5 обозначают Н;
R6, R7 обозначают Н;
R8 обозначает Н;
R9 обозначает Н, (С1-С4)-алкил;
R10 обозначает Н, (С1-С4)-алкил;
а также их фармацевтически приемлемые соли.
Особенно предпочтительными являются соединения формулы I, где один или несколько остатков имеют следующее значения:
R1 обозначает фенил, причем фенил может быть один раз или несколько раз замещен F, Cl, Br, (CH2)0-2OH, (С1-С6)-алкилом, (С2-С6)-алкенилом, (С2-С6)-алкинилом, CF3, OCF3, N(R9)(R10), пиперидиноном, пиперазином, пиперазиноном, N-(С1-С6-алкилен)-пиперазином, N-(С1-С6-алкилен)-пиперазиноном, морфолином, тиоморфолином, NO2, CN, О-(С1-С6)-алкилом, S(О)0-2-(С1-С6)-алкилом, SO2-N(R9)(R10), CO-(С1-С6)-алкилом, СООН, (С1-С6)-алкилен-СООН, СОО(С1-С6)-алкилом, (С1-С6)-алкилен-СОО(С1-С6)-алкилом, (С3-С10)-циклоалкилом, фенилом, причем эти пиперидинон, пиперазин, пиперазинон, N-(С1-С6-алкилен)-пиперазин, N-(С1-С6-алкилен)-пиперазинон, морфолин, тиоморфолин и фенильные кольца могут быть одно- или многократно замещены F, Cl, Br, (CH2)0-2-ОН, СООН, CN, NO2, -О-(С1-С6)-алкилом, -NH-O-(С1-С6)-алкилом, -(CO)-NH-O-(С1-С6)-алкилен-N(R9)(R10), -(СО)-(С1-С6)-алкилом, -(С1-С6)-алкилом, CF3, OCF3, N(R9)(R10);
R2 обозначает Н, (С1-С6)-алкил, -С(О)О-(С1-С6)-алкил, -(С1-С6)-алкилен-(С(О)О-(С1-С6)-алкил, -СООН, -(С1-С6)-алкилен-СООН;
R3 обозначает Н, (С1-С6)-алкил, (С1-С6)-алкиленарил, -С(О)-арил, (С1-С6)-алкиленгетероцикл, СО-(С1-С6)-алкил;
R4, R5 обозначают Н;
R6, R7 обозначают Н;
R8 обозначает Н;
R9 обозначает Н;
R10 обозначает Н;
а также их физиологически приемлемые соли.
Данное изобретение относится к соединениям формулы I, в форме их рацематов, рацемических смесей и чистых энантиомеров, а также их диастереомеров и их смесей.
Если остатки или заместители обнаруживаются многократно в соединениях формулы I, то все они независимо друг от друга могут иметь указанные значения и быть одинаковыми или различными.
Фармацевтически приемлемые соли на основе их более высокой водорастворимости в сравнении с исходными или основными соединениями являются особенно подходящими для медицинских применений. Эти соли должны иметь фармацевтически приемлемый анион или катион. Подходящими фармацевтически приемлемыми кислотно-аддитивными солями соединений данного изобретения являются соли неорганических кислот, таких как соляная кислота, бромистоводородная кислота, фосфорная, метафосфорная, азотная и серная кислоты, а также органических кислот, таких как, например, уксусная кислота, бензолсульфоновая, бензойная, лимонная, этансульфоновая, фумаровая, глюконовая, гликолевая, изетионовая, молочная, лактобионовая, малеиновая, яблочная, метансульфоновая, янтарная, п-толуолсульфоновая и винная кислоты. Подходящими фармацевтически приемлемыми основными солями являются соли аммония, соли щелочных металлов (такие как соли натрия и калия), соли щелочноземельных металлов (такие как соли магния и кальция), соли трометамола (2-амино-2-гидроксиметил-1,3-пропандиола), диэтаноламина, лизина или этилендиамина.
Соли с фармацевтически неприемлемым анионом, такие как, например, трифторацетат, также входят в рамки данного изобретения в качестве полезных промежуточных продуктов для получения или очистки фармацевтически приемлемых солей и/или для использования в нетерапевтических применениях, например, применениях in vitro.
Используемое здесь понятие “физиологически функциональное производное” обозначает любое физиологически приемлемое производное соединения формулы I данного изобретения, например, сложный эфир, который при введении млекопитающему, такому как, например, человек, способен (прямо или опосредованно) образовывать соединение формулы I или его активный метаболит.
К физиологически функциональным производным относятся также пролекарства соединений данного изобретения, такие как, например, описанные в H. Okada et al., Chem. Pharm. Bull. 1994, 42, 57-61. Такие пролекарства могут метаболизироваться in vivo в соединение данного изобретения. Эти пролекарства могут сами быть или могут не быть эффективными.
Соединения в соответствии с данным изобретением могут также находиться в различных полиморфных формах, например, в виде аморфных или кристаллических полиморфных форм. Все полиморфные формы соединений данного изобретения включены в объем данного изобретения и являются следующим аспектом данного изобретения.
В дальнейшем, все ссылки на «соединение (соединения) в соответствии с формулой I», относятся к соединению (соединениям) формулы I, описанной выше, а также их солям, сольватам и физиологически функциональным производным.
Алкильный остаток обозначает неразветвленную или разветвленную углеводородную цепь с одним или несколькими атомами углерода, такую как, например, метил, этил, изопропил, трет-бутил, гексил.
Алкильный остаток может быть одно- или многократно замещен подходящими группами, такими как, например:
F, Cl, Br, I, CF3, NO2, N3, CN, COOH, COO(С1-С6)-алкил, CONH2, CONH(С1-С6)-алкил, CON[(С1-С6)-алкил]2, циклоалкил, (С2-С6)-алкенил, (С2-С6)-алкинил, О-(С1-С6)-алкил, О-СО-(С1-С6)-алкил, О-СО-(С1-С6)-арил, О-СО-(С1-С6)-гетероцикл;
РО3Н2, SO3H, SO2-NH2, SO2NH((С1-С6)-алкил, SO2N[(С1-С6)-алкил]2, S-(С1-С6)-алкил, S-(СН2)n-арил, S-(СН2)n-гетероцикл, SO-(С1-С6)-алкил, SO-(СН2)n-арил, SO-(СН2)n-гетероцикл, SO2-(С1-С6)-алкил, SO2-(СН2)n-арил, SO2-(СН2)n-гетероцикл, SO2-NH(СН2)n-арил, SO2-NH(СН2)n-гетероцикл, SO2-N(С1-С6)алкил)(СН2)n -арил, SO2-N(С1-С6)алкил)(СН2)n-гетероцикл, SO2-N((СН2)n-арил)2, SO2-N((СН2)n-(гетероцикл)2, причем n может быть равно 0-6 и арильный остаток или гетероциклический остаток может быть замещен до двух раз F, Cl, Br, OH, CF3, NO2, CN, OCF3, O-(С1-С6)-алкилом, (С1-С6)-алкилом, NH2;
C(NH)(NH2), NH2, NH-(С1-С6)-алкил, N((С1-С6)-алкил)2, NH(С1-С7)-ацил, NH-CO-(С1-С6)-алкил, NH-СОО-(С1-С6)-алкил, NH-СО-арил, NH-СО-гетероцикл, NH-СОО-арил, NH-СОО-гетероцикл, NH-СО-NH-(С1-С6)-алкил, NH-СО-NH-арил, NH-СО-NH-гетероцикл, N(С1-С6)-алкил-СО-(С1-С6)-алкил, N(С1-С6)алкил-СОО-(С1-С6)-алкил, N(С1-С6)алкил-СО-арил, N(С1-С6)-алкил-СО-гетероцикл, N(С1-С6)-алкил-СОО-арил, N(С1-С6)-алкил-СОО-гетероцикл, N(С1-С6)алкил-СО-NH-(С1-С6)-алкил), N(С1-С6)-алкил-СО-NH-арил, N(С1-С6)-алкил-СО-NH-гетероцикл, N((С1-С6)-алкил)-СО-N-((С1-С6)-алкил)2, N((С1-С6)-алкил-СО-N((С1-С6)-алкил)арил, N((С1-С6)-алкил-СО-N((С1-С6)-алкил)-гетероцикл, N((С1-С6)-алкил)-СО-N-(арил)2, N((С1-С6)-алкил)-СО-N-(гетероцикл)2, N(арил)-СО-(С1-С6)-алкил, N(гетероцикл)-СО-(С1-С6)-алкил, N(арил)-СОО-(С1-С6)-алкил, N(гетероцикл)-СОО-(С1-С6)-алкил, N(арил)-СО-арил, N(гетероцикл)-СО-арил, N(арил)-СОО-арил, N(гетероцикл)-СОО-арил, N(арил)-СО-NH-(С1-С6)-алкил), N(гетероцикл)-СО-NH-(С1-С6)-алкил), N(арил)-СО-NH-арил, N(гетероцикл)-СО-NH-арил, N(арил)-СО-N-((С1-С6)-алкил)2, N(гетероцикл)-СО-N((С1-С6)-алкил)2, N(арил)-СО-N((С1-С6)-алкил)-арил, N(гетероцикл)-СО-N((С1-С6)-алкил)-арил, N(арил)-СО-N-(арил)2, N(гетероцикл)-СО-N-(арил)2, арил, О-(СН2)n-арил, О-(СН2)n-гетероцикл, причем n может быть равно 0-6, причем арильный остаток или гетероциклический остаток может быть замещен 1-3 раза F, Cl, Br, I, ОН, CF3, NO2, CN, OCF3, O-(С1-С6)-алкилом, (С1-С6)-алкилом, NH2, NH(С1-С6)-алкилом, N((С1-С6)-алкилом)2, SO2-СН3, СООН, СОО-(С1-С6)-алкилом, CONH2.
Алкенильный остаток обозначает неразветвленную или разветвленную углеводородную цепь с двумя или несколькими атомами углерода, а также одной или несколькими двойными связями, такой как, например, винил, аллил, пентенил.
Алкенильные остатки могут быть одно- или многократно замещены подходящими группами, такими как, например:
F, Cl, Br, I, CF3, NO2, N3, CN, COOH, COO(С1-С6)-алкил, CONH2, CONH(С1-С6)-алкил, CON[(С1-С6)-алкил]2, циклоалкил, (С1-С10)-алкил, (С2-С6)-алкинил, О-(С1-С6)-алкил, О-СО-(С1-С6)-алкил, О-СО-(С1-С6)-арил, О-СО-(С1-С6)-гетероцикл;
РО3Н2, SO3H, SO2-NH2, SO2NH((С1-С6)-алкил, SO2N[(С1-С6)-алкил]2, S-(С1-С6)-алкил, S-(СН2)n-арил, S-(СН2)n-гетероцикл, SO-(С1-С6)-алкил, SO-(СН2)n-арил, SO-(СН2)n-гетероцикл, SO2-(С1-С6)-алкил, SO2-(СН2)n-арил, SO2-(СН2)n-гетероцикл, SO2-NH(СН2)n-арил, SO2-NH(СН2)n-гетероцикл, SO2-N(С1-С6)алкил)(СН2)n-арил, SO2-N(С1-С6)алкил((СН2)n-гетероцикл, SO2-N((СН2)n-арил)2, SO2-N((СН2)n-(гетероцикл)2, причем n может быть равно 0-6 и арильный остаток или гетероциклический остаток может быть замещен до двух раз F, Cl, Br, OH, CF3, NO2, CN, OCF3, O-(С1-С6)-алкилом, (С1-С6)-алкилом, NH2;
C(NH)(NH2), NH2, NH-(С1-С6)-алкил, N((С1-С6)-алкил)2, NH(С1-С7)-ацил, NH-CO-(С1-С6)-алкил, NH-СОО-(С1-С6)-алкил, NH-СО-арил, NH-СО-гетероцикл, NH-СОО-арил, NH-СОО-гетероцикл, NH-СО-NH-(С1-С6)-алкил, NH-СО-NH-арил, NH-СО-NH-гетероцикл, N(С1-С6)-алкил-СО-(С1-С6)-алкил, N(С1-С6)алкил-СОО-(С1-С6)-алкил, N(С1-С6)алкил-СО-арил, N(С1-С6)-алкил-СО-гетероцикл, N(С1-С6)-алкил-СОО-арил, N(С1-С6)-алкил-СОО-гетероцикл, N(С1-С6)алкил-СО-NH-(С1-С6)-алкил), N(С1-С6)-алкил-СО-NH-арил, N(С1-С6)-алкил-СО-NH-гетероцикл, N((С1-С6)-алкил)-СО-N-((С1-С6)-алкил)2, N((С1-С6)-алкил-СО-N((С1-С6)-алкил)арил, N((С1-С6)-алкил-СО-N((С1-С6)-алкил)-гетероцикл, N((С1-С6)-алкил)-СО-N-(арил)2, N((С1-С6)-алкил)-СО-N-(гетероцикл)2, N(арил)-СО-(С1-С6)-алкил, N(гетероцикл)-СО-(С1-С6)-алкил, N(арил)-СОО-(С1-С6)-алкил, N(гетероцикл)-СОО-(С1-С6)-алкил, N(арил)-СО-арил, N(гетероцикл)-СО-арил, N(арил)-СОО-арил, N(гетероцикл)-СОО-арил, N(арил)-СО-NH-(С1-С6)-алкил), N(гетероцикл)-СО-NH-(С1-С6)-алкил), N(арил)-СО-NH-арил, N(гетероцикл)-СО-NH-арил, N(арил)-СО-N-((С1-С6)-алкил)2, N(гетероцикл)-СО-N-((С1-С6)-алкил)2, N(арил)-СО-N((С1-С6)-алкил)-арил, N(гетероцикл)-СО-N((С1-С6)-алкил)-арил, N(арил)-СО-N-(арил)2, N(гетероцикл)-СО-N-(арил)2, арил, О-(СН2)n-арил, О-(СН2)n-гетероцикл, причем n может быть равно 0-6, причем арильный остаток или гетероциклический остаток может быть замещен 1-3 раза F, Cl, Br, I, ОН, CF3, NO2, CN, OCF3, O-(С1-С6)-алкилом, (С1-С6)-алкилом, NH2, NH(С1-С6)-алкилом, N((С1-С6)-алкилом)2, SO2-СН3, СООН, СОО-(С1-С6)-алкилом, CONH2.
Алкинильный остаток обозначает неразветвленную или разветвленную углеводородную цепь с двумя или несколькими атомами углерода, а также одной или несколькими тройными связями, такой как, например, этинил, пропинил, гексинил.
Алкинильные остатки могут быть одно- или многократно замещены подходящими группами, такими как, например:
F, Cl, Br, I, CF3, NO2, N3, CN, COOH, COO(С1-С6)-алкил, CONH2, CONH(С1-С6)-алкил, CON[(С1-С6)-алкил]2, циклоалкил, (С2-С6)-алкенил, (С1-С10)-алкил, О-(С1-С6)-алкил, О-СО-(С1-С6)-алкил, О-СО-(С1-С6)-арил, О-СО-(С1-С6)-гетероцикл;
РО3Н2, SO3H, SO2-NH2, SO2NH((С1-С6)-алкил, SO2N[(С1-С6)-алкил]2, S-(С1-С6)-алкил, S-(СН2)n-арил, S-(СН2)n-гетероцикл, SO-(С1-С6)-алкил, SO-(СН2)n-арил, SO-(СН2)n-гетероцикл, SO2-(С1-С6)-алкил, SO2-(СН2)n-арил, SO2-(СН2)n-гетероцикл, SO2-NH(СН2)n-арил, SO2-NH(СН2)n-гетероцикл, SO2-N(С1-С6)алкил)(СН2)n-арил, SO2-N(С1-С6)алкил((СН2)n-гетероцикл, SO2-N((СН2)n-арил)2, SO2-N((СН2)n-(гетероцикл)2, причем n может быть равно 0-6 и арильный остаток или гетероциклический остаток может быть замещен до двух раз F, Cl, Br, OH, CF3, NO2, CN, OCF3, O-(С1-С6)-алкилом, (С1-С6)-алкилом, NH2;
C(NH)(NH2), NH2, NH-(С1-С6)-алкил, N((С1-С6)-алкил)2, NH(С1-С7)-ацил, NH-CO-(С1-С6)-алкил, NH-СОО-(С1-С6)-алкил, NH-СО-арил, NH-СО-гетероцикл, NH-СОО-арил, NH-СОО-гетероцикл, NH-СО-NH-(С1-С6)-алкил, NH-СО-NH-арил, NH-СО-NH-гетероцикл, N(С1-С6)-алкил-СО-(С1-С6)-алкил, N(С1-С6)алкил-СОО-(С1-С6)-алкил, N(С1-С6)алкил-СО-арил, N(С1-С6)-алкил-СО-гетероцикл, N(С1-С6)-алкил-СОО-арил, N(С1-С6)-алкил-СОО-гетероцикл, N(С1-С6)алкил-СО-NH-(С1-С6)-алкил), N(С1-С6)-алкил-СО-NH-арил, N(С1-С6)-алкил-СО-NH-гетероцикл, N((С1-С6)-алкил)-СО-N-((С1-С6)-алкил)2, N((С1-С6)-алкил-СО-N((С1-С6)-алкил)арил, N((С1-С6)-алкил-СО-N((С1-С6)-алкил)-гетероцикл, N((С1-С6)-алкил)-СО-N-(арил)2, N((С1-С6)-алкил)-СО-N-(гетероцикл)2, N(арил)-СО-(С1-С6)-алкил, N(гетероцикл)-СО-(С1-С6)-алкил, N(арил)-СОО-(С1-С6)-алкил, N(гетероцикл)-СОО-(С1-С6)-алкил, N(арил)-СО-арил, N(гетероцикл)-СО-арил, N(арил)-СОО-арил, N(гетероцикл)-СОО-арил, N(арил)-СО-NH-(С1-С6)-алкил), N(гетероцикл)-СО-NH-(С1-С6)-алкил), N(арил)-СО-NH-арил, N(гетероцикл)-СО-NH-арил, N(арил)-СО-N-((С1-С6)-алкил)2, N(гетероцикл)-СО-N-((С1-С6)-алкил)2, N(арил)-СО-N((С1-С6)-алкил)-арил, N(гетероцикл)-СО-N((С1-С6)-алкил)-арил, N(арил)-СО-N-(арил)2, N(гетероцикл)-СО-N-(арил)2, арил, О-(СН2)n-арил, О-(СН2)n-гетероцикл, причем n может быть равно 0-6, причем арильный остаток или гетероциклический остаток может быть замещен 1-3 раза F, Cl, Br, I, ОН, CF3, NO2, CN, OCF3, O-(С1-С6)-алкилом, (С1-С6)-алкилом, NH2, NH(С1-С6)-алкилом, N((С1-С6)-алкилом)2, SO2-СН3, СООН, СОО-(С1-С6)-алкилом, CONH2.
Арильный остаток обозначает фенильный, нафтильный, бифенильный, тетрагидронафтильный, альфа- или бета-тетралон-, инданил- или индан-1-онильный остаток.
Арильные остатки могут быть одно- или многократно замещены подходящими группами, такими как, например:
F, Cl, Br, I, CF3, NO2, N3, CN, COOH, COO(С1-С6)-алкил, CONH2, CONH(С1-С6)-алкил, CON[(С1-С6)-алкил]2, циклоалкил, (С1-С10)-алкил, (С2-С6)-алкенил, (С2-С6-алкинил), О-(С1-С6)-алкил, О-СО-(С1-С6)-алкил, О-СО-(С1-С6)-арил, О-СО-(С1-С6)-гетероцикл;
РО3Н2, SO3H, SO2-NH2, SO2NH((С1-С6)-алкил, SO2N[(С1-С6)-алкил]2, S-(С1-С6)-алкил, S-(СН2)n-арил, S-(СН2)n-гетероцикл, SO-(С1-С6)-алкил, SO-(СН2)n-арил, SO-(СН2)n-гетероцикл, SO2-(С1-С6)-алкил, SO2-(СН2)n-арил, SO2-(СН2)n-гетероцикл, SO2-NH(СН2)n-арил, SO2-NH(СН2)n-гетероцикл, SO2-N(С1-С6)алкил)(СН2)n-арил, SO2-N(С1-С6)алкил((СН2)n-гетероцикл, SO2-N((СН2)n-арил)2, SO2-N((СН2)n-(гетероцикл)2, причем n может быть равно 0-6 и арильный остаток или гетероциклический остаток может быть замещен до двух раз F, Cl, Br, OH, CF3, NO2, CN, OCF3, O-(С1-С6)-алкилом, (С1-С6)-алкилом, NH2;
C(NH)(NH2), NH2, NH-(С1-С6)-алкил, N((С1-С6)-алкил)2, NH(С1-С7)-ацил, NH-CO-(С1-С6)-алкил, NH-СОО-(С1-С6)-алкил, NH-СО-арил, NH-СО-гетероцикл, NH-СОО-арил, NH-СОО-гетероцикл, NH-СО-NH-(С1-С6)-алкил, NH-СО-NH-арил, NH-СО-NH-гетероцикл, N(С1-С6)-алкил-СО-(С1-С6)-алкил, N(С1-С6)алкил-СОО-(С1-С6)-алкил, N(С1-С6)алкил-СО-арил, N(С1-С6)-алкил-СО-гетероцикл, N(С1-С6)-алкил-СОО-арил, N(С1-С6)-алкил-СОО-гетероцикл, N(С1-С6)алкил-СО-NH-(С1-С6)-алкил), N(С1-С6)-алкил-СО-NH-арил, N(С1-С6)-алкил-СО-NH-гетероцикл, N((С1-С6)-алкил)-СО-N-((С1-С6)-алкил)2, N((С1-С6)-алкил-СО-N((С1-С6)-алкил)арил, N((С1-С6)-алкил)-СО-N((С1-С6)-алкил)-гетероцикл, N((С1-С6)-алкил)-СО-N-(арил)2, N((С1-С6)-алкил)-СО-N-(гетероцикл)2, N(арил)-СО-(С1-С6)-алкил, N(гетероцикл)-СО-(С1-С6)-алкил, N(арил)-СОО-(С1-С6)-алкил, N(гетероцикл)-СОО-(С1-С6)-алкил, N(арил)-СО-арил, N(гетероцикл)-СО-арил, N(арил)-СОО-арил, N(гетероцикл)-СОО-арил, N(арил)-СО-NH-(С1-С6)-алкил), N(гетероцикл)-СО-NH-(С1-С6)-алкил), N(арил)-СО-NH-арил, N(гетероцикл)-СО-NH-арил, N(арил)-СО-N-(С1-С6)-алкил)2, N(гетероцикл)-СО-N-(С1-С6)-алкил)2, N(арил)-СО-N((С1-С6)-алкил)-арил, N(гетероцикл)-СО-N((С1-С6)-алкил)-арил, N(арил)-СО-N-(арил)2, N(гетероцикл)-СО-N-(арил)2, арил, О-(СН2)n-арил, О-(СН2)n-гетероцикл, причем n может быть равно 0-6, причем арильный остаток или гетероциклический остаток может быть замещен 1-3 раза F, Cl, Br, I, ОН, CF3, NO2, CN, OCF3, O-(С1-С6)-алкилом, (С1-С6)-алкилом, NH2, NH(С1-С6)-алкилом, N((С1-С6)-алкилом)2, SO2-СН3, СООН, СОО-(С1-С6)-алкилом, CONH2.
Циклоалкильный остаток обозначает циклическую систему, содержащую одно или несколько колец, которая является насыщенной или частично ненасыщенной (с одной или двумя двойными связями), которая состоит исключительно из атомов углерода, такая как, например, циклопропил, циклопентил, циклопентенил, циклогексил или адамантил.
Циклоалкильные остатки могут быть одно- или многократно замещены подходящими группами, такими как, например:
F, Cl, Br, I, CF3, NO2, N3, CN, COOH, COO(С1-С6)-алкил, CONH2, CONH(С1-С6)-алкил, CON[(С1-С6)-алкил]2, циклоалкил, (С1-С10)-алкил, (С2-С6)-алкенил, (С2-С6-алкинил), О-(С1-С6)-алкил, О-СО-(С1-С6)-алкил, О-СО-(С1-С6)-арил, О-СО-(С1-С6)-гетероцикл;
РО3Н2, SO3H, SO2-NH2, SO2NH((С1-С6)-алкил, SO2N[(С1-С6)-алкил]2, S-(С1-С6)-алкил, S-(СН2)n-арил, S-(СН2)n-гетероцикл, SO-(С1-С6)-алкил, SO-(СН2)n-арил, SO-(СН2)n-гетероцикл, SO2-(С1-С6)-алкил, SO2-(СН2)n-арил, SO2-(СН2)n-гетероцикл, SO2-NH(СН2)n-арил, SO2-NH(СН2)n-гетероцикл, SO2-N(С1-С6)алкил)(СН2)n-арил, SO2-N(С1-С6)алкил((СН2)n-гетероцикл, SO2-N((СН2)n-арил)2, SO2-N((СН2)n-(гетероцикл)2, причем n может быть равно 0-6 и арильный остаток или гетероциклический остаток может быть замещен до двух раз F, Cl, Br, OH, CF3, NO2, CN, OCF3, O-(С1-С6)-алкилом, (С1-С6)-алкилом, NH2;
C(NH)(NH2), NH2, NH-(С1-С6)-алкил, N((С1-С6)-алкил)2, NH(С1-С7)-ацил, NH-CO-(С1-С6)-алкил, NH-СОО-(С1-С6)-алкил, NH-СО-арил, NH-СО-гетероцикл, NH-СОО-арил, NH-СОО-гетероцикл, NH-СО-NH-(С1-С6)-алкил, NH-СО-NH-арил, NH-СО-NH-гетероцикл, N(С1-С6)-алкил-СО-(С1-С6)-алкил, N(С1-С6)алкил-СОО-(С1-С6)-алкил, N(С1-С6)алкил-СО-арил, N(С1-С6)-алкил-СО-гетероцикл, N(С1-С6)-алкил-СОО-арил, N(С1-С6)-алкил-СОО-гетероцикл, N(С1-С6)алкил-СО-NH-(С1-С6)-алкил), N(С1-С6)-алкил-СО-NH-арил, N(С1-С6)-алкил-СО-NH-гетероцикл, N((С1-С6)-алкил)-СО-N-((С1-С6)-алкил)2, N((С1-С6)-алкил-СО-N((С1-С6)-алкил)арил, N((С1-С6)-алкил-СО-N((С1-С6)-алкил)-гетероцикл, N((С1-С6)-алкил)-СО-N-(арил)2, N((С1-С6)-алкил)-СО-N-(гетероцикл)2, N(арил)-СО-(С1-С6)-алкил, N(гетероцикл)-СО-(С1-С6)-алкил, N(арил)-СОО-(С1-С6)-алкил, N(гетероцикл)-СОО-(С1-С6)-алкил, N(арил)-СО-арил, N(гетероцикл)-СО-арил, N(арил)-СОО-арил, N(гетероцикл)-СОО-арил, N(арил)-СО-NH-(С1-С6)-алкил), N(гетероцикл)-СО-NH-(С1-С6)-алкил), N(арил)-СО-NH-арил, N(гетероцикл)-СО-NH-арил, N(арил)-СО-N-(С1-С6)-алкил)2, N(гетероцикл)-СО-N-(С1-С6)-алкил)2, N(арил)-СО-N((С1-С6)-алкил)-арил, N(гетероцикл)-СО-N((С1-С6)-алкил)-арил, N(арил)-СО-N-(арил)2, N(гетероцикл)-СО-N-(арил)2, арил, О-(СН2)n-арил, О-(СН2)n-гетероцикл, причем n может быть равно 0-6, причем арильный остаток или гетероциклический остаток может быть замещен 1-3 раза F, Cl, Br, I, ОН, CF3, NO2, CN, OCF3, O-(С1-С6)-алкилом, (С1-С6)-алкилом, NH2, NH(С1-С6)-алкилом, N((С1-С6)-алкилом)2, SO2-СН3, СООН, СОО-(С1-С6)-алкилом, CONH2.
Под гетероциклом или гетероциклическим остатком понимают кольца и циклические системы, которые, кроме углерода, содержат еще гетероатомы, такие как, например, азот, кислород или серу. В это определение входят также циклические системы, в которых гетероцикл или гетероциклический остаток является конденсированным с бензольным ядром.
Подходящими «гетероциклическими кольцами» или «гетероциклическими остатками» являются акридинил, азоцинил, бензимидазол, бензофурил, бензотиенил, бензотиофенил, бензоксазолил, бензтиазолил, бензтриазолил, бензтетразолил, бензизоксазолил, бензизотиазолил, бензимидазалинил, карбазолил, 4аН-карбазолил, карболинил, хиназолинил, хинолинил, 4Н-хинолизинил, хиноксалинил, хинуклидинил, хроманил, хроменил, циннолинил, декагидрохинолинил, 2Н,6Н-1,5,2-дитиазинил, дигидрофуро[2,3-b]тетрагидрофуран, фурил, фуразанил, имидазолидинил, имидазолинил, имдазолил, 1Н-индазолил, индолинил, индолизинил, индолил, 3Н-индолил, изобензофуранил, изохроманил, изоиндазолил, изоиндолинил, изоиндолил, изохинолинил (бензимидазолил), изотиазолил, изоксазолил, морфолинил, нафтиридинил, октагидроизохинолинил, оксадиазолил, 1,2,3-оксадиазолил, 1,2,4-оксадиазолил, 1,2,5-оксадиазолил, 1,3,4-оксадиазолил, оксазолидинил, оксазолил, оксазолидинил, пиримидинил, фенантридинил, фенантролинил, феназинил, фенотиазинил, феноксатиинил, феноксазинил, фталазинил, пиперазинил, пиперидинил, птеридинил, пуринил, пиранил, пиразинил, пиразолидинил, пиразолинил, пиразолил, пиридазинил, пиридооксазол, пиридоимидазол, пиридотиазол, пиридинил, пиридил, пиримидинил, пирролидинил, пирролинил, 2Н-пирролил, пирролил, тетрагидрофуранил, тетрагидроизохинолинил, тетрагидрохинолинил, 6Н-1,2,5-тиадазинил, тиазолил, 1,2,3-тиадиазолил, 1,2,4-тиадиазолил, 1,2,5-тиадиазолил, 1,3,4-тиадиазолил, тиенил, триазолил, тетразолил и ксантенил.
Пиридил обозначает как 2-, 3-, так и 4-пиридил. Тиенил обозначает как 2-, так и 3-тиенил. Фурил обозначает как 2-, так и 3-фурил.
Кроме того, в данное изобретение включены также соответствующие N-оксиды этих соединений, так, например, 1-окси-2-, 3- или 4-пиридил.
Кроме того, в данное изобретение включены одно- или многократно бензаннелированные производные этих гетероциклов.
Гетероциклические кольца или гетероциклические остатки могут быть одно- или многократно замещены подходящими группами, такими как, например:
F, Cl, Br, I, CF3, NO2, N3, CN, COOH, COO(С1-С6)-алкил, CONH2, CONH(С1-С6)-алкил, CON[(С1-С6)-алкил]2, циклоалкил, (С1-С10)-алкил, (С2-С6)-алкенил, (С2-С6-алкинил), О-(С1-С6)-алкил, О-СО-(С1-С6)-алкил, О-СО-(С1-С6)-арил, О-СО-(С1-С6)-гетероцикл;
РО3Н2, SO3H, SO2-NH2, SO2NH((С1-С6)-алкил, SO2N[(С1-С6)-алкил]2, S-(С1-С6)-алкил, S-(СН2)n-арил, S-(СН2)n-гетероцикл, SO-(С1-С6)-алкил, SO-(СН2)n-арил, SO-(СН2)n-гетероцикл, SO2-(С1-С6)-алкил, SO2-(СН2)n-арил, SO2-(СН2)n-гетероцикл, SO2-NH(СН2)n-арил, SO2-NH(СН2)n-гетероцикл, SO2-N(С1-С6)алкил)(СН2)n-арил, SO2-N(С1-С6)алкил((СН2)n-гетероцикл, SO2-N((СН2)n-арил)2, SO2-N((СН2)n-(гетероцикл)2, причем n может быть равно 0-6 и арильный остаток или гетероциклический остаток может быть замещен до двух раз F, Cl, Br, OH, CF3, NO2, CN, OCF3, O-(С1-С6)-алкилом, (С1-С6)-алкилом, NH2;
C(NH)(NH2), NH2, NH-(С1-С6)-алкил, N((С1-С6)-алкил)2, NH(С1-С7)-ацил, NH-CO-(С1-С6)-алкил, NH-СОО-(С1-С6)-алкил, NH-СО-арил, NH-СО-гетероцикл, NH-СОО-арил, NH-СОО-гетероцикл, NH-СО-NH-(С1-С6)-алкил, NH-СО-NH-арил, NH-СО-NH-гетероцикл, N(С1-С6)-алкил-СО-(С1-С6)-алкил, N(С1-С6)алкил-СОО-(С1-С6)-алкил, N(С1-С6)алкил-СО-арил, N(С1-С6)-алкил-СО-гетероцикл, N(С1-С6)-алкил-СОО-арил, N(С1-С6)-алкил-СОО-гетероцикл, N(С1-С6)алкил-СО-NH-(С1-С6)-алкил), N(С1-С6)-алкил-СО-NH-арил, N(С1-С6)-алкил-СО-NH-гетероцикл, N((С1-С6)-алкил)-СО-N-(С1-С6)-алкил)2, N((С1-С6)-алкил-СО-N((С1-С6)-алкил)арил, N((С1-С6)-алкил)-СО-N((С1-С6)-алкил)-гетероцикл, N((С1-С6)-алкил)-СО-N-(арил)2, N((С1-С6)-алкил)-СО-N-(гетероцикл)2, N(арил)-СО-(С1-С6)-алкил, N(гетероцикл)-СО-(С1-С6)-алкил, N(арил)-СОО-(С1-С6)-алкил, N(гетероцикл)-СОО-(С1-С6)-алкил, N(арил)-СО-арил, N(гетероцикл)-СО-арил, N(арил)-СОО-арил, N(гетероцикл)-СОО-арил, N(арил)-СО-NH-(С1-С6)-алкил), N(гетероцикл)-СО-NH-(С1-С6)-алкил), N(арил)-СО-NH-арил, N(гетероцикл)-СО-NH-арил, N(арил)-СО-N-(С1-С6)-алкил)2, N(гетероцикл)-СО-N-(С1-С6)-алкил)2, N(арил)-СО-N((С1-С6)-алкил)-арил, N(гетероцикл)-СО-N((С1-С6)-алкил)-арил, N(арил)-СО-N-(арил)2, N(гетероцикл)-СО-N-(арил)2, арил, О-(СН2)n-арил, О-(СН2)n-гетероцикл, причем n может быть равно 0-6, причем арильный остаток или гетероциклический остаток может быть замещен 1-3 раза F, Cl, Br, I, ОН, CF3, NO2, CN, OCF3, O-(С1-С6)-алкилом, (С1-С6)-алкилом, NH2, NH(С1-С6)-алкилом, N((С1-С6)-алкилом)2, SO2-СН3, СООН, СОО-(С1-С6)-алкилом, CONH2.
Количество соединения в соответствии с формулой I, которое требуется для достижения желаемого биологического эффекта, зависит от ряда факторов, например, выбранного конкретного соединения, предполагаемого применения, способа введения и клинического состояния пациента. Обычно суточная доза находится в диапазоне 0,3 мг – 100 мг (обычно 3 мг – 50 мг) на килограмм массы тела в день, например, 3-10 мг/кг/день. Внутривенная доза может, например, находиться в диапазоне 0,3 мг – 1,0 мг/кг, которая может вводиться в виде инфузии 10 нг – 100 нг на килограмм в минуту. Подходящие инфузионные растворы для этой цели могут содержать, например, 0,1 нг – 10 мг, обычно 1 нг – 10 мг на миллилитр. Отдельные дозы могут, например, содержать от 1 мг до 10 г активного вещества. Таким образом, ампулы для инъекций содержат, например, 1 мг – 100 мг, а перорально вводимые препараты отдельных доз, такие как, например, таблетки или капсулы, могут, например, содержать 1,0-1000 мг, обычно 10-600 мг. Для терапии вышеуказанных состояний соединения формулы I могут применяться сами в качестве соединения, но предпочтительно они находятся с переносимым носителем в форме фармацевтической композиции. Этот носитель должен быть, разумеется, переносимым, в том смысле, что он является совместимым с другими компонентами композиции и не является вредным для здоровья пациента. Этим носителем может быть твердое вещество или жидкость или и то, и другое, и предпочтительно его формуют с соединением в виде разовой дозы, например, в виде таблетки, которая может содержать 0,05 мас.% – 95 мас.% активного вещества. Могут присутствовать также дополнительные фармацевтически активные вещества, в том числе дополнительные соединения формулы I. Фармацевтические композиции данного изобретения могут быть приготовлены согласно одному из известных фармацевтических способов, которые по существу заключаются в том, что компоненты смешивают с фармакологически переносимыми носителями и/или вспомогательными веществами.
Фармацевтическими композициями данного изобретения являются такие композиции, которые пригодны для перорального, ректального, локального, перорального (например, сублингвального) и парентерального (например, подкожного, внутримышечного, интрадермального или внутривенного) введения, хотя способ введения в каждом отдельном случае зависит от вида и тяжести подлежащего лечению состояния и от вида применяемого соединения в соответствии с формулой I. К объему данного изобретения относятся также дражированные формы и дражированные формы пролонгированного высвобождения. Предпочтительными являются устойчивые к кислоте и желудочному соку формы. Подходящие устойчивые к желудочному соку покрытия включают ацетат-фталат целлюлозы, поливинилацетат-фталат, фталат гидроксипропилметилцеллюлозы и анионные полимеры метакриловой кислоты и метилового эфира метакриловой кислоты.
Подходящие фармацевтические соединения для орального введения могут находиться в отдельных разовых дозах, таких как, например, капсулы, капсулы с облатками, сосательные таблетки или таблетки, которые в каждом отдельном случае содержат определенное количество соединения формулы I; в виде порошка или гранулята; в виде раствора или суспензии в водной или неводной жидкости; или в виде эмульсии типа масло-в-воде или вода-в-масле. Эти композиции могут быть приготовлены, как уже упоминалось, согласно любому подходящему фармацевтическому способу, который включает стадию, на которой активное вещество и носитель (который может состоять из одного или нескольких дополнительных компонентов) приводят в контакт. Обычно эти композиции готовят равномерным и гомогенным смешиванием активного вещества с жидкими и/или тонкоизмельченными твердыми носителями, после чего, если желательно, этот продукт формуют. Так, может быть, например, приготовлена таблетка, прессованием или формованием порошка или гранулята соединения, в случае необходимости с одним или несколькими дополнительными компонентами. Прессованные таблетки могут быть изготовлены посредством таблетирования соединения в свободно текучей форме, например, в виде порошка или гранулята, в случае необходимости смешанного со связывающим агентом, смазывающим агентом, инертным разбавителем и/или одним (несколькими) поверхностно-активными/диспергирующими средствами, в подходящей машине. Сформованные таблетки могут быть приготовлены формованием порошкообразного, увлажненного инертным жидким разбавителем соединения в подходящей машине.
Фармацевтические композиции, подходящие для перорального (сублингвального) введения, включают сосательные таблетки, которые содержат соединение формулы I с вкусовым веществом, обычно сахарозой и аравийской камедью или трагакантом, и пастилки, которые включают это соединение в инертной основе, такой как желатин и глицерин или сахароза и аравийская камедь.
Подходящие фармацевтические композиции для парентерального введения включают предпочтительно стерильные водные композиции соединения формулы I, которые предпочтительно являются изотоничными с кровью предполагаемого реципиента. Эти композиции вводят предпочтительно внутривенно, хотя введение может также выполняться подкожно, внутримышечно или интрадермально в виде инъекции. Эти композиции могут быть предпочтительно приготовлены смешиванием соединения с водой и стерилизацией полученного раствора и доведением его до изотоничности с кровью. Инъецируемые композиции данного изобретения содержат обычно 0,1-5 мас.% активного соединения.
Подходящие для ректального введения фармацевтические композиции находятся предпочтительно в виде содержащих разовую дозу суппозиториев. Они могут быть приготовлены смешиванием соединения формулы I с одним или несколькими обычными твердыми носителями, например, маслом какао, и внесением полученной смеси в форму.
Подходящие фармацевтические композиции для местного (локального) применения на коже находятся предпочтительно в виде мази, крема, лосьона, пасты, спрея, аэрозоля или масла. В качестве носителей могут использоваться вазелин, ланолин, полиэтиленгликоли, спирты и комбинации двух или нескольких из этих веществ. Активное вещество обычно присутствует в концентрации 0,1-15 мас.% композиции, например, 0,5-2 мас.%.
Возможно также трансдермальное введение. Подходящие фармацевтические композиции для трансдермальных применений могут находиться в виде отдельных пластырей, которые пригодны для долгосрочного плотного контакта с эпидермисом пациента. Такие пластыри содержат активное вещество, в случае необходимости растворенное в забуференном водном растворе и/или диспергированное в адгезионном средстве или диспергированное в полимере. Подходящая концентрация активного вещества составляет приблизительно 1%-35%, предпочтительно приблизительно 3%-15%. В качестве особой возможности активное вещество, как, например, описано в Pharmaceutical Research, 2(6): 318 (1986), может высвобождаться посредством электротранспорта или ионофореза.
Соединение (соединения) формулы (I) могут также вводиться в комбинации с дополнительными активными веществами.
В качестве дополнительных активных веществ для этих комбинированных препаратов пригодны:
Все антидиабетики, которые упомянуты в Roten Liste 2003, Kapitel 12. Они могут комбинироваться с соединениями формулы I данного изобретения, в частности, для синергического улучшения действия. Введение этой комбинации активных веществ может выполняться либо раздельным предоставлением активных веществ пациентам, либо в форме комбинированных препаратов, где несколько активных веществ присутствуют в одной фармацевтической композиции. Большинство из приведенных далее активных веществ опубликованы в USP Dictionary of USAN and International Drug Names, US Pharmacopeia, Rockville 2001.
Антидиабетики включают инсулин и производные инсулина, такие как, например, Lantus® (см. www.lantus.com) или HMR 1964, быстродействующие инсулины (см. US 6221633), производные GLP-1, такие как, например, те, которые описаны в WO 97/26265, WO 99/03861, WO 01/04156, WO 00/34331, WO 00/34332, WO 91/11457 и US 6380357, а также перорально эффективные гипогликемические активные вещества.
Перорально эффективные гипогликемические активные вещества включают предпочтительно сульфонилмочевины, бигуанидины, меглитиниды, оксадиазолидиндионы, тиазолидиндионы, ингибиторы глюкозидазы, антагонисты глюкагона, GLP-1-агонисты, открыватели калиевых каналов, такие как, например, те, которые описаны в WO 97/26265 и WO 99/03861 Novo Nordisk A/S, сенсибилизатор инсулина, ингибиторы ферментов печени, которые участвуют в стимуляции глюконеогенеза и/или гликогенолиза, модуляторы поглощения глюкозы, изменяющие жировой обмен соединения, такие как антигиперлипидемические активные вещества и антилипидемические активные вещества, соединения, которые уменьшают потребление пищевых продуктов, агонисты PPAR и PXR и активные вещества, которые действует на АТФ-зависимый калиевый канал бета-клеток.
В одном варианте осуществления данного изобретения соединения формулы I вводят в комбинации с ингибитором HMGCoA-редуктазы, таким как симвастатин, флувастатин, правастатин, ловастатин, аторвастатин, церивастатин, розувастатин.
В другом варианте осуществления данного изобретения соединения формулы I вводят в комбинации с ингибитором резорбции холестерина, таким как, например, эзетимиб, тиквезид, памаквезид.
В одном варианте осуществления данного изобретения соединения формулы I вводят в комбинации с агонистом PPAR- , таким как розиглитазон, пиоглитазон, JTT-501, G1 262570.
В одном варианте осуществления данного изобретения соединения формулы I вводят в комбинации с агонистом PPAR- , таким как, например, GW 9578, GW 7647.
В одном варианте осуществления данного изобретения соединения формулы I вводят в комбинации со смешанными агонистами PPAR- / , такими как, например, GW 1536, AVE 8042, AVE 8134, AVE 0847, или такими, как описанные в РСТ/US00/11833, РСТ/US 11490, DE10142734.4.
В одном варианте осуществления данного изобретения соединения формулы I вводят в комбинации с фибратом, таким как, например, фенофибрат, клофибрат, безафибрат.
В одном варианте осуществления данного изобретения соединения формулы I вводят в комбинации с МТР-ингибитором, таким как, например, имплитапид, BMS-201038, R-103757.
В одном варианте осуществления данного изобретения соединения формулы I вводят в комбинации с ингибиторами резорбции желчных кислот (см., например, US 6245744 или US 6221897), такими как, например, HMR 1741.
В одном варианте осуществления данного изобретения соединения формулы I вводят в комбинации с СЕТР-ингибитором, таким как, например, JTT-705.
В одном варианте осуществления данного изобретения соединения формулы I вводят в комбинации с полимерным адсорбентом желчных кислот, таким как, например, холестирамин, колесевелам.
В одном варианте осуществления данного изобретения соединения формулы I вводят в комбинации с индуктором LDL-рецептора (см. US 6342512), таким как, например, HMR1171, HMR1586.
В одном варианте осуществления данного изобретения соединения формулы I вводят в комбинации с АСАТ-ингибитором, таким как, например, авасимиб.
В одном варианте осуществления данного изобретения соединения формулы I вводят в комбинации с антиоксидантами, такими как, например, ОРС-14117.
В одном варианте осуществления данного изобретения соединения формулы I вводят в комбинации с ингибитором липопротеинлипазы, таким как, например, NO-1886.
В одном варианте осуществления данного изобретения соединения формулы I вводят в комбинации с ингибитором АТФ-цитратлиазы, таким как, например, SB-204990.
В одном варианте осуществления данного изобретения соединения формулы I вводят в комбинации с ингибитором скваленсинтетазы, таким как, например, BMS-188494.
В одном варианте осуществления данного изобретения соединения формулы I вводят в комбинации с антагонистом липопротеина(ов), таким как, например, CI-1027 или никотиновая кислота.
В одном варианте осуществления данного изобретения соединения формулы I вводят в комбинации с ингибитором липазы, таким как, например, орлистат.
В одном варианте осуществления данного изобретения соединения формулы I вводят в комбинации с инсулином.
В одном варианте осуществления данного изобретения соединения формулы I вводят в комбинации с сульфонилмочевиной, такой как, например, толбутамид, глибенкламид, глипизид или глимепирид.
В одном варианте осуществления данного изобретения соединения формулы I вводят в комбинации с бигуанидом, таким как, например, метформин.
Еще в одном варианте осуществления данного изобретения соединения формулы I вводят в комбинации с меглитинидом, таким как, например, репаглинид.
В одном варианте осуществления данного изобретения соединения формулы I вводят в комбинации с тиазолидиндионом, таким как, например, троглитазон, циглитазон, пиоглитазон, розиглитазон или описанными в WO 97/41097 Dr. Reddy’s Research Foundation соединениями, в частности, 5-[[4-[3,4-дигидро-3-метил-4-оксо-2-хиназолинилметокси]фенил]метил]-2,4-тиазолидиндионом.
В одном варианте осуществления данного изобретения соединения формулы I вводят в комбинации с ингибитором -глюкозидазы, таким как, например, миглитол или акарбоза.
В одном варианте осуществления данного изобретения соединения формулы I вводят в комбинации с активным веществом, которое действует на АТФ-зависимый калиевый канал бета-клеток, таким как, например, толбутамид, глибенкламид, глипизид, глимепирид или репаглинид.
В одном варианте осуществления данного изобретения соединения формулы I вводят в комбинации с более чем одним из вышеназванных соединений, например, в комбинации с сульфонилмочевиной и метформином, сульфонилмочевиной и акарбозой, репаглинидом и метформином, инсулином и сульфонилмочевиной, инсулином и метформином, инсулином и троглитазоном, инсулином и ловастатином и т.д.
В одном следующем варианте осуществления данного изобретения соединения формулы I вводят в комбинации с CART-модуляторами (см. “Cocaine-amphetamine-regulated transcript influences energy metabolism, anxiety and gastric emptying in mice” Asakawa, A, et al., M.: Hormone and Metabolic Research (2001), 33(9), 554-558), NPY-антагонистами, такими как, например, {4-[(4-аминохиназолин-2-иламино)метил]циклогексилметил}амид нафталин-1-сульфоновой кислоты; гидрохлорид (CGP 71683A)), агонисты МС4 (например, [2-(3а-бензил-2-метил-3-оксо-2,3,3а,4,6,7-гексагидропиразоло[4,3-с]пиридин-5-ил)-1-(4-хлорфенил)-2-оксоэтил]амид 1-амино-1,2,3,4-тетрагидронафталин-2-карбоновой кислоты; (WO 01/91752)), антагонисты орексина (например, 1-(2-метилбензоксазол-6-мл)-3-[1,5]нафтиридин-4-илмочевина; гидрохлорид (SB-334867-A)), Н3-антагонисты (соль щавелевой кислоты (3-циклогексил-1-(4,4-диметил-1,4,6,7-тетрагидроимидазо[4,5-c]пиридин-5-ил)пропан-1-она (WO 00/63208)); TNF-агонисты, CRF-антагонисты (например, [2-метил-9-(2,4,6-триметилфенил)-9Н-1,3,9-триазафлуорен-4-ил]дипропиламин (WO 00/66585)), CRF BP-антагонисты (например, урокортин), агонисты урокортина, 3-агонисты (например, 1-(4-хлор-3-метансульфонилметилфенил)-2-[2-(2,3-диметил-1Н-индол-6-илокси)этиламино]этанол; гидрохлорид (WO 01/83451)), MSH агонисты меланоцитстимулирующего гормона, агонисты ССК-А (например, соль трифторуксусной кислоты {2-[4-(4-хлор-2,5-диметоксифенил)-5-(2-циклогексилэтил)тиазол-2-илкарбамоил)-5,7-диметилиндол-1-ил}уксусной кислоты (WO 99/15525)); ингибиторы поглощения серотонина (например, дексфенфлурамин), смешанные серотонин- и норадренергические соединения (например, WO 00/71549), 5НТ-агонисты, например, соль щавелевой кислоты 1-(3-этилбензофуран-7-ил)пиперазина (WO 01/09111), агонисты бомбезина, антагонисты галанина, гормон роста (например, гормон роста человека), соединения, высвобождающие гормон роста (трет-бутиловый эфир (6-бензилокси-1-(2-диизопропиламиноэтилкарбамоил)-3.4-дигидро-1Н-изохинолин-2-карбоновой кислоты (WO 01/85695)), TRH-агонисты (см., например, ЕР 0462884), разделяющие белок 2 или белок 3 модуляторы, агонисты лептина (см., например, Lee, Daniel W.; Leinung, Matthew C.; Rozhavskaya-Arena, Marina; Grasso, Patricia. Leptin agonists as a potential approach to the treatment of obesity. Drugs of the Future (2001), 26(9), 873-881), DA-агонисты (бромокриптин, допрексин), ингибиторы липазы/амилазы (например, WO 00/40569), модуляторы PPAR (например, WO 00/78312), модуляторы RXR или TR- -агонисты.
В одном варианте осуществления данного изобретения соединения формулы I используют дополнительное активное вещество лептин; см., например, “Perspectives in the therapeutic use of leptin”, Salvador, Javier; Gomez-Ambrosi, Javier; Fruhbeck, Gema, Expert Opinion on Pharmacology (2001), 2(10), 1615-1622.
В одном варианте осуществления данного изобретения соединения формулы I используют дополнительное активное вещество дексамфетамин или амфетамин.
В одном варианте осуществления данного изобретения соединения формулы I используют дополнительное активное вещество, снижающее кровяное давление, такое как, например, ACE-ингибитор.
В одном варианте осуществления данного изобретения соединения формулы I используют дополнительное активное вещество фенфлурамин или дексфенфлурамин.
Еще в одном варианте осуществления используют дополнительное активное вещество сибутрамин.
В одном варианте осуществления данного изобретения соединения формулы I используют дополнительное активное вещество орлистат.
В одном варианте осуществления данного изобретения соединения формулы I используют дополнительное активное вещество мазиндол или фентермин.
В одном варианте осуществления соединения формулы I вводят в комбинации с балластными веществами, предпочтительно нерастворимыми балластными веществами (см., например, Carob/Caromax® (Zunft H. J.; et al., Carob pulp preparation for treatment of hypercholesterolemia, ADVANCES IN THERAPY (2001 Sep-Oct), 18(5), 230-6). Caromax® является продуктом, содержащим вещества рожкового дерева, фирмы Nutrinova, Nutrition Specialities & Food Ingredients GmbH, Industriepark Höchst, 65926 Frankfurt/Main). Комбинация с Caromax® может находиться в композиции или вводиться путем раздельного введения соединений формулы I и Caromax®. Caromax® может при этом вводиться также в виде пищевых продуктов, например, в хлебобулочных изделиях или батончиках мюсли.
Понятно, что каждая подходящая комбинация соединений данного изобретения с одним или несколькими вышеуказанными соединениями и выбранными одним или несколькими дополнительными фармакологически эффективными веществами рассматривается как подпадающая под объем притязаний данного изобретения.

Приведенные далее примеры служат для разъяснения данного изобретения, но его не ограничивают.

I
| Пример |
R1 |
R2 |
R3 |
R4 |
R5 |
R6 |
R7 |
R8 |
Fp. |
| 1 |
 |
H |
H |
H |
H |
H |
H |
H |
|
| 2 |
 |
H |
H |
H |
H |
H |
H |
H |
|
| 3 |
 |
H |
H |
H |
H |
H |
H |
H |
|
| 4 |
 |
H |
H |
H |
H |
H |
H |
H |
|
| 5 |
 |
CH3 |
H |
H |
H |
H |
H |
H |
|
| 6 |
 |
H |
H |
H |
H |
H |
H |
H |
|
| 7 |
 |
H |
H |
H |
H |
H |
H |
H |
|
| 8 |
 |
H |
H |
H |
H |
H |
H |
H |
|
| 9 |
 |
H |
H |
H |
H |
H |
H |
H |
|
| 10 |
 |
H |
H |
H |
H |
H |
H |
H |
|
| 11 |
 |
H |
H |
H |
H |
H |
H |
H |
|
| 12 |
 |
H |
H |
H |
H |
H |
H |
H |
|
| 13 |
COOH |
H |
H |
H |
H |
H |
H |
H |
|
| 14 |
 |
H |
H |
H |
H |
H |
H |
H |
|
| 15 |
 |
H |
H |
H |
H |
H |
H |
H |
|
| 16 |
 |
H |
H |
H |
H |
H |
H |
H |
|
| 17 |
 |
H |
H |
H |
H |
H |
H |
H |
|
| 18 |
 |
H |
H |
H |
H |
H |
H |
H |
|
| 19 |
 |
H |
H |
H |
H |
H |
H |
H |
|
| 20 |
 |
H |
H |
H |
H |
H |
H |
H |
|
| 21 |
 |
H |
H |
H |
H |
H |
H |
H |
|
| 22 |
 |
H |
H |
H |
H |
H |
H |
H |
|
| 23 |
 |
H |
H |
H |
H |
H |
H |
H |
|
| 24 |
 |
H |
H |
H |
H |
H |
H |
H |
|
| 25 |
 |
H |
H |
H |
H |
H |
H |
H |
|
| 26 |
 |
 |
H |
H |
H |
H |
H |
H |
|
| 27 |
 |
H |
H |
H |
H |
H |
H |
H |
|
| 28 |
 |
H |
H |
H |
H |
H |
H |
H |
|
| 29 |
 |
H |
H |
H |
H |
H |
H |
H |
|
| 30 |
 |
H |
H |
H |
H |
H |
H |
H |
|
| 31 |
 |
H |
H |
H |
H |
H |
H |
H |
|
| 32 |
 |
H |
H |
H |
H |
H |
H |
H |
|
| 33 |
 |
 |
H |
H |
H |
H |
H |
H |
|
| 34 |
 |
H |
H |
H |
H |
H |
H |
H |
|
| 35 |
 |
H |
H |
H |
H |
H |
H |
H |
|
| 36 |
 |
H |
H |
H |
H |
H |
H |
H |
|
| 37 |
 |
 |
H |
H |
H |
H |
H |
H |
|
| 38 |
 |
CH3 |
H |
H |
H |
H |
H |
H |
|
| 39 |
 |
 |
H |
H |
H |
H |
H |
H |
|
| 40 |
 |
CH3 |
H |
H |
H |
H |
H |
H |
|
| 41 |
 |
CH3 |
H |
H |
H |
H |
H |
H |
|
| 42 |
 |
CH3 |
H |
H |
H |
H |
H |
H |
|
| 43 |
 |
H |
H |
H |
H |
H |
H |
H |
|
| 44 |
 |
H |
H |
H |
H |
H |
H |
H |
|
| 45 |
 |
H |
H |
H |
H |
H |
H |
H |
|
| 46 |
 |
H |
H |
H |
H |
H |
H |
H |
|
| 47 |
 |
H |
H |
H |
H |
H |
H |
H |
|
| 48 |
 |
H |
H |
H |
H |
H |
H |
H |
|
| 49 |
 |
H |
H |
H |
H |
H |
H |
H |
|
| 50 |
 |
H |
H |
H |
H |
H |
H |
H |
|
| 51 |
 |
H |
H |
H |
H |
H |
H |
H |
|
| 52 |
 |
H |
H |
H |
H |
H |
H |
H |
|
| 53 |
 |
H |
H |
H |
H |
H |
H |
H |
|
| 54 |
 |
H |
H |
H |
H |
H |
H |
H |
|
| 55 |
 |
H |
H |
H |
H |
H |
H |
H |
|
| 56 |
 |
H |
H |
H |
H |
H |
H |
H |
|
| 57 |
 |
H |
H |
H |
H |
H |
H |
H |
|
| 58 |
 |
H |
 |
H |
H |
H |
H |
H |
|
| 64 |
 |
H |
 |
H |
H |
H |
H |
H |
|
| 65 |
 |
H |
 |
H |
H |
H |
H |
H |
|
| 66 |
 |
H |
 |
H |
H |
H |
H |
H |
|
| 67 |
 |
H |
H |
H |
H |
H |
H |
H |
|
| 68 |
 |
H |
H |
H |
H |
H |
H |
H |
|
| 69 |
 |
H |
H |
H |
H |
H |
H |
H |
|
| 72 |
 |
H |
H |
H |
H |
H |
H |
H |
H |
| 73 |
 |
H |
H |
H |
H |
H |
H |
H |
H |
| 74 |
 |
H |
H |
H |
H |
H |
H |
H |
|
| 75 |
 |
 |
H |
H |
H |
H |
H |
H |
|
| 76 |
 |
H |
H |
H |
H |
H |
H |
H |
|
| 77 |
 |
H |
H |
H |
H |
H |
H |
H |
|
| 78 |
 |
H |
H |
H |
H |
H |
H |
H |
|
| 79 |
 |
H |
H |
H |
H |
H |
H |
H |
|
| 80 |
 |
H |
H |
H |
H |
H |
H |
H |
|
| 81 |
 |
H |
H |
H |
H |
H |
H |
H |
|
| 82 |
 |
H |
H |
H |
H |
H |
H |
H |
|
| 83 |
 |
H |
H |
H |
H |
H |
H |
H |
|
| 84 |
 |
H |
H |
H |
H |
H |
H |
H |
|
| 85 |
 |
H |
H |
H |
H |
H |
H |
H |
|
| 86 |
 |
H |
H |
H |
H |
H |
H |
H |
|
| 87 |
 |
H |
H |
H |
H |
H |
H |
H |
|
| 88 |
 |
H |
H |
H |
H |
H |
H |
H |
|
| 89 |
 |
H |
H |
H |
H |
H |
H |
H |
|
| 90 |
 |
H |
H |
H |
H |
H |
H |
H |
|
| 91 |
 |
H |
H |
H |
H |
H |
H |
H |
|
| 92 |
 |
H |
H |
H |
H |
H |
H |
H |
|
| 93 |
 |
H |
H |
H |
H |
H |
H |
H |
|
| 94 |
 |
H |
H |
H |
H |
H |
H |
H |
|
| 95 |
 |
H |
H |
H |
H |
H |
H |
H |
|
| 96 |
 |
H |
H |
H |
H |
H |
H |
H |
|
| 106 |
 |
H |
H |
H |
H |
H |
H |
H |
|
| 107 |
 |
H |
 |
H |
H |
H |
H |
H |
|
| 108 |
 |
 |
 |
H |
H |
H |
H |
H |
|
| 109 |
 |
 |
 |
H |
H |
H |
H |
H |
|
| 110 |
 |
CH3 |
 |
H |
H |
H |
H |
H |
|
| 111 |
 |
 |
 |
H |
H |
H |
H |
H |
|
| 114 |
 |
H |
 |
H |
H |
H |
H |
H |
|
| 115 |
 |
H |
 |
H |
H |
H |
H |
H |
|
| 116 |
 |
H |
 |
H |
H |
H |
H |
H |
|
| 117 |
 |
H |
 |
H |
H |
H |
H |
H |
|
| 118 |
 |
H |
 |
H |
H |
H |
H |
H |
|
| 119 |
 |
H |
 |
H |
H |
H |
H |
H |
|
| 120 |
 |
H |
H |
H |
H |
H |
H |
H |
|
| 121 |
 |
H |
 |
H |
H |
H |
H |
H |
|
| 122 |
 |
H |
 |
H |
H |
H |
H |
H |
|
| 123 |
 |
H |
 |
H |
H |
H |
H |
H |
|
| 124 |
 |
H |
 |
H |
H |
H |
H |
H |
|
| 125 |
 |
 |
H |
H |
H |
H |
H |
H |
|
| 126 |
 |
 |
H |
H |
H |
H |
H |
H |
|
| 127 |
 |
 |
H |
H |
H |
H |
H |
H |
|
| 128 |
 |
H |
 |
H |
H |
H |
H |
H |
|
| 129 |
 |
H |
 |
H |
H |
H |
H |
H |
|
| 130 |
 |
H |
 |
H |
H |
H |
H |
H |
|
| 131 |
 |
H |
 |
H |
H |
H |
H |
H |
|
| 132 |
 |
H |
H |
H |
H |
H |
H |
H |
|
| 133 |
 |
H |
 |
H |
H |
H |
H |
H |
|
| 134 |
 |
H |
 |
H |
H |
H |
H |
H |
|
| 135 |
 |
H |
H |
H |
H |
H |
H |
H |
|
| 138 |
 |
H |
H |
H |
H |
H |
H |
H |
|
| 139 |
 |
H |
 |
H |
H |
H |
H |
H |
|
Эффективность соединений испытывали следующим образом.
Ферментативные тест-системы для обнаружения ингибирования фосфатазы
Соединения формулы I испытывали в анализе in vitro на их ингибирующее фосфатазу действие. Получение фермента и проведение этого анализа выполняли следующим образом.
Получение препарата фермента:
А) Культура клеток:
Клетки Sf9 (тип клеток Spodoptera frugiperda, получены из Invitrogen) культивировали во вращаемых склянках при 28°С в дополненной Grace среде (Gibco BRL) с 10% инактивированной нагреванием фетальной телячьей сывороткой (Gibco BRL) в соответствии с протоколом Summers and Smith (A Manual for Methods for Baculovirus Vectors and Insect Culture Procedures [Bulletin No. 15555]. Texas A & M University, Texas Agricultural Experiment Station, College Station, TX, 1987).
Конструирование рекомбинантных бакуловирусных векторов трансфекции: кДНК, кодирующую регуляторные и каталитические домены PTP1B человека, но без карбоксиконцевых гидрофобных доменов (соответственно 1-299 аминокислот) получали полимеразной цепной реакцией с использованием праймера с добавленными сайтами клонирования и подходящими кДНК-матрицами (полученными, например, из Invitrogen) и затем клонировали в бакуловирусных экспрессирующих векторах (Amersham Pharmacia Biotech). Эти рекомбинантные бакуловирусы получали с использованием системы экспрессии бакуловируса Bac-to-Bac (полученной из Gibco BRL). Этот ген клонировали в донорскую плазмиду pFASTBAC (полученную из Life Technologies). Полученную плазмиду трансформировали в компетентные клетки Escherichia coli DH10BAC (полученные из Life Technologies). После транспозиции и отбора с использованием антибиотиков эту рекомбинантную плазмидную ДНК отобранных колоний Escherichia coli выделяли и затем использовали для трансфекции клеток Sf9 насекомых. Вирусную частицу в среде супернатанта размножали три раза, пока не получали вирусный исходный объем 500 мл.
В) Получение рекомбинантного белка:
Инфицирование бакуловирусом вращающейся культуры 500 мл клеток Sf9 проводили по существу, как описано Summers and Smith (см. выше). Клетки Sf9 при плотности 1-3×106 клеток/мл осаждали центрифугированием при 300 g в течение 5 минут, супернатант удаляли и клетки ресуспендировали при плотности 1×107 клеток/мл в подходящем исходном растворе рекомбинантного вируса (MOI (множественность заражения) 10). После осторожного встряхивания в течение 1,5 часов при комнатной температуре добавляли свежую среду, чтобы получить плотность клеток 1×106 клеток/мл. Затем эти клетки культивировали в суспензии при 28°С в течение подходящих периодов после постинфекции.
С) Клеточное фракционирование и общие клеточные экстракты инфицированных клеток Sf9:
После постинфекции аликвоты одного анализа экспрессии белков подвергали электрофорезу в ДСН-ПААГ и Вестерн-блот-анализу. Фракционирование клеток проводили, как описано (Cromlish, W. and Kennedy, B. Biochem. Pharmacol. 52: 1777-1785, 1996). Общие экстракты клеток получали из аликвоты 1 мл инфицированных клеток Sf9 после определенных периодов постинфекции. Осажденные клетки (300×g, 5 минут) промывали один раз в забуференном фосфатом солевом растворе (4°С), ресуспендировали в 50 мкл воды и разрушали повторяемым замораживанием/оттаиванием. Концентрацию белка определяли при помощи метода Бредфорда и бычьего сывороточного альбумина в качестве стандарта.
Проведение анализа:
А) Дефосфорилирование фосфопептида:
Этот анализ основывается на высвобождении фосфата из консенсусного субстратного пептида, который обнаруживается в области наномолярных концентраций, при помощи метода с малахитовым зеленым красителем-молибдатом аммония (Lanzetta, P.A., Alvarez, L.J., Reinbach, P.S., Candia, O.A. Anal Biochem. 100: 95-97, 1979), адаптированного для формата микропланшетов. Этот додекатрисфосфопептид TRDIYETDYYRK (Biotrend, Köln) соответствует аминокислотам 1142-1153 каталитических доменов рецептора инсулина и (ауто)фосфорилируется при остатках тирозина 1146, 1150 и 1151. Эту рекомбинантную hPTP1B разбавляли буфером для анализа (40 мМ Трис/HCl, рН 7,4, 1 мМ ЭДТА, 20 мМ ДТТ) соответственно активности 1000-1500 нмоль/мин/мг белка и затем (одну порцию 20 мкл) предынкубировали (15 минут, 30°С) в отсутствие или в присутствии тест-вещества (5 мкл) в желаемой концентрации (конечная концентрация ДМСО 2% является максимальной) в общем объеме 90 мкл (буфер для анализа). Для начала реакции дефосфорилирования пептидный субстрат (10 мкл, подогретый предварительно до 30°С) добавляли к предынкубированному препарату фермента с тест-веществом или без тест-вещества (конечная концентрация 0,2-200 мкМ) и инкубирование продолжали в течение 1 часа. Реакцию заканчивали добавлением 100 мкл гидрохлорида малахитового зеленого (0,45%, 3 части), тетрагидрата молибдата аммония (4,2% в 4 н HCl, 1 часть) и 0,5% Твина 20 в качестве стоп-раствора. После 30 минут инкубирования при 22°С для развития окраски определяли поглощение при 650 нм при помощи прибора для микротитрационных планшетов (Molecular Devices). Пробы и пустые контроли измеряли в трех повторностях. Активность PTP1B рассчитывали в виде наномолей высвобожденного фосфата в минуту и на мг белка с фосфатом калия в качестве стандарта. Ингибирование рекомбинантной hPTP1B тест-веществами рассчитывали в виде процента фосфатазного контроля. Показатели IC50 показали значимое соответствие с нелинейными логистическими кривыми регрессии с четырьмя параметрами.
В) Отщепление п-нитрофенилфосфата:
Этот анализ основан на изменении поглощения нефизиологического субстрата п-нитрофенилфосфата во время расщепления до нитрофенола при стандартных условиях (Tonks, N.K., Diltz, C.D.; Fischer, E.H. J. Biol. Chem. 263: 6731-6737, 1988; Burke T.R., Ye, B., Yan, X.J., Wang, S.M., Jia, Z.C., Chen, L., Zhang, Z.Y., Barford, D. Biochemistry 35: 15989-15996, 1996). Ингибиторы пипетируют в подходящем разведении в реакционные смеси, которые содержат 0,5-5 мМ п-нитрофенилфосфат. Использовали следующие буферы (общий объем 100 мкл): (а) 100 мМ ацетат натрия (рН 5,5), 50 мМ NaCl, 0,1% (масса/объем) бычий сывороточный альбумин, 5 мМ глутатион, 5 мМ ДТТ, 0,4 мМ ЭГТА и 1 мМ ЭДТА; (b) 50 мМ HEPES/КОН (рН 7,4), 100 мМ NaCl, 0,1% (масса/объем) бычий сывороточный альбумин, 5 мМ глутатион, 5 мМ ДТТ и 1 мМ ЭДТА. Реакцию начинали добавлением фермента и проводили в микротитрационных планшетах при 25°С в течение 1 часа. Реакцию заканчивали добавлением 100 мкл 0,2 н. NaOH. Активности фермента определяли измерением поглощения при 405 нм с соответствующими поправками на поглощение тест-веществ и п-нитрофенилфосфата. Результаты выражали в виде процента от контроля, сравнивая количество образовавшегося п-нитрофенола в обработанных тест-веществом пробах (нмоль/мин/мг белка) с количеством в необработанных пробах. Рассчитывали средний показатель и стандартное отклонение, показатели IC50 определяли регрессионным анализом линейной части кривых ингибирования.
Таблица 2 Биологическая активность |
| Пример |
IC-50 (мкМ) |
| 1 |
>80 |
| 2 |
27,8 |
| 3 |
8,8 |
| 4 |
6,2 |
| 5 |
15,9 |
| 6 |
48,0 |
| 7 |
7,9 |
| 8 |
5,9 |
| 9 |
6,3 |
| 10 |
5,3 |
| 11 |
6,2 |
| 12 |
>80 |
| 13 |
>80 |
| 14 |
2,77 |
Из этой таблицы можно видеть, что соединения формулы I ингибируют активность фосфотирозинфосфатазы 1В (PTP1B) и вследствие этого пригодны для понижения уровня сахара в крови. Таким образом, они пригодны, в частности, для лечения диабета типа I и II, инсулинорезистентности, дислипидемий, метаболического синдрома/синдрома Х, болезненной полноты и снижения массы в млекопитающих. Кроме того, соединения формулы I, вследствие их ингибирования PTP1B, пригодны для лечения гиперглицеридемии, высокого кровяного давления, атеросклероза, нарушения функции иммунной системы, аутоиммунных заболеваний, аллергических болезней, таких как, например, астма, артрит, остеоартрит, остеопороз, нарушений пролиферации, таких как рак и псориаз, заболеваний с уменьшенным или увеличенным продуцированием факторов роста, гормонов или цитокинов, которые запускают высвобождение гормонов роста.
Эти соединения пригодны также для лечения заболеваний нервной системы, таких как, например, болезнь Альцгеймера или рассеянный склероз.
Эти соединения пригодны также для лечения нарушений восприятия и других психиатрических показаний, таких как, например, депрессии, состояния страха, неврозы, связанные со страхом, шизофрения, для лечения нарушений, ассоциированных с циркадным ритмом и для лечения злоупотребления лекарственными средствами.
Кроме того, эти соединения пригодны также для лечения нарушений сна, бессонницы, женских и мужских сексуальных нарушений, воспалений, угрей, пигментирования кожи, нарушений стероидного обмена, кожных болезней и микозов.
Далее будет подробно описано получение нескольких примеров, остальные соединения формулы I получали аналогичным образом:
Экспериментальная часть:

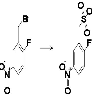
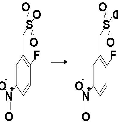
К раствору Na2SO3 (27,36 г, 0,128 моль) в Н2О (375 мл) добавляют раствор 2-фтор-5-нитробензилбромида (30 г, 0,128 моль) в ацетонитриле (250 мл) и эту смесь перемешивают в течение 24 часов при комнатной температуре. Растворитель удаляют в вакууме, остаток перемешивают со 100 мл изопропанола, твердое вещество отфильтровывают и промывают небольшим количеством изопропанола или диэтилового эфира.
Выход: 28,15 г

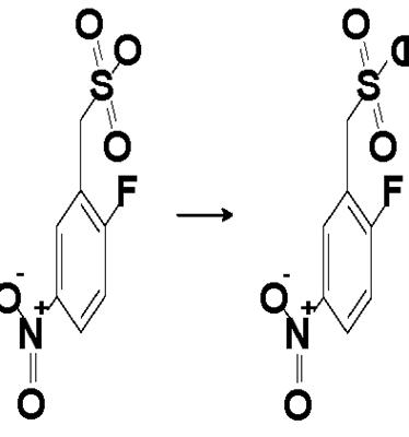
Натриевую соль сульфоновой кислоты 1 (35,19 г, 0,1368 моль) помещают в POCl3 (430 мл) и затем добавляют PCl5 (28,78 г, 0,137 моль). Смесь нагревают с обратным холодильником в течение 5 часов при дефлегмации. Для обработки упаривают в вакууме и остаток выливают на смесь воды со льдом. Продукт реакции осаждается при этом в виде светло-желтого твердого вещества, которое отфильтровывают.
Выход: 30,3 г

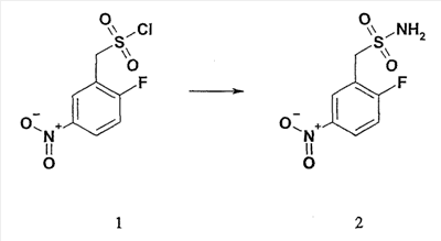
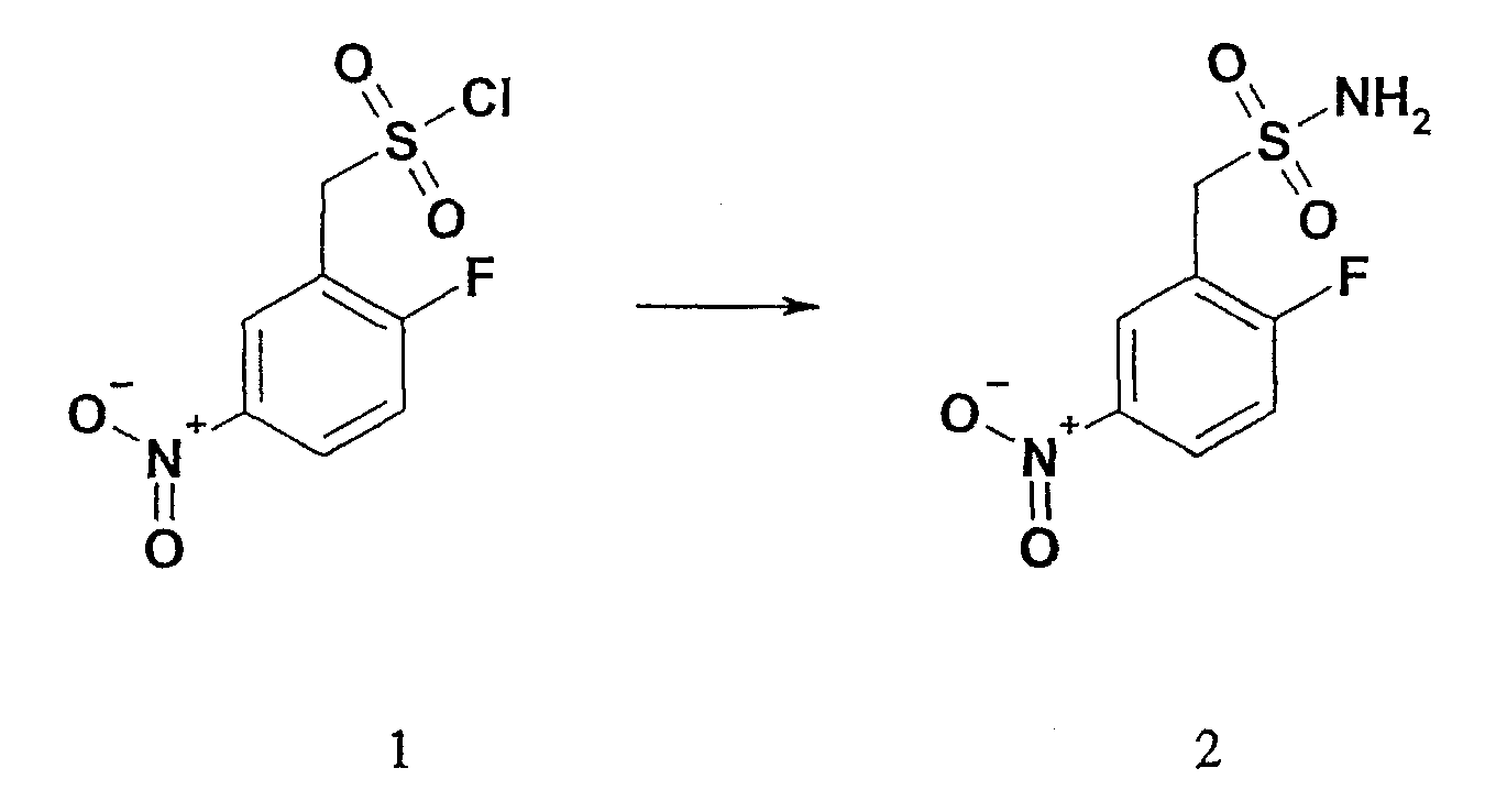
Раствор хлорангидрида сульфоновой кислоты 1 (30,3 г, 0,12 моль) в CH2Cl2 (125 мл) добавляют по каплям к концентрированному аммиаку (90 мл, 1,2 моль) при комнатной температуре. Смесь перемешивают 20 часов при комнатной температуре и затем подкисляют HCl (1 н.) до рН 1. Затем органическую фазу отгоняют при пониженном давлении, причем продукт реакции осаждается в виде светло-желтого твердого вещества. Затем этот продукт реакции отфильтровывают.
Выход: 25,01 г (89,4%).

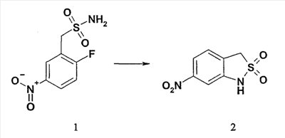
К раствору соединения 1 (25 г, 0,107 моль) в ДМФ (1 л) добавляют при комнатной температуре диазабициклоундецен (34,1 г, 33,42 мл, 0,22 моль) и реакционную смесь перемешивают 2 часа при 130°С. После этого растворитель отгоняют в вакууме, остаток смешивают с водой (400 мл), смешивают с HCl (2 н., 400 мл) и продукт многократно экстрагируют дихлорметаном. Объединенные органические фазы сушат (Na2SO4) и растворитель отгоняют при пониженном давлении. Оставшийся остаток перемешивают с небольшим количеством холодного изопропанола и затем продукт реакции отфильтровывают.
Выход: 20,8 г (91,3%).

535 мг нитросоединения растворяют в 100 мл смеси метанол/ТГФ (1:1) и смешивают с 5 молярными % Pd (10% на активированном угле). После этого гидрируют водородом в приборе для гидрирования при комнатной температуре до окончания поглощения водорода (время реакции: 1 час).
Для обработки катализатор отфильтровывают через фильтровальное вещество целит® и фильтрат упаривают при пониженном давлении. Маслянистый остаток смешивают с небольшим количеством диэтилового эфира, отфильтровывают, промывают н-пентаном и сушат в вакууме.
Выход: 397 мг (86% от теоретического)

368 мг (2 ммоль) полученного, как описано выше, амина растворяют в 30 мл абсолютного ТГФ и смешивают при перемешивании при комнатной температуре с 250 мкл этоксикарбонилизотиоцианата. После этого перемешивают 4 часа при комнатной температуре.
Для обработки растворитель удаляют при пониженном давлении, маслянистый остаток перемешивают с диэтиловым эфиром и продукт реакции отфильтровывают.
Выход 613 мг (97% от теоретического), бежевые кристаллы.

504 мг (1,6 ммоль) карбамата суспендируют в 10 мл смеси ТГФ/Н2О (1:1) и при перемешивании при комнатной температуре смешивают с 3,2 мл (3,2 ммоль) 1 М водного NaOH. Реакционную смесь перемешивают 5 часов при комнатной температуре.
Для обработки при пониженном давлении приблизительно 1/3 исходного объема упаривают и реакционную смесь доводят до рН 6 добавлением 2 н. раствора HCl, причем полученная тиомочевина медленно осаждается в форме светло-бежевых кристаллов. Продукт реакции отфильтровывают и промывают водой.
Выход 300 мг (77% от теоретического)
Пример 1:

73 мг (0,3 ммоль) тиомочевины растворяют в 5 мл абсолютного этанола и смешивают с 85 мг (0,3 ммоль) 4-(трифторметокси)фенацилбромида. Реакционную смесь нагревают с обратным холодильником в течение 5 часов при дефлегмации растворителя.
Для обработки растворитель удаляют при пониженном давлении и остаток очищают хроматографией на силикагеле (15-25 микрон; фирма: Merck) со смесью этилацетат/н-гептан, отношение смеси 1:1, в качестве подвижной фазы.
Выход 79 мг (61% от теоретического).
Формула изобретения
1. Соединения формулы I,

где R1 обозначает фенил, нафтил, тионафтил, пиридил, причем фенил, нафтил, тионафтил и пиридил могут быть одно- или многократно замещены F, Cl, Br, (СН2)0-2ОН, (С1-С6)-алкилом, (С2-С6)-алкенилом, (С2-С6)-алкинилом, CF3, OCF3, N(R9)(R10), пиперидиноном, пиперазином, пиперазиноном, N-(С1-С6-алкилен)-пиперазином, N-(С1-С6-алкилен)-пиперазиноном, морфолином, тиоморфолином, NO2, CN, O-(С1-С6)-алкилом, S(O)0-2-(С1-С6)-алкилом, SO2-N(R9)(R10), СО-(С1-С6)-алкилом, -СООН, (С1-С6)-алкилен-СООН, СОО(С1-С6)-алкилом, (C1-С6)-алкилен-СОО(С1-С6)-алкилом, (С3-С10)-циклоалкилом, фенилом, причем эти пиперидинон, пиперазин, пиперазинон, N-(С1-С6-алкилен)-пиперазин, N-(С1-С6-алкилен)-пиперазинон, морфолин, тиоморфолин и фенильные кольца могут быть одно- или многократно замещены F, Cl, Br, (СН2)0-2OH, СООН, CN, NO2, O-(С1-С6)-алкилом, -NH-O-(С1-С6)-алкилом, -(CO)-NH-O-(C1-C6)-алкилен-N(R9)(R10), -(СО)-(С1-С6)-алкилом, -(С1-С6)-алкилом, CF3, OCF3, N(R9)(R10);
R2 обозначают Н, (С1-С6)-алкил, СООН, (С1-С6)-алкилен-СООН, СОО(С1-С6)-алкил, (C1-С6)-алкилен-СОО(С1-С6)-алкил;
R3 обозначает Н, (С1-С6)-алкил, (С1-С6)-алкиленфенил, -С(O)-фенил, (C1-С6)-алкиленгетероцикл, где гетероцикл представляет собой 5-6-членное гетероциклическое кольцо, содержащее 1-2 гетероатома, выбранных из азота и кислорода, СО-(С1-С6)алкил;
R4, R5 обозначают Н;
R6 обозначает Н,
R9 обозначает Н, (С1-С4)-алкил;
R10 обозначает Н, (С1-С4)-алкил;
а также их физиологически приемлемые соли.
2. Соединения формулы I по п.1, отличающиеся тем, что в них
R1 обозначает фенил, причем фенил может быть одно- или многократно замещен F, Cl, Br, (СН2)0-2OH, (С1-С6)-алкилом, (С2-С6)-алкенилом, (С2-С6)-алкинилом, CF3, OCF3, N(R9)(R10), пиперидиноном, пиперазином, пиперазиноном, N-(С1-С6-алкилен)-пиперазином, N-(С1-С6-алкилен)-пиперазиноном, морфолином, тиоморфолином, NO2, CN, O-(C1-C6)-алкилом, S(O)0-2-(С1-С6)-алкилом, SO2-N(R9)(R10), СО-(С1-С6)-алкилом, -СООН, (C1-С6)-алкилен-СООН, СОО(С1-С6)-алкилом, (С1-С6)-алкилен-СОО(С1-С6)-алкилом, С3-С10-циклоалкилом, фенилом, причем эти пиперидинон, пиперазин, пиперазинон, N-(C1-C6-алкилен)-пиперазин, N-(С1-С6-алкилен)-пиперазинон, морфолин, тиоморфолин и фенильные кольца могут быть одно- или многократно замещены F, Cl, Br, (СН2)0-2-ОН, СООН, CN, NO2, O-(С1-С6)-алкилом, -NH-O-(С1-С6)-алкилом, -(CO)-NH-O-(C1-C6)-алкилен-N(R9)(R10), -(СО)-(С1-С6)-алкилом, -(С1-С6)-алкилом, CF3, OCF3, N(R9)(R10);
R2 обозначает Н, (С1-С6)-алкил, -С(O)O-(С1-С6)-алкил, -(С1-С6)-алкилен-С(O)O-(С1-С6)-алкил, -СООН, -(С1-С6)-алкилен-СООН;
R3 обозначает Н, (С1-С6)-алкил, (С1-С6)-алкиленфенил, -С(O)-фенил, (C1-С6)-алкиленгетероцикл, где гетероцикл представляет собой 5-6-членное гетероциклическое кольцо, содержащее 1-2 гетероатома, выбранных из азота и кислорода, СО-(С1-С6)алкил;
R4, R5 обозначают Н;
R6 обозначает Н,
R9 обозначает Н, (С1-С4)-алкил;
R10 обозначает Н, (С1-С4)-алкил;
а также их физиологически приемлемые соли.
3. Применение соединений по одному или нескольким из пп.1 или 2 для приготовления фармацевтической композиции, ингибирующей активность фосфотирозинфосфотазы 1В.
4. Фармацевтическая композиция, ингибирующая активность фосфотирозинфосфотазы 1В, содержащая одно или несколько соединений по п.1 или 2 в эффективном для достижения указанного биологического действия количестве.
5. Применение по п.3 для приготовления фармацевтической композиции для понижения сахара крови.
6. Применение по п.3 для приготовления фармацевтической композиции для лечения диабета типа II.
7. Применение по п.3 для приготовления фармацевтической композиции для лечения нарушений липидного и углеводного обмена.
8. Применение по п.3 для приготовления фармацевтической композиции для лечения инсулинорезистентности.
9. Способ приготовления фармацевтической композиции, содержащей в качестве активного вещества одно или несколько из соединений по п.1 или 2, отличающийся тем, что активное вещество смешивают с фармацевтически приемлемым носителем и эту смесь приводят в пригодную для введения форму.
|
|