|
|
(21), (22) Заявка: 2005127328/04, 29.01.2004
(24) Дата начала отсчета срока действия патента:
29.01.2004
(30) Конвенционный приоритет:
31.01.2003 US 60/443,917
(43) Дата публикации заявки: 10.02.2006
(46) Опубликовано: 27.03.2009
(56) Список документов, цитированных в отчете о поиске:
Kus С.et al. Synthesis and antimicrobial activities of 5-fluoro-1,2,6-trisubstituted benzimidazole carboxamide and acetamide derivatives, ARCH. PHARM. PHARM. MED. CHEM., 2001, 334, 361-365. RU 2000132199 A, 27.01.2003. WO 02060879 A2, 08.08.2002.
(85) Дата перевода заявки PCT на национальную фазу:
31.08.2005
(86) Заявка PCT:
US 2004/002541 (29.01.2004)
(87) Публикация PCT:
WO 2005/012292 (10.02.2005)
Адрес для переписки:
129090, Москва, ул. Б.Спасская, 25, стр.3, ООО “Юридическая фирма Городисский и Партнеры”, пат.пов. Е.Е.Назиной, рег. № 517
|
(72) Автор(ы):
ЧАРИФСОН Пол С. (US), ДЕЙНИНДЖЕР Дэвид Д. (US), ГРИЙО Анн-Лор (US), ЛИАО Юшенг (US), РОНКИН Стивен М. (US), СТАМОС Дин (US), ПЕРОЛА Эммануэль (US), ВАН Тяньшэн (US), ЛЕТИРАН Арно (US), ДРАММ Джозеф (US)
(73) Патентообладатель(и):
ВЕРТЕКС ФАРМАСЬЮТИКАЛЗ ИНКОРПОРЕЙТЕД (US)
|
(54) ИНГИБИТОРЫ ГИРАЗЫ И ИХ ПРИМЕНЕНИЕ
(57) Реферат:
Изобретение относится к новым соединениям формулы (I) и его фармацевтически приемлемым солям. Соединения настоящего изобретения обладают свойствами ингибитора активности бактериальной гиразы и Торо-IV. В общей формуле (I)

W выбран из СН или CF; X представляет собой СН; Z представляет собой О или NH; R1 представляет собой фенил или 5-6-членное гетероарильное кольцо, содержащее 1-3 атома азота, где R1 замещен 0-3 группами, независимо выбранными из -(T)y-Ar, R’, оксо, C(O)R’, OR’, N(R’)2, SR’, CN или C(O)N(R’)2; R2 выбран из C1-3алкила и С3-7-циклоалкила; и кольцо А представляет собой 5-6-членное гетероарильное кольцо, содержащее 1-3 гетероатома, независимо выбранных из азота, кислорода или серы, при условии, что указанное кольцо имеет акцептор водородной связи в положении, смежном с положением присоединения к кольцу В, где кольцо А замещено 0-3 группами, независимо выбранными из R’, оксо, CO2R’, OR’, N(R’)2, галогена, CN, C(O)N(R’)2, NR’C(O)R’ или NR’SO2R’, и где два заместителя в смежных положениях кольца А, взятые вместе, могут образовывать 6-членное насыщенное гетероциклическое или гетероарильное кольцо, содержащее 1-2 атома азота. Изобретение также относится к фармацевтической композиции, обладающей свойствами ингибитора активности бактериальной гиразы и Topo-IV, содержащей в качестве активного компонента соединение изобретения, к способу ингибирования гиразной активности и/или Торо IV-активности и к способу снижения числа бактерий. 7 н. и 18 з.п. ф-лы, 3 табл.
Перекрестная ссылка на родственные заявки
В настоящей заявке испрашивается приоритет по предварительной заявке на патент США 60/443917, поданной 31 января 2003 г., содержание которой вводится в настоящее описание посредством ссылки.
Область техники
Настоящее изобретение относится к области медицинской химии, а в частности к соединениям и к фармацевтическим композициям, содержащим эти соединения, которые ингибируют бактериальную гиразу и Topo IV. Эти соединения могут быть использованы в качестве ингибиторов активности бактериальной гиразы и Topo IV. Настоящее изобретение также относится к способам лечения бактериальных инфекций млекопитающих и к способам уменьшения числа бактерий в биологическом образце.
Уровень техники
Уже давно известно, что бактерии обладают резистентностью к антибиотикам, и этот феномен в настоящее время рассматривается как серьезная проблема здравоохранения во всем мире. В результате такой резистентности некоторые бактериальные инфекции с трудом поддаются лечению антибиотиками или даже являются неизлечимыми. В последнее время, с появлением у некоторых бактериальных штаммов резистентности ко множеству лекарственных средств, таких как Streptococcus pneumoniae (SP), Mycobacterium tuberculosis и Enterococcus, эта проблема приобрела особую актуальность. Появление энтерококков, резистентных к ванкомицину, представляет особую угрозу, поскольку в настоящее время ванкомицин является единственным эффективным антибиотиком, применяемым для лечения энтерококковой инфекции, и это лекарственное средство рассматривается как “последняя надежда” при лечении многих инфекций. Хотя множество других резистентных к лекарственным средствам бактерий, таких как энтерококки, не вызывает болезней, представляющих угрозу для жизни, однако имеются опасения, что гены, которые индуцируют такую резистентность, могут передаваться и более опасным микроорганизмам, таким как Staphylococcus aureus, большинство из которых уже выработали резистентность к метициллину (De Clerq et al., Current Opinion in Antiinfective Investigational Drugs, 1999, 1, 1; Levy “The Challenge of Antibiotic Resistance”, Scientific American, March, 1998).
Другой проблемой является быстрота распространения резистентности к антибиотикам. Так, например, до 1960 года во всех регионах мира стрептококки (SP) были чувствительными к пенициллину, а в 1987 году в США резистентными были лишь 0,02% штаммов SP. Однако в 1995 году появилось сообщение, что резистентность SP к пенициллину составляет примерно семь процентов, а в некоторых областях США она достигала 30%. (Lewis, FDA Consumer magazine (сентябрь, 1995); Gershman in The Medical Reporter, 1997).
В частности, больницы служили очагами возникновения и распространения резистентных к лекарственным средствам микроорганизмов. Инфекции, приобретенные в больницах, известные как внутрибольничные (нозокомиальные) инфекции, становятся все более серьезной проблемой. Каждый год в больницах заражается два миллиона американцев, и более половины из них имеет инфекции, резистентные, по крайней мере, к одному антибиотику. Центр по контролю заболеваемости сообщал, что в 1992 году свыше 13000 пациентов больниц умерли от бактериальных инфекций, которые оказались невосприимчивыми к лечению антибиотиками (Lewis, “The Rise of Antibiotic-Resistance Infections”, FDA Consumer magazine, Sept, 1995).
Поэтому необходимость борьбы с бактериями, резистентными к лекарственным средствам, и все более ощутимый недостаток имеющихся в настоящее время лекарственных средств являются причиной все возрастающего интереса в разработке новых антибиотиков. Одной из привлекательных стратегий разработки новых антибиотиков является ингибирование ДНК-гиразы, бактериального фермента, необходимого для репликации ДНК, а значит и необходимого для роста бактериальных клеток и их деления. Гиразная активность также ассоциируется с процессами транскрипции, репарации и рекомбинации ДНК.
Гираза представляет собой одну из топоизомераз, принадлежащих к группе ферментов, которые катализируют взаимопревращение топологических изомеров ДНК (в общих чертах см. Kornberg & Baker, DNA Replication, 2d Ed., Chapter 12, 1992, W.H. Freeman & Co.,; Drlica, Molecular Microbiology, 1992, 6, 425; Drlica & Zhao, Microbiology and Molecular Biology Reviews, 1997, 61, 377). Сама гираза регулирует суперспирализацию ДНК и ослабляет топологический стресс, возникающий в том случае, когда ДНК-нити исходого дуплекса расплетаются в процессе репликации. Гираза также катализирует превращение релаксированного замкнутого кольцевого дуплекса ДНК в отрицательную суперспирализованную форму, которая является более благоприятной для рекомбинации. Механизм реакции суперспирализации включает закручивание гиразы вокруг определенной области ДНК, разрыв двойной цепи в этой области, прохождение второй области ДНК через этот разрыв и репарацию разорванных цепей. Такой механизм расщепления характерен для топоизомеразы типа II. Реакция суперспирализации инициируется связыванием АТФ с гиразой. Затем АТФ гидролизуется в процессе реакции. Такое связывание с АТФ и его последующий гидролиз приводит к конформационным изменениям в гиразе, связанной с ДНК, которые необходимы для ее активности. Было также обнаружено, что уровень суперспирализации (или релаксации) ДНК зависит от отношения АТФ/АДФ. В отсутствие АТФ гираза способна лишь к релаксации суперспирализованной ДНК.
Бактериальная ДНК-гираза представляет собой белок-тетрамер массой 400 килодальтон, состоящий из двух субъединиц А (GyrA) и двух субъединиц В (GyrB). Связывание и расщепление ДНК ассоциируется с GyrA, тогда как за связывание и гидролиз АТФ ответственен белок GyrB. GyrB состоит из аминоконцевого домена, который обладает АТФазной активностью, и карбоксиконцевого домена, который взаимодействует с GyrA и ДНК. В противоположность этому, эукариотические топоизомеразы типа II представляют собой гомодимеры, которые могут подвергать релаксации отрицательные и положительные суперспирали, но не могут вводить отрицательные супервитки. В идеальном случае антибиотики, действующие по механизму ингибирования бактериальной ДНК-гиразы, должны быть селективными по отношению к этому ферменту и относительно неактивными по отношению к эукариотическим топоизомеразам типа II.
Широко используемые хинолоновые антибиотики ингибируют бактериальную ДНК-гиразу. Примерами хинолонов являются уже давно известные соединения, такие как налидиксовая кислота и оксолиновая кислота, а также недавно полученные более сильнодействующие фторхинолоны, такие как норфлоксацин, ципрофлоксацин и тровафлоксацин. Эти соединения связываются с GyrA и стабилизируют расщепленный комплекс, что приводит к ингибированию всех функций гиразы и к гибели клеток. Однако известно, что основной проблемой, связанной с применением этого класса соединений, является выработанная к ним резистентность бактерий (WHO Report, “Use of Quinolones in Food Animals and Potential Impact on Human Health”, 1998). Что касается хинолонов, а также антибиотиков других классов, то в этой связи следует отметить, что бактерии, подвергаемые обработке уже ранее применявшимися соединениями, часто довольно быстро приобретают перекрестную резистентность к более сильнодействующим соединениям того же самого класса.
Ингибиторы, которые связываются с GyrB, менее известны. Примерами таких ингибиторов являются кумарины, новобиоцин и кумермицин А1, циклотиалидин, цинодин и клероцидин. Было показано, что кумарины очень жестко связываются с GyrB. Так, например, новобиоцин образует сеть водородных связей с белком и несколько гидрофобных контактов. Хотя новобиоцин и АТФ, по всей вероятности, связываются в сайте связывания с АТФ, однако, имеется минимальное перекрывание в определенной ориентации этих двух соединений. Перекрывающимися частями является углеводное звено новобиоцина и АТФ-аденина (Maxwell, Trends in Microbiology, 1997, 5, 102).
Что касается бактерий, резистентных к кумарину, то наиболее преобладающей точечной мутацией является мутация в поверхностном аргининовом остатке, который связывается с карбонилом кумаринового кольца (Arg 136 в GyrB E.coli). Хотя ферменты с этой мутацией обнаруживают более низкую суперспирализующую и АТФазную активность, однако они также менее чувствительны к ингибированию кумариновыми лекарственными средствами (Maxwell, Mol. Microbiol., 1993, 9, 681).
Несмотря на то, что кумарины являются сильными ингибиторами суперспирализации под действием гиразы, они не находят широкого применения в качестве антибиотиков. Кумарины являются в основном неэффективными из-за их низкой способности проникать в бактерии, токсичности в эукариотах и плохой растворимости в воде (Maxwell, Trends in Microbiology, 1997, 5, 102). Поэтому необходимо разработать новый эффективный ингибитор GyrB, у которого отсутствовали бы эти недостатки. Такой ингибитор должен представлять интерес как антибиотик-кандидат, предыстория которого не связана с проблемами резистентности, возникающими в связи с использованием других классов антибиотиков.
Перемещение репликативной вилки вдоль кольцевой ДНК может генерировать топологические изменения как перед репликативным комплексом, так и за уже реплицированными областями (Champoux, J.J., Annu.Rev.Biochem., 2001, 70, 369-413). Хотя ДНК-гираза может вносить отрицательные супервитки для компенсации топологического стресса перед репликативной вилкой, однако некоторое перекручивание может распространяться назад в уже реплицированную область ДНК, что приводит к образованию прекатенанов. Если эти прекатенаны не удалить, то их присутствие может приводить к связыванию (катенированию) дочерних молекул по окончании репликации. Фермент Topo IV ответственен за разделение катенированных дочерних плазмид, а также за удаление прекатенанов, образующихся в процессе репликации, что, в конечном счете, приводит к сегрегации дочерних молекул в дочерних клетках. Фермент Topo IV состоит из двух субъединиц ParC и двух субъединиц ParE, представляющих собой тетрамер С2Е2 (где мономеры С и Е гомологичны мономерам А и В гиразы соответственно), и для повторного поступления этого фермента в каталитический цикл необходим гидролиз АТФ (у N-конца субъединицы Е). Topo IV является высококонсервативным у бактерий и играет важную роль в их репликации (Drlica & Zhao, Microbiol., Mol. Biol. Rev., 1997, 61, 377).
До настоящего времени ингибиторам, направленным против ParE Topo IV, не уделялось большого внимания, тогда как действие более новых хинолонов, направленных на область ParC, было широко исследовано (Hooper D., C., Clin. Infect. Dis., 2000, 31(Suppl.2):S24-28). Было продемонстрировано, что моксифлоксацин и гатифлоксацин обладают более сбалансированной активностью против гиразы и Topo IV, что позволяет обеспечить более широкий охват грамположительных бактерий, а также снизить уровни мутации первичной мишени, вызывающей резистентность. В этих случаях восприимчивость ограничивается чувствительностью вторичной мишени по отношению к антибактериальному средству. Таким образом, средства, которые способны эффективно ингибировать множество главных мишеней, могут способствовать расширению спектра активностей, увеличению антибактериальной активности, увеличению эффективности против мутантов одной мишени и/или снижению спонтанного уровня резистентности.
Резистентность бактерий к антибиотикам становится важной проблемой современного здравоохранения, а поэтому необходимо разрабатывать новые и более сильные антибиотики. Более конкретно, необходимо получить такие антибиотики, которые представляли бы новый класс соединений, ранее не используемых для лечения бактериальных инфекций. Такие соединения должны быть особенно эффективными для лечения нозокомиальных инфекций в больницах, где возникновение и распространение резистентных инфекций приобретает все больший размах.
Сущность изобретения
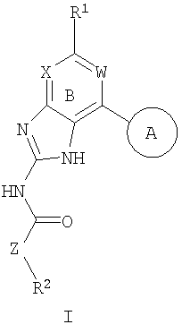
Было обнаружено, что соединения настоящего изобретения и их фармацевтически приемлемые соли являются эффективными ингибиторами гиразы и/или Topo IV. Эти соединения или их фармацевтически приемлемые соли имеют общую формулу I

где R1, R2, W, Х, Z и кольцо А определены ниже.
Указанные соединения и их фармацевтически приемлемые композиции могут быть использованы для лечения или ослабления тяжести бактериальных инфекций. В частности, соединения настоящего изобретения могут быть использованы для лечения или ослабления тяжести инфекций мочеполовых путей, пневмонии, простатита, кожных инфекций и инфекций мягких тканей, внутрибрюшинных инфекций, инфекций кровеносной системы или инфекций у пациентов с нейтропенией, сопровождающейся лихорадкой.
Подробное описание изобретения
Настоящее изобретение относится к соединению формулы I

или к его фармацевтически приемлемой соли,
где W выбран из азота, СН или CF;
Х выбран из СН или CF;
Z представляет собой О или NH;
R1 представляет собой фенил или 5-6-членное гетероарильное кольцо, содержащее 1-3 гетероатома, независимо выбранные из кислорода, азота или серы, и где
R1 замещен 0-3 группами, независимо выбранными из -(Т)y-Ar, R’, оксо, С(О)R’, CO2R’, OR’, N(R’)2, SR’, NO2, галогена, CN, C(O)N(R’)2, NR’C(O)R’, SO2R’, SO2N(R’)2 или NR’SO2R’;
y равно 0 или 1;
Т представляет собой прямую или разветвленную С1-4алкилиденовую цепь, где одно метиленовое звено Т необязательно заменено -О-, -NH- или -S-;
каждый R’ независимо выбран из водорода, С1-4алифатической группы или 5-6-членного насыщенного, ненасыщенного или арильного кольца, содержащего 0-3 гетероатома, независимо выбранных из азота, кислорода или серы, где
R’ замещен 0-3 группами, независимо выбранными из галогена, оксо, R°, N(R°)2, OR°, СО2R°, NR°С(О)R°, С(О)N(R°)2, SO2R°, SO2N(R°)2 или NR°SO2R°, где
каждый R° независимо выбран из водорода, С1-4алифатической группы или 5-6-членного насыщенного, ненасыщенного или арильного кольца, содержащего 0-3 гетероатома, независимо выбранных из азота, кислорода или серы, и где
два заместителя в смежных положениях R1, взятые вместе, могут образовывать 5-7-членное насыщенное, частично ненасыщенное или арильное кольцо, содержащее 0-3 гетероатома, независимо выбранных из азота, кислорода или серы;
Ar представляет собой 3-8-членное насыщенное, ненасыщенное или арильное кольцо, 3-7-членное гетероциклическое кольцо, содержащее 1-3 гетероатома, независимо выбранных из азота, кислорода или серы, или 5-6-членное гетероарильное кольцо, содержащее 1-3 гетероатома, независимо выбранных из азота, кислорода или серы, и где
Ar замещен 0-3 группами, независимо выбранными из R’, оксо, CO2R’, OR’, N(R’)2, SR’, NO2, галогена, CN, C(O)N(R’)2, NR’C(O)R’, SO2R’, С(О)R’, SO2N(R’)2 или NR’SO2R’;
R2 выбран из водорода или С1-3алифатической группы; и
кольцо А представляет собой 5-6-членное гетероарильное кольцо, содержащее 1-4 гетероатома, независимо выбранных из азота, кислорода или серы, при условии, что указанное кольцо имеет акцептор водородной связи в положении, смежном с положением присоединения к кольцу В, и где
кольцо А замещено 0-3 группами, независимо выбранными из R’, оксо, CO2R’, OR’, N(R’)2, SR’, NO2, галогена, CN, C(O)N(R’)2, NR’C(O)R’, SO2R’, SO2N(R’)2 или NR’SO2R’, и где
два заместителя в смежных положениях кольца А, взятые вместе, могут образовывать 5-7-членное насыщенное, частично ненасыщенное или арильное кольцо, содержащее 0-3 гетероатома, независимо выбранных из азота, кислорода или серы.
Используемые здесь термины, если это не оговорено особо, имеют значения, определенные выше.
Термин “необязательно замещенный” является синонимом термина “замещенный или незамещенный”. Если это не оговорено особо, то необязательно замещенная группа может иметь заместитель в каждом замещаемом положении группы, и каждое из таких замещений не зависит друг от друга.
Используемый здесь термин “алифатический” или “алифатическая группа” относится к прямой или разветвленной углеводородной С1-С8цепи, которая является полностью насыщенной или содержит одно или несколько ненасыщенных звеньев, либо к моноциклическому С3-С8углеводороду или бициклическому С8-С12углеводороду, который является полностью насыщенным или содержит одно или несколько ненасыщенных звеньев, но не является ароматическим (называемый здесь также “карбоциклом” или “циклоалкилом”), и который имеет одно положение присоединения к остальной части молекулы, где любое отдельное кольцо в указанной бициклической системе содержит 3-7 членов. Так, например, подходящими алифатическими группами являются, но не ограничиваются ими, прямые или разветвленные алкильные, алкенильные, алкинильные группы и их гибриды, такие как (циклоалкил)алкил, (циклоалкенил)алкил или (циклоалкил)алкенил.
Термины “алкил”, “алкокси”, “гидроксиалкил”, “алкоксиалкил” и “алкоксикарбонил”, используемые отдельно или как часть более крупной молекулы, включают прямые и разветвленные цепи, содержащие от одного до двенадцати атомов углерода. Термины “алкенил” и “алкинил”, используемые отдельно или как часть более крупной молекулы, включают как прямые, так и разветвленные цепи, содержащие от двух до двенадцати атомов углерода.
Термин “гетероатом” означает атом азота, кислорода или серы и включает любую окисленную форму азота и серы и кватернизированную форму любого азотистого основания. Термин “азот” также включает замещаемый атом азота гетероциклического кольца. Так, например, в насыщенном или в частично ненасыщенном кольце, содержащем 0-3 гетероатома, выбранных из атомов кислорода, серы или азота, указанным азотом может быть N (как в 3,4-дигидро-2Н-пирролиле), NH (как в пирролидиниле) или NR+ (как в N-замещенном пирролидиниле).
Используемый здесь термин “ненасыщенный” означает, что молекула содержит одно или несколько ненасыщенных звеньев, и также относится к арильным кольцам.
Термин “арил”, используемый здесь отдельно или как часть более крупной молекулы, такой как “аралкил”, “аралкокси” или “арилоксиалкил”, означает моноциклические, бициклические и трициклические системы, содержащие всего от пяти до четырнадцати кольцевых членов, где, по крайней мере, одно кольцо в этой системе является ароматическим и где каждое кольцо в этой системе содержит 3-7 кольцевых членов. Термины “арил” и “арильное кольцо” являются взаимозаменяемыми. Термин “арил” также означает гетероарильные кольцевые системы, определенные ниже.
Используемые здесь термины “гетероцикл”, “гетероциклил” или “гетероциклический” относятся к неароматическим, моноциклическим, бициклическим или трициклическим системам, имеющим от пяти до четырнадцати кольцевых членов, в которых один или несколько кольцевых членов представляют собой гетероатом, где каждое из колец в указанной системе содержит 3-7 кольцевых членов.
Термин “гетероарил”, используемый отдельно или как часть более крупной молекулы, такой как “гетероаралкил” или “гетероарилалкокси”, означает моноциклические, бициклические и трициклические системы, имеющие всего от пяти до четырнадцати кольцевых членов, где, по крайней мере, одно из колец в этой системе является ароматическим, по крайней мере, одно из колец в этой системе содержит один или несколько гетероатомов, и где каждое из колец в этой системе содержит 3-7 кольцевых членов. Термины “гетероарил”, “гетероарильное кольцо” и “гетероароматическое кольцо” являются взаимозаменяемыми.
Используемый здесь термин “акцептор водородной связи” означает атом, способный акцептировать водородную связь. Типичным акцептором водородной связи является атом серы, кислорода или азота, а в частности, атом азота, который является sp2-гибридизованным, атом кислорода простого эфира или атом серы тиоэфира. Предпочтительным акцептором водородной связи служит атом азота, который является sp2-гибридизованным.
Комбинация заместителей или радикалов является допустимой только в том случае, если такая комбинация образует стабильное или химически допустимое соединение. Стабильным соединением или химически допустимым соединением является соединение, которое не подвергается значительным изменениям при его выдерживании при температуре 40°С или ниже в отсутствие влаги или в других химически реакционных условиях, по крайней мере, в течение недели.
Следует также отметить, что некоторые соединения настоящего изобретения могут присутствовать в таутомерных формах, и все таутомерные формы этих соединений входят в объем настоящего изобретения.
Изображенные здесь структуры, если это не оговорено особо, включают все стереохимические формы данной структуры, т.е. R- и S-конфигурации для каждого асимметрического центра. Поэтому в объем настоящего изобретения входят отдельные стереохимические изомеры, а также энантиомерные и диастереоизомерные смеси соединений настоящего изобретения. Изображенные здесь структуры, если это не оговорено особо, также включают соединения, которые отличаются лишь присутствием одного или нескольких обогащенных изотопами атомов. Так, например, в объем настоящего изобретения входят соединения, имеющие структуры настоящего изобретения, за исключением тех структур, в которых атом водорода заменен дейтерием или тритием, или структур, в которых атом углерода заменен 13С- или 14С-обогащенным атомом углерода. Такие соединения могут быть использованы, например, в качестве аналитических средств или зондов в биологических анализах.
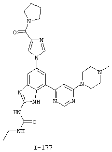
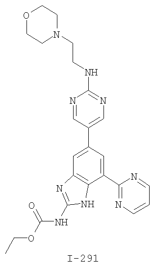
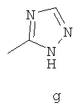
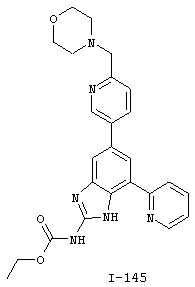
Примерами подходящих колец А являются группы, представленные ниже в таблице 1,
| Таблица 1 |
|
  |
|
где каждое кольцо А необязательно замещено заместителями, определенными выше.
В соответствии с одним из вариантов изобретения кольцо А формулы I представляет собой 5-членное гетероарильное кольцо, содержащее 1-4 гетероатома, независимо выбранных из атомов азота, кислорода или серы, при условии, что на указанном кольце акцептор водородной связи находится в положении, смежном с положением присоединения к кольцу В, где указанное кольцо А необязательно замещено заместителями, определенными выше.
В соответствии с другим вариантом изобретения кольцо А формулы I представляет собой 6-членное гетероарильное кольцо, содержащее 1-3 атома азота, при условии, что на указанном кольце атом азота находится в положении, смежном с положением присоединения к кольцу В, где указанное кольцо А необязательно замещено заместителями, определенными выше.
В некоторых вариантах изобретения кольца А формулы I выбраны из колец a, b, c, d, e, f, g, h, i, j, k, l, m, p, q, r, s, t, v, w, x, y, z, aa, bb, cc, dd и ее, где каждое кольцо А необязательно замещено заместителями, определенными выше.
В других вариантах изобретения кольца А формулы I выбраны из колец a, f, 1, s, w, y и z, где каждое кольцо А необязательно замещено заместителями, определенными выше.
Если кольцо А формулы I представляет собой бициклическое гетероарильное кольцо, то предпочтительными бициклическими системами кольца А являются бензотиазол, бензимидазол, бензоксазол и хинолин.
В соответствии с одним из вариантов изобретения заместителями в кольце А формулы I, если они присутствуют, являются заместители, выбранные из оксо, N(R’)2, С(О)N(R’)2, CO2R’, галогена, N(R’)SO2R’, C(O)R’, OR’ или R’. В соответствии с другим вариантом изобретения заместителями R’ в кольце А формулы I являются метил, этил, пропил, пиперазинил, пиперидинил или морфолинил, где указанные группы R’ необязательно замещены R°, N(R°)2 или OR°.
В соответствии с одним из вариантов изобретения группа R1 формулы I представляет собой необязательно замещенный фенил.
В соответствии с другим вариантом изобретения группа R1 формулы I представляет собой необязательно замещенное 5-членное гетероарильное кольцо, содержащее 1-3 гетероатома, независимо выбранных из азота, кислорода или серы.
В соответствии с другим вариантом изобретения группа R1 формулы I представляет собой необязательно замещенное 5-членное гетероарильное кольцо, содержащее 1-3 атома азота.
В еще одном своем варианте настоящее изобретение относится к соединению формулы I, где R1 представляет собой необязательно замещенное 6-членное гетероарильное кольцо, содержащее 1-2 атома азота.
В некоторых вариантах изобретения группа R1 формулы I выбрана из необязательно замещенного фенильного или 5-6-членного гетероарильного кольца, содержащего 1-2 атома азота. В других вариантах изобретения группа R1 формулы I выбрана из необязательно замещенного пирид-2-ильного, пирид-3-ильного, пирид-4-ильного, пиридонового, пиримидин-2-ильного, пиримидин-4-ильного, пиримидин-5-ильного, пиримидин-6-ильного, имидазол-1-ильного, имидазол-2-ильного, имидазол-4-ильного или имидазол-5-ильного кольца. В соответствии с еще одним вариантом изобретения группа R1 формулы I представляет собой необязательно замещенное кольцо, выбранное из пирид-3-ила, пирид-4-ила, пиридона, пиримидин-5-ила или имидазол-1-ила.
В некоторых вариантах осуществления изобретения заместители группы R1 формулы I, если они присутствуют, выбраны из галогена, оксо, -(Т)y-Ar, R’, CO2R’, OR’, N(R’)2, SR’, C(O)N(R’)2, NR’C(O)R’, SO2R’, SO2N(R’)2 или NR’SO2R’. В соответствии с другими вариантами изобретения заместители группы R1 формулы I, если они присутствуют, выбраны из оксо, фтора, хлора, N(СН3)2, NHCH2СН3, NH-циклопропила, NH2, NHC(О)СН3, С(О)NH-циклопропила, метила, этила, трет-бутила, изобутила, циклопропила, изопропила, СН2-фенила, СН2-пиридин-3-ила, ОН, ОСН3, ОСН2СН3, ОСН2-фенила, ОСН2-пиридин-3-ила, СН2-пиперидинила, СН2-циклопропила или СН2СН2ОСН3.
В соответствии с одним из вариантов изобретения R1 замещен -(Т)y-Ar, где Т представляет собой прямую или разветвленную С1-3алкилиденовую цепь, в которой одно метиленовое звено Т необязательно заменено на -О-, -NH- или -S-. В соответствии с другим вариантом осуществления изобретения Т представляет собой прямую или разветвленную С1-3алкилиденовую цепь, в которой одно метиленовое звено Т заменено на -О-, -NH- или -S-. В еще одном своем варианте настоящее изобретение относится к соединению формулы I, где R1 замещен -(Т)y-Ar, а Ar представляет собой необязательно замещенное 5-6-членное насыщенное кольцо, содержащее 1-2 гетероатома, независимо выбранных из кислорода, азота или серы. В соответствии с другим вариантом изобретения группа Ar формулы I представляет собой необязательно замещенное 5-членное гетероарильное кольцо, содержащее 1-3 гетероатома, независимо выбранных из азота, кислорода или серы. В соответствии с еще одним вариантом изобретения группа Ar формулы I представляет собой необязательно замещенное 6-членное гетероарильное кольцо, содержащее 1-3 атома азота. В другом варианте своего осуществления настоящее изобретение относится к соединению формулы I, где Ar представляет собой необязательно замещенный фенил.
Если группа R1 формулы I замещена -(Т)y-Ar, то примерами заместителей на Ar являются галоген, OR’, R’, CO2R’, SO2R’, оксо и С(О)R’.
В соответствии с одним из вариантов осуществления изобретения если два заместителя, находящиеся в смежных положениях R1 формулы I и взятые вместе, образуют необязательно замещенное кольцо, конденсированное с R1, то такими кольцами являются 5-6-членные насыщенные, частично ненасыщенные или арильные кольца, содержащие 0-2 гетероатома, независимо выбранных из атома азота, кислорода или серы. В соответствии с другим вариантом осуществления изобретения указанное кольцо, конденсированное с R1, выбрано из 5-членного насыщенного кольца, содержащего два атома кислорода, или 6-членного насыщенного кольца, содержащего два атома кислорода. Примером заместителей, находящихся в указанном кольце, конденсированном с R1, является галоген, такой как фтор.
В одном из вариантов настоящее изобретение относится к соединению формулы I, где R2 выбран из метила, этила, изопропила или циклопропила. В соответствии с другим вариантом изобретения R2 представляет собой метил или этил. В соответствии с еще одним вариантом изобретения R2 формулы I представляет собой этил.
В одном из своих вариантов настоящее изобретение относится к соединению формулы I, где Z представляет собой NH.
В другом своем варианте настоящее изобретение относится к соединению формулы I, где Z представляет собой О.
Соединения настоящего изобретения охватывают род соединений, описанных в РСТ/US 01/48855. Однако заявителями было неожиданно и случайно обнаружено, что присутствие кольца А, определенного выше, приводит к повышению уровня ингибирования гиразной активности и Topo IV-активности и к повышению противомикробной активности.
В одном из своих вариантов настоящее изобретение относится к соединению формулы II

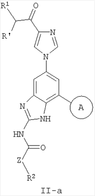
или к его фармацевтически приемлемой соли, где Z, R2 и кольцо А определены выше, а имидазольное кольцо необязательно замещено в 4-положении группой С(О)N(R’)2 и/или замещено во 2-положении группой R’. В соответствии с этим в другом своем варианте настоящее изобретение относится к соединению формулы II-а:

или к его фармацевтически приемлемой соли, где Z, R2, R’ и кольцо А определены выше.
В других вариантах R2 и кольцо А формулы II-а имеют значения, описанные выше для формулы I.
В других вариантах группы R’ формулы II-а выбраны из водорода или С1-4алифатической группы.
В одном из своих вариантов настоящее изобретение относится к соединению формулы II или II-а, где Z представляет собой NH.
В другом своем варианте настоящее изобретение относится к соединению формулы II или II-а, где Z представляет собой О.
В другом своем варианте настоящее изобретение относится к соединению формулы III:

или к его фармацевтически приемлемой соли, где Z, R2 и кольцо А определены выше, а пиридоновое кольцо замещено 0-2 группами, независимо выбранными из -(СН2)y-Ar, галогена, оксо, R’, CO2R’, OR’, N(R’)2, SR’, C(O)N(R’)2, NR’C(O)R’, SO2R’, SO2N(R’)2 или NR’SO2R’.
В других вариантах R2 и кольцо А формулы III имеют значения, описанные выше для формулы I.
В других вариантах заместители в пиридоновом кольце формулы III имеют такие же значения, как и предпочтительные заместители R1 формулы I.
В одном из своих вариантов настоящее изобретение относится к соединению формулы III, где Z представляет собой NH.
В другом своем варианте настоящее изобретение относится к соединению формулы III, где Z представляет собой О.
В другом своем варианте настоящее изобретение относится к соединению формулы III-а:

или к его фармацевтически приемлемой соли, где Z, R’, R2 и кольцо А определены выше.
В других вариантах группы R2 формулы III-а имеют значения, описанные выше для групп R2 формулы I.
В других вариантах кольцо А формулы III-а имеет значения, описанные выше для колец А формулы I.
В некоторых вариантах заместители R’ в пиридоновом кольце формулы III-а выбраны из водорода или С1-4алифатической группы, где R’ необязательно замещен фенилом или пиридилом. В других вариантах изобретения заместители R’ в пиридоновом кольце формулы III-а выбраны из метила, этила, трет-бутила, изобутила, циклопропила, изопропила, СН2-фенила, СН2-пиридин-3-ила, СН2-пиперидинила, СН2-циклопропила или СН2СН2ОСН3.
В одном из своих вариантов настоящее изобретение относится к соединению формулы III-а, где Z представляет собой NH.
В другом своем варианте настоящее изобретение относится к соединению формулы III-а, где Z представляет собой О.
В другом своем варианте настоящее изобретение относится к соединению формулы IV

или к его фармацевтически приемлемой соли, где y, Z, Т, Ar, R2 и кольцо А определены выше.
В других вариантах кольцо А и группы R2 формулы IV имеют значения, описанные выше для кольца А и группы R2 вышеуказанной формулы I.
В одном из вариантов изобретения группа Ar формулы IV представляет собой необязательно замещенное 5-6-членное насыщенное кольцо, содержащее 1-2 гетероатома, независимо выбранных из кислорода, азота или серы.
В другом варианте изобретения группа Ar формулы IV представляет собой необязательно замещенное 5-членное гетероарильное кольцо, содержащее 1-3 гетероатома, независимо выбранных из азота, кислорода или серы.
В другом варианте изобретения группа Ar формулы IV представляет собой необязательно замещенное 6-членное гетероарильное кольцо, содержащее 1-3 атома азота.
В еще одном своем варианте настоящее изобретение относится к соединению формулы IV, где Ar представляет собой необязательно замещенный фенил.
В еще одном своем варианте настоящее изобретение относится к соединению формулы IV, где Z представляет собой NH.
Примерами заместителей в группе Ar формулы IV являются галоген, OR’, R’, CO2R’, SO2R’, оксо и С(О)R’.
В другом своем варианте настоящее изобретение относится к соединению формулы IV, где Z представляет собой О.
В другом своем варианте настоящее изобретение относится к соединению формулы V

или к его фармацевтически приемлемой соли, где y, Z, R2 и R1 определены выше.
В других вариантах группы R1 и R2 формулы V имеют значения, описанные выше для групп R1 и R2 вышеуказанной формулы I.
В одном из своих вариантов настоящее изобретение относится к соединению формулы V, где Z представляет собой NH.
Примерами заместителей в группе Ar формулы IV являются галоген, OR’, R’, CO2R’, SO2R’, оксо и С(О)R’.
В другом своем варианте настоящее изобретение относится к соединению формулы V, где Z представляет собой О.
В другом своем варианте настоящее изобретение относится к соединению формулы VI

или к его фармацевтически приемлемой соли, где y, Z, Т, Ar и R2 определены выше.
В других вариантах группа R2 формулы IV имеет значения, описанные выше для группы R2 вышеуказанной формулы I.
В одном из вариантов изобретения группа Ar формулы VI представляет собой необязательно замещенное 5-6-членное насыщенное кольцо, содержащее 1-2 гетероатома, независимо выбранных из кислорода, азота или серы.
В другом варианте изобретения группа Ar формулы VI представляет собой необязательно замещенное 5-членное гетероарильное кольцо, содержащее 1-3 гетероатома, независимо выбранных из азота, кислорода или серы.
В другом варианте изобретения группа Ar формулы VI представляет собой необязательно замещенное 6-членное гетероарильное кольцо, содержащее 1-3 атома азота.
В еще одном своем варианте настоящее изобретение относится к соединению формулы VI, где Ar представляет собой необязательно замещенный фенил.
В еще одном своем варианте настоящее изобретение относится к соединению формулы VI, где Z представляет собой NH.
Примерами заместителей в группе Ar формулы VI являются галоген, OR’, R’, CO2R’, SO2R’, оксо и С(О)R’.
В другом своем варианте настоящее изобретение относится к соединению формулы VI, где Z представляет собой О.
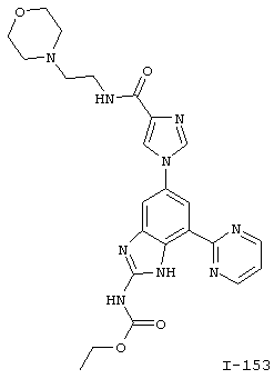
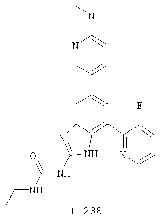
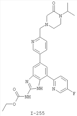
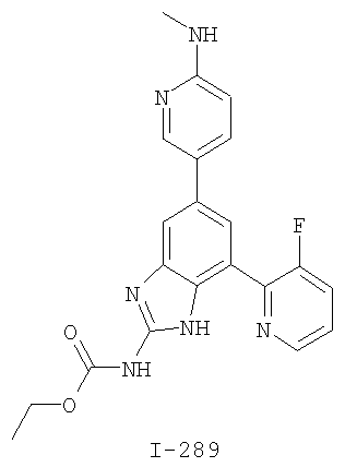
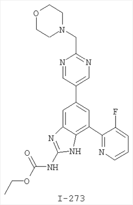
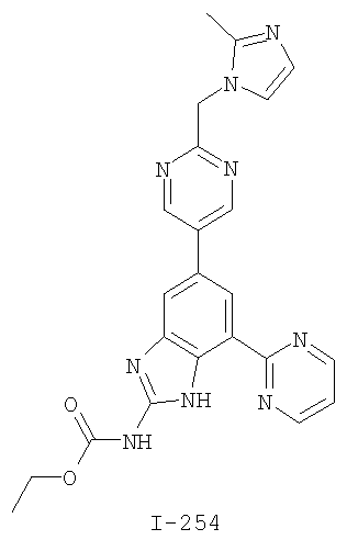
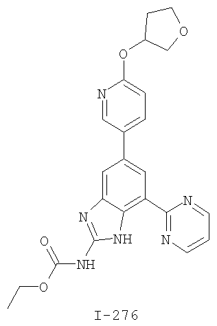
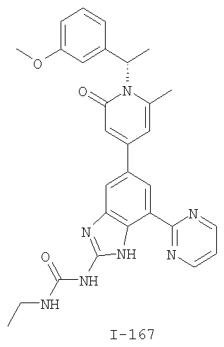
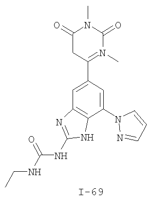
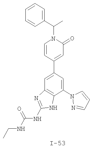
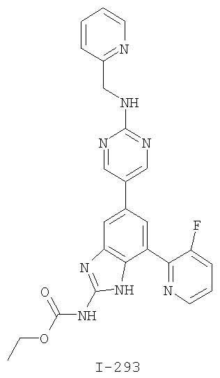
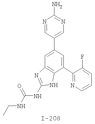
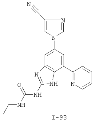
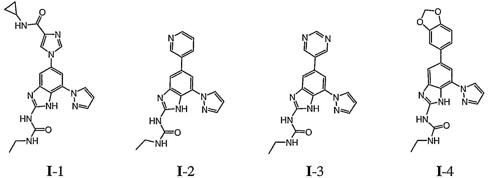
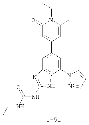
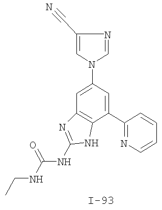
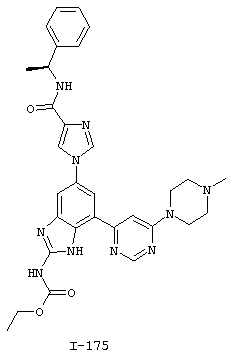
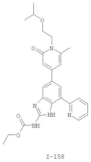
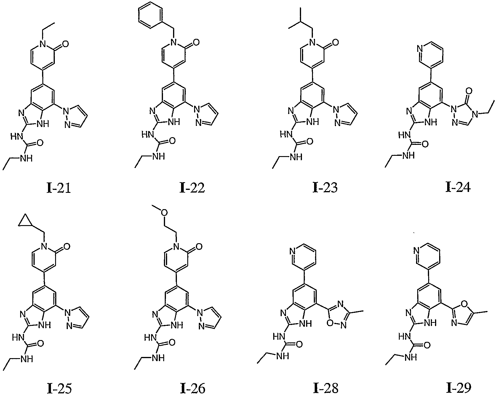
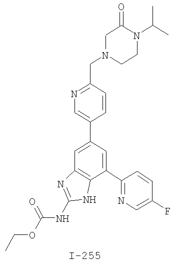
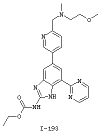
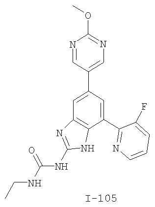
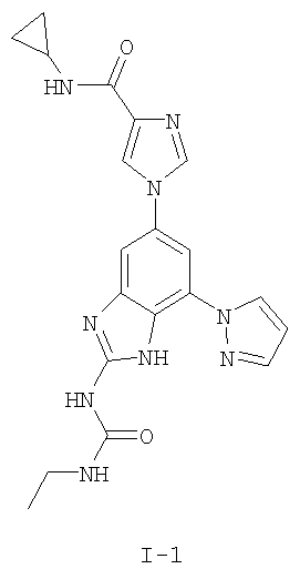
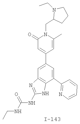
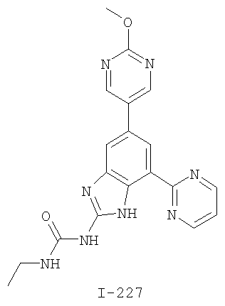
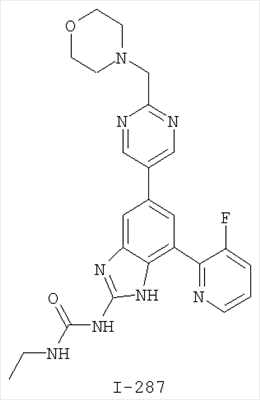
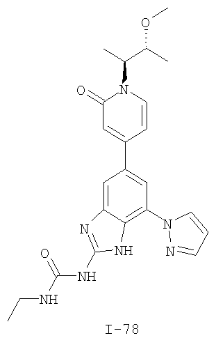
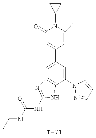
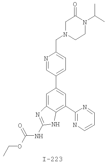
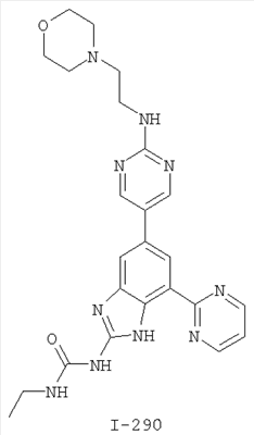
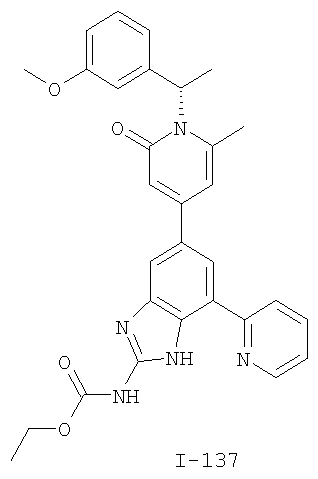
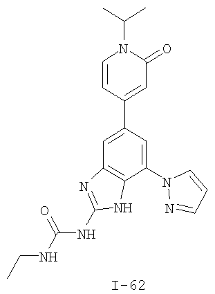
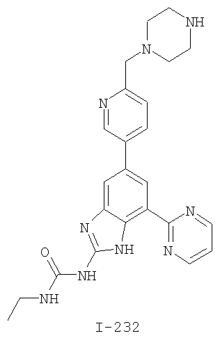
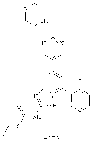
Примеры структур формулы I приводятся ниже в таблице 2.
Соединения настоящего изобретения могут быть получены общими методами, обычно применяемыми специалистами для получения аналогичных соединений, как проиллюстрировано на нижеследующих общих схемах I, II, III и IV и в описанных ниже примерах.
Схема I

На вышеприведенной схеме I проиллюстрирован общий метод получения N’-алкил-N-цианомочевин (3), используемых для получения соединения настоящего изобретения, где Z представляет собой NH. В стадии (а) цианамид (2) обрабатывают алкилизоцианатом в водном растворе гидроксида натрия, и после подкисления получают соединение 3. Каждому специалисту понятно, что различные изоцианаты могут быть подвергнуты реакции в условиях, проиллюстрированных на схеме I, с получением различных N’-алкил-N-цианомочевин.
Схема II

Реагенты и условия: (а) перборат натрия, НОАс, 55°С; (b) кольцо А, NaH, ТГФ; (с) NH3, МеОН, EtOH, 80°С; (d) R1-В(ОН)2, Pd(PPh3)4, NaHCO3, H2O, ТГФ, 70°С; (е) H2, Pd/С, EtAc; (f) 3, Н2SO4, 95°С; (g) 2-метил-2-тиопсевдомочевина, R2-хлорформиат.
На вышеприведенной схеме II проиллюстрирован общий метод получения бензимидазольных соединений настоящего изобретения, где Z представляет собой NH или О. Броманилин (4) обрабатывают перборатом натрия и уксусной кислотой с получением дифторнитросоединения (5). Соединение 5 обрабатывают путем взаимодействия с кольцом А в присутствии гидрида натрия с получением биарильного соединения 6. Оставшийся атом фтора соединения 6 заменяют аминогруппой путем взаимодействия с аммиаком, в результате чего получают аминосоединение (7). Затем, на стадии (d), 2-нитро-5-броманилин (7) подвергают реакции взаимодействия с арилбороновой кислотой в присутствии палладия, в результате чего получают триарильное соединение (8). Нитрогруппу соединения 8 восстанавливают с получением диаминосоединения, которое обрабатывают N’-алкил-N-цианомочевиной (3) с получением бензимидазольного соединения формулы I, где Z представляет собой NH (9).
Альтернативно, промежуточное соединение 8 может быть использовано для получения соединений формулы I, где Z представляет собой О. После восстановления до диаминосоединения соединение 8 обрабатывают 2-метил-2-тиопсевдомочевиной и R2-хлорформиатом с получением соединения 10 методом, описанным L.I. Kruse et al., J. Med. Chem. 1989, 32, 409-417. Для каждого специалиста понятно, что реакции, представленные выше на схеме II, осуществляют с использованием различных групп R1 и колец А настоящего изобретения.
В альтернативном методе промежуточное соединение 8 обрабатывают либо N,N-диэтилкарбокси-2-метил-2-тиопсевдомочевиной, либо N,N-диэтилуреамидо-2-метил-2-тиопсевдомочевиной, в результате чего получают соединения 10 и 9 соответственно. Синтез N,N-диэтилкарбокси-2-метил-2-тиопсевдомочевины и N,N-диэтилуреамидо-2-метил-2-тиопсевдомочевины описан в нижеследующих примерах.
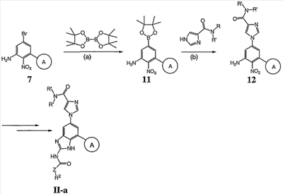
Схема III

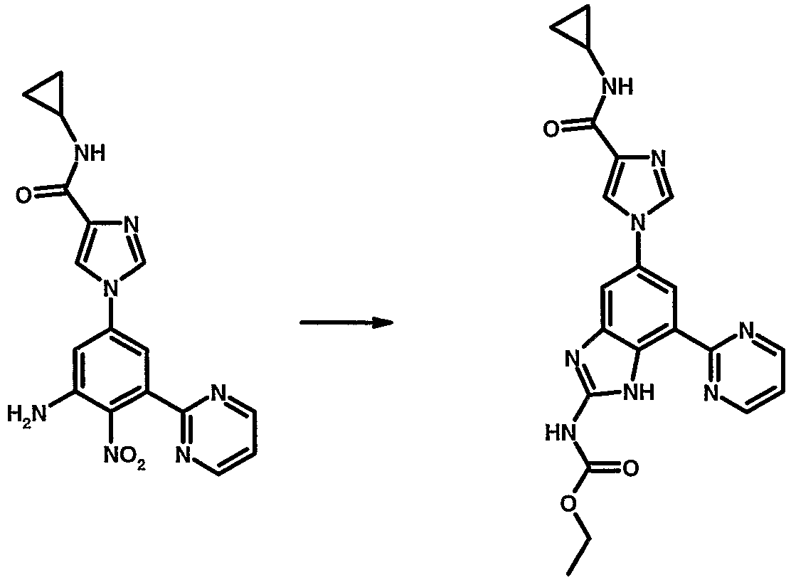
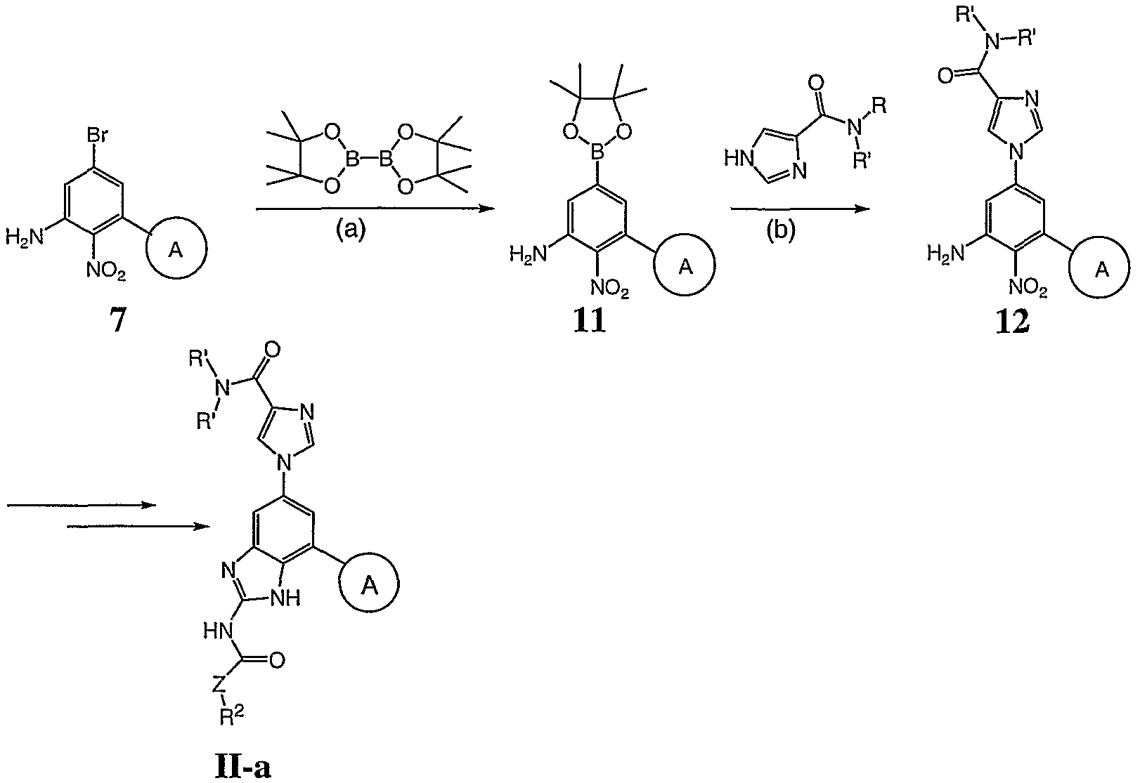
Реагенты и условия: (а) Pd(dppf)Cl2/KOAc, ДМСО, 80°С и (b) Cu(OAc)2/пиридин, ДМФА.
На вышеуказанной схеме III проиллюстрирован общий метод получения соединений формулы II-a, в основном как описано Kiyomori A., Marcoux J.F.; Buchwald S.I., Tetrahedron letters, vol. 40 (1999) 2657-2660. Соединение 7 обрабатывают сложным эфиром диборановой кислоты в присутствии Pd(dppf)/ацетата калия в ДМСО при 80°С с получением промежуточного соединения 11. Соединение 11 обрабатывают 4-С(О)N(R’)2-имидазолом в присутствии ацетата меди, в результате чего получают 4-С(О)N(R’)2-имидазол-1-ильное соединение 12. Соединение формулы II-a получают из соединения 12, как описано в схеме II, в стадиях (е), (f) и (g).
Хотя 4-С(О)N(R’)2-имидазол используется лишь в качестве примера, однако, каждому специалисту понятно, что в реакции замещения на стадии (с) могут быть использованы различные группы R1, в результате чего могут быть получены различные соединения настоящего изобретения. В общих чертах, боронатное промежуточное соединение 11 может быть обработано различными R1-галогенидами или R1-трифлатами с применением методов, хорошо известных специалистам, в результате чего получают промежуточные соединения 12′, описанные ниже. С применением описанных здесь методов и методов, известных специалистам, соединения 12′ могут быть использованы для получения соединений 9 и 10 настоящего изобретения, как описано выше на схеме II.

Схема IV

Реагенты и условия: (а); (b) NH4ОН/диоксан, кипячение с обратным холодильником; (с) Pd(PPh3)4/ТГФ, кипячение с обратным холодильником; и (d) Na2CO3/ДМФА, нагревание.
На схеме IV проиллюстрирован альтернативный метод получения соединений формулы II-а. Соединение 13 подвергают нитрованию с получением соединения 14. Соединение 14 обрабатывают гидроксидом аммония с получением аминосоединения 15. Атом брома соединения 15 заменяют путем обработки реагентом BrZn-кольцо А в присутствии Pd(PPh3)4 в ТГФ с получением соединения 16. Соединение 16 обрабатывают 4-С(О)N(R’)2-имидазолом в присутствии карбоната натрия с получением 4-С(О)N(R’)2-имидазол-1-ильного соединения 18. Затем получают соединение формулы II-а из соединения 18, как описано в стадиях (е), (f) и (g) схемы II.
Для каждого специалиста очевидно, что различные соединения настоящего изобретения могут быть получены общими методами, описанными в схемах I, II, III и IV, методами, известными специалистам, и методами синтеза, описанными в нижеследующих примерах.
Соединения настоящего изобретения являются сильными ингибиторами гиразы и Topo IV, как было определено с помощью ферментативного анализа. Также было показано, что эти соединения обладают противомикробной активностью путем анализа на противомикробную чувствительность. Активность соединения, используемого в настоящем изобретении в качестве ингибитора гиразы или Topo IV, может быть проанализирована in vitro, in vivo или в клеточной линии методами, известными специалистам. Подробное описание условий, используемых в ферментативном анализе и в анализе на противомикробную чувствительность, приводится в нижеследующих примерах.
В другом своем варианте настоящее изобретение относится к композиции, содержащей соединение настоящего изобретения или его фармацевтически приемлемую соль и фармацевтически приемлемый носитель, адъювант или наполнитель. Количество соединения в композициях настоящего изобретения должно быть эффективным для детектируемого ингибирования гиразы и Topo IV или для детектируемого снижения количества бактерий в биологическом образце или у пациента. Композицию настоящего изобретения составляют предпочтительно для введения пациенту, нуждающемуся в таком введении. Наиболее предпочтительно, чтобы композиция настоящего изобретения была составлена с целью перорального введения пациенту.
Используемый здесь термин “биологический образец” включает, но не ограничивается ими, клеточные культуры или их экстракты; материал, полученный от млекопитающих путем биопсии, или его экстракты; а также кровь, слюну, мочу, экскременты, сперму, слезы или другие физиологические жидкости или их экстракты.
Ингибирование гиразной активности и/или Topo IV-активности в биологическом образце может быть использовано в различных целях, известных специалистам. Такими целями являются, например, но не ограничиваются ими, переливание крови, трансплантация органов, хранение биологических образцов и биологические анализы.
Используемый здесь термин “пациент” означает животное, предпочтительно млекопитающее, а наиболее предпочтительно человека.
Термин “фармацевтически приемлемый носитель, адъювант или наполнитель” означает нетоксичный носитель, адъювант или наполнитель, который не оказывает негативного воздействия на фармакологическую активность соединения, в комбинации с которым он используется. Фармацевтически приемлемыми носителями, адъювантами или наполнителями, которые могут быть использованы в композициях настоящего изобретения, являются, но не ограничиваются ими, ионообменники, оксид алюминия, стеарат алюминия, лецитин, сывороточные белки, такие как альбумин сыворотки человека, буферные вещества, такие как фосфаты, глицин, сорбиновая кислота, сорбат калия, смеси неполных глицеридов насыщенных растительных жирных кислот, вода, соли или электролиты, такие как сульфат протамина, динатрийбифосфат, гидрофосфат калия, хлорид натрия, соли цинка, коллоидная двуокись кремния, трисиликат магния, поливинилпирролидон, вещества на основе целлюлозы, полиэтиленгликоль, натрий-содержащая карбоксиметилцеллюлоза, полиакрилаты, воски, блоксополимеры полиэтилена и полиоксипропилена, полиэтиленгликоль и ланолин.
Используемый здесь термин “детектируемое ингибирование” означает измеряемое изменение в гиразной или Topo IV-активности в образце, содержащем указанную композицию и гиразу или Topo IV, по сравнению с образцом, содержащим гиразу или Topo IV в отсутствие указанной композиции.
Используемый здесь термин “измеряемое снижение количества бактерий” означает измеряемое изменение числа бактерий в образце, содержащем указанную композицию, по сравнению с образцом, содержащим только бактерии.
Термин “фармацевтически приемлемая соль” означает любую нетоксичную соль соединения настоящего изобретения, которая, после ее введения реципиенту, способна обеспечивать, прямо или опосредованно, доставку соединения настоящего изобретения, или метаболита, или его остатка, обладающего ингибирующей активностью. Используемый здесь термин “метаболит или его остаток, обладающие ингибирующей активностью” означает, что указанный метаболит или его остаток также являются ингибиторами гиразы и/или Topo IV.
Фармацевтически приемлемыми солями соединений настоящего изобретения являются соли, полученные из фармацевтически приемлемых неорганических и органических кислот и оснований. Примерами подходящих кислотно-аддитивных солей являются ацетат, адипат, альгинат, аспартат, бензоат, бензолсульфонат, бисульфат, бутират, цитрат, камфорат, камфорсульфонат, циклопентанпропионат, диглюконат, додецилсульфат, этансульфонат, формиат, фумарат, глюкогептаноат, глицерофосфат, гликолят, неполный сульфат, гептаноат, гексаноат, гидрохлорид, гидробромид, гидроиодид, 2-гидроксиэтансульфонат, лактат, малеат, малонат, метансульфонат, 2-нафталинсульфонат, никотинат, нитрат, оксалат, пальмоат, пектинат, персульфат, 3-фенилпропионат, фосфат, пикрат, пивалат, пропионат, салицилат, сукцинат, сульфат, тартрат, тиоцианат, тозилат и ундеканоат. Другие кислоты, такие как щавелевая кислота, хотя и не являются фармацевтически приемлемыми, могут быть использованы для получения солей, применяемых в качестве промежуточных соединений при получении соединений настоящего изобретения и их фармацевтически приемлемых кислотно-аддитивных солей.
Солями, полученными из соответствующих оснований, являются соли щелочных металлов (например, натрия и калия), соли щелочноземельных металлов (например, магния), соли аммония и N+(С1-4алкил)4-соли. В настоящем изобретении также рассматривается кватернизация любых основных азотсодержащих групп описанных здесь соединений. В результате такой кватернизации могут быть получены продукты, растворимые или диспергируемые в воде или в масле.
Композиции настоящего изобретения могут быть введены перорально, парентерально, путем ингаляции, местно, ректально, интраназально, трансбуккально, вагинально или с помощью имплантированного депо-препарата. Используемый здесь термин “парентеральный” относится к подкожным, внутривенным, внутримышечным, внутрисуставным, интрасиновиальным, внутригрудинным, интратекальным, внутрипеченочным и интракраниальным инъекциям или вливаниям, а также к инъекциям или вливаниям в пораженный участок. Указанные композиции предпочтительно вводят перорально, внутрибрюшинно или внутривенно. Стерильные формы композиций настоящего изобретения для инъекций могут представлять собой водную или маслянистую суспензию. Эти суспензии могут быть приготовлены методами, известными специалистам, с использованием подходящих диспергирующих или смачивающих агентов и суспендирующих агентов. Стерильный препарат для инъекций может также представлять собой стерильный раствор или суспензию для инъекций в нетоксичном парентерально приемлемом разбавителе или растворителе, например раствор в 1,3-бутандиоле. Указанными приемлемыми носителями и растворителями, которые могут быть использованы, являются вода, раствор Рингера и изотонический раствор хлорида натрия. Кроме того, в качестве растворителя или суспендирующей среды обычно используются стерильные жирные масла.
Для этой цели может быть использовано любое мягкое жирное масло, включая синтетические моно- или диглицериды. Жирные кислоты, такие как олеиновая кислота или ее глицеридные производные, могут быть использованы в препаратах для инъекций, поскольку они являются природными фармацевтически приемлемыми маслами, такими как оливковое масло или касторовое масло, а в частности, их полиоксиэтилированные производные. Эти масляные растворы или суспензии могут также содержать разбавитель на основе длинноцепочечного спирта или диспергирующее вещество, такие как карбоксиметилцеллюлоза или аналогичные дисперигирующие агенты, обычно используемые для приготовления фармацевтически приемлемых лекарственных форм, включая эмульсии и суспензии. Для приготовления такого препарата также обычно используются и другие поверхностно-активные вещества, такие как твины, спаны и другие эмульгирующие вещества или вещества, повышающие биологическую доступность, которые обычно применяются для приготовления фармацевтически приемлемых твердых веществ, жидкостей или других лекарственных форм.
Фармацевтически приемлемые композиции настоящего изобретения могут быть введены перорально в любой перорально приемлемой лекарственной форме, включая, но не ограничиваясь ими, капсулы, таблетки, водные суспензии или растворы. В случае таблеток для перорального введения обычно используемыми носителями являются лактоза и кукурузный крахмал. Обычно также добавляют замасливатели, такие как стеарат магния. Для перорального введения лекарственной формы в виде капсулы подходящими разбавителями являются лактоза и сухой кукурузный крахмал. Если для перорального введения необходимо использовать водные суспензии, то активный ингредиент объединяют с эмульгирующими и суспендирующими агентами. При необходимости могут быть также добавлены определенные подсластители, ароматизаторы или красители.
Альтернативно, фармацевтически приемлемые композиции настоящего изобретения могут быть введены в форме суппозиториев для ректального введения. Они могут быть получены путем смешивания указанного агента с подходящим нераздражающим наполнителем, который является твердым при комнатной температуре, но жидким при температуре прямой кишки, а поэтому он расплавляется в прямой кишке с высвобождением лекарственного средства. Такими материалами являются масло какао, пчелиный воск и полиэтиленгликоли.
Фармацевтически приемлемые композиции настоящего изобретения могут быть также введены местно, особенно в том случае, когда объектом обработки являются участки или органы, легко доступные для местного применения, включая глаза, кожу или нижние отделы кишечного тракта. Подходящие препараты для местного применения могут быть легко приготовлены для доставки в каждый из этих участков или органов.
Местное введение в нижние отделы кишечного тракта может быть осуществлено с помощью ректального препарата-суппозитория (см. выше) или с помощью подходящей клизмы. Могут быть также использованы пластыри для местного чрескожного применения.
Для местного применения фармацевтически приемлемые композиции могут быть приготовлены в виде подходящей мази, содержащей активный компонент, суспендированный или растворенный в одном или в нескольких носителях. Носителями для местного введения соединений настоящего изобретения являются, но не ограничиваются ими, минеральное масло, жидкое вазелиновое масло, белый вазелин, пропиленгликоль, полиоксиэтиленовое и полиоксипропиленовое соединение, эмульгирующий воск и вода. Альтернативно, фармацевтически приемлемые композиции могут быть приготовлены в виде подходящего лосьона или крема, содержащего активные компоненты, суспендированные или растворенные в одном или нескольких фармацевтически приемлемых носителях. Подходящими носителями являются, но не ограничиваются ими, минеральное масло, сорбитанмоностеарат, полисорбат 60, воск на основе цетиловых сложных эфиров, цетеариловый спирт, 2-октилдодеканол, бензиловый спирт и вода.
Для офтальмологического применения фармацевтически приемлемые композиции могут быть приготовлены в виде тонкодисперсных суспензий в изотоническом стерильном физиологическом растворе со скорректированным рН или предпочтительно в виде растворов в изотоническом стерильном физиологическом растворе со скорректированным рН, в присутствии или в отсутствие консерванта, такого как хлорид бензилалкония. Альтернативно, для офтальмологического применения фармацевтически приемлемые композиции могут быть приготовлены в виде мази, такой как вазелин.
Фармацевтически приемлемые композиции настоящего изобретения могут быть также введены путем интраназального аэрозоля или ингаляции. Такие композиции получают методами, хорошо известными специалистам по приготовлению фармацевтических средств, и они могут быть получены в виде растворов в физиологическом растворе, с использованием бензилового спирта или других подходящих консервантов, стимуляторов абсорбции для улучшения биологической доступности, фторуглеродов и/или других стандартных солюбилизирующих или диспергирующих агентов.
Более предпочтительно, фармацевтически приемлемые композиции настоящего изобретения приготавливают для перорального введения.
В монотерапии, для предупреждения и лечения бактериальных инфекций, вызываемых бактериями, такими как Streptococcus pneumoniae, Streptococcus pyogenes, Enterococcus faecalis, Enterococcus faecium, Klebsiella pneumoniae, Enterobacter sps., Proteus sps., Pseudomonas aeruginosa, E. coli, Serratia marcesens, Staphylococcus aureus, коагулазоотрицательные стафиллококки, Haemophilus influenzae, Bacillus anthracis, Mycoplasma pneumoniae, Moraxella catarralis, Chlamidia pneumoniae, Legionella pneumophila, Mycobacterium tuberculosis, Staphylococcus epidermidis или Helicobacter pylori, могут быть использованы уровни доз активного ингредиента, составляющие от примерно 0,01 до примерно 100 мг/кг массы тела в день, предпочтительно от 0,5 до примерно 75 мг/кг массы тела в день, а наиболее предпочтительно от примерно 1 до 50 мг/кг массы тела в день.
Фармацевтические композиции настоящего изобретения обычно вводят примерно 1-5 раз в день или, альтернативно, путем непрерывного вливания. Либо, альтернативно, композиции настоящего изобретения могут быть введены в виде препарата для пульсирующей перфузии. Такое введение может быть использовано для лечения хронических или острых инфекций. Количество активного ингредиента, который может быть объединен с материалами-носителями для приготовления разовой лекарственной формы, может варьироваться в зависимости от конкретного хозяина, подвергаемого лечению, и от конкретного способа введения. Типичный препарат содержит от примерно 5% до примерно 95% активного соединения (мас./мас.). Предпочтительно, чтобы такие препараты содержали от примерно 20% до примерно 80% активного соединения.
Если композиции настоящего изобретения содержат комбинацию соединения формулы I и одного или нескольких терапевтических или профилактических средств, то соединение и дополнительный агент, оба, должны присутствовать в дозах, составляющих примерно 10-80% от доз, обычно вводимых при монотерапии.
После улучшения состояния пациента, если это необходимо, может быть введена поддерживающая доза соединения, композиции или комбинации настоящего изобретения. Затем, в зависимости от симптомов, доза или частота введения дозы или то и другое могут быть снижены до уровня, при котором сохраняется такое улучшение состояния, а если симптомы ослабляются до нужного уровня, то такое лечение должно быть прекращено. Однако некоторым пациентам может потребоваться периодическое лечение в течение длительного периода времени после появления каких либо-рецидивов или симптомов заболевания.
Для каждого специалиста очевидно, что может потребоваться введение более низких или более высоких доз, чем дозы, указанные выше. Конкретные схемы введения доз и проведения терапии для любого конкретного пациента зависят от различных факторов, включая активность конкретно используемого соединения, возраст, массу тела, общее состояние здоровья, пол, режим питания, время введения, скорость экскреции, используемую комбинацию лекарственных средств, тяжесть и течение заболевания и предрасположенность пациента к данному заболеванию, и назначаются лечащим врачом.
В зависимости от конкретного состояния или заболевания, подвергаемого лечению или предупреждению, в композиции настоящего изобретения могут быть также включены дополнительные терапевтические средства, которые обычно вводят для лечения или предупреждения такого состояния. Под используемым здесь понятием “дополнительные терапевтические средства, которые обычно вводят для лечения или предупреждения конкретного заболевания или состояния” обычно подразумеваются “средства, подходящие для лечения указанного заболевания или состояния”. Такими средствами являются, но не ограничиваются ими, антибиотик, противовоспалительное средство, ингибитор металлопротеазы матрикса, ингибитор липоксигеназы, антагонист цитокина, иммунодепрессант, противораковое средство, противовирусное средство, цитокин, фактор роста, иммуномодулятор, простагландин, соединение, препятствующее гиперпролиферации сосудов, или средство, повышающее восприимчивость бактериальных микроорганизмов к антибиотикам.
Средства, которые повышают восприимчивость бактериальных микроорганизмов к антибиотикам, являются известными. Так, например, в патенте США № 5523288, в патенте США № 5783561 и в патенте США № 6140306 описаны методы с использованием бактерицидных белков/белков, улучшающих проникновение в микроорганизмы (BPI), в целях повышения чувствительности грамположительных и грамотрицательных бактерий к антибиотикам. Средства, улучшающие проницаемость внешней мембраны бактериальных микроорганизмов, описаны Vaara M., Microbiological reviews (1992) pp. 395-411, а чувствительность грамотрицательных бактерий описана Tsubery H., et al., J. Med. Chem. (2000), pp. 3085-3092.
В другом своем варианте настоящее изобретение относится к способу лечения бактериальной инфекции или ослабления ее тяжести у пациента, где указанный способ включает стадию введения указанному пациенту композиции настоящего изобретения.
В другом своем варианте настоящее изобретение относится к способу ингибирования гиразы в биологическом образце.
В другом своем варианте настоящее изобретение относится к способу ингибирования Topo IV в биологическом образце.
В другом своем варианте настоящее изобретение относится к способу снижения количества бактерий в биологическом образце.
В другом своем варианте настоящее изобретение относится к способу снижения количества бактерий в биологическом образце, где указанный способ, кроме того, включает стадию контактирования указанного биологического образца со средством, повышающим восприимчивость бактериальных микроорганизмов к антибиотикам.
Фармацевтические композиции и способы настоящего изобретения могут быть эффективными, в основном, для борьбы с бактериальными инфекциями in vivo. Примерами бактериальных микроорганизмов, для борьбы с которыми могут быть применены композиции и способы настоящего изобретения, являются, но не ограничиваются ими, следующие микроорганизмы: Streptococcus pneumoniae, Streptococcus pyogenes, Enterococcus faecalis, Enterococcus faecium, Klebsiella pneumoniae, Enterobacter sps., Proteus sps., Pseudomonas aeruginosa, E. coli, Serratia marcesens, Staphylococcus aureus, коагулазо-отрицательные стафиллококки, Haemophilus infuenzae, Bacillus anthracis, Mycoplasma pneumoniae, Moraxella catarralis, H. influenzae, Chlamydia pneumoniae, Legionella pneumophila, Mycobacterium tuberculosis, Helicobacter pylori и Staphylococcus epidermidis.
Поэтому указанные композиции и способы могут быть использованы для уничтожения внутрибольничных или невнутрибольничных инфекций или для снижения степени прогрессирования, тяжести или осложнений этих инфекций. Примерами внутрибольничных инфекций являются, но не ограничиваются ими, инфекции мочевых путей, респираторные инфекции, такие как пневмония, инфекции, внесенные при хирургических операциях, и кровяная инфекция (также известная как бактериемия). Примерами невнутрибольничных инфекций являются, но не ограничиваются ими, инфекции мочевых путей, пневмония, простатит, кожные инфекции и инфекции мягких тканей, внутрибрюшинные инфекции и инфекции, вызывающие у пациентов нейтропению, сопровождающуюся лихорадкой.
Термин “фармацевтически эффективное количество” означает количество, эффективное для лечения или снижения уровня бактериальной инфекции у пациента. Термин “профилактически эффективное количество” означает количество, эффективное для предупреждения или значительного снижения уровня бактериальных инфекций у пациента.
Соединения настоящего изобретения могут быть использованы в стандартных способах борьбы с бактериальными инфекциями in vivo и лечения заболеваний или снижения степени прогрессирования или тяжести осложнений, вызываемых этими бактериями. Такие методы лечения, дозы и необходимые условия могут быть выбраны самим специалистом из существующих известных методов и технологий.
Так, например, соединение настоящего изобретения может быть объединено с фармацевтически приемлемым адъювантом для введения пациенту, страдающему бактериальной инфекцией или бактериальным заболеванием, фармацевтически приемлемым способом в количестве, эффективном для снижения степени тяжести такой инфекции или заболевания.
Альтернативно, соединения настоящего изобретения могут быть использованы в композициях и в способах лечения или профилактики бактериальных инфекций или заболеваний у индивидуумов в течение длительных периодов времени. Указанные соединения могут быть использованы в таких композициях либо отдельно, либо вместе с другими соединениями настоящего изобретения способом, который обычно применяется при использовании стандартных ингибиторов ферментов в фармацевтических композициях. Так, например, соединение настоящего изобретения может быть объединено с фармацевтически приемлемыми адъювантами, обычно используемыми в вакцинах, и введено в профилактически эффективных количествах для предупреждения возникновения бактериальных инфекций или заболеваний у индивидуума в течение длительного периода времени.
Для усиления эффекта терапии или профилактики различных бактериальных инфекций, соединения формулы I могут быть также введены вместе с другими антибиотиками. Если соединения настоящего изобретения вводят в комбинации с другими терапевтическими средствами, то они могут быть введены пациенту последовательно или одновременно. Альтернативно, фармацевтически или профилактически приемлемые композиции настоящего изобретения включают комбинацию соединения формулы I и другое терапевтическое или профилактическое средство.
Описанные выше дополнительные терапевтические средства могут быть введены отдельно, как часть схемы многоразового введения доз композиции, содержащей ингибитор. Альтернативно, эти средства могут представлять собой часть разовой лекарственной формы, смешанной с данным ингибитором в одной композиции.
Для лучшего понимания настоящего изобретения представлены нижеследующие примеры. Эти примеры приводятся лишь в целях иллюстрации и не должны рассматриваться как ограничение объема настоящего изобретения.
ПРИМЕРЫ
Пример 1
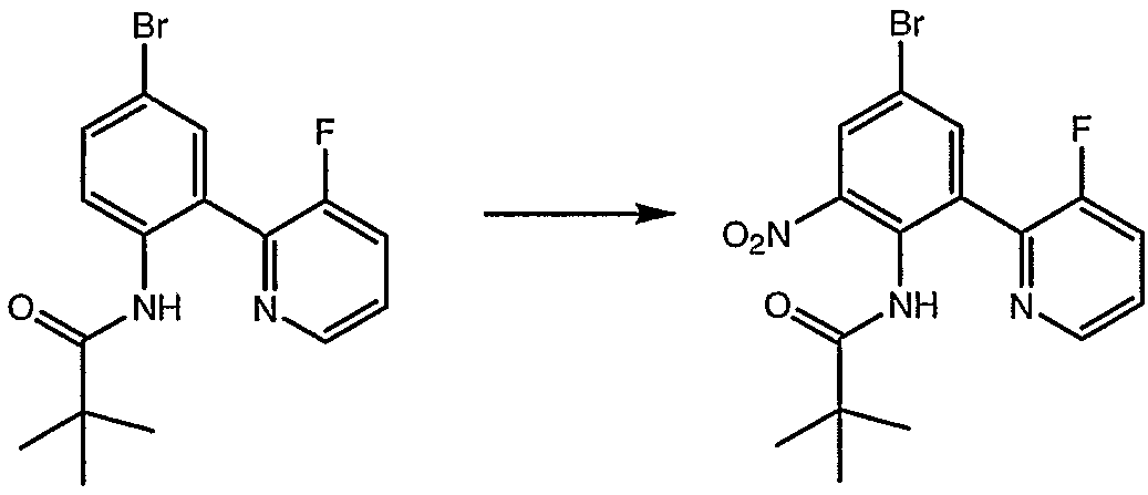
5-бром-1,3-дифтор-2-нитробензол: К суспензии тетрагидрата пербората натрия (1,04 г, 5 ммоль) в уксусной кислоте (20 мл), перемешиваемой при 55°С, в течение 1 часа по каплям добавляли раствор 4-бром-2,6-дифторанилина в уксусной кислоте (10 мл). После перемешивания при 55°С в течение еще 3 часов раствор охлаждали до комнатной температуры и фильтровали. Фильтрат выливали на лед и два раза экстрагировали этилацетатом. Объединенные органические экстракты последовательно промывали 5×100 мл порциями воды и насыщенным раствором соли, сушили (MgSO4) и концентрировали в вакууме. Полученный остаток очищали колоночной хроматографией на силикагеле, элюируя смесью этилацетат:гексан (1:20), в результате чего получали 780 мг указанного в заголовке соединения в виде коричневато-желтого твердого вещества. 1Н-ЯМР (CDCl3) : 7,32 (дт, 2Н).
Пример 2
1-(5-бром-3-фтор-2-нитрофенил)-1Н-пиразол: К суспензии гидрида натрия (44 мг, 1,1 ммоль, 60% масляная дисперсия) в ТГФ (4 мл), перемешиваемой при 0°С, добавляли раствор пиразола (72 мг, 1,05 ммоль) в ТГФ (1 мл). Полученную смесь перемешивали при 0°С в течение 5 минут и добавляли раствор 5-бром-1,3-дифтор-2-нитробензола (238 мг, 1 ммоль) в ТГФ (1 мл). Смесь перемешивали при комнатной температуре в течение 1 часа, а затем реакционную смесь гасили водой (1 мл) и распределяли между водой (20 мл) и этилацетатом (50 мл). Органический слой промывали насыщенным раствором соли, сушили (MgSO4) и концентрировали в вакууме. Остаток очищали колоночной хроматографией на силикагеле, элюируя смесью этилацетат:гексан (1:6), в результате чего получали 240 мг (86%) указанного в заголовке соединения. 1Н-ЯМР (CDCl3) : 6,55 (т, 1Н), 7,45 (д, 1Н), 7,60 (с, 1Н), 7,80 (м, 2Н). МС (М+1) 287, (М+1+2) 289.
Пример 3
5-бром-2-нитро-3-пиразол-1-ил-фениламин: К раствору 1-(5-бром-3-фтор-2-нитрофенил)-1Н-пиразола (240 мг, 0,84 ммоль) в этаноле (3 мл) добавляли аммиак (3 мл, 2 н. в метаноле). Полученную смесь нагревали в герметично закрытой пробирке при 80°С в течение 16 часов, а затем концентрировали в вакууме. Остаток очищали колоночной хроматографией на силикагеле, элюируя смесью этилацетат:гексан (1:3), в результате чего получали 250 мг (86%) указанного в заголовке соединения в виде желтого твердого вещества. 1Н-ЯМР (CDCl3) : 5,20 (шир.с, 2Н), 6,50 (т, 2Н), 6,9 (д, 1Н), 7,1 (д, 1Н), 7,7 (д, 1Н), 7,8 (д, 1Н). МС (М+1) 283, (М+1+2) 285.
Пример 4
2-нитро-3-пиразол-1-ил-5-пиридин-3-ил-фениламин: К раствору 5-бром-2-нитро-3-пиразол-1-ил-фениламина (200 мг, 0,71 ммоль) в ТГФ (8 мл) последовательно добавляли 3-пиридилдиэтилборан (157 мг), (тетракистрифенилфосфин)палладий (0) (84 мг) и карбонат натрия (1,1 мл, 2,2 ммоль 2 М водного раствора). Полученную смесь перемешивали при 70°С в течение ночи, а затем охлаждали до комнатной температуры. Реакционную смесь разбавляли этилацетатом (100 мл) и промывали водой (50 мл) и насыщенным раствором соли (50 мл), а затем сушили (MgSO4) и концентрировали в вакууме. Полученный остаток очищали колоночной хроматографией на силикагеле, элюируя градиентом смеси этилацетат:гексан (1:3, 1:2, 1:0, 2:1, 4:1, 8:1), в результате чего получали 120 мг (60%) указанного в заголовке соединения в виде желтого твердого вещества. 1Н-ЯМР (ДМСО-d6) : 6,45 (шир.с, 2Н), 6,55 (т, 1Н), 7,1 (с, 1Н), 7,25 (с, 1Н), 7,55 (м, 1Н), 7,7 (с, 1Н), 8,1 (дт, 1Н), 8,3 (д, 1Н), 8,7 (д, 1Н), 8,9 (с, 1Н).
Пример 5
1-этил-3-(7-пиразол-1-ил-5-пиридин-3-ил-1Н-бензоимидазол-1-ил)мочевина (I-2): Суспензию 2-нитро-3-пиразол-1-ил-5-пиридин-3-ил-фениламина (120 мг, 0,40 ммоль) и 10% палладия на угле (12 мг) в этилацетате (10 мл) помещали в гидрогенизатор Парра под давлением водорода 45 фунт/кв.дюйм. Смесь перемешивали в течение 16 часов, фильтровали и фильтрат концентрировали в вакууме. Полученный остаток разбавляли Н2SO4 (1,6 мл или 1 н.) и добавляли N’-этил-N-цианомочевину (0,8 мл 1 М). Смесь нагревали при 95°С в течение 4 часов, а затем концентрировали в вакууме. Остаток очищали препаративной ВЭЖХ с получением 75 мг указанного в заголовке соединения в виде бис-TEA-соли, которую затем превращали в свободное основание, в результате чего получали указанное в заголовке соединение. 1Н-ЯМР (ДМСО-d6) : 1,1 (т, 3Н), 3,2 (м, 2Н), 7,0 (м, 1Н), 7,3 (д, 1Н), 7,5 (м, 1Н), 7,55 (с, 1Н), 8,0 (д, 1Н), 8,55 (дд, 1Н), 8,85 (с, 1Н), 10,1 (с, 1Н), 12,0 (с, 1Н). 1C/VS: один пик, (М+1) 348,23, (М-1) 346,18.
Пример 6
N’-этил-N-цианомочевина: К раствору гидроксида натрия (1,5 М водный раствор, 50 мл, 75,02 ммоль) при 20°С по каплям в течение 10 минут добавляли цианамид (8,5 г, 202,25 ммоль), а затем этилизоцианат (4 мл, 50,56 ммоль). После перемешивания в течение 30 минут снова добавляли гидроксид натрия (3 М, 25 мл, 75,02 ммоль) и этилизоцианат (4 мл, 50,56 ммоль). Полученный раствор выдерживали минимум 30 минут, а затем сразу использовали без выделения.
Пример 7
4-(пиридин-3-ил)-2-нитроанилин: К раствору 4-бром-2-нитроанилина (4,8 г, 22 ммоль) в DME (100 мл) добавляли сложный 1,3-пропандиоловый циклический эфир пиридин-3-бороновой кислоты (4 г, 24 ммоль), бикарбонат натрия (45 мл, 1 М) и тетракис(трифенилфосфин)палладий (0,05 экв.). Полученную смесь нагревали при 90°С в течение 8 часов, а затем охлаждали до комнатной температуры. Твердые вещества собирали, промывали водой, 5% EtOAc в гексане и сушили с получением указанного в заголовке соединения (5 г). 1Н-ЯМР (CDCl3) : 8,8 (д, 1Н), 8,55 (м, 1Н), 8,35 (д, 1Н), 7,85 (дд, 1Н), 7,65 (дд, 1Н), 7,35 (м, 1Н), 6,95 (д, 1Н), 6,25 (шир.с, 2Н).
Пример 8
2-бром-6-нитро-4-пиридин-3-ил-фениламин: К раствору 4-(пиридин-3-ил)-2-нитроанилина (1,3 г, 9 ммоль) в НОАс (25 мл) добавляли бром (1,58 г, 9,9 ммоль) в НОАс (5 мл). Полученную смесь перемешивали при комнатной температуре в течение 1 часа, а затем реакцию гасили ледяной водой. Твердые вещества собирали, промывали водой и сушили. Затем твердые вещества в EtOAc промывали NaOH (2 н.; 20 мл), водой и насыщенным раствором соли и концентрировали в вакууме. Концентрат очищали хроматографией [силикагель, этилацетат:гексан (1:1)] и получали указанное в заголовке соединение (0,8 г). 1Н-ЯМР (CDCl3) : 8,83 (д, 1Н), 8,55 (м, 1Н), 8,41 (д, 1Н), 8,15 (д, 1Н), 7,96 (м, 1Н), 7,41 (м, 1Н), 6,80 (шир.с, 2Н). МС (М+1) 294.
Пример 9
2-нитро-6-пиридин-2-ил-4-пиридин-3-ил-фениламин: Смесь 2-бром-6-нитро-4-пиридин-3-ил-фениламина (100 мг, 1 экв.), бромида 2-пиридилцинка (6 экв.) и тетракис(трифенилфосфин)палладия (0,1 экв.) в ТГФ (10 мл) нагревали при 100°С в течение 18 часов. Реакцию гасили водой (2 мл). Продукт экстрагировали EtOAc (20×3). Затем объединенный органический слой концентрировали в вакууме и остаток очищали хроматографией (силикагель, EtOAc), в результате чего получали указанное в заголовке соединение (75 мг) в виде желтого твердого вещества. (М+1) 293.
Пример 10
3-пиридин-2-ил-5-пиридин-3-ил-бензол-1,2-диамин: К раствору 2-нитро-6-пиридин-2-ил-4-пиридин-3-ил-фениламина (75 мг, 0,26 ммоль) в этилацетате (20 мл) добавляли 10% палладий на угле (50 мг). Полученную суспензию помещали в гидрогенизатор Парра под давлением водорода 40 фунт/кв.дюйм и перемешивали при комнатной температуре в течение одного часа. Катализатор удаляли фильтрацией и фильтрат концентрировали в вакууме, в результате чего получали указанное в заголовке соединение (50 мг, 0,19 ммоль).
Пример 11
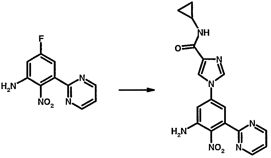
1-этил-3-(7-пиридин-2-ил-5-пиридин-3-ил-1Н-бензоимидазол-2-ил)мочевина (I-31): К раствору 3-пиридин-2-ил-5-пиридин-3-ил-бензол-1,2-диамина (50 мг, 0,19 ммоль) и серной кислоты (0,76 мл, 1 н.) в воде (1 мл) добавляли N’-этил-N-цианомочевину (0,76 мл, 1 М). Затем по каплям добавляли серную кислоту в количестве, достаточном для доведения рН до 3. Полученную смесь нагревали при 100°С в течение 8 часов. Затем реакционную смесь охлаждали до комнатной температуры. Твердые вещества собирали, промывали водой и сушили. Твердые вещества очищали хроматографией (силикагель, EtOAc, а затем 10% МеОН в EtOAc) и получали соединение 5 (27 мг). 1Н-ЯМР (CDCl3) : 8,92 (д, 1Н), 8,80 (м, 1Н), 8,52 (м, 1Н), 8,30 (м, 1Н), 8,21 (д, 1Н), 8,04 (с, 1Н), 7,94 (м, 1Н), 7,75 (с, 1Н), 7,56 (д, 1Н), 7,37 (м, 2Н), 3,36 (кв., 2Н), 1,24 (т, 3Н). (М+1) 359.
Пример 12

2,2-диметил-N-(2-пиримидин-2-ил-фенил)пропионамид: В 5-литровую колбу загружали вышеописанную бороновую кислоту в виде тетрагидрата (281,4 грамма, 960 ммоль), 2-хлорпиримидин (100 г, 874 ммоль), NaHCO3 (146,8 грамма, 1,746 моль) и Pd(PPh3)4 (10,0 грамма, 8,72 ммоль). Затем добавляли воду (1 л) и диметоксиэтан (1 л), и смесь медленно нагревали до 83°С (внутренняя температура) в течение 1 часа с помощью верхней мешалки. Через 2 часа все твердые вещества растворялись. Реакционную смесь оставляли на 8 часов для перемешивания. Смесь охлаждали до комнатной температуры и перемешивали в течение ночи, в результате чего образовывался густой осадок. Неочищенную смесь разбавляли водой (2 л) и перемешивали еще 2 часа, а затем смесь фильтровали и твердые вещества последовательно промывали водой, 0,1 н. NaOH и снова водой. Затем твердые вещества сушили в высоком вакууме при 50°C с получением указанного в заголовке соединения (233 грамма) в виде коричневато-желтого порошка.
Пример 13

N-(4-бром-2-пиримидин-2-ил-фенил)-2,2-диметил-пропионамид: К суспензии 2,2-диметил-N-(2-пиримидин-2-илфенил)пропионамида (117 граммов, 437 ммоль) в уксусной кислоте (1 л) при комнатной температуре в течение 1 часа добавляли бром (67 мл, 1,31 моль) в виде раствора в 100 мл уксусной кислоты. Гетерогенную смесь перемешивали при комнатной температуре в течение 5 часов, в результате чего образовывался густой осадок. Затем смесь выливали на лед, разбавляли 1 н. Na2S2O3 (2 л) и перемешивали в течение 1 часа. Твердые вещества фильтровали, ресуспендировали в воде (2 л), перемешивали в течение 1 часа, а затем фильтровали и снова промывали водой. Полученные твердые вещества сушили отсасыванием досуха при 50°С, ресуспендировали в НОАс (1 л) и в течение 20 минут обрабатывали раствором брома (22 мл, 430 ммоль) в уксусной кислоте (20 мл). Полученную гетерогенную смесь перемешивали в течение 5 часов, а затем гасили и обрабатывали, как описано выше. Полученные твердые вещества сушили в вакууме при 50°С с получением указанного в заголовке соединения (165 граммов) в виде коричневато-желтого порошка.
Пример 14

N-(4-бром-2-нитро-6-пиримидин-2-ил-фенил)-2,2-диметил-пропионамид: К суспензии N-(4-бром-2-пиримидин-2-илфенил)-2,2-диметилпропионамида (32,6 грамма, 97,5 ммоль) в TFA (400 мл) при 5°С в течение 30 минут добавляли 90% азотную кислоту (70 мл, 1,46 ммоль). Затем смесь нагревали до комнатной температуры и перемешивали всего 2 часа. Неочищенную реакционную смесь (уже гомогенную) выливали на лед с получением пастообразной массы. После этого смесь разбавляли водой до объема всего 2 л, обрабатывали 500 мл метанола и интенсивно перемешивали в течение 12 часов. Полученные твердые вещества фильтровали, обильно промывали водой, а затем сушили в вакууме при 50°C с получением указанного в заголовке соединения (29,9 грамма, выход 81%) в виде коричневато-желтого порошка.
Пример 15

4-бром-2-нитро-6-пиримидин-2-ил-фениламин: Суспензию N-(4-бром-2-нитро-6-пиримидин-2-ил-фенил)-2,2-диметилпропионамида (29,9 грамма, 78,8 ммоль) в концентрированной HCl (200 мл) кипятили с обратным холодильником в течение 8 часов. Частично гомогенную неочищенную реакционную смесь охлаждали до комнатной температуры, разбавляли водой (500 мл) и полученный осадок перемешивали в течение 1 часа. После этого твердые вещества фильтровали, промывали водой и сушили в вакууме при 50°С, в результате чего получали указанное в заголовке соединение (21,1 грамма, выход 91%) в виде оранжевого порошка.
Пример 16

2-нитро-6-пиримидин-2-ил-4-(4,4,5,5-тетраметил[1,3,2]диоксаборолан-2-ил)фениламин: Смесь 4-бром-2-нитро-6-пиримидин-2-ил-фениламина (1,82 г, 6,2 ммоль), бис(пинаколато)дибора (3,144 г, 12,4 ммоль), PdCl2dppf2 (453 мг, 0,6 ммоль) и КОАс (3,03 г, 31 ммоль) в диоксане (60 мл) нагревали при 105°С в течение 2,5 часа. Реакционную смесь фильтровали и промывали дихлорметаном. Объединенные фильтраты концентрировали в вакууме и к остатку добавляли воду (100 мл). После экстракции дихлорметаном (3×50 мл), сушки и концентрирования получали остаток, который промывали смесью эфира и гексана и получали указанное в заголовке соединение (2,07 г, 98%).
Пример 17

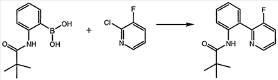
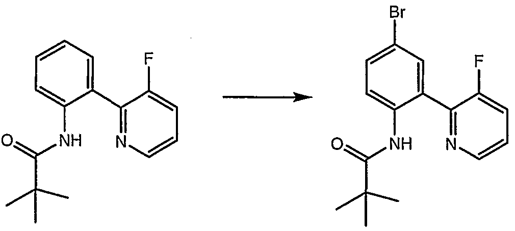
N-[2-(3-фторпиридин-2-ил)фенил]-2,2-диметилпропионамид: В 3-литровую колбу загружали вышеописанную бороновую кислоту в виде тетрагидрата (92,1 грамма, 314 ммоль), хлорфторпиридин (37,6 г, 286 ммоль), NaHCO3 (48,0 грамма, 572 ммоль) и Pd(PPh3)4 (3,3 грамма, 2,86 ммоль). Затем добавляли воду (300 мл) и диметоксиэтан (300 мл) и смесь медленно нагревали до 83°С (внутренняя температура) в течение 1 часа с помощью верхней мешалки. Через 2 часа все твердые вещества растворялись. Реакционную смесь оставляли на 10 часов для перемешивания. Смесь охлаждали до комнатной температуры и перемешивали в течение ночи, в результате чего образовывалась густая смола. Неочищенную смесь разбавляли водой (2 л) и перемешивали еще 2 часа. После этого смесь оставляли без перемешивания до тех пор, пока на дне колбы не осаждалась смола. Жидкую фазу удаляли в вакууме, затем заменяли на 0,1 н. NaOH и перемешивали 15 минут. Смолу оставляли для осаждения и жидкость удаляли в вакууме. После этого смолу аналогичным образом три раза промывали водой, а затем в виде ацетонового раствора переносили в одногорлую колбу. Смесь концентрировали в вакууме и пять раз подвергали азеотропной перегонке с этилацетатом.
Пример 18

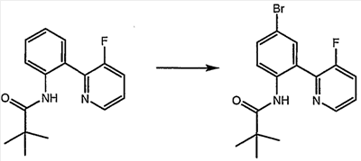
N-[4-бром-2-(3-фторпиридин-2-ил)фенил]-2,2-диметил-пропионамид: К суспензии N-[2-(3-фторпиридин-2-ил)фенил]-2,2-диметилпропионамида (77 ммоль) в уксусной кислоте (300 мл) в течение 1 часа при комнатной температуре добавляли бром (12 мл, 228 моль) в виде раствора в 50 мл уксусной кислоты. Гетерогенную смесь перемешивали при комнатной температуре в течение 5 часов, в результате чего образовывался густой осадок. Затем смесь выливали на лед, разбавляли 1 н. Na2S2O3 (500 мл) и перемешивали в течение 1 часа. Твердые вещества фильтровали, ресуспендировали в воде (2 л), перемешивали в течение 1 часа, а затем фильтровали и снова промывали водой. Полученные твердые вещества сушили отсасыванием досуха при 50°С, ресуспендировали в НОАс (1 л) и в течение 20 минут обрабатывали раствором брома (4 мл, 76 ммоль) в уксусной кислоте (20 мл). Полученную гетерогенную смесь перемешивали в течение 5 часов, а затем гасили и обрабатывали, как описано выше. Полученные твердые вещества сушили в вакууме при 50°C с получением указанного в заголовке соединения (19,1 грамма, 72%) в виде коричневато-желтого порошка.
Пример 19

N-[4-бром-2-(3-фторпиридин-2-ил)-6-нитрофенил]-2,2-диметил-пропионамид: К суспензии N-[4-бром-2-(3-фторпиридин-2-ил)фенил]-2,2-диметилпропионамида (6,45 грамма, 18,4 ммоль) в TFA (100 мл) и TFAA (25,5 мл, 183,6 ммоль) при 0°С добавляли TEA-раствор (30 мл) 90% дымящей азотной кислоты (2,46 мл, 55,1 ммоль) в течение 45 минут. Затем смесь перемешивали при 0°С всего 4 часа. Неочищенную реакционную смесь (уже гомогенную) выливали на лед с получением пастообразной массы. После этого смесь разбавляли водой до объема всего 500 мл, обрабатывали 50 мл метанола и интенсивно перемешивали в течение 12 часов. Полученные твердые вещества фильтровали, обильно промывали водой, а затем сушили в вакууме при 50°С с получением указанного в заголовке соединения (6,1 грамма, выход 82%) в виде коричневато-желтого порошка.
Пример 20

2-(3,5-дифторфенил)пиримидин: Раствор дифторбороновой кислоты (5,4 г, 34,1 ммоль) и 2-хлорпиримидина (3,0 г, 26,2 ммоль) в этаноле (50 мл) обрабатывали Na2СО3 (3,6 г, 34,1 ммоль) и Pd(PPh3)4 (1,5 г, 1,31 ммоль), а затем кипятили с обратным холодильником в течение 3 дней. Полученную смесь разбавляли EtOAc, добавляли силикагель и взвесь перемешивали при комнатной температуре в течение 3 часов. После этого неочищенную смесь фильтровали через слой силикагеля с EtOAc, концентрировали в вакууме и подвергали флеш-хроматографии (силикагель, градиент гексан/EtOAc, 19/1-14/1-9/1-7/1), в результате чего получали указанное в заголовке соединение (1,38 г, 27%) в виде белого твердого вещества. 1Н-ЯМР (ДМСО-d6, 500 МГц): 8,95 (д, 2Н), 7,98 (м, 2Н), 7,57 (дд, 1Н), 7,48 (м, 1Н).
Пример 21

2-(3,5-дифтор-2-нитрофенил)пиримидин: К раствору 2-(3,5-дифторфенил)пиримидина (1,2 г, 6,24 ммоль) в Н2SO4 (3 мл) при комнатной температуре в течение 10 секунд шприцем добавляли 90% NHO3 (0,375 мл, 9,37 ммоль). Полученную смесь перемешивали при комнатной температуре в течение 1 часа, а затем выливали на лед. Полученную гетерогенную смесь разбавляли водой, нагревали до комнатной температуры и фильтровали. Твердые вещества промывали водой и сушили в вакууме с получением указанного в заголовке соединения (1,53 г, 100%) в виде коричневато-желтого твердого вещества. 1Н-ЯМР (ДМСО-d6, 500 МГц): 8,92 (д, 2Н), 8,67 (м, 1Н), 7,94 (м, 1Н), 7,65 (дд, 1Н).
Пример 22

5-фтор-2-нитро-3-пиримидин-2-ил-фениламин: К раствору 2-(3,5-дифтор-2-нитрофенил)пиримидина (1,5 г, 6,32 ммоль) в диоксане (10 мл) при комнатной температуре добавляли третBuNH2 (6,6 мл, 63,24 ммоль). Смесь нагревали до 100°С в герметично закрытой пробирке в течение 10 часов. Затем смесь охлаждали до комнатной температуры, выливали в воду и твердые вещества перемешивали в течение 1 часа. Смесь фильтровали и твердые вещества промывали водой до тех пор, пока фильтрат не становился прозрачным. После этого неочищенный продукт разбавляли в МеОН, добавляли 6 н. HCl и полученную смесь кипятили с обратным холодильником в течение 3 часов. Реакционную смесь охлаждали до комнатной температуры и выливали на лед. Полученную гетерогенную смесь нагревали до комнатной температуры, фильтровали, твердые вещества промывали водой до тех пор, пока фильтрат не становился прозрачным, и сушили в вакууме, в результате чего получали указанное в заголовке соединение (1,33 г, 90%) в виде оранжевого порошка. 1Н-ЯМР (ДМСО-d6, 500 МГц): 8,87 (д, 2Н), 7,52 (дд, 1Н), 7,08 (дд, 1Н), 6,86 (дд, 1Н), 6,60 (с, 2Н).
Пример 23

Циклопропиламид 1-(3-амино-4-нитро-5-пиримидин-2-илфенил)-1Н-имидазол-4-карбоновой кислоты: К смеси 5-фтор-2-нитро-3-пиримидин-2-ил-фениламина (650 мг, 2,77 ммоль) в ДМФА (5 мл) добавляли соединение 17 (545 мг, 3,6 ммоль) и Na2CO3 (381 мг, 3,60 ммоль) при комнатной температуре. Полученную смесь нагревали до 125°С в течение 6 часов, а затем охлаждали до комнатной температуры. Полученную смесь разбавляли водой и желтый осадок перемешивали в течение 1 часа. Неочищенную реакционную смесь фильтровали и твердые вещества промывали водой до тех пор, пока фильтрат не становился прозрачным. Затем промытые твердые вещества сушили в вакууме и получали указанное в заголовке соединение (960 мг, 95%) в виде желтого порошка. 1Н-ЯМР (ДМСО-d6, 500 МГц): 8,91 (д, 1Н), 8,42 (с, 1Н), 8,29 (с, 1Н), 8,08 (д, 1Н), 7,52 (дд, 1Н), 7,36 (д, 1Н), 7,29 (д, 1Н), 6,59 (с, 2Н), 2,89 (м, 2Н), 0,072 (м, 2Н), 0,64 (м, 2Н).
Пример 24

N,N-диэтилкарбокси-2-метил-2-тиопсевдомочевина: К смеси сульфата 2-метил-2-тиопсевдомочевины (22,8 г, 81,9 ммоль) в метиленхлориде (200 мл) добавляли триэтиламин (34,5 мл, 245,7 ммоль) и этилхлорформиат (20,65 г, 245 ммоль). После перемешивания в течение ночи смесь промывали водой и насыщенным раствором соли, а затем сушили над сульфатом натрия, фильтровали и концентрировали в вакууме с получением едкого масла, которое подвергали флеш-хроматографии (10% этилацетат/гексан), в результате чего получали указанное в заголовке соединение (16,68 г, выход 86,9%) в виде бесцветного масла, которое отверждалось при отстаивании. 1Н-ЯМР (500 МГц, CDCl3) : 1,3 (кв., 6Н), 2,41 (с, 3Н), 4,22 (м, 4Н).
Пример 25

N,N-диэтилуреамидо-2-метил-2-тиопсевдомочевина: К смеси сульфата 2-метил-2-тиопсевдомочевины (2,0 г, 7,18 ммоль) в воде (3 мл) добавляли этилизоцианат (1,137 мл, 14,37 ммоль), а затем по каплям добавляли 6 н. NaOH до достижения стабильного рН 8. После выдерживания в течение 1 часа при рН 8 двухфазный раствор разбавляли водным насыщенным бикарбонатом натрия и экстрагировали этилацетатом (3×100 мл). Объединенные органические слои промывали насыщенным раствором соли и сушили над сульфатом натрия, а затем фильтровали и концентрировали в вакууме с получением указанного в заголовке соединения в виде едкого масла (1,54 г, 92,7%). ТСХ (50% этилацетат/метиленхлорид) и 1Н-ЯМР позволяли предположить, что данный продукт представлял собой смесь моно- и диацилпсевдомочевины. 1Н-ЯМР (500 МГц, CDCl3) : 1,18 (м, 2, 6Н), 2,31 и 2,41 (2с, 3Н), 3,28 (м, 4Н).
Пример 26

Сложный этиловый эфир [5-(4-циклопропилкарбамоил-имидазол-1-ил)-7-пиримидин-2-ил-1Н-бензоимидазол-2-ил]карбаминовой кислоты: К раствору циклопропиламида 1-(3-амино-4-нитро-5-пиримидин-2-илфенил)-1Н-имидазол-4-карбоновой кислоты (65 мг, 0,178 ммоль) в МеОН (10 мл) добавляли никелевый катализатор Ренея (2 капли водной взвеси, каталитическое количество) и полученную суспензию помещали на 2 часа в атмосферу Н2 под давлением 45 фунт/кв.дюйм (шейкер Парра). Полученную смесь фильтровали, концентрировали, разбавляли 3 мл буфера с рН=3,5 (полученного из 1 М Н2SO4 с добавлением NaOAc в количестве, достаточном для доведения рН до 3,5) и обрабатывали N,N-диэтилкарбокси-2-метил-2-тиопсевдомочевиной (0,267 мл, 1 М раствора N,N-диэтилкарбокси-2-метил-2-тиопсевдомочевины в диоксане) при комнатной температуре. Полученную смесь кипятили с обратным холодильником в течение 5 часов с получением гетерогенной суспензии. Реакционную смесь охлаждали до комнатной температуры, разбавляли водой и добавляли NH4ОН в количестве, достаточном для доведения рН до 6,0. Затем твердые вещества фильтровали и последовательно промывали водой, водой/метанолом, 2/1, EtOAc и, наконец, гексаном. Полученные твердые вещества суспендировали в МеОН, добавляли 2 эквивалента метансульфоновой кислоты и концентрировали в вакууме с получением указанного в заголовке соединения (75, 70%) в виде не совсем белого твердого вещества. 1Н-ЯМР (ДМСО-d6, 500 МГц): 9,28 (с, 1Н), 9,08 (д, 1Н), 8,8-7,4 (очень широкий с, 4Н), 8,67 (с, 1Н), 8,53 (с, 1Н), 8,46 (д, 1Н), 8,05 (д, 1Н), 7,59 (дд, 1Н), 4,33 (кв., 2Н), 2,88 (м, 1Н), 2,35 (с, 6Н), 1,34 (т, 3Н), 0,76 (м, 2Н), 0,61 (м, 2Н).
Пример 27
Авторами настоящего изобретения были получены и другие соединения формулы I методами, в основном аналогичными методам, описанным в схемах I-IV, в примерах 1-26 и известными методами. Характеристические данные этих соединений систематизированы ниже в таблице 3, и эти данные включают данные LC/MS (наблюдаемые) и 1Н-ЯМР.
Данные 1Н-ЯМР систематизированы ниже в таблице 3, где 1Н-ЯМР-спектры были получены при 500 МГц в дейтерированном ДМСО, если это не оговорено особо, и было обнаружено, что они соответствуют предполагаемой структуре. Номера соединений соответствуют номерам соединений, перечисленных в таблице 2.
Таблица 3 Характеристические данные для выбранных соединений формулы |
| Соединение № I- |
М-1 (наблюдаемые) |
М+1 (наблюдаемые) |
1Н-ЯМР |
| 16 |
347,2 |
349,2 |
1,1 (т, 3H), 3,2 (кв., 2H), 6,8 (т, 1H), 7,5 (м, 1H), 7,7 (с, 1H), 7,9 (с, 1H), 8,1 (д, 1H), 8,3 (с, 1H), 8,6 (д, 1H), 8,9 (с, 1H), 9,6 (с, 1H), 10,3 (с, 1H) |
| 20 |
360,3 |
362,3 |
(CD3OD): 8,89 (дд, 1H), 8,51 (дд, 1H), 8,42-8,29 (шир.с, 1H), 8,18 (ддд, 1H), 7,94-7,77 (шир.с, 1H), 7,63 (шир.с), 7,58 (шир.с, 1H), 7,53 (дд, 1H), 3,32 (кв., 2H), 2,21 (с, 3H), 1,23 (т, 3H) |
| 24 |
391,3 |
393,3 |
1,13 (т, 3H), 1,3 (т, 3H), 3,24 (кв., 2H), 3,37 (кв., 2H), 7,82 (с, 1H), 7,82 (с, 1H), 7,96 (т, 1H), 8,19 (с, 1H), 8,56 (с, 1H), 8,62 (д, 1H), 8,82 (д, 1H), 9,15 (с, 1H), 11,02 (с, 1H) |
| 42 |
390,3 |
392,2 |
1,13 (т, 3H), 2,45 (с, 3H), 3,23 (кв., 2H), 3,46 (с, 3H), 6,58 (м, 4H), 7,78 (м, 3H), 9,11 (с, 1H), 10,51 (с, 1H), 12,18 (с, 1H) |
| 43 |
– |
– |
1,15 (т, 3H), 3,25 (м, 2H), 3,35 (с, 3H), 4,6 (с, 2H), 7,4 (шир.с, 1H), 7,55 (с, 1H), 7,8 (м, 1H), 8,0 (д, 1H), 8,05 (д, 1H), 8,6 (м, 1H), 8,7 (м, 1H), 9,2 (с, 1H), 10,4 (шир.с, 1H) |
| 49 |
– |
– |
1,3 (т, 3H), 4,3 (кв., 2H), 6,65 (т, 1H), 7,75 (д, 1H), 7,85 (дд, 1H), 7,9 (с, 1H), 8,05 (д, 1H), 8,5 (d, 1H), 8,75 (дд, 1H), 9,1 (с, 1H), 11,7 (шир.с, 1H) |
| 50 |
377,2 |
379,1 |
1,23 (т, 3H), 2,89 (с, 3H), 3,36 (кв., 2H), 7,93 (д, 1H), 8,16 (д, 1H), 8,26 (д, 1H), 8,33 (д, 1H), 8,86 (д, 1H), 8,97 (д, 1H), 9,30 (д, 1H) |
| 51 |
– |
– |
1,1 (т, 3H), 1,25 (т, 3H), 3,25 (кв., 2H), 3,37 (с, 3H), 4,05 (кв., 2H), 6,6 (м, 4H), 7,65 (с, 1H), 7,9 (м, 2H), 9,1 (шир.с, 1H), 10,2 (шир.с, 1H), 11,8 (шир.с, 1H) |
| 54 |
– |
– |
0,5 (м, 2H), 0,8 (м, 2H), 2,7 (м, 1H), 6,4 (шир.с, 1H), 6,7 (м, 1H), 7,75 (с, 1H), 7,8 (м, 1H), 7,85 (с, 1H), 8,05 (м, 1H), 8,5 (шир.с, 1H), 8,7 (м, 1H), 9,05 (с, 1H), 9,15 (с, 1H), 10,2 (шир.с, 1H) |
| 55 |
– |
– |
1,15 (т, 3H), 3,25 (м, 2H), 7,25 (м, 1H), 7,5 (шир.с, 1H), 7,7 (м, 1H), 7,85 (с, 1H), 8,3 (с, 1H), 8,4 (м, 1H), 8,7 (м, 2H), 8,85 (с, 1H), 9,1 (с, 1H), 9,15 (дд, 1H), 10,5 (шир.с, 1H) |
| 57 |
377,1 |
379,2 |
9,08 (д, 1H), 8,48 (шир.с, 1H), 8,13 (д, 1H), 7,95 (д, 1H), 7,88 (с, 1H), 7,25 (д, 1H), 6,75 (д, 1H), 6,64 (с, 1H), 6,62 (дд, 1H), 6,4-5,7 (шир.с, 2H), 5,69 (кв., 2H), 3,48 (с, 3H), 1,48 (т, 3H) |
| 61 |
– |
– |
1,13 (n, 3H), 2,38 (с, 3H), 3,24 (кв., 2H) 5,36 (с, 2H), 6,71 (м, 2H), 6,83 (с, 1H), 7,18 (д, 2H), 7,28 (т, 1H), 7,38 (м, 2H), 7,76 (с, 1H), 7,92 (с, 2H), 8,30 (с, 1H), 9,08 (с, 1H), 11,50 (с, 1H) |
| 62 |
404,3 |
406,3 |
12,15, 11,81 (с, 1H), 10,34, 9,99 (с, 1H), 9,13, 8,99 (с, 1H), 7,99-7,81 (м, 3H), 7,68 (с, 1H), 7,30-6,59 (м, 4H), 5,09 (м, 1H), 3,23 (т, 2H), 1,33 (д, 6H), 1,13 (т, 3H) |
| 63 |
– |
– |
1,15 (т, 3H), 2,44 (с, 3H), 3,25 (кв., 2H) 5,44 (с, 2H), 6,70 (м, 3H), 7,40 (д, 1H), 7,49 (т, 1H), 7,75 (с, 1H), 7,85 (м, 1H), 7,97 (с, 2H), 8,12 (с, 1H), 8,60 (д, 1H), 9,09 (с, 1H), 11,21 (с, 1H) |
| 64 |
– |
– |
1,2 (т, 3H), 2,2 (м, 2H), 3,3 (м, 2H), 3,65 (м, 2H), 4,1 (т, 2H), 7,75 (с, 1H), 7,84 (с, 1H), 7,87 (с, 1H), 7,8 (м, 1H), 8,5 (м, 1H), 8,65 (м, 1H), 9,0 (с, 1H) |
| 65 |
423,1 |
425,1 |
(MeOH-d4 и CDCl3): 8,30-7,85 (м, 4H), 6,78 (с, 1H), 6,58 (с, 1H), 3,60 (с, 3H), 3,37 (кв., 2H), 2,80 (с, 3H), 1,25 (т, 3H) |
| 67 |
– |
– |
1,15 (т, 6H), 3,45 (кв., 4H), 6,7 (с, 1H), 7,7 (м, 2H), 7,9 (с, 1H), 8,1 (с, 1H), 8,4 (м, 1H), 8,7 (м, 1H), 9,1 (м, 2H), 10,6 (шир.с, 1H) |
| 68 |
453,2 |
455,2 |
12,17, 11.81 (с, 1H), 10,35, 9,99 (с, 1H), 9,13, 9,00 (с, 1H), 8,52 (с, 1H), 7,99-7,69 (м, 5H), 7,32-7,27 (м, 2H), 6,93-6,59 (м, 4H), 5,23 (с, 2H), 3,22 (кв., 2H), 1,13 (т, 3H) |
| 69 |
407,3 |
409,2 |
(MeOH-d4, HCl соль): 8,62 (с, 1H), 7,96-7,93 (м, 2H), 7,59 (с, 1H), 6,67 (с, 1H), 5,81 (с, 1H), 3,45, 3,39 (с, 3H), 3,36 (кв., 2H), 3,28, 3,20 (с, 3H), 1,23 (т, 3H) |
| 70 |
– |
– |
1,15 (т, 3H), 1,35 (т, 3H), 3,25 (кв., 2H), 4,3 (кв., 2H), 7,1 (шир.с, 1H), 7,85 (с, 1H), 8,05 (м, 1H), 8,2 (с, 1H), 8,3 (с, 1H), 8,8 (м, 1H), 8,85 (д, 1H), 9,25 (с, 1H), 9,65 (с, 1H), 10,7 (шир.с, 1H) |
| 71 |
416,2 |
418,2 |
0,84 (м, 2H), 1,14 (м, 5H), 2,55 (с, 3H), 2,91 (м, 1H), 3,26 (кв., 2H), 6,59 (с, 1H), 6,65 (с, 1H), 6,69 (с, 1H), 7,65 (с, 1H), 7,81 (м, 1H), 7,97 (с, 1H), 8,07 (с, 1H), 9,07 (с, 1H), 11,59 (с, 1H) |
| 72 |
– |
– |
1,1 (т, 3H), 3,2 (кв., 2H), 7,1 (шир.с, 1H), 7,8 (с, 1H), 8,0 (м, 1H), 8,2 (с, 1H), 8,25 (с, 1H), 8,7 (м, 1H), 8,8 (м, 1H), 9,2 (с, 1H), 9,6 (с, 1H), 10,7 (шир.с, 1H) |
| 73 |
448,2 |
450,2 |
(CD3OD): 1,18-1,26 (м, 9H), 3,27 (с, 3H), 3,36 (кв., 2H), 4,21 (с, 2H), 6,65-6,68 (м, 1H), 6,90-6,94 (м, 1H), 6,98-7,01 (м, 1H), 7,78-7,84 (м, 2H), 7,93-7,96 (м, 1H), 8,09-8,11 (м, 1H), 8,74-8,76 (м, 1H) |
| 74 |
434,3 |
436,3 |
(CD3OD): 1,21-1,27 (м, 9H), 3,36 (кв., 2H), 4,17 (с, 2H), 6,65-6,68 (м, 1H), 6,95-6,99 (м, 1H), 7,00-7,03 (м, 1H), 7,79-7,82 (м, 1H), 7,89 (д, 1H), 7,94-7,96 (м, 1H), 8,09-8,11 (м, 1H), 8,73-8,76 (м, 1H) |
| 75 |
– |
– |
1,1 (т, 3H), 3,0 (шир.с, 3H), 3,25 (м, 5H), 7,0 (шир.с, 1H), 7,75 (м, 2H), 8,05 (с, 1H), 8,15 (с, 1H), 8,45 (м, 1H), 8,7 (м, 1H), 9,1 (с, 1H), 9,4 (с, 1H), 10,4 (шир.с, 1H) |
| 77 |
448,3 |
450,2 |
(CD3OD): 1,24 (т, 3H), 1,27 (д, 3H), 1,47 (д, 3H), 3,36 (кв., 2H), 3,37 (с, 3H), 3,58-3,67 (м, 1H), 5,21-5,28 (м, 1H), 6,68-6,71 (м, 1H), 7,80 (д, 1H), 7,85 (с, 1H), 7,95-7,99 (м, 2H), 8,27 (с, 1H), 8,38 (д, 1H), 8,78-8,82 (м, 1H) |
| 78 |
448,3 |
450,3 |
(CD3OD): 1,24 (т, 3H), 1,31 (д, 3H), 1,51 (д, 3H), 3,38 (кв., 2H), 3,42 (с, 3H), 3,66-3,73 (м, 1H), 5,44-5,51 (м, 1H), 6,68-6,71 (м, 1H), 7,94 (д, 1H), 7,96-7,98 (м, 1H), 8,03 (с, 1H), 8,07 (с, 1H), 8,32 (с, 1H), 8,43 (д, 1H), 8,81-8,86 (м, 1H) |
| 79 |
434,3 |
436,2 |
(CD3OD): 1,24 (т, 3H), 1,32 (д, 3H), 1,50 (д, 3H), 3,37 (кв., 2H), 3,93-4,02 (м, 1H), 5,14-5,22 (м, 1H), 6,67-6,71 (м, 1H), 7,90 (д, 1H), 7,95-7,98 (м, 1H), 8,02 (с, 1H), 8,04 (с, 1H), 8,32 (с, 1H), 8,41 (д, 1H), 8,81-8,85 (м, 1H) |
| 82 |
428,2 |
430,1 |
9,0 (м, 1H), 8,6 (д, 1H), 8,4 (м, 1H), 8,1-8,2 (м, 2H), 8,0 (м, 1H), 7,8 (м, 1H), 7,5 (м, 2H), 6,6 (с, 1H), 4,8 (с, 1H), 2,55 (с, 3H), 3,25 (м, 2H), 2,1 (с, 3H), 1,1 (т, 3H) |
| 83 |
417,1 |
419,1 |
11,01 (шир.с, 1H), 9,10 (д, 1H), 8,37 (с, 1H), 8,19 (с, 1H), 7,97 (с, 1H), 7,78 (шир.с, 1H), 7,58 (м, 1H), 7,08 (с, 1H), 6,68 (м, 1H), 3,88 (дд, 2H), 3,22 (дкв., 2H), 2,99 (дд, 2H), 1,91 (ддд, 2H), 1,85 (ддд, 2H), 1,11 (т, 3H) |
| 84 |
377,2 |
379,2 |
(MeOD-d3): 8,72 (шир.с, 1H), 8,58 (с, 1H), 8,40 (с, 1H), 8,19 (с, 1H), 7,95 (с, 1H), 7,14 (с, 1H), 6,68 (с, 1H), 3,60 (с, 3H), 3,21 (кв., 2H), 1,24 (т, 3H) |
| 85 |
430,2 |
432,2 |
(MeOD-d3, соль): 8,64 (д, 1H), 8,14 (с, 1H), 8,00 (с, 1H), 7,97 (д, 1H), 7,64 (с, 1H), 6,66 (дд, 1H), 6,51 (с, 1H), 3,89 (с, 3H), 3,48 (с, 3H), 3,37 (кв., 2H), 1,24 (т, 3H) |
| 87 |
360,1 |
362,1 |
MeOD-d3, 1,24 (т, 3H), 2,42 (с, 3H), 3,38 (кв., 2H), 6,87 (с, 1H), 7,94 (с, 1H), 8,15 (м, 2H), 8,85 (д, 1H), 8,98 (д, 1H), 9,30 (с, 1H) |
| 88 |
388 |
390 |
9,27 (с, 2H), 9,20 (с, 1H), 8,27 (с, 1H), 8,10 (м, 1H), 7,94 (с, H), 7,92 (д, 1H), 6,95 (д, 1H), 4,10 (с, 3H), 3,25 (м, 2H), 1,11 (т, 3H) |
| 89 |
386,9 |
389,2 |
(CD3OD): 8,92-6,96 (м, 9ArH), 3,99 (с, 3H), 3,36 (кв., 2H), 1,24 (т, 3H) |
| 90 |
457,1 |
459,2 |
– |
| 91 |
429,2 |
431,2 |
(CD3OD): 8,97 (с, 1H), 8,89 (д, 1H), 8,49 (д, 1H), 8,37 (м, 2H), 8,22 (ддд, 1H), 7,93 (д, 1H), 7,64 (дд, 1H), 3,38 (кв., 2H), 2,91 (м, 1H), 1,25 (т, H), 0,88 (м, 2H), 0,67 (м, 2H) |
| 92 |
360,13 |
362,19 |
1,15 (т, 3H), 3,25 (м, 2H), 3,9 (с, 3H), 7,15 (м, 1H), 7,65 (м, 1H), 7,8 (с, 1H), 8,0 (с, 1H), 8,2 (м, 1H), 8,3 (м, 1H), 8,65 (м, 1H), 9,0 (м, 2H), 10,3 (шир.с, 1H) |
| 93 |
371 |
373 |
1,12 (т,3H), 3,25 (м, 2H), 4,2 (шир.с, 2H), 7,02-7,25 (м, 1H), 7,5 (м, 1H), 7,81 (м, 1H), 8,08 (т, 1H), 8,22 (м, 1H), 8,61-8,48 (м, 2H), 8,4 (д, 1H), 8,46 (с, 1H) |
| 94 |
430 |
432 |
0,92 (д, 6H), 1,12 (м, 3H), 2,23 (м, 1H), 2,83 (д, 2H), 3,35 (м, 2H), 7,5 (м, 1H), 7,61 (шир.с, 1H), 7,89 (с, 1H), 8,1 (м, 1H), 8,4 (с, 1H), 8,58 (м, 1H), 8,78 (шир.с, 1H), 8,3 (д, 1H) |
| 95 |
431,03 |
433,2 |
(CD3OD): 1,2 (7, 3H), 3,3 (кв., 2H), 3,8 (м, 2H), 4,6 (м, 2H), 7,4 (м, 1H), 7,8 (м, 1H), 8,0 (с, 1H), 8,3 (м, 2H), 8,5 (м, 1H), 8,7 (м, 2H), 9,1 (с, 1H) |
| 96 |
507,2 |
509,2 |
(CD3OD): 8,9 (д, 1H), 8,55 (д, 1H), 8,4 (с, 1H), 8,3 (м, 1H), 8,0 (с, 1H), 7,7 (м, 1H), 7,3 (т, 1H), 7,0 (с, 2H), 6,85 (д, 1H), 6,7 (д, 2H), 5,5 (с, 2H), 3,7 (с, 3H), 3,3 (кв., 2H), 2,5 (с, 3H), 1,25 (т, 3H) |
| 97 |
401 |
403 |
9,1 (с, 1H), 8,6 (д, 2H), 8,3 (м, 1H), 8,1 (с, 1H), 7,9 (с, 1H), 7,8 (с, 1H) 7,5 (м, 1H), 7,0 (д, 1H), 4,3 (м, 2H), 3,3 (м, 2H), 1,4 (т, 3H), 1,1 (т, 3H) |
| 98 |
497,03 |
499,18 |
1,16 (т, 3H), 3,25 (кв., 2H) 4,44 (д, 2H) 7,17 (т, 2H) 7,38 (т, 2H), 7,53 (т, 1H) 7,79 (м, 1H), 7,87 (с, 1H), 8,10 (т, 1H), 8,32 (с, 1H), 8,51 (с, 1H), 8,57 (д, 1H), 8,77 (с, 1H), 8,82 (д, 1H) 8,94 (т, 1H), 11,10 (шир.с, 1H) |
| 99 |
432 |
434 |
– |
| 100 |
418,25 |
420,15 |
1,1 (т, 3H), 3,2 (м, 2H), 3,95 (с, 3H), 4,1 (с, 2H), 7,2 (шир.с, 1H), 7,25 (шир.с, 1H), 7,9 (с, 1H), 8,2 (м, 1H), 8,25 (с, 1H), 8,7 (д, 1H), 9,05 (с, 2H), 10,4 (шир.с, 1H) |
| 101 |
431 |
433 |
8,65 (д, 1H), 8,28 (с, 1H), 8,24 (с, 1H), 7,98 (д, 1H), 7,78 (д, 1H), 7,38 (м, 1H), 6,93 (с, 1H), 6,89 (дд, 1H), 4,51 (кв., 2H), 3,63 (с, 3H), 3,35 (кв., 2H), 1,55 (т, 3H), 1,22 (т, 3H) |
| 102 |
375 |
377 |
8,86 (д, 1H), 8,69 (м, 1H), 8,52 (д, 1H), 8,16 (м, 2H), 7,79 (м, 2H), 7,56 (м, 1H), 7,50 (м, 1H), 3,55 (м, 2H), 1,23 (т, 3H) |
| 103 |
430 |
432,1 |
8,87 (шир.с, 1H), 8,81 (д, 1H), 8,66 (шир.с, 1H), 8,49 (с, 1H), 8,39 (шир.с, 1H), 8,25 (д, 1H), 8,09 (ддд, 1H), 7,87 (д, 1H), 7,52 (дд, 1H), 5,3 (очень шир.с, 5H), 4,29 (кв., 2H), 2,85 (м, 1H), 1,31 (т, 3H), 0,72 (м, 2H), 0,63 (м) |
| 104 |
417,19 |
419,14 |
1,1 (т, 3H), 3,2 (кв., 2H), 3,45 (с, 3H), 4,1 (с, 3H), 6,7 (дд, 1H), 6,85 (д, 1H), 7,15 (шир.с, 1H), 7,35 (шир.с, 1H), 7,8 (д, 1H), 7,95 (с, 1H), 8,2 (с, 1H), 8,4 (шир.с, 1H), 8,7 (д, 1H), 10,5 (шир.с, 1H) |
| 105 |
406 |
408 |
8,97 (шир.с, 2H), 8,60 (д, 1H), 7,99 (шир.с, 1H), 7,96 (м, 1H), 7,81 (шир.с, 1H), 7,57 (м, 1H), 3,98 (с, 3H), 3,25 (м, 2H), 1,11 (т, 3H) |
| 106 |
508,2 |
510,2 |
1,1 (т, 3H), 2,4 (с, 3H), 3,2 (кв., 2H), 4,1 (с, 3H), 5,4 (с, 2H), 6,65 (с, 1H), 6,75 (с, 1H), 7,15 (шир.с, 1H), 7,3 (м, 2H), 7,35 (м, 1H), 7,8 (м, 1H), 7,95 (с, 1H), 8,25 (с, 1H), 8,35 (шир.с, 1H), 8,5 (м, 1H), 8,75 (м, 1H), 10,5 (шир.с, 1H) |
| 107 |
495,2 |
497,2 |
8,8 (м, 1H), 8,2 (м, 1H), 7,9 (с, 1H), 7,8 (м, 1H), 7,4 (м, 2H), 7,35 (д, 2H), 7,25 (д, 2H), 6,7-6,8 (м, 2H), 5,3 (2, 2H), 4,0 (м, 1H), 3,4 (кв, 2H), 2,4 (с, 3H), 1,1 (т, 3H) |
| 108 |
417 |
419 |
9,12 (шир.с, 1H), 8,60 (д, 1H), 8,39 (м, 1H), 8,36 (с, 1H), 8,25 (с, 1H), 7,89 (с, 1H), 7,70 (дд, 1H), 7,41 (м, 1H), 4,13 (с, 3H), 3,98 (с, 3H), 3,26 (м, 2H), 1,15 (т, 3H) |
| 109 |
385,3 |
360,1 |
(CD3OD): 9,61 (д, 1H), 9,22 (д, 1H), 8,83-8,79 (м, 3H), 8,65 (д, 1H), 8,47 (д, 1H), 8,02 (дд, 1H), 8,00 (с, 1H), 3,37 (кв., 2H), 1,24 (т, 3H) |
| 110 |
388,3 |
390,2 |
(CDCl3): 14,05 (шир.с, 1H), 12,85 (шир.с, 1H), 8,37 (т, 1H), 7,97 (д, 1H), 7,88 (д, 1H), 7,79-7,74 (м, 2H), 7,63 (дд, 1H), 7,46 (д, 1H), 6,62 (дд, 1H), 5,75 (шир.с, 1H), 3,45-3,40 (м, 2H), 1,27 (т, 3H) |
| 111 |
492,3 |
494,1 |
10,3 (с, 1H), 8,9 (д, 1H), 8,6 (м, 1H), 8,5 (д, 1H), 8,2 (с, 1H), 8,05 (т, 1H), 7,8-7,9 (м, 2H), 7,5 (м, 2H), 7,4 (д, 1H), 7,3 (м, 1H), 6,7 (с, 1H), 6,6 (с, 1H), 3,3 (кв., 2H), 1,9 (д, 3H), 1,1-1,2 (т, 3H) |
| 112 |
475,2 |
477,2 |
10,62 (с, 1H), 8,74 (д, 1H), 8,65 (с, 1H), 8,40 (с, 1H), 8,28 (с, 1H), 8,23 (с, 1H), 7,87 (с, 1H), 7,43 (с, 1H), 7,32 (м, 2H), 5,52-4,41 (шир.с, 3H), 4,10 (с, 3H), 3,24 (дт, 2H), 1,41 (с, 9H), 1,13 (т, 3H) |
| 113 |
494,2 |
496,2 |
(CD3OD): 9,06 (с, 1H), 8,93 (д, 1H), 8,71 (д, 1H), 8,50 (м, 2H), 8,39 (с, 1H), 8,00 (с, 1H), 7,87 (дд, 1H), 7,42 (д, 2H), 7,35 (дд, 2H), 7,25 (дд, 1H), 5,27 (кв., 1H), 4,41 (кв., 2H), 1,62 (д, 3H), 1,42 (т, 3H) |
| 114 |
370,2 |
372,2 |
12,09 и 12,74 (с, 1H), 10,25 и 9,94 (с, 1H), 9,12 и 8,94 (с, 1H), 8,35-6,58 (м, 9H), 3,24 (м, 2H), 1,13 (т, 3H) |
| 115 |
442,1 |
444,3 |
(CD3OD): 8,65 (д, 1H), 7,94 (с, 1H), 7,91 (д, 1H), 7,72 (д, 2H), 7,66 (с, 1H), 7,40 (д, 2H), 6,63 (дд, 1H), 4,52 (с, 2H), 3,40 (т, 2H), 3,35 (кв., 2H), 2,47 (т, 2H), 2,09-2,03 (м, 2H), 1,24 (т, 3H) |
| 116 |
382 |
384 |
– |
| 117 |
415 |
417 |
9,17 (шир.с, 1H), 9,0 (м, 1H), 8,98 (д, 1H), 8,72 (д, 1H), 8,55 (м, 1H), 8,38 (с, 1H), 7,94 (с, 1H), 7,86 (д, 1H), 7,79 (м, 1H), 3,97 (с, 3H), 3,27 (м, 2H), 1,15 (т, 3H) |
| 118 |
401 |
403 |
– |
| 119 |
403,3 |
405,2 |
(CD3OD): 8,78 (с, 1H), 8,67 (д, 1H), 8,37 (d, 1H), 8,24 (д, 1H), 8,22 (с, 1H), 8,04 (д, 1H), 7,91 (с, 1H), 7,67 (дд, 1H), 7,40 (дд, 1H), 4,22 (с, 3H), 3,34 (кв., 2H), 1,23 (т, 3H) |
| 120 |
434,32 |
436,23 |
1,1 (т, 3H), 2,8 (с, 6H), 3,2 (м, 2H), 3,4 (с, 3H), 4,6 (с, 2H), 6,6 (д, 1H), 6,8 (с, 1H), 7,2 (шир.с, 1H), 7,6 (с, 1H), 7,8 (д, 1H), 7,9 (с, 1H), 7,95 (с, 1H), 10,0 (шир.с, 1H), 10,2 (шир.с, 1H) |
| 121 |
414 |
416 |
(CD3OD): 9,40 (шир.с, 1H), 9,07 (д, 1H), 8,98 (д, 1H), 8,91 (д, 1H), 8,80 (с, 1H), 8,60 (с, 1H), 8,24 (дд, 1H), 8,11 (д, 1H), 7,84 (дд, 1H), 3,35 (м, 2H), 3,01 (с, 3H), 1,25 (т, 3H) |
| 122 |
415 |
417 |
– |
| 123 |
435,28 |
437,26 |
1,3 (т, 3H), 2,8 (с, 6H), 3,5 (с, 3H), 4,2 (кв., 2H), 4,6 (с, 2H), 6,6 (дд, 1H), 6,7 (с, 1H), 7,7 (с, 1H), 7,8 (д, 1H), 8,0 (м, 2H), 10,1 (шир.с, 1H), 11,7 (шир.с, 1H) |
| 124 |
431,2 |
433,2 |
9,28 (с, 1H), 9,08 (д, 1H), 8,8-7,4 (очень шир.с, 4H), 8,67 (с, 1H), 8,53 (с, 1H), 8,46 (д, 1H), 8,05 (д, 1H), 7,59 (дд, 1H), 4,33 (кв., 2H), 2,88 (м, 1H), 2,35 (с, 6H), 1,34 (т, 3H), 0,76 (м, 2H), 0,61 (м, 2H) |
| 125 |
447,4 |
– |
9,10 (с, 1H), 8,60 (д, 1H), 8,47 (м, 2H), 7,95 (с, 1H), 7,83 (с, 1H), 7,12 (д, 1H), 5,2-3,6 (шир.м, 7H), 2,86 (м, 1H), 1,30 (т, 3H), 0,75 (м, 2H), 0,64 (м, 2H) |
| 126 |
439,2 |
441,2 |
(CDCl3): 13,89 (шир.с, 1H), 12,89 (шир.с, 1H), 8,28 (д, 1H), 8,25 (д, 1H), 7,96 (д, 1H), 7,74 (с, 1H), 7,69-7,43 (м, 6H), 7,40 (с, 1H), 6,64 (дд, 1H), 6,11 (шир.с, 1H), 3,46-3,40 (м, 2H), 1,27 (т, 3H) |
| 127 |
418,2 |
420,2 |
(CD3OD): 9,72 (д, 1H), 8,87 (д, 1H), 8,82 (д, 1H), 8,11 (д, 1H), 8,09 (д, 1H), 7,85 (д, 1H), 7,39 (д, 1H), 7,36 (д, 1H), 4,43 (кв., 2H), 3,35 (кв., 2H), 1,44 (т, 3H), 1,24 (т, 3H) |
| 128 |
449,8 |
452,1 |
(CD3OD): 9,21 (д, 1H), 8,83 (ддд, 1H), 8,81 (дд, 1H), 8,68 (д, 1H), 8,26 (д, 1H), 8,18 (д, 1H), 8,07 (дд, 1H), 8,05 (д, 1H), 7,50 (дд, 1H), 3,36 (кв., 2H), 3,34 (с, 3H), 1,23 (т, 3H) |
| 129 |
– |
– |
9,31 (с, 1H), 9,08 (д, 2H), 8,63 (с, 1H), 8,43 (д, 1H), 8,02 (д, 1H), 7,89 (с, 1H), 7,57 (т, 1H), 8,8-6,6 (очень шир.с, 4H), 4,31 (кв., 2H), 2,32 (с, 6H), 1,42 (с, 9H), 1,33 (т, 3H) |
| 130 |
495,4 |
497,2 |
9,07 (д, 2H), 8,73 (д, 1H), 8,56 (с, 1H), 8,44 (д, 1H), 8,03 (д, 1H), 7,57 (т, 3H), 7,44 (д, 2H), 7,36 (дд, 2H), 7,26 (дд, 1H), 6,95-5,90 (очень шир.с, 5H), 5,18 (дт, 1H), 4,32 (кв., 2H), 2,32 (с, 6H), 1,53 (д, 3H), 1,33 (т, 3H) |
| 131 |
432 |
434 |
(CD3OD): 1,08 (д, 6H), 1,43 (т, 3H), 2,33 (м, 1H), 2,91 (д, 2H), 4,45 (кв., 2H), 7,53 (т, 1H), 8,08 (с, 1H), 8,79 (с, 1H), 8,94 (с, 1H), 9,05 (д, 2H), 9,5 (с, 1H) |
| 132 |
514,23 |
516,23 |
8,84 (д, 1H), 8,81-8,83 (м, 1H), 8,35 (с, 1H), 8,06 (дд, 1H), 7,90 (дд, 1H), 7,80 (д, 1H), 6,80 (шир.с, 1H), 6,70 (д, 1H), 4,30 (кв., 2H), 3,42-3,54 (м, 4H), 3,48 (с, 3H), 3,12-3,17 (м, 4H), 2,81 (д, 3H), 1,32 (т, 3H) м.д. |
| 133 |
501,33 |
503,26 |
– |
| 134 |
521,6 |
523,2 |
(CD3OD): 8,82 (с, 1H), 8,46 (д, 1H), 8,30 (с, 1H), 8,13 (дд, 1H), 7,90 (с, 1H), 7,55 (дд, 1H), 7,28 (дд, 1H), 6,86-6,77 (м, 4H), 6,74 (с, 1H), 3,77 (с, 3H), 3,36 (кв., 2H), 2,41 (шир.с, 3H), 1,97 (д, 3H), 1,24 (т, 3H) |
| 135 |
470,3 |
472,5 |
(CD3OD): 8,85 (шир.с, 1H), 8,45 (д, 1H), 8,34 (дд, 1H), 8,26 (дд, 1H), 8,13 (ддд, 1H), 7,96 (дд, 1H), 7,56 (дд, 1H), 7,43 (дд, 1H), 7,29 и 7,20 (с, 1H), 5,49 (м, 1H), 3,66-3,25 (м, 4H), 3,38 (кв., 2H), 2,94 (2с, 3H), 2,52 (м, 1H), 2,38 (м, 1H), 2,15 (м, 1H) |
| 136 |
521,3 |
523,3 |
(CD3OD): 8,81 (д, 1H), 8,43 (д, 1H), 8,27 (с, 1H), 8,11 (ддд, 1H), 7,88 (с, 1H), 7,54 (дд, 1H), 7,28 (дд, 1H), 6,87 (д, 1H), 6,84 (д, 1H), 6,81 (с, 1H), 4,42 (кв., 2H), 3,78 (с, 3H), 2,50 (шир.с, 3H), 2,00 (д, 3H), 1,41 (т, 3H) |
| 137 |
522,6 |
524,2 |
(CD3OD): 8,90 (д, 1H), 8,81 (д, 1H), 8,49 (дд, 1H), 8,41 (с, 1H), 8,06 (с, 1H), 7,84 (дд, 1H), 7,29 (дд, 1H), 6,99 (шир.с, 1H), 6,92 (с, 1H), 6,87 (д, 1H), 6,84 (д, 1H), 6,81 (с, 1H), 4,42 (кв., 2H), 3,78 (с, 3H), 2,50 (шир.с, 3H), 2,00 (д, 3H), 1,41 (т, 3H) |
| 138 |
525 |
527 |
1,2 (т, 3H), 1,5 (д, 3H), 3,73 (с, 3H), 4,3 (кв., 2H), 5,13 (м, 1H), 6,8 (д, 1H), 7,0 (м, 2H), 7,24 (т, 1H), 7,53 (т, 1H), 7,93 (с, 1H), 8,24 (с, 1H), 8,32 (м, 2H), 8,4 (с, 1H), 9,08 (с, 1H), 11,79 (шир.с, 1H), 12,18 (с, 1H) |
| 139 |
522,5 |
524,2 |
(CD3OD): 8,86 (д, 1H), 8,74 (д, 1H), 8,41 (дд, 1H), 8,35 (с, 1H), 7,99 (с, 1H), 7,78 (дд, 1H), 7,28 (дд, 1H), 6,85 (д, 1H), 6,83 (д, 1H), 6,80 (с, 2H), 6,76 (с, 1H), 4,41 (кв., 2H), 3,77 (с, 3H), 2,41 (шир.с, 3H), 1,97 (д, 3H), 1,41 (т, 3H) |
| 140 |
499 |
501 |
– |
| 141 |
425,3 |
428,2 |
(CD3OD): 8,8 (д, 1H), 8,35 (д, 1H), 8,2 (с, 1H), 8,1 (т, 1H), 8,0 (с, 1H), 7,9 (д, 1H), 7,8 (с, 1H), 7,65-7,7 (дд, 1H), 7,5 (т, 1H), 7,49 (д, 1H), 4,6 (с, 2H), 4,45 (с, 1H), 3,4 (кв., 2H), 3,2 (с, 3H), 3,15 (с, 1H), 1,2 (т, 3H) |
| 142 |
426,3 |
428,2 |
(CD3OD): 8,8 (д, 1H), 8,6 (д, 1H), 8,3 (м, 2H), 8,1 (с, 1H), 8,0 (д, 1H), 7,9 (с, 1H), 7,7 (д, 1H), 4,6 (с, 2H), 4,45 (с, 1H), 4,4-4,5 (кв., 2H), 3,3 (с, 3H), 3,15 (с, 1H), 1,4 (т, 3H) |
| 143 |
498 |
500 |
– |
| 144 |
497 |
499 |
(CD3OD): 1,42 (т, 3H), 1,84 (д, 3H), 4,49 (кв., 2H), 6,43 (кв., 1H), 7,58 (т, 1H), 8,03 (т, 1H), 8,08 (с, 1H), 8,23 (д, 1H), 8,67 (т, 1H), 8,73 (с, 1H), 8,39 (d, 2H), 8,88 (д, 2H), 9,06 (с, 2H) |
| 145 |
457 |
459 |
(CD3OD): 1,4 (т, 3H), 3,48 (д, 4H), 3,99 (с, 4H), 4,41 (с, 2H), 7,7 (д, 1H), 8,07 (с, 1H) 8,05 (м, 3H), 8,73 (с, 1H), 8,9 (с, 1H), 9,12 (с, 1H) |
| 146 |
– |
502,21 |
(CD3OD): 8,89 (с, 1H), 8,49 (д, 1H), 8,45 (с, 1H), 8,22 (д, 1H), 8,11 (д, 1H), 8,06 (с, 1H), 7,47 (шир.д, 1H), 7,36 (шир.с, 1H), 3,91 (с, 3H), 3,68-3,89 (шир.м, 8H), 3,38 (кв., 2H), 1,25 (т, 3H) м.д. |
| 147 |
– |
487,2 |
(CD3OD): 8,99 (с, 1H), 8,54 (д, 1H), 8,46 (с, 1H), 8,27 (д, 1H), 8,01 (с, 1H), 7,85 (шир.с, 1H), 6,97 (шир.с, 1H), 6,91 (шир.с, 1H), 4,47 (кв., 2H), 3,66-3,69 (м, 5H), 3,59-3,62 (м, 2H), 2,01-2,06 (м, 2H), 1,96-2,00 (м, 2H), 1,43 (т, 3H) м.д. |
| 148 |
375 |
377 |
(CD3OD): 9,02 (т, 2H), 8,98 (с, 2H), 8,82 (д, 1H), 8,05 (д, 1H), 7,54 (т, 1H), 4,48 (кв., 2H), 1,44 (т, 3H) |
| 149 |
– |
486,22 |
(CD3OD): 8,98 (с, 1H), 8,44 (м, 1H), 8,38 (шир.с, 1H), 8,19 (шир.д, 1H), 8,02 (шир.с, 1H), 7,98 (шир.с, 1H), 7,15 (шир.с, 1H), 7,13 (шир.с, 1H), 3,79 (шир.с, 3H), 3,67 (м, 2H), 3,61 (м, 2H), 3,37 (кв., 2H), 2,05 (м, 2H), 2,00 (м, 2H), 1,25 (т, 3H) |
| 150 |
494,3 |
496,2 |
(CD3OD): 9,0 (д, 2H), 8,8 (с, 1H), 8,6 (д, 1H), 8,2 (т, 1H), 7,95 (с, 1H), 7,8 (д, 1H), 7,65 (т, 1H), 7,5 (т, 1H), 6,9 (с, 1H), 6,6 (с, 1H), 6,1 (м, 1H), 4,4 (кв., 2H), 2,7 (с, 3H), 2,05 (д, 3H), 1,4 (т, 3H) |
| 151 |
493,4 |
495,2 |
(CD3OD): 8,95 (д, 2H), 8,6 (с, 1H), 8,5 (д, 1H), 8,1 (т, 1H), 7,8 (с, 1H), 7,7 (д, 1H), 7,5 (т, 1H), 7,4 (т, 1H), 6,8 (с, 1H), 6,6 (с, 1H), 6,0 (м, 1H), 3,35 (кв., 2H), 2,6 (с, 3H), 2,0 (д, 3H), 1,2 (т, 3H) |
| 152 |
– |
462,21 |
(CD3OD): 8,90 (д, 1H), 8,81 (д, 1H), 8,49 (м, 1H), 8,39 (д, 1H), 8,04 (д, 1H), 7,85 (м, 1H), 7,02 (шир.с, 1H), 6,90 (д, 1H), 4,82 (м, 1H, под пиком воды), 4,42 (кв., 2H), 4,29 (м, 1H), 3,72 (м, 1H), 3,35 (с, 3H), 2,65 & 2,90 (с, 3H), 1 |
| 153 |
504,3 |
506,3 |
12,14 (с, 1H), 11,11 (с, 1H), 9,59 (с, 1H), 9,08 (д, 2H), 8,38 (с, 1H), 8,33 (д, 1H), 8,22 (с, 1H), 7,95 (д, 1H), 7,56 (дд, 1H), 4,32 (кв., 2H), 4,12 (шир.с, 4H), 3,62 (шир.с, 4H), 2,46 (шир.с, 2H), 1,31 (дд, 2H), 1,22 (т, 3H) |
| 154 |
474,3 |
476,3 |
10,31 (с, 1H), 9,09 (д, 2H), 8,79 (с, 1H), 8,44(с, 1H), 8,42 (с, 1H), 8,00 (с, 1H), 7,68 (т, 2H), 7,7-6,6 (шир.с, 3H), 4,32 (кв., 2H), 3,55 (м, 4H), 3,12 (м, 4H), 2,34 (с, 6H), 1,32(т, 3H) |
| 155 |
479,3 |
481,2 |
1,33 (т, 3H) 2,36 (с, 3H) 4,35 (кв., 2H) 5,60 (с, 2H) 6,84 (с, 1H) 6,88 (с, 1H) 7,68 (т, 1H), 7,81 (д, 2H) 7,99 (с, 1H) 8,26 (т, 1H) 8,35 (с, 1H), 8,78 (д, 1H), 8,89 (д, 3H) 11,75 (шир.с, 2H) |
| 156 |
– |
461,22 |
(CD3OD): 8,83 (м, 1H), 8,44 (д, 1H), 8,25 (д, 1H), 8,12 (м, 1H), 7,88 (д, 1H), 7,54 (м, 1H), 6,70 (с, 1H), 6,68 (с, 1H), 4,68 (м, 1H), 4,32 (м, 1H), 3,70 (м, 1H), 3,38 (кв., 2H), 3,35 (с, 3H), 2,56 (с, 3H), 1,60 (д, 3H), 1,24 (т, 3H) м.д. |
| 157 |
486,3 |
488,3 |
(CD3OD): 1,37 (т, 3H), 1,57 (м, 4H), 2,27 (м, 1H), 2,82 (с, 3H), 3,41 (т, 2H), 3,96 (д, 2H), 4,29 (д, 2H), 4,43 (кв., 2H), 7,27 (с, 1H), 7,50 (с, 1H), 7,90 (т, 1H), 8,17 (с,1H), 8,55 (с, 1H), 8,659 (т, 1H), 8,95 (д, 1H), 9,09 (д, 1H) |
| 158 |
474,3 |
476,3 |
(CD3OD): 1,08 (д, 6H), 1,42 (т, 3H), 2,76 (с, 3H), 3,57 (м, 1H), 2,82 (т, 2H), 4,42 (м, 4H), 6,98 (с, 1H), 7,05 (с, 1H), 7,86 (т, 1H), 8,09 (с, 1H), 8,41 (с, 1H), 8,51 (т, 1H), 8,82 (д, 1H), 8,91 (д, 1H) |
| 159 |
458 |
460 |
(CD3OD): 1,43 (т, 3H), 3,48 (шир.с, 24H), 3,99 (шир.с, 4H), 4,48 (1, 2H), 4,63 (с, 2H), 7,55 (т, 1H), 7,71 (д, 1H), 8,1 (с, 1H), 8,33 (д, 1H), 8,9 (1H), 9,03 (д, 2H), 9,13 (с, 1H) |
| 160 |
457 |
459 |
(CD3OD): 1,35 (т, 3H), 3,3-3,5 (м, 6H), 3,99 (шир.с, 4H), 4,62 (с, 2H), 7,52 (т, 1H), 7,7 (д, 1H), 8,08 (с, 1H), 8,32 (д, 1H), 8,88 (с, 1H), 9,05 (д, 2H), 9,1 (с, 1H) |
| 161 |
446,28 |
448,2 |
1,2 (т, 3H), 3,2 (м, 2H), 3,3 (шир.с, 4H), 3,9 (шир.с, 4H), 4,7 (с, 2H), 7,7 (с, 1H), 7,8 (шир.с, 1H), 7,95 (м, 1H), 8,1 (с, 1H), 8,25 (с, 1H), 8,7 (м, 1H), 8,8 (м, 1H), 9,2 (с, 1H), 10,6 (шир.с, 1H) |
| 162 |
550,3 |
552,3 |
12,32 (с, 1H), 11,18 (с, 1H), 9,08 (д, 2H), 8,62 (с, 1H), 8,39 (с, 1H), 8,37 (с, 1H), 7,98 (с, 1H), 7,62 (м, 2H), 7,58 (дд, 1H), 7,48 (м, 3H), 6,4-5,9 (шир.с, 3H), 4,38 (с, 2H), 4,33 (кв., 2H), 3,42 (м, 4H), 3,15 (м, 4H), 1,35 (т, 3H) |
| 163 |
501,3 |
503,3 |
(CD3OD): 9,1 (д, 1H), 8,8 (т, 1H), 8,5 (д, 1H), 8,4 (с, 1H), 8,3 (с, 1H), 8,2 (т, 1H), 7,7 (с, 1H), 7,5 (с, 1H), 4,8 (т, 2H), 4,4 (кв., 2H), 4,1 (д, 2H), 3,9 (т, 2H), 3,75 (д, 2H), 3,7 (т, 2H), 3,4 (м, 2H), 3,3 (с, 2H), 2,85 (с, 3H), 2,0 (с, 5H), 1,4 (т, 3H) |
| 164 |
500,4 |
502,3 |
(CD3OD): 8,75 (д, 1H), 8,3 (д, 1H), 8,2 (с, 1H), 8,0-8,05 (т, 1H), 7,8 (с, 1H), 7,5 (т, 1H), 6,8 (с, 1H), 6,7 (с, 1H), 4,5-4,6 (т, 2H), 4,0 (шир.дс, 4H), 3,5-3,6 (т, 4H), 3,4 (кв., 2H), 3,3 (т, 2H), 2,6 (с, 3H), 1,2-1,3 (т, 3H) |
| 165 |
474 |
476 |
(CD3OD): 9,04 (д, 1H), 8,71 (д, 1H), 8,34 (д, 1H), 8,23 (дд, 1H), 7,94 (д, 1H), 7,84 (м, 1H), 7,65 (д, 1H), 7,57 (м, 1H), 4,56 (с, 2H), 3,98 (т, 4H), 3,45 (т, 4H), 3,37 (кв., 2H), 1,24 (т, 3H) |
| 166 |
475 |
477 |
(CD3OD): 9,07 (д, 1H), 8,72 (д, 1H), 8,49 (д, 1H), 8,28 (дд, 1H), 8,04 (д, 1H), 7,92 (м, 1H), 7,69 (д, 1H), 7,63 (м, 1H), 4,63 (с, 2H), 4,47 (кв., 2H), 3,99 (м, 4H), 3,44 (м, 4H), 1,43 (т, 3H) |
| 167 |
522,3 |
524,4 |
(CD3OD): 8,94 (д, 2H), 8,65 (с, 1H), 7,85 (с, 1H), 7,44 (дд, 1H), 7,27 (дд, 1H), 6,84 (д, 2H), 6,80 (с, 1H), 6,70 (с, 1H), 6,64 (с, 1H), 3,77 (с, 3H), 3,36 (кв., 2H), 2,39 (шир.с, 3H), 1,96 (д, 3H), 1,24 (т, 3H) |
| 168 |
– |
474,3 |
(CD3OD): 1,45 (т, 3H), 1,80 (д, 3H), 2,69 (м, 2H), 3,50 (м, 2H), 3,97 (м, 4H), 4,49 (кв., 2H), 4,72 (м, 1H), 7,55 (т, 1H), 7,71 (д, 1H), 1,15 (с, 1H), 8,33 (д, 1H), 8,91 (с, 1H), 9,08 (д, 2H), 9,17 (с, 1H) |
| 169 |
445,44 |
447,24 |
1,3 (т, 3H), 2,9 (шир.с, 6H), 3,6 (шир.с, 2H), 4,3 (кв., 2H), 4,6 (м, 2H), 7,1 (м, 1H), 7,6 (м, 1H), 7,9 (с, 1H), 8,2 (м, 1H), 8,25 (с, 1H), 8,3 (м, 1H), 8,6 (д, 1H), 8,7 (д, 1H), 9,1 (с, 1H), 9,7 (шир.с, 1H) |
| 170 |
444,43 |
446,22 |
1,2 (т, 3H), 2,9 (шир.с, 6H), 3,25 (м, 2H), 3,6 (шир.с, 2H), 4,6 (м, 2H), 7,1 (м, 1H), 7,4 (шир.с, 1H), 7,6 (м, 1H), 7,9 (с, 1H), 8,1 (шир.с, 1H), 8,2 (с, 1H), 8,3 (м, 1H), 8,6 (д, 1H), 8,7 (д, 1H), 9,1 (с, 1H), 9,8 (шир.с, 1H), 10,5 (шир.с, 1H) |
| 171 |
460,2 |
462,2 |
(CD3OD): 8,95 (д, 1H), 8,86 (д, 1H), 8,57 (дт, 1H), 8,46 (д, 1H), 8,17 (д, 1H), 7,93 (т, 1H), 7,62 (шир.с 1H), 7,33 (д, 1H), 5,14 (м, 1H), 4,42 (кв., 2H), 4,26 (м, 1H), 3,75 (дд, 1H), 3,36 (с, 3H), 2,81 (с, 3H), 1,42 (д, 3H), 1,30 (т, 3H) м.д. |
| 172 |
485 |
487 |
(CD3OD): 1,45-1,12 (м, 3H), 1,9 (м, 1H), 2,1 (м, 2H), 2,32 (м, 1H), 3,5-3,3 (м, 5H), 3,7 (м, 4H), 3,99 (шир.с, 1H), 4,4 (кв., 2H), 4,57 (шир.д, 1H), 7,58 (д, 1H), 7,8 (т, 1H), 8,03 (с, 1H), 8,32 (д, 1H), 8,42 (м, 2H), 8,75 (д, 1H), 8,88 (с, 1H), 9,1 (с, 1H) |
| 173 |
484 |
486 |
(CD3OD): 1,15 (т, 3H), 1,4 (т, 3H), 3,02 (с, 2H), 3,6 (м, 2H), 3,68 (м, 2H), 3,95 (с, 2H), 4,4 (м, 2H), 4,61 (с, 2H), 7,8 (м, 2H), 8,08 (с, 1H), 8,48 (м, 3H), 8,78 (д, 1H), 8,9 (д, 1H), 9,17 (с, 1H) |
| 174 |
503,2 |
505,2 |
(CDCl3): 8,94 (д, 1H), 8,87 (д, 1H), 8,15 (д, 1H), 8,11 (д, 2H), 7,95 (ддд, 1H), 7,90 (с, 1H), 7,70 (д, 1H), 7,42 (дд, 1H), 4,76 (с, 2H), 4,46 (кв., 2H), 3,82 (т, 4H), 3,64 (т, 4H), 3,40 (с, 6H), 1,45 (т, 3H) |
| 175 |
593,4 |
595,3 |
10,85 (с, 1H), 8,84 (с, 1H), 8,72 (с, 1H), 8,58 (д, 1H), 8,52 (с, 1H), 8,30 (д, 1H), 8,08 (с, 1H), 7,92 (д, aH), 7,44 (д, 2H), 7,34 (дд, 2H), 7,24 (т, 1H), 6,05-4,9 (шир.с), 5,21 (дкв., 1H), 4,78 (д, 2H), 4,31 (кв., 2H), 3,58 (д, 2H), 3,52 |
| 176 |
543,5 |
545,3 |
11,76 (с, 1H), 9,59 (с, 1H), 8,89 (д, 1H), 8,78 (с, 1H), 8,65 (с, 1H), 8,40 (с, 1H), 8,05 (д, 1H), 7,9-6,2 (шир.с, 2H), 4,87 (д, 2H), 4,32 (кв., 2H), 3,96 (дд, 2H), 3,68 (дд, 2H), 3,58 (м, 4H), 3,20 (м, 2H), 2,94 (д, 3H), 1,98 (м, 2H), 1,88 |
| 177 |
542,5 |
544,3 |
11,12 (с, 1H), 10,84 (с, 1H), 9,08 (с, 1H), 8,87 (д, 1H), 8,66 (с, 1H), 8,41 (с, 1H), 8,01 (с, 1H), 7,96 (д, 1H), 7,58 (с, 1H), 6,3-4,6 (шир.с, 6H), 4,82 (д, 2H), 3,96 (дд, 2H), 3,58 (м, 6H), 3,26 (м, 2H), 3,15 (м, 2H), 2,84 (д, 3H), 1,96 |
| 178 |
470,4 |
472,3 |
9,05 (д, 2H), 8,54 (с, 1H), 7,89 (с, 1H), 8,01 (с, 1H), 7,78 (д, 1H), 7,55 (т, 1H), 7,05 (д, 1H), 5,5-4,2 (шир.с, 1H), 4,33 (кв., 2H), 3,50 (дд, 2H), 3,36 (дд, 2H), 3,12 (с, 3H), 2,85 (с, 3H), 1,33 (т, 3H), |
| 179 |
415,4 |
417,3 |
(CD3OD): 9,54 (д, 1H), 9,21 (м, 1H), 9,15 (с, 1H), 8,97 (д, 1H), 8,92 (д, 1H), 8,83 (д, 1H), 8,28 (дд, 1H), 8,20 (д, 1H), 7,69 (м, 1H), 4,62 (с, 2H), 4,48 (кв., 2H), 3,00 (с, 6H), 1,44 (т, 3H) м.д. |
| 180 |
414,4 |
416,3 |
(CD3OD): 9,54 (д, 1H), 9,22 (м, 1H), 9,05 (с, 1H), 8,97 (д, 1H), 8,93 (д, 1H), 8,79 (д, 1H), 8,28 (дд, 1H), 8,17 (д, 1H), 7,62 (м, 1H), 4,59 (с, 2H), 3,39 (кв., 2H), 2,99 (с, 6H), 1,25 (т,3H) м.д. |
| 181 |
513 |
515 |
(CD3OD): 9,14 (д, 1H), 9,06 (д, 1H), 8,85 (т, 1H), 8,67 (т, 1H), 8,46 (д, 1H), 8,37 (д, 1H), 8,11 (м, 1H), 7,97 (д, 1H), 7,55 (м, 1H), 4,07 (шир.с, 2H), 3,88 (т, 4H), 3,71 (шир.с, 2H), 3,48 (т, 4H), 3,36 (кв., 2H), 1,24 (т, 3H) |
| 182 |
477,4 |
479,37 |
0,9 (д, 6H), 1,3 (т, 3H), 2,1 (м, 1H), 2,9 (с, 6H), 3,75 (д, 2H), 4,3 (кв., 2H), 4,6 (с, 2H), 6,6 (дт, 1H), 6,7 (д, 1H), 7,7 (с, 1H), 7,8 (д, 1H), 7,95 (с, 1H), 8,010,2 (шир.с, 1H), (с, 1H) |
| 183 |
476,42 |
478,41 |
0,9 (д, 6H), 1,1 (т, 3H), 2,1 (м, 1H), 2,9 (с, 6H), 3,2 (м, 2H), 3,8 (д, 2H), 4,6 (с, 2H), 6,6 (дт, 1H), 6,7 (д, 1H), 7,3 (шир.с, 1H), 7,7 (с, 1H), 7,8 (д, 1H), 7,95 (с, 1H), 8,0 (с, 1H), 10,2 (шир.с, 1H) |
| 184 |
514 |
516 |
– |
| 185 |
470,4 |
472,2 |
(CD3OD): 1,25 (т, 3H), 1,78 (д, 3H), 3,30 (м, 2H), 3,35 (кв., 2H), 3,50 (м, 2H), 3,93 (м, 4H), 4,73 (кв., 1H), 7,72 (т, 1H), 7,45 (д, 1H), 8,01 (с, 1H), 8,27 (т, 1H), 8,35 (м, 2H), 8,52 (д, 1H), 8,91 (д, 1H), 9,18 (с, 1H) |
| 186 |
498,4 |
500,3 |
(CD3OD): 1,16 (м,3H), 1,26 (м, 6H), 1,80 (д, 3H), 2,82 (т, 2H), 3,20 (д, 1H), 3,35 (кв., 2H), 3,72 (д, 1H), 3,91 (м, 1H), 4,04 (м, 1H), 4,68 (кв., 1H), 7,65 (т, 1H), 7,71 (д, 1H), 8,01 (с, 1H), 8,22 (т, 1H), 8,35 (м, 2H), 8,49 (д, 1H), 8,89 (д, 1H), 9,18 (с, 1H) |
| 187 |
499,5 |
501,3 |
(CD3OD): 1,16 (м, 3H), 1,29 (д, 3H), 1,41 (т, 3H), 1,79 (д, 3H), 2,82 (т, 2H), 3,20 (д, 1H), 3,74 (д, 1H), 3,92 (м, 1H), 4,04 (м, 1H), 4,43 (кв., 2H), 4,69 (кв., 1H), 7,70 (д, 1H), 7,87 (т, 1H), 8,11 (с, 1H), 8,35 (д, 1H), 8,46 (м, 2H), 8,75 (д, 1H), 8,92 (д, 1H), 9,34 (с, 1H) |
| 188 |
486 |
488 |
(CD3OD): 8,91 (м, 1H), 8,65 (м, 1H), 8,47 (м, 1H), 8,31 (м, 2H), 8,29 (м, 1H), 7,96 (м, 1H), 7,73 (м, 1H), 7,19 (м, 1H), 4,08 (м, 2H), 3,90 (м, 2H), 3,72 (м, 4H), 3,66 (м, 4H), 3,37 (м, 2H), 1,24 (т, 3H) |
| 189 |
487 |
489 |
(CD3OD): 8,89 (д, 1H), 8,69 (д, 1H), 8,61 (д, 1H), 8,41 (т, 1H), 8,32 (д, 1H), 8,20 (дд, 1H), 7,95 (д, 1H), 7,78 (т, 1H), 7,10 (д, 1H), 4,42 (кв., 2H), 4,09 (м, 2H), 3,86 (м, 2H), 3,70 (м, 4H), 3,33 (м, 4H), 1,24 (т, 3H) |
| 190 |
388,38 |
390,19 |
1,2 (т, 3H), 3,3 (м, 2H), 3,5 (с, 3H), 6,6 (дд, 1H), 6,7 (д, 1H), 7,6 (т, 1H), 7,8 (д, 1H), 7,95 (шир.с, 1H), 8,0 (с, 1H), 8,6 (с, 1H), 9,05 (д, 2H) |
| 191 |
359,3 |
361,2 |
– |
| 192 |
446,4 |
448,3 |
– |
| 193 |
474,2 |
476,4 |
(CD3OD): 9,14 (с, 1H), 9,08 (д, 2H), 8,91 (с, 1H), 8,39 (д, 1H), 8,14 (с, 1H), 7,78 (с, 1H), 7,55 (дд, 1H), 4,72 (с, 2H), 4,48 (кв., 2H), 3,81 (т, 2H), 3,56 (т, 2 H), 3,46 (кв., 2H), 3,41 (с, 3H), 1,44 (т, 3H), 1,43 (т, 3H) |
| 194 |
486,1 |
488,1 |
(CDCl3): 12,31 (шир.с, 1H), 8,95 (с, 1H), 8,93 (д, 2H), 8,58 (с, 1H), 8,05 (с, 1H), 8,01 (д, 1H), 7,50 (д, 1H), 7,24 (дд, 1H), 4,46 (кв., 2H), 3,78 (м, 2H), 3,72 (с, 2H), 2,78 (д, 2H), 1,91 (дд, 2H), 1,41 (т, 3H), 1,17 (д, 6H) |
| 195 |
– |
– |
11,5 (шир.с, 1H), 9,19 (шир.с, 1H), 8,97 (с, 1H), 8,88 (д, 1H), 8,45 (м, 1H), 8,40 (с, 1H), 7,98 (д, 1H), 7,77 (д, 1H), 7,60 (д, 1H), 4,57 (с, 2H), 4,47 (шир.д, 2H), 4,32 (кв., 2H), 3,90 (шир.м, 4H), 3,32 (шир.с, 4H), 2,80 (д, 6H), 1,34 |
| 197 |
460,2 |
462,2 |
(CD3OD и CDCl3): 8,98 (д, 2H), 8,85 (д, 1H), 8,60 (д, 1H), 8,16 (дд, 1H), 7,86 (д, 1H), 7,67 (д, 1H), 7,40 (дд, 1H), 4,37 (кв., 2H), 3,81 (с, 2H), 3,60 (т, 2H), 3,37 (с, 3H), 2,74 (т, 2H), 2,38 (с, 3H), 1,41 (т, 3H) |
| 198 |
459,3 |
461,2 |
(CD3OD): 8,95 (д, 2H), 8,83 (с, 1H), 8,54 (с, 1H), 8,15 (д, 1H), 7,82 (с, 1H), 7,65 (д, 1H), 7,39 (дд, 1H), 3,79 (с, 2H), 3,59 (т, 2H), 3,36 (кв., 2H), 3,35 (с, 3H), 2,72 (т, 2H), 2,36 (с, 3H), 1,24 (т, 3H) |
| 199 |
488 |
490 |
– |
| 200 |
487 |
489 |
– |
| 201 |
488 |
490 |
– |
| 202 |
487 |
489 |
– |
| 203 |
489 |
491 |
9,06 (м, 4H), 8,50 (д, 1H), 7,98 (д, 1H), 7,54 (т, 1H), 4,79 (т, 2H), 4,31 (кв., 2H), 4,01 (м, 2H), 3,79 (м, 2H), 3,67 (м, 2H), 3,56 (м, 2H), 3,25 (м, 2H), 1,33 (т, 3H) |
| 204 |
488 |
490 |
(CD3OD): 9,02 (м, 4H), 8,75 (с, 1H), 7,97 (д, 1H), 7,52 (м, 1H), 4,88 (м, 2H), 3,75-3,73 (м, 10H), 3,35 (м, 2H), 1,25 (т, 3H) |
| 205 |
400,1 |
402,1 |
1,31 (т, 3H), 2,70 (с, 3H), 4,32 (кв., 2H), 7,55 (т, 1H), 8,00 (с, 1H), 8,09 (д, 1H), 8,14 (т, 1H), 8,39 (с, 1H), 8,44 (д, 1H), 8,70 (д, 1H), 8,81 (д, 1H), 9,19 (с, 1H) |
| 206 |
458,1 |
460 |
(CD3OD): 9,41 (д, 2H), 8,92 (м, 1H), 8,80 (д, 1H), 8,48 (м, 2H), 8,10 (шир.с, 1H), 7,84 (м, 1H), 4,76 (с, 2H с пиком воды), 4,42 (кв., 2H), 4,11 (шир.м, 2H), 3,95 (шир.м, 2H), 3,71 (шир.м, 2H), 3,45 (шир.м, 2H), 1,42 (т, 3H) м.д. |
| 207 |
457,2 |
459,1 |
(CD3OD): 9,33 (с, 2H), 8,89 (д, 1H), 8,53 (д, 1H), 8,44 (д, 1H), 8,20 (м, 1H), 8,04 (д, 1H), 7,63 (м, 1H), 4,76 (с, 2H, с пиком воды), 4,12 (шир.м, 2H), 3,94 (шир.м, 2H), 3,71 (шир.м, 2H), 3,44 (шир.м, 2H), 3,39 (кв., 2H), 1,25 (т, 3H) м.д. |
| 208 |
391 |
393 |
– |
| 209 |
441,1 |
443 |
(CD3OD): 1,43 (т, 3H), 4,50 (с, 2H), 4,89 (с, 2H), 7,55 (т, 1H), 8,10 (д, 1H), 8,20 (с, 1H), 8,87 (д, 1H), 9,01 (с, 1H), 9,10 (д, 2H), 9,30 (с, 1H) |
| 210 |
472,4 |
474,2 |
(CD3OD): 9,25 (с, 1H), 9,02 (д, 2H), 8,87 (д, 1H), 8,65 (д, 1H), 8,18 (с, 1H), 8,08 (д, 1H), 7,54 (дд, 1H), 4,88 (с, 2H), 4,49 (кв., 2H), 4,27 (шир.с, 1H), 3,68 (м, 4H), 3,40 (с, 3H), 2,32 (м, 2H), 1,45 (т, 3H) |
| 211 |
471,2 |
473,1 |
(CD3OD): 9,16 (с, 1H), 8,98 (д, 2H), 8,76 (д, 1H), 8,48 (д, 1H), 8,05 (с, 1H), 7,91 (д, 1H), 7,50 (дд, 1H), 4,81 (с, 2H), 4,27 (шир.с, 1H), 3,69 (м, 4H), 3,40 (с, 3H), 3,38 (кв., 2H), 2,32 (м, 2H), 1,26 (т, 3H) |
| 212 |
485,2 |
487,3 |
(CD3OD): 9,16 (с, 1H), 9,03 (д, 2H), 8,87 (с, 1H), 8,50 (д, 1H), 8,14 (с, 1H), 7,92 (д, 1H), 7,54 (дд, 1H), 4,75 (с, 2H), 4,49 (кв., 2H), 4,06 (с, 2H), 3,74 (шир.с, 4H), 3,06 (с, 3H), 1,45 (т, 3H) |
| 213 |
484,2 |
486,2 |
(CD3OD): 9,16 (с, 1H), 9,01 (д, 2H), 8,78 (с, 1H), 8,52 (д, 1H), 8,07 (с, 1H), 7,96 (д, 1H), 7,52 (дд, 1H), 4,77 (с, 2H), 4,07 (с, 2H), 3,75 (шир.с, 4H), 3,38 (кв., 2H), 3,06 (с, 3H), 1,26 (т, 3H) |
| 214 |
|
350,1 |
12,28 (шир.с, 1H), 11,77 (шир.с, 1H), 9,73 (с, 1H), 9,08 (д, 2H), 8,49 (д, 1H), 8,37 (м, 1H), 8,08 (д, 1H), 7,94 (м, 1H), 7,59 (т, 1H), 4,32 (кв., 2H), 2,30 (с, 3H), 1,32 (т, 3H) |
| 215 |
502,4 |
504,1 |
(CD3OD): 9,17 (с, 1H), 9,02 (д, 2H), 8,85 (с, 1H), 8,48 (д, 1H), 8,15 (с, 1H), 7,90 (д, 1H), 7,53 (дд, 1H), 4,81 (д, 1H), 4,77 (д, 1H), 4,48 (кв., 2H), 4,18 (шир.с, 2H), 3,75 (м, 4H), 3,47 (с, 6H), 1,45 (т, 3H) |
| 216 |
347,2 |
349,1 |
12,28 (шир.с, 1H), 10,22 (шир.с, 1H), 9,53 (с, 1H), 9,08 (д, 2H), 8,41 (д, 1H), 8,29 (м, 1H), 7,98 (д, 1H), 7,83 (м, 1H), 7,57 (т, 1H), 7,22 (м, 1H), 3,26 (дкв., 2H), 2,31 (с, 3H), 1,15 (т, 3H) |
| 217 |
501,4 |
503,1 |
(CD3OD): 9,15 (с, 1H), 9,03 (д, 2H), 8,85 (с, 1H), 8,43 (д, 1H), 8,10 (с, 1H), 7,83 (д, 1H), 7,53 (дд, 1H), 4,78 (д, 1H), 4,74 (д, 1H), 4,18 (шир.с, 2H), 3,74 (м, 4H), 3,47 (с, 6H), 3,38 (кв., 2H), 1,26 (т, 3H) |
| 218 |
456 |
458 |
(CD3OD): 1,24 (т, 3H), 3,38 (м, 2H), 3,57 (шир.с, 4H), 3,99 (шир.с, 4H), 4,63 (с, 2H), 7,68 (м, 1H), 7,73 (м, 1H), 8,02 (с, 1H), 8,24 (т, 1H), 8,48 (м, 1H), 8,49 (д, 1H), 8,9 (д, 1H), 9,13 (с, 1H) |
| 219 |
– |
– |
12,25 (с, 1H), 11,75 (с, 1H), 9,61 (д, 1H), 9,07 (д, 2H), 8,45 (с, 1H), 8,11 (с, 1H), 8,02 (д, 1H), 7,59 (т, 1H), 4,31 (кв., 2H), 2,38 (с, 3H), 2,29 (с, 3H), 1,32 (т, 3H) |
| 220 |
502,3 |
504,2 |
(CD3OD): 9,10 (д, 1H), 9,05 (д, 2H), 8,91 (д, 1H), 8,32 (дд, 1H), 8,11 (д, 1H), 7,69 (д, 1H), 7,55 (дд, 1H), 4,73 (д, 1H), 4,69 (д, 1H), 4,49 (кв., 2H), 4,17 (шир.с, 2H), 3,70 (м, 4H), 3,46 (с, 6H), 1,44 (т, 3H) |
| 221 |
501,3 |
503,2 |
(CD3OD): 9,09 (с, 1H), 9,05 (д, 2H), 8,86 (с, 1H), 8,29 (д, 1H), 8,09 (с, 1H), 7,67 (д, 1H), 7,54 (дд, 1H), 4,72 (д, 1H), 4,67 (д, 1H), 4,17 (шир.с, 2H), 3,71 (м, 4H), 3,47 (с, 6H), 3,39 (кв., 2H), 1,26 (т, 3H) |
| 222 |
– |
559 |
(CDCl3): 12,29 (шир.с, 1H), 8,94 (с, 1H), 8,94 (д, 2H), 8,60 (с, 1H), 8,04 (с, 1H), 8,02 (д, 1H), 7,50 (д, 1H), 7,25 (дд, 1H), 4,46 (кв., 2H), 3,75 (с, 2H), 3,50 (м, 4H), 2,51 (м, 4H), 1,47 (с, 9H), 1,41 (т, 3H) |
| 223 |
513,2 |
515,14 |
1,1 (д, 6H), 1,3 (т, 3H), 3,5 (м, 4H), 3,7 (шир.с, 2H), 4,3 (кв., 2H), 4,5 (шир.с, 2H), 4,65 (м, 1H), 7,5 (т, 1H), 7,7 (д, 1H), 8,0 (д, 1H), 8,3 (дд, 1H), 8,5 (д, 1H), 9,0 (д, 2H), 9,05 (д, 1H) |
| 224 |
457,207 |
459,207 |
(CD3OD): 9,54 (с, 1H), 9,28 (с, 1H), 9,22 (д, 1H), 8,97 (д, 1H), 8,93 (д, 1H), 8,85 (шир.с, 1H), 8,27 (т, 1H), 8,20 (шир.с, 1H), 7,71 (д, 1H), 4,63 (с, 2H), 4,48 (кв., 2H), 4,05 (шир.с, 4H), 3,44 (шир.м, 4H), 1,44 (т, 3H) м.д. |
| 225 |
472,2 |
474,49 |
(CD3OD): 9,0 (д, 1H), 8,95 (м, 1H), 8,6 (с, 1H), 8,5 (с, 1H), 8,4 (с, 1H), 8,3 (с, 1H), 7,9 (с, 1H), 7,55 (м, 1H), 4,5 (с, 2H), 3,9 (с, 2H),3,4 (кв., 2H), 3,0 (с, 6H), 1,3 (т, 3H) |
| 226 |
562,3 |
564,2 |
(CD3OD): 9,0 (д, 1H), 8,9 (м, 1H), 8,6 (с, 1H), 8,5 (с, 1H), 8,3 (с, 1H), 8,25 (с, 1H), 7,9 (с, 1H), 7,55 (м, 1H), 7,3-7,4 (м, 5H), 5,2 (с, 2H), 4,5 (с, 2H), 4,0 (с, 2H), 3,4 (кв., 2H), 3,0 (с, 6H), 1,3 (т, 3H) |
| 227 |
389 |
391 |
– |
| 228 |
457,3 |
459,1 |
– |
| 229 |
456,3 |
458,1 |
– |
| 230 |
433,3 |
435,1 |
– |
| 231 |
487 |
489 |
(CD3OD): 9,30 (с, 2H), 9,04 (д, 2H), 8,89 (д, 1H), 8,11 (д, 1H), 7,54 (т, 1H), 4,46 (кв., 2H), 4,02 (м, 2H), 3,59 (м, 2H), 2,89 (м, 2H), 1,44 (т, 2H), 1,13 (т, 3H) м.д. |
| 232 |
456,3 |
458,3 |
(CD3OD): 9,22 (с, 1H), 9,05 (д, 2H), 8,92 (с, 1H), 8,78 (д, 1H), 8,17 (с, 1H), 8,08 (д, 1H), 7,54 (дд, 1H), 4,42 (с, 2H), 3,52 (м, 4H), 3,39 (кв., 4H), 3,28 (м, 4H), 1,26 (т, 3H) |
| 233 |
– |
459,1 |
(CD3OD): 9,22 (с, 1H), 9,06 (д, 2H), 8,96 (с, 1H), 8,77 (д, 1H), 8,22 (с, 1H), 8,07 (д, 1H), 7,56 (дд, 1H), 4,49 (кв., 2H), 4,42 (с, 2H), 3,52 (м, 4H), 3,29 (м, 4H), 1,45 (т, 3H) |
| 234 |
– |
537 |
(CD3OD): 9,22 (с, 1H), 9,04 (д, 2H), 8,90 (с, 1H), 8,54 (д, 1H), 8,16 (с, 1H), 7,99 (д, 1H), 7,54 (дд, 1H), 4,78 (с, 2H), 4,49 (кв., 2H), 3,69 и 3,63 (м, 8H), 3,00 (с, 3H), 1,45 (т, 3H) |
| 235 |
534,2 |
536,1 |
(CD3OD): 9,20 (с, 1H), 9,02 (д, 2H), 8,82 (с, 1H), 8,52 (д, 1H), 8,09 (с, 1H), 7,98 (д, 1H), 7,52 (дд, 1H), 4,78 (с, 2H), 3,69 и 3,62 (м, 8H), 3,39 (кв., 2H), 3,00 (с, 3H), 1,25 (т, 3H) |
| 236 |
496,4 |
498,3 |
(CD3OD): 9,28 (с, 1H), 9,06 (шир.с, 2H), 8,96 (с, 1H), 8,85 (шир.с, 1H), 8,24 (с, 1H), 8,15 (шир.с, 1H), 7,56 (шир.с, 1H), 4,49 (кв., 2H), 4,42 (с, 2H), 3,73 (шир.с, 4H), 3,35 (шир.с, 4H), 3,01 (шир.с, 1H), 1,45 (т, 3H), 1,20 (шир.с, 2H), 1,00 (шир.с, 2H) |
| 237 |
496,4 |
498,3 |
(CDCl3) 11,82 (шир.с, 1H), 8,88 (с, 1H), 8,71 (шир.с, 2H), 8,48 (с, 1H), 7,89 (д, 1H), 7,79 (с, 1H), 7,42 (д, 1H), 7,05 (шир.с, 1H), 3,71 (с, 2H), 3,46 (кв., 2H), 2,70 и 2,55 (м, 8H), 1,28 (т, 3H), 0,45-0,41 (м, 4H) |
| 238 |
447,2 |
449 |
12,35 (с, 1H), 9,07 (д, 2H), 8,82 (с, 1H), 8,41 (д, 1H), 8,13 (с, 1H), 7,95 (д, 1H), 7,57 (т, 1H), 6,7-5,2 (шир.с, 4H), 4,38 (с, 2H), 4,32 (кв., 2H), 3,92 (шир.д, 4H), 3,32 (шир.д, 4H), 1,33 (т, 3H) |
| 239 |
490,1 |
492,2 |
(CD3OD): 9,21 (с, 1H), 9,05 (д, 2H), 8,92 (с, 1H), 8,54 (д, 1H), 8,17 (с, 1H), 7,97 (д, 1H), 7,55 (дд, 1H), 4,78 (с, 2H), 4,49 (кв., 2H), 4,01 (шир.дд, 2H), 3,74 (шир.д, 2H), 3,43 (шир.дд, 2H), 3,27 (шир.д, 2H), 1,45 (т, 3H) |
| 240 |
471,3 |
473 |
(CD3OD): 9,28 (с, 1H), 9,05 (шир.с, 2H), 8,96 (с, 1H), 8,89 (с, 1H), 8,25 (с, 1H), 8,17 (с, 1H), 7,55 (шир.с, 1H), 4,49 (кв., 2H), 4,39 (с, 2H), 3,64-3,13 (м, 8H), 3,00 (с, 3H), 1,45 (т, 3H) |
| 241 |
– |
531,01 |
1,3 (т, 3H), 1,55 (д, 3H), 3,3 (шир.с, 4H), 3,9 (шир.с, 4H), 4,0 (кв., 1H), 4,35 (кв., 2H), 4,6 (с, 2H), 7,6 (дд, 1H), 7,8 (д, 1H), 8,0 (с, 1H), 8,4 (д, 1H), 8,42 (с, 1H), 8,7 (с, 1H), 8,8 (д, 1H), 9,15 (с, 1H), 11…2 (шир.с, 1H) |
| 242 |
486,-2 |
488,1 |
(CD3OD): 9,33 (с, 2H), 8,92 (д, 1H), 8,79 (д, 1H), 8,47 (м, 2H), 8,09 (д, 1H), 7,84 (м, 1H), 4,42 (кв., 2H), 4,05 (м, 2H), 3,67 (м, 2H), 3,39 (м, 2H, под пиком воды), 3,00 (м, 2H), 1,42 (т, 3H), 1,28 (д, 6H) м.д. |
| 243 |
488,2 |
490,05 |
1,3 (т, 3H), 3,2 (м, 2H), 3,5 (м, 2H), 3,7 (м, 2H), 3,9 (м, 2H), 4,0 (м, 2H), 4,3 (кв., 2H), 4,8 (м, 2H), 7,6 (7,1H), 8,1 (д, 1H), 8,2 (шир.с, 1H), 8,6 (д, 1H), 8,65 (д, 1H), 8,8 (д, 1H), 9,05 (д, 2H), 11,6 (шир.с, 1H), 12,7 (шир.с, 1H) |
| 244 |
457,21 |
459,09 |
1,35 (т, 3H), 2,8 (шир.с, 3H), 3,2 (м, 2H), 3,4 (м, 2H), 3,55 (м, 2H), 4,3 (м, 2H), 4,35 (кв., 2H), 7,6 (т, 1H), 8,1 (д, 1H), 8,3 (шир.с, 1H), 8,55 (д, 1H), 8,6 (д, 1H), 8,7 (д, 1H), 9,05 (д, 2H), 11,2 (шир.с, 1H), 12,4 (шир.с, 1H) |
| 245 |
529,2 |
531,1 |
(CD3OD): 9,08 (д, 1H), 9,01 (д, 2H), 8,82 (д, 1H), 8,30 (д, 1H), 8,04 (д, 1H), 7,68 (д, 1H), 7,51 (дд, 1H), 4,63 (с, 2H), 4,47 (кв., 2H), 4,22 (с, 2H), 3,91 (шир.с, 4H), 3,49 (шир.с, 4H), 3,43 (с, 3H), 1,44 (т, 3H) |
| 246 |
555,3 |
557,1 |
(CD3OD): 9,23 (с, 1H), 9,04 (д, 2H), 8,90 (с, 1H), 8,56 (д, 1H), 8,17 (с, 1H), 8,00 (д, 1H), 7,55 (дд, 1H), 4,77 (с, 2H), 4,49 (кв., 2H), 4,12-3,84 (м, 6H), 3,57 (шир.с, 4H), 3,48 (шир.с, 1H), 2,18 (м, 2H), 1,97 (м, 2H), 1,45 (т, 3H) |
| 247 |
485,1 |
487 |
(CD3OD): 9,34 (с, 2H), 8,93 (д, 1H), 8,80 (д, 1H), 8,48 (м, 2H), 8,10 (д, 1H), 7,85 (т, 1H), 4,88 (с, 2H), 4,44 (кв., 2H), 4,21 (с, 2H), 3,86 (м, 2H), 3,79 (м, 2H), 3,09 (с, 3H), 1,42 (т, 3H) м.д. |
| 248 |
458,15 |
460,02 |
1,23 (т, 3H), 3,17 (м, 4H), 3,65 (м, 4H), 4,34 (кв., 2H), 4,77 (с, 2H), 7,57 (т, 1H), 8,11 (с, 1H), 8,61 (с, 1H), 9,06 (д, 2H), 9,39 (с, 2H), 9,87 (шир.с, 2H) |
| 249 |
472,3 |
474 |
(CD3OD): 9,17 (с, 1H), 9,04 (д, 2H), 8,92 (с, 1H), 8,45 (д, 1H), 8,15 (с, 1H), 7,87 (д, 1H), 7,55 (дд, 1H), 4,68 (с, 2H), 4,69 (кв., 2H), 4,11 (дд, 1H), 4,02-3,95 (м, 2H), 3,57 (м, 2H), 3,03 (дд, 1H), 1,44 (т, 3H), 1,26 (д, 3H) |
| 250 |
499,2 |
501,3 |
(CD3OD): 9,25 (с, 1H), 9,06 (д, 2H), 8,97 (с, 1H), 8,84 (д, 1H), 8,23 (с, 1H), 8,12 (д, 1H), 7,56 (дд, 1H), 4,49 (кв., 2H), 4,37 (с, 2H), 3,65-3,12 (м, 9H), 1,46-1,43 (м, 9H) |
| 251 |
514,9 |
517 |
(CD3OD): 9,27 (с, 1H), 9,05 (д, 2H), 8,95 (с, 1H), 8,86 (д, 1H), 8,25 (с, 1H), 8,16 (д, 1H), 7,56 (дд, 1H), 4,49 (кв., 2H), 4,46 (с, 2H), 3,81-3,50 (м, 12H), 3,44 (с, 3H), 1,45 (т, 3H) |
| 252 |
527,2 |
529 |
(CD3OD): 9,06 (с, 1H), 8,97 (д, 2H), 8,76 (с, 1H), 8,28 (д, 1H), 8,00 (с, 1H), 7,69 (д, 1H), 7,49 (дд, 1H), 4,65 (с, 2H), 4,45 (кв., 2H), 3,99 (шир.с, 4H), 3,49 (шир.с, 4H), 2,99 (гепт., 1H), 1,44 (т, 3H), 1,14 (д, 6H) |
| 253 |
502 |
504 |
(CD3OD): 9,08 (д, 2H), 8,73 (с, 1H), 8,51 (с, 1H), 8,38 (дд, 1H), 8,07 (д, 1H), 7,92 (м, 1H), 7,77 (д, 1H), 7,64 (м, 1H), 4,67 (с, 2H), 4,48 (кв., 2H), 4,01 (с, 2H), 3,65 (м, 4H), 3,06 (м, 2H), 1,43 (т, 2H), 1,13 (т, 3H) м.д. |
| 254 |
454,17 |
456,02 |
14,52 (с, 1H), 9,22 (с, 2H), 9,05 (д, 2H), 8,56 (д, 1H), 8,04 (д, 1H), 7,74 (с, 1H), 7,62 (с, 1H), 7,55 (т, 1H), 6,8-5,6 (шир.с), 5,79 (с, 2H), 4,33 (кв., 2H), 2,62 (с, 3H), 1,33 (т, 3H) |
| 255 |
530,17 |
532,03 |
1,1 (д, 6H), 1,35 (т, 3H), 2,3 (с, 6H), 3,5 (м, 2H), 3,6 (м, 2H), 3,9 (с, 2H), 4,3 (кв., 2H), 4,6 (с, 2H), 4,65 (м, 1H), 7,7 (д, 1H), 7,9 (с, 1H), 8,0 (дт, 1H), 8,3 (с, 1H), 8,4 (дд, 1H), 8,8 (д, 1H), 8,85 (м, 1H), 9,1 (с, 1H) |
| 256 |
486,23 |
488,05 |
1,3 (д, 6H), 1,35 (т, 3H), 3,1 (м, 2H), 3,5 (м, 1H), 3,6 (м, 4H), 4,3 (кв., 2H), 4,8 (м, 2H), 7,6 (т, 1H), 7,9 (с, 1H), 8,5 (с, 1H), 8,9 (с, 2H), 9,05 (д, 1H), 10,5 (шир.с, 1H) |
| 257 |
499,2 |
501,1 |
(CD3OD): 9,34 (с, 2H), 8,93 (м, 1H), 8,81 (д, 1H), 8,49 (м, 2H), 8,11 (д, 1H), 7,85 (т, 1H), 4,87 (с, 2H), 4,42 (кв., 2H), 4,11 (шир.с, 2H), 3,87 (шир.м, 4H), 3,71 (м, 3H), 1,48 (д, 6H), 1,42 (т, 3H) м.д. |
| 258 |
571,3 |
573,1 |
(CDCl3) 12,75 (шир.с, 1H), 12,29 (с, 1H), 8,94 (д, 2H), 8,92 (с, 1H), 8,60 (с, 1H), 8,05 (с, 1H), 8,04 (д, 1H), 7,59 (д, 1H), 7,25 (дд, 1H), 4,46 (кв., 2H), 4,23 (шир.с, 1H), 3,86 (д, 1H), 3,80 (д, 1H), 3,65 (д, 1H), 3,19 (ддд, 1H), 2,86 (д, 1H), 2,66 (д, 1H) |
| 259 |
– |
473 |
(CD3OD): 9,24 (с, 1H), 9,04 (д, 2H), 8,94 (с, 1H), 8,81 (д, 1H), 8,22 (с, 1H), 8,11 (д, 1H), 7,55 (дд, 1H), 4,49 (кв., 2H), 4,42 (с, 2H), 3,77-2,89 (м, 7H), 1,45 (т, 3H), 1,41 (д, 3H) |
| 259 |
485,3 |
487,3 |
(CD3OD): 9,24 (с, 1H), 9,06 (д, 2H), 8,96 (с, 1H), 8,83 (д, 1H), 8,23 (с, 1H), 8,11 (д, 1H), 7,56 (дд, 1H), 4,49 (кв., 2H), 4,39 (с, 2H), 3,76 (м, 2H), 3,40 (д, 2H), 2,80 (д, 2H), 1,45 (т, 3H), 1,40 (д, 6H) |
| 261 |
485,2 |
487 |
(CD3OD): 9,23 (с, 1H), 9,06 (д, 2H), 8,97 (с, 1H), 8,82 (д, 1H), 8,24 (с, 1H), 8,13 (д, 1H), 7,56 (дд, 1H), 4,74 (д, 2H), 4,49 (кв., 2H), 4,25 (д, 1H), 3,80-2,92 (м, 6H), 1,45 (т, 3H), 1,36 (д, 6H) |
| 262 |
513,2 |
515 |
(CD3OD): 9,10 (с, 1H), 9,02 (д, 2H), 8,85 (с, 1H), 8,31 (д, 1H), 8,06 (с, 1H), 7,68 (д, 1H), 7,52 (дд, 1H), 4,62 (с, 2H), 4,46 (кв., 2H), 3,92-3,16 (м, 8H), 2,48 (кв., 2H), 1,86 (м, 2H), 1,44 (т, 3H), 1,14 (т, 3H) |
| 263 |
– |
557,3 |
(CD3OD): 9,11 (с, 1H), 9,03 (д, 2H), 8,85 (с, 1H), 8,32 (д, 1H), 8,07 (с, 1H), 7,69 (д, 1H), 7,52 (дд, 1H), 4,63 (с, 2H), 4,47 (кв., 2H), 3,99-3,79 (м, 8H), 3,50-3,45 (м, 5H), 2,15 (м, 2H), 1,44 (т, 3H) |
| 264 |
– |
501,1 |
(CD3OD): 9,10 (с, 1H), 9,03 (д, 2H), 8,85 (с, 1H), 8,62 (д, 1H), 8,08 (с, 1H), 7,94 (д, 1H), 7,52 (дд, 1H), 4,46 (кв., 2H), 4,12 (с, 2H), 3,46-3,01 (м, 10H), 1,80 (м, 2H), 1,43 (т, 3H), 1,04 (т, 3H) |
| 265 |
– |
531,1 |
(CD3OD): 9,21 (с, 1H), 8,96 (д, 2H), 8,82 (с, 1H), 8,59 (д, 1H), 8,12 (с, 1H), 8,06 (д, 1H), 7,48 (дд, 1H), 4,75 (с, 2H), 4,42 (кв., 2H), 4,12 (кв., 2H), 3,83 (шир.с, 4H), 3,47 (шир.с, 4H), 1,38 (т, 3H), 1,23 (т, 3H) |
| 266 |
543,2 |
545 |
(CD3OD): 9,33 (с, 1H), 8,99 (д, 2H), 8,83 (с, 1H), 8,79 (шир.с, 1H), 8,18 (с, 1H), 7,54 (шир.с, 1H), 4,93 (м, 1H), 4,89 (с, 2H), 4,49 (кв., 2H), 3,90 (шир.с, 4H), 3,57 (шир.с, 4H), 1,45 (т, 3H), 1,29 (д, 6H) |
| 267 |
516 |
518 |
– |
| 268 |
557,3 |
559,2 |
(CD3OD): 9,08 (с, 1H), 8,969 (д, 2H), 8,78 (с, 1H), 8,29 (д, 1H), 8,01 (с, 1H), 7,67 (д, 1H), 7,49 (дд, 1H), 4,62 (с, 2H), 4,45 (кв., 2H), 3,93 (д, 2H), 3,85 (шир.с, 4H), 3,46 (шир.с, 4H), 1,96 (м, 1H), 1,43 (т, 3H), 0,98 (д, 6H) |
| 269 |
553,3 |
555,1 |
(CD3OD): 9,15 (с, 1H), 9,05 (д, 2H), 8,91 (с, 1H), 8,39 (д, 1H), 8,14 (с, 1H), 7,79 (д, 1H), 7,55 (дд, 1H), 4,71 (кв., 2H), 4,68 (с, 2H), 4,49 (кв., 2H), 3,88 (шир.с, 4H), 3,49 (шир.с, 4H), 1,82 (т, 3H), 1,44 (т, 3H) |
| 270 |
557,3 |
559,2 |
(CD3OD): 9,11 (с, 1H), 9,03 (д, 2H), 8,84 (с, 1H), 8,31 (д, 1H), 8,05 (с, 1H), 7,68 (д, 1H), 7,52 (дд, 1H), 4,63 (с, 2H), 4,46 (кв., 2H), 3,96 (шир.с, 4H), 3,52 (шир.с, 2H), 3,44 (шир.с, 2H), 2,71 (т, 2H), 2,65 (т, 2H), 1,43 (т, 3H) |
| 271 |
573,2 |
575,2 |
(CD3OD): 9,12 (с, 1H), 9,05 (д, 2H), 8,86 (с, 1H), 8,32 (д, 1H), 8,07 (с, 1H), 7,68 (д, 1H), 7,53 (дд, 1H), 4,63 (с, 2H), 4,46 (кв., 2H), 4,37 (с, 2H), 4,21 (с, 2H), 3,98 (шир.с, 4H), 3,52 (шир.с, 2H), 3,47 (шир.с, 2H), 1,44 (т, 3H) |
| 272 |
500,23 |
502,05 |
1,21 (м, 9H), 3,17 (с, 1H), 3,61 (м, 8H), 4,32 (кв., 2H), 4,65 (с, 2H), 7,56 (т, 1H), 8,10 (с, 1H), 8,58 (с, 1H), 9,07 (д, 2H), 9,30 (с, 2H) |
| 273 |
476 |
478 |
9,29 (с, 2H), 8,66 (с, 1H), 8,02 (с, 1H), 7,95 (м, 2H), 7,59 (м, 1H), 4,76 (с, 2H), 4,30 (м, 2H), 3,94-3,68 (м, 4H), 3,50-3,17 (м, 4H), 1,30 (т, 3H) |
| 274 |
417,1 |
419 |
9,1 (с, 2H), 9,0 (с, 2H), 8,4 (с, 1H), 7,8 (с, 1H), 7,5 (т, 1H), 4,1-4,2 (кв., 2H), 3,7 (с, 2H), 2,3 (с, 6H), 1,3 (т, 3H) |
| 275 |
466 |
468 |
– |
| 276 |
445,1 |
447 |
1,33 (т, 3H), 2,06 (м, 1H), 2,26 (м, 1H), 3,88 (м, 4H), 4,33 (кв., 2H), 5,85 (м, 1H), 6,97 (д, 1H), 7,55 (т, 1H), 7,91 (с, 1H), 8,08 (д, 1H), 8,52 (м, 2H), 9,05 (д, 2H), 12,44 (шир.с, 1H) |
| 277 |
475,1 |
477 |
1,3 (т, 3H), 2,3 (с, 6H), 3,35 (м, 4H), 3,9 (м, 4H), 4,3 (кв., 2H), 4,6 (с, 2H), 7,7 (д, 1H), 7,9 (с, 1H), 8,0 (дт, 1H), 8,3 (с, 1H), 8,35 (дд, 1H), 8,75 (д, 1H), 8,8 (шир.с, 1H), 9,1 (д, 1H), 10,4 (шир.с, 1H) |
| 278 |
502,1 |
504 |
1,3 (т, 3H), 3,2 (с, 3H), 3,4 (шир.с, 4H), 3,7 (шир.с, 4H), 3,8 (шир.с, 2H), 4,3 (кв., 2H), 4,8 (шир.с, 2H), 7,55 (т, 1H), 8,0 (д, 1H), 8,5 (д, 1H), 9,0 (с, 2H), 9,05 (д, 2H), 11,8 (шир.с, 1H), 12,6 (шир.с, 1H) |
| 279 |
525,2 |
527 |
– |
| 280 |
567,2 |
569 |
(CD3OD): 9,11 (с, 1H), 9,03 (д, 2H), 8,83 (с, 1H), 8,33 (д, 1H), 8,06 (с, 1H), 7,68 (д, 1H), 7,52 (дд, 1H), 4,63 (с, 2H), 4,46 (кв., 2H), 3,94 (м, 4H), 3,59 (кв., 2H), 3,47 (м, 4H), 1,44 (т, 3H) |
| 281 |
458,15 |
459,98 |
9,11 (шир.с, 2H), 9,09 (с, 1H), 8,82 (д, 1H), 8,78 (шир.с, 1H), 8,64 (д, 1H), 8,28 (с, 1H), 8,10 (дд, 1H), 7,88 (с, 1H), 7,52 (дд, 1H), 5,38 (м, 1H), 5,5-4,2 (шир.с, 4H), 4,32 (кв., 2H), 3,45 (м, 1H), 3,37 (м, 1H), 3,12 (м, 2H), 2,05 (M, 1 |
| 282 |
514,2 |
516 |
10,05 (м, 1H), 9,24 (м, 1H), 9,15 (д, 2H), 8,82 (д, 1H), 8,67 (д, 1H), 8,31 (с, 1H), 8,12 (м, 1H), 7,90 (с, 1H), 7,53 (м, 1H), 5,52 (м, 1H), 4,32 (кв., 2H), 3,78 (м, 1H),3,55-2,88 (м, 4H), 2,12 (м, 1H), 2,02 (м, 1H), 1,88 (м, 1H), 1,33 (т |
| 283 |
519,15 |
521,02 |
1,3 (т, 3H), 2,35 (с, 12H), 2,8 (с, 3H), 3,0-3,7 (шир.с, 10H), 4,3 (кв., 2H), 4,7 (шир.с, 2H), 7,6 (м, 1H), 7,9 (с, 1H), 7,95 (м, 2H), 8,65 (м, 1H), 9,0 (с, 2H) |
| 290 |
487,1 |
489 |
– |
| 291 |
– |
490 |
– |
| 292 |
482,1 |
484 |
– |
| 293 |
483 |
484,9 |
– |
| 294 |
460,11 |
461,96 |
1,15 (т, 3H), 2,3 (с, 9H), 3,25 (м, 2H), 3,5 (м, 4H), 3,8 (м, 4H), 7,5 (шир.с, 1H), 7,6 (м, 1H), 7,95 (м, 1H), 8,0 (с, 1H), 8,1 (м, 1H), 8,2 (м, 1H), 8,4 (д, 1H), 8,6 (с, 1H), 8,7 (д, 1H), 10,3 (шир.с, 1H) |
| 295 |
– |
– |
(CD3OD): 9,13 (д, 1H), 9,05 (д, 2H), 8,92 (д, 1H), 8,37 (м, 1H), 8,13 (д, 1H), 7,75 (дт, 1H), 7,55 (т, 1H), 4,70 (с, 2H), 4,49 (кв., 2H), 3,62 (м, 4H), 2,47 (м, 4H), 1,44 (т, 3H) м.д. |
Пример 27
Анализ на АТФазную активность гиразы
АТФ-гидролитическую активность ДНК-гиразы измеряли по продуцированию АДФ пируваткиназой/лактатдегидрогеназой с окислением NADH. Этот метод был описан ранее (Tamura & Gellert, 1990, J. Biol. Chem., 265, 21342).
Анализ на АТФазу проводили при 30°С в забуференных растворах, содержащих 100 мМ Трис, рН 7,6, 1,5 мМ MgCl2, 150 мМ KCl. Система для связывания содержала (в конечной концентрации) 2,5 мМ фосфоенола-пирувата, 200 мкМ никотинамид-адениндинуклеотида (NADH), 1 мМ DTT, 30 мкг/мл пируват-киназы и 10 мкг/мл лактат-дегидрогеназы. К этой системе добавляли 40 наномоль фермента (374 кДа-субъединица Gyr A2B2 от Staphylococcus aureus) и ДМСО-раствор ингибитора до конечной концентрации 4% и реакционную смесь оставляли на 10 минут при 30°С для инкубирования. Затем реакцию инициировали добавлением АТФ до конечной концентрации 0,9 мМ и скорость исчезновения NADH при 340 нанометров измеряли в течение 10 минут. Величины Ki вычисляли по профилям скорости в зависимости от концентрации.
Было обнаружено, что соединения настоящего изобретения ингибируют гиразу. В некоторых вариантах осуществления изобретения, в вышеуказанном анализе, соединения настоящего изобретения ингибируют гиразу с константой ингибирования Кi менее 50 нМ.
Пример 28
Анализ на АТФазную активность Topo IV
Превращение АТФ в АДФ ферментом Торо IV связано с превращением NADH в NAD+, и было измерено по изменению оптической плотности при 340 нМ. Торо IV инкубировали с ингибитором (4% ДМСО, в конечной концентрации) в буфере в течение 10 минут при 30°С. Реакцию инициировали АТФ и проводили непрерывный мониторинг скорости реакции в течение 20 минут при 30°С на планшет-ридере Molecular Devices SpectraMAX. Константу ингибирования, Кi, определяли по кривым скорости реакции в зависимости от ингибирования [ингибитора], построенным по уравнению Моррисона для жестко связывающихся ингибиторов.
Буфер для Торо IV S. aureus:
100 мМ Трис, 7,5, 2 мМ MgCl2, 200 мМ К·глутамат, 2,5 мМ фосфоенол-пирувата, 0,2 мМ NADH, 1 мМ DTT, 4,25 мкг/мл линеаризованной ДНК, 50 мкг/мл BSA, 30 мкг/мл пируваткиназы и 10 мкг/мл лактат-дегидрогеназы (LDH).
Буфер для Торо IV E. coli:
100 мМ Трис 7,5, 6 мМ MgCl2, 20 мМ KCl, 2,5 мМ фосфоенол-пирувата, 0,2 мМ NADH, 1 мМ DTT, 5,25 мкг/мл линеаризованной ДНК, 50 мкг/мл BSA, 30 мкг/мл пируваткиназы и 10 мкг/мл лактат-дегидрогеназы (LDH).
Было обнаружено, что соединения настоящего изобретения ингибируют Торо IV. В некоторых вариантах осуществления изобретения, в вышеуказанном анализе, соединения настоящего изобретения ингибируют Торо IV с константой ингибирования Кi менее 50 нМ.
Пример 29
Тест на восприимчивость в жидких средах
Соединения настоящего изобретения также анализировали на противомикробную активность с помощью теста на восприимчивость в жидких средах. Такие анализы осуществляли в соответствии с руководством последней редакции документа NCClS, контролирующего их применение на практике, “M7-A5 Methods for dilution Antimicrobial Susceptibility Tests for Bacteria that Grow Aerobically; Approved Standard – Fifth Edition (2000)”. В других публикациях, таких как “Antibiotics in laboratory Medicine” (Edited by V. Lorian, Publishers Williams and Wilkins, 1996), описаны основные практические методы проведения тестов антибиотиков в лабораториях. В общих чертах, несколько дискретных колоний Staphylococcus aureus (3-7), полученных из чашек со свежей штриховой культурой, переносили на соответствующую питательную бульонную среду, такую как МНВ, в которую, для более “требовательных” организмов, если это необходимо, были добавлены соответствующие компоненты. Эти культуры выращивали в течение ночи до высокой плотности, а затем 1000- или 2000-кратно разводили с получением плотности инокуляции 5×105 и 5×106 КОЕ/мл. Альтернативно, свежесобранные колонии могут быть инкубированы при 37оС в течение приблизительно 4-8 часов до тех пор, пока мутность культур не будет равной или не будет превышать 0,5 по стандарту McFarland (приблизительно 1,5×108 клеток/мл), а затем они могут быть разведены с получением того же самого КОЕ/мл, как описано выше. В более привычном методе получают инокулят с использованием коммерчески доступного механического устройства (BBL PROMPT System), в котором пять колоний непосредственно контактируют со стержнем, имеющем на своем нижнем конце штриховые канавки, а затем получают суспензию бактерий в соответствующем объеме физиологического раствора. Эту клеточную суспензию разводят до соответствующей клеточной плотности инокулята. Бульон, используемый для тестирования, состоит из среды МНВ, в которую было добавлено 50 мг/л Ca2+ и 25 мг/л Mg2+. Затем получали панели для стандартного разведения контрольных антибиотиков и хранили в соответствии со стандартами NCCIS М7-А5, при этом интервал разведения обычно составлял от 128 мкг/мл до 0,015 мкг/мл (2-кратное серийное разведение). Свежие тестируемые соединения растворяли и разводили в день проведения экспериментов; при этом использовали те же самые или подобные интервалы концентраций, как указано выше. Тестируемые соединения и контроль распределяли по мультилуночному планшету и добавляли тестируемые бактерии так, чтобы конечная инокуляция составляла приблизительно 5×104 КОЕ на лунку, а конечный объем составлял 100 мкл. Планшеты инкубировали при 35°С в течение ночи (16-20 часов) и визуально оценивали на мутность или проводили количественную оценку на мультилуночном планшет-ридере. Минимальная ингибирующая концентрация в конечной точке (MIC) представляет собой наименьшую концентрацию лекарственного средства, при которой не происходит роста тестируемого микроорганизма (Staphylococcus aureus). Полученные данные также сравнивали с соответствующими табличными данными, имеющимися в вышеуказанных двух публикациях, для подтверждения того, что уровень антибактериальной активности находится в соответствующих пределах для данного стандартизированного анализа.
Было обнаружено, что в вышеописанном анализе на MIC S. aureus соединения настоящего изобретения обладают противомикробной активностью.
Хотя авторами настоящего изобретения были описаны различные варианты осуществления настоящего изобретения, однако очевидно, что основные конструктивные варианты могут быть изменены с получением других вариантов, в которых будут использоваться продукты и способы настоящего изобретения.
Формула изобретения
61. Соединение формулы I:

или его фармацевтически приемлемая соль,
где W выбран из СН или CF;
X представляет собой СН;
Z представляет собой О или NH;
R1 представляет собой фенил или 5-6-членное гетероарильное кольцо, содержащее 1-3 атома азота, где
R1 замещен 0-3 группами, независимо выбранными из -(T)y-Ar, R’, оксо, C(O)R’, OR’, N(R’)2, SR’, CN, или C(O)N(R’)2;
у равен 0 или 1;
Т представляет собой прямую или разветвленную С1-4алкилиденовую цепь, где одно метиленовое звено Т необязательно заменено -О-;
каждый R’ независимо выбран из водорода, С1-4алкила, С2-4-алкинила, С3-7-циклоалкила, фенила или 5-6-членного насыщенного, гетероциклического кольца, содержащего 1-2 гетероатома, представляющих собой атомы азота, где
R’ замещен 0-3 группами, независимо выбранными из галогена, оксо, R°, N(R°)2, OR°, CO2R°, NR°C(O)R°, где
каждый R° независимо выбран из водорода, С1-4алкила, фенила или 5-6-членного насыщенного гетероциклического или гетероарильного кольца, содержащего 1-2 гетероатома, независимо выбранных из азота или кислорода, и где
два заместителя в смежных положениях R1, взятые вместе, могут образовывать 5-7-членное насыщенное или арильное кольцо, необязательно содержащее 1-2 гетероатома, независимо выбранных из азота или кислорода;
Ar представляет собой фенил, С3-7-циклоалкил, 5-6-членное насыщенное гетероциклическое кольцо, содержащее 1-2 гетероатома, независимо выбранных из азота, кислорода или серы, или 5-6-членное гетероарильное кольцо, содержащее 1-2 атома азота, где
Ar замещен 0-3 группами, независимо выбранными из R’, оксо, CO2R’, OR’, галогена, SO2R’ и C(O)R’;
R2 выбран из C1-3алкила и С3-7-циклоалкила; и
кольцо А представляет собой 5-6-членное гетероарильное кольцо, содержащее 1-3 гетероатома, независимо выбранных из азота, кислорода или серы, при условии, что указанное кольцо имеет акцептор водородной связи в положении, смежном с положением присоединения к кольцу В, где
кольцо А замещено 0-3 группами, независимо выбранными из R’, оксо, CO2R’, OR’, N(R’)2, галогена, CN, C(O)N(R’)2, NR’C(O)R’, или NR’SO2R’, и где
два заместителя в смежных положениях кольца А, взятые вместе, могут образовывать 6-членное насыщенное гетероциклическое или гетероарильное кольцо, содержащее 1-2 атома азота.
2. Соединение по п.1, где кольцо А выбрано из нижеследующих необязательно замещенных колец:







3. Соединение по п.2, где кольцо А представляет собой необязательно замещенное кольцо, выбранное из колец a, f, I, s, w, у или z
, , , , , , или .
4. Соединение по п.1, где R1 выбран из необязательно замещенного фенильного или 5-6-членного гетероарильного кольца, содержащего 1-2 атома азота.
5. Соединение по п.4, где R1 представляет собой необязательно замещенное кольцо, выбранное из пирид-2-ила, пирид-3-ила, пирид-4-ила, пиримидин-2-ила, пиримидин-4-ила, пиримидин-5-ила, пиримидин-6-ила, имидазол-1-ила, имидазол-2-ила, имидазол-4-ила или имидазол-5-ила.
6. Соединение по п.5, где R1 замещен 0-2 группами, независимо выбранными из оксо, R’, OR’, N(R’)2, SR’ или C(O)N(R’)2.
7. Соединение по п.6, где R выбран из метила, этила, изопропила или циклопропила.
8. Соединение по п.1, где указанным соединением является соединение формулы II-а:

или его фармацевтически приемлемая соль.
9. Соединение по п.1, где указанным соединением является соединение формулы III:
или его фармацевтически приемлемая соль, где пиридоновое кольцо замещено 0-2 группами, независимо выбранными из оксо, R’, OR’, N(R’)2, SR’ или C(O)N(R’)2.
10. Соединение по п.9, где указанным соединением является соединение формулы III-а:

или его фармацевтически приемлемая соль.
11. Соединение по п.10, где R’ представляет собой водород или С1-4алкил, и где R’ необязательно замещен фенилом или пиридилом.
12. Соединение по п.1, где указанным соединением является соединение формулы IV:

или его фармацевтически приемлемая соль.
13. Соединение по п.12, где Ar представляет собой необязательно замещенное 5-6-членное насыщенное гетероциклическое кольцо, содержащее 1-2 гетероатома, независимо выбранных из кислорода, азота или серы.
14. Соединение по п.12, где Ar представляет собой необязательно замещенное 5-членное гетероарильное кольцо, содержащее 1-2 атома азота.
15. Соединение по п.12, где Ar представляет собой необязательно замещенное 6-членное гетероарильное кольцо, содержащее 1-2 атома азота.
16. Соединение по п.12, где Ar представляет собой необязательно замещенный фенил.
17. Соединение по п.1, где указанным соединением является соединение формулы V:

или его фармацевтически приемлемая соль.
18. Соединение по п.17, где указанным соединением является соединение формулы VI:

или его фармацевтически приемлемая соль.
19. Соединение по любому из пп.8, 11, 12 или 17, где R2 представляет собой этил.
20. Соединение, выбранное из группы, состоящей из:

















 










 
21. Фармацевтическая композиция, обладающая свойствами ингибитора активности бактериальной гиразы и Topo-IV, содержащая эффективное количество соединения по любому из пп.1-20 и фармацевтически приемлемый носитель, адъювант или наполнитель.
22. Способ ингибирования гиразной активности в биологическом образце, включающий стадию контактирования указанного биологического образца с композицией по п.21 или с соединением по любому из пп.1-20.
23. Способ ингибирования Торо IV-активности в биологическом образце, включающий стадию контактирования указанного биологического образца с композицией по п.21 или с соединением по любому из пп.1-20.
24. Способ ингибирования гиразной и Торо IV-активности в биологическом образце, включающий стадию контактирования указанного биологического образца с композицией по п.21 или с соединением по любому из пп.1-20.
25. Способ снижения числа бактерий в организме млекопитающего, включающий стадию введения указанному млекопитающему композиции по п.21 или соединения по любому из пп.1-20.
|
|